Mycelium-Doped Straw Biochars for Antibiotic Control
Abstract
1. Introduction
2. Results and Discussion
2.1. Preparation of Mycelium-Doped Straw Biochars
2.2. Characterization
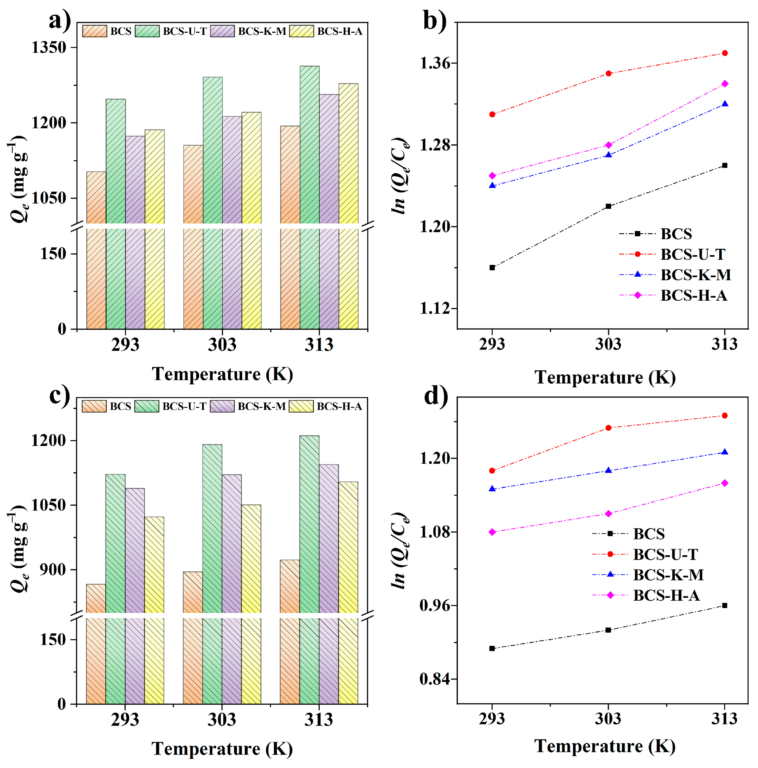
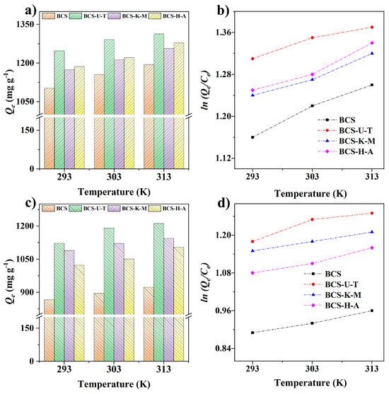
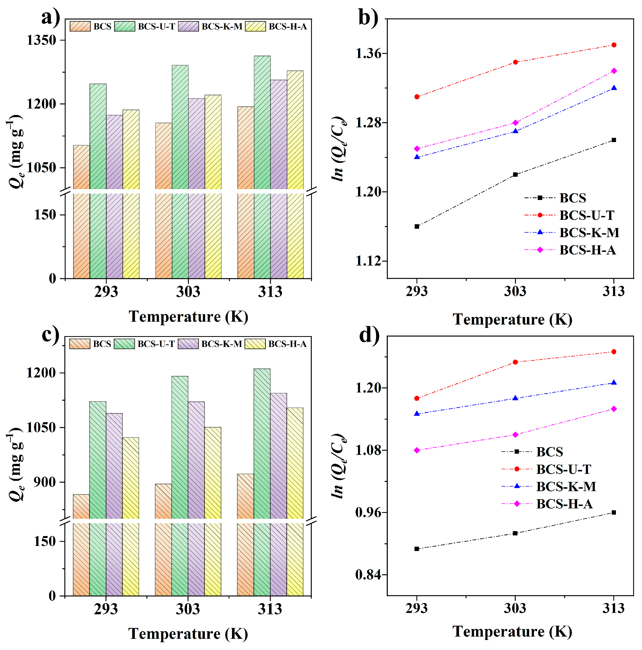
2.3. Adsorption Experiments in Single System
2.4. Adsorption Experiments in Binary System
2.5. Reusability Results
2.6. Possible Mechanisms in Adsorption Processes
3. Materials and Methods
3.1. Materials and Reagents
3.2. Preparation Methods
4. Conclusions
Supplementary Materials
Author Contributions
Funding
Institutional Review Board Statement
Informed Consent Statement
Data Availability Statement
Conflicts of Interest
References
- Díaz, L.; Fuentes, R.; R-Díaz, J.; Rodríguez, K.E.; Gonzalez, L.A. Enhancing sustainable energy production in the Canary Islands: Valorization of local biomass resources through thermochemical processes. Biomass Bioenergy 2024, 188, 107327. [Google Scholar] [CrossRef]
- Yu, X.; Li, J.; Sun, Y.; Xie, Y.; Su, Y.; Tang, S.; Bian, S.; Liu, L.; Huo, F.; Huang, Q.; et al. Co-immobilized multi-enzyme biocatalytic system on reversible and solublecarrier for saccharification of corn straw cellulose. Bioresour. Technol. 2024, 395, 130325. [Google Scholar] [CrossRef] [PubMed]
- Yu, X.; Li, X.; Jin, T.; Su, Y.; Li, J.; Gao, M.; Zheng, L.; Tan, S.; Chen, G. Integrated biorefinery process for production of sophorolipids from corn straw. Biochem. Eng. J. 2020, 167, 107908. [Google Scholar] [CrossRef]
- Shao, L.; Chen, H.; Li, Y.; Li, J.; Chen, G.; Wang, G. Pretreatment of corn stover via sodium hydroxide-urea solutions to improve the glucose yield. Bioresour. Technol. 2020, 307, 123191. [Google Scholar] [CrossRef] [PubMed]
- Kong, Z.; Zhang, H.; Zhou, T.; Xie, L.; Wang, B.; Jiang, X. Biomass-derived functional materials: Preparation, functionalization, and applications in adsorption and catalytic separation of carbon dioxide and other atmospheric pollutants. Sep. Purif. Technol. 2025, 354, 129099. [Google Scholar] [CrossRef]
- Liu, M.; Li, Z.; Qi, X.; Chen, Z.; Ni, H.; Gao, Y.; Liu, X. Improvement of cow manure anaerobic digestion performance by three different crop straw biochars. Environ. Technol. Innov. 2023, 31, 103233. [Google Scholar] [CrossRef]
- Wang, J.; Ma, D.; Lou, Y.; Ma, J.; Xing, D. Optimization of biogas production from straw wastes by differentpretreatments: Progress, challenges, and prospects. Sci. Total. Environ. 2023, 905, 133992. [Google Scholar] [CrossRef]
- Khan, M.F.S.; Akbar, M.; Xu, Z.; Wang, H. A review on the role of pretreatment technologies in the hydrolysis oflignocellulosic biomass of corn stover. Biomass Bioenergy 2021, 155, 106276. [Google Scholar] [CrossRef]
