Long-Term Durability and Variant-Specific Modulation of SARS-CoV-2 Humoral and Cellular Immunity over Two Years
Abstract
1. Introduction
2. Results
2.1. Study Group Characterization
2.2. Dynamics of Anti-SARS-CoV-2 Antibody
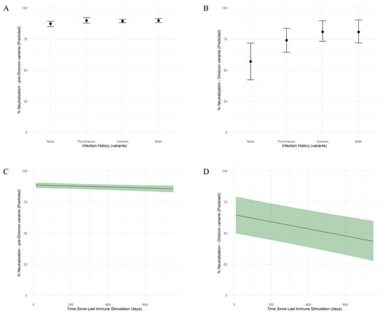
2.3. Neutralization Capacity Against Pre-Omicron and Omicron Variants
2.4. Persistence of SARS-CoV-2 Spike-Specific T Cells
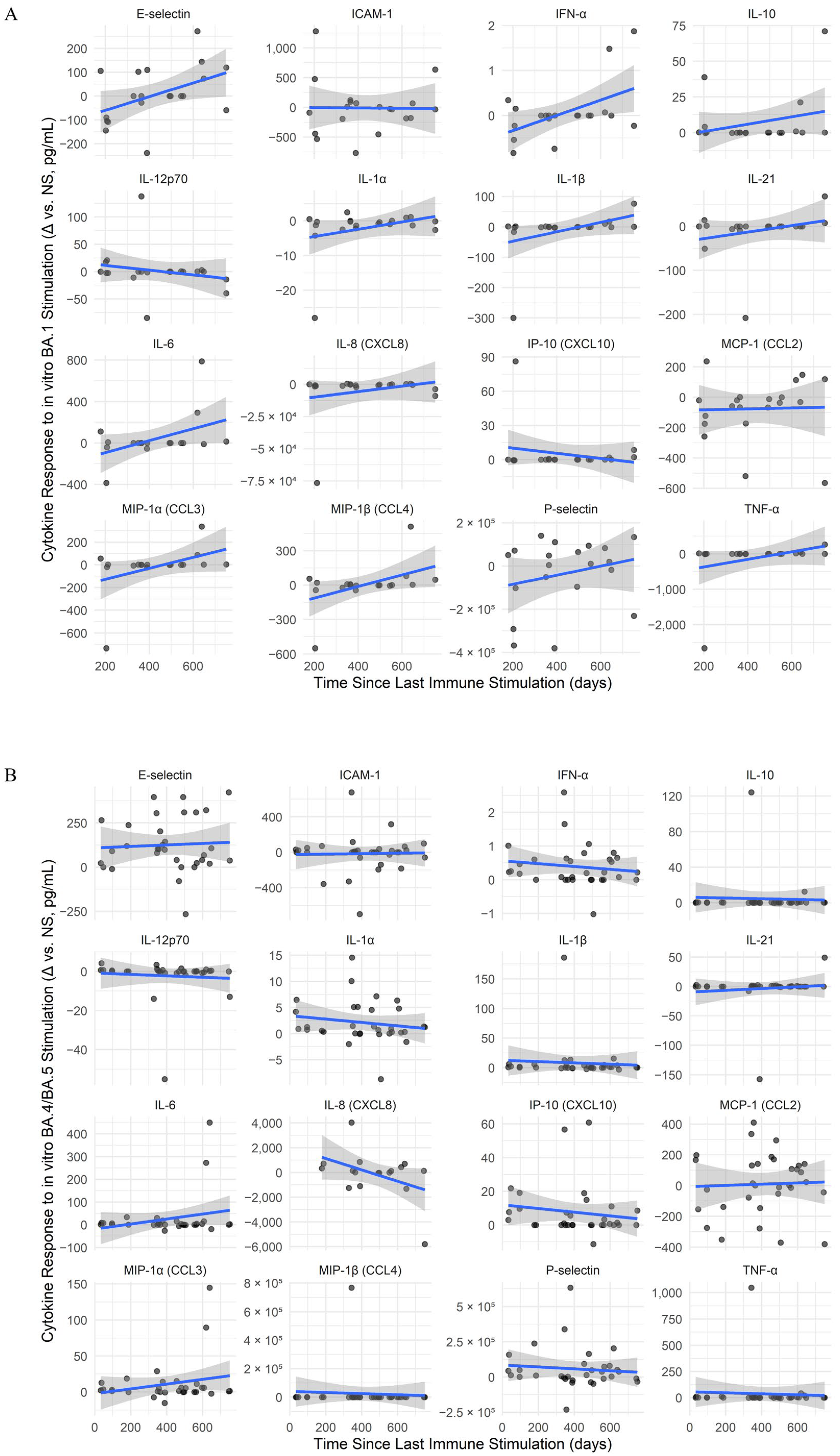
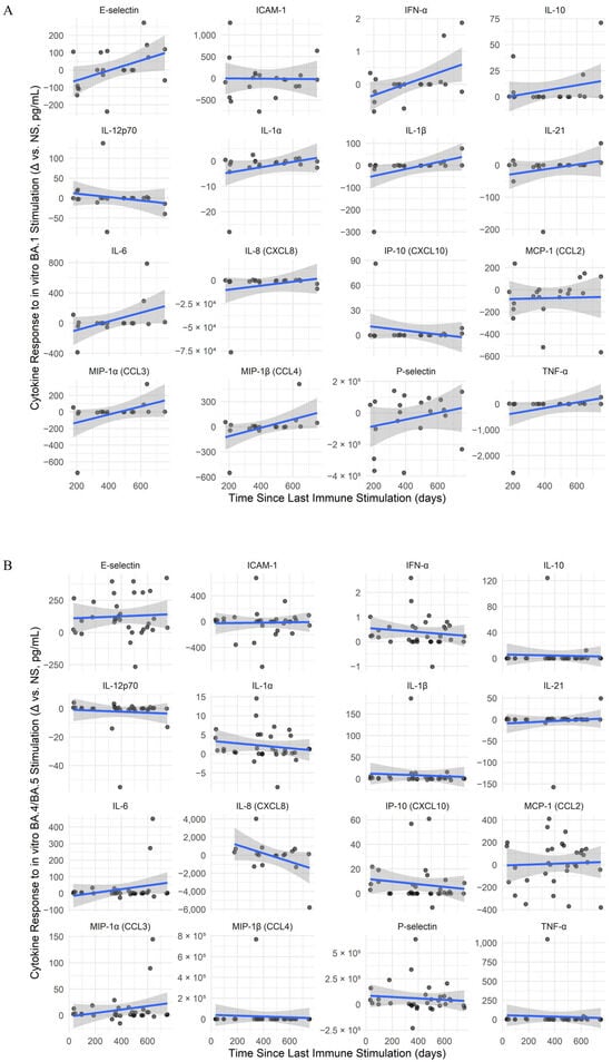
2.5. Dynamics of Cytokine Memory Responses
3. Discussion
4. Materials and Methods
4.1. Study Group
4.2. Sample Collection and Processing
4.3. ELISA Assays for SARS-CoV-2-Specific Antibodies
4.4. Surrogate Neutralization Capacity Assay
4.5. Intracellular Cytokine Staining (ICS) Assay
4.6. Activation-Induced Marker (AIM) Assay
4.7. Cytokine Analysis
4.8. Statistical Analysis
Author Contributions
Funding
Institutional Review Board Statement
Informed Consent Statement
Data Availability Statement
Conflicts of Interest
References
- Bahl, A.; Johnson, S.; Maine, G.; Garcia, M.H.; Nimmagadda, S.; Qu, L.; Chen, N.W. Vaccination reduces need for emergency care in breakthrough COVID-19 infections: A multicenter cohort study. Lancet Reg. Health Am. 2021, 4, 100065. [Google Scholar] [CrossRef]
- Zabidi, N.Z.; Liew, H.L.; Farouk, I.A.; Puniyamurti, A.; Yip, A.J.W.; Wijesinghe, V.N.; Low, Z.Y.; Tang, J.W.; Chow, V.T.K.; Lal, S.K. Evolution of SARS-CoV-2 Variants: Implications on Immune Escape, Vaccination, Therapeutic and Diagnostic Strategies. Viruses 2023, 15. [Google Scholar] [CrossRef] [PubMed]
- Graca, D.; Brglez, V.; Allouche, J.; Zorzi, K.; Fernandez, C.; Teisseyre, M.; Cremoni, M.; Benzaken, S.; Pradier, C.; Seitz-Polski, B. Both Humoral and Cellular Immune Responses to SARS-CoV-2 Are Essential to Prevent Infection: A Prospective Study in a Working Vaccinated Population from Southern France. J. Clin. Immunol. 2023, 43, 1724–1739. [Google Scholar] [CrossRef] [PubMed]
- Tripathy, A.S.; Singh, D.; Trimbake, D.; Salwe, S.; Tripathy, S.; Kakrani, A.; Jali, P.; Chavan, H.; Yadav, P.; Sahay, R.; et al. Humoral and cellular immune response to AZD1222/Covishield and BV152/Covaxin COVID-19 vaccines among adults in India. Hum. Vaccin. Immunother. 2024, 20, 2410579. [Google Scholar] [CrossRef] [PubMed]
- Seekircher, L.; Astl, M.; Tschiderer, L.; Wachter, G.A.; Penz, J.; Pfeifer, B.; Huber, A.; Afonso, P.M.; Gaber, M.; Schennach, H.; et al. Anti-Spike IgG antibodies as correlates of protection against SARS-CoV-2 infection in the pre-Omicron and Omicron era. J. Med. Virol. 2024, 96, e29839. [Google Scholar] [CrossRef]
- Decru, B.; Van Elslande, J.; Steels, S.; Van Pottelbergh, G.; Godderis, L.; Van Holm, B.; Bossuyt, X.; Van Weyenbergh, J.; Maes, P.; Vermeersch, P. IgG Anti-Spike Antibodies and Surrogate Neutralizing Antibody Levels Decline Faster 3 to 10 Months After BNT162b2 Vaccination Than After SARS-CoV-2 Infection in Healthcare Workers. Front. Immunol. 2022, 13, 909910. [Google Scholar] [CrossRef]
