Characterization of a Collection of Natural Oleogenic Yeasts to Identify Promising Producers of Food Oil Analogues
Abstract
1. Introduction
2. Results
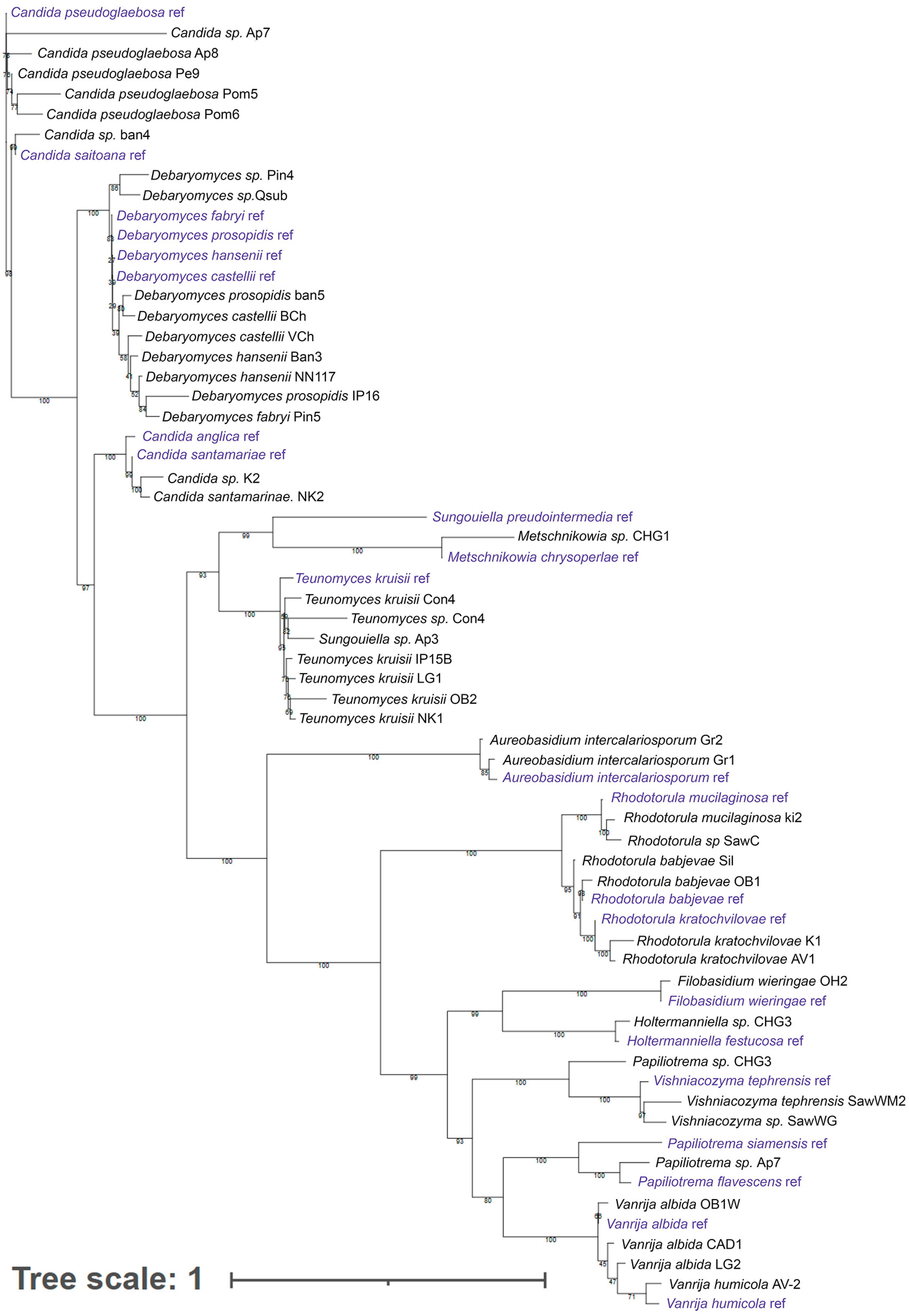
2.1. Identification of Isolates in Yeast Collection
2.2. Physiological Characteristics for Oleogenic Strains
2.3. Characterization of Growth and Fatty Acid Profile of Oleogenic Strains on Media with Glucose as a Carbon Source
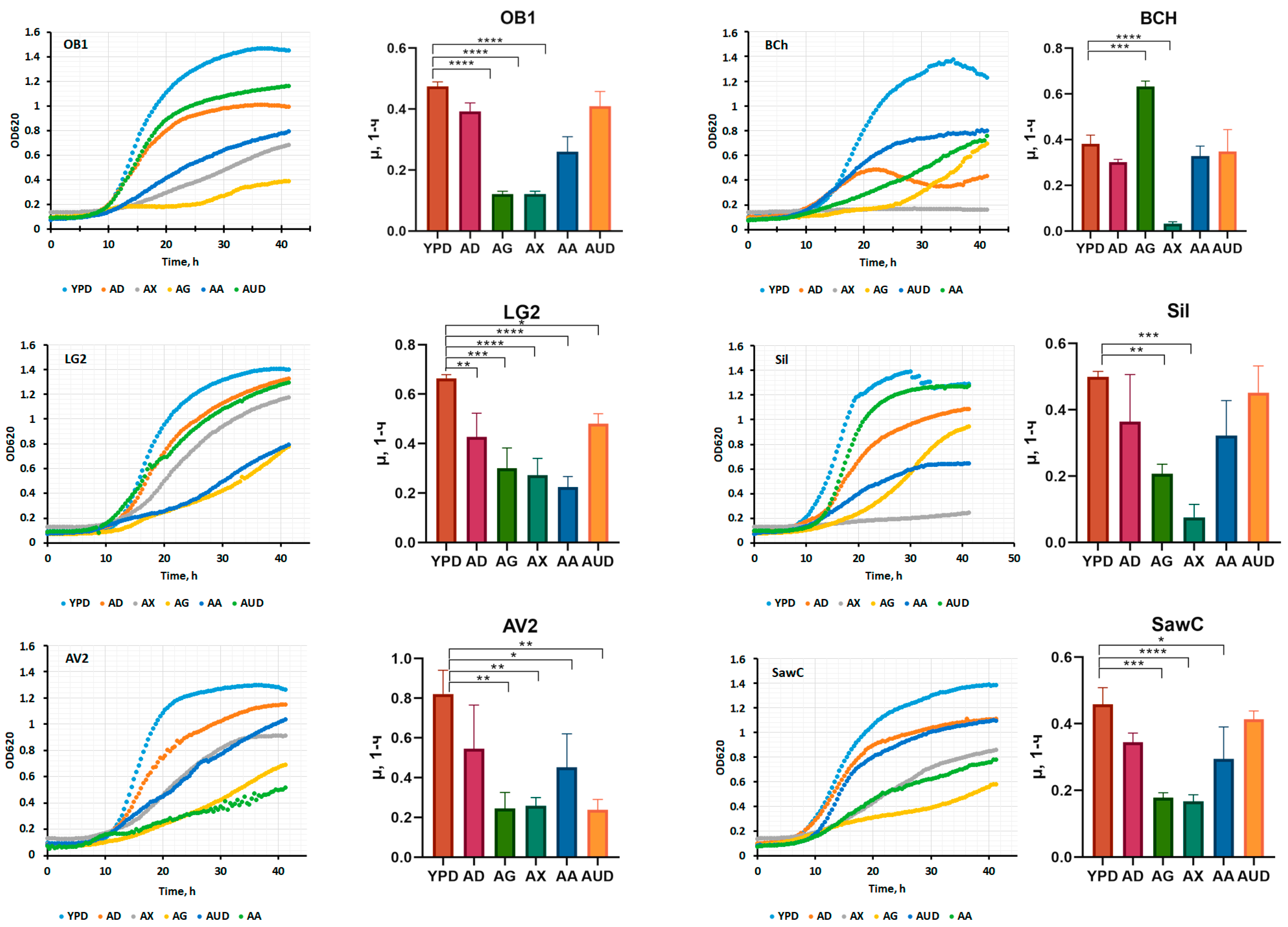
2.4. Characterization of Growth and Fatty Acid Profile of Oleogenic Strains on Alternative Carbon Sources
2.5. Lipidome Analysis of Oleogenic Strains Grown on Different Carbon Sources
2.6. Comparison of the Percentage Content of Fatty Acids in Common Vegetable Oils with That in Promising Strains of Oleogenic Yeast Under Study
3. Discussion
4. Materials and Methods
4.1. Sources of Oleogenic Strains, Isolation, and Cultivation
4.2. Physiological Test of Yeasts: Determination of the Ability to Grow on Different Carbon Sources, Growth Curves, and Biomass Accumulation
4.3. Determination of the Lipid Content of Yeast Strains
4.4. Gravimetric Determination of the Mass Fraction of Lipids
4.5. Determination of Fatty Acid Profile Using GC-MS
4.6. Yeast Taxonomic Identification by MALDI-TOF Mass Spectrometry Analysis and ITS Site Sequencing
