Abstract
Radiation therapy, a highly effective cancer treatment that targets cancer cells, may produce challenging side effects, including radiation-induced skin tissue injuries. The wound healing process involves complex cellular responses, with key phases including hemostasis, inflammation, proliferation, and remodeling. However, radiation-induced injuries disrupt this process, resulting in delayed healing, excessive scarring, and compromised tissue integrity. This review explores innovative approaches related to wound healing in post-radiotherapy defects, focusing on the integration of adipose-derived stem cells (ADSCs) in protein/polysaccharide bioengineered scaffolds. Such scaffolds, like hydrogels, sponges, or 3D-printed/bioprinted materials, provide a biocompatible and biomimetic environment that supports cell-to-cell and cell-to-matrix interactions. Various proteins and polysaccharides are discussed for beneficial properties and limitations, and their compatibility with ADSCs in wound healing applications. The potential of ADSCs-polymeric scaffold combinations in radiation-induced wound healing is investigated, alongside the mechanisms of cell proliferation, inflammation reduction, angiogenesis promotion, collagen formation, integrin binding, growth factor signaling, and activation of signaling pathways. New strategies to improve the therapeutic efficacy of ADSCs by integration in adaptive polymeric materials and designed scaffolds are highlighted, providing solutions for radiation-induced wounded skin, personalized care, faster tissue regeneration, and, ultimately, enhanced quality of the patients’ lives.
1. Introduction
Radiotherapy is a highly effective cancer treatment that targets cancer cells by depositing high physical energy of the radiation into malignant tumors. More than 50% of patients are treated using radiotherapy, either as a singular therapy or in combination with chemotherapy or surgery [1]. This medical procedure, known for its curative potential and palliative relief, operates by damaging cancer cell DNA [2], preserving healthy tissue. Various radiotherapy intensities and techniques respond to the patient’s needs and deliver the radiation to tumor lesions with great precision [3].
Despite its therapeutic promise, radiotherapy can trigger complex tissue responses and side effects, from acute skin reactions to long-term complications, such as radiation-induced neoplasms and fibrosis. These effects are closely related to radiation dose, tissue irradiation, and the time interval between treatments [4].
Significant advancements have been registered in the standardization and precision of radiation therapy, and, with all that, the incidence of radiation-induced skin injury is gradually increasing. More than 85% of tumor patients have developed various skin damages due to radiotherapy, from erythema and peeling to ulcers or even necrosis of skin tissue [5]. Radiation-induced skin damage is characterized by disruptions in wound healing processes, microvascular damage, and alterations in cell communication. The complex phases of skin wound healing involve hemostasis, inflammation, proliferation, and remodeling, all tightly regulated by cellular signaling molecules and specific growth factors [6,7].
In response to these challenges, regenerative medicine and tissue engineering have emerged as promising treatments in radiation-induced skin injuries. The tissue engineering field, included for the first time 25 years ago by Langer and Vacanti, combines engineering design with biological mechanisms to regenerate or replace the wounded tissue through a synergistic effect of the biomaterials (as scaffolds with controlled morphology and biodegradability), biological molecules, and many cell types, including stem cells, based on their ability to differentiated into any cell of an organism and self-renewal capacity [8]. Adipose-derived stem cells (ADSCs), known for their pluripotency and proliferative capacity, paracrine effects, and low immunogenicity, are under the spotlight. Moreover, adipose tissue is at the top of the list of stem cell sources, due to its abundance, its accessibility, and its having a less painful procedure for cell collection when compared to other tissues [9]. Combined with polymeric bioengineered scaffolds, ADSC-based therapies have shown enhanced wound healing potential, promoting tissue regeneration and closure [10].
Bioengineered scaffolds, such as hydrogels and nanofibers, micro- and nanoparticles, have demonstrated good results in managing radiation-induced injuries, owing to their mechanical and biochemical properties [11,12]. The synergy between ADSCs and these scaffolds promotes a stimulating microenvironment for tissue repair, improving cell-to-cell and cell-to-matrix interactions [13,14].
In order to obtain more effective wound healing, the treatments are continuously refined, from modern dressings to stem cell therapies and tissue-engineered skin substitutes [15,16]. Moreover, an emergent technology, as 3D bioprinting, that integrates additive manufacturing with biological sciences, permits the mimicking of the morphology and functionality of native biological tissues. Bioprinting has the capacity to print living cells and biomaterials and offers new capabilities for regenerative medicine [17]. As research in this domain progresses, it could transform the management and healing of once-daunting wounds, outlining a more efficient tissue recovery.
This review aims to critically examine the current state of ADSCs-based therapies combined with protein/polysaccharide scaffolds for the treatment of radiation-induced skin damage. ADSCs’ advantages, types of proteins/polysaccharides, and their properties compared to synthetic polymers are discussed, as well as their composition and architecture, preparation methods, biological mechanisms, and clinical implications.
2. Radiotherapy: Between Treatment and Its Side Effects
2.1. Radiotherapy in Cancer Treatment
Radiotherapy (RTX), also known as radiation therapy, is one of the major therapies for cancer treatment. This medical technique uses the power of high-energy radiation to selectively target and obliterate cancer cells or reduce the size of tumors [18]. Radiotherapy is recognized for its efficacy, offering a curative approach in many instances, as well as serving a valuable role in conjunction with other treatments like surgery, chemotherapy, and immunotherapy. Furthermore, it often serves as a palliative solution, providing relief from distressing symptoms for patients with advanced-stage cancers. Radiotherapy functions by damaging the DNA within cancer cells, thereby preventing their uncontrolled growth and division [19]. The process involves the precise delivery of ionizing radiation to the tumor site while minimizing exposure to surrounding healthy tissue. Ionizing radiation can be electromagnetic or particulate. Electromagnetic radiation involves high-energy photons in the form of X-rays and gamma rays. X-rays are produced externally by electrical machines, while gamma rays are produced by the decay of radioactive isotopes, such as cobalt 60 [20]. Radiotherapy intensities refer to the levels of radiation dose and energy used in radiation therapy treatments and include Conventional Radiotherapy (CRT) (low- to medium-energy X-rays, offering fixed radiation dose over several weeks) [21], Intensity-Modulated Radiation Therapy (IMRT) (customized X-ray beam intensities for precise tumor targeting, minimizing exposure to surrounding healthy tissue) [22], and Image-Guided Radiation Therapy (IGRT) (combining X-ray imaging with treatment to visualize tumors in real-time, allowing precise adjustments) [23].
Several techniques and modalities are employed in radiotherapy, such as external beam radiation, brachytherapy (internal radiation), and stereotactic radiosurgery, each tailored to the unique characteristics of the cancer and the patient’s individual needs. However, alongside its remarkable therapeutic potential, radiotherapy presents challenges and side effects [24]. The side effects can vary in type, severity, and duration, depending on factors such as the location of the tumor, the dose of radiation, and the individual patient’s sensitivity. Common acute side effects include skin reactions such as radiation dermatitis (erythema, dryness, irritation, blistering, or peeling) [25], fatigue [26], gastrointestinal disturbances (nausea and vomiting, difficulty swallowing or breathing) [27], bowel or bladder changes, and hair loss. Long-term side effects may become evident months or even years after radiotherapy, including radiation fibrosis (stiffness, pain, or reduced organ function in the treated area) [28], calcification in soft tissues [29], secondary cancers (radiation-induced neoplasms) [30], cognitive impairment (especially in pediatric patients), cardiovascular complications, and hormonal changes [31].
The severity of the side effects is directly proportional to the absorbed doses. Other considerations include the area of the irradiated tissue, the radiation type, protraction, and the time gap between radiation and the reported clinical consequences [32].
While the initial side effects of radiation therapy heal naturally, the long-term side effects are unpredictable and frequently distressing. In addition to causing subsequent pain, contractures, and functional impairment, the resulting injury can have severe effects on tissues by causing chronic tissue fibrosis and destruction [33]. Despite significant advancements in radiation therapy technology, non-specific radiation damage to non-cancerous tissues still affects people to various degrees [34]. The most significant challenges in treating radiation-induced damage include the unbalanced inflammatory response, oxidative stress response, lack of angiogenesis, and a high risk of bacterial infection [35].
2.2. Radiation-Induced Damages in Skin and Wound Healing
At various points, radiation interferes with the natural process of wound healing [36,37]. Microvascular damages, extracellular matrix alterations, and cellular depletion are pathologic processes that induce local tissue hypoxia [38]. Considering the changes in cellular signaling between dermal fibroblasts, keratinocytes, and immunocompetent cells, exposure to radiation severely damages the skin barrier function, regeneration potential, and capillary integrity [39]. Radiation-induced skin wounds heal more slowly than normal due to an imbalance in the inflammatory response [40]. Free radicals and pro-inflammatory mediators, including interleukins (IL)-1 and IL-6, transforming growth factor (TGF)-1, and connective tissue growth factor (CTGF), are linked to the observed tissue harm; the skin becomes fibrotic, hypoxic, and hypovascular [41].
The early inflammatory response in radiation-induced skin damage is primarily controlled and progressively amplified by a number of proinflammatory cytokines (tumor necrosis factor [TNF]-a, interleukins [IL-1, IL-3, IL-5, IL-6), chemokines (IL-8, CC receptor, eotaxin), receptor tyrosine kinase, and adhesion molecules (vascular cell adhesion molecule [VCAM], intercellular adhesion molecule [ICAM]-1, E-selectin) [42]. Radiotherapy will impair wound healing by reducing cell proliferation, damaging blood vessels, and leading to excessive scarring (fibrosis). Angiogenesis, the formation of new blood vessels essential for oxygen and nutrient supply, can be limited due to vascular changes (Figure 1) [36].
Figure 1.
Time-dependent stages in radiation-induced wounds: from epidermal changes to large changes in dermal tissue.
Key healing cells like fibroblasts and keratinocytes may experience reduced growth, affecting tissue regeneration and wound closure [36]. Moreover, radiation can trigger excessive collagen production, resulting in scarring or fibrosis that limits tissue flexibility, while the weakened immune responses in irradiated areas raise the risk of infection, further preventing wound healing. Before or after surgery, radiation may delay wound healing, increase the risk of infection, and compromise tissue integrity [43].
Rebuilding skin functions after radiation-induced injuries requires complete skin wound healing that returns full-thickness skin with its appendages, and involves all phases of the skin wound healing process, including hemostasis, inflammation, proliferation, and remodeling [44]. Chemotaxis, phagocytosis, neocollagenesis, remodeling of collagen (Col), and other biological processes involved in these stages are all strictly controlled [45,46,47]. The production of growth factors and cytokines that enhance wound signals and assist the reparative process is important; macrophage accumulation later plays a significant role [48,49,50]. During tissue repair, the temporary fibrin scaffold is replaced by newly deposited extracellular matrix (ECM) [51]. In the proliferative phase, keratinocytes proliferate to seal the wound while myofibroblasts contract to reduce the size of the wound. Endothelial cells contribute to the formation of new blood vessels through angiogenesis, supplying oxygen and nutrients [52].
All stages of wound healing (Figure 2) involve the simultaneous proliferation of endothelial cells, which revascularize the injured tissue. Finally, the extracellular matrix (ECM) remodels and produces a scar over weeks to years. The tensile strength of the wound gradually approaches that of uninjured tissue as collagen bundles enlarge. The organization of collagen fibers improves, resulting in a greater contraction. A completely developed scar is characterized by a low number of cells, reduced vascularization, and increased tensile strength due to changes in the density of fibroblasts and macrophages, blood flow, and metabolic activity [53,54,55].
Figure 2.
Repair of the radiation-induced wounds and involved biomolecules and processes.
2.3. Cells and Skin Regeneration
Regeneration of the skin is a dynamic process, and different cell types contribute to skin repair, including keratinocytes, fibroblasts, and endothelial cells, but also some of the less-studied cell lineages, such as stem cells, adipocytes, melanocytes, and cutaneous nerves [56]. Cells interact through various signaling molecules and growth factors, ensuring a coordinated response and repair of the wounded skin. The cell’s function is determined by the molecular structure and physical characteristics of ECMs, which also act as an instrument for intercellular communication by transmitting mechanical signals [57].
Fibroblasts are large, flat, and elongated (with spindle shapes) cells, generally derived from primary mesenchymal cells, widely distributed in different tissues, and especially in the connective tissue [58]. These cells are metabolically active and are able to continuously synthesize, secrete, and degrade ECM components. Fibroblasts control the tissue architecture and turnover by delivering matrix metalloproteinases (MMPs) and their inhibitors (TIMPs) [59].
In injured skin, fibroblasts became extremely active and differentiated into myofibroblasts, participating in the secretion of ECM components, from collagen and elastin, to glycoproteins, such as fibronectin and laminin, and other molecules involved in the healing process. Both fibroblasts and myofibroblasts support wound healing, the formation of new ECM and collagen structures, and the fibrillar collagen forms releasing in the interstitial matrix of the dermis. Moreover, the cells facilitate the fibrin clot disintegration [60]. The hyperactive myofibroblasts are often associated with excessive synthesis of the matrix proteins and hypertrophic scars formation or scleroderma; however, in severely damaged tissue, the hyperproduction of matrix proteins contributes to the remodeling process [61].
Keratinocytes are the original cells in the epidermis and are major cellular components of this part of the skin. They are involved in recruiting, activating, and stimulating the cells associated with wound healing, with a large contribution to rebuilding the epidermal layer of the skin [58]. Keratinocytes react to the epidermal barrier disordering and release cytokines, signaling molecules for cell activation, migration, and proliferation [62,63]. Moreover, keratinocytes interact with dermal fibroblasts through paracrine signaling, stimulating the differentiation into myofibroblasts and enhancing the capability to produce and deposit ECM components. After full re-epithelialized of the wound, mature keratinocytes release signaling molecules that reduce ECM synthesis and increase its degradation [64].
Various stem cells (SCs) can be involved in repairing the injured tissue (Figure 3) due to their renewal capacity. Adult body tissues and embryos include unspecialized stem cells that may differentiate into various types of cells in the organism and are capable of self-regeneration [65].
Figure 3.
Stem cells in wound healing mechanism, including cell proliferation, collagen synthesis, cell migration, vascularization, and wound maturation.
The umbilical cord, bone marrow, brain, skeletal muscles, blood, skin, and liver are organ sources of autologous stem cells [66,67]. Adult stem cells are involved in all stages of cutaneous wound healing. Bone marrow-derived stem cells (BMSCs) play an important role in the inflammatory stage, homing to injured tissues before proliferating and differentiating into required lineages. Furthermore, stem cells present in the skin are precursors for mast cells, important directors of the inflammatory phase. However, the division and differentiation of tissue-specific adipocyte stem cells (ADSCs) regenerate damaged or lost tissue in the proliferative phase. Meanwhile, epithelial stem cells from inter-follicular and hair follicle bulge proliferate and differentiate into cell lineages of keratinocytes for re-epithelialization [68]. Likewise, migratory BMSCs may also contribute to fibroblast populations present in wounds [69].
Hematopoietic stem cells (HSCs), derived from bone marrow, play a role in the production of new endothelial cells involved in revascularization. Endothelial progenitor cells (EPCs) are also critical in wound healing due to their effect on the secretion of growth factors [70]. Growth factor signaling is responsible for stem cell response in the wound bed, and a number of different growth factors play important roles in skin wound healing. The expression of HIF-1α is induced by hypoxic wound environments, which upregulates FGF, while HIF-2α upregulates VEGF, which is involved in revascularization. In epithelial wounds, growth factors control keratinocyte migration and ECM remodeling, and wound area filling. Decreased stem cell function was associated with a lack of growth factors in chronic wounds [69,71].
2.4. Wound Healing Therapies
Wound healing is a dynamic and complex process that is naturally initiated in the human body after external injuries. However, the chronic or complicated wounds may require specialized interventions to promote efficient tissue regeneration and closure [72]. Advanced dressings, like hydrogels and foams, along with topical agents, such as growth factors, enhance the wound healing process [73]. Bioactive dressings, oxygenation treatment [74], the use of angiogenic growth factors [75], and stem cells are therapeutic approaches for treating refractory wounds. To create this supportive environment for healing, gelling fibers, alginates, and hydrogels with new design and predictable mechanism of action, membranes with silver coatings, and sheets of allogenic skin are now emplored [76], as well as products infused with antibacterial substances, such as silver, polyhexamethyline biguanide, honey, and others [77]. Clinicians have access to a wide range of increasingly sophisticated treatments, including platelet-rich plasma, collagen-derived products, negative pressure wound therapy, skin autograft, matrix metalloproteinases (MMP) inhibitors, artificial cellular and acellular matrices, and collagen-derived products [78,79,80,81]. Over time, skin substitutes, playing the role of tissue-engineered artificial skin equivalents, have been developed as alternatives [82]. Three-dimensional bioprinting and advanced biomaterials create functional skin equivalents to enhance tissue regeneration, and could outperform the skin grafts and become promising therapeutics for cutaneous wounds [83,84,85].
3. Bioengineered Scaffolds
To enhance any tissue engineering approach, it is essential to choose a suitable cell type and substrate material, and stem cells and polymeric materials are selected because of their distinct features (Figure 4).
Figure 4.
The tissue-engineering triad: protein/polysaccharide-based scaffolds, cells, and biological molecules are used to synergistically repair/regenerate natural tissue.
Stem cells have the capacity for self-renewal and differentiation into particular cell types in response to suitable signals [86]. Polymeric materials provide suitable physical-chemical and biological properties, are biocompatible, degradable, and amenable to variable processing and property design. Tissue engineering often uses polymers able to stimulate stem cell activity by transmitting physical, chemical, mechanical, and/or biological signals [87]. As an example, fibronectin, a natural polymer, is recognized for its capacity to enhance cell attachment [88]. Some combined polymers or composite scaffolds possess biological, chemical, and mechanical benefits [89,90].
3.1. Advanced Polymeric Biomaterials Versus Traditional Technologies
Traditional methods for the clinical treatment of radiation-induced skin damage use the necrotizing skin debridement, topical corticosteroids and antibiotics, or wound dressings [91,92]. Novel strategies have been explored, including hyperbaric oxygen therapy, cytokine therapy, and more advanced techniques, such as stem cell therapy and scaffolds, which mimic the natural extracellular matrix (ECM) and stimulate the cells growth by creating a friendly biological environment [93,94]; such scaffolds/bioscaffolds stimulate the fibroblasts and epithelial cells involved in tissue repair to migrate and proliferate rapidly, and control tissue repair and regeneration [95].
Biomaterials, natural origins, synthetic or acellular tissue matrices, have to meet some requirements in order to substitute the native tissue with a smooth biointegration: to be biocompatible, biodegradable, and bioresorbable, and to have mechanical resistance [96,97]. Woven dressings, porous scaffolds, 3D printing materials, nanofibers, hydrogels, and other types of dressings are among those available at this point to aid wounds heal [98,99]. Natural polymers (e.g., polysaccharides, proteins) are, predictably, the most studied materials in bioengineering scaffolds [100]. Because of their unique features (e.g., antibacterial activity), polysaccharides such as dextran [101], chitosan [102], and hyaluronic acid [103] are widely investigated for cutaneous wound healing.
Compared to natural biomaterials, artificial and synthetic ones (polymer-based or ceramic elements) with favorable mechanical features were explored in wound healing protection [104,105]. Natural and artificial materials each have their own variety of strengths and downsides, and, to take advantage of both of their features, hybrid materials are regularly manufactured, leading to widespread use in the field of cutaneous wound healing [106]. Electrospinning technology, 3D bioprinting technology, microfluidic technology, and biomaterial/stem cell technology are the highlighted technologies in the production of bioengineered scaffolds [55]. Hence, bioactive materials are a promising therapeutic tool that improves upon the drawbacks of current methods while changing the wound microenvironments and triggering certain behaviors in vital cells, thereby shifting the healing process in the desired direction [107].