- Perez-Alos, L.; Hansen, C.B.; Almagro Armenteros, J.J.; Madsen, J.R.; Heftdal, L.D.; Hasselbalch, R.B.; Pries-Heje, M.M.; Bayarri-Olmos, R.; Jarlhelt, I.; Hamm, S.R.; et al. Previous immunity shapes immune responses to SARS-CoV-2 booster vaccination and Omicron breakthrough infection risk. Nat. Commun. 2023, 14, 5624. [Google Scholar] [CrossRef]
- Madewell, Z.J.; Graff, N.E.; Lopez, V.K.; Rodriguez, D.M.; Wong, J.M.; Maniatis, P.; Medina, F.A.; Munoz, J.L.; Briggs-Hagen, M.; Adams, L.E.; et al. Longitudinal analysis of SARS-CoV-2 IgG antibody durability in Puerto Rico. Sci. Rep. 2024, 14, 30743. [Google Scholar] [CrossRef]
- Srivastava, K.; Carreno, J.M.; Gleason, C.; Monahan, B.; Singh, G.; Abbad, A.; Tcheou, J.; Raskin, A.; Kleiner, G.; van Bakel, H.; et al. SARS-CoV-2-infection- and vaccine-induced antibody responses are long lasting with an initial waning phase followed by a stabilization phase. Immunity 2024, 57, 587–599. [Google Scholar] [CrossRef]
- Gorczynski, R.M.; Lindley, R.A.; Steele, E.J.; Wickramasinghe, N.C. Nature of Acquired Immune Responses, Epitope Specificity and Resultant Protection from SARS-CoV-2. J. Pers. Med. 2021, 11, 1253. [Google Scholar] [CrossRef]
- Dang, T.T.T.; Anzurez, A.; Nakayama-Hosoya, K.; Miki, S.; Yamashita, K.; de Souza, M.; Matano, T.; Kawana-Tachikawa, A. Breadth and Durability of SARS-CoV-2-Specific T Cell Responses following Long-Term Recovery from COVID-19. Microbiol. Spectr. 2023, 11, e0214323. [Google Scholar] [CrossRef]
- Rubio, R.; Macia, D.; Barrios, D.; Vidal, M.; Jimenez, A.; Molinos-Albert, L.M.; Diaz, N.; Canyelles, M.; Lara-Escandell, M.; Planchais, C.; et al. High-resolution kinetics and cellular determinants of SARS-CoV-2 antibody response over two years after COVID-19 vaccination. Microbes Infect. 2025, 27, 105423. [Google Scholar] [CrossRef] [PubMed]
- Chivu-Economescu, M.; Vremera, T.; Ruta, S.M.; Grancea, C.; Leustean, M.; Chiriac, D.; David, A.; Matei, L.; Diaconu, C.C.; Gatea, A.; et al. Assessment of the Humoral Immune Response Following COVID-19 Vaccination in Healthcare Workers: A One Year Longitudinal Study. Biomedicines 2022, 10, 1526. [Google Scholar] [CrossRef] [PubMed]
- Chivu-Economescu, M.; Bleotu, C.; Grancea, C.; Chiriac, D.; Botezatu, A.; Iancu, I.V.; Pitica, I.; Necula, L.G.; Neagu, A.; Matei, L.; et al. Kinetics and persistence of cellular and humoral immune responses to SARS-CoV-2 vaccine in healthcare workers with or without prior COVID-19. J. Cell Mol. Med. 2022, 26, 1293–1305. [Google Scholar] [CrossRef] [PubMed]
- Chen, X.; Hong, J.; Deng, L.; Weng, H.; Huang, T.; Wang, L.; Ou, A.; Li, Y.; Yu, B.; Guo, J.; et al. Association between levels of IgG antibodies from vaccines and Omicron symptomatic infection among children and adolescents in China. Front. Med. 2023, 10, 1240340. [Google Scholar] [CrossRef]
