Solution Structure of the Broad-Spectrum Bacteriocin Garvicin Q
Abstract
1. Introduction
2. Results
2.1. Isolation of [U-13C/15N]-Labelled GarQ and His6-SUMO
2.2. SUMO NMR Structural Elucidation
2.3. GarQ and LcnA Circular Dichroism
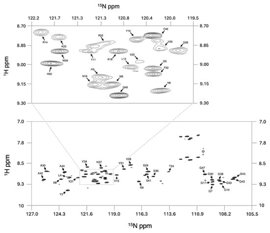
2.4. GarQ NMR Structural Elucidation
2.5. GarQ Structure Comparisons to Cryo-EM Structures of Man-PTS-Bound Bacteriocins
2.6. GarQ Structure Comparisons to NMR Solution Structures of Man-PTS-Targeting Bacteriocins
2.7. Comparison to the GarQ AlphaFold 3 Model
3. Discussion
4. Materials and Methods
4.1. General Method Information
4.2. Expression, Purification, and NMR Sample Preparation of GarQ
4.3. His6-SUMO Purification and NMR Sample Preparation
4.4. NMR Experimental Parameters
4.5. NMR Data Assignment and Structure Calculations
5. Conclusions
Supplementary Materials
Author Contributions
Funding
Data Availability Statement
Acknowledgments
Conflicts of Interest
Abbreviations
| AF3 | AlphaFold 3 |
| AMR | Antimicrobial Resistance |
| CBD | Chitin-Binding Domain |
| CbnB2 | Carnobacteriocin B2 |
| CD | Circular Dichroism |
| CurA | Curvacin A |
| GarQ | Garvicin Q |
| GRAS | Generally Recognized as Safe |
| His6-SUMO | Hexahistidine-tagged Small Ubiquitin-like Modifier |
| HPLC | High-Performance Liquid Chromatography |
| IPTG | Isopropyl-β-D-1-thiogalactopyranoside |
| LAB | Lactic Acid Bacteria |
| LcnA | Lactococcin A |
| LeuA | Leucocin A |
| Man-PTS | Mannose phosphotransferase system |
| MccE492 | Microcin E492 |
| MS | Mass Spectrometry |
| Ni-NTA | Nickel-Nitrilotriacetic acid resin |
| NMR | Nuclear Magnetic Resonance |
| OD600 | Optical Density at 600 nm |
| PedA | Pediocin PA-1 |
| SakP | Sakacin P |
| SPI | SUMO–Peptide–Intein |
| TFE | Trifluoroethanol |
References
- Adebisi, Y.A. Balancing the risks and benefits of antibiotic use in a globalized world: The ethics of antimicrobial resistance. Glob. Health 2023, 19, 27. [Google Scholar] [CrossRef]
- Mokoena, M.P.; Omatola, C.A.; Olaniran, A.O. Applications of Lactic Acid Bacteria and Their Bacteriocins against Food Spoilage Microorganisms and Foodborne Pathogens. Molecules 2021, 26, 7055. [Google Scholar] [CrossRef]
- Xu, J.; Wang, Z.; Shi, Z.; Liu, M.; Fan, X.; Zhang, T.; Wu, Z.; Zhu, M.; Tu, M.; Pan, D. Detection and development of lactic acid bacteria bacteriocins-A hint on the screening of bacteriocins of lactic acid bacteria. LWT 2025, 222, 117627. [Google Scholar] [CrossRef]
- Acedo, J.Z.; Chiorean, S.; Vederas, J.C.; van Belkum, M.J. The expanding structural variety among bacteriocins from Gram-positive bacteria. FEMS Microbiol. Rev. 2018, 42, 805–828. [Google Scholar] [CrossRef]
- Akpoghelie, P.O.; Edo, G.I.; Ali, A.B.M.; Yousif, E.; Zainulabdeen, K.; Owheruo, J.O.; Isoje, E.F.; Igbuku, U.A.; Essaghah, A.E.A.; Makia, R.S.; et al. Lactic acid bacteria: Nature, characterization, mode of action, products and applications. Process Biochem. 2025, 152, 1–28. [Google Scholar] [CrossRef]
- Tosukhowong, A.; Zendo, T.; Visessanguan, W.; Roytrakul, S.; Pumpuang, L.; Jaresitthikunchai, J.; Sonomoto, K. Garvieacin Q, a Novel Class II Bacteriocin from Lactococcus garvieae BCC 43578. Appl. Environ. Microbiol. 2012, 78, 1619–1623. [Google Scholar] [CrossRef]