The field of scaffold-based tissue engineering [108] emerged as a solution to address the drawbacks associated with direct cell suspensions. Its primary objective is to create effective methods for delivering cells and to fabricate advanced three-dimensional (3D) tissue models, biocompatible, biodegradable, and mechanically robust scaffolds [109,110] with a well-connected porosity structure, facilitating effective transportation and exchange of gases and specialized biomolecules [111]. Once integrated into the body, the scaffold have to meet the following applicative needs: (i) serve as a reliable structure for cell adhesion, proliferation, and differentiation as a substrate, (ii) establish the necessary biomechanical conditions for coordinated tissue regeneration, (iii) facilitate the distribution of nutrients and oxygen, and (iv) enable the encapsulation and release of cells along with growth factors [112].
3.2. Polymeric Biomaterials for Scaffolds
Polymers are the backbone of the scaffolds, performing an important function in facilitating their functionality. Depending on their nature, they may be natural or synthetic and must have properties such as biocompatibility and biodegradability in order to be processed as scaffolds for substitution of the native tissue without being rejected [93].
3.2.1. Natural Polymers—Proteins and Polysaccharides
Natural polymeric materials possess superior biocompatibility, degradability, and cell recognition characteristics, frequently exploited in the wound healing processes, replacing native ECM structural components and skin cellular background [113]. In addition, naturally derived polymers are abundant in functional groups, easily modified and crosslinked, and are involved in physical and chemical/biochemical stimuli-responsive reactions [114,115,116]. Natural polymers are lengthy chains comprised of repeated covalently bound compounds, such as nucleotides, amino acids, or monosaccharides, and often contain biofunctional molecules that possess biomimetic properties and the ability to undergo spontaneous restructuring [117]. The crucial qualities of natural polymers include bioactivity, biocompatibility, 3D geometry, antigenicity, non-toxic byproducts of biodegradation, and inherent structural similarity [100].
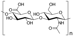
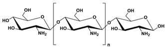
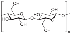
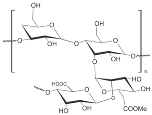
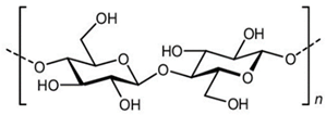
Proteins and polysaccharides are, predictably, among the most studied materials as bioengineered scaffolds [100]. Because of their unique features (e.g., antibacterial activity), polysaccharides such as dextran [97], chitosan [102], and hyaluronic acid [103] are widely investigated for cutaneous wound healing (Table 1). Since natural polymers include many different types of active functional groups, they may be easily modified, chemically or biologically, to acquire additional desired functionalities, such as accelerated wound healing.
Table 1.
Proteins/polysaccharides and their properties for biomedical applications.
Generally, natural polymers are involved in biochemical and physiological reactions, rebuilding of the extracellular matrix, cell signaling, and other processes associated with wound healing. Collagen and its subproduct gelatin influence key steps of the wound healing process, such as hemostasis, inflammation, and angiogenesis [53]. At the injury site, collagen induces platelet activation and aggregation and fibrin clot deposition. In the inflammatory stage of wound healing, immune cell activation stimulates the secretion of proinflammatory cytokines and produces the migration of fibroblasts, epithelial, and endothelial cells. The balance between collagen depositions induced by fibroblasts and collagen degradation, and its released fragments that promote fibroblast proliferation and synthesis of growth factors, leads to angiogenesis and re-epithelialization, remodeling of the extracellular matrix, and an increase in the mechanical properties [161]. Keratins are involved in the proliferation of the keratinocytes and the conservation of their integrity in the epithelium [162]. Some keratins support the phosphorylation of STAT3 and its transport to the cell nucleus and increase the translation of D1 cyclin that is necessary for the proper proliferation of keratinocytes [163]. In acute wounds, keratinocytes migrate from the wound margins, proliferating and releasing cytokines to initiate tissue response. However, in diabetic patients, chronic wounds can be produced, such as ulcers, and keratinocytes’ abilities to migrate are restricted, leaving the wound healing process incomplete [164].
Hyaluronic acid has several biological functions, such as skin moisturization and anti-wrinkle effects that support the natural healing process. Additionally, numerous in vitro and in vivo studies revealed the wound healing ability of HA by enhancing mesenchymal and epithelial cell migration and differentiation, as well as improving angiogenesis and collagen deposition [165,166].
Chitosan, a chitin derivative, is an effective hemostatic agent that accelerates wound healing by improving the functions of inflammatory cells, inhibiting the activation of NF-κB (Nuclear factor kappa-B) and lipopolysaccharide (LPS) binding, reducing the production of pro-inflammatory cytokines, and inhibiting tumor necrosis factor-α (TNF-α) [167]. The hemostatic property of chitosan is related to the presence of positive charges in the structure that can interact with the blood’s negatively charged cell membrane, stimulating platelet adhesion, activation, and aggregation at sites of vascular injury [168]. Other polysaccharides, including xanthan gum and gellan gum [156], chemically modified or combined with proteins, have been extensively tested as regulators of hydrophobicity; they are involved in moisturizing environments and regulating cell attachment and proliferation in wound healing [169].
Proteins and polysaccharides have their own variety of strengths and downsides. Some drawbacks associated with collagenic materials include their low stability under high concentrations of proteolytic enzymes and oxidative stress conditions [170]. Chitosan-based scaffolds present challenges regarding acidity exacerbating irradiated tissue, and xanthan gum or gellan gum application is restricted by their very low biodegradability [171,172]. From all studied biopolymers, collagen and chitosan are the most used protein and polysaccharide, respectively, due to their hemostatic and biocompatible properties, while dextran and alginates remain underexplored in clinical scenarios, due to their lower mechanical stability. In order to take advantage of both proteins and polysaccharides’ features, hybrid materials are currently being investigated, leading to their widespread use in the field of cutaneous wound healing [55].
3.2.2. Synthetic Polymers—Partners for Natural Polymers in Wound Healing?
Synthetic polymers, as versatile materials, some of which have favorable biological and physical features, are extensively explored in wound healing applications [107,108]. Compared to natural polymers, synthetic polymers have the benefit of being produced and altered in a controlled manner, have consistent and uniform physico-chemical characteristics, as well as stability and easy maneuverability [173,174]. They lack contaminants, often possess mechanical stability, undergo regulated degradation, and can be processed as architectures that stimulate the cells’ adhesion, proliferation, and differentiation [114]. However, they are physiologically inactive and do not provide a therapeutic benefit as do natural polymers. Synthetic polymers commonly employed in wound healing applications are hydrophobic and hydrophilic and these antagonist characteristics are exploited to regulate the behavior in biological environment (Figure 5); their use in tissue engineering is associated with a targeted tissue, particularly its mechanical properties and rate of biodegradation and gradual replacement of the scaffold by the newly formed tissue [175].
Figure 5.
Proteins/polysaccharides and synthetic polymers for wound healing and skin tissue engineering: (A) hydrogels with various architectures [176]; (B) continuous films [177]; (C) nanofibers [178,179]; (D) sponges [170,180].
The chemical composition of polymeric scaffolds ultimately governs a variety of characteristics. Table 2 depicts synthetic polymers tested in wound healing applications, their structure and properties, and proteins or polysaccharides as partners in medical applications. Poly (ε-caprolactone) is a biodegradable synthetic polymer and an aliphatic polyester that includes repeated units of hexanoate and is used in the preparation of scaffolds for wound repair and bone tissue regeneration due to its peculiar mechanical properties, biodegradable nature, as well as its miscibility with several polymers [181]. PCL degradation occurs due to the activity of the enzyme lipase, an enzyme released by cells in interstitial fluid that is able to break PCL’s ester bonds; the degradation rate is influenced by the pH of the medium, and 6-hydroxycaproic acid is released as a breakdown product. It was demonstrated that 6-hydroxycaproic acid is taken by cells, undergoes 2-β-oxidation for the formation of 3-acetyl CoA molecules, which are metabolized in the citric acid cycle, and, finally, is eliminated from the body via renal excretion [22,42]. One major drawback associated with PCL is its hydrophobic nature that hampers the wound repair application potential. However, several studies reported prompt wound repair in the presence of composite scaffolds, including PCL. Furthermore, cellular adhesion properties in PCL scaffolds can be enhanced by employing modification techniques such as gamma irradiation or plasma treatment [182,183].
Table 2.
Synthetic polymers, their properties, and protein/polysaccharide partners in biomedical applications.
Poly (ethylene succinate) (PES) and poly (butylene succinate) (PBS) are polyesters that are produced via a petrochemical route or biomass-based raw materials. The polymers are biodegradable and biocompatible, and can be easily tailored for different applications, including wound healing. Wound dressings based on PES/PBS are designed with controllable porosity and a high surface area-to-volume ratio that closely resembles the architecture of the natural extracellular matrix (ECM), allowing for moisture retention, hemostasis, removal of exudates, and cell proliferation. Poor mechanical properties and low biodegradation rate due to the polymer’s high ability to crystallize are often modified by co-polymerization with different monomers and have been explored to design cell-friendly architectures [219].
Polyurethanes (PUs) are biocompatible hydrophobic synthetic polymers frequently used for wound dressings because of their barrier properties and oxygen permeability. PUs are also thermoplastic polymers with robust mechanical properties, suitable for various applications, including wound healing and tissue engineering [225]. Dressings based on PUs promote wound healing by reducing leakage via a highly absorbent core that stimulates exudate retention. Such dressing may also prevent infection through a barrier function that blocks liquids and bacteria. The dressings are easy to lift and remove without pain, protecting the skin against trauma and reducing pressure on the wound area. Coatings with collagen or collagen-based peptides on polyurethane meshwork increase the cells’ adhesion and enhance the biocompatibility of the tissue [226].
A few synthetic polymers, like poly (caprolactone) and poly (ethylene succinate) (PES)/poly (buthylene succinate) (PBS), undergo degradation in the presence of bacterial enzymes. This property can be exploited to fabricate smart dressings, wherein the presence of bacterial infection will govern the release of the drug from electrospun nanofibers [227] or bacteria-responsive dressings [231].
Surface features play a significant role since they dictate polymer interactions with cells and proteins; these features include wettability, swelling ability, electrostatic effects, hydrolytic degradation, elasticity, and shape [232]. They have an impact on the neighboring interfacial environment, which facilitates the interactions of proteins/cells on the material’s surface. The interaction between cells and polymers is closely linked to the nature of the functional groups present on the scaffolds’ superficial layers. In most cases, the synthetic polymers having cationic monomers permit electrostatic interactions with negatively charged cell membrane surface; meanwhile, anionic monomers need additional functional materials for their biological activity, like proteins or peptides [233]. Disadvantages in using synthetic polymers are associated with their biodegradation speed and the degradation byproducts in biological medium, including in skin hypoxic wounds, which can negatively influence the wound healing processes by inducing inflammation or immunorejection [234]. Synergistic combinations can be designed with natural and synthetic polymers, and some key performance characteristics related to radiation-induced wound healing are exemplified in Table 3.
Table 3.
Polymers’ properties in radiation-induced wound healing.
3.3. Scaffolding Polymers for Wound Healing Applications
The polymers are designed and shaped as microstructures and complex architecture for wound healing, as a supportive substrate facilitating the transport of cells and therapeutic substances [227]. Recent functional wound dressings, such as hydrogels, hydrocolloids, nanofibers, and foam dressings, have demonstrated successful outcomes for the management of radiation-induced injuries [231]. Woven dressings, porous scaffolds, 3D printing materials, nanofibers, hydrogels, and other types of architectures are available at this point to aid wounds in healing [96]. Hydrogels demonstrated significant benefits in the treatment of radiation-induced damages, evaluated in several studies; encouraging results have been obtained due to their superior mechanical and biochemical properties (such as adhesiveness, antibacterial, and antioxidant capacities) [223,232]. Hydrogels, on the other hand, with high water absorbance ability and 3D mesh structure, with exceptional moisture retention and air permeability, offer an extensive adaptability to particular wound healing stages and complications [235].
The selection of the polymer design and the processing method of the wound healing stimulative architecture are correlated with several requirements of the application: (i) the delivery and retention of cells and biochemical factors; (ii) the facilitation of cell attachment and migration; (iii) the flowing of essential cell nutrients and released products; (iv) the influence on the cell behavior through mechanical and biological stimuli; (v) to recreates an ECM-like microenvironment [236]. Traditional procedures involve the use of several techniques, such as solvent-casting and particulate-leaching, based on polymer solutions mixed with salt particles of certain diameters (Figure 6). After solvent evaporation, the material is submerged in water, and the salt particles dissolve, resulting in a porous structure [237].
Figure 6.
Fabrication of scaffolds for skin tissue engineering: (A) melt molding [238]; (B) salt leaching [239]; (C) lyophilization [240]; (D) solvent casting [241]; (E) gas forming [242]; (F) 3D printing/bioprinting [243]; (G) electrospinning ((a) vertical; (b) horizontal) [244]; (H) self-healing [245]; (I) self assembling [246]; (J) microfluidic systems [247].
Gas foaming is a process that shapes biodegradable polymers at high pressures using gas-foaming agents (or blowing agents), such as CO2, nitrogen, water, or fluoroform. The polymers reach a saturation level, and gas bubbles, generally between 100 and 500 μm, are generated and expanded inside the polymeric matrix. Furthermore, phase separation involves a fast reduction in the temperature of a polymer solution and its division into two distinct phases: one phase rich in polymer (undergoes solidification) and another phase with low polymer concentration (eliminated, leading to a porous polymer network with excellent permeability); the solubilized amount of polymer represents an effective tool to tune the foam density and pore morphology [248].
Lyophilization, commonly named freeze drying, provides a technique for manufacturing polymeric micro/macroporous scaffolds. The procedure consists of polymer solution cooling to a precise temperature, resulting in the solidification of all constituents. During the process of freezing, the solvent undergoes a transformation to ice crystals, and polymer molecules connect to each other and gather within the small gaps between the crystals; the solvent is removed by sublimation of the solvent, leaving a desiccated polymer scaffold with a high interconnected microstructure [249]. The porosity of the scaffolds depends on the concentration of the polymer solution, while the freezing temperatures impact the distribution of pore diameters. This approach is not only used to create porous scaffolds, but also to process biological molecule-including samples, in order to protect their bioactivities [250].
Electrospinning technology, 3D bioprinting technology, microfluidic technology, and stem cell technology are new technologies implemented in the production of bioengineered scaffolds [103]. Hence, bioactive materials are a promising therapeutic tool that improve upon the drawbacks of current methods, change wound microenvironments, and trigger various biological, biochemical, and physical factors; they are produced and regulated by endogenous biomediators, exogenous drugs, and external environment, shifting the healing process in the desired direction [251].
Electrospinning employs the electro-hydrodynamic processing of polymeric solutions and produces nanofibers. A basic configuration requires an injection pump, a syringe equipped with a needle, a high voltage power supply, and a collection plate [252]. Generating an electric field between the needle tip and the collecting plate, an electrically charged stream of polymer solution is produced; it flows towards the collector and forms fibers [253]. The approach has been thoroughly investigated in the field of tissue engineering due to the tenability of nanofibers in terms of size and spatial organization, and excellent biological response to cells and tissue formation. Moreover, simultaneous electrospinning of multiple polymeric solutions produces hybrid scaffolds and permits the fine-tuning of the scaffold’s mechanical, chemical, and biological properties [254].
Recently, 3D printing, also known as additive manufacturing, has been extensively tested and applied in the field of TE [255]. This computer-aided design (CAD) technique utilizes a layer-by-layer procedure to produce architectures with intricate structures by adding materials such as ceramics, powders, polymers, metals, or liquids in a systematic manner, following a bottom-up approach [256]. Several 3D printing processes exist, including (i) laser-based 3D printing stereolithography (SLA), selective laser sintering (SLS), and digital laser printing (DLP), (ii) extrusion-based 3D printing includes fused deposition modeling (FDM) [257,258], (iii) ink-based 3D printing specifically involves ink jet printing (IJP), and aerosol jet printing (AJP) [259]. Extrusion-based 3D printing is widely recognized as the most prevalent printing technology and uses a wide range of polymeric ink composites [260].
Three-dimensional printing significantly contrasts with conventional scaffold fabrication techniques by offering precise control of the material deposition and cellular arrangement inside the printed structure, hence enabling the development of complex, customized tissues [261]. The primary benefit of the 3D printing technique lies in its ability to produce 3D architectures that closely replicate the microenvironments of tissues and organs, thereby properly reflecting human physiology [262]. The development of 3D printing has led to significant advances in scaffold design and the ability to accurately mimic the EMC. The method produces tailored complex porous scaffolds with precise manipulation of spatial geometry, microarchitecture, surface-to-volume ratio, and porosity. Three-dimensional printing offers significant advantages in the wound healing process, such as customized dressings that enhance ventilation and moisture regulation, thereby creating an optimal healing environment. It also aids in reducing scarring, which is particularly advantageous for aesthetically sensitive wounds or those exhibiting hypertrophic scarring [263]. Three-dimensionally (bio)printed scaffolds featuring interconnected pores and extensive surface areas facilitate cell attachment, proliferation, intercellular interactions, and the exchange of gases and nutrients, presenting a significant advantage over conventional solvent casting, phase separation, and melt molding methods [264,265]. The application of 3D bioprinting in the field of ADSC-based therapies contributes to the reproduction of the human tissue complexity and represents a significant step toward organ-level functional 3D tissue scaffolds [266,267]. Fu and collab. prepared bioinks based on human adipose tissue decellularized ECM, methacrylated gelatin, and methacrylated hyaluronic acid, loaded with adipose-derived stem cells (ADSCs) and revealed, in a mouse model (full-thickness injury), a complete wound closure, increased deposition of collagen III, and neo-vessel formation after bioprinted architecture application [268]. Roshangar and collab. tested ADSCs seeded into 3D bioprinter-derived gel scaffold based on collagen and alginate, layer-by-layer arranged, in a full-thickness burn rat model and observed a faster epithelization and a multi-layered epidermis with the onset of cornification for a scaffold with an ADSC group, demonstrating the bioengineered scaffold’s potential in skin repair [269].
All these scaffolds need careful sterilization in conditions that do not change the structure and morphology and do not impact the interactions with biological molecules, cells, or tissues. Sterilizing methods include UV and gamma irradiation, heat-based ethylene oxide, immersion in ethanol solution, and argon plasma [270]. The combination of scaffolds with biological molecules (antibacterial, antitumoral) or magnetic moieties is tested in order to stimulate complex mechanisms of action in the human body [271,272].
Despite progress in 3D bioprinting, some limits for the clinical application of biofabricated skin grafts are present. To reach a standardized clinical application, the complexity of human skin tissue needs to be approached, and the challenges to be solved include cell survival during the printing process, the proper cellular nutritional and oxygen supply during and after bioprinting process, a final structural arrangement suitable for proper vessel ingrowth, a lower period for graft vascularization, in vitro and in vivo, etc. Moreover, the reproducibility of the 3D bioprinting is not fully optimized yet, and bioprinted skin grafts are still limited, with safety and legal issues in the clinical use and their standardized application [273].
3.4. ADSCs in Skin Tissue Engineering
The advancement in treatment for different kinds of wounds is driven by modern regenerative medicine and tissue engineering, and stem cells are extensively tested [274]. In particular, mesenchymal stem cells (MSCs), which are described as adult native cells, have been considered, based on their capacity to develop in vitro different tissues, including cartilage, bone, and adipose cells, with all exhibiting anti-inflammatory, trophic, paracrine, and immunomodulatory properties [275].
According to studies, the production of adipose-derived stem cells (ADSCs) is 40 times greater than that of bone marrow mesenchymal stem cells (BMSCs), and they can preserve a normal diploid karyotype for 100 generations of culture [276]. Because multipotent ADSCs can differentiate into a variety of tri-germline cells, such as osteocytes, adipocytes, neuronal cells, vascular endothelial cells, cardiomyocytes, pancreatic cells, and hepatocytes, the use of adipose tissue and its cellular products serves as a paradigm for tissue regeneration and cellular restoration [277]. Currently, scientists are concentrating on using such cells to heal persistent wounds [278]. These cells can be added as a cell suspension and injected directly into the wound in extracellular vesicles [279] alongside a compatible carrier or a complex 3D skin scaffold [280,281].
