Does Albumin Predict the Risk of Mortality in Patients with Cardiogenic Shock?
Abstract
1. Introduction
2. Results
2.1. Study Population
2.2. Correlations with Characteristics and Laboratory Data
2.3. Prognostic Impact of Albumin Levels
2.4. Prognostic Impact of Albumin Decrease during Course of ICU Treatment
2.5. Prognostic Impact of Albumin Supplementation
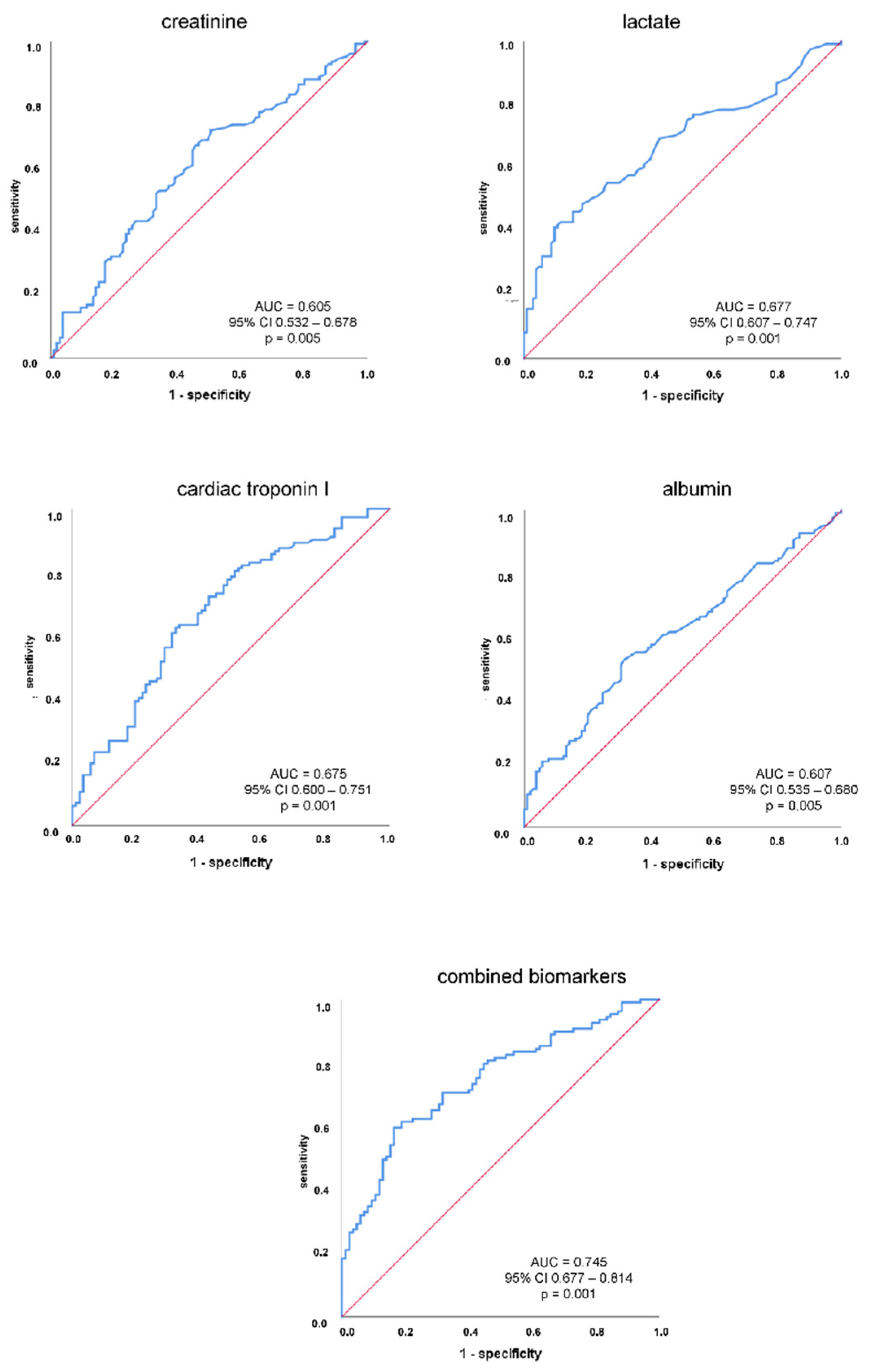
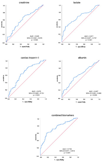
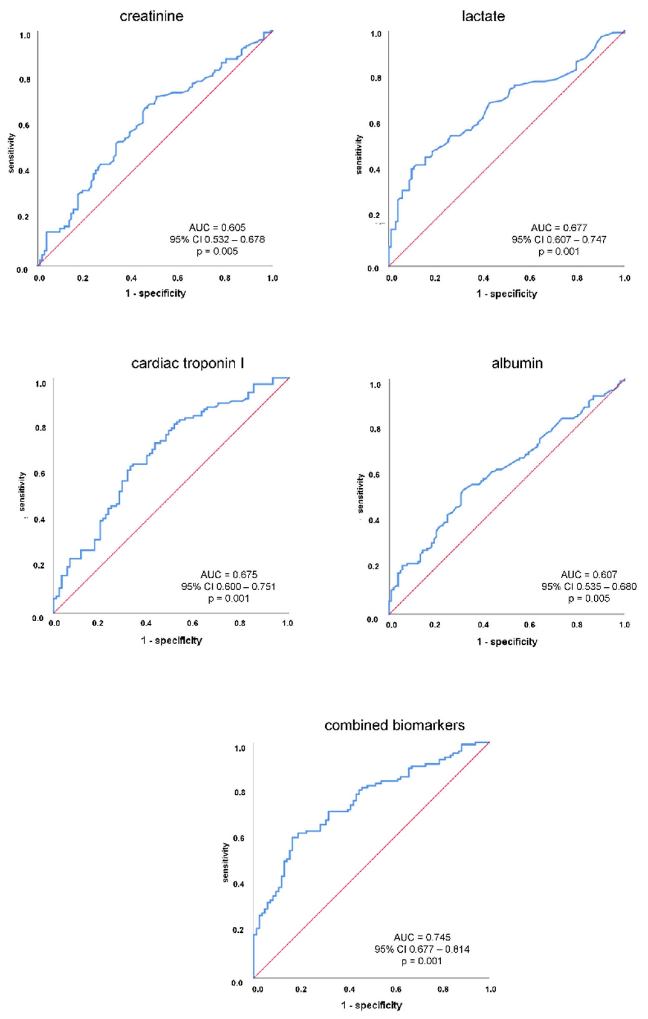
2.6. Combined Use of Biomarkers for Risk Prediction in CS Patients
3. Discussion
4. Materials and Methods
4.1. Study Patients, Design, and Data Collection
4.2. Inclusion and Exclusion Criteria, Study Endpoints
4.3. Measurement of Albumin Levels
4.4. Statistical Methods
Author Contributions
Funding
Institutional Review Board Statement
Informed Consent Statement
Data Availability Statement
Conflicts of Interest
References
- Aissaoui, N.; Puymirat, E.; Juilliere, Y.; Jourdain, P.; Blanchard, D.; Schiele, F.; Guéret, P.; Popovic, B.; Ferrieres, J.; Simon, T.; et al. Fifteen-year trends in the management of cardiogenic shock and associated 1-year mortality in elderly patients with acute myocardial infarction: The FAST-MI programme. Eur. J. Heart Fail. 2016, 18, 1144–1152. [Google Scholar] [CrossRef] [PubMed]
- Bruoha, S.; Yosefy, C.; Taha, L.; Dvir, D.; Shuvy, M.; Jubeh, R.; Carasso, S.; Glikson, M.; Asher, E. Mechanical Circulatory Support Devices for the Treatment of Cardiogenic Shock Complicating Acute Myocardial Infarction—A Review. J. Clin. Med. 2022, 11, 5241. [Google Scholar] [CrossRef] [PubMed]
- Bloom, J.E.; Nehme, Z.; Andrew, E.; Dawson, L.P.; Fernando, H.; Noaman, S.; Stephenson, M.; Anderson, D.; Pellegrino, V.; Cox, S.; et al. Hospital Characteristics Are Associated with Clinical Outcomes in Patients with Cardiogenic Shock. Shock 2022, 58, 204–210. [Google Scholar] [CrossRef] [PubMed]
- Burrell, A.J.; Pellegrino, V.A.; Wolfe, R.; Wong, W.K.; Cooper, D.J.; Kaye, D.M.; Pilcher, D.V. Long-term survival of adults with cardiogenic shock after venoarterial extracorporeal membrane oxygenation. J. Crit. Care 2015, 30, 949–956. [Google Scholar] [CrossRef] [PubMed]
- Holger, T.; de Suzanne, W.-T.; Anne, F.; Uwe, Z.; Steffen, D.; Sean, F. Management of cardiogenic shock. EuroIntervention 2021, 17, 451–465. [Google Scholar]
- Schrage, B.; Becher, P.M.; Bernhardt, A.; Bezerra, H.; Blankenberg, S.; Brunner, S.; Colson, P.; Cudemus Deseda, G.; Dabboura, S.; Eckner, D.; et al. Left Ventricular Unloading Is Associated with Lower Mortality in Patients with Cardiogenic Shock Treated with Venoarterial Extracorporeal Membrane Oxygenation: Results From an International, Multicenter Cohort Study. Circulation 2020, 142, 2095–2106. [Google Scholar] [CrossRef]