- Tymoszewska, A.; Diep, D.B.; Wirtek, P.; Aleksandrzak-Piekarczyk, T. The Non-Lantibiotic Bacteriocin Garvicin Q Targets Man-PTS in a Broad Spectrum of Sensitive Bacterial Genera. Sci. Rep. 2017, 7, 8359. [Google Scholar] [CrossRef]
- Desiderato, C.K.; Hasenauer, K.M.; Reich, S.J.; Goldbeck, O.; Holivololona, L.; Ovchinnikov, K.V.; Reiter, A.; Oldiges, M.; Diep, D.B.; Eikmanns, B.J.; et al. Garvicin Q: Characterization of biosynthesis and mode of action. Microb. Cell Factories 2022, 21, 236. [Google Scholar] [CrossRef]
- Kjos, M.; Nes, I.F.; Diep, D.B. Class II one-peptide bacteriocins target a phylogenetically defined subgroup of mannose phosphotransferase systems on sensitive cells. Microbiology 2009, 155, 2949–2961. [Google Scholar] [CrossRef]
- Postma, P.W.; Lengeler, J.W. Phosphoenolpyruvate:carbohydrate phosphotransferase system of bacteria. Microbiol. Rev. 1985, 49, 232–269. [Google Scholar] [CrossRef]
- Tymoszewska, A.; Aleksandrzak-Piekarczyk, T. Subclass IId bacteriocins targeting mannose phosphotransferase system—Structural diversity and implications for receptor interaction and antimicrobial activity. Proc. Natl. Acad. Sci. USA Nexus 2024, 3, pgae381. [Google Scholar] [CrossRef]
- Zhu, L.; Zeng, J.; Wang, C.; Wang, J. Structural Basis of Pore Formation in the Mannose Phosphotransferase System by Pediocin PA-1. Appl. Environ. Microbiol. 2022, 88, e01992-21. [Google Scholar] [CrossRef]
- Li, R.; Duan, J.; Zhou, Y.; Wang, J. Structural Basis of the Mechanisms of Action and Immunity of Lactococcin A, a Class IId Bacteriocin. Appl. Environ. Microbiol. 2023, 89, e00066-23. [Google Scholar] [CrossRef]
- Johnsen, L.; Fimland, G.; Nissen-Meyer, J. The C-terminal Domain of Pediocin-like Antimicrobial Peptides (Class IIa Bacteriocins) Is Involved in Specific Recognition of the C-terminal Part of Cognate Immunity Proteins and in Determining the Antimicrobial Spectrum. J. Biol. Chem. 2005, 280, 9243–9250. [Google Scholar] [CrossRef]
- Chen, Y.; Ludescher, R.D.; Montville, T.J. Electrostatic interactions, but not the YGNGV consensus motif, govern the binding of pediocin PA-1 and its fragments to phospholipid vesicles. Appl. Environ. Microbiol. 1997, 63, 4770–4777. [Google Scholar] [CrossRef]
- van Belkum, M.J.; Aleksandrzak-Piekarczyk, T.; Lamer, T.; Vederas, J.C. Lactococcus lactis mutants resistant to lactococcin A and garvicin Q reveal missense mutations in the sugar transport domain of the mannose phosphotransferase system. Microbiol. Spectr. 2024, 12, e03130-23. [Google Scholar] [CrossRef]
- Lamer, T.; van Belkum, M.J.; Wijewardane, A.; Chiorean, S.; Martin-Visscher, L.A.; Vederas, J.C. SPI “sandwich”: Combined SUMO-Peptide-Intein expression system and isolation procedure for improved stability and yield of peptides. Protein Sci. 2022, 31, e4316. [Google Scholar] [CrossRef]
- Lamer, T.; Vederas, J.C. Simplified cloning and isolation of peptides from “sandwiched” SUMO-peptide-intein fusion proteins. BMC Biotechnol. 2023, 23, 11. [Google Scholar] [CrossRef]