ADSCs are accessible in large quantities, are very simple to harvest from liposuctions carried out under local anesthesia, may maintain their phenotype and plasticity after a prolonged in vitro culture, possess a low immunogenicity, and are demonstrated to be clinically safe, making them an ideal candidate for tissue engineering [282,283]. Moreover, they have received considerable validation of their pluripotency, proliferative performance, and limited donor morbidity [284]. ADSCs are a source of various growth factors, chemokines, cytokines, and paracrine molecules, a complex of biological molecules that promote survival of the cells, modulate the specific inflammatory reaction, and thus enhance the regenerative processes at the injured tissue [285,286]. Chronic radiation skin damage has also benefited from ADSCs. Numerous studies have examined the role of stem cells in wound healing (Table 4), particularly in radiation-induced skin damage [287,288,289,290,291,292,293,294].
Table 4.
ADSCs tested on radiation-induced injuries.
The majority of cutaneous radiation damage treatment methods now focus on supportive wound care [295].
3.5. ADSCs and Protein/Polysaccharide-Based Scaffolds for Wound Healing
Recently, multiple studies showed that a combination of scaffolds and ADSCs treatment improves wound healing outcomes compared to ADSCs alone [296,297,298,299,300,301].
A biocompatible 3D microenvironment with higher cell-to-cell and cell-to-matrix connections may be produced by the incorporation of ADSCs into scaffolds, simulating an in vivo environment more precisely [302]. ADSCs may be distributed across the whole surface of the wound in a physically solid scaffold, which enhances their impact on the healing process [303].
ADSCs have been studied on wounds paired with a variety of scaffolds, including chitosan [304], fibrin [305], hyaluronic acid [306], collagen sponge [307], collagen peptide scaffolds [308], decellularized tissues [309,310], atelocollagen [311,312], amniotic membranes [313], platelet gels [314], and combinations with different scaffolds [315,316].
Currently, the efficacy of adipose-derived stem cell-based scaffolds in radiation-induced wound healing has not been well defined, and, despite the large number of ADSC–polymer architectures developed, only a limited number of preclinical studies have reported the use of different ADSC therapies combined with bioengineered scaffolds to promote wound healing in post radiotherapy defects. In all these studies, collagen-based scaffolds have been evaluated, and they are summarized in Table 5.
Table 5.
Combinations of ADSCs and collagen-based scaffolds for radiation-induced wounds, preclinical studies.
The study developed by Zhang et al. (Figure 7) was focused on the application of three-layer ADSC sheets combined with atelocollagen scaffold to improve wound healing in mice.
Figure 7.
(A). Atelocollagen macromolecules crosslinking via EDC method. (B) (a) Representative macroscopic view of single-layer ADSC sheet (left) and three-layer ADSC sheet (right) (200×). (b) H&E staining of single-layer ADSC sheet (left) and three-layer ADSC sheet (right) (200). (C) Representative macroscopic view of wound repair. (D) Histological and immunohistological analysis of wound sections: (a) H&E staining of wound sections (100×); (b) Masson trichrome staing of wound sections (100×); (c) Immunohistochemical staining specific for CD31 (100×). Adapted from [312].
An atelocollagen-based scaffold was obtained by crosslinking via the EDC method (Figure 7A), seeded with ADSCs, and tested as a single-layer ADSC-seeded sheet or a three-layer ADSC-seeded sheet (Figure 7B) on radiation-induced burns on dorsal skin. The authors measured wound sizes (Figure 7C), observed cell proliferation, and explored the mechanisms behind the improved wound healing. They assessed wound size reduction, cell proliferation, inflammation, angiogenesis, and collagen formation. In terms of investigated mechanisms and clinical implications, the authors evaluated the ADSCs’ influence on wound healing through cell proliferation, reduction of inflammation (e.g., IL-1b expression), promotion of angiogenesis (e.g., VEGF expression), and collagen formation. The histological data and immunohistochemical assays (Figure 7D) suggest that ADSCs and atelocollagen scaffolds can work synergistically for skin wound regeneration.
Maskito T. et al. [308] discuss wound healing in irradiated tissue models in nude mice. They used rhCP (recombinant human collagen type I) scaffolds, prepared as a 3D sponge, seeded with human adipose-derived stem cells (hADSCs) and human umbilical vein endothelial cells (HUVECs) (Figure 8A), and explored how the rhCP scaffold, hADSCs, and HUVECs collectively contributed to wound healing. They hypothesized a mechanism through integrin binding and growth factor signaling pathways and observed wound closure and tissue regeneration (Figure 8B–D), suggesting the potential for clinical use. Using microarray assays, the authors evaluated the gene expression up-regulation related to cell cycle and wound healing (especially extracellular matrix), and concluded that rhCP induces stem cell activation-like responses such as proliferation, migration, and ECM production by hADSCs.
Figure 8.
(A) Recombinant collagen type-I peptide macromolecular structure, scaffold preparation, and transplantation methods; (B) appearance before wound creation. This model underwent 20 Gy of radiation on the back 4 weeks ago and resulted in macroscopic tissue atrophy and fibrosis. (C) Histological analysis revealed fibrosis and the disappearance of cutaneous appendages. (D) Representative photos of cutaneous wounds (6 mm) created on the irradiated dorsal areas of mice (n = 3 in each group), with 18-day follow-up. Ulcerated surface areas were determined via digital software (Photoshop CS6; Adobe Systems, San Jose, CA, USA) (B–D). Adapted from [308].
Pathway analyses revealed gene expression patterns for inflammatory suppression, cell growth promotion, and increased signals by growth factors/cytokines, including VEGF, HGF, and TGF-β1. The authors suggested that the signaling pathways of the VEGF receptor were activated by the rhCP containing multiple RGD motifs, and rhCP worked as a functional cell scaffold, which enhances hADSC wound healing potential, stimulating the hADSCs’ activity and their biological activity in wounds. Some limitations of their studies include the detailed mechanism of rhCP stimulation on cell function and the relation with cell surface receptors and signaling pathways activated, based on the small number of arrayed samples.
Ye and collab [316] focused on the healing of radiation-induced vaginal injuries in rats using ADSCs-protein scaffold complexes. They cultured adipose-derived stem cells within a 3D protein scaffold made of type I collagen (Figure 9A–G) and transplanted them into rats with vaginal injuries. Histological analyses were used to assess regeneration of the vaginal epithelium, and the examination for RNA completed the study in order to explain the therapeutic mechanism of the cell–collagen constructs (Figure 9H,I).
Figure 9.
(A). Three-dimensional network structure with micron-sized holes made of type I collagen. (B,C) Isolation and identification of ADSCs (200×). The ADSCs exhibited typical fibroblastic morphology. (D,E) ADSCs differentiate into osteoblasts and adipocytes (×400). (F,G) Spindle cells within the scaffold were faintly visible, and the growth state was good and stable. ((F) ×400). The collagen structure is visible. ((G), ×1000). Spindle cells within the collagen scaffold. (H) Hematoxylin and eosin staining data: (a) Injection of PBS into irradiated site; (b) injection of protein scaffold into irradiated site; (c) injection of ADSCs into irradiated site; (d) injection of complex into irradiated site; (e) untreated irradiated rats; (f) blank control group. n = 5 rats per group. Scale bar = 1000 μm. Squares indicate the studied areas. (I) The NF-κB pathway was enriched for some up-regulated genes. The diameter represents the number of differentially expressed genes; the wider the diameter, the greater the number. Red represents statistical significance (adapted from reference [316]).
The authors concluded that ADSCs may mediate repair through the activation of the NF-kB signaling pathway, which plays a major role in controlling inflammation. It was demonstrated that NF-jB activation is involved in the transcriptional control of acute and chronic inflammation, and the cell-scaffold system induces anti-inflammatory effects through this pathway. Investigation of the healing mechanism of ADSCs using RNA sequencing confirmed that ADSC-based bioscaffold contributes to the repair process by activating the expression of the NF-jB signaling pathway.
Additionally, the study examined the expression of mucin MUC1 as a marker of epithelial cell function, and delays in injury healing for untreated animals were observed, with some not healing at all, as well as prolonged PCNA (proliferating cell nuclear antigen) and MUC1. The study did not find a significant difference between the ADSC–collagen-treated group and the negative control group in terms of PCNA expression. The study suggests that ADSCs-protein scaffold complex could be a useful therapeutic approach for patients suffering from vaginal injuries following radiotherapy, addressing a specific clinical need.
Yang and collab [317] reported, in their study, seeing the fate and regenerative mechanism of adipose-derived stem cells (ADSCs) included in a collagen matrix in a mouse model with radiation-induced skin injury (Figure 10A—the study design). Fluorescent nanoparticles were prepared and internalized by ADSCs as an effective fluorescent cell tracker to precisely follow the cells and their behavior in an animal model (Figure 10B–G). Labeled ADSCs were encapsulated into Matrigel and then injected into the injured sites (obtained on the left hind limb skin by exposure at 40 Gy of X-ray, using a dose rate of 2 Gy/min for 20 min). Histology and immunohistochemistry assays (Figure 10H,I), as well as cell tracking tests, were performed. Under tested conditions, in all radiation-induced lesions, a more inflammatory reaction than the non-radiated group was observed 18 days after ADSCs transplantation. ADSC transplantation in the presence of Matrigel demonstrated a significant decrease in inflammation (about 62% of PBS and Matrigel groups). Histology and immunohistochemistry data indicated that cell presence boosts the skin healing of radiation lesions, and more blood vessels and fewer macrophages were found in the wounded area.
Figure 10.
In vivo experiments on adipose-derived stem cells (ADSCs) included in collagen matrix, in a mouse model with radiation-induced skin injury. (A) Time schedule of in vivo ADSCs tracking experiments. (B) Representative time-dependent fluorescence images of radiation injury-bearing mice via AIE dots. (C) Time-dependent in vivo bioluminescence images of the same mouse in (B). Quantitative analysis of fluorescence intensity (D) and luminescence intensity (E) in the injury region shown in (B,C), respectively. (F) Laser Doppler perfusion images of limb lesions of radiation injury-bearing mice at 18 days and 30 days post-transplantation, and (G) quantitative analysis of perfusion at 18 days and 30 days after ADSCs transplantation; ** p < 0.01. (H) H&E staining images of limb lesions of radiation injury-bearing mice. Scale bars, 100 μm. (I) H&E staining images and immunostaining images against CD31 and CD68 of skin lesions of radiation injury-bearing mice at 30 days post-transplantation. Scale bars: 100 μm for H&E images; 25 μm for immunostaining images. (Adapted from [317]).
The authors concluded that transplanted ADSCs in radiation-induced skin injury can be noninvasively and precisely analyzed by tracing with fluorescent nanoparticles, without an unfavorable impact on the regeneration effect of labeled adipose-derived stem cells. Meanwhile, this study revealed the great benefits of using complex cells in the repair of radiation-induced skin injury.
These articles collectively contribute to the field of radiation-induced wound healing, supporting the positive benefits from a combined ADSC and polymeric scaffold therapy by exploring different cell types, scaffold materials, and experimental models to address various aspects of tissue healing and regeneration. While preclinical studies share the common goal of promoting tissue repair, they approach the topic from different perspectives and have distinct clinical applications and limitations.
4. Clinical Translation of ADCS-Based Bioengineered Scaffolds
The FDA has approved multiple skin substitutes for particular applications, including the treatment of burns, diabetic foot ulcers, and chronic wounds, such as Apligraf, Dermagraft, Integra, StrataGraft, and Acellular Dermal Matrices [318]. Apligraf is a composite skin substitute based on human epidermal and dermal cells on a collagen scaffold, approved for diabetic foot ulcers [319]. Dermagraft is another composite skin substitute, using cryopreserved human fibroblasts on a collagen scaffold, also approved for diabetic foot ulcers [320]. StrataGraft is an FDA-approved skin tissue substitute made from cultured keratinocytes and dermal fibroblasts, used to promote wound healing [321]. Another approved system, Epicel, is a cultured epidermal autograft used for treating burns, especially those covering more than 75% of the total body surface area. Integra is a skin substitute used for burns, approved through the PMA process [322]. The FDA currently has limited approval of stem cell-derived products for cosmetic medicine and surgery due to insufficient data from both animal and clinical research. Moreover, the clinical trials based on stem cells remain limited due to the complexity of studying the risks to patients, including local reactions at the administration site, rejection responses, migration to other locations, differentiation into unsuitable cell types, inefficacy, and the chance of cancer development [323]. Additionally, due to their intricate culture procedures and low transformation efficiency, the application of induced pluripotent stem cells is still under evaluation. Comprehensive preclinical investigations employing lineage-tracing models and tumor-susceptible animal populations, in conjunction with real-time molecular surveillance in clinical trials, are important in clarifying these risks. In addition to oncogenic risk, donor variability and ethical concerns are very important [324]. From this point of view, for ADSCs derived from a donor, ethical considerations around informed consent and the potential for exploitation must be addressed before the use of extracted cells.
The developed scaffolds for radiotherapy-induced wounds must be engineered to facilitate healing without the interference of radiation therapy and to prevent the introduction of new irritants or obstructing the healing process. Radiotherapy-induced wounds involve a wet healing environment that facilitates cell migration, proliferation, and tissue regeneration. Scaffolds must be engineered to retain moisture while facilitating enough gas exchange to not induce allergic responses, tissue injury, or inflammation [233], and few commercial scaffolds have been particularly developed for the regeneration of radiotherapy-produced wounds. Flaminal® and Flaminal® RT are sophisticated wound care dressings based on hydrogels, formulated to proficiently address the intricate skin responses induced by radiotherapy (radiodermatitis) [325]. Polymem® is a dressing for the regeneration of inflamed, peeling, and moist skin surfaces injured by radiotherapy exposure or proton beam therapy treatment [326]. Based on the hydrogel’s ability to carry the ADSCs and to be processed as 3D architectures, preclinical and clinical tests have to demonstrate the potential of applying some products with ADSCs safely and efficiently in radiation-induced skin wounds.
5. Challenges and Future Perspectives
Advances in wound healing treatments are testing the boundaries of medical research. Novel techniques, which range from cutting-edge dressings to stem cell treatments and bioengineered skin replacements, are not only changing chronic wound treatment but also raising the expectations for faster and more efficient tissue repair. As research in this field continues to advance and to evaluate new combinations of materials, cells, and biomolecules, it can be anticipated that radiation-induced wounds that formerly caused considerable obstacles will be more easily managed and healed in the near future.
Protein/polysaccharide-based scaffolds and combinations with synthetic molecules, such as hydrogels and nanofibers, micro- and nanoparticles, have displayed impressive outcomes in managing skin injuries, owing to their mechanical and biochemical properties. New time-responsive and biological-responsive scaffolds capitalize on all insights in material engineering; understanding stem cells’ biology and their involvement in wound healing processes are important steps in creating effective bioengineered treatments. The synergy between ADSCs and these scaffolds fosters a microenvironment conducive to tissue repair, allowing for improved cell-to-cell, cell-to-matrix interactions and bioscaffold interaction with healing tissue (Figure 11).
Figure 11.
Biological and time-responsive ADSC–proteins/polysaccharides in scaffolds as adaptive architectures for radiation-induced wound healing.
In the quest for more effective wound healing, advancements continue to refine treatments, and advanced bioengineering technologies include hierarchically distributed 3D bioprinted architectures, 4D and 5D bioscaffolds, immuno-engineered pro-regenerative scaffolds, or multi-cell type cultured constructs with predictable bioevolution and interactions.
The diversity of the bioengineered ADSCs-based products should not represent a hindrance to development in this field; on the contrary, there is great potential for future versatile therapies. However, further studies are necessary to standardize the radiation-induced skin injury experimental model, to optimize the method of ADSC extraction and select the scaffold composition and architecture, and to extend the evaluation time in order to obtain accurate results.
Additional clinical studies will undertake balanced risk–benefit considerations with respect to ADSCs’ potential in radiation-induced wound healing treatments. As research in this domain progresses, the possibility of treating difficult wounds through a combination of bioengineered scaffolds and cell-based therapies becomes closer to clinical practice.
Author Contributions
Conceptualization, S.A.-L., L.V. and V.S.; methodology, S.A.-L., I.N., L.V. and V.S.; investigation, S.A.-L., I.N., A.N.A., M.P., B.T. and L.V.; resources, L.V.; data curation, L.V. and V.S.; writing—original draft preparation, S.A.-L., I.N. and A.N.A.; writing—review and editing, M.P., B.T., L.V. and V.S.; visualization, S.A.-L., I.N. and A.N.A.; supervision, V.S. All authors have read and agreed to the published version of the manuscript.
Funding
This research received no external funding.
Conflicts of Interest
The authors declare no conflicts of interest.
