Next Article in Journal
Theoretical Calculation of Absolute Radii of Atoms and Ions. Part 1. The Atomic Radii
Previous Article in Journal
Dynamical Effects in the Optical Response of Carbon Chains
 
 
Font Type:
Arial Georgia Verdana
Font Size:
Aa Aa Aa
Line Spacing:
Column Width:
Background:
Article

Conservation Equations for Chemical Elements in Fluids with Chemical Reactions

Department of Physics, Universidad Aut´onoma Metropolitana, Iztapalapa,P.O. Box 55-534, D.F., 09340, Mexico
*
Author to whom correspondence should be addressed.
Int. J. Mol. Sci. 2002, 3(2), 76-86; https://doi.org/10.3390/i3020076
Submission received: 22 March 2001 / Accepted: 30 November 2001 / Published: 28 February 2002

Abstract

:
It is well known that when chemical reactions occur, the masses of the participating molecules are not conserved, whereas the masses of the nuclei of the chemical elements constituting these same molecules, are conserved. Within the context of non-equilibrium thermodynamics, the first fact is expressed by the differential balance equations, for the densities of the chemically reacting molecules, having a non zero source term. At the same time the conserved quantities like the total mass, charge and energy obey differential conservation equations, i.e with zero source term. In this paper, we show that in fluids with chemical reactions occurring in them, there are additional conserved quantities, namely densities associated to the fact that the masses of the chemical elements are conserved. The corresponding differential conservation equations are derived. The found out conserved densities, one for each involved chemical element are shown to be linear combinations of the densities of those reacting molecules containing the element, weighted with the number of atoms of the element in the species. It is shown that in order to find the conserved densities, it is not necessary to know explicitly the reactions taking place. Some examples are provided.

1. Introduction

It is common knowledge that the law of conservation of mass holds when chemical reactions occur. It is also well known that the identity of the atomic nuclei does not change, when, in the occurrence of a chemical reaction, they pass from one molecule or ion to another. Due to this last fact, the conservation law of mass can be expressed as algebraic conservation equations of the numbers of nuclei of each chemical element. These equations are the basis for the algebraic balancing of chemical reactions.
The algebraic method has been the source of an abundant literature since the pioneering work by Porges [1] and Standen [2]; the interested reader can find more information on the method itself and its applications in [3,4,5,6,7,8].
On the other hand the differential conservation equations of non-equilibrium thermodynamics for elements when chemical reactions occur in a fluid, have not been shown in the literature, neither the explicit form of the densities that obey such equations.
In the present paper we obtain these last equations and identify explicitly the additional con-served quantities associated to the conservation of every chemical element involved in a chemical reaction.
With respect to the total electric charge, it is also conserved when a chemical reaction takes place, and its conservation can also be expressed as an algebraic conservation equation for the charge in each reacting ion. But again, the associated conserved density, within the context of non-equilibrium thermodynamics has not been shown in the literature. We also show in this paper the associated differential conservation equation and the corresponding additional conserved density.
In a first section we review the notion of balance and conservation equations [5,9,10,11,12] in order to establish the language and make this paper self consistent. In a second section we present the general expression of the algebraic equations which embody the conservation of atoms and electric charge and their corresponding matrix [3,4,5,6,7,8,13], with whose help, we obtain the sought for conservation equations of the elements and of the electric charge and identify the associated densities and their diffusive flows.