- Zuo, X.; Li, S.; Hall, J.; Mattern, M.R.; Tran, H.; Shoo, J.; Tan, R.; Weiss, S.R.; Butt, T.R. Enhanced Expression and Purification of Membrane Proteins by SUMO Fusion in Escherichia coli. J. Struct. Funct. Genomics 2005, 6, 103–111. [Google Scholar] [CrossRef]
- Huang, K.; Zeng, J.; Liu, X.; Jiang, T.; Wang, J. Structure of the mannose phosphotransferase system (man-PTS) complexed with microcin E492, a pore-forming bacteriocin. Cell Discov. 2021, 7, 20. [Google Scholar] [CrossRef]
- Fregeau Gallagher, N.L.; Sailer, M.; Niemczura, W.P.; Nakashima, T.T.; Stiles, M.E.; Vederas, J.C. Three-Dimensional Structure of Leucocin A in Trifluoroethanol and Dodecylphosphocholine Micelles: Spatial Location of Residues Critical for Biological Activity in Type IIa Bacteriocins from Lactic Acid Bacteria. Biochemistry 1997, 36, 15062–15072. [Google Scholar] [CrossRef]
- Wang, Y.; Henz, M.E.; Fregeau Gallagher, N.L.; Chai, S.; Gibbs, A.C.; Yan, L.Z.; Stiles, M.E.; Wishart, D.S.; Vederas, J.C. Solution Structure of Carnobacteriocin B2 and Implications for Structure−Activity Relationships among Type IIa Bacteriocins from Lactic Acid Bacteria. Biochemistry 1999, 38, 15438–15447. [Google Scholar] [CrossRef]
- Uteng, M.; Hauge, H.H.; Markwick, P.R.L.; Fimland, G.; Mantzilas, D.; Nissen-Meyer, J.; Muhle-Goll, C. Three-Dimensional Structure in Lipid Micelles of the Pediocin-like Antimicrobial Peptide Sakacin P and a Sakacin P Variant That Is Structurally Stabilized by an Inserted C-Terminal Disulfide Bridge. Biochemistry 2003, 42, 11417–11426. [Google Scholar] [CrossRef]
- Haugen, H.S.; Fimland, G.; Nissen-Meyer, J.; Kristiansen, P.E. Three-Dimensional Structure in Lipid Micelles of the Pediocin-like Antimicrobial Peptide Curvacin A. Biochemistry 2005, 44, 16149–16157. [Google Scholar] [CrossRef] [PubMed]
- Abramson, J.; Adler, J.; Dunger, J.; Evans, R.; Green, T.; Pritzel, A.; Ronneberger, O.; Willmore, L.; Ballard, A.J.; Bambrick, J.; et al. Accurate structure prediction of biomolecular interactions with AlphaFold 3. Nature 2024, 630, 493–500. [Google Scholar] [CrossRef] [PubMed]
- Morrow, J.A.; Segall, M.L.; Lund-Katz, S.; Phillips, M.C.; Knapp, M.; Rupp, B.; Weisgraber, K.H. Differences in Stability among the Human Apolipoprotein E Isoforms Determined by the Amino-Terminal Domain. Biochemistry 2000, 39, 11657–11666. [Google Scholar] [CrossRef]
- Bergonzo, C.; Grishaev, A. Critical Assessment of RNA and DNA Structure Predictions via Artificial Intelligence: The Imitation Game. J. Chem. Inf. Model. 2025, 65, 3544–3554. [Google Scholar] [CrossRef]
- Waterhous, D.V.; Johnson, W.C. Importance of Environment in Determining Secondary Structure in Proteins. Biochemistry 1994, 33, 2121–2128. [Google Scholar] [CrossRef] [PubMed]
- Seidel, K.; Etzkorn, M.; Heise, H.; Becker, S.; Baldus, M. High-Resolution Solid-State NMR Studies on Uniformly [13C,15N]-Labeled Ubiquitin. ChemBioChem 2005, 6, 1638–1647. [Google Scholar] [CrossRef]
- Butt, T.R.; Edavettal, S.C.; Hall, J.P.; Mattern, M.R. SUMO fusion technology for difficult-to-express proteins. Protein Expr. Purif. 2005, 43, 1–9. [Google Scholar] [CrossRef]
