The Interaction of Sheep Genomic DNA with a Cobalt(II) Complex Containing p-Nitrobenzoate and N,N`-Diethylnicotinamide Ligands
Abstract
:1. Introduction
2. Results and Discussion
3. Experimental
3.1. Materials and methods
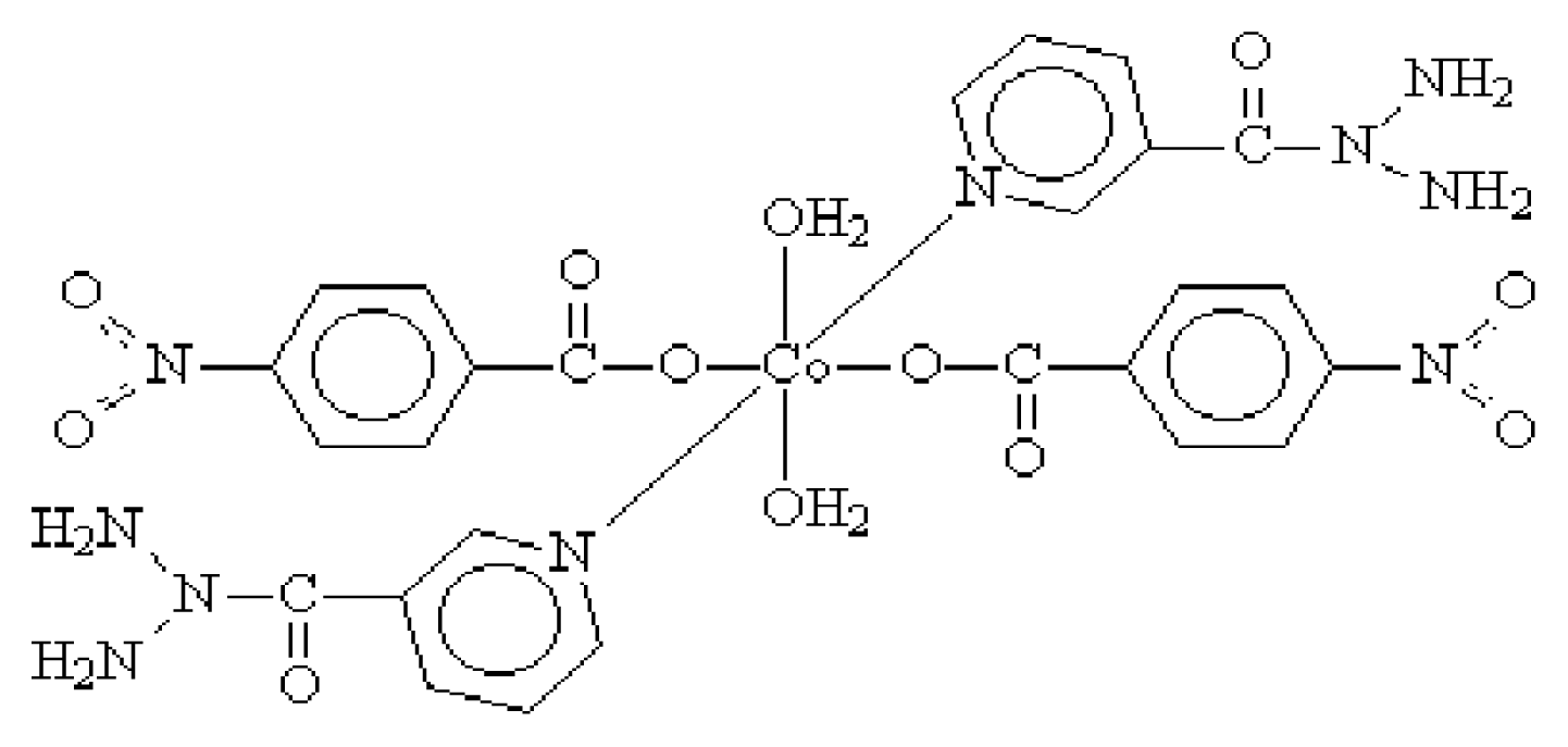
3.2. Synthesis of Diaquabis(N,N′-diethylnicotinamide)bis(p-nitrobenzoato)cobalt(II) complex
3.4. Physical measurements
3.5. DNA-binding experiments
Conclusion




Acknowledgements
Abbreviations
| [Co(p-O2NC6H4COO)2(C10H14N2O)2(H2O)2] | CoPNBDENA |
| Tris | tris-(hydroxymethyl) aminomethane |
| CoPNBDENA | diaquabis(N,N′-diethylnicotinamide)bis(p-Nitrobenzoato) cobalt(II) |
References
- Pyle, A.M.; Long, E.C.; Barton, J.K. Shape-selective Targeting of DNA by Phenanthrenequinone diimine Rhodium(III) Photocleaving Agents. J. Am. Chem. Soc 1989, 111, 4520–4522. [Google Scholar]
- Sitlani, A.; Long, E.C.; Pyle, A.M.; Barton, J.K. DNA Photocleavage by Phenanthrenequinone Diimine Complexes of Rhodium(III): Shape-Selective Recognition and Reaction J. Am. Chem. Soc 1992, 114, 2303–2312. [Google Scholar]
- Jin, L.; Yang, P. Effect of polyamine-induced compaction and aggregation of DNA on the formation of radiation-induced. Polyhedron 1997, 16, 3395–3403. [Google Scholar]
- Song, Y.-M.; Lu, X.-l.; Yang, M.-l.; Zheng, X.-R. Precursors for mitochondrial DNA replication. Transition Met. Chem. 2005, 30, 499–513. [Google Scholar]
- Zhang, Q.-L.; Liu, J.-G.; Chao, H.; Xue, G.-Q.; Ji, L.-N. DNA-binding and photocleavage studies of cobalt(III) polypyridyl complexex. J. Inorg. Biochem 2001, 83, 49–55. [Google Scholar]
- Zhang, Q.-L.; Liu, J.-G.; Xu, H.; Li, H.; Liu, J-Z.; Zhou, H.; Qu, L.-H.; Ji, L.-N. Synthesis characterization and DNA-binding studies of cobalt(II) polypyridyl complexes. Polyhedron 2001, 20, 3049–3055. [Google Scholar]
- Jiang, C.-W.; Chao, H.; Li, H.; Ji, L.-N. Synthesis, Characterization and DNA-binding studies of ruthenium(II) terpyridine complexes. J. Inorg. Biochem 2003, 93, 247–255. [Google Scholar]
- Vaidyanathan, V.G.; Nair, B.U. Synthesis, characterization and electrochemical studies of mixed ligand complexes of ruthenium(II) with DNA. J. Chem. Soc., Dalton Trans. 2005, 2842–2848. [Google Scholar]
- Chao, H.; Mei, W.-J.; Huang, Q.-W.; Ji, L.-N. DNA binding studies of ruthenium(II) complexes asymmetric tridentate ligands. J. Inorg. Biochem 2002, 92, 165–170. [Google Scholar]
