Derivatization of Bufadienolides at Carbon-3 of the Steroid Core and Their Consequences for the Interaction with Na+,K+-ATPase
Abstract
1. Introduction
2. Results and Discussion
2.1. Singly Glycosylated Aglycones Have the Highest Affinity Toward Na+,K+-ATPase
2.2. Heterogeneity of Binding and the Role of the Linkage on C3
2.3. Stereochemistry of the Substituent on the C3 Position of the Steroid Core
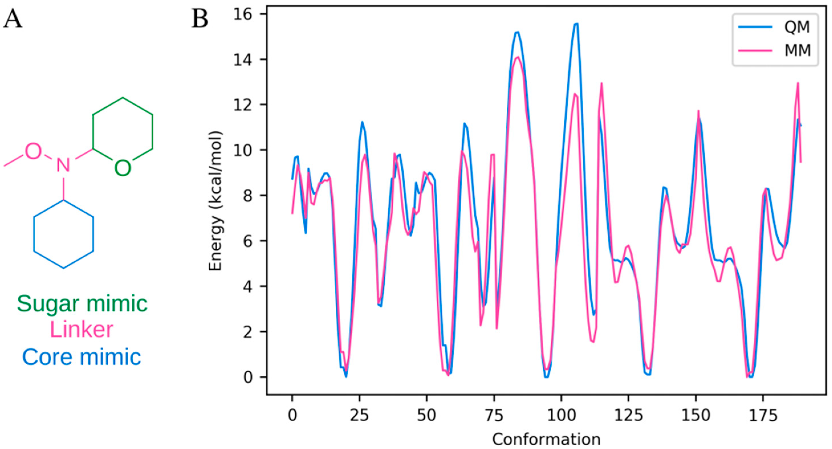
2.4. Molecular Dynamics Simulations of Representatives from Cardenolide and Bufodienolide Subfamilies
- (1)
- The type of linker at the C3 position of the steroid core,
- (2)
- The stereochemistry of the substituent at C3, and
- (3)
- The size of substituents at C3.
2.4.1. Type of Linker at the C3 Position of the Steroid Core
2.4.2. The Stereochemistry of the Substituent on C3
2.4.3. A Bell-Shaped Dependence on the Size of Substituents at C3
3. Materials and Methods
3.1. Biochemical Characterization of E2Pi-CTS Complexes
3.2. Computational Protein and Ligand Preparation
3.3. Docking Calculations
3.4. System Building for MD Simulations
3.5. Molecular Dynamics Simulations
3.6. Force Field Parameters for Ligands and Phosphorylated Aspartate
3.7. Computational Analyses
4. Conclusions
- (1)
- Glycosidic and neo-glycosidic linkages between the steroid core and the first sugar moiety are not equivalent due to small, but important differences in torsional profiles and therefore differences in interaction patterns with the Na+,K+-ATPase;
- (2)
- The chirality at the C3 position greatly influences binding to Na+,K+-ATPase as the α-anomer orients the sugar moiety toward the solvent instead of toward the protein, where it would ordinarily form stabilizing hydrogen bonds;
- (3)
- Singly glycosylated aglycones are most affine due to the increased number of stabilizing interactions combined with minimal steric and entropic restrictions.