2. The Conservation Equation

Let us consider a fluid formed by c components in which one chemical reaction is taking place, and let us consider in it the quantity Y expressed with the volume integral,
where ρ is the total mass density, y is Y per unit mass, and whose density is
ρy .
The quantity Y can only change inside a given fixed volume V either because a flow of Y passes through the surface S of the volume or because Y is produced or consumed inside the volume. Thus the quantity Y obeys the balance equation [5,9,10,11,12],
Where Jy is the flux or current density of Y per unit area and unit time, integrated over the area enclosing the volume V and φy is the production of Y per unit volume and unit time inside V . Its corresponding differential form is the following one:
Whether the quantity Y is conserved or not, determines if the source φy is to be zero or not and viceversa. Thus, when the quantity Y is conserved, its density obeys the equation:
The continuity equation, expression of the conservation of the total mass is the particular case of Eq.(2.3), when y = 1, with
Jy = ρv ,
namely:
where v is the hydrodynamic velocity.
With the help of the continuity equation, Eq. (2.3) is transformed into,
where is the substantial derivative defined by the operator
Equation (2.5) shows the quantity ρyv known as the convective flux of Y ; in the case of the total mass, all its flux is convective.
In the next section we obtain the explicit equations in the forms (2.3) and (2.5) due to the fact that the atoms and the electric charge are conserved in a chemical reaction and in them we identify which the conserved densities are.
The chemical reaction in which |ν1| molecules of formula 1 react with |ν2| molecules of formula 2, with ..., and with |νz| molecules of formula z to yield as products |νz+1| molecules of formula z+1, ..., and |νc| molecules of formula c is written as
Here the |νi| are the magnitudes of the stoichiometric coefficients νi of the species i; it is common practice to choose the νi, for the molecules appearing in the left-hand side of Eq.(2.6), as negative integers, while for those species in the right-hand side, as positive integers; in either case their magnitudes are the smallest integers without a common factor.
While the total mass is conserved in a chemical reaction, the masses of the individual molecules are not conserved; in the differential of time dt the reaction produces a change dmi in the mass of the i-th molecule. Let us express the rate of production of mass of the molecule i-th in the fixed volume V as the volume integral of the time rate of change of the degree of advancement per unit volume and unit time χ [10,11,12]:
here Mi represents the molar mass of the i-th molecule; then, for the density of the i-th species ρi, we have that[10,11,12]:
where vi is the velocity of species i, ρi its density and where, as in Eq.(2.2), there is a source term indicating that the density ρi can be increased or diminished because of the reaction, its sign given by its coefficient νi.
The differential form of Eq.(2.8) is:
where for convenience we have used the mass fractions ci defined as:
which obey
Equations (2.9) will be the starting point to obtain, in the next section, the conservation equations associated to the conservation of chemical elements and electric charge in chemical reactions.