- Okadome, Y.; Morinaga, J.; Fukami, H.; Hori, K.; Ito, T.; Sato, M.; Miyata, K.; Kuwabara, T.; Mukoyama, M.; Suzuki, R.; et al. Hyperglycemia and Thrombocytopenia—Combinatorially Increase the Risk of Mortality in Patients with Acute Myocardial Infarction Undergoing Veno-Arterial Extracorporeal Membrane Oxygenation. Circ. Rep. 2021, 3, 707–715. [Google Scholar] [CrossRef]
- Muzafarova, T.; Motovska, Z. Laboratory Predictors of Prognosis in Cardiogenic Shock Complicating Acute Myocardial Infarction. Biomedicines 2022, 10, 1238. [Google Scholar] [CrossRef]
- Padkins, M.; Breen, T.; Anavekar, N.; Barsness, G.; Kashani, K.; Jentzer, J.C. Association between Albumin Level and Mortality among Cardiac Intensive Care Unit Patients. J. Intensive Care Med. 2021, 36, 1475–1482. [Google Scholar] [CrossRef]
- Plakht, Y.; Gilutz, H.; Shiyovich, A. Decreased admission serum albumin level is an independent predictor of long-term mortality in hospital survivors of acute myocardial infarction. Soroka Acute Myocardial Infarction II (SAMI-II) project. Int. J. Cardiol. 2016, 219, 20–24. [Google Scholar] [CrossRef]
- Don, B.R.; Kaysen, G. Serum albumin: Relationship to inflammation and nutrition. Semin. Dial. 2004, 17, 432–437. [Google Scholar] [CrossRef]
- Samsky, M.D.; Patel, C.B.; DeWald, T.A.; Smith, A.D.; Felker, G.M.; Rogers, J.G.; Hernandez, A.F. Cardiohepatic interactions in heart failure: An overview and clinical implications. J. Am. Coll. Cardiol. 2013, 61, 2397–2405. [Google Scholar] [CrossRef]
- Zhu, L.; Chen, M.; Lin, X. Serum albumin level for prediction of all-cause mortality in acute coronary syndrome patients: A meta-analysis. Biosci. Rep. 2020, 40, 881. [Google Scholar] [CrossRef]
- Jin, X.; Xiong, S.; Ju, S.Y.; Zeng, Y.; Yan, L.L.; Yao, Y. Serum 25-Hydroxyvitamin D, Albumin, and Mortality among Chinese Older Adults: A Population-based Longitudinal Study. J. Clin. Endocrinol. Metab. 2020, 105, 2762–2770. [Google Scholar] [CrossRef]
- Sun, J.; Su, H.; Lou, Y.; Wang, M. Association between Serum Albumin Level and All-Cause Mortality in Patients with Chronic Kidney Disease: A Retrospective Cohort Study. Am. J. Med. Sci. 2021, 361, 451–460. [Google Scholar] [CrossRef]
- Uthamalingam, S.; Kandala, J.; Daley, M.; Patvardhan, E.; Capodilupo, R.; Moore, S.A.; Januzzi, J.L., Jr. Serum albumin and mortality in acutely decompensated heart failure. Am. Heart J. 2010, 160, 1149–1155. [Google Scholar] [CrossRef]
