Ginger (Zingiber officinale) and Zingerone Antioxidant Properties Studied Using Hydrodynamic Voltammetry, Zingerone Crystal Structure and Density Functional Theory (DFT)—Results Support Zingerone Experimental Catalytic Behavior Similar to Superoxide Dismutases (SODs)
Abstract
1. Introduction
2. Results and Discussion
2.1. X-Ray
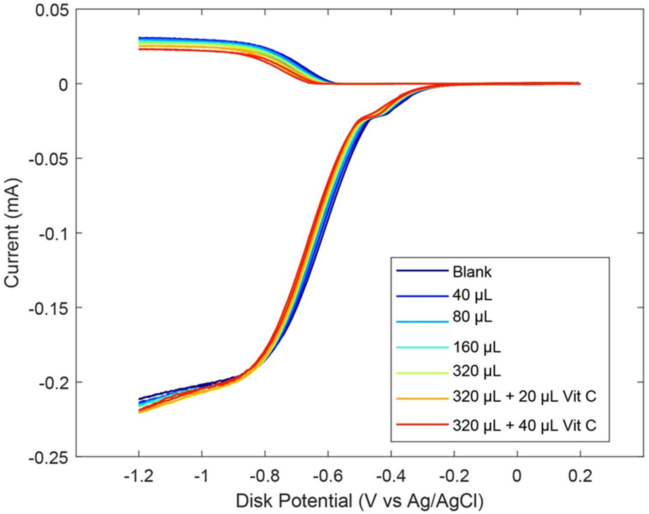
2.2. RRDE
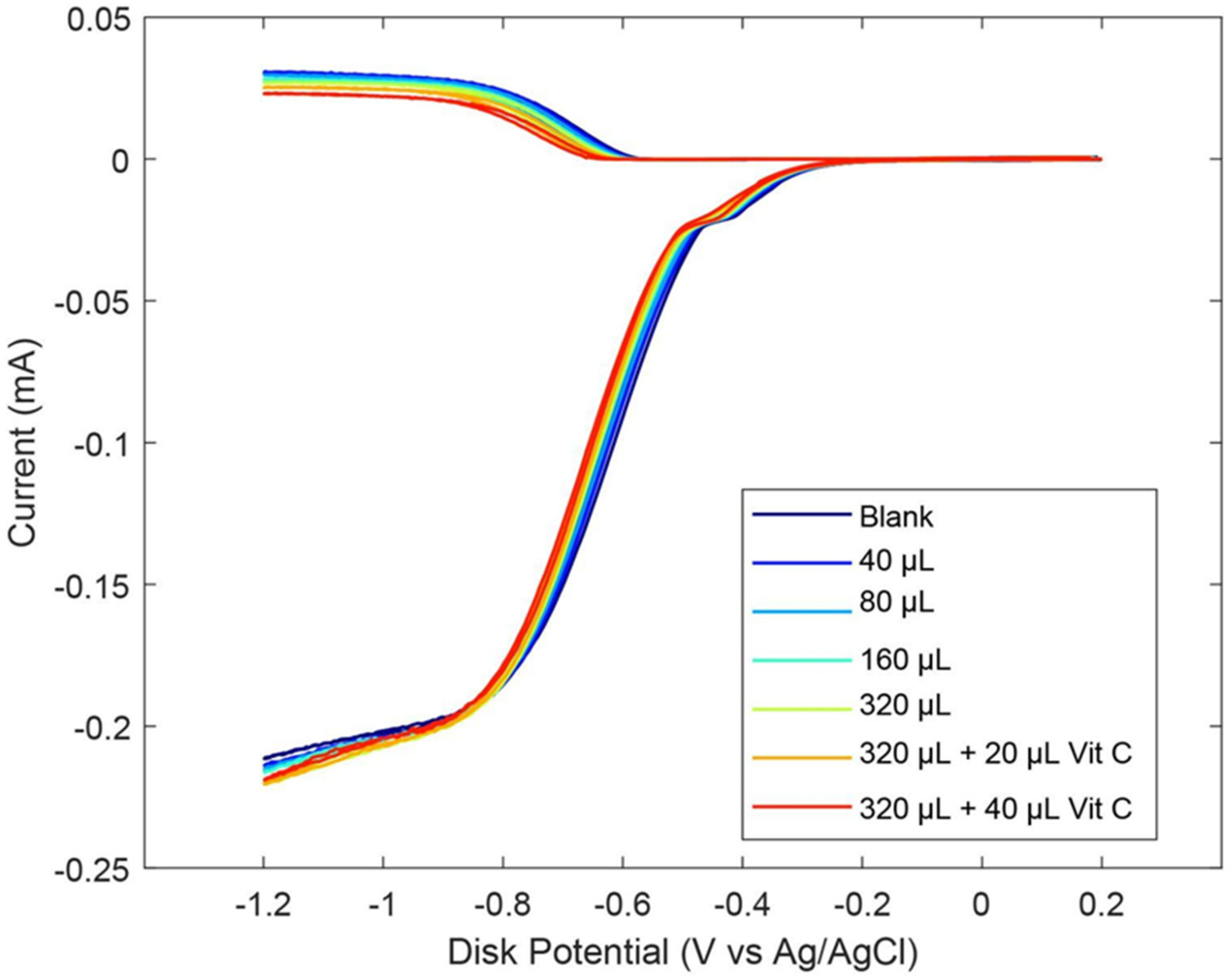
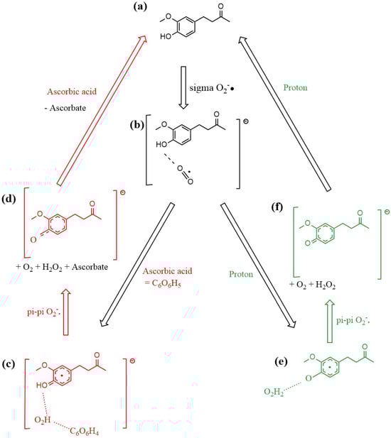
2.2.1. Zingerone
2.2.2. Ginger Powder
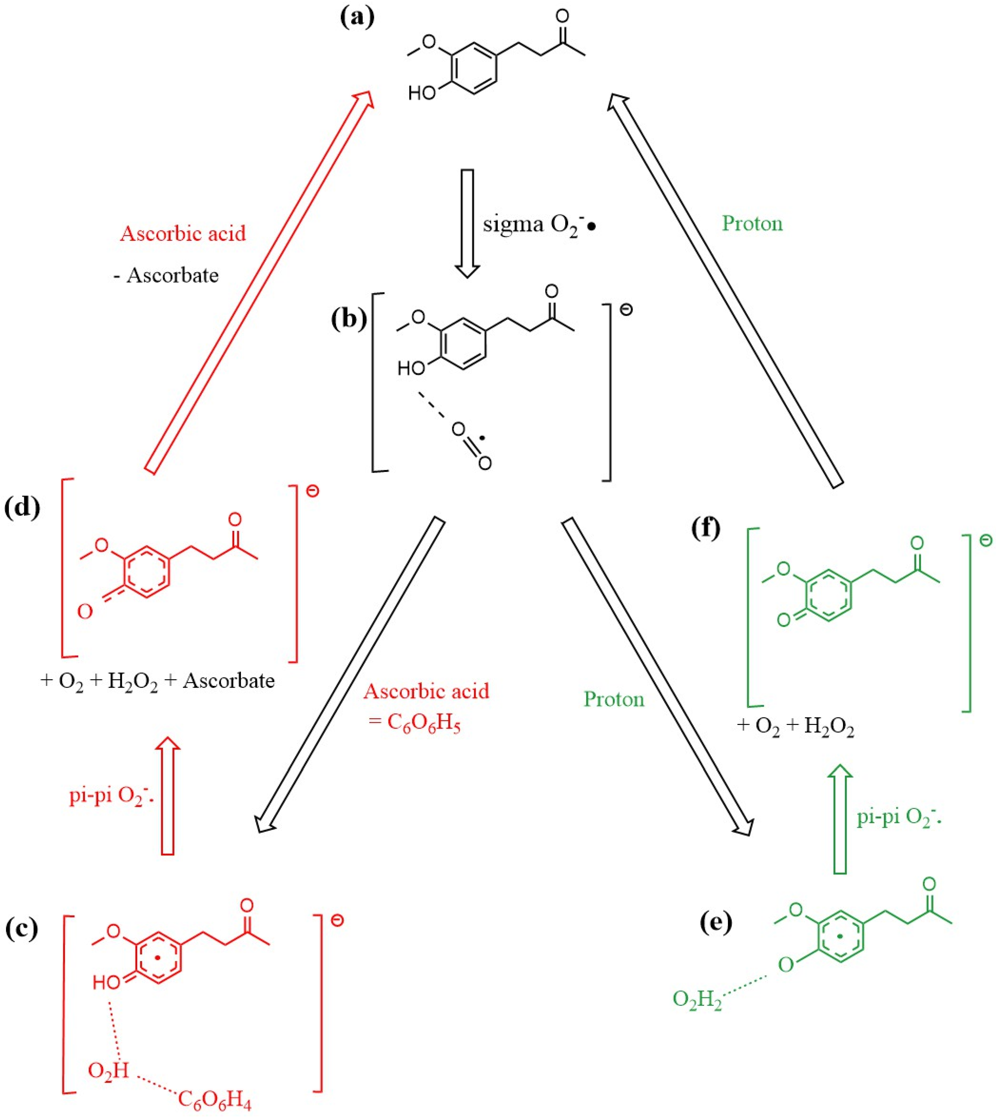
2.3. DFT
3. Materials and Methods
3.1. Reagents
3.2. Method and Equipment
3.2.1. X-Ray Diffraction
3.2.2. Electrochemical Studies
Hydrodynamic Voltammetry (RRDE)
3.2.3. Computational Study
4. Conclusions
Supplementary Materials
Author Contributions
Funding
Institutional Review Board Statement
Informed Consent Statement
Data Availability Statement
Acknowledgments
Conflicts of Interest
References
- Yadav, S.; Sharma, K.; Alam, M.A. Ginger Medicinal Uses and Benefits. Eur. J. Pharm. Med. Res. 2016, 3, 127–135. [Google Scholar]
- Shahrajabian, M.H.; Sun, W.; Cheng, Q. Clinical aspects and health benefits of ginger (Zingiber officinale) in both traditional Chinese medicine and modern industry. Acta Agricult. Scand. Sect. B—Soil Plant Sci. 2019, 69, 546–556. [Google Scholar] [CrossRef]
