Hydrogen Sulfide Metabolism in the Skin: From Physiology to Malignancy
Abstract
1. Introduction
2. Properties and General Characteristics of Hydrogen Sulfide
3. H2S and the Skin
3.1. Production of H2S in the Skin
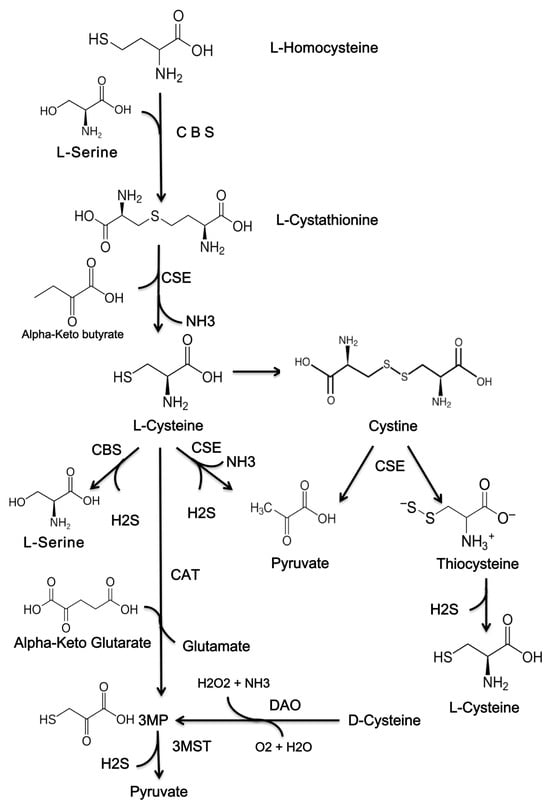
3.2. The Metabolism of H2S in the Skin
3.3. The Dual Role of H2S
3.3.1. Physiological Effects of H2S in the Skin
- Vasodilation: It regulates NO, cyclic GMP (cGMP), soluble guanylate cyclase (sGC), and protein kinase G (PKG), leading to the opening of ATP-sensitive potassium channels in smooth muscle cell membranes
- Antioxidant Responses: H2S interacts directly with free radicals or oxidants, increases glutathione levels, and suppresses the activity of NADPH oxidase, thereby alleviating oxidative stress in various tissues.
- Cytoprotective Effects: It modulates cytoprotective pathways, including PI3K–Akt, p38–MAPK, and Nrf2.
- Anti-inflammatory Effects: H2S suppresses adhesion and leukocyte infiltration, reduces edema formation, and modulates NF-κB activity.
- Bioenergetic Function: It stimulates bioenergetic functions by donating electrons to the mitochondrial transport chain and cooperating with various signaling systems (cGMP, cAMP).
- Catalytic Activity: H2S mediates the catalytic activity of proteins.
- Detoxification: It binds directly to both endogenous and exogenous toxins.
- Apoptosis Regulation: H2S mediates the apoptosis process through multiple signaling pathways, including PI3K/Akt/mTOR and MAPK.
3.3.2. Oncogenic Profile of H2S
3.4. Abnormalities in H2S Metabolism in Skin Cancer
3.4.1. Melanoma
3.4.2. Non-Melanoma Skin Cancers
3.5. Reprogramming of Enzyme Synthesis of H2S in Skin Cancer
3.5.1. Cystathionine β-Synthetase (CBS, EC 4.2.1.22)
3.5.2. Cystathionine γ-Lyase (CSE or CTH, EC 4.4.1.1)
3.5.3. Mercaptopyruvate Sulfurtransferase (MPST, EC 2.8.1.2)
3.5.4. Cysteinyl-tRNA Synthetase (CARS2, E.C 6.1.1.16)
4. Future Directions and Clinical Significance
5. Conclusions
Author Contributions
Funding
Data Availability Statement
Conflicts of Interest
References
- Mallardo, D.; Basile, D.; Vitale, M.G. Advances in Melanoma and Skin Cancers. Int. J. Mol. Sci. 2025, 26, 1849. [Google Scholar] [CrossRef]
- Caraviello, C.; Nazzaro, G.; Tavoletti, G.; Boggio, F.; Denaro, N.; Murgia, G.; Passoni, E.; Benzecry Mancin, V.; Marzano, A.V. Melanoma Skin Cancer: A Comprehensive Review of Current Knowledge. Cancers 2025, 17, 2920. [Google Scholar] [CrossRef]
- Pan, Y.; Tang, B.; Guo, Y.; Cai, Y.; Li, Y.-Y. Global Burden of Non-Melanoma Skin Cancers among Older Adults: A Comprehensive Analysis Using Machine Learning Approaches. Sci. Rep. 2025, 15, 15266. [Google Scholar] [CrossRef] [PubMed]
- Wang, R.; Chen, Y.; Shao, X.; Chen, T.; Zhong, J.; Ou, Y.; Chen, J. Burden of Skin Cancer in Older Adults From 1990 to 2021 and Modelled Projection to 2050. JAMA Dermatol. 2025, 161, 715–722. [Google Scholar] [CrossRef] [PubMed]