Supplementary Materials
Author Contributions
Funding
Institutional Review Board Statement
Informed Consent Statement
Data Availability Statement
Acknowledgments
Conflicts of Interest
References
- Lan, Y.L.; Lou, J.C.; Jiang, X.W.; Wang, X.; Xing, J.S.; Li, S.; Zhang, B. A research update on the anticancer effects of bufalin and its derivatives. Oncol. Lett. 2019, 17, 3635–3640. [Google Scholar] [CrossRef]
- Cheng, C.S.; Wang, J.; Chen, J.; Kuo, K.T.; Tang, J.; Gao, H.; Chen, L.; Chen, Z.; Meng, Z. New therapeutic aspects of steroidal cardiac glycosides: The anticancer properties of Huachansu and its main active constituent Bufalin. Cancer Cell Int. 2019, 19, 92. [Google Scholar] [CrossRef] [PubMed]
- Huang, J.; Chen, F.; Zhong, Z.; Tan, H.Y.; Wang, N.; Liu, Y.; Fang, X.; Yang, T.; Feng, Y. Interpreting the Pharmacological Mechanisms of Huachansu Capsules on Hepatocellular Carcinoma Through Combining Network Pharmacology and Experimental Evaluation. Front. Pharmacol. 2020, 11, 414. [Google Scholar] [CrossRef]
- Plante, K.S.; Dwivedi, V.; Plante, J.A.; Fernandez, D.; Mirchandani, D.; Bopp, N.; Aguilar, P.V.; Park, J.G.; Tamayo, P.P.; Delgado, J.; et al. Antiviral activity of oleandrin and a defined extract of Nerium oleander against SARS-CoV-2. Biomed. Pharmacother. 2021, 138, 111457. [Google Scholar] [CrossRef]
- Laird, G.M.; Eisele, E.E.; Rabi, S.A.; Nikolaeva, D.; Siliciano, R.F. A novel cell-based high-throughput screen for inhibitors of HIV-1 gene expression and budding identifies the cardiac glycosides. J. Antimicrob. Chemother. 2014, 69, 988–994. [Google Scholar] [CrossRef] [PubMed]
- Low, J.S.; Wu, K.X.; Chen, K.C.; Ng, M.M.; Chu, J.J. Narasin, a novel antiviral compound that blocks dengue virus protein expression. Antivir. Ther. 2011, 16, 1203–1218. [Google Scholar] [CrossRef]
- Titus, E. The metabolism of cardiac lactones by microorganisms. Adv. Appl. Microbiol. 1961, 3, 279–292. [Google Scholar] [CrossRef]
- Bedir, E.; Karakoyun, C.; Dogan, G.; Kuru, G.; Kucuksolak, M.; Yusufoglu, H. New Cardenolides from Biotransformation of Gitoxigenin by the Endophytic Fungus Alternaria eureka 1E1BL1: Characterization and Cytotoxic Activities. Molecules 2021, 26, 3030. [Google Scholar] [CrossRef] [PubMed]
- Ma, B.; Xiao, Z.Y.; Chen, Y.J.; Lei, M.; Meng, Y.H.; Guo, D.A.; Liu, X.; Hu, L.H. Synthesis and structure-activity relationships study of cytotoxic bufalin 3-nitrogen-containing-ester derivatives. Steroids 2013, 78, 508–512. [Google Scholar] [CrossRef]
- Liu, T.; Yuan, X.; Jia, T.; Liu, C.; Ni, Z.; Qin, Z.; Yuan, Y. Polymeric prodrug of bufalin for increasing solubility and stability: Synthesis and anticancer study in vitro and in vivo. Int. J. Pharm. 2016, 506, 382–393. [Google Scholar] [CrossRef]
- Gao, H.; Popescu, R.; Kopp, B.; Wang, Z. Bufadienolides and their antitumor activity. Nat. Prod. Rep. 2011, 28, 953–969. [Google Scholar] [CrossRef]