- Famakin, B.; Weiss, P.; Hertzberg, V.; McClellan, W.; Presley, R.; Krompf, K.; Karp, H.; Frankel, M.R. Hypoalbuminemia predicts acute stroke mortality: Paul Coverdell Georgia Stroke Registry. J. Stroke Cerebrovasc. Dis. 2010, 19, 17–22. [Google Scholar] [CrossRef]
- Yoshioka, G.; Natsuaki, M.; Goriki, Y.; Shinzato, K.; Nishihira, K.; Kuriyama, N.; Shimomura, M.; Inoue, Y.; Nishikido, T.; Hongo, H.; et al. Serum Albumin and Bleeding Events After Percutaneous Coronary Intervention in Patients with Acute Myocardial Infarction (from the HAGAKURE-ACS Registry). Am. J. Cardiol. 2022, 165, 19–26. [Google Scholar] [CrossRef]
- González-Pacheco, H.; Amezcua-Guerra, L.M.; Sandoval, J.; Martínez-Sánchez, C.; Ortiz-León, X.A.; Peña-Cabral, M.A.; Bojalil, R. Prognostic Implications of Serum Albumin Levels in Patients with Acute Coronary Syndromes. Am. J. Cardiol. 2017, 119, 951–958. [Google Scholar] [CrossRef]
- Iborra-Egea, O.; Montero, S.; Bayes-Genis, A. An outlook on biomarkers in cardiogenic shock. Curr. Opin. Crit. Care 2020, 26, 392–397. [Google Scholar] [CrossRef]
- Tolppanen, H.; Rivas-Lasarte, M.; Lassus, J.; Sadoune, M.; Gayat, E.; Pulkki, K.; Arrigo, M.; Krastinova, E.; Sionis, A.; Parissis, J.; et al. Combined Measurement of Soluble ST2 and Amino-Terminal Pro-B-Type Natriuretic Peptide Provides Early Assessment of Severity in Cardiogenic Shock Complicating Acute Coronary Syndrome. Crit. Care Med. 2017, 45, e666–e673. [Google Scholar] [CrossRef] [PubMed]
- Polat, N.; Oylumlu, M.; Işik, M.A.; Arslan, B.; Özbek, M.; Demir, M.; Kaya, H.; Toprak, N. Prognostic Significance of Serum Albumin in Patients with Acute Coronary Syndrome. Angiology 2020, 71, 903–908. [Google Scholar] [CrossRef] [PubMed]
- Islam, M.S.; Islam, M.N.; Kundu, S.K.; Islam, M.Z.; Bhuiyan, A.S.; Haque, M.M.; Malek, M.S.; Paul, P.K.; Shaha, B.; Thakur, A.K.; et al. Serum Albumin Level and In-Hospital Outcome of Patients with First Attack Acute Myocardial Infarction. Mymensingh. Med. J. 2019, 28, 744–751. [Google Scholar] [PubMed]
- Bicciré, F.G.; Pastori, D.; Tanzilli, A.; Pignatelli, P.; Viceconte, N.; Barillà, F.; Versaci, F.; Gaudio, C.; Violi, F.; Tanzilli, G. Low serum albumin levels and in-hospital outcomes in patients with ST segment elevation myocardial infarction. Nutr. Metab. Cardiovasc. Dis. 2021, 31, 2904–2911. [Google Scholar] [CrossRef]
- Yoshioka, G.; Tanaka, A.; Nishihira, K.; Shibata, Y.; Node, K. Prognostic Impact of Serum Albumin for Developing Heart Failure Remotely after Acute Myocardial Infarction. Nutrients 2020, 12, 2637. [Google Scholar] [CrossRef]
