Integrated Analysis of Metabolites and Microorganisms Reveals the Anthracnose Resistance Benefits from Cyanidin Mediated by Proteobacteria in Tea Plants
Abstract
1. Introduction
2. Results
2.1. Analysis of Anthracnose Resistance of Tea Plant Leaves
2.2. Screening and Characterization of Major Anthocyanin Fractions Responding to Anthracnose Resistance in Tea Plants
2.3. Interleaf Microbial Community Diversity of Healthy and Diseased Tea Plant Leaves
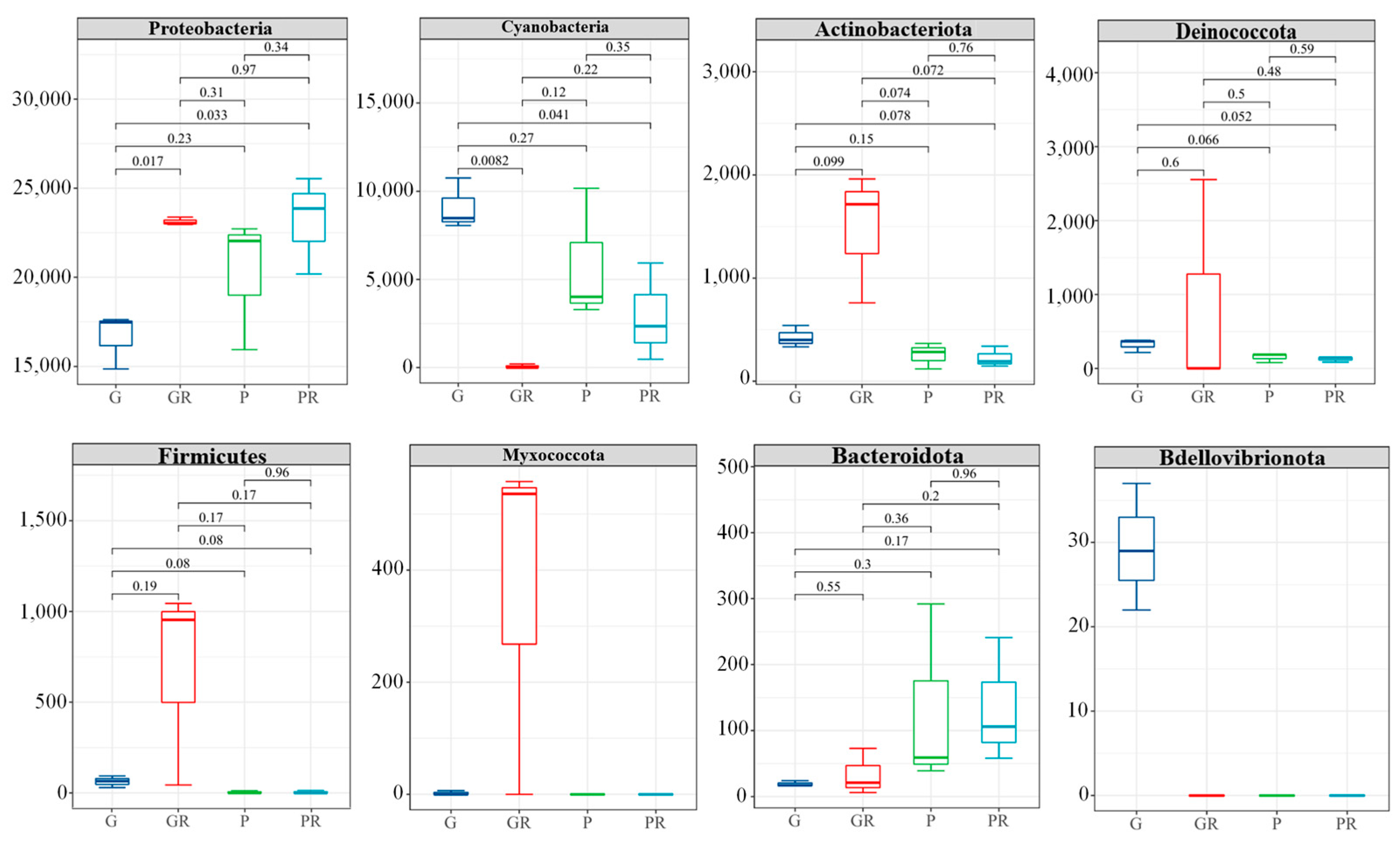
Interleaf Microbial Community Structure and Composition of Healthy and Diseased Leaves
2.4. Response of the Co-Occurrence Network to Leaf Infestation at Two Anthocyanin Content Levels
3. Discussion
4. Materials and Methods
4.1. Pathogen Identify and Inoculation of Colletotrichum gloeosporioides
4.2. Determination of Anthocyanins and Metabolites in Tea Leaf by Ultra-Performance Liquid Chromatography (UPLC) Coupled to Mass Spectrometry
4.3. Endosphere Microecology with 16S Microbial Diversity Sequencing of Endophytic Mycobiota
5. Conclusions
Author Contributions
Funding
Institutional Review Board Statement
Informed Consent Statement
Data Availability Statement
Conflicts of Interest
References
- Tang, S.; Fu, H.R.; Pan, W.K.; Zhou, J.J.; Xu, M.; Han, K.F.; Chen, K.J.; Ma, Q.X.; Wu, L.H. Improving tea (Camellia sinensis) quality, economic income, and environmental benefits by optimizing agronomic nitrogen efficiency: A synergistic strategy. Eur. J. Agron. 2023, 142, 126673. [Google Scholar] [CrossRef]
- Zhang, W.E.; Zhao, M.Y.; Chen, Y.C.; Xu, Y.L.; Ma, Y.Q.; Fan, S.S. Low-Carbon Ecological Tea: The Key to Transforming the Tea Industry towards Sustainability. Agriculture 2024, 14, 722. [Google Scholar] [CrossRef]
- Reygaert, W.C. An update on the health benefits of green tea. Beverages 2017, 3, 6. [Google Scholar] [CrossRef]
- Musial, C.; Kuban-Jankowska, A.; Gorska-Ponikowska, M. Beneficial properties of green tea catechins. Int. J. Mol. Sci. 2020, 21, 1744. [Google Scholar] [CrossRef]
- Yan, Z.M.; Zhong, Y.Z.; Duan, Y.H.; Chen, Q.H.; Li, F.N. Antioxidant mechanism of tea polyphenols and its impact on health benefits. Anim. Nutr. 2020, 6, 115–123. [Google Scholar] [CrossRef] [PubMed]
- Luo, Q.X.; Luo, L.B.; Zhao, J.M.; Wang, Y.T.; Luo, H. Biological Potential and Mechanisms of Tea’s Bioactive Compounds in Tea: An Updated Review. J. Adv. Res. 2024, 65, 345–363. [Google Scholar] [CrossRef]
- Peng, Y.F.; Qiu, B.W.; Tang, Z.H.; Xu, W.M.; Yang, P.; Wu, W.B.; Chen, X.H.; Zhu, X.L.; Zhu, P.; Zhang, X.; et al. Where is tea grown in the world: A robust mapping framework for agroforestry crop with knowledge graph and sentinels images. Remote Sens. Environ. 2024, 303, 114016. [Google Scholar] [CrossRef]
- Zhang, T.; Liu, X.D.; Wang, J.Q. Impacts of climate change and farmers’ adaptive behavior on soybean sowing area. Seed Sci. Technol. 2024, 42, 116–118. [Google Scholar]
