Effects of Abscisic Acid on the Physiological and Biochemical Responses of Saccharina japonica Under High-Temperature Stress
Abstract
1. Introduction
2. Results
2.1. Effect of Abscisic Acid on Physiological Morphology and Characteristics of S. japonica Under High-Temperature Stress
2.2. Effect of Abscisic Acid on Photosynthetic Characteristics of S. japonica Under High-Temperature Stress
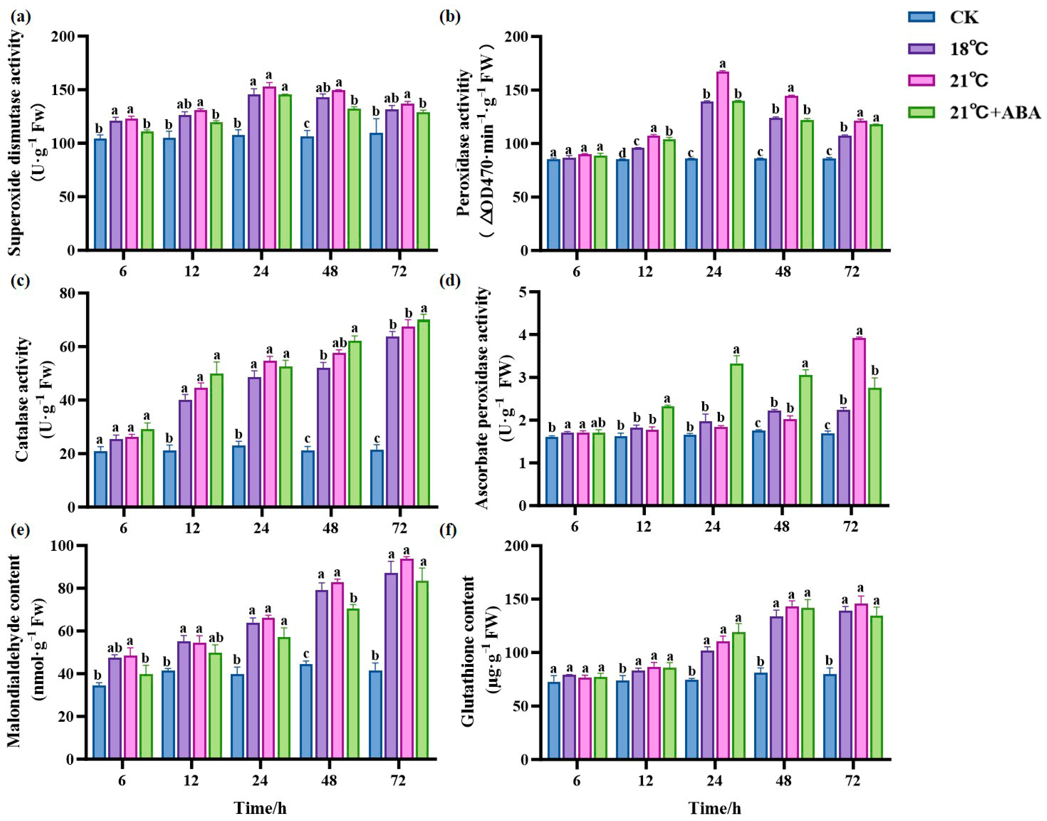
2.3. Effect of Abscisic Acid on Physiological Indicators of S. japonica Under High Temperature Stress
2.4. Effect of Abscisic Acid on Gene Expression of S. japonica under High-Temperature Stress
3. Discussion
3.1. Effect of ABA on Photosynthetic Characteristics of S. japonica Under High Temperature Stress
3.2. Effect of ABA on Antioxidant Enzyme Activity and Gene Expression of S. japonica Under High-Temperature Stress
3.3. Effect of ABA on Osmotic Regulatory Substances of S. japonica Under High Temperature Stress
3.4. Effect of ABA on ABA Content and Synthesis-Related Gene Expression of S. japonica Under High-Temperature Stress
4. Materials and Methods
4.1. Experimental Materials
4.2. Experimental Design
4.3. Determination of Morphology
4.4. Growth and Survival Measurement
4.5. Determination of Chlorophyll Fluorescence Parameters and Chlorophyll Content
4.6. Determination of Physiological and Biochemical Indices
4.7. Determination of ABA Content
4.8. Determination of Carotenoids
4.9. RNA Extraction and Real-Time Fluorescent Quantitative Analysis
4.10. Data Analysis
5. Conclusions
Author Contributions
Funding
Institutional Review Board Statement
Informed Consent Statement
Data Availability Statement
Conflicts of Interest
References
- Laukaityte, S.; Riera, R. The status of research and utilisation on the subtidal kelp along the Chilean coast: A literature review. Acta. Oceanol. Sin. 2023, 41, 7–17. [Google Scholar] [CrossRef]
- Bennett, S.; Wernberg, T.; Connell, S.D.; Hobday, A.J.; Johnson, C.R.; Poloczanska, E.S. The Great Southern Reef: Social, ecological and economic value of Australia’s neglected kelp forests. Mar. Freshw. Res. 2016, 67, 47–56. [Google Scholar] [CrossRef]
- Blamey, L.K.; Bolton, J.J. The economic value of South African kelp forests and temperate reefs: Past, present and future. J. Mar. Syst. 2017, 188, 172–181. [Google Scholar] [CrossRef]
- Leandro, A.; Pereira, L.; Gonçalves, A.M. Diverse Applications of Marine Macroalgae. Mar. Drugs 2019, 18, 17. [Google Scholar] [CrossRef]
- Li, H.; Zhang, Z.; Xiong, T.; Tang, K.; He, C.; Shi, Q.; Jiao, N.; Zhang, Y. Carbon Sequestration in the Form of Recalcitrant Dissolved Organic Carbon in a Seaweed (Kelp) Farming Environment. Environ. Sci. Technol. 2022, 56, 9112–9122. [Google Scholar] [CrossRef] [PubMed]