- Nouanesengsy, A.; Semesi, A.; Quach, K.; Ivanochko, D.; Byrne, W.; Hwang, M.; La Neve, M.R.; Leon-Ponte, M.; Litosh, A.; Wisener, N.; et al. Persistence and decay of neutralizing antibody responses elicited by SARS-CoV-2 infection and hybrid immunity in a Canadian cohort. Microbiol. Spectr. 2025, 13, e0133324. [Google Scholar] [CrossRef]
- Weber, T.; Dahling, S.; Rose, S.; Affeldt, P.; Vanshylla, K.; Ullrich, L.; Gieselmann, L.; Teipel, F.; Gruell, H.; Di Cristanziano, V.; et al. Enhanced SARS-CoV-2 humoral immunity following breakthrough infection builds upon the preexisting memory B cell pool. Sci. Immunol. 2023, 8, eadk5845. [Google Scholar] [CrossRef]
- Tas, J.M.J.; Koo, J.H.; Lin, Y.C.; Xie, Z.; Steichen, J.M.; Jackson, A.M.; Hauser, B.M.; Wang, X.; Cottrell, C.A.; Torres, J.L.; et al. Antibodies from primary humoral responses modulate the recruitment of naive B cells during secondary responses. Immunity 2022, 55, 1856–1871.E6. [Google Scholar] [CrossRef]
- Lysek-Gladysinska, M.; Starz, M.; Borowiec-Sek, A.; Sufin, I.; Wieczorek, A.; Chrapek, M.; Zarebska-Michaluk, D.; Sufin, P.; Gluszek, S.; Adamus-Bialek, W. The Levels of Anti-SARS-CoV-2 Spike Protein IgG Antibodies Before and After the Third Dose of Vaccination Against COVID-19. J. Inflamm. Res. 2023, 16, 145–160. [Google Scholar] [CrossRef]
- Ashrafian, F.; Salehi-Vaziri, M.; Mostafavi, E.; Maghsoudi, S.H.; Dahmardeh, S.; Bavand, A.; Moradi, L.; Tajmehrabi Namini, P.; Zali, M.; Tahmasebi, Z.; et al. Long-term assessment of anti-SARS-CoV-2 antibody levels post-pandemic: Tracking the dynamics after two, three, and four COVID-19 vaccine doses. J. Infect. Public Health 2025, 18, 102676. [Google Scholar] [CrossRef]
- Dan, J.M.; Mateus, J.; Kato, Y.; Hastie, K.M.; Yu, E.D.; Faliti, C.E.; Grifoni, A.; Ramirez, S.I.; Haupt, S.; Frazier, A.; et al. Immunological memory to SARS-CoV-2 assessed for up to 8 months after infection. Science 2021, 371, eabf4063. [Google Scholar] [CrossRef] [PubMed]
- Movsisyan, M.; Truzyan, N.; Kasparova, I.; Chopikyan, A.; Sawaqed, R.; Bedross, A.; Sukiasyan, M.; Dilbaryan, K.; Shariff, S.; Kantawala, B.; et al. Tracking the evolution of anti-SARS-CoV-2 antibodies and long-term humoral immunity within 2 years after COVID-19 infection. Sci. Rep. 2024, 14, 13417. [Google Scholar] [CrossRef] [PubMed]
- Besevic, J.; Lacey, B.; Callen, H.; Omiyale, W.; Conroy, M.; Feng, Q.; Crook, D.W.; Doherty, N.; Ebner, D.; Eyre, D.W.; et al. Persistence of SARS-CoV-2 antibodies over 18 months following infection: UK Biobank COVID-19 Serology Study. J. Epidemiol. Community Health 2023, 78, 105–108. [Google Scholar] [CrossRef]
- Noble, C.C.A.; McDonald, E.; Nicholson, S.; Biering-Sorensen, S.; Pittet, L.F.; Byrne, A.L.; Croda, J.; Dalcolmo, M.; Lacerda, M.V.G.; Lucas, M.; et al. Characterising the SARS-CoV-2 nucleocapsid (N) protein antibody response. J. Infect. 2025, 90, 106436. [Google Scholar] [CrossRef] [PubMed]
- Jafari, M.; Asli, S.; Moghbeli, F.; Fesharaki, M.G.; Hajiahmadi, N.; Mojtahedzadeh, F.; Amel Jamehdar, S.; Bamdad, T. Persistence of SARS-CoV-2-antibodies against N, S and RBD after natural infection. Iran. J. Microbiol. 2023, 15, 803–810. [Google Scholar] [CrossRef]