- Bode, A.M.; Dong, Z. The Amazing and Mighty Ginger. In Herbal Medicine: Biomolecular and Clinical Aspects, 2nd ed.; Benzie, I.F.F., Wachtel-Galor, S., Eds.; CRC Press: Boca Raton, FL, USA; Taylor & Francis: Abingdon, UK, 2011; Chapter 7. Available online: https://www.ncbi.nlm.nih.gov/books/NBK92775/ (accessed on 10 August 2025).
- Prabhakaran Nair, K.P. The Agronomy and Economy of Tumeric and Ginger: The Invaluable Medicinal Spice Crops; Elsevier: Amsterdam, The Netherlands, 2013; pp. 225–292. ISBN 9780123948014. [Google Scholar] [CrossRef]
- Ravindran, P.; Nirmal Babu, K. Ginger: The Genus Zingiber; CRC Press: Boca Raton, FL, USA, 2005; pp. 1–15. [Google Scholar] [CrossRef]
- Palatty, P.L.; Haniadka, R.; Valder, B.; Arora, R.; Baliga, M.S. Ginger in the Prevention of Nausea and Vomiting: A Review. Crit. Rev. Food Sci. Nutr. 2013, 53, 659–669. [Google Scholar] [CrossRef]
- Shaukat, M.N.; Nazir, A.; Fallico, B. Ginger Bioactives: A Comprehensive Review of Health Benefits and Potential Food Applications. Antioxidants 2023, 12, 2015. [Google Scholar] [CrossRef]