- Starko, S.; Neufeld, C.J.; Gendall, L.; Timmer, B.; Campbell, L.; Yakimishyn, J.; Druehl, L.; Baum, J.K. Microclimate predicts kelp forest extinction in the face of direct and indirect marine heatwave effects. Ecol. Appl. 2022, 32, e2673. [Google Scholar] [CrossRef]
- Hang, B.P.; Han, Z.G.; Fu, X. Algal Photosynthesis Mechanisms and Models; Science Press: Beijing, China, 2003; pp. 24–29. [Google Scholar]
- Puja, O.; Renu, B.; Shagun, B.; Ravinderjit, K.; Shivam, J.; Anjali, K.; Parihar, R. The common molecular players in plant hormone crosstalk and signaling. Curr. Protein Pept. Sci. 2015, 16, 369–388. [Google Scholar]
- Cutler, A.J.; Krochko, J.E. Formation and breakdown of ABA. Trends Plant. Sci. 1999, 4, 472–478. [Google Scholar] [CrossRef]
- Tijero, V.; Teribia, N.; Munoz, P.; Bosch, M. Implication of abscisic acid on ripening and quality in sweet cherries: Differential effects during pre-and post-harvest. Front. Plant Sci. 2016, 7, 602. [Google Scholar] [CrossRef]
- Jiang, D.; Zhou, L.; Chen, W.; Ye, N.; Xia, J.; Zhuang, C. Overexpression of a microRNA-targeted NAC transcription factor improves drought and salt tolerance in Rice via ABA-mediated pathways. Rice 2019, 12, 76. [Google Scholar] [CrossRef]
- Nogueira, F.T.S.; Derosa, V.E.; Menossi, M.; Ulian, E.C.; Arruda, P. RNA expression profiles and data mining of sugarcane response to low temperature. Plant Physiol. 2003, 132, 1811–1824. [Google Scholar] [CrossRef] [PubMed]
- Mehrotra, R.; Bhalothia, P.; Bansal, P.; Basantani, M.K.; Bharti, V.; Mehrotra, S. Abscisic acid and abiotic stress tolerance different tiers of regulation. J. Plant Physiol. 2014, 171, 486–496. [Google Scholar] [CrossRef]
- Islam, M.R.; Feng, B.; Chen, T.; Tao, L.; Fu, G. Role of abscisic acid in thermal acclimation of plants. J. Plant Biol. 2018, 61, 255–264. [Google Scholar] [CrossRef]
- Li, G.; Zhang, C.; Zhang, G.; Fu, W.; Feng, B.; Chen, T.; Peng, S.; Tao, L.; Fu, G. Abscisic acid negatively modulates heat tolerance in rolled leaf rice by increasing leaf temperature and regulating energy homeostasis. Rice 2020, 13, 18. [Google Scholar] [CrossRef] [PubMed]
- Huang, X.; Ke, C.H.; Wang, W.X. Cadmium and copper accumulation and toxicity in the macroalga Gracilaria tenuistipitata. Aquat. Biol. 2010, 11, 17–26. [Google Scholar] [CrossRef]
- Yokoya, N.S.; Stirk, W.A.; van Staden, J.; Novak, O.; Tureckova, V.; Pencik, A.; Strnad, M. Endogenous cytokinins, auxins and absicsic acid in red algae from Brazil. J. Phycol. 2010, 46, 1198–1205. [Google Scholar] [CrossRef]
- Hartung, W. The evolution of abscisic acid (ABA) and ABA function in lower plants, fungi and lichen. Funct. Plant Biol. 2010, 37, 806–812. [Google Scholar] [CrossRef]