3. The Atom’s Conservation Equations

The algebraic equations that express the conservation of the total number of atoms in chemical reactions among c molecules are the following ones [3,4,5,6,13]:
where the entries of the matrix Aji represent the number of atoms of type j in the molecule i, they are therefore positive integers. Equations (3.1) embody the algebraic method of balancing chemical equations; in them, the νi are the unknowns and when solved, they yield the balanced chemical equation. Notice that there is no need to specify beforehand the chemical reaction occurring among the molecules, it is enough to know their composition i.e., the entries of the atoms-molecule matrix Aji; once equations (3.1) are solved, the signs of the νi tell us which side of the chemical reaction the corresponding molecule belongs to, all the positive ones belong to molecules going to one side of the equation and all the others to species going to the other side. In the case where ions react, the conservation of the total charge can be included in the set (3.1) by adding one more row in which the Aji representing the charge number of the corresponding ion can be positive, negative or zero[13].
To deduce the new conservation equations, let us multiply Eq.(2.9) by
and let us sum over all the i species; the result,
> thanks to Eq.(3.1), becomes the conservation equation for atom j:
Comparison of this conservation equation with Eq.(2.3) allows us the identification of the specific quantity y, in the present case,
and of its total flux (density times the velocity of species i):
In fact, the quantity
represents the molar density of atoms j. A look to the integral form of Eq.(3.2) namely,
inmediately reveals that inside any fixed volume V the molar density of atoms j is conserved since it can only change because of their flux through the surface S spanning the volume V .
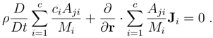
Upon rewriting Eq.(3.2) in the form (2.5) we obtain:
where we identify the convective flux as:
The quantity that is conserved when a chemical reaction takes place in the fluid is therefore:
Thus one can plainly see that although the individual masses of the reacting species are not conserved, Eq.(2.9), nevertheless linear combinations of them are indeed conserved, Eq.(3.2), one for every involved element.
Taking advantage that the molar density of a species 𝒩i is given by
the quantity that is conserved, one for every chemical element, is none other then a linear combi-nation of the molar densities of the species containing the element, weighted by the entries of the atom-molecule matrix Aji:
Coming back to Eq.(3.5), notice from the argument of the divergence operator, that the diffusive flow of atoms of element j is given by a linear combination of the diffusive flows of the molecules Ji containing the element, weighted by the entries of the matrix Aij /Mi, in fact, Eq.(3.5) can be written as:
As a first example, let us consider the mixture formed by the following molecules: N2, i = 1; NH3, i = 2 and H2, i = 3; and let us assign to the element nitrogen j = 1, and to element hydrogen j = 2. The matrix in the set of equations (3.1) is the following one:
Thus, in a fluid with a chemical reaction occurring among the molecules, reading from matrix Aji (3.10), there are, additional conserved quantities: because nitrogen is conserved
and because hydrogen is conserved
The diffusive flows of atoms are given, according to Eq.(3.9), by
for nitrogen and
for hydrogen.
The diffusive flows of atoms are seen to be independent upon recalling that the diffusive flows of molecules obey,
from where anyone of the flows of molecules in (3.13) and (3.14) can be eliminated in favor of the remaining ones.
Let us consider now the mixture formed by the following ions and molecules: NO 2 , i = 1; NO, i = 2; H+, i = 3; NO 3 , i = 4 and H2O, i = 5. Let us assign the index j as 1 to nitro-gen, 2 to oxygen, 3 to hydrogen and 4 to the charge. In this case the matrix of equations(3.1) becomes:
If a chemical equation is taking place in the fluid, the following three linear combinations of molar densities are conserved because of the conservation of nitrogen, oxygen and hydrogen:
and
respectively. The corresponding diffusive flows are found in the same way as before. Due to the conservation of electric charge, we find from the last row in the matrix Aji that the following linear combination is an additional conserved quantity:
the corresponding diffusive flow of charge being given by
Notice that in order to find the conserved quantities, it is not necessary to know which is the balanced chemical reaction that is actualy taking place, it is enough to know the composition of the components of the reacting mixture, and from it, the entries Aji.
In the case of two or more independent reactions present in the mixture, a case that happens when the number of chemical elements (rows) j, is less than the number of species (columns) i, by two or more, Eq.(3.1) holds for every reaction namely,
where the superindex l denotes the reaction number. This carries over to Eq.(2.9) which becomes modified on its right-hand side as follows:
here χl is the degree of advancement per unit volume and unit time in the l reaction.
When subjected to multiplication by and subsequent sum over all the species as before, because of Eq.(3.1) we obtain again a zero in the right-hand side of Eq.(3.21), i.e., we recover Eq.(3.2). Therefore, Eq.(3.2) also applies for every element in the case of several reactions; in consequence, it does not matter how many the reactions are, provided that one knows the matrix Aji.
We finish this paper by presenting an example of a mixture in which there are two independent chemical equations. Consider the mixture formed by the molecules: KMnO4, i = 1; H2SO4, i = 2; H2O2, i = 3; K2SO4, i = 4; MNSO4, i = 5; H2O, i = 6; O2, i = 7. Upon tagging the elements as follows, K, j = 1; Mn, j = 2; O, j = 3; H, j = 4 and S, j = 5, the following system of algebraic equations is obtained:
From the entries of the atom-molecule matrix Aji we find, associated to the conservation of each of the elements K, Mn, O, H and S, the following conserved quantities: because conservation of potassium atoms:
because conservation of manganese atoms:
because conservation of oxygen atoms:
because of conservation of hydrogen atoms:
and because of conservation of sulphur atoms:
These masses are conserved whatever the independent chemical equations one might found with the algebraic method and whatever the chemical reactions are actually taking place among the components of the given mixture in the fluid. As for the diffusive flows of atoms, they are found as before.
Notice finally that in the example at hand[14], the solution of Eqs.(3.22) yields the following particular independent reactions:
which involves ν3, ν6, ν7, and
which involves ν1, ν2, ν6, ν4, ν5, ν3. Any chemical reaction presented to be balanced among the componentes of the given mixture is a linear combination of these two given reactions as mathe-matics tells us. However, in order to find the conserved quantities the specification of the reactions is unnecessary. Notice that that the coefficients νi of both the above found chemical equations satisfy Eqs.(3.22) with the same matrix Aji.