Abbreviations
The following abbreviations are used in this manuscript:
| ADSCs | Adipose-derived stem cells |
| BMSCs | Bone marrow-derived stem cells |
| CAD | Computer-aided design |
| CTGF | Connective tissue growth factor |
| CRT | Conventional Radiotherapy |
| DNA | Deoxyribonucleic acid |
| ECM | Extracellular matrix |
| HIF1A | Hypoxia inducible factor 1 |
| HSCs | Hematopoietic stem cells |
| IGRT | Image-Guided Radiation Therapy |
| IL | Interleukins |
| IMRT | Intensity-Modulated Radiation Therapy |
| LPS | Lipopolysaccharide |
| MMPs | Matrix metalloproteinases |
| NF-κB | Nuclear factor kappa-B) |
| PBS | Poly(butylene succinate) |
| PCL | Poly (ε-caprolactone) |
| PES | Poly(ethylene succinate) |
| PUs | Polyurethanes |
| RTX | Radiotherapy |
| TGF | Transforming growth factor |
| TE | Tissue engineering |
| TIMPs | Tissue inhibitor of metalloproteinases |
| VEGF | Vascular endothelial growth factor |
| VCAM | Vascular cell adhesion molecule |
References
- Melia, E.; Parsons, J.L. DNA damage and repair dependencies of ionising radiation modalities. Biosci. Rep. 2023, 43, BSR20222586. [Google Scholar] [CrossRef] [PubMed]
- Ren, Y.; Yang, P.; Li, C.; Wang, W.; Zhang, T.; Li, J.; Li, H.; Dong, C.; Meng, W.; Zhou, H. Ionizing radiation triggers mitophagy to enhance DNA damage in cancer cells. Cell Death Discov. 2023, 9, 267. [Google Scholar] [CrossRef] [PubMed]
- Nickoloff, J.A.; Taylor, L.; Sharma, N.; Kato, T.A. Exploiting DNA repair pathways for tumor sensitization, mitigation of resistance, and normal tissue protection in radiotherapy. Cancer Drug Resist. 2021, 4, 244–263. [Google Scholar] [CrossRef]
- Dombrowsky, A.C.; Schauer, J.; Sammer, M.; Blutke, A.; Walsh, D.W.; Schawarz, B.; Bartzsch, S.; Feuchtinger, A.; Reindl, J.; Combs, S.E. Acute Skin Damage and Late Radiation-Induced Fibrosis and Inflammation in Murine Ears after High-Dose Irradiation. Cancers 2019, 11, 727. [Google Scholar] [CrossRef]
- Xu, Y.; Liu, Q.; Li, W.; Hu, Z.; Shi, C. Recent advances in the mechanisms, current treatment status, and application of multifunctional biomaterials for radiation-induced skin injury. Theranostics 2025, 15, 2700–2719. [Google Scholar] [CrossRef] [PubMed]
- Wei, J.; Meng, L.; Hou, X.; Qu, C.; Wang, B.; Xin, Y.; Jiag, X. Radiation-induced skin reactions: Mechanism and treatment. Cancer Manag. Res. 2019, 11, 167–177. [Google Scholar] [CrossRef]
- Yu, Z.; Xu, C.; Song, B.; Zhang, S.; Chen, C.; Li, C.; Zhang, S. Tissue fibrosis induced by radiotherapy: Current understanding of the molecular mechanisms, diagnosis and therapeutic advances. J. Transl. Med. 2023, 21, 708. [Google Scholar] [CrossRef]
- Yu, J.R.; Navarro, J.; Coburn, J.C.; Mahadik, B.; Molnar, J.; Holmes, J.H.; Nam, A.J.; Fisher, J.P. Current and Future Perspectives on Skin Tissue Engineering: Key Features of Biomedical Research, Translational Assessment, and Clinical Application. Adv. Healthc. Mater. 2019, 8, e1801471. [Google Scholar] [CrossRef]
- Mazini, L.; Rochette, L.; Amine, M.; Malka, G. Regenerative Capacity of Adipose Derived Stem Cells (ADSCs), Comparison with Mesenchymal Stem Cells (MSCs). Int. J. Mol. Sci. 2019, 20, 2523. [Google Scholar] [CrossRef]
- Dash, B.C.; Xu, Z.; Lin, L.; Koo, A.; Ndon, S.; Berthiaume, F.; Dardik, A.; Hsia, H. Stem Cells and Engineered Scaffolds for Regenerative Wound Healing. Bioengineering 2018, 5, 23. [Google Scholar] [CrossRef]
- Hao, J.; Sun, M.; Li, D.; Zhang, T.; Zhou, D. An IFI6-based hydrogel promotes the healing of radiation-induced skin injury through regulation of the HSF1 activity. J. Nanobiotechnol. 2022, 20, 288. [Google Scholar] [CrossRef] [PubMed]
- Kantaros, A.; Piromalis, D. Fabricating Lattice Structures via 3D Printing: The Case of Porous Bio-Engineered Scaffolds. Appl. Mech. 2021, 2, 289–302. [Google Scholar] [CrossRef]
- Lukomskyj, A.O.; Rao, N.; Yan, L.; Pie, J.S.; Li, H.; Wang, B.; Li, J.J. Stem Cell-Based Tissue Engineering for the Treatment of Burn Wounds: A Systematic Review of Preclinical Studies. Stem Cell Rev. Rep. 2022, 18, 1926–1955. [Google Scholar] [CrossRef] [PubMed]
- Wu, Y.; Liang, T.; Hu, Y.; Jiang, S.; Luo, Y.; Wang, G.; Zhang, J.; Xu, T.; Zhu, L. 3D bioprinting of integral ADSCs-NO hydrogel scaffolds to promote severe burn wound healing, Regenerative. Biomaterials 2021, 8, rbab014. [Google Scholar] [CrossRef]
- Zhang, M.; Xing, J.; Zhong, Y.; Zhang, T.; Liu, X.; Xing, D. Advanced function, design and application of skin substitutes for skin regeneration. Mater. Today Bio. 2023, 24, 100918. [Google Scholar] [CrossRef]
- Fadilah, N.I.M.; Riha, S.M.; Mazlan, Z.; Wen, A.P.Y.; Hao, L.Q.; Joseph, B.; Maarof, M.; Thomas, S.; Motta, A.; Fauzi, M.B. Functionalised-biomatrix for wound healing and cutaneous regeneration: Future impactful medical products in clinical translation and precision medicine. Front. Bioeng. Biotechnol. 2023, 11, 1160577. [Google Scholar] [CrossRef]
- Kantaros, A.; Ganetsos, T.; Petrescu, F.I.T.; Alysandratou, E. Bioprinting and Intellectual Property: Challenges, Opportunities, and the Road Ahead. Bioengineering 2025, 12, 76. [Google Scholar] [CrossRef]
- Baskar, R.; Lee, K.A.; Yeo, R.; Yeoh, K.W. Cancer and radiation therapy: Current advances and future directions. Int. J. Med. Sci. 2012, 9, 193–199. [Google Scholar] [CrossRef]
- Baumann, M.; Krause, M.; Overgaard, J.; Debus, J.; Bentzen, S.M.; Daartz, J.; Richter, C.; Zips, D.; Bortfeld, T. Radiation oncology in the era of precision medicine. Nat. Rev. Cancer 2016, 16, 234–249. [Google Scholar] [CrossRef]
- Mathes, S.J.; Alexander, J. Radiation injury. Surg. Oncol. Clin. N. Am. 1996, 5, 809–824. [Google Scholar] [CrossRef] [PubMed]
- Fowler, J.F. 21 years of Biologically Effective Dose. Br. J. Radiol. 2010, 83, 554–568. [Google Scholar] [CrossRef] [PubMed]
- Webb, S. Intensity-modulated radiation therapy (IMRT): A review of treatment planning and delivery. Phys. Med. Biol. 2003, 48, R31–R61. [Google Scholar] [CrossRef]
- Jaffray, D.A.; Siewerdsen, J.H. Cone-beam computed tomography with a flat-panel imager: Initial performance characterization. Med. Phys. 2000, 27, 1311–1323. [Google Scholar] [CrossRef] [PubMed]
- Langendijk, J.A.; Lambin, P.; De Ruysscher, D.; Widder, J.; Bos, M.; Verheij, M. Selection of patients for radiotherapy with protons aiming at reduction of side effects: The model-based approach. Radiother. Oncol. 2013, 107, 267–273. [Google Scholar] [CrossRef]
- Porock, D.; Nikoletti, S.; Cameron, F.; Pedler, P. The development and evaluation of a radiation skin reaction questionnaire. Cancer Nurs. 2010, 33, 454–463. [Google Scholar] [CrossRef]
- Mustian, K.M.; Alfano, C.M.; Heckler, C.; Kleckener, A.S.; Kleckner, I.R.; Leach, C.R.; Mohr, D.; Palesh, O.G.; Peppone, L.J.; Piper, B.F.; et al. Comparison of Pharmaceutical, Psychological, and Exercise Treatments for Cancer-Related Fatigue. JAMA Oncol. 2017, 3, 961. [Google Scholar] [CrossRef]
- Nutting, C.M.; Bedford, J.L.; Cosgrove, V.P.; Tait, D.M.; Dearnaley, D.P.; Webb, S. A comparison of conformal and intensity-modulated techniques for oesophageal radiotherapy. Radiother. Oncol. 2001, 61, 157–163. [Google Scholar] [CrossRef]
- Straub, J.M.; New, J.; Hamilton, C.D.; Lominska, C.; Shnayder, Y.; Thomas, S.M. Radiation-induced fibrosis: Mechanisms and implications for therapy. J. Cancer Res. Clin. Oncol. 2015, 141, 1985–1994. [Google Scholar] [CrossRef]
- Refsgaard, L.; Holm Milo, M.L.; Buhl, E.S.; Jensen, J.M.; Maae, E.; Berg, M.; Jensen, I.; Nielsen, M.H.; Lorenzen, E.L.; Thorsen, L.B.J.; et al. The effect of coronary artery calcifications and radiotherapy on the risk of coronary artery disease in high-risk breast cancer patients in the DBCG RT-Nation cohort. Radiother. Oncol. 2025, 204, 110705. [Google Scholar] [CrossRef]
- Huang, J.; Kestin, L.L.; Ye, H.; Wallance, M.; Martinez, A.A.; Vicini, F.A. Analysis of second malignancies after modern radiotherapy versus protons for Hodgkin lymphoma. Int. J. Radiat. Oncol. Biol. Phys. 2013, 87, 55–60. [Google Scholar] [CrossRef]
- Chen, H.H.W.; Tien Kuo, M. Improving radiotherapy in cancer treatment: Promises and challenges. Oncotarget 2017, 8, 62742–62758. [Google Scholar] [CrossRef] [PubMed]
- Ran, X.; Cheng, T.; Shi, C.; Xu, H.; Qu, J.; Yan, G.; Su, Y.; Wang, W.; Xu, R. The effects of total-body irradiation on the survival and skin wound healing of rats with combined radiation-wound injury. J. Trauma 2004, 57, 1087–1093. [Google Scholar] [CrossRef] [PubMed]
- Shukla, L.; Morrison, W.A.; Shayan, R. Adipose-derived stem cells in radiotherapy injury: A new frontier. Front. Surg. 2015, 2, 1. [Google Scholar] [CrossRef]
- Devalia, H.L.; Mansfield, L. Radiotherapy and wound healing. Int. Wound J. 2008, 5, 40–44. [Google Scholar] [CrossRef]
- Obrador, E.; Montoro, A. Ionizing Radiation, Antioxidant Response and Oxidative Damage: Radiomodulators. Antioxidants 2023, 12, 1219. [Google Scholar] [CrossRef]
- Jacobson, L.K.; Johnson, M.B.; Dedhia, R.D.; Niknam-Bienia, S.; Wong, A.K. Impaired wound healing after radiation therapy: A systematic review of pathogenesis and treatment. JPRAS Open 2017, 13, 92–105. [Google Scholar] [CrossRef]
- Bian, X.; Piipponen, M.; Liu, Z.; Luo, L.; Geara, J.; Chen, Y.; Sangsuwan, T.; Maselli, M.; Diaz, C.; Bain, C.A.; et al. Epigenetic memory of radiotherapy in dermal fibroblasts impairs wound repair capacity in cancer survivors. Nat. Commun. 2024, 15, 9286. [Google Scholar] [CrossRef]
- Gu, Q.; Wang, D.; Cui, C.; Gao, Y.; Xia, G.; Cui, X. Effects of radiation on wound healing. J. Environ. Pathol. Toxicol. Oncol. 1998, 17, 117–123. [Google Scholar] [PubMed]
- Ralf, U.P.; Petra, G. Management of Cutaneous Radiation Injuries: Diagnostic and Therapeutic Principles of the Cutaneous Radiation Syndrome. Mil. Med. 2002, 167, 110–112. [Google Scholar] [CrossRef]
- Hamidzadeh, K.; Christensen, S.M.; Dalby, E.; Chandrasekaran, P.; Mooser, D.M. Macrophages and the recovery from acute and chronic inflammation. Annu. Rev. Physiol. 2017, 79, 567–592. [Google Scholar] [CrossRef]
- Diaz, C.; Hayward, C.J.; Safoine, M.; Paquette, C.; Langevin, J.; Galarneau, J.; Théberge, V.; Ruel, J.; Archambault, L.; Fradette, J. Ionizing Radiation Mediates Dose-Dependent Effects Affecting the Healing Kinetics of Wounds Created on Acute and Late Irradiated Skin. Surgeries 2021, 2, 35–57. [Google Scholar] [CrossRef]
- Lierova, A.; Jelicova, M.; Nemcova, M.; Proksova, M.; Pejchal, J.; Zarybnicka, L.; Sinkorova, Z. Cytokines and radiation-induced pulmonary injuries. J. Radiat. Res. 2018, 59, 709–753. [Google Scholar] [CrossRef]
- Tapio, S.; Little, M.P.; Kaiser, J.C.; Impens, N.; Hamada, N.; Georgakilas, A.G.; Simar, D.; Salomaa, S. Ionizing radiation-induced circulatory and metabolic diseases. Environ. Int. 2021, 146, 106235. [Google Scholar] [CrossRef] [PubMed]
- Broughton, G.; Janis, J.E.; Attinger, C.E. Wound healing: An overview. Plast. Reconstr. Surg. 2006, 117 (Suppl. S7), 1e-S–32e-S. [Google Scholar] [CrossRef]
- Eming, S.A.; Martin, P.; Tomic-Canic, M. Wound repair and regeneration: Mechanisms, signaling, and translation. Sci. Transl. Med. 2014, 6, 265sr6. [Google Scholar] [CrossRef]
- Bielefeld, K.A.; Amini-Nik, S.; Alman, B.A. Cutaneous wound healing: Recruiting developmental pathways for regeneration. Cell. Mol. Life Sci. 2013, 70, 2059–2081. [Google Scholar] [CrossRef]
- Barrientos, S.; Stojadinovic, O.; Golinko, M.S.; Brem, H.; Tomic-Canic, M. Growth factors and cytokines in wound healing. Wound Repair Regen. 2008, 16, 585–601. [Google Scholar] [CrossRef]
- Brancato, S.K.; Albina, J.E. Wound macrophages as key regulators of repair: Origin, phenotype, and function. Am. J. Pathol. 2011, 178, 19–25. [Google Scholar] [CrossRef]
- Darby, I.A.; Laverdet, B.; Bonté, F.; Desmoulière, A. Fibroblasts and myofibroblasts in wound healing. Clin. Cosmet. Investig. Dermatol. 2014, 7, 301–311. [Google Scholar] [CrossRef]
- Park, J.E.; Barbul, A. Understanding the role of immune regulation in wound healing. Am. J. Surg. J.E. 2004, 187, 11S–16S. [Google Scholar] [CrossRef]
- Gurtner, G.C.; Werner, S.; Barrandon, Y.; Longaker, M.T. Wound repair and regeneration. Nature 2008, 453, 314–321. [Google Scholar] [CrossRef] [PubMed]
- Jung, K.; Covington, S.; Sen, C.K.; Januszyk, M.; Kirsner, R.S.; Gurtner, G.C.; Shah, N.H. Rapid identification of slow healing wounds. Wound Repair Regen. 2016, 24, 181–188. [Google Scholar] [CrossRef] [PubMed]
- Rodrigues, M.; Kosaric, N.; Bonham, C.A.; Gurtner, G.C. Wound Healing: A Cellular Perspective. Physiol. Rev. 2019, 99, 665–706. [Google Scholar] [CrossRef] [PubMed]
- Strong, A.L.; Neumeister, M.W.; Levi, B. Stem Cells and Tissue Engineering: Regeneration of the Skin and Its Contents. Clin. Plast. Surg. 2017, 44, 635–650. [Google Scholar] [CrossRef]
- Qin, J.; Chen, F.; Wu, P.; Sun, G. Recent Advances in Bioengineered Scaffolds for Cutaneous Wound Healing. Front. Bioeng. Biotechnol. 2022, 10, 841583. [Google Scholar] [CrossRef]
- Peña, O.A.; Martin, P. Cellular and molecular mechanisms of skin wound healing. Nat. Rev. Mol. Cell Biol. 2024, 25, 599–616. [Google Scholar] [CrossRef]
- Pakshir, P.; Hinz, B. The big five in fibrosis: Macrophages, myofibroblasts, matrix, mechanics, and miscommunication. Matrix Biol. 2018, 68–69, 81–93. [Google Scholar] [CrossRef]
- Riha, S.M.; Maarof, M.; Fauzi, M.B. Synergistic Effect of Biomaterial and Stem Cell for Skin Tissue Engineering in Cutaneous Wound Healing: A Concise Review. Polymers 2021, 13, 1546. [Google Scholar] [CrossRef]
- Cabral-Pacheco, G.A.; Garza-Veloz, I.; Castruita-De la Rosa, C.; Ramirez-Acuña, J.M.; Perez-Romero, B.A.; Guerrero-Rodriguez, J.F.; Martinez-Avila, N.; Martinez-Fierro, M.L. The Roles of Matrix Metalloproteinases and Their Inhibitors in Human Diseases. Int. J. Mol. Sci. 2020, 21, 9739. [Google Scholar] [CrossRef]
- Cialdai, F.; Risaliti, C.; Monici, M. Role of fibroblasts in wound healing and tissue remodeling on Earth and in space. Front. Bioeng. Biotechnol. 2020, 10, 958381. [Google Scholar] [CrossRef]
- Ko, U.H.; Choi, J.; Choung, J.; Moon, S.; Shin, J.H. Physicochemically Tuned Myofibroblasts for Wound Healing Strategy. Sci. Rep. 2019, 9, 16070. [Google Scholar] [CrossRef] [PubMed]
- Ter Horst, B.; Chouhan, G.; Moiemen, N.S.; Groover, L.M. Advances in keratinocyte delivery in burn wound care. Adv. Drug Deliv. Rev. 2018, 123, 18–32. [Google Scholar] [CrossRef] [PubMed]
- Simmons, J.; Gallo, R.L. The Central Roles of Keratinocytes in Coordinating Skin Immunity. J. Investig. Dermatol. 2024, 144, 2377–2398. [Google Scholar] [CrossRef] [PubMed]
- Amiri, N.; Golin, A.P.; Jalili, R.B.; Ghahary, A. Roles of cutaneous cell-cell communication in wound healing outcome: An emphasis on keratinocyte-fibroblast crosstalk. Exp. Dermatol. 2022, 31, 475–484. [Google Scholar] [CrossRef]
- Passier, R.; Mummery, C. Origin and use of embryonic and adult stem cells in differentiation and tissue repair. Cardiovasc. Res. 2023, 58, 324–335. [Google Scholar] [CrossRef]
- Ayavoo, T.; Murugesan, K.; Gnanasekaran, A. Roles and mechanisms of stem cell in wound healing. Stem Cell Investig. 2021, 8, 4. [Google Scholar] [CrossRef]
- Duscher, D.; Barrera, J.; Wong, V.W.; Maan, N.Z.; Whittam, J.A.; Januszyk, M.; Gurtner, G.C. Stem cells in wound healing: The future of regenerative medicine? A mini-review. Gerontology 2016, 62, 216–225. [Google Scholar] [CrossRef]
- Tang, X.; Wang, J.; Chen, J. Epidermal stem cells: Skin surveillance and clinical perspective. J. Transl. Med. 2024, 22, 779. [Google Scholar] [CrossRef]