- Sulochana, S.B.; Arumugam, M. Influence of abscisic acid on growth, biomass and lipid yield of Scenedesmus quadricauda under nitrogen starved condition. Bioresour. Technol. 2016, 21, 198–203. [Google Scholar] [CrossRef] [PubMed]
- Yalcin, S.; Okudan, E.S.; Karakas, O.; Onem, A.N.; Sozgen, B.K. Identification and quantification of some phytohormones in seaweeds using UPLC-MS/MS. J. Liq. Chromatogr. Relat. Technol. 2019, 42, 475–484. [Google Scholar] [CrossRef]
- Liu, X.; Zhao, P.; Xu, J.; Luo, Q.; Wang, X.; Chen, H.; Yan, X. LC-MS simultaneous determination of nine phytohormones in macroalgaes. Chin. J. Pharm. Anal. 2012, 32, 1747–1752. [Google Scholar]
- Correa, J.A.; Contreras, P.L. Role of abscisic acid (ABA) in activating antioxidant tolerance responses to desiccation stress in intertidal seaweed species. Planta 2016, 243, 767–781. [Google Scholar]
- Meng, Y.; Zhang, Z.; Zhang, D.; Chen, X.; Xia, Z. Transcriptomic and physiological analyses reveal that jasmonic acid and abscisic acid coordinately regulate cold stress response in Myriophyllum aquaticum. Environ. Exp. Bot. 2024, 219, 105645. [Google Scholar] [CrossRef]
- Zhang, C.; Chen, Y.; Yang, R.; Luo, Q.; Wang, T.; Zhang, P.; Chen, H. Abscisic acid activates desiccation tolerance responses in intertidal seaweed Neoporphyra haitanensis. Front. Mar. Sci. 2022, 9, 1007193. [Google Scholar] [CrossRef]
- Luo, S.; Yu, Z.; Chen, Q.; Liu, S.; Xu, N.; Sun, X. Metabolomics revealed the potential mechanism of abscisic acid in Gracilariopsis lemaneiformis under high temperature stress. Oceanol. Limnol. Sin. 2022, 53, 224–234. [Google Scholar]
- Al-Hijab, L.; Gregg, A.; Davies, R.; Macdonald, H.; Ladomery, M.; Wilson, I. Abscisic acid induced a negatie geotropic response in dark-incubated Chlamydomonas reinhardtil. Sci. Rep. 2019, 9, 12063. [Google Scholar] [CrossRef]
- Yoshida, K.; Igarashi, E.; Wakatsuki, E.; Miyamoto, K.; Hirata, K. Mitigation of osmotic and salt stresses by abscisic acid through reduction of stress-derived oxidative damage in Chlamydomonas reinhardtii. Plant Sci. 2004, 167, 1335–1341. [Google Scholar] [CrossRef]
- Yoshida, K.; Igarashi, E.; Mukai, M.; Hirata, K.; Miyamoto, K. Induction of tolerance to oxidative stress in the green alga, Chlamydomonas reinhardtii, by abscisic acid. Plant Cell Environ. 2003, 26, 451–457. [Google Scholar] [CrossRef]
- Wang, Z.; Sun, H.; Liu, T.; Zhai, Y.; Xing, L.; Miao, J.; Leng, G. Variations of endogenous hormones in Rongfu Laminaria saccharia at different development stage. Prog. Fish. Sci. 2011, 32, 94–98. [Google Scholar]
- Ling, J.; Liang, Z.; Wang, F.; Sun, X.; Wang, W.; Liu, F.; Yao, H. Effects of High Temperature on the Antioxidant Enzymes and Chlorophyll Fluorescence Parameters of Saccharina japonica. Prog. Fish. Sci. 2016, 37, 120–125. [Google Scholar]