- Araújo, J.P.; Lourenço, P.; Rocha-Gonçalves, F.; Ferreira, A.; Bettencourt, P. Nutritional markers and prognosis in cardiac cachexia. Int. J. Cardiol. 2011, 146, 359–363. [Google Scholar] [CrossRef]
- Arnau-Barrés, I.; Güerri-Fernández, R.; Luque, S.; Sorli, L.; Vázquez, O.; Miralles, R. Serum albumin is a strong predictor of sepsis outcome in elderly patients. Eur. J. Clin. Microbiol. Infect. Dis. 2019, 38, 743–746. [Google Scholar] [CrossRef]
- Li, S.; Shen, Y.; Chang, B.; Wang, N. Prognostic Value of Albumin-to-Fibrinogen Ratio for 28-Day Mortality among Patients with Sepsis from Various Infection Sites. Mediat. Inflamm. 2022, 2022, 3578528. [Google Scholar] [CrossRef]
- Takegawa, R.; Kabata, D.; Shimizu, K.; Hisano, S.; Ogura, H.; Shintani, A.; Shimazu, T. Serum albumin as a risk factor for death in patients with prolonged sepsis: An observational study. J. Crit. Care 2019, 51, 139–144. [Google Scholar] [CrossRef]
- Roche, M.; Rondeau, P.; Singh, N.R.; Tarnus, E.; Bourdon, E. The antioxidant properties of serum albumin. FEBS Lett. 2008, 582, 1783–1787. [Google Scholar] [CrossRef]
- Tatami, Y.; Ishii, H.; Aoki, T.; Harada, K.; Hirayama, K.; Shibata, Y.; Sumi, T.; Negishi, Y.; Kawashima, K.; Kunimura, A.; et al. Decreased Serum Albumin Predicts Bleeding Events in Patients on Antiplatelet Therapy After Percutaneous Coronary Intervention. Circ. J. 2017, 81, 999–1005. [Google Scholar] [CrossRef]
- Gabay, C.; Kushner, I. Acute-phase proteins and other systemic responses to inflammation. N. Engl. J. Med. 1999, 340, 448–454. [Google Scholar] [CrossRef]
- Szabó, G.T.; Ágoston, A.; Csató, G.; Rácz, I.; Bárány, T.; Uzonyi, G.; Szokol, M.; Sármán, B.; Jebelovszki, É.; Édes, I.F.; et al. Predictors of Hospital Mortality in Patients with Acute Coronary Syndrome Complicated by Cardiogenic Shock. Sensors 2021, 21, 969. [Google Scholar] [CrossRef]
- Ceglarek, U.; Schellong, P.; Rosolowski, M.; Scholz, M.; Willenberg, A.; Kratzsch, J.; Zeymer, U.; Fuernau, G.; de Waha-Thiele, S.; Büttner, P.; et al. The novel cystatin C, lactate, interleukin-6, and N-terminal pro-B-type natriuretic peptide (CLIP)-based mortality risk score in cardiogenic shock after acute myocardial infarction. Eur. Heart J. 2021, 42, 2344–2352. [Google Scholar] [CrossRef]
- Rusnak, J.; Schupp, T.; Weidner, K.; Ruka, M.; Egner-Walter, S.; Forner, J.; Bertsch, T.; Kittel, M.; Mashayekhi, K.; Tajti, P.; et al. Impact of Lactate on 30-Day All-Cause Mortality in Patients with and without Out-of-Hospital Cardiac Arrest Due to Cardiogenic Shock. J. Clin. Med. 2022, 11, 7295. [Google Scholar] [CrossRef]