- Coalson, E.; Bishop, E.; Liu, W.; Feng, Y.; Spezia, M.; Liu, B.; Shen, Y.; Wu, D.; Li, J.A.; Ye, Z.; et al. Stem cell therapy for chronic skin wounds in the era of personalized medicine: From bench to bedside. Genes Dis. 2019, 6, 342–358. [Google Scholar] [CrossRef]
- Clayton, Z.E.; Tan, R.P.; Miravet, M.M.; Lennartsson, K.; Cooke, J.P.; Bursill, C.A.; Wise, S.G.; Patel, S. Induced pluripotent stem cell-derived endothelial cells promote angiogenesis and accelerate wound closure in a murine excisional wound healing model. Biosci. Rep. 2018, 38, BSR20180563. [Google Scholar] [CrossRef]
- Raghuram, A.C.; Yu, R.P.; Lo, A.Y.; Sung, C.J.; Bircan, M.; Thompson, H.J.; Wong, A.K. Role of stem cell therapies in treating chronic wounds: A systematic review. World J. Stem Cells 2020, 12, 659–675. [Google Scholar] [CrossRef] [PubMed]
- Falanga, V.; Iwamoto, S. Biology of wound healing. Surg. Clin. North Am. 2019, 99, 1–10. [Google Scholar] [CrossRef]
- Rani Raju, N.; Silina, E.; Stupin, V.; Manturova, N.; Chidambaram, S.B.; Achar, R.R. Multifunctional and Smart Wound Dressings-A Review on Recent Research Advancements in Skin Regenerative Medicine. Pharmaceutics 2022, 14, 1574. [Google Scholar] [CrossRef] [PubMed]
- Kranke, P.; Bennett, M.; Martyn-St James, M.; Schnabel, A.; Debus, S.E. Hyperbaric oxygen therapy for chronic wounds. Cochrane Database Syst. Rev. 2015, 6, CD004123. [Google Scholar] [CrossRef]
- Goldman, R. Growth factors and chronic wound healing: Past, present, and future. Adv. Ski. Wound Care 2004, 17, 24–35. [Google Scholar] [CrossRef]
- Deptuła, M.; Zieliński, J.; Wardowska, A.; Pikula, M. Wound healing complications in oncological patients: Perspectives for cellular therapy. Postepy Dermatol. Alergol. 2019, 36, 139–146. [Google Scholar] [CrossRef]
- Guiomar, A.J.; Urbano, A.M. Polyhexanide-Releasing Membranes for Antimicrobial Wound Dressings: A Critical Review. Membranes 2022, 12, 1281. [Google Scholar] [CrossRef]
- Piaggesi, A.; Lauchli, S.; Bassetto, F.; Biedermann, T.; Marques, A.; Najafi, B.; Palla, I.; Scarpa, C.; Seimetz, D.; Triulzi, I.; et al. Advanced therapies in wound management: Cell and tissue-based therapies, physical and bio-physical therapies, smart and IT-based technologies. J. Wound Care 2018, 27 (Suppl. S6a), S1–S137. [Google Scholar] [CrossRef]
- Tottoli, E.M.; Dorati, R.; Genta, I.; Cheisa, E.; Pisani, S.; Conti, B. Skin wound healing process and new emerging technologies for skin wound care and regeneration. Pharmaceutics 2020, 12, 735. [Google Scholar] [CrossRef]
- Las Heras, K.; Igartua, M.; Santos-Vizcaino, E.; Hernandez, R.M. Chronic wounds: Current status, available strategies, and emerging therapeutic solutions. J. Control Release 2020, 328, 532–550. [Google Scholar] [CrossRef]
- Kim, H.S.; Sun, X.; Lee, J.-H.; Kim, H.-W.; Fu, X.; Leong, K.W. Advanced drug delivery systems and artificial skin grafts for skin wound healing. Adv. Drug Deliv. Rev. 2019, 146, 209–239. [Google Scholar] [CrossRef] [PubMed]
- Shores, J.T.; Gabriel, A. Skin substitutes and alternatives: A review. Adv. Ski. Wound Care 2018, 31, 492–498. [Google Scholar] [CrossRef]
- Langer, R. Chemical and biological approaches to regenerative medicine and tissue engineering. Mol. Front. J. 2019, 3, 122–128. [Google Scholar] [CrossRef]
- Sousa, A.C.; Alvites, R.; Lopes, B.; Sousa, P.; Moreira, A.; Coelho, A.; Santos, J.D.; Atayde, L.; Alves, N.; Mauricio, A.C. Three-Dimensional Printing/Bioprinting and Cellular Therapies for Regenerative Medicine: Current Advances. J. Funct. Biomater. 2025, 16, 28. [Google Scholar] [CrossRef]
- Díaz, G.Y.; da Silva, V.A.; Kalantarnia, F.; Scheck, K.; Tschofen, A.; Tuffs, S.W.; Willerth, S.M. Using Three-Dimensional Bioprinting to Generate Realistic Models of Wound Healing. Adv. Wound Care 2025, 5, 138. [Google Scholar] [CrossRef]
- Zakrzewski, W.; Dobrzyński, M.; Szymonowicz, M.; Rybak, Z. Stem cells: Past, present, and future. Stem Cell Res. Ther. 2019, 10, 68. [Google Scholar] [CrossRef]
- Zhang, N.; Kohn, D.H. Using polymeric materials to control stem cell behavior for tissue regeneration. Birth Defects Res. Part C 2012, 96, 63–81. [Google Scholar] [CrossRef]
- Prete, S.; Dattilo, M.; Patitucci, F.; Pezzi, G.; Parisi, I.O.; Puoci, F. Natural and Synthetic Polymeric Biomaterials for Application in Wound Management. J. Funct. Biomat. 2023, 14, 455. [Google Scholar] [CrossRef]
- Pisani, S.; Mauri, V.; Negrello, E.; Mauramati, S.; Alaimo, G.; Auricchio, F.; Benazzo, M.; Dorati, R.; Genta, I.; Conti, B.; et al. Assessment of different manufacturing techniques for the production of bioartificial scaffolds as soft organ transplant substitutes. Front. Bioeng. Biotechnol. 2023, 11, 1186351. [Google Scholar] [CrossRef]
- Asadpour, S.; Kargozar, S.; Moradi, L.; Ai, A.; Nosrati, H.; Ai, J. Natural biomacromolecule based composite scaffolds from silk fibroin, gelatin and chitosan toward tissue engineering applications. Int. J. Biol. Macromol. 2020, 154, 1285–1294. [Google Scholar] [CrossRef]
- Sandoval, C.; Ríos, G.; Sepúlveda, N.; Salvo, J.; Souza-Mello, V.; Farias, J. Effectiveness of Copper Nanoparticles in Wound Healing Process Using In Vivo and In Vitro Studies: A Systematic Review. Pharmaceutics 2022, 14, 1838. [Google Scholar] [CrossRef] [PubMed]
- Kemin, L.; Rutie, Y. A critical review of the progress in prevention and treatment of radiation-induced skin damage. Front. Oncol. 2024, 14, 1395778. [Google Scholar] [CrossRef] [PubMed]
- Wasiak, J.; Cleland, H.; Campbell, F.; Spinks, A. Dressings for superficial and partial thickness burns. Cochrane Database Syst. Rev. 2013, 2013, CD002106. [Google Scholar] [CrossRef]
- Wang, K.; Meng, X.; Guo, Z. Elastin Structure, Synthesis, Regulatory Mechanism, and Relationship with Cardiovascular Diseases. Front. Cell Dev. Biol. 2021, 9, 596702. [Google Scholar] [CrossRef]
- Sultana, N. Mechanical and Biological Properties of Scaffold Materials. In Functional 3D Tissue Engineering Scaffolds; Deng, Y., Kuiper, J., Eds.; Woodhead Publishing: Kidlington, UK, 2018; pp. 1–21. [Google Scholar] [CrossRef]
- Olson, J.L.; Atala, A.; Yoo, J.J. Tissue engineering: Current strategies and future directions. Chonnam Med. J. 2011, 47, 1–13. [Google Scholar] [CrossRef]
- Sindhi, K.; Pingili, R.B.; Beldar, V.; Bhattacharya, S.; Rahaman, J.; Mukherjee, D. The role of biomaterials-based scaffolds in advancing skin tissue construct. J. Tissue Viability 2025, 34, 100858. [Google Scholar] [CrossRef]
- Chouhan, D.; Dey, N.; Bhardwaj, N.; Mandal, B.B. Emerging and innovative approaches for wound healing and skin regeneration: Current status and advances. Biomaterials 2019, 216, 119267. [Google Scholar] [CrossRef]
- Zhu, Y.; Guo, S.; Ravichandran, D.; Ramanathan, A.; Sobczak, M.T.; Sacco, A.F.; Patil, D.; Thummalapalii, S.V.; Pulido, T.V.; Lancaster, J.N.; et al. 3D-Printed Polymeric Biomaterials for Health Applications. Adv. Heal. Mater. 2025, 14, e2402571. [Google Scholar] [CrossRef]
- Negut, I.; Dorcioman, G.; Grumezescu, V. Scaffolds for Wound Healing Applications. Polymers 2020, 12, 2010. [Google Scholar] [CrossRef]
- Sun, G.; Puertas, X.; Shen, Y.I.; Sebastian, R.; Dickinson, L.E.; Fox-Talbot, K.; Reinblatt, M.; Steenbergen, C.; Harmon, J.W.; Gerecht, S. Dextran hydrogel scaffolds enhance angiogenic responses and promote complete skin regeneration during burn wound healing. Proc. Natl. Acad. Sci. USA 2011, 108, 20976–20981. [Google Scholar] [CrossRef]
- Ahmed, S.; Ikram, S. Chitosan-Based Scaffolds and Their Applications in Wound Healing. Achiev. Life Sci. 2016, 10, 27–37. [Google Scholar] [CrossRef]
- Graça, M.F.P.; Miguel, S.P.; Cabral, C.S.D.; Correia, I.J. Hyaluronic acid-based wound dressings: A review. Carbohydr. Polym. 2020, 241, 116364. [Google Scholar] [CrossRef] [PubMed]
- Li, Y.; Xu, T.; Tu, Z.; Dai, W.; Xue, Y.; Tang, C.; Gao, W.; Mao, C.; Lei, B.; Lin, C. Bioactive Antibacterial Silica-Based Nanocomposites Hydrogel Scaffolds with High Angiogenesis for Promoting Diabetic Wound Healing and Skin Repair. Theranostics 2020, 10, 4929–4943. [Google Scholar] [CrossRef]
- Saxena, V.; Pandey, L.M. Design and Characterization of Biphasic Ferric Hydroxyapatite-Zincite Nanoassembly for Bone Tissue Engineering. Ceram. Int. 2021, 47, 28274–28287. [Google Scholar] [CrossRef]
- Sheikholeslam, M.; Wright, M.E.E.; Jeschke, M.G.; Amini-Nik, S. Biomaterials for Skin Substitutes. Adv. Healthc. Mater. 2018, 7, 1700897. [Google Scholar] [CrossRef]
- Li, R.; Liu, K.; Huang, X.; Li, D.; Ding, J.; Liu, B.; Chen, X. Bioactive Materials Promote Wound Healing through Modulation of Cell Behaviors. Adv. Sci. 2022, 9, 2105152. [Google Scholar] [CrossRef]
- De Pieri, A.; Rochev, Y.; Zeugolis, D.I. Scaffold-free cell-based tissue engineering therapies: Advances, shortfalls and forecast. Npj Regen. Med. 2021, 6, 18. [Google Scholar] [CrossRef]
- Echeverria Molina, M.I.; Malollari, K.G.; Komvopoulos, K. Design Challenges in Polymeric Scaffolds for Tissue Engineering. Front. Bioeng. Biotechnol. 2021, 9, 617141. [Google Scholar] [CrossRef]
- Mathur, V.; Agarwal, P.; Kasturi, M.; Srinivasan, V.; Seetharam, R.N.; Vasanthan, K.S. Innovative bioinks for 3D bioprinting: Exploring technological potential and regulatory challenges. J. Tissue Eng. 2025, 16, 20417314241308022. [Google Scholar] [CrossRef]
- Loh, Q.L.; Choong, C. Three-Dimensional Scaffolds for Tissue Engineering Applications: Role of Porosity and Pore Size. Tissue Eng. Part B Rev. 2013, 19, 485–502. [Google Scholar] [CrossRef]
- Reddy, M.S.B.; Ponnamma, D.; Choudhary, R.; Sadasivuni, K.K. A Comparative Review of Natural and Synthetic Biopolymer Composite Scaffolds. Polymers 2021, 13, 1105. [Google Scholar] [CrossRef] [PubMed]
- Zhang, H.; Lin, X.; Cao, X.; Wang, Y.; Wang, J.; Zhao, Y. Developing natural polymers for skin wound healing. Bioact. Mater. 2023, 33, 355–376. [Google Scholar] [CrossRef] [PubMed]
- Karoyo, A.H.; Wilson, L.D. A Review on the Design and Hydration Properties of Natural Polymer-Based Hydrogels. Materials 2021, 14, 1095. [Google Scholar] [CrossRef] [PubMed]
- Satchanska, G.; Davidova, S.; Petrov, P.D. Natural and Synthetic Polymers for Biomedical and Environmental Applications. Polymers 2024, 16, 1159. [Google Scholar] [CrossRef]
- Liu, Z.; Ma, X.; Liu, J.; Zhang, H.; Fu, D. Advances in the application of natural/synthetic hybrid hydrogels in tissue engineering and delivery systems: A comprehensive review. Int. J. Pharm. 2025, 672, 125323. [Google Scholar] [CrossRef]
- Puertas-Bartolomé, M.; Mora-Boza, A.; García-Fernández, L. Emerging Biofabrication Techniques: A Review on Natural Polymers for Biomedical Applications. Polymers 2021, 13, 1209. [Google Scholar] [CrossRef]
- Suamte, L.; Tirkey, A.; Babu, P.J. Design of 3D smart scaffolds using natural, synthetic and hybrid derived polymers for skin regenerative applications. Smart Mater. Med. 2023, 4, 243–256. [Google Scholar] [CrossRef]
- Nagaraj, A.; Etxeberria, A.E.; Naffa, R.; Zidan, G.; Seyfoddin, A. 3D-Printed Hybrid Collagen/GelMA Hydrogels for Tissue Engineering Applications. Biology 2022, 11, 1561. [Google Scholar] [CrossRef]
- Shoulders, M.D.; Raines, R.T. Collagen Structure and Stability. Annu. Rev. Biochem. 2009, 78, 929–958. [Google Scholar] [CrossRef]
- Dias, J.R.; Baptista-Silva, S.; Oliveira, C.M.T.D.; Sousa, A.; Oliveira, A.L.; Bártolo, P.J.; Granja, P.L. In situ crosslinked electrospun gelatin nanofibers for skin regeneration. Eur. Polym. J. 2017, 95, 161–173. [Google Scholar] [CrossRef]
- Ndlovu, S.P.; Ngece, K.; Alven, S.; Aderibigbe, B.A. Gelatin-Based Hybrid Scaffolds: Promising Wound Dressings. Polymers 2021, 13, 2959. [Google Scholar] [CrossRef] [PubMed]
- Hazrati, R.; Davaran, S.; Omidi, Y. Bioactive functional scaffolds for stem cells delivery in wound healing and skin regeneration. React. Funct. Polym. 2022, 174, 105233. [Google Scholar] [CrossRef]
- Xu, J.; Li, Y.; Chen, Y.; Wang, L.; Liao, M. Preparation and characterization of a novel polysialic acid/gelatin composite hydrogels cross-linked by tannic acid to improve wound healing after cesarean section dressing. J.Biomat. Sci. Polym. Ed. 2021, 32, 1927–1943. [Google Scholar] [CrossRef]
- Dadras Chomachayi, M.; Jalali-arani, A.; Martínez Urreaga, J. A Comparison of the Effect of Silk Fibroin Nanoparticles and Microfibers on the Reprocessing and Biodegradability of PLA/PCL Blends. J. Polym. Environ. J. 2021, 29, 2585–2597. [Google Scholar] [CrossRef]
- Koh, L.-D.; Cheng, Y.; Teng, C.-P.; Khin, Y.-W.; Loh, X.-J.; Tee, S.-Y.; Low, M.; Ye, E.; Yu, H.-D.; Zhang, Y.-W.; et al. Structures, mechanical properties and applications of silk fibroin materials. Prog. Polym. Sci. 2015, 46, 86–110. [Google Scholar] [CrossRef]
- Reizabal, A.; Costa, C.M.; Pérez-Álvarez, L.; Vilas-Vilela, J.L.; Lanceros-Méndez, S. Silk Fibroin as Sustainable Advanced Material: Material Properties and Characteristics, Processing, and Applications. Adv. Funct. Mater. 2023, 33, 2210764. [Google Scholar] [CrossRef]
- Nguyen, T.P.; Nguyen, Q.V.; Nguyen, V.-H.; Le, T.-H.; Huynh, V.Q.N.; Vo, D.-V.N.; Trinh, Q.T.; Kim, S.Y.; Le, Q.V. Silk Fibroin-Based Biomaterials for Biomedical Applications: A Review. Polymers 2019, 11, 1933. [Google Scholar] [CrossRef]
- Trębacz, H.; Barzycka, A. Mechanical Properties and Functions of Elastin: An Overview. Biomolecules 2023, 13, 574. [Google Scholar] [CrossRef]
- Lee, H.R.; Lee, H.-Y.; Heo, J.; Jang, J.Y.; Kim, C.-H. Liquid-type nonthermal atmospheric plasma enhanced regenerative potential of silk–fibrin composite gel in radiation-induced wound failure. Mater. Sci. Eng. C 2021, 128, 112304. [Google Scholar] [CrossRef]
- Lu, T.Y.; Huang, W.-C.; Chen, Y.; Baskaran, N.; Yu, J.; Wei, Y. Effect of varied hair protein fractions on the gel properties of keratin/chitosan hydrogels for the use in tissue engineering. Coll.Surf. B Biointerfaces 2020, 195, 111258. [Google Scholar] [CrossRef]
- Chaabane, L.; Tei, L.; Miragoli, L.; Lattuada, L.; Von Wronski, M.; Uggeri, F.; Lorusso, V.; Aime, S. In Vivo MR Imaging of Fibrin in a Neuroblastoma Tumor Model by Means of a Targeting Gd-Containing Peptide. Mol. Imaging Biol. 2015, 17, 819–828. [Google Scholar] [CrossRef] [PubMed]
- Ding, Y.-W.; Zhang, X.-W.; Mi, C.-H.; Qi, X.-Y.; Zhou, J.; Wei, D.-X. Recent advances in hyaluronic acid-based hydrogels for 3D bioprinting in tissue engineering applications. Smart Mater. Med. 2023, 4, 59–68. [Google Scholar] [CrossRef]
- Liang, M.; Dong, L.; Guo, Z.; Liu, L.; Fan, Z.; Wei, C.; Mi, S.; Sun, W. Collagen–Hyaluronic Acid Composite Hydrogels with Applications for Chronic Diabetic Wound Repair. ACS Biomater. Sci. Eng. 2023, 9, 5376–5388. [Google Scholar] [CrossRef] [PubMed]
- Hu, J.; Tao, M.; Sun, F.; Chen, C.; Chen, G.; Wang, G. Multifunctional hydrogel based on dopamine-modified hyaluronic acid, gelatin and silver nanoparticles for promoting abdominal wall defect repair. Int. J. Biol. Macromol. 2022, 222, 55–64. [Google Scholar] [CrossRef]
- Gupta, R.C.; Lall, R.; Srivastava, A.; Sinha, A. Hyaluronic Acid: Molecular Mechanisms and Therapeutic Trajectory. Front. Vet. Sci. 2019, 6, 192. [Google Scholar] [CrossRef]
- Chircov, C.; Grumezescu, A.M.; Bejenaru, L.E. Hyaluronic acid-based scaffolds for tissue engineering. Rom. J. Morphol. Embryol. 2018, 59, 71–76. [Google Scholar] [PubMed]
- Shang, Q.; Shi, J.; Song, G.; Zhang, M.; Cai, C.; Hao, J.; Li, G.; Yu, G. Structural modulation of gut microbiota by chondroitin sulfate and its oligosaccharide. Int. J. Biol. Macromol. 2016, 89, 489–498. [Google Scholar] [CrossRef]