- van den Hoogen, L.L.; Smits, G.; van Hagen, C.C.E.; Wong, D.; Vos, E.R.A.; van Boven, M.; de Melker, H.E.; van Vliet, J.; Kuijer, M.; Woudstra, L.; et al. Seropositivity to Nucleoprotein to detect mild and asymptomatic SARS-CoV-2 infections: A complementary tool to detect breakthrough infections after COVID-19 vaccination? Vaccine 2022, 40, 2251–2257. [Google Scholar] [CrossRef]
- Wagatsuma, K.; Saito, R.; Yoshioka, S.; Yamazaki, S.; Sato, R.; Iwaya, M.; Takahashi, Y.; Chon, I.; Naito, M.; Watanabe, H. Anti-SARS-CoV-2 IgG antibody after the second and third mRNA vaccinations in staff and residents in a nursing home with a previous COVID-19 outbreak in Niigata, Japan. J. Infect. Chemother. 2024, 30, 164–168. [Google Scholar] [CrossRef]
- Sterlin, D.; Mathian, A.; Miyara, M.; Mohr, A.; Anna, F.; Claer, L.; Quentric, P.; Fadlallah, J.; Devilliers, H.; Ghillani, P.; et al. IgA dominates the early neutralizing antibody response to SARS-CoV-2. Sci. Transl. Med. 2021, 13, eabd2223. [Google Scholar] [CrossRef]
- Goritzer, K.; Groppelli, E.; Grunwald-Gruber, C.; Figl, R.; Ni, F.; Hu, H.; Li, Y.; Liu, Y.; Hu, Q.; Puligedda, R.D.; et al. Recombinant neutralizing secretory IgA antibodies for preventing mucosal acquisition and transmission of SARS-CoV-2. Mol. Ther. 2024, 32, 689–703. [Google Scholar] [CrossRef]
- Norton, N.J.; Ings, D.P.; Fifield, K.E.; Barnes, D.A.; Barnable, K.A.; Harnum, D.O.A.; Holder, K.A.; Russell, R.S.; Grant, M.D. Characteristics of Vaccine- and Infection-Induced Systemic IgA Anti-SARS-CoV-2 Spike Responses. Vaccines 2023, 11, 1462. [Google Scholar] [CrossRef]
- Sheikh-Mohamed, S.; Isho, B.; Chao, G.Y.C.; Zuo, M.; Cohen, C.; Lustig, Y.; Nahass, G.R.; Salomon-Shulman, R.E.; Blacker, G.; Fazel-Zarandi, M.; et al. Systemic and mucosal IgA responses are variably induced in response to SARS-CoV-2 mRNA vaccination and are associated with protection against subsequent infection. Mucosal Immunol. 2022, 15, 799–808. [Google Scholar] [CrossRef] [PubMed]
- Wang, Z.; Zhou, P.; Muecksch, F.; Cho, A.; Ben Tanfous, T.; Canis, M.; Witte, L.; Johnson, B.; Raspe, R.; Schmidt, F.; et al. Memory B cell responses to Omicron subvariants after SARS-CoV-2 mRNA breakthrough infection in humans. J. Exp. Med. 2022, 219, e20221006. [Google Scholar] [CrossRef] [PubMed]
- Chemaitelly, H.; Ayoub, H.H.; Coyle, P.; Tang, P.; Hasan, M.R.; Yassine, H.M.; Al Thani, A.A.; Al-Kanaani, Z.; Al-Kuwari, E.; Jeremijenko, A.; et al. Differential protection against SARS-CoV-2 reinfection pre- and post-Omicron. Nature 2025, 639, 1024–1031. [Google Scholar] [CrossRef]
- You, L.; Zhang, L.; Ouyang, S.; Gao, B.; Li, Y.; Li, J.; Wu, N.; Wang, H.; Sun, S.; Li, J.; et al. Multiple infections with Omicron variants increase breadth and potency of Omicron-specific neutralizing antibodies. Cell Discov. 2025, 11, 49. [Google Scholar] [CrossRef]