References

  1. Porges, A. A Question of Balancing. J. Chem. Educ. 1945, 22, 266–267. [Google Scholar] [CrossRef]
  2. Standen, A. Some Simple Balancing. J. Chem. Educ. 1945, 22, 461–462. [Google Scholar] [CrossRef]
  3. Alberty, R.A. Chemical Equations are Actually Matrix Equations. J. Chem. Educ. 1991, 68, 984. [Google Scholar] [CrossRef]
  4. Blakley, G.R. Chemical Equation balancing. J. Chem. Educ. 1982, 59(9), 728–734. [Google Scholar] [CrossRef]
  5. Aris, R. Vectors, Tensors and the Basic Equations of Fluid Mechanics; Dover Publications, Inc.: New York, 1989; pp. 245–249. [Google Scholar]
  6. Smith, W.R.; Missen, R.W. Chemical Reactions Equilibrium Analysis; John Wiley: New York, 1982. [Google Scholar]
  7. Bulpin, J.; Mo, N. Altering the Balance. Educ. Chem. 1996, 33(5), 123. [Google Scholar]
  8. Cardinali, M.E.; Giomini, C.; Marrosu, G. Equations in the Balance. Educ. Chem. 1996, 33(2), 51–52. [Google Scholar]
  9. Landau, L.D.; Lifshitz, E.M. Fluid Mechanics; Pergamon Press Ltd.: London, 1959; pp. 219–220. [Google Scholar]
  10. de Groot, S.R.; Mazur, P. Non-equilibrium Thermodynamics; North-Holland Pub. Co.: Am-sterdam, 1969; pp. pp 11–14, pp 198–199. [Google Scholar]
  11. Prigogine, I. Introduction to Thermodynamics of Irreversible Processes; Interscience Pub-lishers: New York, 1967; pp. 4–6. [Google Scholar]
  12. Gyarmati, I. Non-equilibrium Thermodynamics; Springer-Verlag: Berlin, 1970; pp. 17–31. [Google Scholar]
  13. Pin˜a, E.; de la Selva, S.M.T. (to be published).
  14. Partington, J.R. Textbook of Inorganic Chemistry; The Macmillan & Co. Ltd.: London, 1970; p. 909. [Google Scholar]

Share and Cite

MDPI and ACS Style

Piña, E.; De la Selva, S.M.T. Conservation Equations for Chemical Elements in Fluids with Chemical Reactions. Int. J. Mol. Sci. 2002, 3, 76-86. https://doi.org/10.3390/i3020076

AMA Style

Piña E, De la Selva SMT. Conservation Equations for Chemical Elements in Fluids with Chemical Reactions. International Journal of Molecular Sciences. 2002; 3(2):76-86. https://doi.org/10.3390/i3020076

Chicago/Turabian Style

Piña, E., and S.M.T. De la Selva. 2002. "Conservation Equations for Chemical Elements in Fluids with Chemical Reactions" International Journal of Molecular Sciences 3, no. 2: 76-86. https://doi.org/10.3390/i3020076

APA Style

Piña, E., & De la Selva, S. M. T. (2002). Conservation Equations for Chemical Elements in Fluids with Chemical Reactions. International Journal of Molecular Sciences, 3(2), 76-86. https://doi.org/10.3390/i3020076

Article Metrics

Back to TopTop