4.7. Panoramic Lipid Analysis Using LC-MS
5. Conclusions
Supplementary Materials
Author Contributions
Funding
Institutional Review Board Statement
Informed Consent Statement
Data Availability Statement
Acknowledgments
Conflicts of Interest
Abbreviations
| DG | diacylglycerol |
| EtherPC | ether-linked phosphatidylcholine |
| ITS | Internal transcribed sequence |
| LPE | lysophosphatidylethanolamine |
| PC | phosphatidylcholine |
| PE | phosphatidylethanolamine |
| TG | triacylglycerols |
| SM | sphingomyelin |
References
- Ahmed, S.; Shah, P.; Ahmed, O. Biochemistry, Lipids. In StatPearls; StatPearls Publishing: Treasure Island, FL, USA, 2025. [Google Scholar]
- Gupta, G.; Singh, P. Oils and Fats in the Food Industry. In Oils and Fats as Raw Materials for Industry; Wiley: Hoboken, NJ, USA, 2024; pp. 85–116. [Google Scholar]
- Fabiszewska, A.; Białecka-Florjańczyk, E. Factors influencing synthesis of extracellular lipases by Yarrowia lipolytica in medium containing vegetable oils. J. Microbiol. Biotechnol. Food Sci. 2015, 4, 231–237. [Google Scholar] [CrossRef]
- Cooking Oil Market Size, Share, Trends and Forecast by Type, Distribution Channel, End User, and Region, 2025–2033. Available online: https://www.imarcgroup.com/cooking-oil-market (accessed on 3 November 2025).