- Yang, P.; Yu, F.; Yang, Z.; Zhang, X.; Ma, J. Graphene oxide modified κ-carrageenan/sodium alginate double-network hydrogel for effective adsorption of antibiotics in a batch and fixed-bed column system. Sci. Total. Environ. 2022, 837, 155662. [Google Scholar] [CrossRef]
- Jin, Y.; Zhang, B.; Chen, G.; Chen, H.; Tang, S. Combining biological and chemical methods to disassemble of cellulose from corn straw for the preparation of porous carbons with enhanced adsorption performance. Int. J. Biol. Macromol. 2022, 209, 315–329. [Google Scholar] [CrossRef]
- Chen, S.; Xia, Y.; Zhang, B.; Chen, H.; Chen, G.; Tang, S. Disassembly of lignocellulose into cellulose, hemicellulose, and lignin for preparation of porous carbon materials with enhanced performances. J. Hazard. Mater. 2021, 408, 124956. [Google Scholar] [CrossRef] [PubMed]
- Kyrii, S.; Maletskyi, Z.; Klymenko, N.; Ratnaweera, H.; Mitchenko, T.; Dontsova, T.; Kosogina, I. Impact of modification by red mud components on the sorption properties of activated carbon. Appl. Surf. Sci. Adv. 2023, 16, 100412. [Google Scholar] [CrossRef]
- Li, H.; Yuan, Z.; Ding, S.; Yuan, J. 2023. Adsorption of lead ions by magnetic carbon: Comparison of magnetic carbon properties and modification methods. J. Environ. Chem. Eng. 2023, 11, 110136. [Google Scholar] [CrossRef]
- Ghorbani, S.; Habibi, D.; Heydari, S.; Ebrahimiasl, H. The acid modified magnetic carbon quantum dots as a capable nano-catalyst for the synthesis of pyridines and pyrazoles. Inorg. Chem. Commun. 2023, 156, 111258. [Google Scholar] [CrossRef]
- Okeudo-Cogan, M.C.; Yang, S.; Murray, B.S.; Ettelaie, R.; Connell, S.D.; Radford, S.; Micklethwaite, S.; Benitez-Alfonso, Y.; Yeshvekar, R.; Sarkar, A. Multivalent cations modulating microstructure and interactions of potato protein and fungal hyphae in a functional meat analogue. Food Hydrocoll. 2024, 149, 109569. [Google Scholar] [CrossRef]
- Xia, Y.; Jin, Y.; Qi, J.; Chen, H.; Chen, G.; Tang, S. Preparation of biomass carbon material based on Fomes fomentarius via alkali activation and its application for the removal of brilliant green in wastewater. Environ. Technol. Innov. 2021, 23, 101659. [Google Scholar] [CrossRef]
- Ruan, C.; Ramoneda, J.; Gogia, G.; Wang, G.; Johnson, D.R. Fungal hyphae regulate bacterial diversity and plasmid-mediated functional novelty during range expansion. Curr. Biol. 2022, 32, 5285–5294. [Google Scholar] [CrossRef]
- Liang, H.; Ding, W.; Zhang, H.; Peng, P.; Peng, F.; Geng, Z.; She, D.; Li, Y. A novel lignin-based hierarchical porous carbon for efficient and selective removal of Cr(VI) from wastewater. Int. J. Biol. Macromol. 2022, 204, 310–320. [Google Scholar] [CrossRef]
- Dou, M.; Qiao, Y.; Hu, X.; Miao, H.; Zhou, L.; Li, X.; Hou, X.; Wang, Y.; Tang, M. Gradient porous biochar materials with high specific surface area as supports for Pd/C catalysts for efficient maleic acid hydrogenation. Mol. Catal. 2023, 545, 113218. [Google Scholar] [CrossRef]