- Malakhov, M.P.; Mattern, M.R.; Malakhova, O.A.; Drinker, M.; Weeks, S.D.; Butt, T.R. SUMO fusions and SUMO-specific protease for efficient expression and purification of proteins. J. Struct. Funct. Genomics 2004, 5, 75–86. [Google Scholar] [CrossRef]
- Kay, L.; Keifer, P.; Saarinen, T. Pure absorption gradient enhanced heteronuclear single quantum correlation spectroscopy with improved sensitivity. J. Am. Chem. Soc. 1992, 114, 10663–10665. [Google Scholar] [CrossRef]
- Wittekind, M.; Mueller, L. HNCACB, a High-Sensitivity 3D NMR Experiment to Correlate Amide-Proton and Nitrogen Resonances with the Alpha- and Beta-Carbon Resonances in Proteins. J. Magn. Reson. B 1993, 101, 201–205. [Google Scholar] [CrossRef]
- Zhang, O.; Kay, L.E.; Olivier, J.P.; Forman-Kay, J.D. Backbone 1H and 15N resonance assignments of the N-terminal SH3 domain of drk in folded and unfolded states using enhanced-sensitivity pulsed field gradient NMR techniques. J. Biomol. NMR 1994, 4, 845–858. [Google Scholar] [CrossRef]
- Sattler, M.; Schwendinger, M.G.; Schleucher, J.; Griesinger, C. Novel strategies for sensitivity enhancement in heteronuclear multi?dimensional NMR experiments employing pulsed field gradients. J. Biomol. NMR 1995, 6, 11–22. [Google Scholar] [CrossRef]
- Baur, M.; Gemmecker, G.; Kessler, H. 13C-NOESY-HSQC with Split Carbon Evolution for Increased Resolution with Uniformly Labeled Proteins. J. Magn. Reson. 1998, 132, 191–196. [Google Scholar] [CrossRef]
- Kay, L.E.; Ikura, M.; Tschudin, R.; Bax, A. Three-dimensional triple-resonance NMR spectroscopy of isotopically enriched proteins. J. Magn. Reson. 1969 1990, 89, 496–514. [Google Scholar] [CrossRef]
- Kumar, D.; Reddy, J.G.; Hosur, R.V. hnCOcaNH and hncoCANH pulse sequences for rapid and unambiguous backbone assignment in (13C,15N) labeled proteins. J. Magn. Reson. 2010, 206, 134–138. [Google Scholar] [CrossRef] [PubMed]
- Kay, L.E.; Xu, G.Y.; Yamazaki, T. Enhanced-Sensitivity Triple-Resonance Spectroscopy with Minimal H2O Saturation. J. Magn. Reson. A 1994, 109, 129–133. [Google Scholar] [CrossRef]
- Muhandiram, D.R.; Kay, L.E. Gradient-Enhanced Triple-Resonance Three-Dimensional NMR Experiments with Improved Sensitivity. J. Magn. Reson. B 1994, 103, 203–216. [Google Scholar] [CrossRef]
- Ikura, M.; Kay, L.E.; Bax, A. A novel approach for sequential assignment of proton, carbon-13, and nitrogen-15 spectra of larger proteins: Heteronuclear triple-resonance three-dimensional NMR spectroscopy. Application to calmodulin. Biochemistry 1990, 29, 4659–4667. [Google Scholar] [CrossRef] [PubMed]
- Grzesiek, S.; Bax, A. Improved 3D triple-resonance NMR techniques applied to a 31 kDa protein. J. Magn. Reson. 1969 1992, 96, 432–440. [Google Scholar] [CrossRef]
- Yamazaki, T.; Lee, W.; Arrowsmith, C.H.; Muhandiram, D.R.; Kay, L.E. A Suite of Triple Resonance NMR Experiments for the Backbone Assignment of 15N, 13C, 2H Labeled Proteins with High Sensitivity. J. Am. Chem. Soc. 1994, 116, 11655–11666. [Google Scholar] [CrossRef]
- Sheng, W.; Liao, X. Solution structure of a yeast ubiquitin-like protein Smt3: The role of structurally less defined sequences in protein–protein recognitions. Protein Sci. 2002, 11, 1482–1491. [Google Scholar] [CrossRef]