- Jiao, K.; Wang, Q.-X.; Sun, W.; Jian, F.F. Sythesis, characterization and DNA-binding properties of a new cobalt(II) complex co(bbt)2CI2. J. Inorg. Biochem 2005, 99, 1369–1444. [Google Scholar]
- Kumar, R.S.; Arunachalam, S. Synthesis, characterization and DNA binding studies of a polymer-cobalt( III) complex containing the 2,2′-bipyridyl ligand. Polyhedron 2006, 25, 3113–3117. [Google Scholar]
- Hong, X-L.; Liu, Y-J.; Tan, L-F.; Ji, L.-N. DNA interactions of cobalt(III) mixed-polypyridyl complexes containing asymmetric ligands. J. of Inorg Biochem 2004, 98, 1143–1193. [Google Scholar]
- Erkkila, K.E.; Odom, D.T.; Barton, J.K. Recognition and Reaction of Metallointercalators with DNA. Chem. Rev 1999, 99, 2777–1795. [Google Scholar]
- Yam, V.W-W.; Lo, K.K.-W.; Cheung, K.-K.; Kong, R.Y.-C. Dipyrido[3,2-a:2′,3′-c]phenazine-Tethered Oligo-DNA: Synthesis and Deoxyribonucleic acid binding and photocleavage studies of rhenium(I) dipyridophenazine complexes. J. Chem. Soc., Dalton Trans 1997, 2067–2081. [Google Scholar]
- Ren, J.; Chaires, J.B. Sequence and structural selectivity of nucleic acid binding ligands. Biochemistry 1999, 38, 16067–16075. [Google Scholar]
- Barton, J.K.; Raphael, A.L. Photoactivated Stereospecific Cleavage of Double-Helical DNA by Cobalt(III) Complexes. J. Am. Chem. Soc 1984, 106, 2466–2468. [Google Scholar]
- Barton, J.K.; Raphael, A.L. Site-Specific Cleavage of Left-handed DNA in pBR322 by L-Co( DIP)33+. Proc. Natl. Acad. Sci. USA 1985, 6460–6471. [Google Scholar]
- Shields, T.P.; Barton, J.K. Sequence-selective DNA Recognition and Photocleavage: A Comparison of Enantiomers of Rh(en)2phi3+. Biochemistry 1995, 34, 15037–15048. [Google Scholar]
- Krotz, A.H.; Kuo, L.Y.; Shields, T.P.; Barton, J.K. DNA Recognition by Rhodium(III) Polyamine Intercalators: Considerations of Hydrogen Bonding and van der Waals Interactions. J. Am. Chem. Soc 1992, 115, 3877–3687. [Google Scholar]
- Sitlani, A.S.; Long, E.C.; Pyle, A.M.; Barton, J.K. DNA Photocleavage by Phenanthrenequinone Diimine Complexes of Rhodium(III): Shape-Selective Recognition and Reaction. J. Am. Chem. Soc 1992, 114, 2303–2313. [Google Scholar]
- Selvi, P.T.; Evans, H.S.; Palaniandavar, M. Interactions of polypyridyl cobalt complexes with DNA studied by rotating electrode methods. J. of Inorg. Biochem 2005, 99, 2110–2123. [Google Scholar]