- Ayustaningwarno, F.; Anjani, G.; Ayu, A.M.; Fogliano, V. A critical review of Ginger’s (Zingiber officinale) antioxidant, anti-inflammatory, and immunomodulatory activities. Front. Nutr. 2024, 11, 1364836. [Google Scholar] [CrossRef]
- Pázmándi, K.; Szöllősi, A.G.; Fekete, T. The “root” causes behind the anti-inflammatory actions of ginger compounds in immune cells. Front. Immunol. 2024, 15, 1400956. [Google Scholar] [CrossRef]
- Ballester, P.; Cerdá, B.; Arcusa, R.; Marhuenda, J.; Yamedjeu, K.; Zafrilla, P. Effect of Ginger on Inflammatory Diseases. Molecules 2022, 27, 223. [Google Scholar] [CrossRef]
- Ahmad, B.; Rehman, M.U.; Amin, I.; Arif, A.; Rasool, S.; Bhat, S.A.; Afzal, I.; Hussain, I.; Bilal, S.; Mir, M. A Review on Pharmacological Properties of Zingerone (4-(4-Hydroxy-3-methoxyphenyl)-2-butanone). Sci. World J. 2015, 2015, 816364. [Google Scholar] [CrossRef]
- Idris, N.A.; Yasin, H.M.; Usman, A. Voltammetric and spectroscopic determination of polyphenols and antioxidants in ginger (Zingiber officinale Roscoe). Heliyon 2019, 5, e01717. [Google Scholar] [CrossRef] [PubMed]
- Cayman Chemicals Safety Data Sheet. Available online: https://cdn.caymanchem.com/cdn/msds/24909m.pdf (accessed on 1 September 2025).