- Khatri, P.; Jain, S. Environmental life cycle assessment of edible oils: A review of current knowledge and future research challenges. J. Clean. Prod. 2017, 152, 63–76. [Google Scholar] [CrossRef]
- Gilbert, C.L.; Morgan, C.W. Food price volatility. Philos. Trans. R. Soc. Lond. B Biol. Sci. 2010, 365, 3023–3034. [Google Scholar] [CrossRef]
- Jatoi, W.N.; Mubeen, M.; Hashmi, M.Z.; Ali, S.; Fahad, S.; Mahmood, K. (Eds.) Climate Change Impacts on Agriculture: Concepts, Issues and Policies for Developing Countries; Springer: Cham, Switzerland, 2023; 416p. [Google Scholar]
- Alam, A.; Rukhsana. Climate Change, Agriculture and Society: Approaches Toward Sustainability; Springer: Berlin/Heidelberg, Germany, 2023. [Google Scholar]
- Daoust, L. Climate change and nutritional adequacy. Nat. Food 2024, 5, 6. [Google Scholar] [CrossRef] [PubMed]
- Intergovernmental Panel on Climate Change. Climate Change 2021—The Physical Science Basis: Working Group I Contribution to the Sixth Assessment Report of the Intergovernmental Panel on Climate Change; Cambridge University Press: Cambridge, UK, 2023. [Google Scholar]
- Chiriaco, M.V.; Galli, N.; Latella, M.; Rulli, M.C. Pressure on Global Forests: Implications of Rising Vegetable Oils Consumption Under the EAT-Lancet Diet. Glob. Change Biol. 2025, 31, e70077. [Google Scholar] [CrossRef]
- Popoola, C.; Jibatswen, T. Non-edible vegetable oils as bio-lubricant basestocks: A review. Open Access Res. J. Eng. Technol. 2024, 6, 80–86. [Google Scholar] [CrossRef]
- Weiss, J.; Mannweiler, S.; Salminen, H. Precision Processing for Value-Added Fats and Oils. Annu. Rev. Food Sci. Technol. 2025, 16, 39–61. [Google Scholar] [CrossRef]
- Karamerou, E.E.; Parsons, S.; McManus, M.C.; Chuck, C.J. Using techno-economic modelling to determine the minimum cost possible for a microbial palm oil substitute. Biotechnol. Biofuels 2021, 14, 57. [Google Scholar] [CrossRef]
- Joshi, H.C.; Biswas, S.; Karanwal, A. Potential of Oleaginous Microbes for Lipid Production: Advances, Challenges, and Prospects for Sustainable Bioenergy. ChemistrySelect 2025, 10, e03540. [Google Scholar] [CrossRef]
- Zhang, X.Y.; Li, B.; Huang, B.C.; Wang, F.B.; Zhang, Y.Q.; Zhao, S.G.; Li, M.; Wang, H.Y.; Yu, X.J.; Liu, X.Y.; et al. Production, Biosynthesis, and Commercial Applications of Fatty Acids from Oleaginous Fungi. Front. Nutr. 2022, 9, 873657. [Google Scholar] [CrossRef] [PubMed]
- Gao, L.; Qin, Y.; Zhou, X.; Jin, W.; He, Z.; Li, X.; Wang, Q. Microalgae as future food: Rich nutrients, safety, production costs and environmental effects. Sci. Total Environ. 2024, 927, 172167. [Google Scholar]
- Patnaik, S.; Saravanabhupathy, S.; Singh, S.; Daverey, A.; Dutta, K. Multi-objective optimization for biomass and lipid production by oleaginous bacteria using vegetable waste as feedstock. Environ. Eng. Res. 2022, 27, 210061. [Google Scholar] [CrossRef]
- Wang, G.Y.; Chi, Z.; Song, B.; Wang, Z.P.; Chi, Z.M. High level lipid production by a novel inulinase-producing yeast Pichia guilliermondii Pcla22. Bioresour. Technol. 2012, 124, 77–82. [Google Scholar] [CrossRef]
- Wang, K.; Shi, T.Q.; Wang, J.; Wei, P.; Ledesma-Amaro, R.; Ji, X.J. Engineering the Lipid and Fatty Acid Metabolism in Yarrowia lipolytica for Sustainable Production of High Oleic Oils. ACS Synth. Biol. 2022, 11, 1542–1554. [Google Scholar] [CrossRef]
- Xin, Y.; Wu, S.; Miao, C.; Xu, T.; Lu, Y. Towards Lipid from Microalgae: Products, Biosynthesis, and Genetic Engineering. Life 2024, 14, 447. [Google Scholar] [CrossRef] [PubMed]