- Lyke, K.E.; Atmar, R.L.; Islas, C.D.; Posavad, C.M.; Szydlo, D.; Paul Chourdhury, R.; Deming, M.E.; Eaton, A.; Jackson, L.A.; Branche, A.R.; et al. Rapid decline in vaccine-boosted neutralizing antibodies against SARS-CoV-2 Omicron variant. Cell Rep. Med. 2022, 3, 100679. [Google Scholar] [CrossRef]
- Liu, C.; Tsang, T.K.; Sullivan, S.G.; Cowling, B.J.; Yang, B. Comparative duration of neutralizing responses and protections of COVID-19 vaccination and correlates of protection. Nat. Commun. 2025, 16, 4748. [Google Scholar] [CrossRef]
- Wang, X.; Zhang, M.; Wei, K.; Li, C.; Yang, J.; Jiang, S.; Zhao, C.; Zhao, X.; Qiao, R.; Cui, Y.; et al. Longitudinal Analysis of Humoral and Cellular Immune Response up to 6 Months after SARS-CoV-2 BA.5/BF.7/XBB Breakthrough Infection and BA.5/BF.7-XBB Reinfection. Vaccines 2024, 12, 464. [Google Scholar] [CrossRef]
- Sette, A.; Crotty, S. Adaptive immunity to SARS-CoV-2 and COVID-19. Cell 2021, 184, 861–880. [Google Scholar] [CrossRef]
- Minkoff, J.M.; tenOever, B. Innate immune evasion strategies of SARS-CoV-2. Nat. Rev. Microbiol. 2023, 21, 178–194. [Google Scholar] [CrossRef]
- Maison, D.P.; Deng, Y.; Gerschenson, M. SARS-CoV-2 and the host-immune response. Front. Immunol. 2023, 14, 1195871. [Google Scholar] [CrossRef]
- Hansen, C.H.; Michlmayr, D.; Gubbels, S.M.; Molbak, K.; Ethelberg, S. Assessment of protection against reinfection with SARS-CoV-2 among 4 million PCR-tested individuals in Denmark in 2020: A population-level observational study. Lancet 2021, 397, 1204–1212. [Google Scholar] [CrossRef]
- Yamaguchi, Y.; Nameki, S.; Kato, Y.; Saita, R.; Sato, T.; Nagao, S.; Murakami, T.; Yoshimine, Y.; Amiya, S.; Morita, T.; et al. Persistence of SARS-CoV-2 neutralizing antibodies and anti-Omicron IgG induced by BNT162b2 mRNA vaccine in patients with autoimmune inflammatory rheumatic disease: An explanatory study in Japan. Lancet Reg. Health West. Pac. 2023, 32, 100661. [Google Scholar] [CrossRef] [PubMed]
- Ruta, S.; Popescu, C.P.; Matei, L.; Grancea, C.; Paun, A.M.; Oprea, C.; Sultana, C. SARS-CoV-2 Humoral and Cellular Immune Responses in People Living with HIV. Vaccines 2024, 12, 663. [Google Scholar] [CrossRef] [PubMed]
- Rydyznski Moderbacher, C.; Ramirez, S.I.; Dan, J.M.; Grifoni, A.; Hastie, K.M.; Weiskopf, D.; Belanger, S.; Abbott, R.K.; Kim, C.; Choi, J.; et al. Antigen-Specific Adaptive Immunity to SARS-CoV-2 in Acute COVID-19 and Associations with Age and Disease Severity. Cell 2020, 183, 996–1012.E19. [Google Scholar] [CrossRef] [PubMed]
- Tan, A.T.; Linster, M.; Tan, C.W.; Le Bert, N.; Chia, W.N.; Kunasegaran, K.; Zhuang, Y.; Tham, C.Y.L.; Chia, A.; Smith, G.J.D.; et al. Early induction of functional SARS-CoV-2-specific T cells associates with rapid viral clearance and mild disease in COVID-19 patients. Cell Rep. 2021, 34, 108728. [Google Scholar] [CrossRef]