- Ganaie, M.A.; Al Saeedan, A.; Madhkali, H.; Jan, B.L.; Khatlani, T.; Sheikh, I.A.; Rehman, M.U.; Wani, K. Chemopreventive efficacy zingerone (4-[4-hydroxy-3-methylphenyl] butan-2-one) in experimental colon carcinogenesis in Wistar rats. Environ. Toxicol. 2019, 34, 610–625. [Google Scholar] [CrossRef]
- Mohammed, H.M. Zingerone ameliorates non-alcoholic fatty liver disease in rats by activating AMPK. J. Food Biochem. 2022, 46, e14149. [Google Scholar] [CrossRef]
- Liu, Z.; Yan, F.; Zhang, H.; Wang, L.; Zhao, Y.; Zhao, H.; Li, C.; Dai, J.; Yu, B.; Xiong, H.; et al. Zingerone attenuates concanavalin A-induced acute liver injury by restricting inflammatory responses. Int. Immunopharmacol. 2024, 142, 113198. [Google Scholar] [CrossRef]
- Olasehinde, T.A.; Olaokun, O.O. Zingerone as a Neuroprotective Agent Against Cognitive Disorders: A Systematic Review of Preclinical Studies. Int. J. Mol. Sci. 2025, 26, 6111. [Google Scholar] [CrossRef]
- Shamsabadi, S.; Nazer, Y.; Ghasemi, J.; Mahzoon, E.; Baradaran Rahimi, V.; Ajiboye, B.O.; Askari, V.R. Promising influences of zingerone against natural and chemical toxins: A comprehensive and mechanistic review. Toxicon 2023, 233, 107247. [Google Scholar] [CrossRef]
- Aeschbach, R.; Löliger, J.; Scott, B.C.; Murcia, A.; Butler, J.; Halliwell, B.; Aruoma, O.I. Antioxidant actions of thymol, carvacrol, 6-gingerol, zingerone and hydroxytyrosol. Food Chem. Toxicol. 1994, 32, 31–36. [Google Scholar] [CrossRef]
- Rajan, I.; Narayanan, N.; Rabindran, R.; Jayasree, P.R.; Manish Kumar, P.R. Zingerone protects against stannous chloride-induced and hydrogen peroxide-induced oxidative DNA damage in vitro. Biol. Trace Elem. Res. 2013, 155, 455–459. [Google Scholar] [CrossRef]
- Zhu, Y.; Wang, D.; Luo, J.; Jie, J.; Liu, H.; Peng, L.; Bai, X.; Li, D. Zingerone Inhibits the Neutrophil Extracellular Trap Formation and Protects against Sepsis via NRF2-Mediated ROS Inhibition. Oxid. Med. Cell Longev. 2022, 2022, 3990607. [Google Scholar] [CrossRef]
- Akaras, N.; Gur, C.; Kucukler, S.; Kandemir, F.M. Zingerone reduces sodium arsenite-induced nephrotoxicity by regulating oxidative stress, inflammation, apoptosis and histopathological changes. Chem. Biol. Interact. 2023, 374, 110410. [Google Scholar] [CrossRef]
- Li, Y.; Hong, Y.; Han, Y.; Wang, Y.; Xia, L. Chemical characterization and antioxidant activities comparison in fresh, dried, stir-frying and carbonized ginger. J. Chromatogr. B 2016, 1011, 223–232. [Google Scholar] [CrossRef]
- Sakulnarmrat, K.; Srzednicki, G.; Konczak, I. Antioxidant, enzyme inhibitory and antiproliferative activity of polyphenolic-rich fraction of commercial dry ginger powder. Int. J. Food Sci. Technol. 2015, 50, 2229–2235. [Google Scholar] [CrossRef]