- Tampa, M.; Georgescu, S.R.; Mitran, M.I.; Mitran, C.I.; Matei, C.; Caruntu, A.; Scheau, C.; Nicolae, I.; Matei, A.; Caruntu, C.; et al. Current Perspectives on the Role of Matrix Metalloproteinases in the Pathogenesis of Basal Cell Carcinoma. Biomolecules 2021, 11, 903. [Google Scholar] [CrossRef]
- Xiao, Q.; Xiong, L.; Tang, J.; Li, L.; Li, L. Hydrogen Sulfide in Skin Diseases: A Novel Mediator and Therapeutic Target. Oxid. Med. Cell. Longev. 2021, 2021, 6652086. [Google Scholar] [CrossRef]
- Coavoy-Sánchez, S.A.; Costa, S.K.P.; Muscará, M.N. Hydrogen Sulfide and Dermatological Diseases. Br. J. Pharmacol. 2020, 177, 857–865. [Google Scholar] [CrossRef] [PubMed]
- Liang, X.-Y.; Wang, Y.; Zhu, Y.-W.; Zhang, Y.-X.; Yuan, H.; Liu, Y.-F.; Jin, Y.-Q.; Gao, W.; Ren, Z.-G.; Ji, X.-Y.; et al. Role of Hydrogen Sulfide in Dermatological Diseases. Nitric Oxide Biol. Chem. 2024, 150, 18–26. [Google Scholar] [CrossRef]
- Liu, J.; Mesfin, F.M.; Hunter, C.E.; Olson, K.R.; Shelley, W.C.; Brokaw, J.P.; Manohar, K.; Markel, T.A. Recent Development of the Molecular and Cellular Mechanisms of Hydrogen Sulfide Gasotransmitter. Antioxidants 2022, 11, 1788. [Google Scholar] [CrossRef]
- Dawoud, A.; Youness, R.A.; Elsayed, K.; Nafae, H.; Allam, H.; Saad, H.A.; Bourquin, C.; Szabo, C.; Abdel-Kader, R.; Gad, M.Z. Emerging Roles of Hydrogen Sulfide-Metabolizing Enzymes in Cancer. Redox Rep. Commun. Free Radic. Res. 2024, 29, 2437338. [Google Scholar] [CrossRef]
- Gao, W.; Liu, Y.-F.; Zhang, Y.-X.; Wang, Y.; Jin, Y.-Q.; Yuan, H.; Liang, X.-Y.; Ji, X.-Y.; Jiang, Q.-Y.; Wu, D.-D. The Potential Role of Hydrogen Sulfide in Cancer Cell Apoptosis. Cell Death Discov. 2024, 10, 114. [Google Scholar] [CrossRef]
- Ghouse, M.R.; Egambaram, S.; Ramachandran, A.; Parsanathan, R. The Impact of Hydrogen Sulfide Regulatory Gene Alterations on Head and Neck Squamous Cell Carcinoma Prognosis and Tumor Microenvironment. Egypt. J. Med. Hum. Genet. 2025, 26, 78. [Google Scholar] [CrossRef]
- Szabo, C. Novel Regulatory Roles of Hydrogen Sulfide in Health and Disease. Biomolecules 2022, 12, 1372. [Google Scholar] [CrossRef]
- Wang, Z.; Wang, Y. Hydrogen Sulfide: A Rising Star for Cancer Treatment. Med. Gas Res. 2025, 15, 114–116. [Google Scholar] [CrossRef]
- Ene, C.D.; Tampa, M.; Georgescu, S.R.; Matei, C.; Leulescu, I.M.T.; Dogaru, C.I.; Penescu, M.N.; Nicolae, I. Disturbances in Nitric Oxide Cycle and Related Molecular Pathways in Clear Cell Renal Cell Carcinoma. Cancers 2023, 15, 5797. [Google Scholar] [CrossRef]
- Rodkin, S.; Nwosu, C.; Sannikov, A.; Tyurin, A.; Chulkov, V.S.; Raevskaya, M.; Ermakov, A.; Kirichenko, E.; Gasanov, M. The Role of Gasotransmitter-Dependent Signaling Mechanisms in Apoptotic Cell Death in Cardiovascular, Rheumatic, Kidney, and Neurodegenerative Diseases and Mental Disorders. Int. J. Mol. Sci. 2023, 24, 6014. [Google Scholar] [CrossRef] [PubMed]
- Cao, X.; Ding, L.; Xie, Z.; Yang, Y.; Whiteman, M.; Moore, P.K.; Bian, J.-S. A Review of Hydrogen Sulfide Synthesis, Metabolism, and Measurement: Is Modulation of Hydrogen Sulfide a Novel Therapeutic for Cancer? Antioxid. Redox Signal. 2019, 31, 1–38. [Google Scholar] [CrossRef] [PubMed]