- Xia, X.; Jin, H.; Yan, S.; Zhang, W. Analysis of the bioactive constituents of ChanSu in rat plasma by high performance liquid chromatography with mass spectrometric detection. J. Pharm. Biomed. Anal. 2010, 53, 646–654. [Google Scholar] [CrossRef]
- Ye, M.; Guo, D. A new bufadienolide obtained from the biotransformation of cinobufagin by Alternaria alternata. Nat. Prod. Res. 2008, 22, 26–30. [Google Scholar] [CrossRef]
- Wang, D.D.; Li, X.S.; Bao, Y.Z.; Liu, J.; Zhang, X.K.; Yao, X.S.; Sun, X.L.; Tang, J.S. Synthesis of MeON-neoglycosides of digoxigenin with 6-deoxy- and 2,6-dideoxy-d-glucose derivatives and their anticancer activity. Bioorg. Med. Chem. Lett. 2017, 27, 3359–3364. [Google Scholar] [CrossRef] [PubMed]
- Iyer, A.K.; Zhou, M.; Azad, N.; Elbaz, H.; Wang, L.; Rogalsky, D.K.; Rojanasakul, Y.; O’Doherty, G.A.; Langenhan, J.M. A Direct Comparison of the Anticancer Activities of Digitoxin MeON-Neoglycosides and O-Glycosides: Oligosaccharide Chain Length-Dependent Induction of Caspase-9-Mediated Apoptosis. ACS Med. Chem. Lett. 2010, 1, 326–330. [Google Scholar] [CrossRef] [PubMed]
- Post, R.L.; Toda, G.; Rogers, F.N. Phosphorylation by inorganic phosphate of sodium plus potassium ion transport adenosine triphosphatase. Four reactive states. J. Biol. Chem. 1975, 250, 691–701. [Google Scholar] [CrossRef] [PubMed]
- Laursen, M.; Gregersen, J.L.; Yatime, L.; Nissen, P.; Fedosova, N.U. Structures and characterization of digoxin- and bufalin-bound Na+,K+-ATPase compared with the ouabain-bound complex. Proc. Natl. Acad. Sci. USA 2015, 112, 1755–1760. [Google Scholar] [CrossRef]
- Schonfeld, W.; Schonfeld, R.; Menke, K.H.; Weiland, J.; Repke, K.R. Origin of differences of inhibitory potency of cardiac glycosides in Na+/K+-transporting ATPase from human cardiac muscle, human brain cortex and guinea-pig cardiac muscle. Biochem. Pharmacol. 1986, 35, 3221–3231. [Google Scholar] [CrossRef]
- Liu, Y.; Xu, W.; Huang, Z.H.; Guo, J.; Jiang, R.W. Corrigendum: An Efficient Strategy for the Chemo-Enzymatic Synthesis of Bufalin Glycosides with Improved Water Solubility and Inhibition against Na+,K+-ATPase. Chem. Biodivers. 2021, 18, e2100526. [Google Scholar] [CrossRef]
- Guo, J.H.; Jiang, R.W.; Andersen, J.L.; Esmann, M.; Fedosova, N.U. Spin-labeled derivatives of cardiotonic steroids as tools for characterization of the extracellular entrance to the binding site on Na+,K+-ATPase. FEBS J. 2018, 285, 2292–2305. [Google Scholar] [CrossRef]
- Aloi, E.; Guo, J.H.; Guzzi, R.; Jiang, R.W.; Ladefoged, L.K.; Marsh, D.; Esmann, M.; Bartucci, R.; Fedosova, N.U. Geometry and water accessibility of the inhibitor binding site of Na+-pump: Pulse- and CW-EPR study. Biophys. J. 2021, 120, 2679–2690. [Google Scholar] [CrossRef] [PubMed]