- Santin, A.; Balzano, S.; Russo, M.T.; Palma Esposito, F.; Ferrante, M.I.; Blasio, M.; Cavalletti, E.; Sardo, A. Microalgae-Based PUFAs for Food and Feed: Current Applications, Future Possibilities, and Constraints. J. Mar. Sci. Eng. 2022, 10, 844. [Google Scholar] [CrossRef]
- Arous, F.; Atitallah, I.B.; Nasri, M.; Mechichi, T. A sustainable use of low-cost raw substrates for biodiesel production by the oleaginous yeast Wickerhamomyces anomalus. 3 Biotech 2017, 7, 268. [Google Scholar] [CrossRef] [PubMed]
- Beopoulos, A.; Nicau, J.-M. Yeast: A new oil producer? OCL 2012, 19, 22–28. [Google Scholar]
- Banerjee, S.; Singh, V. Economic and environmental bottlenecks in the industrial-scale production of lipid-derived biofuels from oleaginous yeasts: A review of the current trends and future prospects. GCB Bioenergy 2024, 16, e13173. [Google Scholar] [CrossRef]
- Lyu, Q.; Dar, R.A.; Baganz, F.; Smoliński, A.; Rasmey, A.-H.M.; Liu, R.; Zhang, L. Effects of Lignocellulosic Biomass-Derived Hydrolysate Inhibitors on Cell Growth and Lipid Production During Microbial Fermentation of Oleaginous Microorganisms—A Review. Fermentation 2025, 11, 121. [Google Scholar]
- Robles-Iglesias, R.; Naveira-Pazos, C.; Fernández Blanco, C.; Veiga, M.; Kennes, C. Factors affecting the optimisation and scale-up of lipid accumulation in oleaginous yeasts for sustainable biofuels production. Renew. Sustain. Energy Rev. 2023, 171, 113043. [Google Scholar] [CrossRef]
- Garay, L.A.; Sitepu, I.R.; Cajka, T.; Chandra, I.; Shi, S.; Lin, T.; German, J.B.; Fiehn, O.; Boundy-Mills, K.L. Eighteen new oleaginous yeast species. J. Ind. Microbiol. Biotechnol. 2016, 43, 887–900. [Google Scholar] [CrossRef]
- Abeln, F.; Chuck, C.J. The history, state of the art and future prospects for oleaginous yeast research. Microb. Cell Fact. 2021, 20, 221. [Google Scholar] [CrossRef]
- Ratledge, C. Microorganisms for lipids. Acta Biotechnol. 1991, 11, 429–438. [Google Scholar] [CrossRef]
- Papanikolaou, S.; Aggelis, G. Yarrowia lipolytica: A model microorganism used for the production of tailor-made lipids. Eur. J. Lipid Sci. Technol. 2010, 112, 639–654. [Google Scholar] [CrossRef]
- Bhutada, G.; Menard, G.; Bhunia, R.K.; Hapeta, P.P.; Ledesma-Amaro, R.; Eastmond, P.J. Production of human milk fat substitute by engineered strains of Yarrowia lipolytica. Metab. Eng. Commun. 2022, 14, e00192. [Google Scholar] [CrossRef]
- Liu, M.; Zhang, J.; Ye, J.; Qi, Q.; Hou, J. Morphological and Metabolic Engineering of Yarrowia lipolytica to Increase beta-Carotene Production. ACS Synth. Biol. 2021, 10, 3551–3560. [Google Scholar] [CrossRef] [PubMed]
- Xue, Z.; Sharpe, P.L.; Hong, S.P.; Yadav, N.S.; Xie, D.; Short, D.R.; Damude, H.G.; Rupert, R.A.; Seip, J.E.; Wang, J.; et al. Production of omega-3 eicosapentaenoic acid by metabolic engineering of Yarrowia lipolytica. Nat. Biotechnol. 2013, 31, 734–740. [Google Scholar] [CrossRef]
- Costa, G.d.S.; Martinez-Burgos, W.J.; dos Reis, G.A.; Puche, Y.P.; Vega, F.R.; Rodrigues, C.; Serra, J.L.; Campos, S.d.M.; Soccol, C.R. Advances in Biomass and Microbial Lipids Production: Trends and Prospects. Processes 2024, 12, 2903. [Google Scholar] [CrossRef]
- Lee, S.Y.; Kim, H.U. Systems strategies for developing industrial microbial strains. Nat. Biotechnol. 2015, 33, 1061–1072. [Google Scholar] [CrossRef]
- Grandhay, C.; Pretot, E.; Klaba, V.; Celle, H.; Normand, A.C.; Bertrand, X.; Grenouillet, F. Yeast Biodiversity of Karst Waters: Interest of Four Culture Media and an Improved MALDI-TOF MS Database. Microb. Ecol. 2024, 87, 26. [Google Scholar] [CrossRef]
- Agustini, B.C.; Silva, L.P.; Bloch, C., Jr.; Bonfim, T.M.; da Silva, G.A. Evaluation of MALDI-TOF mass spectrometry for identification of environmental yeasts and development of supplementary database. Appl. Microbiol. Biotechnol. 2014, 98, 5645–5654. [Google Scholar] [CrossRef]