- Jiang, S.; Chen, H.; Shen, P.; Zhou, Y.; Li, Q.; Zhang, J.; Chen, Y. Gasotransmitter Research Advances in Respiratory Diseases. Antioxid. Redox Signal. 2024, 40, 168–185. [Google Scholar] [CrossRef] [PubMed]
- Coavoy-Sanchez, S.A.; da Costa Marques, L.A.; Costa, S.K.P.; Muscara, M.N. Role of Gasotransmitters in Inflammatory Edema. Antioxid. Redox Signal. 2024, 40, 272–291. [Google Scholar] [CrossRef]
- Sarkar, S.; Kumar, R.; Matson, J.B. Hydrogels for Gasotransmitter Delivery: Nitric Oxide, Carbon Monoxide, and Hydrogen Sulfide. Macromol. Biosci. 2024, 24, e2300138. [Google Scholar] [CrossRef]
- Andrés, C.M.C.; Pérez de la Lastra, J.M.; Andrés Juan, C.; Plou, F.J.; Pérez-Lebeña, E. Chemistry of Hydrogen Sulfide-Pathological and Physiological Functions in Mammalian Cells. Cells 2023, 12, 2684. [Google Scholar] [CrossRef]
- Tan, B.; Jin, S.; Sun, J.; Gu, Z.; Sun, X.; Zhu, Y.; Huo, K.; Cao, Z.; Yang, P.; Xin, X.; et al. New Method for Quantification of Gasotransmitter Hydrogen Sulfide in Biological Matrices by LC-MS/MS. Sci. Rep. 2017, 7, 46278. [Google Scholar] [CrossRef]
- Khodade, V.S.; Toscano, J.P. Reactive Sulfur Species in Biology and Medicine. Antioxidants 2023, 12, 1759. [Google Scholar] [CrossRef]
- Iciek, M.; Bilska-Wilkosz, A.; Kozdrowicki, M.; Górny, M. Reactive Sulfur Species in Human Diseases. Antioxid. Redox Signal. 2023, 39, 1000–1023. [Google Scholar] [CrossRef]
- Wang, H.C.; Yang, J.-H.; Hsieh, S.-C.; Sheen, L.-Y. Allyl Sulfides Inhibit Cell Growth of Skin Cancer Cells through Induction of DNA Damage Mediated G2/M Arrest and Apoptosis. J. Agric. Food Chem. 2010, 58, 7096–7103. [Google Scholar] [CrossRef]
- Gross-Amat, O.; Guillen, M.; Gimeno, J.-P.; Salzet, M.; Lebonvallet, N.; Misery, L.; Auxenfans, C.; Nataf, S. Molecular Mapping of Hydrogen Sulfide Targets in Normal Human Keratinocytes. Int. J. Mol. Sci. 2020, 21, 4648. [Google Scholar] [CrossRef]
- Birg, A.; Lin, H.C. The Role of Bacteria-Derived Hydrogen Sulfide in Multiple Axes of Disease. Int. J. Mol. Sci. 2025, 26, 3340. [Google Scholar] [CrossRef]
- Cirino, G.; Szabo, C.; Papapetropoulos, A. Physiological Roles of Hydrogen Sulfide in Mammalian Cells, Tissues, and Organs. Physiol. Rev. 2023, 103, 31–276. [Google Scholar] [CrossRef] [PubMed]
- Zhang, C.-J.; Wang, Y.; Jin, Y.-Q.; Zhu, Y.-W.; Zhu, S.-G.; Wang, Q.-M.; Jing, M.-R.; Zhang, Y.-X.; Cai, C.-B.; Feng, Z.-F.; et al. Recent Advances in the Role of Hydrogen Sulfide in Age-Related Diseases. Exp. Cell Res. 2024, 441, 114172. [Google Scholar] [CrossRef] [PubMed]
- Ma, W.; Zhang, X.; Zhuang, L. Exogenous Hydrogen Sulfide Induces A375 Melanoma Cell Apoptosis Through Overactivation of the Unfolded Protein Response. Clin. Cosmet. Investig. Dermatol. 2023, 16, 1641–1651. [Google Scholar] [CrossRef] [PubMed]