- Dou, S.; Ke, X.; Shao, Z.; Zhong, L.; Zhao, Q.; Zheng, Y. Fish scale-based biochar with defined pore size and ultrahigh specific surface area for highly efficient adsorption of ciprofloxacin. Chemosphere 2022, 287, 131962. [Google Scholar] [CrossRef]
- Su, Y.; Yu, X.; Sun, Y.; Wang, G.; Chen, H.; Chen, G. An efficient strategy for enhancing enzymatic saccharification with delignified fungus Myrothecium verrucaria and solid acid. Ind. Crop. Prod. 2018, 121, 396–404. [Google Scholar] [CrossRef]
- Chen, X.; Yu, G.; Chen, Y.; Tang, S.; Su, Y. Cow dung-based biochar materials prepared via Mixed base and its application in the removal of organic pollutants. Int. J. Mol. Sci. 2022, 23, 10094. [Google Scholar] [CrossRef] [PubMed]
- Yang, X.; Lotfy, V.F.; Basta, A.H.; Liu, H.; Fu, S. Carbon quantum dots derived from rice straw doped with N and S and its nanocomposites with hydroxypropyl cellulose nanocomposite. Int. J. Biol. Macromol. 2024, 278, 134925. [Google Scholar] [CrossRef] [PubMed]
- Shen, Y.; Zhang, N. A facile synthesis of nitrogen-doped porous carbons from lignocellulose and protein wastes for VOCs sorption. Environ. Res. 2022, 189, 109956. [Google Scholar] [CrossRef]
- Fang, W.; Cui, L.; Zhang, Y.; Shen, H.; Xu, J.; Ren, M.; Cao, F. Investigation on a novel preparation process of B-COPNA resin from catalytic cracking diesel. Fuel 2022, 320, 123916. [Google Scholar] [CrossRef]
- John, B.; Krishnan, D.; Sumayya, S.; George, A.; Mahadevan, H.; Krishnan, K.A. Lignocellulosic magnetic biochar with multiple functionality; A green chelating system for water purification. J. Environ. Chem. Eng. 2023, 11, 110947. [Google Scholar] [CrossRef]
- Yin, K.; Wang, J.; Tian, X.; Yu, N.; Zhang, X.; Zhao, Y.; Liu, Y.; Sui, S.; Wang FLian, C.; Zhai, S.; et al. Effect of biochar-derived dissolved organic matter on tetracycline sorption by KMnO4-modified biochar. Chem. Eng. J. 2023, 474, 145872. [Google Scholar] [CrossRef]
- Hu, Q.; Zhu, Y.; Hu, B.; Lu, S.; Sheng, G. Mechanistic insights into sequestration of U(VI) toward magnetic biochar: Batch, XPS and EXAFS techniques. J. Environ. Sci. 2018, 70, 217–225. [Google Scholar] [CrossRef]
- Akkoz, Y.; Coskun, R. Cellulose-supported bioadsorbent from natural hemp fiber for removal of anionic dyes from aqueous solution. Int. J. Biol. Macromol. 2023, 252, 126447. [Google Scholar] [CrossRef]
- McCafferty, E. Relationship between the isoelectric point (pHpzc) and the potential of zero charge (Epzc) for passive metals. Electrochimica Acta 2010, 55, 1630–1637. [Google Scholar] [CrossRef]