- Westover, E.J.; Covey, D.F.; Brockman, H.L.; Brown, R.E.; Pike, L.J. Cholesterol depletion results in site-specific increases in epidermal growth factor receptor phosphorylation due to membrane level effects. Studies with cholesterol enantiomers. J. Biol. Chem. 2003, 278, 51125–51133. [Google Scholar] [CrossRef] [PubMed]
- Tang, H.J.; Ruan, L.J.; Tian, H.Y.; Liang, G.P.; Ye, W.C.; Hughes, E.; Esmann, M.; Fedosova, N.U.; Chung, T.Y.; Tzen, J.T.; et al. Novel stereoselective bufadienolides reveal new insights into the requirements for Na+,K+-ATPase inhibition by cardiotonic steroids. Sci. Rep. 2016, 6, 29155. [Google Scholar] [CrossRef]
- Laursen, M.; Yatime, L.; Nissen, P.; Fedosova, N.U. Crystal structure of the high-affinity Na+,K+-ATPase-ouabain complex with Mg2+ bound in the cation binding site. Proc. Natl. Acad. Sci. USA 2013, 110, 10958–10963. [Google Scholar] [CrossRef]
- Kanai, R.; Cornelius, F.; Ogawa, H.; Motoyama, K.; Vilsen, B.; Toyoshima, C. Binding of cardiotonic steroids to Na+,K+-ATPase in the E2P state. Proc. Natl. Acad. Sci. USA 2021, 118, e2020438118. [Google Scholar] [CrossRef]
- Kanai, R.; Cornelius, F.; Vilsen, B.; Toyoshima, C. Cryoelectron microscopy of Na+,K+-ATPase in the two E2P states with and without cardiotonic steroids. Proc. Natl. Acad. Sci. USA 2022, 119, e2123226119. [Google Scholar] [CrossRef] [PubMed]
- Ladefoged, L.K.; Schiøtt, B.; Fedosova, N.U. Beneficent and Maleficent Effects of Cations on Bufadienolide Binding to Na+,K+-ATPase. J. Chem. Inf. Model. 2021, 61, 976–986. [Google Scholar] [CrossRef]
- Peri, F.; Jimenez-Barbero, J.; Garcia-Aparicio, V.; Tvaroska, I.; Nicotra, F. Synthesis and conformational analysis of novel N(OCH3)-linked disaccharide analogues. Chemistry 2004, 10, 1433–1444. [Google Scholar] [CrossRef]
- Langenhan, J.M.; Peters, N.R.; Guzei, I.A.; Hoffmann, F.M.; Thorson, J.S. Enhancing the anticancer properties of cardiac glycosides by neoglycorandomization. Proc. Natl. Acad. Sci. USA 2005, 102, 12305–12310. [Google Scholar] [CrossRef]
- Mayne, C.G.; Saam, J.; Schulten, K.; Tajkhorshid, E.; Gumbart, J.C. Rapid parameterization of small molecules using the Force Field Toolkit. J. Comput. Chem. 2013, 34, 2757–2770. [Google Scholar] [CrossRef]
- Frisch, M.J.; Trucks, G.W.; Schlegel, H.B.; Scuseria, G.E.; Robb, M.A.; Cheeseman, J.R.; Scalmani, G.; Barone, V.; Petersson, G.A.; Nakatsuji, H.; et al. Gaussian 16 Rev. C.01; Gaussian, Inc.: Wallingford, CT, USA, 2016. [Google Scholar]
- Tetko, I.V.; Gasteiger, J.; Todeschini, R.; Mauri, A.; Livingstone, D.; Ertl, P.; Palyulin, V.A.; Radchenko, E.V.; Zefirov, N.S.; Makarenko, A.S.; et al. Virtual computational chemistry laboratory--design and description. J. Comput. Aided Mol. Des. 2005, 19, 453–463. [Google Scholar] [CrossRef]