- Mou, J.; Li, Q.; Qi, X.; Yang, J. Structural comparison, antioxidant and anti-inflammatory properties of fucosylated chondroitin sulfate of three edible sea cucumbers. Carbohydr. Polym. 2018, 185, 41–47. [Google Scholar] [CrossRef]
- Yang, J.; Shen, M.; Wen, H.; Luo, Y.; Huang, R.; Rong, L.; Xie, J. Recent advance in delivery system and tissue engineering applications of chondroitin sulfate. Carbohydr. Polym. 2020, 230, 115650. [Google Scholar] [CrossRef]
- Aranaz, I.; Alcántara, A.R.; Civera, M.C.; Arias, C.; Elorza, B.; Caballero, A.H.; Acosta, N. Chitosan: An Overview of Its Properties and Applications. Polymers 2021, 13, 3256. [Google Scholar] [CrossRef]
- Muxika, A.; Etxabide, A.; Uranga, J.; Guerrero, P.; De la Caba, K. Chitosan as a bioactive polymer: Processing, properties and applications. Int. J. Biol. Macromol. 2017, 105, 1358–1368. [Google Scholar] [CrossRef] [PubMed]
- Sultana, T.; Hossain, M.; Rahaman, S.; Kim, Y.S.; Gwon, J.-G.; Lee, B.-T. Multi-functional nanocellulose-chitosan dressing loaded with antibacterial lawsone for rapid hemostasis and cutaneous wound healing. Carbohydr. Polym. 2021, 272, 118482. [Google Scholar] [CrossRef] [PubMed]
- Sajjad, W.; Khan, T.; Ul-Islam, M.; Khan, R.; Hussain, Z.; Khalid, A.; Wahid, F. Development of modified montmorillonite-bacterial cellulose nanocomposites as a novel substitute for burn skin and tissue regeneration. Carbohydr. Polym. 2019, 206, 548–556. [Google Scholar] [CrossRef] [PubMed]
- Swingler, S.; Gupta, A.; Gibson, H.; Kowalczuk, M.; Heaselgrave, W.; Radecka, I. Recent Advances and Applications of Bacterial Cellulose in Biomedicine. Polymers 2021, 13, 412. [Google Scholar] [CrossRef]
- Samrot, A.V.; Sathiyasree, M.; Rahim, S.B.A.; Renitta, R.E.; Kasipandian, K.; Shree, S.K.; Rajalakshmi, D.; Shobana, N.; Dhiva, S.; Abirami, S.; et al. Scaffold Using Chitosan, Agarose, Cellulose, Dextran and Protein for Tissue Engineering—A Review. Polymers 2023, 15, 1525. [Google Scholar] [CrossRef]
- Zhang, X.; Wang, X.; Fan, W.; Liu, Y.; Wang, Q.; Weng, L. Fabrication, Property and Application of Calcium Alginate Fiber: A Review. Polymers 2022, 14, 3227. [Google Scholar] [CrossRef]
- Abka-khajouei, R.; Tounsi, L.; Shahabi, N.; Patel, A.K.; Abdelkafi, S.; Michaud, P. Structures, Properties and Applications of Alginates. Mar. Drugs 2022, 20, 364. [Google Scholar] [CrossRef]
- Abasalizadeh, F.; Moghaddam, S.V.; Alizadeh, E.; Akbari, E.; Kashani, E.; Fazjou, S.M.B.; Torbati, M.; Akbarzadeh, A. Alginate-based hydrogels as drug delivery vehicles in cancer treatment and their applications in wound dressing and 3D bioprinting. J. Biol. Eng. 2020, 14, 8. [Google Scholar] [CrossRef]
- Zahid, M.; Lodhi, M.; Afzal, A.; Rehan, Z.A.; Mehmood, M.; Javed, T.; Shabbir, R.; Siuta, D.; Althobaiti, F.; Dessok, E.S. Development of Hydrogels with the Incorporation of Raphanus sativus L. Seed Extract in Sodium Alginate for Wound-Healing Application. Gels 2021, 7, 107. [Google Scholar] [CrossRef]
- Kumar, A.; Rao, K.M.; Han, S.S. Application of xanthan gum as polysaccharide in tissue engineering: A review. Carbohydr. Polym. 2018, 180, 128–144. [Google Scholar] [CrossRef]
- Patel, J.; Maji, B.; Moorthy, N.S.H.N.; Maiti, S. Xanthan gum derivatives: Review of synthesis, properties and diverse applications. RSC Adv. 2020, 10, 27103–27136. [Google Scholar] [CrossRef] [PubMed]
- Bhat, I.M.; Wani, S.M.; Mir, S.A.; Masoodi, F.A. Advances in xanthan gum production, modifications and its applications. Biocatal. Agric. Biotechnol. 2022, 42, 102328. [Google Scholar] [CrossRef]
- Kohajdová, Z.; Karovičová, J. Application of hydrocolloids as baking improvers. Chem. Pap. 2009, 63, 26–38. [Google Scholar] [CrossRef]
- Alven, S.; Nqoro, X.; Aderibigbe, B.A. Polymer-Based Materials Loaded with Curcumin for Wound Healing Applications. Polymers 2020, 12, 2286. [Google Scholar] [CrossRef]
- Feketshane, Z.; Alven, S.; Aderibigbe, B.A. Gellan Gum in Wound Dressing Scaffolds. Polymers 2022, 14, 4098. [Google Scholar] [CrossRef]
- Özkahraman, B.; Özbaş, Z.; Bayrak, G.; Tamahkar, E.; Perçin, I.; Süloğlu, A.K.; Boran, F. Characterization and antibacterial activity of gelatin–gellan gum bilayer wound dressing. Int. J. Polym. Mater. Polym. Biomat. 2022, 71, 1240–1251. [Google Scholar] [CrossRef]
- Liu, Y.; Chan-Park, M.B. Hydrogel based on interpenetrating polymer networks of dextran and gelatin for vascular tissue engineering. Biomaterials 2009, 30, 196–207. [Google Scholar] [CrossRef]
- Díaz-Montes, E. Dextran: Sources, Structures, and Properties. Polysaccharides 2021, 2, 554–565. [Google Scholar] [CrossRef]
- Varshosaz, J. Dextran conjugates in drug delivery. Expert Opin. Drug Deliv. 2012, 9, 509–523. [Google Scholar] [CrossRef]
- Mathew-Steiner, S.S.; Roy, S.; Sen, C.K. Collagen in Wound Healing. Bioengineering 2021, 8, 63. [Google Scholar] [CrossRef]
- Zhang, X.; Yin, M.; Zhang, L.J. Keratin 6, 16, and 17—Critical Barrier Alarmin Molecules in Skin Wounds and Psoriasis. Cells 2019, 8, 807. [Google Scholar] [CrossRef] [PubMed]
- Yang, L.; Jin, L.; Ke, Y.; Fan, X.; Zhang, T.; Zhang, C.; Bian, H.; Wang, G. E3 ligase Trim21 ubiquitylates and stabilizes Keratin 17 to induce STAT3 nuclear transport in psoriasis. J. Investig. Dermatol. 2018, 138, 2568–2577. [Google Scholar] [CrossRef] [PubMed]
- Krzyszczyk, P.; Schloss, R.; Palmer, A.; Berthiaume, F. The role of macrophages in acute and chronic wound healing and interventions to promote pro-wound healing phenotypes. Front. Physiol. 2018, 9, 419. [Google Scholar] [CrossRef]
- Della Sala, F.; Longobardo, G.; Fabozzi, A.; Di Gennaro, M.; Borzacchiello, A. Hyaluronic Acid-Based Wound Dressing with Antimicrobial Properties for Wound Healing Application. Appl. Sci. 2022, 12, 3091. [Google Scholar] [CrossRef]
- Chhillar, A.; Jaiswal, A. Hyaluronic Acid-Based Self-Healing Hydrogels for Diabetic Wound Healing. Adv. Healthc. Mater. 2025, 14, e2404255. [Google Scholar] [CrossRef]
- Loo, H.L.; Goh, B.H.; Lee, L.H.; Chuah, L.H. Application of chitosan-based nanoparticles in skin wound healing. Asian J. Pharm. Sci. 2022, 17, 299–332. [Google Scholar] [CrossRef]
- Wang, X.; Song, R.; Johnson, M.; Sigen, A.; Shen, P.; Zhang, N.; Lara-Sáez, I.; Xu, Q.; Wang, W. Chitosan-Based Hydrogels for Infected Wound Treatment. Macromol. Biosci. 2023, 23, e2300094. [Google Scholar] [CrossRef]
- Jing, W.; Hussain, S.A.; Gangireddygari, V.S.R.; Chen, J.; Muhamad A’srai, A.I.; Razali, M.H. Biocompatibility and antibacterial activity studies of gellan gum and alginate thin film encapsulating curcumin as a wound skin care dressing. Mater. Technol. 2023, 38, 2282321. [Google Scholar] [CrossRef]
- Oliveira, C.; Sousa, D.; Teixeira, J.A.; Ferreira-Santos, P.; Botelho, C.M. Polymeric biomaterials for wound healing. Front. Bioeng. Biotechnol. 2023, 11, 1136077. [Google Scholar] [CrossRef]
- Yuan, N.; Shao, K.; Huang, S.; Chen, C. Chitosan, alginate, hyaluronic acid and other novel multifunctional hydrogel dressings for wound healing: A review. Int. J. Biol. Macromol. 2023, 240, 124321. [Google Scholar] [CrossRef]
- Tang, S.; Gong, Z.J.; Wang, Z.F.; Gao, X.; Zhang, X.N. Multifunctional hydrogels for wound dressings using xanthan gum and polyacrylamide. Int. J. Biol. Macromol. 2022, 217, 944–955. [Google Scholar] [CrossRef] [PubMed]
- Xu, R.; Fang, Y.; Zhang, Z.; Cao, Y.; Yan, Y.; Gan, L.; Xu, J.; Zhou, G. Recent Advances in Biodegradable and Biocompatible Synthetic Polymers Used in Skin Wound Healing. Materials 2023, 16, 5459. [Google Scholar] [CrossRef]
- Ahmed, E.M. Hydrogel: Preparation, characterization, and applications: A review. J. Adv. Res. 2015, 6, 105–121. [Google Scholar] [CrossRef] [PubMed]
- Terzopoulou, Z.; Zamboulis, A.; Koumentakou, I.; Michailidou, G.; Noordam, M.J.; Bikiaris, D.N. Biocompatible Synthetic Polymers for Tissue Engineering Purposes. Biomacromolecules 2022, 23, 1841–1863. [Google Scholar] [CrossRef]
- Madduma-Bandarage, S.K.U.; Madihally, S.V. Synthetic hydrogels: Synthesis, novel trends, and applications. J. Appl. Polym. Sci. 2021, 138, 50376. [Google Scholar] [CrossRef]
- Borbolla-Jiménez, F.V.; Peña-Corona, S.I.; Farah, S.J.; Jiménez-Valdés, M.T.; Pineda-Pérez, E.; Romero-Montero, A.; Del Prada-Audelo, M.L.; Bernal-Chávez, S.A.; Magaña, J.J.; Leyva-Gómez, G. Films for Wound Healing Fabricated Using a Solvent Casting Technique. Pharmaceutics 2023, 15, 1914. [Google Scholar] [CrossRef]
- Chen, S.; Liu, B.; Carlson, M.A.; Gombart, A.F.; Reilly, D.A.; Xie, J. Recent advances in electrospun nanofibers for wound healing. Nanomedicine 2017, 12, 1335–1352. [Google Scholar] [CrossRef]
- Liu, X.; Xu, H.; Zhang, M.; Yu, D.-G. Electrospun Medicated Nanofibers for Wound Healing: Review. Membranes 2021, 11, 770. [Google Scholar] [CrossRef]
- Liu, Y.; Niu, H.; Wang, C.; Yang, X.; Li, W.; Zhang, Y.; Ma, X.; Xu, Y.; Zheng, P.; Wang, J.; et al. Bio-inspired, bio-degradable adenosine 5′-diphosphate-modified hyaluronic acid coordinated hydrophobic undecanal-modified chitosan for hemostasis and wound healing. Bioact. Mater. 2022, 17, 162–177. [Google Scholar] [CrossRef]
- Song, R.; Murphy, M.; Li, C.; Ting, K.; Soo, C.; Zheng, Z. Current Development of Biodegradable Polymeric Materials for Biomedical Applications. Drug Des. Devel. Ther. 2018, 12, 3117–3145. [Google Scholar] [CrossRef]
- Raina, N.; Pahwa, R.; Khosla, J.K.; Gupta, P.N.; Gupta, M. Polycaprolactone-based Materials in Wound Healing Applications. Polym. Bull. 2022, 79, 7041–7063. [Google Scholar] [CrossRef]
- Pearce, A.K.; O’Reilly, R.K. Polymers for Biomedical Applications: The Importance of Hydrophobicity in Directing Biological Interactions and Application Efficacy. Biomacromolecules 2021, 22, 4459–4469. [Google Scholar] [CrossRef] [PubMed]
- Fukushima, K.; Abbate, C.; Tabuani, D.; Gennari, M.; Rizzarelli, P.; Camino, G. Biodegradation trend of poly(ε-caprolactone) and nanocomposites. Mater. Sci. Eng. C. 2010, 30, 566–574. [Google Scholar] [CrossRef]
- Ashraf, S.; Ahmed, M.K.; Ibrahium, H.A.; Awwad, N.S.; Fattah-Abdel, E.; Ghoniem, M.G. Nanofibers of polycaprolactone containing hydroxyapatite doped with aluminum/vanadate ions for wound healing applications. New J. Chem. 2021, 45, 22610–22620. [Google Scholar] [CrossRef]
- Casalini, T.; Rossi, F.; Castrovinci, A.; Perale, G. A Perspective on Polylactic Acid-Based Polymers Use for Nanoparticles Synthesis and Applications. Front. Bioeng. Biotechnol. 2019, 7, 259. [Google Scholar] [CrossRef]
- Lizarazo-Fonseca, L.; Correa-Araujo, L.; Prieto-Abello, L.; Camacho-Rodríguez, B.; Silva-Cote, I. In vitro and in vivo evaluation of electrospun poly (ε-caprolactone)/collagen scaffolds and Wharton’s jelly mesenchymal stromal cells (hWJ-MSCs) constructs as potential alternative for skin tissue engineering. Regen. Ther. 2023, 24, 11–24. [Google Scholar] [CrossRef]
- Lima, T.d.P.d.L.; Canelas, C.A.d.A.; Dutra, J.d.C.F.; Rodrigues, A.P.D.; Brígida, R.T.S.S.; Concha, V.O.C.; Miranda da Costa, F.A.; Passos, M.F. Poly (ε-caprolactone)-Based Scaffolds with Multizonal Architecture: Synthesis, Characterization, and In Vitro Tests. Polymers 2023, 15, 4403. [Google Scholar] [CrossRef]
- Homaeigohar, S.; Boccaccini, A.R. Nature-derived and synthetic additives to poly(ε-caprolactone) nanofibrous systems for biomedicine; an updated overview. Front. Chem. 2022, 9, 809676. [Google Scholar] [CrossRef]
- Lopresti, F.; Carfì Pavia, F.; Vitrano, I.; Kersaudy-Kerhoas, M.; Brucato, V.; La Carrubba, V. Effect of hydroxyapatite concentration and size on morpho-mechanical properties of PLA-based randomly oriented and aligned electrospun nanofibrous mats. J. Mech. Behav. Biomed. Mater. 2020, 101, 103449. [Google Scholar] [CrossRef]
- Milanesi, G.; Vigani, B.; Rossi, S.; Sandri, G.; Mele, E. Chitosan-coated poly(lactic acid) nanofibres loaded with essential oils for wound healing. Polymers 2021, 13, 2582. [Google Scholar] [CrossRef]
- Taib, N.-A.A.B.; Rahman, M.R.; Huda, D.; Kuok, K.K.; Hamdan, S.; Bakri, M.K.B.; Julaihi, M.R.M.B.; Khan, A. A review on poly lactic acid (PLA) as a biodegradable polymer. Polym. Bull. 2023, 80, 1179–1213. [Google Scholar] [CrossRef]
- Huang, X.; Zheng, Y.; Ming, J.; Geng, A.; Liu, L.; Zheng, J.; Yan, X.; Bai, S. Bioinspired poly(lactic acid)/silk fibroin-based dressings with wireless electrical stimulation and instant self-adhesion for promoting wound healing. Ind. Crops Prod. 2025, 223, 120179. [Google Scholar] [CrossRef]
- Ilomuanya, M.O.; Okafor, P.S.; Amajuoyi, J.N. Polylactic acid-based electrospun fiber and hyaluronic acid-valsartan hydrogel scaffold for chronic wound healing. Appl. Sci. 2020, 9, 31. [Google Scholar] [CrossRef]
- Asadzadeh, F.; Ghorbanzadeh, S.; Poursattar Marjani, A. Assessing polylactic acid nanofibers with cellulose and chitosan nanocapsules loaded with chamomile extract for treating gram-negative infections. Sci. Rep. 2024, 14, 22336. [Google Scholar] [CrossRef]
- Lu, Y.; Cheng, D.; Niu, B.; Wang, X.; Wu, X.; Wang, A. Properties of poly (lactic-co-glycolic acid) and progress of poly (lactic-co-glycolic acid)-based biodegradable materials in biomedical research. Pharmaceuticals 2023, 16, 454. [Google Scholar] [CrossRef]
- Gao, X.; Cao, Y.; Song, X.; Zhang, Z.; Zhuang, X.; He, C.; Chen, X. Biodegradable, pH-responsive carboxymethyl cellulose/poly(acrylic acid) hydrogels for oral insulin delivery. Macromol. Biosci. 2014, 14, 565–575. [Google Scholar] [CrossRef]
- Labruère, R.; Sona, A.J.; Turos, E. Anti–Methicillin-resistant Staphylococcus aureus nanoantibiotics. Front. Pharmacol. 2019, 10, 1121. [Google Scholar] [CrossRef]
- Liao, H.T.; Lai, Y.-T.; Kuo, C.-Y.; Chen, J.-P. A bioactive multi-functional heparin-grafted aligned poly(lactide-co-glycolide)/curcumin nanofiber membrane to accelerate diabetic wound healing. Mater. Sci. Eng. C 2021, 120, 111689. [Google Scholar] [CrossRef]
- Monavari, M.; Sohrabi, R.; Motasadizadeh, H.; Monavari, M.; Fatahi, Y.; Ejarestaghi, N.M.; Fuentes-Chandia, M.; Leal-Egaña, A.; Akrami, M.; Homaeigohar, S. Levofloxacin loaded poly (ethylene oxide)-chitosan/quercetin loaded poly (D,L-lactide-co-glycolide) core-shell electrospun nanofibers for burn wound healing. Front. Bioeng. Biotechnol. 2024, 12, 1352717. [Google Scholar] [CrossRef]
- Domingues, J.A.; Cherutti, G.; Motta, A.C.; Hausen, M.A.; Oliveira, R.T.D.; Silva-Zacarin, E.C.M.; Barbo, M.L.P.; Duek, E.A.R. Bilaminar Device of Poly(lactic-co-glycolic acid)/collagen cultured with adipose-derived stem cells for dermal regeneration. Artif. Organs 2016, 40, 938–949. [Google Scholar] [CrossRef]
- La, W.G.; Yang, H.S. Heparin-conjugated poly(lactic-co-glycolic acid) nanospheres enhance large-wound healing by delivering growth factors in platelet-rich plasma. Artif. Organs 2015, 39, 388–394. [Google Scholar] [CrossRef] [PubMed]
- Qian, Q.; Zhu, L.; Zhu, X.; Sun, M.; Yan, D. Drug-Polymer Hybrid Macromolecular Engineering: Degradable PEG Integrated by Platinum(IV) for Cancer Therapy. Matter 2019, 1, 1618–1630. [Google Scholar] [CrossRef]
- Xu, W.-K.; Tang, J.-Y.; Yuan, Z.; Cai, C.-Y.; Chen, X.-B.; Cui, S.-Q.; Liu, P.; Yu, L.; Cai, K.-Y.; Ding, J.-D. Accelerated cutaneous wound healing using an injectable Teicoplanin-loaded PLGA-PEG-PLGA thermogel dressing. Chin. J. Polym. Sci. 2019, 37, 548–559. [Google Scholar] [CrossRef]
- Helsinta, N.; Halim, A.; Octavia, M.D.; Rivai, H. Review: Solid dispersion of Fenofibrate using Poly Ethylene Glycol 6000. IJPSM 2021, 6, 42–51. [Google Scholar] [CrossRef]
- Abdul Rahman, N.; Bahruji, H. Plastics in biomedical application. In Encyclopedia of Materials: Plastics and Polymers; Elsevier: Amsterdam, The Netherlands, 2022; pp. 114–125. [Google Scholar] [CrossRef]