- Wang, Y.C.; Hao, X.Y.; Wang, L.; Xiao, B.; Wang, X.C.; Yang, Y.J. Diverse Colletotrichum species cause anthracnose of tea plants (Camellia sinensis (L.) O. Kuntze) in China. Sci. Rep. 2016, 6, 35287. [Google Scholar] [CrossRef]
- Chen, X.G.; Jiang, L.Y.; Bao, A.H.; Liu, C.L.; Liu, J.A.; Zhou, G.Y. Molecular characterization, pathogenicity and biological characterization of Colletotrichum species associated with anthracnose of Camellia yuhsienensis Hu in China. Forests 2021, 12, 1712. [Google Scholar] [CrossRef]
- Jeyaraj, A.; Elango, T.; Chen, X.; Zhuang, J.; Wang, Y.H.; Li, X.H. Advances in understanding the mechanism of resistance to anthracnose and induced defence response in tea plants. Mol. Plant Pathol. 2023, 24, 1330–1346. [Google Scholar] [CrossRef] [PubMed]
- Yin, Y.N.; Miao, J.Q.; Shao, W.Y.; Liu, X.L.; Zhao, Y.F.; Ma, Z.H. Fungicide resistance: Progress in understanding mechanism, monitoring, and management. Phytopathology 2023, 113, 707–718. [Google Scholar] [CrossRef]
- Zeng, L.T.; Zhou, X.C.; Liao, Y.Y.; Yang, Z.Y. Roles of specialized metabolites in biological function and environmental adaptability of tea plant (Camellia sinensis) as a metabolite studying model. J. Adv. Res. 2021, 34, 159–171. [Google Scholar] [CrossRef]
- Jin, J.Y.; Chen, Y.L.; Cai, J.; Lv, L.T.; Zeng, X.F.; Li, J.R.; Asghar, S.; Li, Y. Establishment of an efficient regeneration system of “ZiKui”tea with hypocotyl as explants. Sci. Rep. 2024, 14, 11603. [Google Scholar] [CrossRef] [PubMed]
- Shiade, S.R.G.; Zand-Silakhoor, A.; Fathi, A.; Rahimi, R.; Minkina, T.; Rajput, V.; Zulfiqar, U.; Chaudhary, T. Plant metabolites and signaling pathways in response to biotic and abiotic stresses: Exploring bio stimulant applications. Plant Stress 2024, 12, 100454. [Google Scholar] [CrossRef]
- Perry, E.K.; Meirelles, L.A.; Newman, D.K. From the soil to the clinic: The impact of microbial secondary metabolites on antibiotic tolerance and resistance. Nat. Rev. Microbiol. 2022, 20, 129–142. [Google Scholar] [CrossRef]
- Yuan, G.J.; Guan, Y.Y.; Yi, H.Q.; Lai, S.; Sun, Y.F.; Cao, S. Antibacterial activity and mechanism of plant flavonoids to gram-positive bacteria predicted from their lipophilicities. Sci. Rep. 2021, 11, 10471. [Google Scholar] [CrossRef] [PubMed]
- Trivedi, P.; Leach, J.E.; Tringe, S.G.; Sa, T.; Singh, B.K. Plant–microbiome interactions: From community assembly to plant health. Nat. Rev. Microbiol. 2020, 18, 607–621. [Google Scholar] [CrossRef]
- Wang, W.B.; Portal-Gonzalez, N.; Wang, X.; Li, J.L.; Li, H.; Portieles, R.; Borras-Hidalgo, O.; He, W.X.; Santos-Bermudez, R. Insights into the microbial assembly and metabolites associated with ginger (Zingiber officinale L. Roscoe) microbial niches and agricultural environments. Sci. Total Environ. 2024, 947, 174395. [Google Scholar] [CrossRef]