- Xuan, H.; Tong, S.; Hou, H. Effects of High Temperature Stress on Growth and Physiology of Gametophytes of Laminaria japonica. Tianjin Agric. Sci. 2011, 17, 5–8. [Google Scholar]
- Peng, J.; Cui, C.; Zhang, L.; Qu, Y.; Li, X.; Jiang, W.; Liu, Y.; Li, Y.; Tian, P. Effects of High Temperature Stress on Survival and Physiology of Kelp Laminaria japonica Gametophytes Screened by High Temperature. Fish. Sci. 2016, 35, 32–36. [Google Scholar]
- Li, K.; Wang, Y.; Yao, M.; Xiao, W. Advances in abscisic acid biosynthesis. Chin. J. Biotechnol. 2023, 39, 2190–2203. [Google Scholar]
- Su, C.; Jin, Y.; Wu, X.; Fan, B.; Yang, F. Research status on the influence of high temperature stress on photosynthetic system of tomato and mitigating mechanism. J. Heilongjiang Bayi Agric. Univ. 2021, 33, 13–20. [Google Scholar]
- Nadeem, M.; Li, J.; Wang, M.; Shah, L.; Lu, S.; Wang, X.; Ma, C. Unraveling Field Crops Sensitivity to Heat Stress: Mechanisms, Approaches, and Future Prospects. Agronomy 2018, 8, 128. [Google Scholar] [CrossRef]
- Cai, J.; Wei, M.; Zhang, Y.; Wei, Y. Effects of shading on photosynthetic characteristics and chlorophyll fluorescence parameters in leaves of Hydrangea macrophylla. Chin. J. Plant Ecol. 2017, 41, 570–576. [Google Scholar]
- Shahsavandi, F.; Eshghi, S.; Gharaghani, A.; Ghasemi, F.R.; Jafarinia, M. Effects of bicarbonate induced iron chlorosis on photosynthesis apparatus in grapevine. Sci. Hortic. 2020, 270, 109427. [Google Scholar] [CrossRef]
- Wang, Y. Response Mechanism of Different Wheat Cultivars to High Temperature, Drought and Their Combined Stress. Master’s Thesis, Shandong Agricultural University, Tai’an, China, 2019. [Google Scholar]
- Mittal, S.; Kumari, N.; Sharma, V. Differential response of salt stress on Brassica juncea: Photosynthetic performance, pigment, proline, D1 and antioxidant enzymes. Plant Physiol. Biochem. 2012, 54, 17–26. [Google Scholar] [CrossRef]
- Saradhi, P.P.; Suzuki, I.; Katoh, A.; Sakamoto, A.; Sharmila, P.; Shi, D.J.; Murata, N. Protection against the photo-induced inactivation of the photosystem II complex by abscisic acid. Plant Cell Environ. 2000, 23, 711–718. [Google Scholar] [CrossRef]
- Sagervanshi, A.; Naeem, A.; Geilfus, C.M.; Hartmut, K.; Muhling, K.H. One-time abscisic acid priming induces long term salinity resistance in Vicia faba: Changes in key transcripts, metabolites, and ionic relations. Physiol. Plantarum. 2020, 172, 146–161. [Google Scholar] [CrossRef]
- Li, X.; Zhang, W.; Niu, D.; Liu, X. Effects of Abiotic Stress on Chlorophyll Metabolism. Plant Sci. 2024, 342, 112030. [Google Scholar] [CrossRef]
- Allakhverdiev, S.I.; Kreslavski, V.D.; Klimov, V.V.; Los, D.A.; Carpentier, R.; Mohanty, P. Heat stress: An overview of molecular responses in photosynthesis. Photosynth. Res. 2008, 98, 541–550. [Google Scholar] [CrossRef]