- Skinner, S.P.; Fogh, R.H.; Boucher, W.; Ragan, T.J.; Mureddu, L.G.; Vuister, G.W. CcpNmr AnalysisAssign: A flexible platform for integrated NMR analysis. J. Biomol. NMR 2016, 66, 111–124, Erratum in J. Biomol. NMR 2017, 67, 321. [Google Scholar] [CrossRef]
- Schwieters, C.D.; Kuszewski, J.J.; Tjandra, N.; Marius Clore, G. The Xplor-NIH NMR molecular structure determination package. J. Magn. Reson. 2003, 160, 65–73. [Google Scholar] [CrossRef]
- Schwieters, C.; Kuszewski, J.; Mariusclore, G. Using Xplor–NIH for NMR molecular structure determination. Prog. Nucl. Magn. Reson. Spectrosc. 2006, 48, 47–62. [Google Scholar] [CrossRef]
- Shen, Y.; Bax, A. Protein backbone and sidechain torsion angles predicted from NMR chemical shifts using artificial neural networks. J. Biomol. NMR 2013, 56, 227–241. [Google Scholar] [CrossRef]
- Rainey, J.K.; Fliegel, L.; Sykes, B.D. Strategies for dealing with conformational sampling in structural calculations of flexible or kinked transmembrane peptidesThis paper is one of a selection of papers published in this Special Issue, entitled CSBMCB—Membrane Proteins in Health and Disease. Biochem. Cell Biol. 2006, 84, 918–929. [Google Scholar] [CrossRef] [PubMed]
- Montelione, G.T.; Nilges, M.; Bax, A.; Güntert, P.; Herrmann, T.; Richardson, J.S.; Schwieters, C.D.; Vranken, W.F.; Vuister, G.W.; Wishart, D.S.; et al. Recommendations of the wwPDB NMR Validation Task Force. Structure 2013, 21, 1563–1570. [Google Scholar] [CrossRef] [PubMed]
- Dolinsky, T.J.; Nielsen, J.E.; McCammon, J.A.; Baker, N.A. PDB2PQR: An automated pipeline for the setup of Poisson-Boltzmann electrostatics calculations. Nucleic Acids Res. 2004, 32, W665–W667. [Google Scholar] [CrossRef] [PubMed]
- Kyte, J.; Doolittle, R.F. A simple method for displaying the hydropathic character of a protein. J. Mol. Biol. 1982, 157, 105–132. [Google Scholar] [CrossRef]
- Kumar, M.; Rathore, R.S. RamPlot: A webserver to draw 2D, 3D and assorted Ramachandran (φ, ψ) maps. J. Appl. Crystallogr. 2025, 58, 630–636. [Google Scholar] [CrossRef]
- Bittrich, S.; Segura, J.; Duarte, J.M.; Burley, S.K.; Rose, Y. RCSB protein Data Bank: Exploring protein 3D similarities via comprehensive structural alignments. Bioinformatics 2024, 40, btae370. [Google Scholar] [CrossRef]
- Rice, P.; Longden, I.; Bleasby, A. EMBOSS: The European Molecular Biology Open Software Suite. Trends Genet. 2000, 16, 276–277. [Google Scholar] [CrossRef] [PubMed]
- The UniProt Consortium. UniProt: The Universal Protein Knowledgebase in 2025. Nucleic Acids Res. 2025, 53, D609–D617. [Google Scholar] [CrossRef] [PubMed]





| No. of Constraints | |
|---|---|
| Total No. of NOE constraints | 225 |
| Short-range | 101 |
| Medium-range () | 63 |
| Long-range () | 10 |
| Total No. of dihedral angle constraints | 58 |
| φ | 25 |
| ψ | 25 |
| χ | 8 |
| Constraint Violations | |
| Distance constraint violations | 8 |
| Dihedral-angle constraints | 0 |
| RMSD of the calculated protein structure | |
| * Whole structure (Å) | 0.18 0.03 |
| A:18-A:26 (9) (Å) | 0.25 |
| A:29-A:37 (9) (Å) | 0.09 |
| Ramachandran statistics (%) | |
| Favoured regions | 45 |
| Allowed regions | 2 |