- He, Y.; Zhao, Z.; Wang, T.; An, L.; Zhang, L. Carbon-based materials as efficient adsorbents for the removal of antibiotics: The real contributions of carbon edge sites. Chemosphere 2023, 344, 140341. [Google Scholar] [CrossRef] [PubMed]
- Mironyuk, I.; Vasylyeva, H.; Mykytyn, I.; Savka, K.; Gomonai, A.; Zavilopulo, A.; Vasyliev, O. Adsorption of yttrium by the sodium-modified titanium dioxide: Kinetic, equilibrium studies and investigation of Na-TiO2 radiation resistance. Inorg. Chem. Commun. 2023, 156, 111289. [Google Scholar] [CrossRef]
- Ali, J.; Sellaoui, L.; Yanan, C.; Shaoya, M.; Mendoza-Castillo, D.I.; Bonilla-Petricioletf, A.; Badawi, M. Novel application of (NH4)2Mo3S13 for vanadium adsorption: Experiments, characterization, kinetic and equilibrium modeling. Sep. Purif. Technol. 2024, 329, 125210. [Google Scholar] [CrossRef]
- Adedeji, O.M.; Jahan, K. Removal of pollutants from aqueous product of Co-hydrothermal liquefaction: Adsorption and isotherm studies. Chemosphere 2023, 321, 138165. [Google Scholar] [CrossRef]
- Míguez-Gonzalez, A.; Cela-Dablanca, R.; Barreiro, A.; Rodríguez-Lopez, L.; Rodríguez-Seijo, A.; Arias-Estevez, M.; Núnez-Delgado, A.; Fernandez-Sanjurjo, M.J.; Castillo-Ramos, V.; Alvarez-Rodríguez, E. Adsorption of antibiotics on bio-adsorbents derived from the forestry and agro-food industries. Environ. Res. 2023, 233, 116360. [Google Scholar] [CrossRef]
- Yeo, J.Y.J.; Khaerudini, D.S.; Soetaredjo, F.E.; Waworuntu, G.L.; Ismadji, S.; Sunarso, J.; Liu, S. Isotherm data for adsorption of amoxicillin, ampicillin, and doripenem onto bentonite. Data Brief 2023, 48, 109159. [Google Scholar] [CrossRef]
- Guo, F.; Wang, H.; Qiu, G.; Guo, S.; Li, H.; Li, Y.; Guo, Y.; Zhang, Y.; Wu, J. Development of CO2 adsorption materials from recycling spent tire char via orthogonal design: Optimal solution and thermodynamic evaluation. Colloid. Surface. A. 2023, 673, 131749. [Google Scholar] [CrossRef]
- Yang, Y.; Luo, X.; Zhang, J.; Ma, X.; Sun, P.; Zhao, L. Sewage sludge-coconut fiber co-pyrolysis biochar: Mechanisms underlying synergistic heavy metal stabilization and ciprofloxacin adsorption. J. Clean. Prod. 2022, 375, 134149. [Google Scholar] [CrossRef]
- Soto-Ramírez, R.; Tavernini, L.; Lobos, M.; Poirrier, P.; Chamy, R. Thermodynamic and kinetic insights into the adsorption mechanism of Cd(II) using Chlorella vulgaris cells with coverage modified by culture media engineering. Algal Res. 2023, 74, 103179. [Google Scholar] [CrossRef]
- Qu, W.; Wang, H.; Li, G.; Song, Z.; Liu, X.; Zhang, F.; Liu, W.; Yu, D.; Ji, D. Efficient Removal of Pb(II), Cr(VI), and Tetracycline Hydrochloride from Aqueous Solutions Using UiO-66-AMP@PAN: Thermodynamics, Kinetics, and Isothermal Adsorption. J. Environ. Chem. Eng. 2023, 11, 110598. [Google Scholar] [CrossRef]