- Szymanska, R.; Slesak, I.; Orzechowska, A.; Kruk, J. Physiological and biochemical responses to high light and temperature stress in plants. Environ. Exp. Bot. 2017, 139, 165–177. [Google Scholar] [CrossRef]
- Efeoglu, B.; Terzioglu, S. Photosynthetic responses of two wheat varieties to high temperature. Eur. Asia J. Biosci. 2009, 3, 97–106. [Google Scholar] [CrossRef]
- Wang, Y. The Physiological and Biochemical Responses to Heat Stress and the Preliminary Study on Heat-Resistant Mechanisms in Laminaria japonica. Ph.D. Thesis, Ocean University of China, Qingdao, China,, 2003. [Google Scholar]
- Ling, J.; Liang, Z.; Wang, F.; Sun, X.; Wang, W.; Liu, F.; Yao, H. Effects of temperature stress on the growth, antioxidant system, and chlorophyll fluorescence of Laminaria digitata. Mar. Sci. 2015, 39, 39–45. [Google Scholar]
- Ulrich, E.; Bernhard, G.; Stefan, H. Recent advances in chlorophyll biosynthesis and breakdown in higher plants. Plant Mol. Biol. 2004, 56, 1–14. [Google Scholar]
- Tuan, P.A.; Kim, J.K.; Park, N.I.; Sook, Y.L.; Sang, U.P. Carotenoid content and expression of phytoene synthase and phytoene desaturase genes in bitter melon (Momordica charantia). Food Chem. 2011, 126, 1686–1692. [Google Scholar] [CrossRef] [PubMed]
- Fu, X.; Tang, J.; Yang, Z. Research Progress in Biosynthesis and Metabolism Regulation of Carotenoids in Tea Plants. Guangdong Agric. Sci. 2021, 48, 18–27. [Google Scholar]
- Wang, M.; Xue, S.; Wu, T.; Luo, S.; Xie, D.; Zhong, Y. Effects of Illumination and Temperature Regulation on Synthesis of Carotenogenesis in Tomato (Solanum lycopersicum L.). Fruit. Mol. Plant Breed. 2020, 18, 6158–6164. [Google Scholar]
- Yi, L.; Sun, Y.; Luo, D.; Liu, L.; Zhang, X.; Bai, T.; Gu, Y.; Wang, L.; Xu, W.; Zhao, J. Effect of High Temperature Stress on Carotenoids of Chinese Cabbage. Acta Agric. Jiangxi 2024, 36, 42–48. [Google Scholar]
- Waszczak, C.; Carmody, M.; Kangasjärvi, J. Reactive oxygen species in plant signaling. Annu. Rev. Plant Biol. 2018, 69, 209–236. [Google Scholar] [CrossRef]
- Yamane, K.; Nishikawa, M.; Hirooka, Y.; Narita, Y.; Kobayashi, T.; Kakiuchi, M.; Iwai, K.; Iijima, M. Temperature tolerance threshold and mechanism of oxidative damage in the leaf of Coffea arabica ‘Typica’ under heat stress. Plant Prod. Sci. 2022, 25, 337–349. [Google Scholar] [CrossRef]
- Dvorak, P.; Krasylenko, Y.; Zeiner, A.; Samaj, J.; Takac, T. Signaling toward reactive oxygen species-scavenging enzymes in plants. Front. Plant Sci. 2021, 11, 618835. [Google Scholar] [CrossRef] [PubMed]
- Noctor, G.; Mhamdi, A.; Foyer, C.H. The roles of reactive oxygen metabolism in drought: Not so cut and dried. J. Plant Physiol. 2014, 164, 1636–1648. [Google Scholar] [CrossRef] [PubMed]