- Painter, M.M.; Mathew, D.; Goel, R.R.; Apostolidis, S.A.; Pattekar, A.; Kuthuru, O.; Baxter, A.E.; Herati, R.S.; Oldridge, D.A.; Gouma, S.; et al. Rapid induction of antigen-specific CD4(+) T cells is associated with coordinated humoral and cellular immunity to SARS-CoV-2 mRNA vaccination. Immunity 2021, 54, 2133–2142.E3. [Google Scholar] [CrossRef]
- Jacobsen, H.; Cobos Jimenez, V.; Sitaras, I.; Bar-Zeev, N.; Cicin-Sain, L.; Higdon, M.M.; Deloria-Knoll, M. Post-vaccination T cell immunity to omicron. Front. Immunol. 2022, 13, 944713. [Google Scholar] [CrossRef]
- Yang, Y.; Miller, H.; Byazrova, M.G.; Cndotti, F.; Benlagha, K.; Camara, N.O.S.; Shi, J.; Forsman, H.; Lee, P.; Yang, L.; et al. The characterization of CD8(+) T-cell responses in COVID-19. Emerg. Microbes Infect. 2024, 13, 2287118. [Google Scholar] [CrossRef]
- Koutsakos, M.; Reynaldi, A.; Lee, W.S.; Nguyen, J.; Amarasena, T.; Taiaroa, G.; Kinsella, P.; Liew, K.C.; Tran, T.; Kent, H.E.; et al. SARS-CoV-2 breakthrough infection induces rapid memory and de novo T cell responses. Immunity 2023, 56, 879–892.E4. [Google Scholar] [CrossRef]
- Bozkus, C.C.; Brown, M.; Velazquez, L.; Thomas, M.; Wilson, E.A.; O’Donnell, T.; Kaminska, A.; Ruchnewitz, D.; Geertz, D.; Bykov, Y.; et al. T cell epitope mapping reveals immunodominance of evolutionarily conserved regions within SARS-CoV-2 proteome. iScience 2025, 28, 113044. [Google Scholar] [CrossRef]
- Karsten, H.; Cords, L.; Westphal, T.; Knapp, M.; Brehm, T.T.; Hermanussen, L.; Omansen, T.F.; Schmiedel, S.; Woost, R.; Ditt, V.; et al. High-resolution analysis of individual spike peptide-specific CD4(+) T-cell responses in vaccine recipients and COVID-19 patients. Clin. Transl. Immunol. 2022, 11, e1410. [Google Scholar] [CrossRef]
- Nesamari, R.; Omondi, M.A.; Baguma, R.; Hoft, M.A.; Ngomti, A.; Nkayi, A.A.; Besethi, A.S.; Magugu, S.F.J.; Mosala, P.; Walters, A.; et al. Post-pandemic memory T cell response to SARS-CoV-2 is durable, broadly targeted, and cross-reactive to the hypermutated BA.2.86 variant. Cell Host Microbe 2024, 32, 162–169.E3. [Google Scholar] [CrossRef]
- Minervina, A.A.; Pogorelyy, M.V.; Kirk, A.M.; Crawford, J.C.; Allen, E.K.; Chou, C.H.; Mettelman, R.C.; Allison, K.J.; Lin, C.Y.; Brice, D.C.; et al. SARS-CoV-2 antigen exposure history shapes phenotypes and specificity of memory CD8(+) T cells. Nat. Immunol. 2022, 23, 781–790. [Google Scholar] [CrossRef] [PubMed]
- Rasheed, M.A.; Latner, D.R.; Aubert, R.D.; Gourley, T.; Spolski, R.; Davis, C.W.; Langley, W.A.; Ha, S.J.; Ye, L.; Sarkar, S.; et al. Interleukin-21 is a critical cytokine for the generation of virus-specific long-lived plasma cells. J. Virol. 2013, 87, 7737–7746. [Google Scholar] [CrossRef] [PubMed]
- Leonard, W.J.; Wan, C.K. IL-21 Signaling in Immunity. F1000Res 2016, 5. [Google Scholar] [CrossRef] [PubMed]
- World Health Organization. 2023 data.who.int, WHO Coronavirus (COVID-19) Dashboard > More Resources [Dashboard]. Available online: https://data.who.int/dashboards/covid19/more-resources (accessed on 28 May 2025).