- Boyaci Gunduz, C.P.; Agirman, B.; Erten, H. Identification of yeasts in fermented foods and beverages using MALDI-TOF MS. FEMS Yeast Res. 2022, 22, foac056. [Google Scholar] [CrossRef] [PubMed]
- Menefee, A.L.; Zeczycki, T.N. Nearly 50 years in the making: Defining the catalytic mechanism of the multifunctional enzyme, pyruvate carboxylase. FEBS J. 2014, 281, 1333–1354. [Google Scholar] [CrossRef]
- Tommasi, I.C. The Biochemistry of Artificial CO2-Fixation Pathways: The Exploitation of Carboxylase Enzymes Alternative to Rubisco. Catalysts 2024, 14, 679. [Google Scholar] [CrossRef]
- de Mot, R.; Andries, K.; Verachtert, H. Comparative Study of Starch Degradation and Amylase Production by Ascomycetous Yeast Species. Syst. Appl. Microbiol. 1984, 5, 106–118. [Google Scholar] [CrossRef]
- Alonso, S.; Arevalo-Villena, M.; Ubeda, J.; Briones, A. Study of starch degradation by yeasts during fermentation for using in animal feed. Appl. Biochem. Biotechnol. 2010, 162, 2058–2066. [Google Scholar] [CrossRef] [PubMed]
- Kot, A.M.; Blazejak, S.; Kurcz, A.; Gientka, I.; Kieliszek, M. Rhodotorula glutinis-potential source of lipids, carotenoids, and enzymes for use in industries. Appl. Microbiol. Biotechnol. 2016, 100, 6103–6117. [Google Scholar] [CrossRef] [PubMed]
- Kolouchova, I.; Matatkova, O.; Sigler, K.; Masak, J.; Rezanka, T. Production of Palmitoleic and Linoleic Acid in Oleaginous and Nonoleaginous Yeast Biomass. Int. J. Anal. Chem. 2016, 2016, 7583684. [Google Scholar] [CrossRef]
- Awad, D.; Bohnen, F.; Mehlmer, N.; Brueck, T. Multi-Factorial-Guided Media Optimization for Enhanced Biomass and Lipid Formation by the Oleaginous Yeast Cutaneotrichosporon oleaginosus. Front. Bioeng. Biotechnol. 2019, 7, 54. [Google Scholar] [CrossRef]
- Nag, M.; Pallavi, J.; Chakraborty, S.; Roychoudhury, T.; Mondal, S.; Ghosh, A.; Saha, C.; Banerjee, M.; Seal, A. Bacterial endosymbionts of a nitrogen-fixing yeast Rhodotorula mucilaginosa JGTA-S1—Insights into a yet unknown micro-ecosystem. Mol. Omics 2024, 20, 630–641. [Google Scholar] [CrossRef]
- Pomraning, K.; Deng, S.; Duong, R.; Czajka, J.; Bohutskyi, P. Identification of Yarrowia lipolytica as a platform for designed consortia that incorporate in situ nitrogen fixation to enable ammonia-free bioconversion. Front. Ind. Microbiol. 2024, 2, 1473316. [Google Scholar] [CrossRef]
- Godard, P.; Urrestarazu, A.; Vissers, S.; Kontos, K.; Bontempi, G.; van Helden, J.; Andre, B. Effect of 21 different nitrogen sources on global gene expression in the yeast Saccharomyces cerevisiae. Mol. Cell Biol. 2007, 27, 3065–3086. [Google Scholar] [CrossRef] [PubMed]
- Watsuntorn, W.; Chuengcharoenphanich, N.; Srimongkol, P.; Alagappan, R.P.; James, A.; Rene, E.R.; Chulalaksananukul, W. Optimizing lipid production in oleaginous yeasts for sustainable bioenergy: A review of process parameters, cultivation strategies, and machine learning integration. Biomass Bioenergy 2025, 197, 107810. [Google Scholar] [CrossRef]
- Mordenti, A.L.; Giaretta, E.; Campidonico, L.; Parazza, P.; Formigoni, A. A Review Regarding the Use of Molasses in Animal Nutrition. Animals 2021, 11, 115. [Google Scholar] [CrossRef] [PubMed]
- Griac, P.; Swede, M.J.; Henry, S.A. The role of phosphatidylcholine biosynthesis in the regulation of the INO1 gene of yeast. J. Biol. Chem. 1996, 271, 25692–25698. [Google Scholar] [CrossRef]
- Mancini, A.; Imperlini, E.; Nigro, E.; Montagnese, C.; Daniele, A.; Orru, S.; Buono, P. Biological and Nutritional Properties of Palm Oil and Palmitic Acid: Effects on Health. Molecules 2015, 20, 17339–17361. [Google Scholar] [CrossRef]