- Yang, D.; Chen, Y.; Wang, R.; He, Y.; Ma, X.; Shen, J.; He, Z.; Lai, H. Effects of Exogenous Abscisic Acid on the Physiological and Biochemical Responses of Camellia oleifera Seedlings under Drought Stress. Plants 2024, 13, 225. [Google Scholar] [CrossRef]
- Jiang, Z.; Zhu, H.; Zhu, H.; Tao, Y.; Liu, C.; Liu, J.; Yang, F.; Li, M. Exogenous ABA enhances the antioxidant defense system of maize by regulating the AsA-GSH cycle under drought stress. Sustainability 2022, 14, 3071. [Google Scholar] [CrossRef]
- Diaz, V.P.; Simone, A.; Kiddle, G.; Christine, H. Foyer Glutathione–linking cell proliferation to oxidative stress. Free Radic. Bio. Med. 2015, 89, 1154–1164. [Google Scholar] [CrossRef]
- Anjum, N.A.; Sofo, A.; Scopa, A.; Roychoudhury, A.; Gill, S.S.; Iqbal, M.; Lukatkin, A.S.; Pereira, E.; Duarte, A.C.; Ahmad, I. Lipids and proteins—Major targets of oxidative modifications in abiotic stressed plants. Environ. Sci. Pollut. Res. 2015, 22, 4099–4121. [Google Scholar] [CrossRef]
- Ayala, A.; Munoz, M.F.; Arguelles, S. Lipid peroxidation: Production, metabolism, and signaling mechanisms of malondialdehyde and 4-hydroxy-2-nonenal. Oxid. Med. Cell. Longev. 2014, 2014, 360438. [Google Scholar] [CrossRef]
- Krishna, P. Plant responses to heat stress. Top. Curr. Genet. 2003, 4, 73–101. [Google Scholar]
- Tong, H.N.; Xiao, Y.H.; Liu, D.P.; Gao, S.P.; Liu, L.C.; Yin, Y.H.; Jin, Y.; Qian, Q.; Chu, C.C. Brassinosteroid regulates cell elongation by modulating gibberellin metabolism in rice. Plant Cell 2014, 26, 4376–4393. [Google Scholar] [CrossRef]
- Sharma, A.; Shahzad, B.; Kumar, V.; Kohli, S.K.; Sidhu, G.P.S.; Bali, A.S.; Handa, N.; Kapoor, D.; Bhardwaj, R.; Zheng, B. Phytohormones regulate accumulation of osmolytes under abiotic stress. Biomolecules 2019, 9, 285. [Google Scholar] [CrossRef] [PubMed]
- Huang, H.; Han, Y.; Hao, J.; Qin, X.; Liu, C.; Fan, S. Exogenous spermidine modulates osmoregulatory substances and leaf stomata to alleviate the damage to lettuce seedlings caused by high temperature stress. J. Plant Growth Regul. 2023, 42, 1236–1255. [Google Scholar] [CrossRef]
- Rascio, A.; Altamura, G.; Pecorella, I.; Goglia, L.; Sorrentino, G. Physiological mechanisms preventing plant wilting under heat stress: A case study on a wheat (Triticum durum desf.) bound water-mutant. Environ. Exp. Bot. 2023, 215, 105502. [Google Scholar] [CrossRef]
- Zhou, L.; Xu, H.; Mischke, S.; Meinhardt, L.; Zhang, D.; Zhu, X.; Li, X.; Fang, W. Exogenous abscisic acid significantly affects proteome in tea plant (Camellia sinensis) exposed to drought stress. Hortic. Res. 2014, 1, 14029. [Google Scholar] [CrossRef]
- Li, T.; Ma, B.; Zou, X.; Zhu, J.; Bao, S. Physiological Mechanism of Response to Temperature Stress in Seaweed Caulerpa lentillifera. Chin. J. Fish. 2022, 35, 67–73. [Google Scholar]