- Nie, Y.; Zhao, C.; Zhou, Z.; Kong, Y.; Ma, J. Hydrochloric acid-modified fungi-microalgae biochar for adsorption of tetracycline hydrochloride: Performance and mechanism. Bioresour. Technol. 2023, 383, 129224. [Google Scholar] [CrossRef] [PubMed]
- Zhang, Z.; Chen, Y.; Wang, P.; Wang, Z.; Zuo, C.; Chen, W.; Ao, T. Facile fabrication of N-doped hierarchical porous carbons derived from soft-templated ZIF-8 for enhanced adsorptive removal of tetracycline hydrochloride from water. J. Hazard. Mater. 2022, 423, 127103. [Google Scholar] [CrossRef] [PubMed]
- Gao, M.; Xu, D.; Gao, Y.; Chen, G.; Zhai, R.; Huang, X.; Xu, X.; Wang, J.; Yang, X.; Liu, G. Mussel-inspired triple bionic adsorbent: Facile preparation of layered double hydroxide@polydopamine@metal-polyphenol networks and their selective adsorption of dyes in single and binary systems. J. Hazard. Mater. 2021, 420, 126609. [Google Scholar] [CrossRef] [PubMed]
- You, X.; Zhou, R.; Zhu, Y.; Bu, D.; Cheng, D. Adsorption of dyes methyl violet and malachite green from aqueous solution on multi-step modified rice husk powder in single and binary systems: Characterization, adsorption behavior and physical interpretations. J. Hazard. Mater. 2022, 430, 128445. [Google Scholar] [CrossRef] [PubMed]
- Zhou, B.; Sang, Q.; Wang, Y.; Huang, H.; Wang, F.; Yang, R.; Zhao, Y.; Xiao, Z.; Zhang, C.; Li, H. Comprehensive understanding of tetracycline hydrochloride adsorption mechanism onto biochar-based gel pellets based on the combination of characteriza-tion-based and approximate site energy distribution methods. J. Clean. Prod. 2023, 416, 137909. [Google Scholar] [CrossRef]
- Xu, J.; Zhang, Y.; Li, B.; Fan, S.; Xu, H.; Guan, D.-X. Improved adsorption properties of tetracycline on KOH/KMnO4 modified biochar derived from wheat straw. Chemosphere 2022, 296, 133981. [Google Scholar] [CrossRef]
- Nguyen, T.; Nguyen, T.; Chen, W.; Chen, C.; Bui, X.; Patel, A.K.; Dong, C. Hydrothermal and pyrolytic conversion of sun-flower seed husk into novel porous biochar for efficient adsorption of tetracycline. Bioresour. Technol. 2023, 373, 128711. [Google Scholar] [CrossRef]
- Liu, D.; Gu, W.; Zhou, L.; Lei, J.; Wang, L.; Zhang, J.; Liu, Y. From biochar to functions: Lignin induced formation of Fe3C in carbon/Fe composites for efficient adsorption of tetracycline from wastewater. Sep. Purif. Technol. 2022, 304, 122217. [Google Scholar] [CrossRef]
- Chen, Y.; Liu, J.; Zeng, Q.; Liang, Z.; Ye, X.; Lv, Y.; Liu, M. Preparation of Eucommia ulmoides lignin-based high-performance biochar containing sulfonic group: Synergistic pyrolysis mechanism and tetracycline hydrochloride adsorption. Bioresour. Technol. 2021, 329, 124856. [Google Scholar] [CrossRef]
- Kozyatnyk, I.; Oesterle, P.; Wurzer, C.; Masek, O.; Jansson, S. Removal of contaminants of emerging concern from multi-component systems using carbon dioxide activated biochar from lignocellulosic feedstocks. Bioresour. Technol. 2021, 340, 125561. [Google Scholar] [CrossRef]