- Feng, Y.; Ding, Y.; Liu, J.; Tian, Y.; Yang, Y.; Guan, S.; Zhang, C. Effects of dietary omega-3/omega-6 fatty acid ratios on reproduction in the young breeder rooster. BMC Vet. Res. 2015, 11, 73. [Google Scholar] [CrossRef]
- Quispe-Sanchez, L.; Caetano, A.C.; Baca, D.; Oliva-Cruz, M.; Díaz-Valderrama, J.R.; Chavez, S.G. Fatty acid profile and rheological properties of cocoa paste from north-eastern Peru. J. Food Compos. Anal. 2023, 123, 105580. [Google Scholar] [CrossRef]
- Salvador Lopez, J.M.; Vandeputte, M.; Van Bogaert, I.N.A. Oleaginous yeasts: Time to rethink the definition? Yeast 2022, 39, 553–606. [Google Scholar] [CrossRef]
- Martinez, A.; Alvarez, A.; Arbildi, E.; Rocca, I.; Garmedia, G.; Tonani, F.L.; Pimenta, R.S.; Vero, S. Oleaginous yeasts from Brazilian Cerrado for sustainable biodiesel production using crude glycerol. Antonie Van Leeuwenhoek 2025, 118, 147. [Google Scholar] [CrossRef] [PubMed]
- Maina, S.; Pateraki, C.; Kopsahelis, N.; Paramithiotis, S.; Drosinos, E.H.; Papanikolaou, S.; Koutinas, A. Microbial oil production from various carbon sources by newly isolated oleaginous yeasts. Eng. Life Sci. 2017, 17, 333–344. [Google Scholar] [CrossRef] [PubMed]
- Osman, M.E.; Abdel-Razik, A.B.; Zaki, K.I.; Mamdouh, N.; El-Sayed, H. Isolation, molecular identification of lipid-producing Rhodotorula diobovata: Optimization of lipid accumulation for biodiesel production. J. Genet. Eng. Biotechnol. 2022, 20, 32. [Google Scholar] [CrossRef] [PubMed]
- Niehus, X.; Casas-Godoy, L.; Vargas-Sanchez, M.; Sandoval, G. A Fast and Simple Qualitative Method for Screening Oleaginous Yeasts on Agar. J. Lipids 2018, 2018, 5325804. [Google Scholar] [CrossRef]
- Gientka, I.; Kieliszek, M.; Jermacz, K.; Blazejak, S. Identification and Characterization of Oleaginous Yeast Isolated from Kefir and Its Ability to Accumulate Intracellular Fats in Deproteinated Potato Wastewater with Different Carbon Sources. Biomed. Res. Int. 2017, 2017, 6061042. [Google Scholar] [CrossRef]
- Lama, S.; Tamang, J.P. Isolation of Yeasts from Some Homemade Fermented Cow-Milk Products of Sikkim and Their Probiotic Characteristics. Fermentation 2022, 8, 664. [Google Scholar] [CrossRef]
- Roseira, J.P.S.; Pereira, O.G.; DA Silveira, T.C.; Pinho, R.M.A.; Cascardo, R.S.; DE Paula, R.A.; Zerbini, P.A.; Mantovani, H.C.; Alves, W.S.; Ribeiro, K.G. Isolation of lactic acid bacteria and quantification of Lentilactobacillus buchneri using qPCR in sorghum silage inoculated with native strains in tropical conditions. An. Acad. Bras. Cienc. 2025, 97, e20240783. [Google Scholar] [CrossRef]
- Quintilla, R.; Kolecka, A.; Casaregola, S.; Daniel, H.M.; Houbraken, J.; Kostrzewa, M.; Boekhout, T.; Groenewald, M. MALDI-TOF MS as a tool to identify foodborne yeasts and yeast-like fungi. Int. J. Food Microbiol. 2018, 266, 109–118. [Google Scholar]
- Carsanba, E.; Papanikolaou, S.; Fickers, P.; Erten, H. Lipids by Yarrowia lipolytica Strains Cultivated on Glucose in Batch Cultures. Microorganisms 2020, 8, 1054. [Google Scholar] [CrossRef]
- Liau, K.M.; Lee, Y.Y.; Chen, C.K.; Rasool, A.H. An open-label pilot study to assess the efficacy and safety of virgin coconut oil in reducing visceral adiposity. ISRN Pharmacol. 2011, 2011, 949686. [Google Scholar] [CrossRef]
- Chibor, B. Physicochemical Properties and Fatty Acid Profile of Shea Butter and Fluted Pumpkin Seed Oil, a Suitable Blend in Bakery Fat Production. Int. J. Nutr. Food Sci. 2017, 6, 122. [Google Scholar] [CrossRef]
- FoodData Central. Available online: https://fdc.nal.usda.gov/ (accessed on 3 November 2025).
