You are currently viewing a new version of our website. To view the old version click .
Molbank
  • Short Note
  • Open Access

9 September 2011

4-({[4-(Methylthio)phenyl]methylene}amino)phenyl Dodecanoate

,
,
and
1
Department of Chemical Science, Faculty of Science, Universiti Tunku Abdul Rahman, Jln Universiti, Bandar Barat, 31900 Kampar, Perak, Malaysia
2
Liquid Crystal Research Laboratory, School of Chemical Sciences, Universiti Sains Malaysia, 11800 Minden, Penang, Malaysia
*
Author to whom correspondence should be addressed.

Abstract

A new Schiff base ester, 4-({[4-(methylthio)phenyl]methylene}amino)phenyl dodecanoate was synthesized and its IR, 1H NMR, 13C NMR and EI-MS spectroscopic data are presented.
Mesogenic materials have many useful applications in scientific and technological areas, specifically as LCD devices, organic light emitting diodes, anisotropic networks, photoconductors and semiconductor materials [1,2,3]. Strong demand of new liquid crystals for applications has led to the synthesis of numerous mesogens in particular, thermotropic liquid crystals [4,5]. In the previous studies, we discovered that azomethine and ester are useful connecting units for generating mesomorphism in thermotropic liquid crystals with two and three aromatic rings. Aromatic azomethine ester comprising of different polarity of substituents has been known to either promote or suppress the mesomorphic properties [6,7,8]. In the present work, Schiff base ester and methylthio terminal moiety are incorporated to form a new compound, 4-({[4-(methylthio)phenyl]methylene}amino)phenyl dodecanoate.

Experimental

Analytical data were obtained on Perkin Elmer 2400 LS series CHNS/O analyzers. Electron impact mass spectra (EI-MS) were recorded by Hewlett Packard 5989A Mass Spectrometer operating at 70 eV ionizing energy. FT-IR data were recorded on a Perkin Elmer 2000-FTIR spectrophotometer. NMR spectra were recorded in CDCl3 on a Bruker 400 MHz Ultrashield Spectrometer.
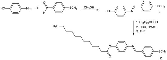
Scheme 1. Synthesis of 4-({[4-(methylthio)phenyl]methylene}amino)phenyl dodecanoate.
In analogy to a recently published procedure [9,10,11,12], a solution of 4-(methylthio)benzaldehyde (0.76 g, 5 mmol) and 4-aminophenol (0.55 g, 5 mmol) in methanol (40 mL) was heated under reflux for an hour. Schiff base 1 thus obtained was recrystallized from absolute ethanol. Then, Schiff base 1 (0.24 g, 1 mmol), was added into a solution of dodecanoic acid (0.26 g, 1.3 mmol) and 4-dimethylaminopyridine (DMAP) (0.02 g, 0.2 mmol) in THF (30 mL). The resulting mixture was stirred in an ice bath. To this solution, N,N’-dicyclohexylcarbodiimide (DCC) (0.21 g, 1 mmol) dissolved in THF (5 mL) was added dropwise while stirring in the ice bath for an hour. The resulting mixture was subsequently stirred at room temperature for another three hours. Then, the reaction mixture was filtered and the excess solvent was removed from the filtrate by evaporation. Recrystallization from hexane and methanol gave the pure Schiff base 2 (0.19 g, 45%).
Melting point: 105–106 °C.
MS (EI): m/z (rel. int. %) = 425 (6) (M+), 243 (100).
IR (KBr): νmax (cm−1), 2954, 2916, 2848 (C-H aliphatic), 1749 (C=O), 1621 (C=N), 1212, 1085 (C-O).
1H NMR (300 MHz, CDCl3): δ/ppm 0.90 (t, J = 6.6 Hz, 3H, CH3-), 1.28–1.43 (m, 16H, CH3-(CH2)8-), 1.78 (quint, 2H, J = 7.5 Hz, -CH2-CH2-COO-), 2.55 (s, 3H, CH3S-), 2.58 (t, 2H, J = 7.5 Hz, -CH2-COO-), 7.11 (d, 2H, J = 8.7 Hz, Ar-H), 7.23 (d, 2H, J = 8.7 Hz, Ar-H), 7.32 (d, 2H, J = 8.4 Hz, Ar-H), 7.81 (d, 2H, J = 8.7 Hz, Ar-H), 8.41 (s, 1H, -CH=N-).
13C NMR (100 MHz, CDCl3): δ/ppm 172.40 (-COO-), 159.06 (-CH=N-), 149.55, 148.75, 143.30, 132.71, 129.10, 125.74, 122.12, 121.89 for aromatic carbons, 34.34 (-CH2COO-), 31.85 (-CH2CH2COO-), 29.69, 29.65, 29.60, 29.46, 29.35, 29.29, 29.12 for methylene carbons [CH3CH2CH2(CH2)6-), 24.90 (CH3CH2CH2-), 22.63 (CH3CH2), 15.03 (-SCH3), 14.15 (-CH3).
Elemental analysis: Calculated for C26H35NO2S, C, 73.37%, H, 8.29%, N, 3.29%; Found: C, 73.48%, H, 8.23%, N, 3.33%.