- Chan, S.; Wong, W.T. Synthesis, structure and DNA-binding studies on the 2-(3-chlorophenyl)imidazo[4,5-f]1,10-phenanthroline-bis(2,2′-bipy ridine)-ruthenium(II) complex. Coord. Chem. Rev 1995, 138, 219–196. [Google Scholar]
- Pratviel, G.; Bernadou, J.; Meunier, B. DNA and RNA cleavage by metal complexes. Adv. Inorg. Chem 1998, 45, 251–312. [Google Scholar]
- Liang, F.; Wang, P.; Zhou, X.; Li, T.; Li, Z.Y.; Lin, H.K.; Gao, D.Z.; Zheng, C.Y.; Wu, C.T. Copper Complex of Hydroxyl-Substituted Triazamacrocyclic Ligand and Its Antitumor Activity. Bioorg. Med. Chem. Lett 2004, 14, 1901–1917. [Google Scholar]
- Wang, X.L.; Chao, H.; Li, H.; Hong, X.L.; Liu, Y.J.; Tan, L.F.; Ji, L.N. DNA interactions of cobalt(III) mixed-polypyridyl complexes containing asymmetric ligands. J. Inorg. Biochem 2004, 98, 1143–1193. [Google Scholar]
- Shimakoshi, H.; Kaieda, T.; Matsuo, T.; Sato, H.; Hisaeda, Y. Ability for DNA cleavage. Tetrahedron Lett 2003, 44, 5197–5199. [Google Scholar]
- Vaidyanathan, V.G.; Nair, B.U. Photooxidation of DNA by a cobalt( _ ) tridentate complex. J. Inorg. Biochem 2003, 94, 121–132. [Google Scholar]
- Zhang, Q.L.; Liu, J.H.; Ren, X.Z.; Xu, H.; Huang, Y.; Liu, J.Z.; Ji, L.N. A functionalized cobalt(III) mixed-polypyridyl complex as a newly designed DNA molecular light switch. J. Inorg. Biochem 2003, 95, 194–102. [Google Scholar]
- Jiao, K.; Wang, Q.X.; Sun, W.; Jian, F.F. Synthesis characterization and DNA-binding properties of a new cobalt(II) complex: Co(bbt)2Cl2. J. of Inorg. Biochem 2005, 99, 1369–3444. [Google Scholar]
- Necefoglu, H; Clegg, W.; Scott, A.J. Diaquabis(N,N-diethylnicotinamid)bis(4-nitrobenzoato) zinc(II). Acta Crystallgraphica Section E 2001, E57, m465–m466. [Google Scholar]
- Carter, M.T.; Rodriguez, M.; Bard, A.J. Tris-Chelated Complexes of Colbalt (III) and Iron (II) with 1, 10-Phenanthroline and 2,2′-Bipyridine. J. Am. Chem. Soc 1989, 111, 8901–8911. [Google Scholar]
- Sherman, S.E.; Gibson, D.; Wang, A.H.J.; Lippard, S.J. Lippard Crystal and molecular structure of cis-[Pt(NH3)2{d(pGpG)}], the principal adduct formed by cis-diamminedichloroplatinum(II) with DNA. J. Am. Chem. Soc 1988, 110, 7368–7381. [Google Scholar]