- Shanklin, J.; Cahoon, E.B. Desaturation and Related Modifications of Fatty Acids1. Annu. Rev. Plant Physiol. Plant Mol. Biol. 1998, 49, 611–641. [Google Scholar] [CrossRef]
- Wongwathanarat, P.; Michaelson, L.V.; Carter, A.T.; Lazarus, C.M.; Griffiths, G.; Stobart, A.K.; Archer, D.B.; MacKenzie, D.A. Two fatty acid delta9-desaturase genes, ole1 and ole2, from Mortierella alpina complement the yeast ole1 mutation. Microbiology 1999, 145, 2939–2946. [Google Scholar] [CrossRef][Green Version]
- Kobalter, S.; Wriessnegger, T.; Pichler, H. Engineering yeast for tailored fatty acid profiles. Appl. Microbiol. Biotechnol. 2025, 109, 101. [Google Scholar] [CrossRef]
- Spasskaya, D.S.; Kotlov, M.I.; Lekanov, D.S.; Tutyaeva, V.V.; Snezhkina, A.V.; Kudryavtseva, A.V.; Karpov, V.L.; Karpov, D.S. CRISPR/Cas9-Mediated Genome Engineering Reveals the Contribution of the 26S Proteasome to the Extremophilic Nature of the Yeast Debaryomyces hansenii. ACS Synth. Biol. 2021, 10, 297–308. [Google Scholar] [CrossRef]
- Navarrete, C.; Estrada, M.; Martinez, J.L. Debaryomyces hansenii: An old acquaintance for a fresh start in the era of the green biotechnology. World J. Microbiol. Biotechnol. 2022, 38, 99. [Google Scholar] [CrossRef]
- Alhajouj, S.; Turkolmez, S.; Abalkhail, T.; Alwan, Z.H.O.; James Gilmour, D.; Mitchell, P.J.; Hettema, E.H. Efficient PCR-based gene targeting in isolates of the nonconventional yeast Debaryomyces hansenii. Yeast 2023, 40, 550–564. [Google Scholar] [CrossRef]
- Yu, Y.; Shi, S. Development and Perspective of Rhodotorula toruloides as an Efficient Cell Factory. J. Agric. Food Chem. 2023, 71, 1802–1819. [Google Scholar] [CrossRef]
- Koh, H.G.; Tohidifar, P.; Oh, H.; Ye, Q.; Jung, S.C.; Rao, C.V.; Jin, Y.S. RT-EZ: A Golden Gate Assembly Toolkit for Streamlined Genetic Engineering of Rhodotorula toruloides. ACS Synth. Biol. 2025, 14, 1572–1580. [Google Scholar] [CrossRef]
- Jiang, W.; Li, C.; Li, Y.; Peng, H. Metabolic Engineering Strategies for Improved Lipid Production and Cellular Physiological Responses in Yeast Saccharomyces cerevisiae. J. Fungi 2022, 8, 427. [Google Scholar] [CrossRef] [PubMed]
- Kishkovskaia, S.A. Screening for promising yeast strains for sherry wine production using genetic and enological markers. Sel’skokhozyaistvennaya Biol. 2021, 56, 537–548. [Google Scholar] [CrossRef]
- Sitepu, I.R.; Jin, M.; Fernandez, J.E.; da Costa Sousa, L.; Balan, V.; Boundy-Mills, K.L. Identification of oleaginous yeast strains able to accumulate high intracellular lipids when cultivated in alkaline pretreated corn stover. Appl. Microbiol. Biotechnol. 2014, 98, 7645–7657. [Google Scholar] [CrossRef] [PubMed]
- Qvirist, L.; Mierke, F.; Vazquez Juarez, R.; Andlid, T. Screening of xylose utilizing and high lipid producing yeast strains as a potential candidate for industrial application. BMC Microbiol. 2022, 22, 173. [Google Scholar] [CrossRef] [PubMed]
- Back, A.; Rossignol, T.; Krier, F.; Nicaud, J.M.; Dhulster, P. High-throughput fermentation screening for the yeast Yarrowia lipolytica with real-time monitoring of biomass and lipid production. Microb. Cell Fact. 2016, 15, 147. [Google Scholar] [CrossRef]
- Kurtzman, C.P.; Fell, J.W.; Boekhout, T.; Robert, V. Chapter 7—Methods for Isolation, Phenotypic Characterization and Maintenance of Yeasts. In The Yeasts, 5th ed.; Kurtzman, C.P., Fell, J.W., Boekhout, T., Eds.; Elsevier: London, UK, 2011; pp. 87–110. [Google Scholar]
- Kashko, N.D.; Muravyov, G.; Karavaeva, I.; Glagoleva, E.S.; Logacheva, M.D.; Garushyants, S.K.; Knorre, D.A. Inheritance bias of deletion-harbouring mtDNA in yeast: The role of copy number and intracellular selection. PLoS Genet. 2025, 21, e1011737. [Google Scholar] [CrossRef]
- Bohin, A.; Bouchart, F.; Richet, C.; Kol, O.; Leroy, Y.; Timmerman, P.; Huet, G.; Bohin, J.P.; Zanetta, J.P. GC/MS identification and quantification of constituents of bacterial lipids and glycoconjugates obtained after methanolysis as heptafluorobutyrate derivatives. Anal. Biochem. 2005, 340, 231–244. [Google Scholar] [CrossRef]
- Folch, J.M.L.; Lees, M.P.; Stanley, G.H.A. A Simple Method for the Isolation and Purification of Total Lipides from Animal Tissues. J. Biol. Chem. 1957, 226, 497–509. [Google Scholar] [CrossRef]