- Hou, H.; He, W.; Li, H.; Dong, S. Effects of high temperature stress on growth and physiology of conchocelis of Porphyra yezoensis. J. Liaoning Norm. Univ. (Nat. Sci. Ed.) 2008, 31, 487–490. [Google Scholar]
- Xu, P.; Zhang, X.; Su, H.; Liu, X.; Wang, Y.; Hong, G. Genome-wide analysis of PYL-PP2C-SnRK2s family in Camellia sinensis. Bioengineered 2020, 11, 103–115. [Google Scholar] [CrossRef]
- Boursiac, Y.; Leran, S.; Corratge-Faillie, C.; Gojon, A.; Krouk, G.; Lacombe, B. ABA transport and transporters. Trends Plant Sci. 2013, 18, 325–333. [Google Scholar] [CrossRef]
- Kuromorim, T.; Shinozaki, K. ABA transport factors found in Arabidopsis ABC transporters. Plant Signal. Behav. 2010, 5, 1124–1126. [Google Scholar] [CrossRef]
- Ying, W.; Liao, L.; Wei, H.; Gao, Y.; Liu, X.; Sun, L. Structural basis for abscisic acid efflux mediated by ABCG25 in Arabidopsis thaliana. Nat. Plants 2023, 9, 1697–1708. [Google Scholar] [CrossRef]
- Zhang, H.; Zhu, H.; Pan, Y.; Yu, Y.; Luan, S.; Li, L. A DTX/MATE type transporter facilitates abscisic acid efflux and modulates ABA sensitivity and drought tolerance in Arabidopsis. Mol. Plant 2014, 7, 1522–1532. [Google Scholar] [CrossRef] [PubMed]
- Shimizu, T.; Kanno, Y.; Watanabe, S.; Seo, M. Arabidopsis NPF5.1 regulates ABA homeostasis and seed germination by mediating ABA uptake into the seed coat. Plant Signal. Behav. 2022, 17, 2095488. [Google Scholar] [CrossRef] [PubMed]
- Finkelstein, R. Abscisic Acid Synthesis and Response. In The Arabidopsis Book; The American Society of Plant Biologists: Rockville, MD, USA, 2013; Volume 11, p. e0166. [Google Scholar]
- Yang, J.; Gu, W.; Feng, Z.; Yu, B.; Niu, J.; Wang, G. Synthesis of Abscisic Acid in Neopyropia yezoensis and Its Regulation of Antioxidase Genes Expressions Under Hypersaline Stress. Front. Microbiol. 2022, 12, 775710. [Google Scholar] [CrossRef] [PubMed]
- Tan, B.C.; Joseph, L.M.; Deng, W.T.; Liu, L.; Li, Q.B.; Cline, K.; McCarty, D.R. Molecular characterization of the Arabidopsis 9-cis epoxycarotenoid dioxygenase gene family. Plant J. 2003, 35, 44–56. [Google Scholar] [CrossRef]
- Seo, M.; Peeters, A.; Koiwai, H.; Oritani, T.; Marion, P.A.; Zeevaart, J.; Koornneef, M.; Kamiya, Y.; Koshiba, T. The Arabidopsis aldehyde oxidase 3 (AAO3) gene product catalyzes the final step in abscisic acid biosynthesis in leaves. Proc. Natl. Acad. Sci. USA 2000, 97, 12908–12913. [Google Scholar] [CrossRef]
- Wang, X.; Liu, J.; Wang, M.; Liu, L.; Liu, X.; Zhao, C. FERONIA controls ABA-mediated seed germination via the regulation of CARK1 kinase activity. Cell Rep. 2024, 43, 114843. [Google Scholar] [CrossRef]