- Jäntti, T.; Tarvasmäki, T.; Harjola, V.P.; Parissis, J.; Pulkki, K.; Javanainen, T.; Tolppanen, H.; Jurkko, R.; Hongisto, M.; Kataja, A.; et al. Hypoalbuminemia is a frequent marker of increased mortality in cardiogenic shock. PLoS ONE 2019, 14, e0217006. [Google Scholar] [CrossRef]
- Peng, Y.; Xue, Y.; Wang, J.; Xiang, H.; Ji, K.; Wang, J.; Lin, C. Association between neutrophil-to-albumin ratio and mortality in patients with cardiogenic shock: A retrospective cohort study. BMJ Open 2020, 10, e039860. [Google Scholar] [CrossRef]
- Zou, Z.Y.; Wang, B.; Peng, W.J.; Zhou, Z.P.; Huang, J.J.; Yang, Z.J.; Zhang, J.J.; Luan, Y.Y.; Cheng, B.; Wu, M. Early Combination of Albumin with Crystalloid Administration Might Reduce Mortality in Patients with Cardiogenic Shock: An over 10-Year Intensive Care Survey. Front. Cardiovasc. Med. 2022, 9, 879812. [Google Scholar] [CrossRef]
- Desch, S.; Freund, A.; Akin, I.; Behnes, M.; Preusch, M.R.; Zelniker, T.A.; Skurk, C.; Landmesser, U.; Graf, T.; Eitel, I.; et al. Angiography after Out-of-Hospital Cardiac Arrest without ST-Segment Elevation. N. Engl. J. Med. 2021, 385, 2544–2553. [Google Scholar] [CrossRef]
- Thiele, H.; Akin, I.; Sandri, M.; Fuernau, G.; de Waha, S.; Meyer-Saraei, R.; Nordbeck, P.; Geisler, T.; Landmesser, U.; Skurk, C.; et al. PCI Strategies in Patients with Acute Myocardial Infarction and Cardiogenic Shock. N. Engl. J. Med. 2017, 377, 2419–2432. [Google Scholar] [CrossRef]
- Thiele, H.; Akin, I.; Sandri, M.; de Waha-Thiele, S.; Meyer-Saraei, R.; Fuernau, G.; Eitel, I.; Nordbeck, P.; Geisler, T.; Landmesser, U.; et al. One-Year Outcomes after PCI Strategies in Cardiogenic Shock. N. Engl. J. Med. 2018, 379, 1699–1710. [Google Scholar] [CrossRef] [PubMed]
- Zeymer, U.; Bueno, H.; Granger, C.B.; Hochman, J.; Huber, K.; Lettino, M.; Price, S.; Schiele, F.; Tubaro, M.; Vranckx, P.; et al. Acute Cardiovascular Care Association position statement for the diagnosis and treatment of patients with acute myocardial infarction complicated by cardiogenic shock: A document of the Acute Cardiovascular Care Association of the European Society of Cardiology. Eur. Heart J. Acute Cardiovasc. Care 2020, 9, 183–197. [Google Scholar] [CrossRef] [PubMed]
- Abdi, H. The greenhouse-geisser correction. Encycl. Res. Des. 2010, 1, 544–548. [Google Scholar]






| All Patients (n = 230) | Survivor (n = 105) | Non-Survivor (n = 125) | p Value | ||||
|---|---|---|---|---|---|---|---|
| Age, median; (IQR) | 74 | (63–81) | 72 | (62–80) | 74 | (64–81) | 0.438 |