- Jin, Y.-Q.; Yuan, H.; Liu, Y.-F.; Zhu, Y.-W.; Wang, Y.; Liang, X.-Y.; Gao, W.; Ren, Z.-G.; Ji, X.-Y.; Wu, D.-D. Role of Hydrogen Sulfide in Health and Disease. MedComm 2024, 5, e661. [Google Scholar] [CrossRef]
- Youness, R.A.; Habashy, D.A.; Khater, N.; Elsayed, K.; Dawoud, A.; Hakim, S.; Nafea, H.; Bourquin, C.; Abdel-Kader, R.M.; Gad, M.Z. Role of Hydrogen Sulfide in Oncological and Non-Oncological Disorders and Its Regulation by Non-Coding RNAs: A Comprehensive Review. Non-Coding RNA 2024, 10, 7. [Google Scholar] [CrossRef]
- Marutani, E.; Ichinose, F. Emerging Pharmacological Tools to Control Hydrogen Sulfide Signaling in Critical Illness. Intensive Care Med. Exp. 2020, 8, 5. [Google Scholar] [CrossRef]
- Santana Maldonado, C.; Weir, A.; Rumbeiha, W.K. A Comprehensive Review of Treatments for Hydrogen Sulfide Poisoning: Past, Present, and Future. Toxicol. Mech. Methods 2023, 33, 183–196. [Google Scholar] [CrossRef]
- Khattak, S.; Rauf, M.A.; Khan, N.H.; Zhang, Q.-Q.; Chen, H.-J.; Muhammad, P.; Ansari, M.A.; Alomary, M.N.; Jahangir, M.; Zhang, C.-Y.; et al. Hydrogen Sulfide Biology and Its Role in Cancer. Molecules 2022, 27, 3389. [Google Scholar] [CrossRef] [PubMed]
- Aschner, M.; Skalny, A.V.; Ke, T.; da Rocha, J.B.; Paoliello, M.M.; Santamaria, A.; Bornhorst, J.; Rongzhu, L.; Svistunov, A.A.; Djordevic, A.B.; et al. Hydrogen Sulfide (H2S) Signaling as a Protective Mechanism against Endogenous and Exogenous Neurotoxicants. Curr. Neuropharmacol. 2022, 20, 1908–1924. [Google Scholar] [CrossRef]
- Munteanu, C.; Turnea, M.A.; Rotariu, M. Hydrogen Sulfide: An Emerging Regulator of Oxidative Stress and Cellular Homeostasis-A Comprehensive One-Year Review. Antioxidants 2023, 12, 1737. [Google Scholar] [CrossRef] [PubMed]
- Yang, Y.; Guo, Y.; Mao, S.; Dong, C.; Yu, Z.; Yao, X.; Shen, B. CBS Promotes Tumor Immune Evasion by Reducing MHC-I Stability. Genes Dis. 2025; in press. [Google Scholar] [CrossRef]
- Bege, M.; Lovas, M.; Priksz, D.; Bernát, B.; Bereczki, I.; Kattoub, R.G.; Kajtár, R.; Eskeif, S.; Novák, L.; Hodek, J.; et al. Synthesis, H2S Releasing Properties, Antiviral and Antioxidant Activities and Acute Cardiac Effects of Nucleoside 5′-Dithioacetates. Sci. Rep. 2025, 15, 2876. [Google Scholar] [CrossRef] [PubMed]
- Ying, J.; Wang, Q.; Jiang, M.; Wang, X.; Liu, W.; Wang, X.; Zhang, C.; Xiang, L. Hydrogen Sulfide Promotes Cell Proliferation and Melanin Synthesis in Primary Human Epidermal Melanocytes. Ski. Pharmacol. Physiol. 2020, 33, 61–68. [Google Scholar] [CrossRef]
- Goren, I.; Köhler, Y.; Aglan, A.; Pfeilschifter, J.; Beck, K.-F.; Frank, S. Increase of Cystathionine-γ-Lyase (CSE) during Late Wound Repair: Hydrogen Sulfide Triggers Cytokeratin 10 Expression in Keratinocytes. Nitric Oxide Biol. Chem. 2019, 87, 31–42. [Google Scholar] [CrossRef] [PubMed]
- Ozlen, N.; Ercetin, D.; Sapmaz-Metin, M.; Gunduz, O. Anti-Inflammatory Effect of Hydrogen Sulfide Donor Sodium-Sulfide in an Experimental Mouse Model of Contact Hypersensitivity. Dermatol. Sin. 2023, 41, 94. [Google Scholar] [CrossRef]