- Abidin, S.Z.; Patel, D.; Saha, B. Quantitative analysis of fatty acids composition in the used cooking oil (UCO) by gas chromatography−mass spectrometry (GC–MS). Can. J. Chem. Eng. 2013, 91, 1896–1903. [Google Scholar] [CrossRef]
- Sauer, S.; Freiwald, A.; Maier, T.; Kube, M.; Reinhardt, R.; Kostrzewa, M.; Geider, K. Classification and identification of bacteria by mass spectrometry and computational analysis. PLoS ONE 2008, 3, e2843. [Google Scholar] [CrossRef]
- Schoch, C.L.; Seifert, K.A.; Huhndorf, S.; Robert, V.; Spouge, J.L.; Levesque, C.A.; Chen, W. Fungal Barcoding Consortium. Nuclear ribosomal internal transcribed spacer (ITS) region as a universal DNA barcode marker for Fungi. Proc. Natl. Acad. Sci. USA 2012, 109, 6241–6246. [Google Scholar] [CrossRef] [PubMed]
- Vu, D.; Groenewald, M.; Szoke, S.; Cardinali, G.; Eberhardt, U.; Stielow, B.; de Vries, M.; Verkleij, G.J.; Crous, P.W.; Boekhout, T.; et al. DNA barcoding analysis of more than 9000 yeast isolates contributes to quantitative thresholds for yeast species and genera delimitation. Stud. Mycol. 2016, 85, 91–105. [Google Scholar] [CrossRef] [PubMed]
- Glushakova, A.M.; Kachalkin, A.V. Endophytic yeasts in Malus domestica and Pyrus communis fruits under anthropogenic impact. Microbiology 2017, 86, 128–135. [Google Scholar] [CrossRef]
- Kachalkin, A.; Glushakova, A.; Venzhik, A. Presence of clinically significant endophytic yeasts in agricultural crops: Monitoring and ecological safety assessment. IOP Conf. Ser. Earth Environ. Sci. 2021, 723, 042005. [Google Scholar] [CrossRef]












| Fatty Acid | Palm Oil [53] | LG2, Glucose | Soybean Oil [54] | BCh, Urea | Cacao Butter [55] | LG2, Xylose | OB1, Urea | BCh, Glycerol |
|---|---|---|---|---|---|---|---|---|
| C14:0 | <1 | 0.19 | <1 | 0.08 | <4 | 0.00 | 0.03 | 0.1 |
| C16:0 | 42–45 | 33.05 | 10–14 | 23.52 | 24–33 | 29.80 | 29.16 | 25.94 |
| C16:1 | <1 | 1.27 | <1 | 1.78 | <4 | 1.25 | 0.673 | 1.8 |
| C18:0 | 4–8 | 11.7 | 4–8 | 14.95 | 33–40 | 24.09 | 11.47 | 34.75 |
| C18:1 | 38–42 | 45.62 | 20–23 | 40.46 | 26–35 | 32.06 | 29.28 | 24.27 |
| C18:2 | 9–12 | 6.04 | 51–54 | 13.62 | <3 | 9.90 | 15.59 | 9.61 |
| C18:3 | <1 | 0 | 6–10 | 2.83 | <1 | 0.44 | 9.51 | 1.87 |
Disclaimer/Publisher’s Note: The statements, opinions and data contained in all publications are solely those of the individual author(s) and contributor(s) and not of MDPI and/or the editor(s). MDPI and/or the editor(s) disclaim responsibility for any injury to people or property resulting from any ideas, methods, instructions or products referred to in the content. |
© 2026 by the authors. Licensee MDPI, Basel, Switzerland. This article is an open access article distributed under the terms and conditions of the Creative Commons Attribution (CC BY) license.
Share and Cite
Cherdantsev, I.A.; Poliakova, A.N.; Silantyev, A.S.; Kazakova, V.D.; Samojlova, A.D.; Polyakov, N.B.; Belkina, P.D.; Simonova, A.A.; Bogdanova, A.S.; Kudryavtseva, A.V.; et al. Characterization of a Collection of Natural Oleogenic Yeasts to Identify Promising Producers of Food Oil Analogues. Int. J. Mol. Sci. 2026, 27, 578. https://doi.org/10.3390/ijms27020578
Cherdantsev IA, Poliakova AN, Silantyev AS, Kazakova VD, Samojlova AD, Polyakov NB, Belkina PD, Simonova AA, Bogdanova AS, Kudryavtseva AV, et al. Characterization of a Collection of Natural Oleogenic Yeasts to Identify Promising Producers of Food Oil Analogues. International Journal of Molecular Sciences. 2026; 27(2):578. https://doi.org/10.3390/ijms27020578
Chicago/Turabian StyleCherdantsev, Igor A., Alexandra N. Poliakova, Artemiy S. Silantyev, Viktoriia D. Kazakova, Alexandra D. Samojlova, Nikita B. Polyakov, Polina D. Belkina, Arina A. Simonova, Alina S. Bogdanova, Anna V. Kudryavtseva, and et al. 2026. "Characterization of a Collection of Natural Oleogenic Yeasts to Identify Promising Producers of Food Oil Analogues" International Journal of Molecular Sciences 27, no. 2: 578. https://doi.org/10.3390/ijms27020578
APA StyleCherdantsev, I. A., Poliakova, A. N., Silantyev, A. S., Kazakova, V. D., Samojlova, A. D., Polyakov, N. B., Belkina, P. D., Simonova, A. A., Bogdanova, A. S., Kudryavtseva, A. V., Gladysh, N. S., & Karpov, D. S. (2026). Characterization of a Collection of Natural Oleogenic Yeasts to Identify Promising Producers of Food Oil Analogues. International Journal of Molecular Sciences, 27(2), 578. https://doi.org/10.3390/ijms27020578