- Schaich, K.M.; Tian, X.; Xie, J. Reprint of “Hurdles and pitfalls in measuring antioxidant efficacy: A critical evaluation of ABTS, DPPH, and ORAC assays”. J. Funct. Foods Part B 2015, 18, 782–796. [Google Scholar] [CrossRef]
- Sheng, Y.; Abreu, I.A.; Cabelli, D.E.; Maroney, M.J.; Miller, A.F.; Teixeira, M.; Valentine, J.S. Superoxide dismutases and superoxide reductases. Chem. Rev. 2014, 114, 3854–3918. [Google Scholar] [CrossRef]
- Caruso, F.; Pedersen, J.Z.; Incerpi, S.; Belli, S.; Sakib, R.; Rossi, M. Interaction between Vitamins C and E When Scavenging the Superoxide Radical Shown by Hydrodynamic Voltammetry and DFT. Biophysica 2024, 4, 310–326. [Google Scholar] [CrossRef]
- Rossi, M.; Belli, S.; Velez, P.; Caruso, A.; Morresi, C.; Bacchetti, T.; Caruso, F. Superoxide Scavenging by Capers and Kaempferol, Measured by Hydrodynamic Voltammetry, Shows Kaempferol Synergistic Action with Vitamin C; Density Functional Theory (DFT) Results Support Experimental Kaempferol Catalytic Behavior Similar to Superoxide Dismutases (SODs). Molecules 2025, 30, 2346. [Google Scholar] [CrossRef]
- Yu, S.; Caruso, F.; Belli, S.; Rossi, M. Scavenging of Superoxide in Aprotic Solvents of Four Isoflavones That Mimic Superoxide Dismutase. Int. J. Mol. Sci. 2023, 24, 3815. [Google Scholar] [CrossRef]
- Caruso, F.; Incerpi, S.; Pedersen, J.; Belli, S.; Kaur, S.; Rossi, M. Aromatic Polyphenol π-π Interactions with Superoxide Radicals Contribute to Radical Scavenging and Can Make Polyphenols Mimic Superoxide Dismutase Activity. Curr. Issues Mol. Biol. 2022, 44, 5209–5220. [Google Scholar] [CrossRef]
- Goeta, A.E.; Howard, J.A. Low temperature single crystal X-ray diffraction: Advantages, instrumentation and applications. Chem. Soc. Rev. 2004, 33, 490–500. [Google Scholar] [CrossRef]
- Macrae, C.F.; Sovago, I.; Cottrell, S.J.; Galek, P.T.; McCabe, P.; Pidcock, E.; Platings, M.; Shields, G.P.; Stevens, J.S.; Towler, M.; et al. Mercury 4.0: From visualization to analysis, design and prediction. J. Appl. Cryst. 2020, 53, 226–235. [Google Scholar] [CrossRef]
- Aljohani, M.; McArdle, P.; Erxeben, A. The Very Different Effect of Water on Nucleation, Crystallization, and Hydrate Stability of Zingerone and Vanillate Esters. Cryst. Growth Des. 2020, 20, 627–635. [Google Scholar] [CrossRef]
- Girija, C.R.; Begum, N.S.; Syed, A.A.; Thiruvenkatam, V. Hydrogen-bonding and C—H···π interactions in 1,7-bis(4-hydroxy-3-methoxyphenyl)heptane-3,5-dione (tetrahydrocurcumin). Acta Cryst. 2004, C60, o611–o613. [Google Scholar] [CrossRef]
- Sundareswaran, S. YUHTEA07, CCDC deposition 2057475. CSD Commun. 2021. [Google Scholar] [CrossRef]
- Kumar, N.; Pruthi, V. Structural elucidation and molecular docking of ferulic acid from Parthenium hysterophorus possessing COX-2 inhibition activity. 3 Biotech 2015, 5, 541–551. [Google Scholar] [CrossRef]