| Male sex, n (%) | 143 | (62.2) | 65 | (61.9) | 78 | (62.4) | 0.939 |
| Body mass index, kg/m2 (median (IQR)) | 26.60 | (24.20–30.00) | 26.30 | (24.20–29.40) | 26.75 | (24.55–30.50) | 0.223 |
| Vital signs on admission (median, (IQR)) | |||||||
| Body temperature (°C) | 36.0 | (35.0–36.6) | 36.2 | (35.3–36.6) | 35.7 | (34.5–36.4) | 0.004 |
| Heart rate (bpm) | 88 | (71–109) | 85 | (69–103) | 96 | (73–112) | 0.017 |
| Systolic blood pressure (mmHg) | 109 | (92–127) | 112 | (94–131) | (103 | (89–124) | 0.088 |
| Respiratory rate (breaths/min) | 20 | (17–24) | 19 | (16–22) | 20 | (18–25) | 0.100 |
| Cardiovascular risk factors, n (%) | |||||||
| Arterial hypertension | 166 | (72.2) | 79 | (75.2) | 87 | (69.6) | 0.342 |
| Diabetes mellitus | 95 | (41.5) | 40 | (38.5) | 55 | (44.0) | 0.397 |
| Hyperlipidemia | 124 | (53.9) | 59 | (56.2) | 65 | (52.0) | 0.525 |
| Smoking | 83 | (36.2) | 37 | (35.6) | 46 | (36.8) | 0.848 |
| Prior medical history, n (%) | |||||||
| Coronary artery disease | 87 | (37.8) | 39 | (37.1) | 48 | (38.4) | 0.583 |
| Congestive heart failure | 82 | (35.7) | 39 | (37.1) | 43 | (34.4) | 0.665 |
| Atrial fibrillation | 77 | (33.5) | 36 | (34.3) | 41 | (32.8) | 0.812 |
| Chronic kidney disease | 83 | (36.1) | 40 | (380.1) | 43 | (34.4) | 0.561 |
| Stroke | 31 | (13.5) | 18 | (17.1) | 13 | (10.4) | 0.136 |
| COPD | 42 | (18.3) | 15 | (14.3) | 27 | (21.6) | 0.153 |
| Liver cirrhosis | 8 | (3.5) | 5 | (4.8) | 3 | (2.4) | 0.330 |
| Medication on admission, n (%) | |||||||
| ACE-inhibitor | 79 | (37.3) | 38 | (36.9) | 41 | (37.6) | 0.914 |
| ARB | 36 | (16.9) | 18 | (17.3) | 18 | (16.5) | 0.877 |
| Beta-blocker | 114 | (53.8) | 57 | (55.3) | 57 | (52.3) | 0.657 |
| Amiodarone | 12 | (5.2) | 4 | (3.8) | 8 | (6.4) | 0.602 |
| ARNI | 8 | (3.8) | 5 | (4.9) | 3 | (2.7) | 0.415 |
| Aldosterone antagonist | 38 | (18.0) | 18 | (17.6) | 20 | (18.3) | 0.895 |
| Diuretics | 97 | (45.5) | 42 | (40.8) | 55 | (110) | 0.177 |
| ASA | 62 | (27.0) | 29 | (27.6) | 33 | (26.4) | 0.836 |
| P2Y12-inhibitor | 19 | (8.3) | 7 | (6.7) | 12 | (9.6) | 0.421 |
| Statin | 100 | (46.9) | 53 | (51.5) | 47 | (42.7) | 0.202 |
| Metformin | 26 | (11.3) | 14 | (13.3) | 12 | (9.6) | 0.408 |
| SGLT2-inhibitor | 8 | (3.5) | 3 | (2.9) | 5 | (4.0) | 0.638 |
| GLP-1-RA | 3 | (1.3) | 1 | (1.0) | 2 | (1.6) | 1.000 |
| DPP-4 inhibitors | 4 | (1.7) | 1 | (1.0) | 3 | (2.4) | 1.000 |
| All Patients (n = 230) | Survivor (n = 105) | Non-Survivor (n = 125) | p Value | ||||
|---|---|---|---|---|---|---|---|
| Cause of CS, n (%) | 0.002 | ||||||
| Acute myocardial infarction | 113 | (49.1) | 44 | (41.9) | 69 | (55.2) | |
