You are currently viewing a new version of our website. To view the old version click .
  • This is an early access version, the complete PDF, HTML, and XML versions will be available soon.
  • Article
  • Open Access

21 December 2025

Oral Fluid Concentrations and Pharmacological Effects of Clephedrone and Methylone in Humans

,
,
,
,
,
,
,
,
and
1
Department of Clinical Pharmacology and Biochemistry, Hospital Universitari Germans Trias i Pujol and Institut de Recerca Germans Trias i Pujol (HUGTiP-IGTP), Carretera de Canyet S/N, 08916 Badalona, Spain
2
Department of Pharmacology, Therapeutics and Toxicology, Universitat Autònoma de Barcelona (UAB), 08193 Cerdanyola del Vallés, Spain
3
Energy Control, Associació Benestar i Desenvolupament, Carrer de la Independència 384, 08041 Barcelona, Spain
4
National Center On Addiction and Doping, National Institute of Health, Viale Regina Elena 299, 00161 Rome, Italy
Int. J. Mol. Sci.2026, 27(1), 89;https://doi.org/10.3390/ijms27010089 
(registering DOI)
This article belongs to the Special Issue Molecular Advances in Forensic Toxicology: Innovative Approaches in Detection of New Psychoactive Substances

Abstract

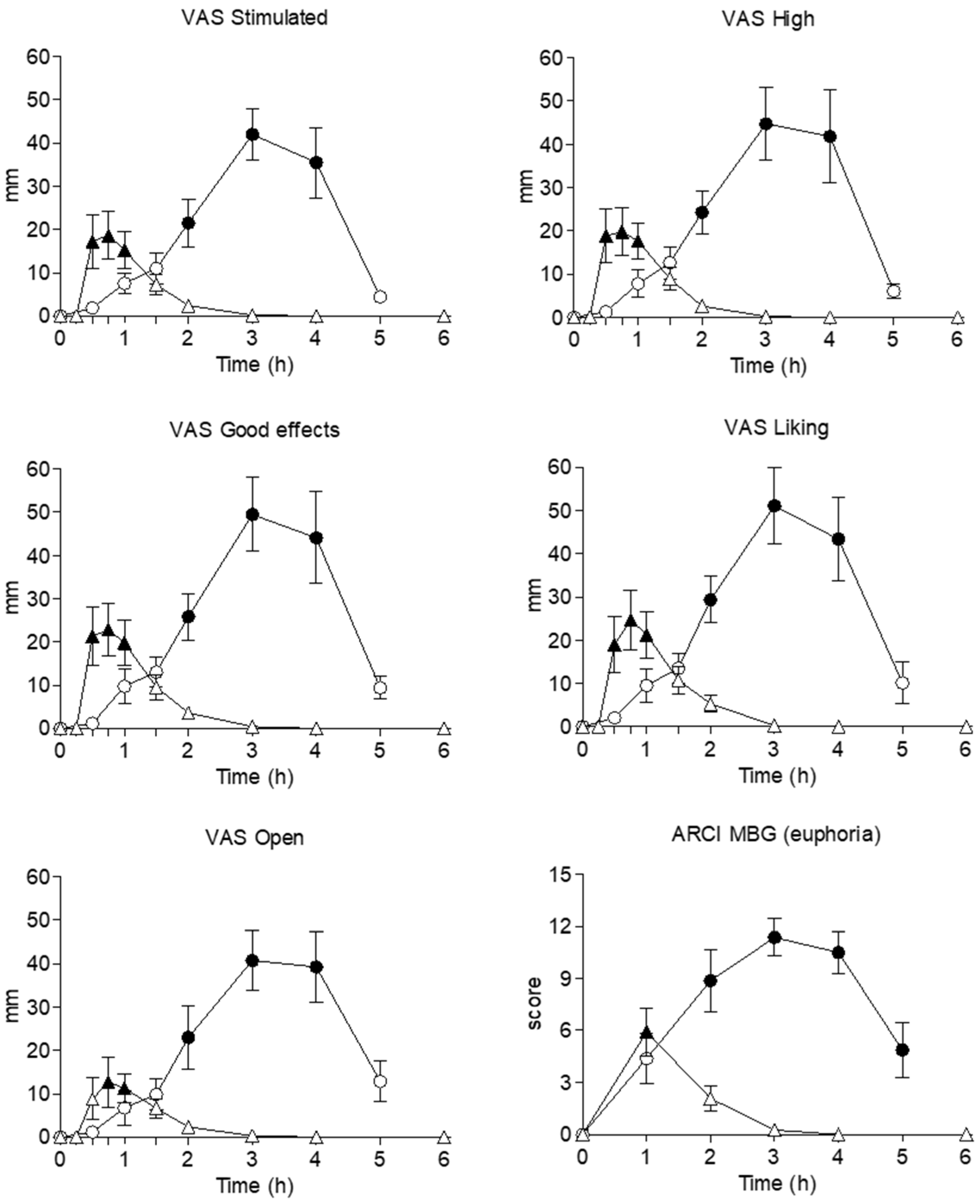
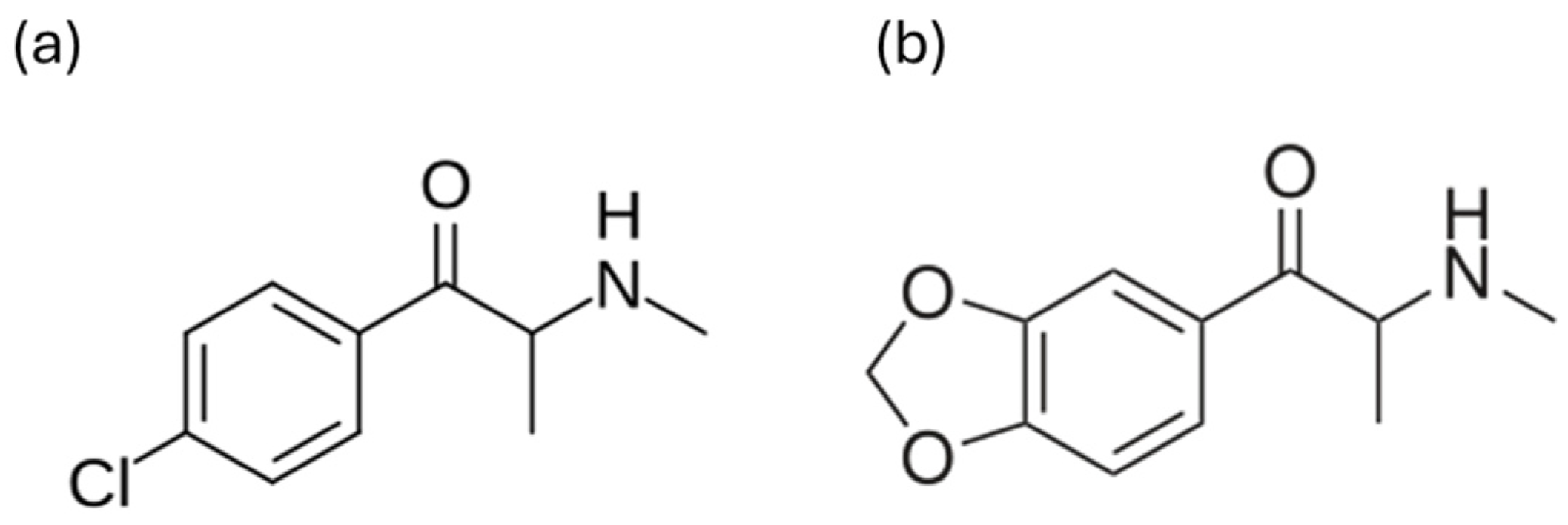
Synthetic cathinones represent the second most frequently reported group of new psychoactive substances identified annually, according to the United Nations. It remains unknown whether specific derivatives differ in the onset of effects related to absorption kinetics. Clephedrone (4-chloromethcathinone, 4-CMC) has been among the most frequently seized cathinones in recent years; however, available data on its pharmacology and abuse potential remain scarce. A non-controlled, prospective, observational study was conducted involving eight healthy volunteers (six women) who self-administered a single oral dose of clephedrone (100 or 150 mg). Study variables were assessed at baseline and over a 5-h period following administration, including vital signs and subjective effects. Oral fluid concentrations of clephedrone and cortisol were determined. For comparison, this article also presents previously unpublished data from a pilot study in which 12 healthy male participants received 150 or 200 mg of methylone under comparable conditions to evaluate effects. Results indicated that both clephedrone and methylone produced stimulant-like subjective effects. However, clephedrone exhibited a delayed onset and peak of effects compared with methylone, indicating a clinically relevant pharmacokinetic difference. Both substances were detected in oral fluid, with peak concentrations occurring later following clephedrone administration, consistent with its delayed pharmacodynamic profile. 

Article Metrics

Citations

Article Access Statistics

Article metric data becomes available approximately 24 hours after publication online.