- Okoye, I.; Yu, S.; Caruso, F.; Rossi, M. X-ray Structure Determination, Antioxidant Voltammetry Studies of Butein and 2′,4′-Dihydroxy-3,4-dimethoxychalcone. Computational Studies of 4 Structurally Related 2′,4′-diOH Chalcones to Examine Their Antimalarial Activity by Binding to Falcipain-2. Molecules 2021, 26, 6511. [Google Scholar] [CrossRef]
- Ye, N.; Belli, S.; Caruso, F.; Roy, G.; Rossi, M. Antioxidant studies by hydrodynamic voltammetry and DFT, quantitative analyses by HPLC-DAD of clovamide, a natural phenolic compound found in Theobroma cacao L. beans. Food Chem. 2021, 341 Pt 2, 128260. [Google Scholar] [CrossRef]
- Rossi, M.; Caruso, F.; Kwok, L.; Lee, G.; Caruso, A.; Gionfra, F.; Candelotti, E.; Belli, S.L.; Molasky, N.; Raley-Susman, K.M.; et al. Protection by extra virgin olive oil against oxidative stress in vitro and in vivo. Chemical and biological studies on the health benefits due to a major component of the Mediterranean diet. PLoS ONE 2017, 12, e0189341. [Google Scholar] [CrossRef]
- El-Adawy1, M.M.A.; El-Latif1, A.A.; Farrag, F.; Shukry, M.; Braiji, S.H.; Abeer Hanafy, A. Effect of Zingerone and/or Vitamin C on the Immune System of Albino Rats, Hematological, Biochemical, Gene Expression Biomarkers and Histological Study. Egypt. J. Vet. Sci. 2025, 55, 1393–1404. [Google Scholar] [CrossRef]
- Mansour, D.S.; Morsi, R.M.; Mousa, A.M. Protective effect of Zingiber officinale extract and vitamin C in modulating radiation-induced brain damage in male albino rats. Int. J. Radiat. Res. 2024, 22, 1027–1035. [Google Scholar] [CrossRef]
- Sheldrick, G.M. A short history of SHELX. Acta Cryst. 2008, A64, 112–122. [Google Scholar] [CrossRef]
- Bourhis, L.J.; Dolomanov, O.V.; Gildea, R.J.; Howard, J.A.; Puschmann, H. The anatomy of a comprehensive constrained, restrained refinement program for the modern computing environment-Olex2 dissected. Acta Crystallogr. 2015, 71 Pt 1, 59–75. [Google Scholar] [CrossRef]
- Dolomanov, O.V.; Bourhis, L.J.; Gildea, R.J.; Howard, J.A.K.; Puschmann, H. TITLE Olex. J. Appl. Cryst. 2009, 42, 339–341. [Google Scholar] [CrossRef]
- The Cambridge Crystallographic Data Centre (CCDC). Access Structures. Available online: https://www.ccdc.cam.ac.uk/structures/?] (accessed on 15 September 2025).
- Aftermath Software, Release 1.6.10523; Pine Research Instrumentation: Durham, NC, USA, 2022.
- Mayrhofer, K.; Strmcnik, D.; Blizanac, B.; Stamenkovic, V.; Arenz, M.; Markovic, N. Measurement of oxygen reduction activities via the rotating disc electrode method: From Pt model surfaces to carbon-supported high surface area catalysts. Electrochim. Acta 2008, 53, 3181–3188. [Google Scholar] [CrossRef]
- The MathWorks Inc. MATLAB, version 9.13.0 (R2022b); The MathWorks Inc.: Natick, MA, USA, 2022; Available online: https://www.mathworks.com (accessed on 1 September 2025).