- Cornwell, A.; Badiei, A. From Gasotransmitter to Immunomodulator: The Emerging Role of Hydrogen Sulfide in Macrophage Biology. Antioxidants 2023, 12, 935. [Google Scholar] [CrossRef]
- Dilek, N.; Papapetropoulos, A.; Toliver-Kinsky, T.; Szabo, C. Hydrogen Sulfide: An Endogenous Regulator of the Immune System. Pharmacol. Res. 2020, 161, 105119. [Google Scholar] [CrossRef]
- Sawaya, A.; Regina, A.C.; Menezes, R.G. Hydrogen Sulfide Toxicity. In StatPearls; StatPearls Publishing: Treasure Island, FL, USA, 2025. [Google Scholar]
- Li, Y.; Liu, H. Clinical Powers of Aminoacyl tRNA Synthetase Complex Interacting Multifunctional Protein 1 (AIMP1) for Head-Neck Squamous Cell Carcinoma. Cancer Biomark. Sect. Dis. Markers 2022, 34, 359–374. [Google Scholar] [CrossRef]
- Li, L.; Chen, X.; Liu, C.; He, Z.; Shen, Q.; Zhu, Y.; Wang, X.; Cao, S.; Yang, S. Endogenous Hydrogen Sulphide Deficiency and Exogenous Hydrogen Sulphide Supplement Regulate Skin Fibroblasts Proliferation via Necroptosis. Exp. Dermatol. 2024, 33, e14972. [Google Scholar] [CrossRef]
- Lei, Y.-Y.; Feng, Y.-F.; Zeng, B.; Zhang, W.; Xu, Q.; Cheng, F.; Lan, J.; Luo, H.-H.; Zou, J.-Y.; Chen, Z.-G.; et al. Exogenous H2S Promotes Cancer Progression by Activating JAK2/STAT3 Signaling Pathway in Esophageal EC109 Cells. Int. J. Clin. Exp. Pathol. 2018, 11, 3247–3256. [Google Scholar]
- Xiao, Q.; Ying, J.; Qiao, Z.; Yang, Y.; Dai, X.; Xu, Z.; Zhang, C.; Xiang, L. Exogenous Hydrogen Sulfide Inhibits Human Melanoma Cell Development via Suppression of the PI3K/AKT/mTOR Pathway. J. Dermatol. Sci. 2020, 98, 26–34. [Google Scholar] [CrossRef] [PubMed]
- Xu, M.; Zhang, L.; Song, S.; Pan, L.; Muhammad Arslan, I.; Chen, Y.; Yang, S. Hydrogen Sulfide: Recent Progress and Perspectives for the Treatment of Dermatological Diseases. J. Adv. Res. 2021, 27, 11–17. [Google Scholar] [CrossRef] [PubMed]
- Shackelford, R.E.; Mohammad, I.Z.; Meram, A.T.; Kim, D.; Alotaibi, F.; Patel, S.; Ghali, G.E.; Kevil, C.G. Molecular Functions of Hydrogen Sulfide in Cancer. Pathophysiology 2021, 28, 437–456. [Google Scholar] [CrossRef]
- Shi, Y.-B.; Cheng, L.; Lyu, Y.; Shi, Z.-J. The New Perspective of Gasotransmitters in Cancer Metastasis. Nitric Oxide Biol. Chem. 2025, 156, 1–8. [Google Scholar] [CrossRef]
- Neagu, M.; Constantin, C.; Tampa, M.; Matei, C.; Lupu, A.; Manole, E.; Ion, R.-M.; Fenga, C.; Tsatsakis, A.M. Toxicological and Efficacy Assessment of Post-Transition Metal (Indium) Phthalocyanine for Photodynamic Therapy in Neuroblastoma. Oncotarget 2016, 7, 69718–69732. [Google Scholar] [CrossRef]
- Salihi, A.; Al-Naqshabandi, M.A.; Khudhur, Z.O.; Housein, Z.; Hama, H.A.; Abdullah, R.M.; Hussen, B.M.; Alkasalias, T. Gasotransmitters in the Tumor Microenvironment: Impacts on Cancer Chemotherapy (Review). Mol. Med. Rep. 2022, 26, 233. [Google Scholar] [CrossRef] [PubMed]
- Oza, P.P.; Kashfi, K. The Triple Crown: NO, CO, and H2S in Cancer Cell Biology. Pharmacol. Ther. 2023, 249, 108502. [Google Scholar] [CrossRef]