- Khelifa, M.; Mellouk, S.; Lecomte-Nana, G.L.; Batonneau-Gener, I.; Marouf-Khelifa, K.; Khelifa, A. Methodological approach to the chloramphenicol adsorption by acid-leached halloysites: Preparation, characterization, performance and mechanism. Microporous Mesoporous Mater. 2022, 348, 112412. [Google Scholar] [CrossRef]
- Ahmed, M.B.; Zhou, J.L.; Ngo, H.H.; Guo, W.; Johir, A.H.; Sornalingam, K.; Rahman, M.S. Chloramphenicol interaction with functionalized biochar in water: Sorptive mechanism, molecular imprinting effect and repeatable application. Sci. Total Environ. 2017, 609, 885–895. [Google Scholar] [CrossRef] [PubMed]
- Yang, J.; Ji, G.; Gao, Y.; Fu, W.; Irfan, M.; Mu, L.; Zhang, Y.; Li, A. High-yield and high-performance porous biochar produced from pyrolysis of peanut shell with low-dose ammonium polyphosphate for chloramphenicol adsorption. J. Clean. Prod. 2020, 264, 121516. [Google Scholar] [CrossRef]
- Wang, G.; Yong, X.; Luo, L.; Yan, S.; Wong, J.W.; Zhou, J. Structure-performance correlation of high surface area and hierarchical porous biochars as chloramphenicol adsorbents. Sep. Purif. Technol. 2022, 296, 121374. [Google Scholar] [CrossRef]









Disclaimer/Publisher’s Note: The statements, opinions and data contained in all publications are solely those of the individual author(s) and contributor(s) and not of MDPI and/or the editor(s). MDPI and/or the editor(s) disclaim responsibility for any injury to people or property resulting from any ideas, methods, instructions or products referred to in the content. |
© 2024 by the authors. Licensee MDPI, Basel, Switzerland. This article is an open access article distributed under the terms and conditions of the Creative Commons Attribution (CC BY) license (https://creativecommons.org/licenses/by/4.0/).
Share and Cite
Zhang, B.; Li, R.; Zhang, H.; Han, Y.; Jia, Y.; Chen, S.; Yu, X. Mycelium-Doped Straw Biochars for Antibiotic Control. Int. J. Mol. Sci. 2024, 25, 11387. https://doi.org/10.3390/ijms252111387
Zhang B, Li R, Zhang H, Han Y, Jia Y, Chen S, Yu X. Mycelium-Doped Straw Biochars for Antibiotic Control. International Journal of Molecular Sciences. 2024; 25(21):11387. https://doi.org/10.3390/ijms252111387
Chicago/Turabian StyleZhang, Bolun, Ruqi Li, Huiji Zhang, Ye Han, Yunzhe Jia, Siji Chen, and Xiaoxiao Yu. 2024. "Mycelium-Doped Straw Biochars for Antibiotic Control" International Journal of Molecular Sciences 25, no. 21: 11387. https://doi.org/10.3390/ijms252111387
APA StyleZhang, B., Li, R., Zhang, H., Han, Y., Jia, Y., Chen, S., & Yu, X. (2024). Mycelium-Doped Straw Biochars for Antibiotic Control. International Journal of Molecular Sciences, 25(21), 11387. https://doi.org/10.3390/ijms252111387