- Ahmad Raus, R.; Wan Nawawi, W.M.F.; Nasaruddin, R.R. Alginate and alginate composites for biomedical applications. Asian J. Pharm. Sci. 2021, 16, 280–306. [Google Scholar] [CrossRef]
- Mojahedi, M.; Kharazi, A.Z.; Poorazizi, E. Preparation and characterization of carboxymethyl cellulose/polyethylene glycol films containing bromelain/curcumin: In vitro evaluation of wound healing activity. Polym. Eng. Sci. 2024, 64, 1993–2005. [Google Scholar] [CrossRef]
- Hardy, J.G.; Lin, P.; Schmidt, C.E. Biodegradable hydrogels composed of oxime crosslinked poly(ethylene glycol), hyaluronic acid and collagen: A tunable platform for soft tissue engineering. J. Biomat. Sci. Polym. Ed. 2015, 26, 143–161. [Google Scholar] [CrossRef]
- Cereceres, S.; Touchet, T.; Browning, M.B.; Smith, C.; Rivera, J.; Höök, M.; Whitfield-Cargile, C.; Russell, B.; Cosgriff-Hernandez, E. Chronic Wound Dressings Based on Collagen-Mimetic Proteins. Adv. Wound Care 2015, 4, 444–456. [Google Scholar] [CrossRef]
- Venkataprasanna, K.S.; Prakash, J.; Vignesh, S.; Bharath, G.; Venkatesan, M.; Banat, F.; Sahabudeen, S.; Ramachandran, S.; Venkatasubbu, G.D. Fabrication of Chitosan/PVA/GO/CuO patch for potential wound healing application. Int. J. Biol. Macromol. 2020, 143, 744–762. [Google Scholar] [CrossRef]
- Abdelghany, A.M.; Menazea, A.A.; Ismail, A.M. Synthesis, characterization and antimicrobial activity of Chitosan/Polyvinyl Alcohol blend doped with Hibiscus sabdariffa L. extract. J. Molec. Struct. 2019, 1197, 603–609. [Google Scholar] [CrossRef]
- Dai, H.; Huang, Y.; Huang, H. Eco-friendly polyvinyl alcohol/carboxymethyl cellulose hydrogels reinforced with graphene oxide and bentonite for enhanced adsorption of methylene blue. Carbohydr. Polym. 2018, 185, 1–11. [Google Scholar] [CrossRef] [PubMed]
- Akbarpour, A.; Rahimnejad, M.; Sadeghi-Aghbash, M.; Feizi, F. Poly(vinyl alcohol)/Alginate nanofibrous mats containing Malva Sylvestris extract: Synthesis, characterization, in vitro and in vivo assessments for burn wound applications. Int. J. Pharm. 2024, 654, 123928. [Google Scholar] [CrossRef] [PubMed]
- Lumbreras-Aguayo, A.; Meléndez-Ortiz, H.I.; Puente-Urbina, B.; Puente-Urbina, B.; Alvarado-Canché, C.; Ledezma, A.; Romero-Garcia, J.; Bertancourt-Galindo, R. Poly(methacrylic acid)-modified medical cotton gauzes with antimicrobial and drug delivery properties for their use as wound dressings. Carbohydr. Polym. 2019, 205, 203–210. [Google Scholar] [CrossRef]
- Kausar, A. Poly(methyl methacrylate) nanocomposite reinforced with graphene, graphene oxide, and graphite: A review. Polym. Plastics Technol. Mater. 2019, 58, 821–842. [Google Scholar] [CrossRef]
- Shi, M.; Jiang, L.; Yu, C. A robust polyacrylic acid/chitosan cryogel for rapid hemostasis. Sci. China Technol. Sci. 2022, 65, 1029–1042. [Google Scholar] [CrossRef]
- Firuzeh, M.; Labbaf, S.; Enayati, M.H.; Dinari, M.; Mirhaj, M. Enhanced wound healing with a bilayered multifunctional quaternized chitosan-dextran-curcumin construct. Carbohydr. Polym. 2025, 352, 123195. [Google Scholar] [CrossRef]
- Aliotta, L.; Seggiani, M.; Lazzeri, A.; Gigante, V.; Cinelli, P. A Brief Review of Poly (Butylene Succinate) (PBS) and Its Main Copolymers: Synthesis, Blends, Composites, Biodegradability, and Applications. Polymers 2022, 14, 844. [Google Scholar] [CrossRef]
- Aliko, K.; Aldakhlalla, M.B.; Leslie, L.J.; Worthington, T.; Topham, P.D.; Theodosiou, E. Poly(butylene succinate) Fibrous Dressings Containing Natural Antimicrobial Agents. J. Ind. Text. 2022, 51 (Suppl. S4), 6948S–6967S. [Google Scholar] [CrossRef]
- Xie, R.; Yang, G.W.; Zhang, Y.Y.; Lu, C.; Li, W.; Wang, J.; Wu, G.P. A direct comparison between ring-opening copolymerization and polycondensation to produce polyesters using poly(ethylene succinate) as an example. Polym. Chem. 2024, 15, 412–421. [Google Scholar] [CrossRef]
- Rafiqah, S.A.; Khalina, A.; Harmaen, A.S.; Tawakkal, I.A.; Zaman, K.; Asim, M.; Nurrazi, M.N.; Lee, C.H. A Review on Properties and Application of Bio-Based Poly(Butylene Succinate). Polymers 2021, 13, 1436. [Google Scholar] [CrossRef]
- Zeng, J.B.; Jiao, L.; Li, Y.D.; Srinivasan, M.; Li, T.; Wang, Y.Z. Bio-based blends of starch and poly(butylene succinate) with improved miscibility, mechanical properties, and reduced water absorption. Carbohydr. Polym. 2011, 83, 762–768. [Google Scholar] [CrossRef]
- Coltelli, M.; Aliotta, L.; Gigante, V.; Bellusci, M.; Cinelli, P.; Bugnicourt, E.; Schmid, M.; Staebler, A.; Lazzeri, A. Preparation and Compatibilization of PBS/Whey Protein Isolate Based Blends. Molecules 2020, 25, 3313. [Google Scholar] [CrossRef] [PubMed]
- Scalise, A.; Arizmendi, M.; Vicente, H.; Mateus, F.; Woodmansey, E.; Styche, T. Evaluation of a Five-Layer Hydrocellular Polyurethane Foam Dressing Across Wound Care Settings in Southern Europe. J. Wound Care 2023, 32, 68–73. [Google Scholar] [CrossRef] [PubMed]
- Morales-González, M.; Díaz, L.E.; Dominguez-Paz, C.; Valero, M.F. Insights into the Design of Polyurethane Dressings Suitable for the Stages of Skin Wound-Healing: A Systematic Review. Polymers 2022, 14, 2990. [Google Scholar] [CrossRef]
- Letha, S.S.; Kumar, A.S.; Rosemary, M.J. Electrospun polyurethane-gelatin artificial skin scaffold for wound healing. J. Text. Inst. 2022, 113, 378–387. [Google Scholar] [CrossRef]
- Aguayo-Morales, H.; Cobos-Puc, L.E.; Lopez-Badillo, C.M.; Oyervides-Muñoz, E.; Ramírez-García, G.; Claudio-Rizo, J.A. Collagen-polyurethane-dextran hydrogels enhance wound healing by inhibiting inflammation and promoting collagen fibrillogenesis. J. Biomed. Mater. Res. A. 2024, 112, 1760–1777. [Google Scholar] [CrossRef]
- León-Campos, M.I.; Rodríguez-Fuentes, N.; Claudio-Rizo, J.A. Development and in vitro evaluation of a polymeric matrix of jellyfish collagen-human stem cell secretome-polyurethane for wound healing. J. Mater. Sci. 2023, 58, 8047–8060. [Google Scholar] [CrossRef]
- Ju, D.B.; Lee, J.C.; Hwang, S.K.; Cho, C.S.; Kim, H.J. Progress of Polysaccharide-Contained Polyurethanes for Biomedical Applications. Tissue. Eng. Regen. Med. 2022, 19, 891–912. [Google Scholar] [CrossRef]
- Kang, J.I.; Park, K.M. Advances in Gelatin-Based Hydrogels for Wound Management. J. Mater. Chem. B 2021, 9, 1503–1520. [Google Scholar] [CrossRef]
- Xu, Z.; Han, S.; Gu, Z.; Wu, J. Advances and impact of antioxidant hydrogel in chronic wound healing. Adv. Healthc. Mat. 2020, 9, e1901502. [Google Scholar] [CrossRef]
- Su, Y.; Cui, H.; Yang, C.; Li, L.; Xu, F.; Gao, J.; Zhang, W. Hydrogels for the Treatment of Radiation-Induced Skin and Mucosa Damages: An Up-to-Date Overview. Front. Mater. 2022, 9, 1018815. [Google Scholar] [CrossRef]
- Bai, Q.; Zheng, C.; Sun, N.; Chen, W.; Gao, Q.; Liu, J.; Hu, F.; Zhou, T.; Zhang, Y.; Lu, T. Oxygen-releasing hydrogels promote burn healing under hypoxic conditions. Acta Biomater. 2022, 154, 231–243. [Google Scholar] [CrossRef] [PubMed]
- Asadi, N.; Pazoki-Toroudi, H.; Del Bakhshayesh, A.R.; Akbarzadeh, A.; Davaran, S.; Annabi, N. Multifunctional Hydrogels for Wound Healing: Special Focus on Biomacromolecular-Based Hydrogels. Int. J. Biol. Macromol. 2021, 170, 728–750. [Google Scholar] [CrossRef] [PubMed]
- Tallapaneni, V.; Kalaivani, C.; Pamu, D.; Mude, L.; Singh, S.K.; Karri, V.V.S.R. Acellular Scaffolds as Innovative Biomaterial Platforms for the Management of Diabetic Wounds. Tissue Eng. Regen. Med. 2021, 18, 713–734. [Google Scholar] [CrossRef]
- Zhu, N.; Che, X. Biofabrication of Tissue Scaffolds. In Advances in Biomaterials Science and Biomedical Applications; Pignatello, R., Ed.; InTech: London, UK, 2013. [Google Scholar] [CrossRef]
- Ahmed, S.; Chauhan, V.M.; Ghaemmaghami, A.M.; Aylott, J.W. New generation of bioreactors that advance extracellular matrix modelling and tissue engineering. Biotechnol. Lett. 2019, 41, 1–25. [Google Scholar] [CrossRef]
- El-Fiqi, A. Three-dimensional printing of biomaterials for bone tissue engineering: A review. Front. Mater. Sci. 2023, 17, 230644. [Google Scholar] [CrossRef]
- Aramwit, P.; Ratanavaraporn, J.; Ekgasit, S.; Tongsakul, D.; Bang, N. A green salt-leaching technique to produce sericin/PVA/glycerin scaffolds with distinguished characteristics for wound-dressing applications. J. Biomed. Mater. Res. B Appl. Biomater. 2015, 103, 915–924. [Google Scholar] [CrossRef]
- Vesvoranan, O.; Anup, A.; Hixon, K.R. Current Concepts and Methods in Tissue Interface Scaffold Fabrication. Biomimetics 2022, 7, 151. [Google Scholar] [CrossRef]
- Capuana, E.; Lopresti, F.; Carfì Pavia, F.; Brucato, V.; la Carrubba, V. Solution-Based Processing for Scaffold Fabrication in Tissue Engineering Applications: A Brief Review. Polymers 2019, 13, 2041. [Google Scholar] [CrossRef]
- Varkey, M.; Visscher, D.O.; van Zuijlen, P.P.M.; Atala, A.; Yoo, J.J. Skin bioprinting: The future of burn wound reconstruction? Burn. Trauma 2019, 7, 74. [Google Scholar] [CrossRef]
- Nagam Hanumantharao, S.; Rao, S. Multi-Functional Electrospun Nanofibers from Polymer Blends for Scaffold Tissue Engineering. Fibers 2019, 7, 66. [Google Scholar] [CrossRef]
- Shen, Z.; Zhang, C.; Wang, T.; Xu, J. Advances in Functional Hydrogel Wound Dressings: A Review. Polymers 2023, 15, 2000. [Google Scholar] [CrossRef] [PubMed]
- Ikura, R.; Park, J.; Osaki, M.; Yamaguchi, H.; Harada, A.; Takashima, Y. Design of self-healing and self-restoring materials utilizing reversible and movable crosslinks. NPG Asia Mater. 2022, 14, 10. [Google Scholar] [CrossRef]
- Costa, S.; Vilas-Boas, V.; Lebre, F.; Granjeiro, J.M.; Catarino, C.M.; Moreira Teixeira, L.; Loskill, P.; Alfaro-Moreno, E.; Ribeiro, A.R. Microfluidic-based skin-on-chip systems for safety assessment of nanomaterials. Trends Biotechnol. 2023, 41, 1282–1298. [Google Scholar] [CrossRef]
- Fanovich, M.A.; Di Maio, E.; Salerno, A. Current Trend and New Opportunities for Multifunctional Bio-Scaffold Fabrication via High-Pressure Foaming. J. Funct. Biomat. 2023, 14, 480. [Google Scholar] [CrossRef]
- Fereshteh, Z. Freeze-drying technologies for 3D scaffold engineering. In Functional 3D Tissue Engineering Scaffolds; Elsevier: Amsterdam, The Netherlands, 2018; pp. 151–174. [Google Scholar] [CrossRef]
- Hassan, N.; Krieg, T.; Zinser, M.; Schröder, K.; Kröger, N. An Overview of Scaffolds and Biomaterials for Skin Expansion and Soft Tissue Regeneration: Insights on Zinc and Magnesium as New Potential Key Elements. Polymers 2023, 15, 3854. [Google Scholar] [CrossRef]
- Li, B.; Li, H.; Lv, D.; Li, W.; Lu, Y.; Luo, G. Biomaterials releasing drug responsively to promote wound healing via regulation of pathological microenvironment. Adv. Drug Deliv. Rev. 2023, 196, 114778. [Google Scholar] [CrossRef]
- Xue, J.; Wu, T.; Dai, Y.; Xia, Y. Electrospinning and Electrospun Nanofibers: Methods, Materials, and Applications. Chem. Rev. 2019, 119, 5298–5415. [Google Scholar] [CrossRef]
- Al-Abduljabbar, A.; Farooq, I. Electrospun Polymer Nanofibers: Processing, Properties, and Applications. Polymers 2022, 15, 65. [Google Scholar] [CrossRef]
- Law, J.X.; Liau, L.L.; Saim, A.; Yang, Y.; Idrus, R. Electrospun Collagen Nanofibers and Their Applications in Skin Tissue Engineering. Tissue Eng. Regen. Med. 2017, 14, 699–718. [Google Scholar] [CrossRef]
- Jandyal, A.; Chaturvedi, I.; Wazir, I.; Raina, A.; Ul Haq, M.I. 3D printing—A review of processes, materials and applications in industry 4.0. Sustain. Oper. Comput. 2022, 3, 33–42. [Google Scholar] [CrossRef]
- Arefin, A.M.E.; Khatri, N.R.; Kulkarni, N.; Egan, P.F. Polymer 3D Printing Review: Materials, Process, and Design Strategies for Medical Applications. Polymers 2021, 13, 1499. [Google Scholar] [CrossRef] [PubMed]
- Kafle, A.; Luis, E.; Silwal, R.; Pan, H.M.; Shrestha, P.L.; Bastola, A.K. 3D/4D Printing of Polymers: Fused Deposition Modelling (FDM), Selective Laser Sintering (SLS), and Stereolithography (SLA). Polymers 2021, 13, 3101. [Google Scholar] [CrossRef] [PubMed]
- Daminabo, S.C.; Goel, S.; Grammatikos, S.A.; Nezhad, H.Y.; Thakur, V.K. Fused deposition modeling-based additive manufacturing (3D printing): Techniques for polymer material systems. Mater. Today Chem. 2020, 16, 100248. [Google Scholar] [CrossRef]
- D’Angelo, P.; Vurro, D. Direct Writing: Inkjet and Aerosol-Jet Printing. In High Resolution Manufacturing from 2D to 3D/4D Printing; Marasso, S.L., Cocuzza, M., Eds.; Springer International Publishing: Cham, Switzerland, 2022; pp. 105–129. [Google Scholar] [CrossRef]
- Jiang, Z.; Diggle, B.; Tan, M.L.; Viktorova, J.; Bennett, C.W.; Connal, L.A. Extrusion 3D Printing of Polymeric Materials with Advanced Properties. Adv. Sci. 2020, 7, 2001379. [Google Scholar] [CrossRef]
- Mirshafiei, M.; Rashedi, H.; Yazdian, F.; Rahdar, A.; Baino, F. Advancements in tissue and organ 3D bioprinting: Current techniques, applications, and future perspectives. Mater. Des. 2024, 240, 112853. [Google Scholar] [CrossRef]
- Wang, Y.; Gao, C.; Cheng, S.; Li, Y.; Huang, Y.; Cao, X.; Zhang, Z.; Huang, J. 3D Bioprinting of Double-Layer Conductive Skin for Wound Healing. Adv. Healthc. Mater. 2025, 14, 2404388. [Google Scholar] [CrossRef]
- Sachdeo, R.A.; Khanwelkar, C.; Shete, A. 3D Printing in Wound Healing: Innovations, Applications, and Future Directions. Cureus 2024, 16, e75331. [Google Scholar] [CrossRef]
- Umur, E.; Bayrak, E.; Arslan, F.; Bulut, S.B.; Baysoy, E.; Kaleli-Can, G.; Ayan, B. Advances in Three Dimensional Bioprinting for Wound Healing: A Comprehensive Review. Appl. Sci. 2023, 13, 10269. [Google Scholar] [CrossRef]
- Wang, P.; Sun, Y.; Shi, X.; Shen, H.; Ning, H.; Liu, H. 3D printing of tissue engineering scaffolds: A focus on vascular regeneration. Bio-Des. Manuf. 2021, 4, 344–378. [Google Scholar] [CrossRef]
- Qin, Y.; Ge, G.; Yang, P.; Wang, L.; Qiao, Y.; Pan, G.; Yang, H.; Bai, J.; Cui, W.; Geng, D. An Update on Adipose-Derived Stem Cells for Regenerative Medicine: Where Challenge Meets Opportunity. Adv. Sci. 2023, 10, 2207334. [Google Scholar] [CrossRef] [PubMed]
- Zhang, D.; Fu, Q.; Fu, H.; Zeng, J.; Jia, L.; Chen, M. 3D-bioprinted human lipoaspirate-derived cell laden skin constructs for healing of full-thickness skin defects. IJB 2024, 9, 718. [Google Scholar] [CrossRef] [PubMed]
- Fu, H.; Zhang, D.; Zeng, J.; Fu, Q.; Chen, Z.; Sun, X.; Yang, Y.; Li, S.; Chen, M. Application of 3D-printed tissue-engineered skin substitute using innovative biomaterial loaded with human adipose-derived stem cells in wound healing. Int. J. Bioprint. 2023, 9, 674. [Google Scholar] [CrossRef]
- Roshangar, L.; Rad, J.S.; Kheirjou, R.; Khosroshahi, A.F. Using 3D-bioprinting scaffold loaded with adipose-derived stem cells to burns wound healing. J. Tissue Eng. Regen. Med. 2021, 15, 546–555. [Google Scholar] [CrossRef]
- Horakova, J.; Klicova, M.; Erben, J.; Klapstova, A.; Novotny, V.; Behalek, L.; Chvojka, J. Impact of Various Sterilization and Disinfection Techniques on Electrospun Poly-ε-caprolactone. ACS Omega 2020, 5, 8885–8892. [Google Scholar] [CrossRef]
- Qi, X.; Li, Y.; Xiang, Y.; Chen, Y.; Shi, Y.; Ge, X.; Zeng, B.; Shen, J. Hyperthermia-enhanced immunoregulation hydrogel for oxygenation and ROS neutralization in diabetic foot ulcers. Cell Biomater. 2025, 1, 100020. [Google Scholar] [CrossRef]
- Lan, Y.; Wang, Y.; Qi, X.; Cai, E.; Xiang, Y.; Ge, X.; Cai, E.; Xiang, Y.; Ge, X.; Xu, X.; et al. A modified hyaluronic acid hydrogel with strong bacterial capture and killing capabilities for drug-resistant bacteria-infected diabetic wound healing. Int. J. Biol. Macromol. 2024, 279, 135301. [Google Scholar] [CrossRef]