- Katz, A.; Tal, D.M.; Heller, D.; Habeck, M.; Ben Zeev, E.; Rabah, B.; Bar Kana, Y.; Marcovich, A.L.; Karlish, S.J. Digoxin derivatives with selectivity for the alpha2beta3 isoform of Na,K-ATPase potently reduce intraocular pressure. Proc. Natl. Acad. Sci. USA 2015, 112, 13723–13728. [Google Scholar] [CrossRef]
- Klodos, I.; Esmann, M.; Post, R.L. Large-scale preparation of sodium-potassium ATPase from kidney outer medulla. Kidney Int. 2002, 62, 2097–2100. [Google Scholar] [CrossRef]
- Yatime, L.; Laursen, M.; Morth, J.P.; Esmann, M.; Nissen, P.; Fedosova, N.U. Structural insights into the high affinity binding of cardiotonic steroids to the Na+,K+-ATPase. J. Struct. Biol. 2011, 174, 296–306. [Google Scholar] [CrossRef]
- Fruergaard, M.U.; Dach, I.; Andersen, J.L.; Ozol, M.; Shasavar, A.; Quistgaard, E.M.H.; Poulsen, H.; Fedosova, N.U.; Nissen, P. The Na,K-ATPase in complex with beryllium fluoride mimics an ATPase phosphorylated state. J. Biol. Chem. 2022, 298, 102317. [Google Scholar] [CrossRef]
- Sastry, G.M.; Adzhigirey, M.; Day, T.; Annabhimoju, R.; Sherman, W. Protein and ligand preparation: Parameters, protocols, and influence on virtual screening enrichments. J. Comput. Aided Mol. Des. 2013, 27, 221–234. [Google Scholar] [CrossRef] [PubMed]
- Olsson, M.H.M.; Søndergaard, C.R.; Rostkowski, M.; Jensen, J.H. PROPKA3: Consistent treatment of internal and surface residues in empirical pKa predictions. J. Chem. Theory Comput. 2011, 7, 525–537. [Google Scholar] [CrossRef] [PubMed]
- Rui, H.; Artigas, P.; Roux, B. The selectivity of the Na+/K+-pump is controlled by binding site protonation and self-correcting occlusion. eLife 2016, 5, e16616. [Google Scholar] [CrossRef] [PubMed]
- Yu, H.B.; Ratheal, I.M.; Artigas, P.; Roux, B. Protonation of key acidic residues is critical for the K+-selectivity of the Na/K pump. Nat. Struct. Mol. Biol. 2011, 18, 1159-U1116. [Google Scholar] [CrossRef]
- Damjanovic, A.; Garcia-Moreno, B.; Brooks, B.R. Self-guided Langevin dynamics study of regulatory interactions in NtrC. Proteins Struct. Funct. Bioinform. 2009, 76, 1007–1019. [Google Scholar] [CrossRef]
- Sherman, W.; Day, T.; Jacobson, M.P.; Friesner, R.A.; Farid, R. Novel procedure for modeling ligand/receptor induced fit effects. J. Med. Chem. 2006, 49, 534–553. [Google Scholar] [CrossRef]
- Lomize, M.A.; Pogozheva, I.D.; Joo, H.; Mosberg, H.I.; Lomize, A.L. OPM database and PPM web server: Resources for positioning of proteins in membranes. Nucleic Acids Res. 2012, 40, D370–D376. [Google Scholar] [CrossRef]
- Wassenaar, T.A.; Ingolfsson, H.I.; Bockmann, R.A.; Tieleman, D.P.; Marrink, S.J. Computational lipidomics with insane: A versatile tool for generating custom membranes for molecular simulations. J. Chem. Theory Comput. 2015, 11, 2144–2155. [Google Scholar] [CrossRef]
- Available online: https://cgmartini.nl/docs/downloads/tools/topology-structure-generation.html (accessed on 11 November 2025).