| Characteristic | Overall N = 68 1 | Hybrid N = 44 1 | Infection N = 8 1 | Vaccination N = 16 1 | p-Value 2 | q-Value 3 |
|---|---|---|---|---|---|---|
| Sex | 0.4 | >0.9 | ||||
| F | 54 (79%) | 34 (77%) | 8 (100%) | 12 (75%) | ||
| M | 14 (21%) | 10 (23%) | 0 (0%) | 4 (25%) | ||
| Age | 44.2 ± 11.1 | 43.9 ± 11.3 | 44.1 ± 11.2 | 45.1 ± 11.0 | 0.9 | >0.9 |
| Vaccination | 60 (88%) | 44 (100%) | 0 (0%) | 16 (100%) | <0.001 | <0.001 |
| Boosters | 0.004 | 0.019 | ||||
| 0 | 31 (46%) | 19 (43%) | 8 (100%) | 4 (25%) | ||
| 1 | 34 (50%) | 22 (50%) | 0 (0%) | 12 (75%) | ||
| 2 | 3 (4.4%) | 3 (6.8%) | 0 (0%) | 0 (0%) | ||
| Infections | <0.001 | <0.001 | ||||
| 0 | 16 (24%) | 0 (0%) | 0 (0%) | 16 (100%) | ||
| 1 | 36 (53%) | 31 (70%) | 5 (63%) | 0 (0%) | ||
| 2 | 16 (24%) | 13 (30%) | 3 (38%) | 0 (0%) |
| Cytokine | N 1 (Pairs) | ρ 2 | p-Value 3 (Spearman) | q-Value 4 (Spearman) | Slope β 5 (pg/mL per Day) | 95% CI (β)—Lower 5 | 95% CI (β)—Upper 5 | p-Value (β) 5 |
|---|---|---|---|---|---|---|---|---|
| under BA.1 peptide stimulation | ||||||||
| IL-12p70 | 20 | 0.465 | 0.039 | 0.208 | 0.286 | 0.010 | 0.562 | 0.043 |
| IL-1α | 20 | 0.523 | 0.018 | 0.208 | −0.023 | −0.072 | 0.027 | 0.351 |
| IL-8 (CXCL8) | 20 | 0.469 | 0.037 | 0.208 | 1.076 | −0.429 | 2.581 | 0.150 |
| IP-10 (CXCL10) | 20 | 0.415 | 0.069 | 0.277 | 0.155 | −0.015 | 0.326 | 0.071 |
| IFN-α | 20 | 0.310 | 0.183 | 0.367 | 0.002 | 0.000 | 0.003 | 0.022 |
| IL-1β | 18 | 0.328 | 0.183 | 0.367 | 0.574 | −0.038 | 1.186 | 0.064 |
| E-selectin | 18 | 0.369 | 0.131 | 0.367 | 0.483 | −0.063 | 1.029 | 0.079 |
| ICAM-1 | 18 | 0.345 | 0.161 | 0.367 | 0.504 | 0.003 | 1.004 | 0.049 |
| IL-10 | 19 | 0.290 | 0.228 | 0.405 | 0.074 | −0.066 | 0.214 | 0.281 |
| IL-21 | 20 | 0.264 | 0.261 | 0.417 | 0.031 | −0.491 | 0.554 | 0.901 |
| IL-6 | 20 | −0.187 | 0.429 | 0.528 | −0.044 | −0.144 | 0.057 | 0.377 |
| MCP-1 (CCL2) | 20 | 0.192 | 0.418 | 0.528 | 0.011 | −0.005 | 0.026 | 0.178 |
| MIP-1α (CCL3) | 20 | 0.208 | 0.380 | 0.528 | 209.962 | −206.333 | 626.256 | 0.303 |
| MIP-1β (CCL4) | 20 | 0.068 | 0.777 | 0.828 | 0.026 | −0.020 | 0.072 | 0.251 |
| P-selectin | 20 | 0.079 | 0.741 | 0.828 | 21.145 | −22.725 | 65.016 | 0.325 |
| TNF-α | 20 | 0.047 | 0.845 | 0.845 | −0.031 | −1.200 | 1.138 | 0.956 |
| under BA.4/BA.5 peptide stimulation | ||||||||
| IL-12p70 | 32 | −0.339 | 0.058 | 0.748 | −0.004 | −0.022 | 0.015 | 0.695 |
| IL-1α | 32 | −0.239 | 0.187 | 0.748 | −0.003 | −0.011 | 0.004 | 0.377 |
| IL-8 (CXCL8) | 17 | −0.365 | 0.150 | 0.748 | −4.586 | −9.887 | 0.714 | 0.085 |
| IP-10 (CXCL10) | 32 | −0.246 | 0.175 | 0.748 | −0.011 | −0.038 | 0.016 | 0.422 |
| IFN-α | 32 | −0.175 | 0.339 | 0.929 | 0.000 | −0.002 | 0.001 | 0.444 |
| IL-1β | 32 | −0.171 | 0.348 | 0.929 | −0.011 | −0.070 | 0.049 | 0.712 |
| E-selectin | 32 | 0.007 | 0.971 | 0.971 | 0.043 | −0.238 | 0.323 | 0.758 |
| ICAM-1 | 32 | −0.064 | 0.727 | 0.971 | 0.026 | −0.362 | 0.414 | 0.892 |
| IL-10 | 32 | 0.056 | 0.761 | 0.971 | −0.004 | −0.044 | 0.036 | 0.834 |
| IL-21 | 32 | 0.014 | 0.938 | 0.971 | 0.015 | −0.038 | 0.069 | 0.564 |
| IL-6 | 31 | −0.101 | 0.588 | 0.971 | 0.109 | −0.056 | 0.274 | 0.186 |
| MCP-1 (CCL2) | 32 | −0.022 | 0.904 | 0.971 | 0.040 | −0.323 | 0.404 | 0.823 |
| MIP-1α (CCL3) | 31 | 0.032 | 0.865 | 0.971 | 0.033 | −0.021 | 0.087 | 0.216 |
| MIP-1β (CCL4) | 32 | 0.134 | 0.466 | 0.971 | −39.346 | −286.152 | 207.461 | 0.747 |