- Zhu, J.; Ligi, S.; Yang, G. An Evolutionary Perspective on the Interplays between Hydrogen Sulfide and Oxygen in Cellular Functions. Arch. Biochem. Biophys. 2021, 707, 108920. [Google Scholar] [CrossRef]
- Zou, Y.; Ge, M.; Wang, X. Targeting PI3K-AKT-mTOR by LY3023414 Inhibits Human Skin Squamous Cell Carcinoma Cell Growth in Vitro and in Vivo. Biochem. Biophys. Res. Commun. 2017, 490, 385–392. [Google Scholar] [CrossRef]
- Wang, H.-C.; Chu, Y.-L.; Hsieh, S.-C.; Sheen, L.-Y. Diallyl Trisulfide Inhibits Cell Migration and Invasion of Human Melanoma A375 Cells via Inhibiting Integrin/Facal Adhesion Kinase Pathway. Environ. Toxicol. 2017, 32, 2352–2359. [Google Scholar] [CrossRef]
- Panza, E.; De Cicco, P.; Armogida, C.; Scognamiglio, G.; Gigantino, V.; Botti, G.; Germano, D.; Napolitano, M.; Papapetropoulos, A.; Bucci, M.; et al. Role of the Cystathionine γ Lyase/Hydrogen Sulfide Pathway in Human Melanoma Progression. Pigment Cell Melanoma Res. 2015, 28, 61–72. [Google Scholar] [CrossRef] [PubMed]
- De Cicco, P.; Panza, E.; Armogida, C.; Ercolano, G.; Taglialatela-Scafati, O.; Shokoohinia, Y.; Camerlingo, R.; Pirozzi, G.; Calderone, V.; Cirino, G.; et al. The Hydrogen Sulfide Releasing Molecule Acetyl Deacylasadisulfide Inhibits Metastatic Melanoma. Front. Pharmacol. 2017, 8, 65. [Google Scholar] [CrossRef] [PubMed]
- Ercolano, G.; De Cicco, P.; Frecentese, F.; Saccone, I.; Corvino, A.; Giordano, F.; Magli, E.; Fiorino, F.; Severino, B.; Calderone, V.; et al. Anti-Metastatic Properties of Naproxen-HBTA in a Murine Model of Cutaneous Melanoma. Front. Pharmacol. 2019, 10, 66. [Google Scholar] [CrossRef]
- Cai, F.; Xu, H.; Cao, N.; Zhang, X.; Liu, J.; Lu, Y.; Chen, J.; Yang, Y.; Cheng, J.; Hua, Z.-C.; et al. ADT-OH, a Hydrogen Sulfide-Releasing Donor, Induces Apoptosis and Inhibits the Development of Melanoma in Vivo by Upregulating FADD. Cell Death Dis. 2020, 11, 33. [Google Scholar] [CrossRef] [PubMed]
- Pei, G.; Lan, Y.; Chen, D.; Ji, L.; Hua, Z.-C. FAK Regulates E-Cadherin Expression via p-SrcY416/p-ERK1/2/p-Stat3Y705 and PPARγ/miR-125b/Stat3 Signaling Pathway in B16F10 Melanoma Cells. Oncotarget 2017, 8, 13898–13908. [Google Scholar] [CrossRef]
- Ma, L.; Chen, Y.; Han, R.; Wang, S. Benzyl Isothiocyanate Inhibits Invasion and Induces Apoptosis via Reducing S100A4 Expression and Increases PUMA Expression in Oral Squamous Cell Carcinoma Cells. Braz. J. Med. Biol. Res. 2019, 52, e8409. [Google Scholar] [CrossRef]
- Caruntu, C.; Mirica, A.; Roşca, A.E.; Mirica, R.; Caruntu, A.; Tampa, M.; Matei, C.; Constantin, C.; Neagu, M.; Badarau, A.I.; et al. The Role of Estrogens and Estrogen Receptors in Melanoma Development and Progression. Acta Endocrinol. 2016, 12, 234–241. [Google Scholar] [CrossRef]
- Meram, A.T.; Chen, J.; Patel, S.; Kim, D.D.; Shirley, B.; Covello, P.; Coppola, D.; Wei, E.X.; Ghali, G.; Kevil, C.G.; et al. Hydrogen Sulfide Is Increased in Oral Squamous Cell Carcinoma Compared to Adjacent Benign Oral Mucosae. Anticancer Res. 2018, 38, 3843–3852. [Google Scholar] [CrossRef]