- Wassenaar, T.A.; Pluhackova, K.; Bockmann, R.A.; Marrink, S.J.; Tieleman, D.P. Going backward: A flexible geometric approach to reverse transformation from coarse grained to atomistic models. J. Chem. Theory Comput. 2014, 10, 676–690. [Google Scholar] [CrossRef] [PubMed]
- de Jong, D.H.; Singh, G.; Bennett, W.F.; Arnarez, C.; Wassenaar, T.A.; Schafer, L.V.; Periole, X.; Tieleman, D.P.; Marrink, S.J. Improved parameters for the MARTINI coarse-grained protein force field. J. Chem. Theory Comput. 2013, 9, 687–697. [Google Scholar] [CrossRef] [PubMed]
- Marrink, S.J.; Risselada, H.J.; Yefimov, S.; Tieleman, D.P.; de Vries, A.H. The MARTINI force field: Coarse grained model for biomolecular simulations. J. Phys. Chem. B 2007, 111, 7812–7824. [Google Scholar] [CrossRef]
- Monticelli, L.; Kandasamy, S.K.; Periole, X.; Larson, R.G.; Tieleman, D.P.; Marrink, S.J. The MARTINI coarse-grained force field: Extension to proteins. J. Chem. Theory Comput. 2008, 4, 819–834. [Google Scholar] [CrossRef] [PubMed]
- Huang, J.; Rauscher, S.; Nawrocki, G.; Ran, T.; Feig, M.; de Groot, B.L.; Grubmuller, H.; MacKerell, A.D. CHARMM36m: An improved force field for folded and intrinsically disordered proteins. Nat. Methods 2017, 14, 71–73. [Google Scholar] [CrossRef]
- Klauda, J.B.; Venable, R.M.; Freites, J.A.; O’Connor, J.W.; Tobias, D.J.; Mondragon-Ramirez, C.; Vorobyov, I.; MacKerell, A.D., Jr.; Pastor, R.W. Update of the CHARMM all-atom additive force field for lipids: Validation on six lipid types. J. Phys. Chem. B 2010, 114, 7830–7843. [Google Scholar] [CrossRef]
- MacKerell, A.D.; Bashford, D.; Bellott, M.; Dunbrack, R.L.; Evanseck, J.D.; Field, M.J.; Fischer, S.; Gao, J.; Guo, H.; Ha, S.; et al. All-atom empirical potential for molecular modeling and dynamics studies of proteins. J. Phys. Chem. B 1998, 102, 3586–3616. [Google Scholar] [CrossRef]
- Durell, S.R.; Brooks, B.R.; Bennaim, A. Solvent-induced forces between 2 hydrophilic groups. J. Phys. Chem. 1994, 98, 2198–2202. [Google Scholar] [CrossRef]
- Hess, B. P-LINCS: A parallel linear constraint solver for molecular simulation. J. Chem. Theory Comput. 2008, 4, 116–122. [Google Scholar] [CrossRef] [PubMed]
- Vanommeslaeghe, K.; Raman, E.P.; MacKerell, A.D. Automation of the CHARMM General Force Field (CGenFF) II: Assignment of bonded parameters and partial atomic charges. J. Chem. Inf. Model. 2012, 52, 3155–3168. [Google Scholar] [CrossRef]
- Guvench, O.; Mallajosyula, S.S.; Raman, E.P.; Hatcher, E.; Vanommeslaeghe, K.; Foster, T.J.; Jamison, F.W.; MacKerell, A.D. CHARMM additive all-atom force field for carbohydrate derivatives and its utility in polysaccharide and carbohydrate-protein modeling. J. Chem. Theory Comput. 2011, 7, 3162–3180. [Google Scholar] [CrossRef]
- Guvench, O.; Greene, S.N.; Kamath, G.; Brady, J.W.; Venable, R.M.; Pastor, R.W.; Mackerell, A.D., Jr. Additive empirical force field for hexopyranose monosaccharides. J. Comput. Chem. 2008, 29, 2543–2564. [Google Scholar] [CrossRef] [PubMed]