- Lv, J.Y.; Yang, S.Y.; Zhou, W.; Liu, Z.W.; Tan, J.F.; Wei, M. Microbial regulation of plant secondary metabolites: Impact, mechanisms and prospects. Microbiol. Res. 2024, 283, 127688. [Google Scholar] [CrossRef]
- Cui, Z.L.; Ye, X.F.; Zhang, Y.; Xu, C.S.; Li, Z.K. Inter-root microbiome assembly and plant health. J. Microbiol. 2022, 42, 1–9. [Google Scholar]
- Li, P.D.; Zhu, Z.R.; Zhang, Y.Z.; Xu, J.P.; Wang, H.K.; Wang, Z.Y.; Li, H.Y. The phyllosphere microbiome shifts toward combating melanose pathogen. Microbiome 2022, 10, 56. [Google Scholar] [CrossRef] [PubMed]
- Zhu, Y.G.; Xiong, C.; Wei, Z.; Chen, Q.L.; Ma, B.; Zhou, S.Y.D.; Tan, J.Q.; Zhang, L.M.; Cui, H.L.; Duan, G.L. Impacts of global change on the phyllosphere microbiome. New Phytol. 2022, 234, 1977–1986. [Google Scholar] [CrossRef] [PubMed]
- Shomali, A.; Das, S.; Arif, N.; Sarraf, M.; Zahra, N.; Yadav, V.; Aliniaeifard, S.; Chauhan, D.K.; Hasanuzzaman, M. Diverse physiological roles of flavonoids in plant environmental stress responses and tolerance. Plants 2022, 11, 3158. [Google Scholar] [CrossRef]
- Zhao, Y.; Yang, X.Y.; Zhao, X.D.; Zhong, Y. Research Progress on Regulation of Plant Flavonoids Biosynthesis. Sci. Technol. Food Ind. 2021, 42, 454–463. [Google Scholar]
- Wang, L.X.; Chen, M.X.; Lam, P.Y.; Dini-Andreote, F.; Dai, L.; Wei, Z. Multifaceted roles of flavonoids mediating plant-microbe interactions. Microbiome 2022, 10, 233. [Google Scholar] [CrossRef]
- Zhang, Z.; Wang, X.R.; Qian, H.; Zhang, L.; Yan, P. Effects of anthracnose on photosynthetic characteristics of tea plant leaves. Zhejiang J. Agric. 2020, 32, 2020–2026. [Google Scholar]
- Jakubiec-Krzesniak, K.; Rajnisz-Mateusiak, A.; Guspiel, A.; Ziemska, J.; Solecka, J. Secondary metabolites of actinomycetes and their antibacterial, antifungal and antiviral properties. Pol. J. Microbiol. 2018, 67, 259–272. [Google Scholar] [CrossRef]
- Guo, Y.B.; Li, X.T.; Ren, J.; Xu, Q.L.; Zhang, S.S. Sulfur-Oxidizing Bordetella Bovis Y139 and Its Application. CN Patent 202310743225, 10 October 2023. [Google Scholar]
- Zhang, Q.F.; Ruan, J.Y.; Mumm, R.; Ric, C.H.D.V.; Liu, M.Y. Dynamic changes in the antioxidative defense system in the tea plant reveal the photoprotection-mediated temporal accumulation of flavonoids under full sunlight exposure. Plant Cell Physiol. 2022, 63, 1695–1708. [Google Scholar] [CrossRef]
- Yang, C.; Zhang, S.Y.; Wei, L.; Wu, Q.F.; Feng, M.L.; Li, R.; Zhou, L.X.; Yang, Q.C.; Fu, X.P. Differences in fruit development and post-harvest fatty acid synthesis and transcription metabolism of thin-shelled oil palm. Mol. Plant Breed. 2024, 45, 234–246. [Google Scholar]
- Ren, F.; Dong, W.; Yan, D.H. Organs, Cultivars, Soil, and Fruit Properties Affect Structure of Endophytic Mycobiota of Pinggu Peach Trees. Microorganisms 2019, 7, 322. [Google Scholar] [CrossRef] [PubMed]