- Sörgel, C.A.; Cai, A.; Schmid, R.; Horch, R.E. Perspectives on the Current State of Bioprinted Skin Substitutes for Wound Healing. Biomedicines 2023, 11, 2678. [Google Scholar] [CrossRef]
- Ziegler, M.E.; Widgerow, A.D.; Evans, G.R.D. Stem cell research in tissue engineering and translational medicine. In Tissue Engineering; Academic Press: Cambridge, MA, USA, 2022; pp. 157–172. [Google Scholar] [CrossRef]
- Murphy, M.B.; Moncivais, K.; Caplan, A.I. Mesenchymal stem cells: Environmentally responsive therapeutics for regenerative medicine. Exp. Mol. Med. 2013, 45, e54. [Google Scholar] [CrossRef]
- Mizuno, H.; Tobita, M.; Orbay, H.; Uysal, A.C. Adipose-derived stem cells as a novel tool for future regenerative medicine. Stem Cells 2012, 30, 804. [Google Scholar] [CrossRef]
- Shukla, L.; Yuan, Y.; Shayan, R.; Greening, D.W.; Karnezis, T. Fat Therapeutics: The Clinical Capacity of Adipose-Derived Stem Cells and Exosomes for Human Disease and Tissue Regeneration. Front. Pharmacol. 2020, 11, 158. [Google Scholar] [CrossRef] [PubMed]
- Yao, C.; Zhou, Y.; Wang, H.; Deng, F.; Chen, Y.; Zhu, X.; Kong, Y.; Pan, L.; Xue, L.; Zhou, X.; et al. Adipose-derived stem cells alleviate radiation-induced dermatitis by suppressing apoptosis and downregulating cathepsin F expression. Stem Cell Res. Ther. 2021, 12, 447. [Google Scholar] [CrossRef] [PubMed]
- Shibuya, Z.; Imai, Y.; Oshima, J.; Sasaki, M.; Sasaki, K.; Aihara, Y.; Khanh, V.C.; Sekido, M. Therapeutic Potential of Adipose-Derived Stem Cell-Conditioned Medium and Extracellular Vesicles in an In Vitro Radiation-Induced Skin Injury Model. Int. J. Mol. Sci. 2023, 24, 17214. [Google Scholar] [CrossRef]
- Pikuła, M.; Langa, P.; Kosikowska, P.; Trzonkowski, P. Stem cells and growth factors in wound healing. Postep. Hig. Med. Dosw. 2015, 69, 874–885. [Google Scholar] [CrossRef]
- Horch, R.E.; Kopp, J.; Kneser, U.; Beier, J.; Bach, A.D. Tissue engineering of cultured skin substitutes. J. Cell Mol. Med. 2005, 9, 592–608. [Google Scholar] [CrossRef]
- Kim, S.; Bang, S.I.; Lee, S.Y.; Park, S.Y.; Kim, M.; Ha, H. Clinical implication of allogenic implantation of adipogenic differentiated adipose-derived stem cells. Stem Cells Transl. Med. 2014, 3, 1312–1321. [Google Scholar] [CrossRef]
- Conese, M.; Annacontini, L.; Carbone, A.; Beccia, E.; Cecchino, L.R.; Parisi, D.; Di Gioia, S.; Lembo, F.; Angiolillo, A.; Mastrangelo, F.; et al. The role of adipose-derived stem cells, dermal regenerative templates, and platelet-rich plasma in tissue engineering-based treatments of chronic skin wounds. Stem Cells Int. 2020, 2020, 7056261. [Google Scholar] [CrossRef]
- Sterodimas, A.; de Faria, J.; Nicaretta, B.; Pitanguy, I. Tissue engineering with adipose-derived stem cells (ADSCs): Current and future applications. J. Plast. Reconstr. Aesthet. Surg. 2010, 63, 1886–1892. [Google Scholar] [CrossRef]
- Tang, H.; He, Y.; Liang, Z.; Li, J.; Dong, Z.; Liao, Y. The therapeutic effect of adipose-derived stem cells on soft tissue injury after radiotherapy and their value for breast reconstruction. Stem Cell Res. Ther. 2022, 13, 493. [Google Scholar] [CrossRef]
- Berry, C.E.; Abbas, D.B.; Lintel, H.A.; Churukian, A.A.; Griffin, M.; Guo, J.L.; Cotterell, A.C.; Parker, J.B.L.; Downer, M.A.; Longaker, M.T.; et al. Adipose-Derived Stromal Cell-Based Therapies for Radiation-Induced Fibrosis. Adv. Wound Care 2022, 9, 103. [Google Scholar] [CrossRef]
- Akita, S.; Yoshimoto, H.; Ohtsuru, A.; Hirano, A.; Yamashita, S. Autologous adipose-derived regenerative cells are effective for chronic intractable radiation injuries. Radiat. Prot. Dosim. 2012, 151, 656–660. [Google Scholar] [CrossRef] [PubMed]
- Huang, S.P.; Huang, C.H.; Shyu, J.F.; Lee, H.-S.; Chen, S.-G.; Chan, J.Y.-H.; Huang, S.-M. Promotion of wound healing using adipose-derived stem cells in radiation ulcer of a rat model. J. Biomed. Sci. 2013, 20, 51. [Google Scholar] [CrossRef] [PubMed]
- François, S.; Mouiseddine, M.; Mathieu, N.; Semont, A.; Monti, P.; Dudoignon, N.; Saché, A.; Boutarfa, A.; Thierry, D.; Goumelon, P.; et al. Human mesenchymal stem cells favour healing of the cutaneous radiation syndrome in a xenogenic transplant model. Ann. Hematol. 2007, 86, 1–8. [Google Scholar] [CrossRef] [PubMed]
- Khademi, B.; Safari, S.; Mosleh-Shirazi, M.A.; Mokhtari, M.; Chenari, N.; Razmkhah, M. Therapeutic effect of adipose-derived mesenchymal stem cells (ASCs) on radiation-induced skin damage in rats. Stem Cell Investig. 2020, 7, 12. [Google Scholar] [CrossRef]
- Chang, P.Y.; Qu, Y.Q.; Wang, J.; Dong, L.-H. The potential of mesenchymal stem cells in the management of radiation enteropathy. Cell Death Dis. 2015, 6, e1840. [Google Scholar] [CrossRef]
- Hasdemir, M.; Agir, H.; Eren, G.G.; Aksu, M.G.; Alagoz, M.S.; Duruksu, G.; Saglam, O.; Karaöz, E. Adipose-derived stem cells improve survival of random pattern cutaneous flaps in radiation-damaged skin. J. Craniofacial Surg. 2015, 26, 1450–1455. [Google Scholar] [CrossRef]
- Bajada, S.; Mazakova, I.; Richardson, J.B.; Ashammakhi, N. Updates on stem cells and their applications in regenerative medicine. J. Tiss. Eng. Reg. Med. 2008, 2, 169–183. [Google Scholar] [CrossRef]
- Zhang, J.; Liu, Y.; Chen, Y.; Yuan, L.; Liu, H.; Wang, J.; Liu, Q.; Zhang, Y. Adipose-derived stem cells: Current applications and future directions in the regeneration of multiple tissues. Stem Cells Int. 2020, 2020, 8810813. [Google Scholar] [CrossRef]
- Brembilla, N.C.; Vuagnat, H.; Boehncke, W.H.; Krause, K.H.; Preynat-Seauve, O. Cells for Chronic Wounds: Scientific Evidence and Roadmap Toward Clinical Practice. Stem Cells Transl. Med. 2023, 12, 17–25. [Google Scholar] [CrossRef]
- Gao, T.; Jiang, M.; Liu, X.; You, G.; Wang, W.; Sun, Z.; Ma, A.; Chen, J. Patterned polyvinyl alcohol hydrogel dressings with stem cells seeded for wound healing. Polymers 2019, 11, 171. [Google Scholar] [CrossRef]
- Mirzaei-Parsa, M.J.; Ghanbari, H.; Alipoor, B.; Wang, C.-H.; Deng, S.-C.; Dai, N.-T.; Chen, T.-M.; Chan, J.Y.-H.; Chen, S.-G.; Huang, S.-M. Nanofiber-acellular dermal matrix as a bilayer scaffold containing mesenchymal stem cell for healing of full-thickness skin wounds. Cell Tissue Res. 2019, 375, 709–721. [Google Scholar] [CrossRef] [PubMed]
- Huang, S.P.; Hsu, C.C.; Chang, S.C.; Kowalczewski, A.; Becerra, S.; Wrice, N.; Cap, A.; Christy, R. Adipose-derived stem cells seeded on acellular dermal matrix grafts enhance wound healing in a murine model of a full-thickness defect. Ann. Plast. Surg. 2012, 69, 656–662. [Google Scholar] [CrossRef] [PubMed]
- Samberg, M.; Stone II, R.; Natesan, S.; Kowalczewski, A.; Becerra, S.; Wrice, N.; Cap, A.; Christy, R. Platelet-rich plasma hydrogels promote in vitro and in vivo angiogenic potential of adipose-derived stem cells. Acta Biomater. 2019, 87, 76–87. [Google Scholar] [CrossRef] [PubMed]
- Ozpur, M.A.; Guneren, E.; Canter, H.I.; Karaaltin, M.V.; Ovali, E.; Yogun, F.N.; Baygol, E.G.; Kaplan, S. Generation of skin tissue using adipose tissue-derived stem cells. Plast. Reconstr. Surg. 2016, 137, 134–143. [Google Scholar] [CrossRef]
- Huayllani, M.T.; Sarabia-Estrada, R.; Restrepo, D.J.; Boczar, D.; Sisti, A.; Nguyen, J.H.; Rinker, B.D.; Moran, S.L.; Quiñones-Hinojosa, A.; Forte, A.J. Adipose-derived stem cells in wound healing of full-thickness skin defects: A review of the literature. J. Plast. Surg. Hand Surg. 2020, 54, 263–279. [Google Scholar] [CrossRef]
- Ajjarapu, S.M.; Tiwari, A.; Kumar, S. Applications and Utility of Three-Dimensional In Vitro Cell Culture for Therapeutics. Future Pharmacol. 2023, 3, 213–228. [Google Scholar] [CrossRef]
- Brembilla, N.C.; Modarressi, A.; André-Lévigne, D.; Brioudes, E.; Lanza, F.; Vuagnat, H.; Durual, S.; Marger, L.; Boehncke, W.-H.; Krause, K.-H.; et al. Adipose-Derived Stromal Cells within a Gelatin Matrix Acquire Enhanced Regenerative and Angiogenic Properties: A Pre-Clinical Study for Application to Chronic Wounds. Biomedicines 2023, 11, 987. [Google Scholar] [CrossRef]
- Wu, Y.Y.; Jiao, Y.P.; Xiao, L.L.; Li, M.M.; Liu, H.-W.; Li, S.-H.; Liao, X.; Chen, Y.-T.; Li, J.-X.; Zhang, Y. Experimental study on effects of adipose-derived stem cell-seeded silk fibroin chitosan film on wound healing of a diabetic rat model. Ann. Plast. Surg. 2018, 80, 572–580. [Google Scholar] [CrossRef]
- Hopfner, U.; Aitzetmueller, M.M.; Nessbach, P.; Hu, M.S.; Machens, H.-G.; Maan, Z.N.; Duscher, D. Fibrin glue enhances adipose-derived stromal cell cytokine secretion and survival, conferring accelerated diabetic wound healing. Stem Cells Int. 2018, 2018, 1353085. [Google Scholar] [CrossRef]
- Cheng, Y.S.; Yen, H.H.; Chang, C.Y.; Lien, W.-C.; Huang, S.-H.; Lee, S.-S.; Wang, L.; Wang, H.-M.D. Adipose-derived stem cell-incubated HA-rich sponge matrix implant modulates oxidative stress to enhance VEGF and TGF-beta secretions for extracellular matrix reconstruction in vivo. Oxid. Med. Cell Longev. 2022, 2022, 9355692. [Google Scholar] [CrossRef]
- Li, M.; Ma, J.; Gao, Y.; Dong, M.; Zheng, Z.; Li, Y.; Tan, R.; She, Z.; Yang, L. Epithelial differentiation of human adipose-derived stem cells (hASCs) undergoing three-dimensional (3D) cultivation with collagen sponge scaffold (CSS) via an indirect co-culture strategy. Stem Cell Res. Ther. 2020, 11, 141. [Google Scholar] [CrossRef] [PubMed]
- Mashiko, T.; Takada, H.; Wu, S.H.; Kanayama, K.; Feng, J.; Tashiro, K.; Asahi, R.; Sunaga, A.; Hoshi, K.; Kurisaki, A.; et al. Therapeutic effects of a recombinant human collagen peptide bioscaffold with human adipose-derived stem cells on impaired wound healing after radiotherapy. J. Tissue Eng. Regen. Med. 2018, 12, 1186–1194. [Google Scholar] [CrossRef] [PubMed]
- Chen, Z.; Zhang, B.; Shu, J.; Wang, H.; Han, Y.; Zeng, Q.; Chen, Y.; Xi, J.; Tao, R.; Pei, X.; et al. Human decellularized adipose matrix-derived hydrogel assists mesenchymal stem cells delivery and accelerates chronic wound healing. J. Biomed. Mater. Res. A 2021, 109, 1418–1428. [Google Scholar] [CrossRef] [PubMed]
- Shi, X.; Jiang, L.; Zhao, X.; Chen, B.; Shi, W.; Cao, Y.; Chen, Y.; Li, X.; He, Y.; Li, C.; et al. Adipose-derived stromal cell-sheets sandwiched, book-shaped acellular dermal matrix capable of sustained release of basic fibroblast growth factor promotes diabetic wound healing. Front. Cell Dev. Biol. 2021, 9, 646967. [Google Scholar] [CrossRef]
- Nambu, M.; Kishimoto, S.; Nakamura, S.; Mizuro, H.; Yanagibayashi, S.; Yamamoto, N.; Azuma, R.; Nakamura, S.-I.; Kiyosawa, T.; Masayuki, I.; et al. Accelerated wound healing in healing-impaired db/db mice by autologous adipose tissue-derived stromal cells combined with atelocollagen matrix. Ann Plast. Surg. 2009, 62, 317–321. [Google Scholar] [CrossRef]
- Zhang, Y.; Li, D.; Fang, S.; Li, X.; Zhang, H.; Dai, H.; Fan, H.; Li, Y.; Shen, D.; Tang, W.; et al. Stimulatory effect of engineered three-layer adipose tissue-derived stem cells sheet in atelocollagen matrix on wound healing in a mouse model of radiation-induced skin injury. J. Biomater. Appl. 2019, 34, 498–508. [Google Scholar] [CrossRef]
- Aghayan, H.R.; Hosseini, M.S.; Gholami, M.; Mohamadi-Jahani, F.; Tayanloo-Beik, A.; Alavi-Moghadam, S.; Payab, M.; Goodarzi, P.; Abdollahi, M.; Larijani, B.; et al. Mesenchymal stem cells’ seeded amniotic membrane as a tissue-engineered dressing for wound healing. Drug Deliv. Transl. Res. 2022, 12, 538–549. [Google Scholar] [CrossRef]
- Gao, Y.; Gao, B.; Zhu, H.; Yu, Q.; Xie, F.; Chen, C.; Li, Q. Adipose-derived stem cells embedded in platelet-rich plasma scaffolds improve the texture of skin grafts in a rat full-thickness wound model. Burns 2020, 46, 377–385. [Google Scholar] [CrossRef]
- Lotfi, M.; Naderi-Meshkin, H.; Mahdipour, E.; Mafinezhad, A.; Bagherzadeh, R.; Sadeghnia, H.R.; Esmaily, H.; Maleki, M.; Hasssanzadeh, H.; Ghayaour-Mobarhan, M.; et al. Adipose tissue-derived mesenchymal stem cells and keratinocytes co-culture on gelatin/chitosan/beta-glycerol phosphate nanoscaffold in skin regeneration. Cell Biol. Int. 2019, 43, 269–277. [Google Scholar] [CrossRef]
- Ye, M.; Yu, L.; She, Y.; Wang, S.; Wang, M.; Zhao, Q.; Gu, C.; Bian, L.; Wen, N.; Gong, J.; et al. Healing effects of a protein scaffold loaded with adipose-derived mesenchymal stem cells on radiation-induced vaginal injury in rats. J. Int. Med. Res. 2020, 48, 300060520958826. [Google Scholar] [CrossRef]
- Yang, C.; Ni, X.; Mao, D.; Ren, C.; Liu, J.; Gao, Y.; Ding, D.; Liu, J. Seeing the fate and mechanism of stem cells in treatment of ionizing radiation-induced injury using highly near-infrared emissive AIE dots. Biomaterials 2019, 188, 107–117. [Google Scholar] [CrossRef] [PubMed]
- Vecin, N.M.; Kirsner, R.S. Skin substitutes as treatment for chronic wounds: Current and future directions. Front. Med. 2023, 10, 1154567. [Google Scholar] [CrossRef] [PubMed]
- Streit, M.; Braathen, L.R. Apligraf—A living human skin equivalent for the treatment of chronic wounds. Int. J. Artif. Organs 2000, 23, 831–833. [Google Scholar] [CrossRef] [PubMed]
- Hart, C.E.; Loewen-Rodriguez, A.; Lessem, J. Dermagraft: Use in the Treatment of Chronic Wounds. Adv. Wound Care 2012, 1, 138–141. [Google Scholar] [CrossRef]
- Steiglitz, B.M.; Maher, R.J.; Gratz, K.R.; Schlosser, S.; Foster, J.; Pradhan-Bhatt, S.; Comer, A.R.; Allen-Hoffmann, B.L. The viable bioengineered allogeneic cellularized construct StrataGraft® synthesizes, deposits, and organizes human extracellular matrix proteins into tissue type-specific structures and secretes soluble factors associated with wound healing. Burns 2024, 50, 424–432. [Google Scholar] [CrossRef]
- Carsin, H.; Ainaud, P.; Le Bever, H.; Rives, J.-M.; Lakhel, A.; Stephanazzi, J.; Lambert, F.; Perrot, J. Cultured epithelial autografts in extensive burn coverage of severely traumatized patients: A five year single-center experience with 30 patients. Burns 2000, 26, 379–387. [Google Scholar] [CrossRef]
- Tran, D.-K.; Phuong, T.N.T.; Bui, N.-L.; Singh, V.; Looi, Q.H.; Koh, B.; Zaman, U.M.S.B.M.; Foo, J.B.; Wu, C.C.; Show, P.L.; et al. Exploring the Potential of Stem Cell-Based Therapy for Aesthetic and Plastic Surgery. IEEE Rev. Biomed. Eng. 2023, 16, 386–402. [Google Scholar] [CrossRef]
- De Kanter, A.-F.J.; Jongsma, K.R.; Verhaar, M.C.; Bredenoord, A.L. The Ethical Implications of Tissue Engineering for Regenerative Purposes: A Systematic Review. Tissue Eng. Part B Rev. 2023, 29, 167–187. [Google Scholar] [CrossRef]
- Rashaan, Z.M.; Krijnen, P.; Van Den Akker-Van Marle, M.E.; Van Baar, M.E.; Vloemans, A.F.P.; Dokter, J.; Tempelman, F.R.H.; Van Der Vlies, C.H.; Breederveld, R.S. Clinical effectiveness, quality of life and cost-effectiveness of Flaminal® versus Flamazine® in the treatment of partial thickness burns: Study protocol for a randomized controlled trial. Trials 2016, 17, 122. [Google Scholar] [CrossRef]
- Dabiri, G.; Damstetter, E.; Phillips, T. Choosing a Wound Dressing Based on Common Wound Characteristics. Adv. Wound Care 2016, 5, 32–41. [Google Scholar] [CrossRef]
Disclaimer/Publisher’s Note: The statements, opinions and data contained in all publications are solely those of the individual author(s) and contributor(s) and not of MDPI and/or the editor(s). MDPI and/or the editor(s) disclaim responsibility for any injury to people or property resulting from any ideas, methods, instructions or products referred to in the content. |
© 2025 by the authors. Licensee MDPI, Basel, Switzerland. This article is an open access article distributed under the terms and conditions of the Creative Commons Attribution (CC BY) license (https://creativecommons.org/licenses/by/4.0/).