| Disallowed regions | 1 |
| Assignment statistics | |
| No. of assigned peaks | 444 |
| No. of unassigned peaks | 197 |
| Assignment completeness | 71% |
| Bacteriocin | Whole Structure Overlay (Å) | Overlaid N- and C-Terminal Residues | N-Terminal Overlay (Å) | C-Terminal Overlay (Å) | Sequence Identity | Sequence Similarity | Method |
|---|---|---|---|---|---|---|---|
| garvicin Q (PDB: 9OIL) | - | G10-K25, P27-G38 | - | - | - | - | NMR (d2-TFE/H2O) |
| AlphaFold 3 GarQ | 2.13 | G10-V23, P27-G45 | 2.7 | 0.59 | 100% | 100% | Computational |
| lactococcin A (PDB: 8HFS) | 3.09 | L2-T27, N29-G48 | 1.13 | 0.26 | 35.2% | 44.4 | Cyro-EM |
| pediocin PA-1 (PDB: 7VLY) | 2.91 | H2-V19, D20-G39 | 3.17 | 0.25 | 23.7% | 32.2% | Cryo-EM |
| microcin E492 (PDB: 7DYR) | 2.44 | P5-G28, G28-G52 | 1.19 | 0.3 | 13.8% | 23% | Cyro-EM |
| leucocin A (PDB: 1CW6) | 2.51 | G6-N17, W18-A30 | 3.01 | 0.57 | 6.7% | 9.3% | NMR (d3-TFE/H2O) |
| carnobacteriocin B2 (PDB: 1CW5) | 3.28 | N17-G42 | 0.93 | 0.44 | 26.3% | 31.6% | NMR (d3-TFE/H2O) |
| sakacin P (PDB: 1OG7) | 2.86 | Y2-V16, W18-W33 | 1.02 | 0.49 | 16.1% | 27.4% | NMR (d3-TFE/H2O) |
| curvacin A (PDB: 2A2B) | 2.21 | N15-S25, G28-G40 | 0.41 | 0.58 | 19.3% | 28.1% | NMR (DPC/H2O) |
Disclaimer/Publisher’s Note: The statements, opinions and data contained in all publications are solely those of the individual author(s) and contributor(s) and not of MDPI and/or the editor(s). MDPI and/or the editor(s) disclaim responsibility for any injury to people or property resulting from any ideas, methods, instructions or products referred to in the content. |
© 2025 by the authors. Licensee MDPI, Basel, Switzerland. This article is an open access article distributed under the terms and conditions of the Creative Commons Attribution (CC BY) license (https://creativecommons.org/licenses/by/4.0/).
Share and Cite
Mallett, T.; Lamer, T.; Aleksandrzak-Piekarczyk, T.; McKay, R.T.; Catenza, K.; Sit, C.; Rainey, J.K.; Towle-Straub, K.M.; Vederas, J.C.; van Belkum, M.J. Solution Structure of the Broad-Spectrum Bacteriocin Garvicin Q. Int. J. Mol. Sci. 2025, 26, 7846. https://doi.org/10.3390/ijms26167846
Mallett T, Lamer T, Aleksandrzak-Piekarczyk T, McKay RT, Catenza K, Sit C, Rainey JK, Towle-Straub KM, Vederas JC, van Belkum MJ. Solution Structure of the Broad-Spectrum Bacteriocin Garvicin Q. International Journal of Molecular Sciences. 2025; 26(16):7846. https://doi.org/10.3390/ijms26167846
Chicago/Turabian StyleMallett, Tyler, Tess Lamer, Tamara Aleksandrzak-Piekarczyk, Ryan T. McKay, Karizza Catenza, Clarissa Sit, Jan K. Rainey, Kaitlyn M. Towle-Straub, John C. Vederas, and Marco J. van Belkum. 2025. "Solution Structure of the Broad-Spectrum Bacteriocin Garvicin Q" International Journal of Molecular Sciences 26, no. 16: 7846. https://doi.org/10.3390/ijms26167846
APA StyleMallett, T., Lamer, T., Aleksandrzak-Piekarczyk, T., McKay, R. T., Catenza, K., Sit, C., Rainey, J. K., Towle-Straub, K. M., Vederas, J. C., & van Belkum, M. J. (2025). Solution Structure of the Broad-Spectrum Bacteriocin Garvicin Q. International Journal of Molecular Sciences, 26(16), 7846. https://doi.org/10.3390/ijms26167846