- Du, X.; Xie, A.G.; Fang, X.Y.; Jiang, R.X.; Xiong, H.; Dou, S.H.; Wang, D.M.; Xiao, Y.K. Effects of different ages, slope directions and rhizosphere soil microorganisms on the accumulation of ginsenosides in Panax ginseng. China Food Addit. 2024, 35, 88–97. [Google Scholar]
- Zhang, X.Y.; Lian, C.; Song, W.S.; Guo, T.; Du, X.Y.; Xu, J.Y.; Zhang, X.G.; Sun, Z.J.; Liao, X.J. Quality analysis of key nodes in natural drying of pepper in Xinjiang. Food Ind. Sci. Tech. 2023, 44, 90–101. [Google Scholar]
- Yang, F.J.; Wang, W.Q.; Wu, Z.W.; Xu, H.D.; Ge, M.Q.; Lin, S.Y.; Li, X.D.; Zhang, Y.X. Effects of soil nutrients and their stoichiometric ratios on bacterial community structure in typical tea gardens in Fujian. J. Soil. Water Conserv. 2023, 37, 209–218. [Google Scholar]








| Diseased Area (Pixels) | Total Area (Pixels) | Diseased Area Ratio (Diseased Area/Total Area)% | |
|---|---|---|---|
| Green leaf | 16,376 | 525,364 | 3.12 |
| Purple leaf | 570 | 413,994 | 0.14 |
Disclaimer/Publisher’s Note: The statements, opinions and data contained in all publications are solely those of the individual author(s) and contributor(s) and not of MDPI and/or the editor(s). MDPI and/or the editor(s) disclaim responsibility for any injury to people or property resulting from any ideas, methods, instructions or products referred to in the content. |
© 2024 by the authors. Licensee MDPI, Basel, Switzerland. This article is an open access article distributed under the terms and conditions of the Creative Commons Attribution (CC BY) license (https://creativecommons.org/licenses/by/4.0/).
Share and Cite
You, D.; Liu, M.; Ruan, J.; Wang, Z.; Zhang, Q. Integrated Analysis of Metabolites and Microorganisms Reveals the Anthracnose Resistance Benefits from Cyanidin Mediated by Proteobacteria in Tea Plants. Int. J. Mol. Sci. 2024, 25, 11483. https://doi.org/10.3390/ijms252111483
You D, Liu M, Ruan J, Wang Z, Zhang Q. Integrated Analysis of Metabolites and Microorganisms Reveals the Anthracnose Resistance Benefits from Cyanidin Mediated by Proteobacteria in Tea Plants. International Journal of Molecular Sciences. 2024; 25(21):11483. https://doi.org/10.3390/ijms252111483
Chicago/Turabian StyleYou, Dandan, Meiya Liu, Jianyun Ruan, Zhenhong Wang, and Qunfeng Zhang. 2024. "Integrated Analysis of Metabolites and Microorganisms Reveals the Anthracnose Resistance Benefits from Cyanidin Mediated by Proteobacteria in Tea Plants" International Journal of Molecular Sciences 25, no. 21: 11483. https://doi.org/10.3390/ijms252111483
APA StyleYou, D., Liu, M., Ruan, J., Wang, Z., & Zhang, Q. (2024). Integrated Analysis of Metabolites and Microorganisms Reveals the Anthracnose Resistance Benefits from Cyanidin Mediated by Proteobacteria in Tea Plants. International Journal of Molecular Sciences, 25(21), 11483. https://doi.org/10.3390/ijms252111483