| P-selectin | 32 | −0.102 | 0.580 | 0.971 | −68.545 | −331.592 | 194.502 | 0.599 |
| TNF-α | 32 | −0.022 | 0.903 | 0.971 | −0.048 | −0.383 | 0.288 | 0.775 |
| under XBB.1.5 peptide stimulation | ||||||||
| E-selectin | 23 | 0.236 | 0.278 | 0.736 | 0.217 | −0.113 | 0.548 | 0.186 |
| ICAM-1 | 23 | 0.181 | 0.407 | 0.736 | 0.381 | −0.498 | 1.261 | 0.378 |
| IL-21 | 23 | 0.250 | 0.251 | 0.736 | 0.045 | −0.044 | 0.135 | 0.303 |
| IL-6 | 22 | 0.204 | 0.362 | 0.736 | −1.994 | −13.650 | 9.662 | 0.725 |
| IL-8 (CXCL8) | 23 | −0.179 | 0.414 | 0.736 | 0.266 | −1.981 | 2.514 | 0.808 |
| MCP-1 (CCL2) | 23 | 0.230 | 0.292 | 0.736 | 0.510 | 0.006 | 1.015 | 0.048 |
| MIP-1α (CCL3) | 21 | 0.201 | 0.383 | 0.736 | 0.324 | −0.266 | 0.914 | 0.264 |
| MIP-1β (CCL4) | 22 | 0.198 | 0.377 | 0.736 | −1.537 | −11.820 | 8.747 | 0.759 |
| P-selectin | 23 | 0.358 | 0.093 | 0.736 | 582.98 | 119.831 | 1046.135 | 0.016 |
| IFN-α | 23 | 0.080 | 0.716 | 0.747 | 0.000 | −0.002 | 0.003 | 0.777 |
| IL-10 | 23 | 0.114 | 0.603 | 0.747 | −0.095 | −0.255 | 0.064 | 0.228 |
| IL-12p70 | 23 | −0.073 | 0.739 | 0.747 | 0.006 | −0.037 | 0.049 | 0.771 |
| IL-1α | 23 | 0.105 | 0.633 | 0.747 | 0.008 | −0.004 | 0.020 | 0.188 |
| IL-1β | 23 | 0.158 | 0.470 | 0.747 | 0.044 | −0.048 | 0.136 | 0.327 |
| IP-10 (CXCL10) | 23 | 0.071 | 0.747 | 0.747 | 0.000 | −0.003 | 0.003 | 0.768 |
| TNF-α | 23 | 0.133 | 0.547 | 0.747 | 0.385 | −0.374 | 1.143 | 0.304 |
Disclaimer/Publisher’s Note: The statements, opinions and data contained in all publications are solely those of the individual author(s) and contributor(s) and not of MDPI and/or the editor(s). MDPI and/or the editor(s) disclaim responsibility for any injury to people or property resulting from any ideas, methods, instructions or products referred to in the content. |
© 2025 by the authors. Licensee MDPI, Basel, Switzerland. This article is an open access article distributed under the terms and conditions of the Creative Commons Attribution (CC BY) license (https://creativecommons.org/licenses/by/4.0/).
Share and Cite
Matei, L.; Chivu-Economescu, M.; Dragu, L.D.; Grancea, C.; Bleotu, C.; Hrișcă, R.; Popescu, C.P.; Diaconu, C.C.; Ruţă, S.M. Long-Term Durability and Variant-Specific Modulation of SARS-CoV-2 Humoral and Cellular Immunity over Two Years. Int. J. Mol. Sci. 2025, 26, 8106. https://doi.org/10.3390/ijms26168106
Matei L, Chivu-Economescu M, Dragu LD, Grancea C, Bleotu C, Hrișcă R, Popescu CP, Diaconu CC, Ruţă SM. Long-Term Durability and Variant-Specific Modulation of SARS-CoV-2 Humoral and Cellular Immunity over Two Years. International Journal of Molecular Sciences. 2025; 26(16):8106. https://doi.org/10.3390/ijms26168106
Chicago/Turabian StyleMatei, Lilia, Mihaela Chivu-Economescu, Laura Denisa Dragu, Camelia Grancea, Coralia Bleotu, Raluca Hrișcă, Corneliu Petru Popescu, Carmen C. Diaconu, and Simona Maria Ruţă. 2025. "Long-Term Durability and Variant-Specific Modulation of SARS-CoV-2 Humoral and Cellular Immunity over Two Years" International Journal of Molecular Sciences 26, no. 16: 8106. https://doi.org/10.3390/ijms26168106
APA StyleMatei, L., Chivu-Economescu, M., Dragu, L. D., Grancea, C., Bleotu, C., Hrișcă, R., Popescu, C. P., Diaconu, C. C., & Ruţă, S. M. (2025). Long-Term Durability and Variant-Specific Modulation of SARS-CoV-2 Humoral and Cellular Immunity over Two Years. International Journal of Molecular Sciences, 26(16), 8106. https://doi.org/10.3390/ijms26168106