- Pyle, A.M.; Rehmann, J.P.; Meshoyrer, R.; Kumar, C.V.; Turro, N.J.; Barton, J.K. Mixed-Ligand Complexes of Ruthenium(II): Factors Governing Binding to DNA. J. Am. Chem. Soc. 1989, 111, 3051–3063. [Google Scholar]
- Tang, M.X.; Szoka, F.C. The influence of polymer structure on the interactions of cationic polymers with DNA and morphology of the resulting complexes. Gene Ther 1997, 4, 823–832. [Google Scholar]
- Bronich, T.K.; Nguyen, H.K.; Eisenberg, A.; Kabanov, A.V. Recognition of DNA Topology in Reactions between Plasmid DNA and Cationic Copolymers. J. Am. Chem. Soc 2000, 122, 8339–8343. [Google Scholar]
- Vinogradov, S.V.; Bronich, T.K.; Kabonov, A.V. The linear biodegradable cationic copolymer of claim wherein the PEI has an average. Bioconjugate Chem 1998, 9, 805–812. [Google Scholar]
- Annaraj, J.; Srinivasan, S.; Ponvel, K.M.; Athappan, P.R. Athappan, The mode of binding of copper(II) mixed ligand complexes of phen/bpy. J. Inorg. Biochem 2005, 99, 669–745. [Google Scholar]
- Arslantas, A.; Devrim, A.K.; Kaya, N.; Necefoglu, H. Studies on the Interaction between Zinc-Hydroxybenzoite Complex and Genomic DNA. Int. J. Mol. Sci 2006, 7, 111–118. [Google Scholar]
© 2007 by MDPI Reproduction is permitted for noncommercial purposes.
Share and Cite
Arslantas, A.; Devrim, A.K.; Necefoglu, H. The Interaction of Sheep Genomic DNA with a Cobalt(II) Complex Containing p-Nitrobenzoate and N,N`-Diethylnicotinamide Ligands. Int. J. Mol. Sci. 2007, 8, 1225-1233. https://doi.org/10.3390/i8121233
Arslantas A, Devrim AK, Necefoglu H. The Interaction of Sheep Genomic DNA with a Cobalt(II) Complex Containing p-Nitrobenzoate and N,N`-Diethylnicotinamide Ligands. International Journal of Molecular Sciences. 2007; 8(12):1225-1233. https://doi.org/10.3390/i8121233
Chicago/Turabian StyleArslantas, Ali, A. Kadir Devrim, and Hacali Necefoglu. 2007. "The Interaction of Sheep Genomic DNA with a Cobalt(II) Complex Containing p-Nitrobenzoate and N,N`-Diethylnicotinamide Ligands" International Journal of Molecular Sciences 8, no. 12: 1225-1233. https://doi.org/10.3390/i8121233
APA StyleArslantas, A., Devrim, A. K., & Necefoglu, H. (2007). The Interaction of Sheep Genomic DNA with a Cobalt(II) Complex Containing p-Nitrobenzoate and N,N`-Diethylnicotinamide Ligands. International Journal of Molecular Sciences, 8(12), 1225-1233. https://doi.org/10.3390/i8121233