| STEMI | 87 | (37.8) | 35 | (34.3) | 52 | (44.8) | |
| NSTEMI | 28 | (12.2) | 9 | (8.8) | 19 | (16.4) | |
| Arrhythmic | 28 | (12.2) | 21 | (20.0) | 7 | (5.6) | |
| ADHF | 58 | (25.2) | 24 | (22.9) | 34 | (27.2) | |
| Pulmonary embolism | 12 | (5.2) | 3 | (2.9) | 9 | (7.2) | |
| Valvular | 10 | (4.3) | 7 | (6.7) | 3 | (2.4) | |
| Aortic stenosis | 4 | (1.7) | 3 | (2.9) | 1 | (0.8) | |
| Sent to valvular surgery | 1 | (0.4) | 1 | (1.0) | 0 | (0) | |
| Mitral regurgitation | 5 | (2.2) | 3 | (2.9) | 2 | (1.6) | |
| Tricuspid regurgitation | 1 | (0.4) | 1 | (1.0) | 0 | (0) | |
| Cardiomyopathy | 6 | (2.6) | 3 | (2.9) | 3 | (2.4) | |
| Pericardial tamponade | 3 | (1.3) | 3 | (2.9) | 0 | (0.0) | |
| Onset of CS | |||||||
| CS on admission, n (%) | 173 | (75.2) | 79 | (75.2) | 94 | (75.2) | 1.000 |
| CS during hospital stay, n (%) | 57 | (24.8) | 26 | (24.8) | 31 | (24.8) | |
| Days until CS onset, median (IQR) | 2.0 | (0.0–7.0) | 3.5 | (1.0–7.3) | 1.0 | (0.0–7.0) | 0.190 |
| Classification of CS, n (%) | |||||||
| Class A | 0 | (0.0) | 0 | (0.0) | 0 | (0.0) | 0.001 |
| Class B | 6 | (2.6) | 6 | (5.7) | 0 | (0.0) | |
| Class C | 81 | (35.2) | 49 | (46.7) | 32 | (25.2) | |
| Class D | 16 | (7.0) | 7 | (6.7) | 9 | (7.2) | |
| Class E | 127 | (55.2) | 43 | (41.0) | 84 | (67.2) | |
| Transthoracic echocardiography | |||||||
| LVEF > 55%, (n, %) | 22 | (9.6) | 12 | (11.4) | 10 | (8.0) | |
| LVEF 54–41%, (n, %) | 29 | (12.6) | 19 | (18.1) | 10 | (8.0) | |
| LVEF 40–30%, (n, %) | 55 | (23.9) | 32 | (30.5) | 23 | (18.4) | 0.003 |
| LVEF < 30%, (n, %) | 109 | (47.4) | 37 | (35.2) | 72 | (57.6) | |
| LVEF not documented, (n, %) | 15 | (6.5) | 5 | (4.8) | 10 | (8.0) | |
| VCI, cm (median, (IQR)) | 1.9 | (1.5–2.2) | 1.8 | (1.5–2.2) | 2.0 | (1.6–2.2) | 0.264 |
| TAPSE, mm (median, (IQR)) | 15 | (12–19) | 17 | (12–20) | 15 | (12–17) | 0.159 |
| Coronary angiography at index, n (%) | 165 | (71.7) | 80 | (76.2) | 85 | (68.0) | 0.188 |
| No evidence of CAD | 20 | (12.1) | 15 | (18.8) | 5 | (5.9) | 0.056 |
| 1-vessel disease | 31 | (18.8) | 16 | (20.0) | 15 | (17.6) | |
| 2-vessel disease | 29 | (17.6) | 14 | (17.5) | 15 | (17.6) | |
| 3-vessel disease | 85 | (51.5) | 35 | (43.8) | 50 | (58.8) | |
| Affected coronary vessels | |||||||
| Left main trunc | 19 | (11.5) | 10 | (12.5) | 9 | (10.6) | 0.701 |
| Left anterior descending | 92 | (55.8) | 38 | (47.5) | 54 | (63.5) | 0.038 |
| Right coronary artery | 82 | (49.7) | 39 | (48.8) | 43 | (50.6) | 0.813 |
| Left circumflex | 80 | (48.5) | 30 | (37.5) | 50 | (58.8) | 0.006 |