- Chen, K.; Li, G.J.; Bressan, R.A.; Song, C.P.; Zhu, J.K.; Zhao, Y. Abscisic acid dynamics, signaling, and functions in plants. J. Integr. Plant Biol. 2020, 62, 25–54. [Google Scholar] [CrossRef]
- Lin, Z.; Li, Y.; Wang, Y.; Liu, X.; Ma, L.; Zhang, Z.; Mu, C.; Zhang, Y.; Peng, L.; Xie, S.; et al. Initiation and amplification of SnRK2 activation in abscisic acid signaling. Nat. Commun. 2021, 12, 2456. [Google Scholar] [CrossRef]







| Gene | Forward Primer (5′-3′) | Reverse Primer (5′-3′) |
|---|---|---|
| SjEF1α | GTGATGGAGGAGAACCC | TTGATGACACCCACAGC |
| SjSOD (Cu) | GACTTGTCGGAGGGTTTGGT | CGTCGATGTTCCCCAAGTCT |
| SjSOD (Fe) | CCATCGAGAAGGAGTACGGC | CCTCCTTGATGGGGTTGGAC |
| SjPOD | TCGGAGATGAGGGGATCGTT | GCTGTTGTCGAACTTGAGCC |
| SjCAT | CAACCCCTTCGATGTCACCA | TCCAGGAACCATGTTGGACG |
| SjMDA | ACACACACACGGGAACCTAC | CCATTATTACCGCCTCCGCT |
| SjGSH | CCTCTTTCGGGTGCATGAGT | CCGTGAGGGTCGGATTATCG |
| SjAPX | CCAAGGTGTACAGACGGGAC | GCAGAACAAATGCTGCGGAA |
| SjAAO3 | CAACATGTACAAGGAGGGCG | CTTGGTCGGAATGACCGAAAG |
| SjNCED | GGCGAATGCGTGTTCATACC | GCTTCGCGTTCATGGTCTTC |
Disclaimer/Publisher’s Note: The statements, opinions and data contained in all publications are solely those of the individual author(s) and contributor(s) and not of MDPI and/or the editor(s). MDPI and/or the editor(s) disclaim responsibility for any injury to people or property resulting from any ideas, methods, instructions or products referred to in the content. |
© 2024 by the authors. Licensee MDPI, Basel, Switzerland. This article is an open access article distributed under the terms and conditions of the Creative Commons Attribution (CC BY) license (https://creativecommons.org/licenses/by/4.0/).
Share and Cite
Cui, J.; Dai, Y.; Lai, Y.; Tan, Y.; Liu, T. Effects of Abscisic Acid on the Physiological and Biochemical Responses of Saccharina japonica Under High-Temperature Stress. Int. J. Mol. Sci. 2024, 25, 11581. https://doi.org/10.3390/ijms252111581
Cui J, Dai Y, Lai Y, Tan Y, Liu T. Effects of Abscisic Acid on the Physiological and Biochemical Responses of Saccharina japonica Under High-Temperature Stress. International Journal of Molecular Sciences. 2024; 25(21):11581. https://doi.org/10.3390/ijms252111581
Chicago/Turabian StyleCui, Jiexin, Yinru Dai, Yichang Lai, Yenzhen Tan, and Tao Liu. 2024. "Effects of Abscisic Acid on the Physiological and Biochemical Responses of Saccharina japonica Under High-Temperature Stress" International Journal of Molecular Sciences 25, no. 21: 11581. https://doi.org/10.3390/ijms252111581
APA StyleCui, J., Dai, Y., Lai, Y., Tan, Y., & Liu, T. (2024). Effects of Abscisic Acid on the Physiological and Biochemical Responses of Saccharina japonica Under High-Temperature Stress. International Journal of Molecular Sciences, 25(21), 11581. https://doi.org/10.3390/ijms252111581