- Phillips, J.C.; Hardy, D.J.; Maia, J.D.C.; Stone, J.E.; Ribeiro, J.V.; Bernardi, R.C.; Buch, R.; Fiorin, G.; Henin, J.; Jiang, W.; et al. Scalable molecular dynamics on CPU and GPU architectures with NAMD. J. Chem. Phys. 2020, 153, 044130. [Google Scholar] [CrossRef] [PubMed]
- Humphrey, W.; Dalke, A.; Schulten, K. VMD: Visual molecular dynamics. J. Mol. Graph. 1996, 14, 33–38. [Google Scholar] [CrossRef]
- Saha, J.R.; Butler, V.P., Jr.; Neu, H.C.; Lindenbaum, J. Digoxin-inactivating bacteria: Identification in human gut flora. Science 1983, 220, 325–327. [Google Scholar] [CrossRef]







| Core Interaction | Hydroxyl at C3/Sugar Interaction | |||||||||||||||
|---|---|---|---|---|---|---|---|---|---|---|---|---|---|---|---|---|
| Hydroxyl at C14 | Hydroxyl at C12 | |||||||||||||||
| CTS | BM Prevalence | BM | T797 | I315 | N122 | T797 | I315 | N122 | Q111 | T114 | E115 | N120 | D121 | N122 | E312 | R880 |
| β-Bufalin | 69% | BM1 | 91% | 0% | 7% | 0% | 0% | 0% | 0% | 0% | 0% | 0% | 6% | |||
| 17% | BM2 | 0% | 0% | 3% | 36% | 0% | 0% | 0% | 0% | 39% | 0% | 0% | ||||
| α-Bufalin | 39% | BM1 | 74% | 0% | 10% | 0% | 0% | 0% | 0% | 0% | 0% | 0% | 0% | |||
| 52% | BM2 | 0% | 0% | 0% | 2% | 0% | 0% | 0% | 1% | 3% | 0% | 0% | ||||
| β-Bufalin-N-glucose | 95% | BM0 | 95% | 0% | 0% | 14% | 13% | 0% | 0% | 0% | 0% | 1% | 0% | |||
| β-Bufalin-N-glucose (no ions) | 81% | BM0 | 57% | 0% | 5% | 21% | 0% | 0% | 1% | 0% | 0% | 2% | 3% | |||
| 6% | BM1 | 0% | 0% | 62% | 0% | 0% | 0% | 0% | 0% | 0% | 0% | 28% | ||||
| 5% | BM2 | 1% | 0% | 0% | 0% | 0% | 0% | 0% | 0% | 0% | 1% | 0% | ||||
| α-Bufalin-N-glucose | 91% | BM1 | 67% | 0% | 11% | 0% | 0% | 0% | 0% | 2% | 0% | 0% | 0% | |||
| α-Bufalin-N-glucose (no ions) | 61% | BM1 | 18% | 0% | 2% | 3% | 0% | 1% | 0% | 0% | 0% | 0% | 0% | |||
| 5% | BM2 | 0% | 0% | 88% | 0% | 0% | 6% | 0% | 0% | 0% | 0% | 0% | ||||
| 20% | BM3 | 0% | 0% | 0% | 0% | 0% | 0% | 0% | 0% | 0% | 0% | 3% | ||||
| β-Bufalin-O-glucose | 37% | BM1 | 90% | 0% | 9% | 0% | 0% | 0% | 0% | 0% | 0% | 0% | 3% | |||
| 58% | BM2 | 39% | 0% | 2% | 1% | 6% | 6% | 0% | 0% | 0% | 2% | 0% | ||||
| β-Bufalin-O-glucose (no ions) | 70% | BM1 | 88% | 0% | 1% | 0% | 0% | 19% | 0% | 0% | 0% | 4% | 21% | |||
| 26% | BM2 | 9% | 0% | 1% | 4% | 0% | 0% | 0% | 0% | 0% | 5% | 26% | ||||
| Digoxigenin | 28% | BM0 | 71% | 0% | 0% | 0% | 0% | 57% | 0% | 0% | 0% | 0% | 0% | 0% | 0% | 11% |
| 43% | BM1 | 69% | 0% | 20% | 0% | 33% | 1% | 0% | 0% | 0% | 0% | 0% | 0% | 0% | 3% | |
| 20% | BM2 | 0% | 0% | 2% | 5% | 0% | 0% | 28% | 0% | 0% | 6% | 0% | 0% | 0% | 0% | |
| Digoxigenin monodigitoxoside | 55% | BM0 | 82% | 0% | 0% | 0% | 0% | 82% | 0% | 0% | 0% | 0% | 0% | 0% | 34% | 6% |
| 44% | BM1 | 83% | 0% | 18% | 0% | 0% | 0% | 0% | 0% | 0% | 0% | 0% | 0% | 2% | 16% | |
| Digoxin | 79% | BM0 | 78% | 0% | 0% | 0% | 0% | 68% | 0% | 0% | 0% | 0% | 0% | 0% | 0% | 0% |