- Zhang, S.; Bian, H.; Li, X.; Wu, H.; Bi, Q.; Yan, Y.; Wang, Y. Hydrogen Sulfide Promotes Cell Proliferation of Oral Cancer through Activation of the COX2/AKT/ERK1/2 Axis. Oncol. Rep. 2016, 35, 2825–2832. [Google Scholar] [CrossRef]
- Zhou, Z.; Sun, B.; Nie, A.; Yu, D.; Bian, M. Roles of Aminoacyl-tRNA Synthetases in Cancer. Front. Cell Dev. Biol. 2020, 8, 599765. [Google Scholar] [CrossRef]
- Wang, H.-C.; Pao, J.; Lin, S.-Y.; Sheen, L.-Y. Molecular Mechanisms of Garlic-Derived Allyl Sulfides in the Inhibition of Skin Cancer Progression. Ann. N. Y. Acad. Sci. 2012, 1271, 44–52. [Google Scholar] [CrossRef]
- Zuhra, K.; Augsburger, F.; Majtan, T.; Szabo, C. Cystathionine-β-Synthase: Molecular Regulation and Pharmacological Inhibition. Biomolecules 2020, 10, 697. [Google Scholar] [CrossRef] [PubMed]
- Yang, J.; Xiong, Y.; Zhou, L.; Huang, Y.; Chen, W.; Wang, B. Soluble E-cadherin Is Associated with Oxidative Stress in Patients with Chronic HBV Infection. J. Med. Virol. 2020, 92, 34–44. [Google Scholar] [CrossRef] [PubMed]
- Ianoși, S.L.; Batani, A.; Ilie, M.A.; Tampa, M.; Georgescu, S.-R.; Zurac, S.; Boda, D.; Ianosi, N.G.; Neagoe, D.; Calina, D.; et al. Non-Invasive Imaging Techniques for the in Vivo Diagnosis of Bowen’s Disease: Three Case Reports. Oncol. Lett. 2019, 17, 4094–4101. [Google Scholar] [CrossRef] [PubMed]
- Jurkowska, H.; Placha, W.; Nagahara, N.; Wróbel, M. The Expression and Activity of Cystathionine-γ-Lyase and 3-Mercaptopyruvate Sulfurtransferase in Human Neoplastic Cell Lines. Amino Acids 2011, 41, 151–158. [Google Scholar] [CrossRef]
- Rao, S.P.; Dobariya, P.; Bellamkonda, H.; More, S.S. Role of 3-Mercaptopyruvate Sulfurtransferase (3-MST) in Physiology and Disease. Antioxidants 2023, 12, 603. [Google Scholar] [CrossRef]
- Leikam, C.; Hufnagel, A.; Walz, S.; Kneitz, S.; Fekete, A.; Müller, M.J.; Eilers, M.; Schartl, M.; Meierjohann, S. Cystathionase Mediates Senescence Evasion in Melanocytes and Melanoma Cells. Oncogene 2014, 33, 771–782. [Google Scholar] [CrossRef]
- Dongsoo, K.; Chen, J.; Wei, E.; Ansari, J.; Meram, A.; Patel, S.; Ghali, G.; Kevil, C.; Shackelford, R.E. Hydrogen Sulfide and Hydrogen Sulfide-Synthesizing Enzymes Are Altered in a Case of Oral Adenoid Cystic Carcinoma. Case Rep. Oncol. 2018, 11, 585–590. [Google Scholar] [CrossRef]
- Kim, D.; Chen, J.; Meram, A.; Patel, S.; Wei, E.; Ansari, J.; Ghali, G.; Kevil, C.; Shackelford, R.E. Hydrogen Sulfide-Synthesizing Enzymes Are Altered in a Case of Oral Cavity Mucoepidermoid Carcinoma. Case Rep. Oncol. 2018, 11, 682–687. [Google Scholar] [CrossRef]
- Khan, K.; Gogonea, V.; Fox, P.L. Aminoacyl-tRNA Synthetases of the Multi-tRNA Synthetase Complex and Their Role in Tumorigenesis. Transl. Oncol. 2022, 19, 101392. [Google Scholar] [CrossRef] [PubMed]
- Wusiman, W.; Zhang, Z.; Ding, Q.; Liu, M. The Pathophyiological Role of Aminoacyl-tRNA Synthetases in Digestive System Diseases. Front. Physiol. 2022, 13, 935576. [Google Scholar] [CrossRef]