Supplementary Materials

Supplementary File 1Supplementary File 2Supplementary File 3

Acknowledgements

Authors would like to thank Universiti Tunku Abdul Rahman and Ministry of Higher Education (MOHE) for the financial supports and research facilities.

References

  1. Petti, L.; Rippa, M.; Fiore, A.; Manna, L.; Mormile, P. Optically induced light modulation in an hybrid nanocomposite system of inorganic CdSe/CdS nanorods and nematic liquid crystals. Opt. Mater. 2010, 32, 1011–1016. [Google Scholar] [CrossRef]
  2. Shurpo, N.A.; Vakshtein, M.S.; Kamanina, N.V. Effect of CdSe/ZnS semiconductor quantum dots on the dynamic properties of nematic liquid-crystalline medium. Tech. Phys. Lett. 2010, 36, 319–321. [Google Scholar] [CrossRef]
  3. Hoang, M.H.; Cho, M.J.; Kim, K.H.; Lee, T.W.; Jin, J.I.; Choi, D.H. Semiconducting 2,3,6,7,10,11-hexakis{4-(5-dodecylthiophen-2-yl)phenyl]ethynyl}triphenylene and its discotic liquid crystalline properties. Chem. Lett. 2010, 39, 396–397. [Google Scholar] [CrossRef]
  4. Yuksel, F.; Atilla, D.; Ahsen, V. Synthesis and characterization of liquid crystalline unsymmetrically substituted phthalocyanines. Polyhedron 2007, 26, 4551–4556. [Google Scholar] [CrossRef]
  5. Zhang, B.Y.; Meng, F.B.; Tian, M.; Xiao, W.Q. Side-chain liquid-crystalline polysiloxanes containing ionic mesogens and cholesterol ester groups. React. Funct. Polym. 2005, 66, 551–558. [Google Scholar] [CrossRef]
  6. Yeap, G.Y.; Ha, S.T.; Lim, P.L.; Boey, P.L.; Ito, M.M.; Sanehisa, S.; Youhei, Y. Synthesis, physical and mesomorphic properties of Schiff’s base esters containing ortho-, meta- and para-substituents in benzylidene-4’-alkanoyloxyanilines. Liq. Cryst. 2006, 33, 205–211. [Google Scholar] [CrossRef]
  7. Ha, S.T.; Ong, L.K.; Ong, S.T.; Yeap, G.Y.; Wong, J.P.W.; Koh, T.M.; Lin, H.C. Synthesis and mesomorphic properties of new Schiff base esters with different alkyl chains. Chin. Chem. Lett. 2009, 20, 767–770. [Google Scholar] [CrossRef]
  8. Ha, S.T.; Ong, L.K.; Sivasothy, Y.; Yeap, G.Y.; Boey, P.L.; Lin, H.C. New mesogenic Schiff base esters with polar chloro substituent: synthesis, thermotropic properties and x-ray diffraction studies. Am. J. Appl. Sci. 2010, 7, 214–220. [Google Scholar] [CrossRef]
  9. Ha, S.T.; Ong, L.K.; Win, Y.F.; Koh, T.M.; Yeap, G.Y. Synthesis of New Schiff Base: 4-[(Pyridin-3-ylmethylene)amino]phenyldodecanoate. Molbank 2008, 2008, M582. [Google Scholar] [CrossRef]
  10. Ha, S.T.; Ong, L.K.; Win, Y.F.; Koh, T.M.; Yeap, G.Y. 4-[(Pyridin-3-ylmethylene)amino]phenylhexadecanoate. Molbank 2009, 2009, M584. [Google Scholar] [CrossRef]
  11. Ha, S.T.; Ong, L.K.; Win, Y.F.; Koh, T.M.; Yeap, G.Y. 4-[(Pyridin-3-ylmethylene)amino]phenyltetradecanoate. Molbank 2009, 2009, M585. [Google Scholar] [CrossRef]
  12. Ha, S.T.; Ong, L.K.; Win, Y.F.; Koh, T.M.; Yeap, G.Y. 4-[(Pyridin-3-ylmethylene)amino]phenyloctadecanoate. Molbank 2009, 2009, M591. [Google Scholar]

Article Metrics

Citations

Article Access Statistics

Multiple requests from the same IP address are counted as one view.