- Delley, B. From molecules to solids with the DMol3 approach. J. Chem. Phys. 2000, 113, 7756–7764. [Google Scholar] [CrossRef]
- Perdew, J.P.; Chevary, J.A.; Vosko, S.H.; Jackson, K.A.; Pederson, M.R.; Singh, D.J.; Fiolhais, C. Atoms, molecules, solids, and surfaces: Applications of the generalized gradient approximation for exchange and correlation. Phys. Rev. B Cond. Mat. Mater. Phys. 1992, 46, 6671–6687, Erratum in Phys. Rev. B Cond. Mat. Mater. Phys. 1993, 48, 4978. [Google Scholar] [CrossRef]
- Becke, A.D. Density-functional exchange-energy approximation with correct asymptotic behavior. Phys. Rev. A 1988, 38, 3098–3100. [Google Scholar] [CrossRef]
- Grimme, S. Semiempirical GGA-type density functional constructed with a long-range dispersion correction. J. Comput. Chem. 2006, 27, 1787–1799. [Google Scholar] [CrossRef]
- Lee, C.; Yang, W.; Parr, R.G. Development of the Colle-Salvetti correlation-energy formula into a functional of the electron density. Phys. Rev. B 1988, 37, 785–789. [Google Scholar] [CrossRef]
- Ranneh, Y.; Ali, F.; Akim, A.M.; Hamid, H.A.; Khazaai, H.; Fadel, A. Crosstalk between reactive oxygen species and pro-inflammatory markers in developing various chronic diseases: A review. Appl. Biol. Chem. 2017, 60, 327–338. [Google Scholar] [CrossRef]


















| Donor–H | Acceptor–H | Donor–Acceptor | Angle | |
|---|---|---|---|---|
| C5-H5...O1 | 1.01(3) | 2.57(3) | 3.489(3) | 151.6(19) |
| O1-H2...O3 | 0.80(3) | 1.94(3) | 2.739(2) | 175.0(3) |
| C9-H90...O1 | 0.96(2) | 2.48(2) | 3.380(3) | 155.2(19) |
Disclaimer/Publisher’s Note: The statements, opinions and data contained in all publications are solely those of the individual author(s) and contributor(s) and not of MDPI and/or the editor(s). MDPI and/or the editor(s) disclaim responsibility for any injury to people or property resulting from any ideas, methods, instructions or products referred to in the content. |
© 2025 by the authors. Licensee MDPI, Basel, Switzerland. This article is an open access article distributed under the terms and conditions of the Creative Commons Attribution (CC BY) license (https://creativecommons.org/licenses/by/4.0/).
Share and Cite
Rossi, M.; Teitsworth, T.S.; McKenzie, E.; Caruso, A.; Thieke, N.; Caruso, F. Ginger (Zingiber officinale) and Zingerone Antioxidant Properties Studied Using Hydrodynamic Voltammetry, Zingerone Crystal Structure and Density Functional Theory (DFT)—Results Support Zingerone Experimental Catalytic Behavior Similar to Superoxide Dismutases (SODs). Int. J. Mol. Sci. 2025, 26, 10645. https://doi.org/10.3390/ijms262110645
Rossi M, Teitsworth TS, McKenzie E, Caruso A, Thieke N, Caruso F. Ginger (Zingiber officinale) and Zingerone Antioxidant Properties Studied Using Hydrodynamic Voltammetry, Zingerone Crystal Structure and Density Functional Theory (DFT)—Results Support Zingerone Experimental Catalytic Behavior Similar to Superoxide Dismutases (SODs). International Journal of Molecular Sciences. 2025; 26(21):10645. https://doi.org/10.3390/ijms262110645
Chicago/Turabian StyleRossi, Miriam, Taylor S. Teitsworth, Elle McKenzie, Alessio Caruso, Natalie Thieke, and Francesco Caruso. 2025. "Ginger (Zingiber officinale) and Zingerone Antioxidant Properties Studied Using Hydrodynamic Voltammetry, Zingerone Crystal Structure and Density Functional Theory (DFT)—Results Support Zingerone Experimental Catalytic Behavior Similar to Superoxide Dismutases (SODs)" International Journal of Molecular Sciences 26, no. 21: 10645. https://doi.org/10.3390/ijms262110645
APA StyleRossi, M., Teitsworth, T. S., McKenzie, E., Caruso, A., Thieke, N., & Caruso, F. (2025). Ginger (Zingiber officinale) and Zingerone Antioxidant Properties Studied Using Hydrodynamic Voltammetry, Zingerone Crystal Structure and Density Functional Theory (DFT)—Results Support Zingerone Experimental Catalytic Behavior Similar to Superoxide Dismutases (SODs). International Journal of Molecular Sciences, 26(21), 10645. https://doi.org/10.3390/ijms262110645