| 19% | BM1 | 82% | 0% | 0% | 0% | 0% | 0% | 0% | 0% | 0% | 0% | 0% | 0% | 0% | 0% | |
| Bound Steroid | Stereochemistry at C3 | Structural Cations | Simulation Length (ns) | n Repeat Simulations |
|---|---|---|---|---|
| Bufalin | β | 2xK+ | 500 | 5 |
| Bufalin | α | 2xK+ | 500 | 3 |
| Bufalin-N-glucose | β | 2xK+ | 500 | 3 |
| Bufalin-N-glucose | β | none | 500 | 3 |
| Bufalin-N-glucose | α | 2xK+ | 500 | 3 |
| Bufalin-O-glucose | β | 2xK+ | 500 | 3 |
| Bufalin-O-glucose | β | none | 500 | 3 |
| Digoxigenin | β | 1xMg2+ | 500 | 3 |
| Digoxin monodigitoxoside | β | 1xMg2+ | 500 | 3 |
| Digoxin | β | 1xMg2+ | 500 | 3 |
| Equilibration | Production Run | ||||
|---|---|---|---|---|---|
| Chronological step | 1 | 2 | 3 | 4 | 5 |
| Resolution | CG | CG | AA | AA | AA |
| Ensemble | NVT | NPT | NVT | NPT | NPT |
| Duration | 2 ns | 5 ns | 0.5 ns | 1 ns | 500 ns |
| Timestep | 10 fs | 10 fs | 2 fs | 2 fs | 2 fs |
| Position restraints | Protein/ligand/ structural ions | Protein/ligand/ structural ions | Protein/ligand/ structural ions | Protein/ligand/ structural ions | None |
| Thermostat | Berendsen | Velocity rescale | Nose–Hoover | Nose–Hoover | Nose–Hoover |
| Barostat | - | Berendsen | - | Parrinello–Rahman | Parrinello–Rahman |
Disclaimer/Publisher’s Note: The statements, opinions and data contained in all publications are solely those of the individual author(s) and contributor(s) and not of MDPI and/or the editor(s). MDPI and/or the editor(s) disclaim responsibility for any injury to people or property resulting from any ideas, methods, instructions or products referred to in the content. |
© 2025 by the authors. Licensee MDPI, Basel, Switzerland. This article is an open access article distributed under the terms and conditions of the Creative Commons Attribution (CC BY) license (https://creativecommons.org/licenses/by/4.0/).
Share and Cite
Ladefoged, L.K.; Schiøtt, B.; Fedosova, N.U. Derivatization of Bufadienolides at Carbon-3 of the Steroid Core and Their Consequences for the Interaction with Na+,K+-ATPase. Int. J. Mol. Sci. 2025, 26, 11027. https://doi.org/10.3390/ijms262211027
Ladefoged LK, Schiøtt B, Fedosova NU. Derivatization of Bufadienolides at Carbon-3 of the Steroid Core and Their Consequences for the Interaction with Na+,K+-ATPase. International Journal of Molecular Sciences. 2025; 26(22):11027. https://doi.org/10.3390/ijms262211027
Chicago/Turabian StyleLadefoged, Lucy Kate, Birgit Schiøtt, and Natalya U. Fedosova. 2025. "Derivatization of Bufadienolides at Carbon-3 of the Steroid Core and Their Consequences for the Interaction with Na+,K+-ATPase" International Journal of Molecular Sciences 26, no. 22: 11027. https://doi.org/10.3390/ijms262211027
APA StyleLadefoged, L. K., Schiøtt, B., & Fedosova, N. U. (2025). Derivatization of Bufadienolides at Carbon-3 of the Steroid Core and Their Consequences for the Interaction with Na+,K+-ATPase. International Journal of Molecular Sciences, 26(22), 11027. https://doi.org/10.3390/ijms262211027