- Zhang, W.; Lin, X.; Chen, S. Cysteinyl-tRNA Synthetase 1 Promotes Ferroptosis-Induced Cell Death via Regulating GPX4 Expression. J. Oncol. 2022, 2022, 4849174. [Google Scholar] [CrossRef]
- Pu, Y.; Lin, W.; Ren, S.; Gao, Y.; Wang, G. The Therapeutic Potential of Hydrogen Sulfide and Its Donors, a New Discovery in Vascular Diseases. J. Cardiovasc. Pharmacol. 2025, 86, 128–147. [Google Scholar] [CrossRef] [PubMed]
- Wang, L.; Xie, X.; Ke, B.; Huang, W.; Jiang, X.; He, G. Recent Advances on Endogenous Gasotransmitters in Inflammatory Dermatological Disorders. J. Adv. Res. 2021, 38, 261–274. [Google Scholar] [CrossRef] [PubMed]
- Pinto, R.V.; Pinto, M.L.; Serre, C. Gasotransmitters in Modern Medicine: Promises and Challenges in the Use of Porous Crystalline Carriers. Adv. Healthc. Mater. 2025, 14, e2404553. [Google Scholar] [CrossRef] [PubMed]
- Ene, C.D.; Georgescu, S.R.; Tampa, M.; Matei, C.; Mitran, C.I.; Mitran, M.I.; Penescu, M.N.; Nicolae, I. Cellular Response against Oxidative Stress, a Novel Insight into Lupus Nephritis Pathogenesis. J. Pers. Med. 2021, 11, 693. [Google Scholar] [CrossRef] [PubMed]


Disclaimer/Publisher’s Note: The statements, opinions and data contained in all publications are solely those of the individual author(s) and contributor(s) and not of MDPI and/or the editor(s). MDPI and/or the editor(s) disclaim responsibility for any injury to people or property resulting from any ideas, methods, instructions or products referred to in the content. |
© 2025 by the authors. Licensee MDPI, Basel, Switzerland. This article is an open access article distributed under the terms and conditions of the Creative Commons Attribution (CC BY) license (https://creativecommons.org/licenses/by/4.0/).
Share and Cite
Tampa, M.; Nicolae, I.; Mitran, M.I.; Mitran, C.I.; Matei, C.; Georgescu, S.R.; Capusa, C.; Ene, C.D. Hydrogen Sulfide Metabolism in the Skin: From Physiology to Malignancy. Int. J. Mol. Sci. 2025, 26, 11413. https://doi.org/10.3390/ijms262311413
Tampa M, Nicolae I, Mitran MI, Mitran CI, Matei C, Georgescu SR, Capusa C, Ene CD. Hydrogen Sulfide Metabolism in the Skin: From Physiology to Malignancy. International Journal of Molecular Sciences. 2025; 26(23):11413. https://doi.org/10.3390/ijms262311413
Chicago/Turabian StyleTampa, Mircea, Ilinca Nicolae, Madalina Irina Mitran, Cristina Iulia Mitran, Clara Matei, Simona Roxana Georgescu, Cristina Capusa, and Corina Daniela Ene. 2025. "Hydrogen Sulfide Metabolism in the Skin: From Physiology to Malignancy" International Journal of Molecular Sciences 26, no. 23: 11413. https://doi.org/10.3390/ijms262311413
APA StyleTampa, M., Nicolae, I., Mitran, M. I., Mitran, C. I., Matei, C., Georgescu, S. R., Capusa, C., & Ene, C. D. (2025). Hydrogen Sulfide Metabolism in the Skin: From Physiology to Malignancy. International Journal of Molecular Sciences, 26(23), 11413. https://doi.org/10.3390/ijms262311413