| Presence of CABG | 16 | (9.7) | 8 | (10.0) | 8 | (9.4) | 0.898 |
| Chronic total occlusion | 40 | (24.2) | 13 | (16.3) | 27 | (31.8) | 0.020 |
| Successful PCI | 113 | (68.5) | 46 | (57.5) | 67 | (78.8) | 0.003 |
| Failed PCI | 3 | (1.8) | 1 | (1.3) | 2 | (2.4) | 1.000 |
| Number of stents, median (IQR) | 1.0 | (0.0–3.0) | 1.0 | (0.0–2.0) | 2.0 | (1.0–3.0) | 0.001 |
| Stent to CABG, n (%) | 7 | (3.0) | 5 | (4.7) | 2 | (1.6) | 0.810 |
| Cardiopulmonary resuscitation | |||||||
| OHCA, n (%) | 89 | (38.7) | 33 | (31.4) | 56 | (44.8) | 0.001 |
| IHCA, n (%) | 38 | (16.5) | 10 | (9.5) | 28 | (22.4) | |
| Shockable rhythm, n (%) | 160 | (70.2) | 73 | (70.2) | 87 | (70.2) | 0.996 |
| Non-shockable rhythm, n (%) | 68 | (29.8) | 31 | (29.8) | 37 | (29,8) | |
| ROSC, min (median, IQR) | 15 | (10–29) | 10 | (5–20) | 19 | (11–31) | 0.001 |
| Targeted temperature management, n (%) | 60 | (26.1) | 21 | (20.2) | 39 | (31.2) | 0.059 |
| Respiratory status | |||||||
| Mechanical ventilation, n (%) | 131 | (57.7) | 48 | (45.7) | 83 | (68.0) | 0.001 |
| Duration of mechanical ventilation, days, (mean, (IQR)) | 2 | (1–5) | 2 | (0–6) | 2 | (1–5) | 0.038 |
| PaO2/FiO2 ratio, (median, (IQR)) | 214 | (142–357) | 234 | (149–367) | 213 | (120–343) | 0.367 |
| PaO2, mmHg (median, (IQR)) | 103 | (79–166) | 103 | (79–163) | 106 | (78–171) | 0.850 |
| ICU-related treatment | |||||||
| Norepinephrine dose, µg/kg/min (median, (IQR)) | 0.1 | (0.0–0.3) | 0.1 | (0.0–0.1) | 0.2 | (0.1–0.6) | 0.001 |
| Mechanical circulatory support device, n (%) | 22 | (9.6) | 2 | (1.9) | 20 | (16.0) | 0.001 |
| Dobutamine, n (%) | 41 | (17.8) | 13 | (12.4) | 28 | (22.4) | 0.057 |
| Levosimendan, n (%) | 60 | (26.1) | 17 | (16.2) | 43 | (34.4) | 0.002 |
| Renal replacement therapy, n (%) | 67 | (29.1) | 15 | (14.3) | 52 | (41.6) | 0.001 |
| Fluid balance at 24 h, mL/d, median (IQR) | 953 | (40–2256) | 597 | (−243–1247) | 1562 | (343–3501) | 0.001 |
| Albumin supplementation, n (%) | 23 | (10.0) | 8 | (5.7) | 17 | (13.6) | 0.050 |
| Albumin supplementation dose during ICU stay, g, median (IQR) | 80 | (40–120) | 110 | (80–205) | 80 | (40–120) | 0.155 |
| Infection, n (%) | 120 | (52.2) | 57 | (54.3) | 63 | (50.4) | 0.557 |
| Pulmonary, n (%) | 93 | (40.4) | 42 | (40.0) | 51 | (41.6) | 0.806 |
| Urogenital, n (%) | 18 | (7.8) | 12 | (11.4) | 6 | (4.8) | 0.062 |
| Other, n (%) | 9 | (3.9) | 3 | (2.9) | 6 | (4.8) | 0.771 |
| Bleeding, n (%) | 23 | (10.0) | 12 | (12.4) | 10 | (8.0) | 0.270 |
| Baseline laboratory values, (median, (IQR)) | |||||||
| pH | 7.29 | (7.21–7.37) | 7.32 | (7.26–7.37) | 7.28 | (7.16–7.36) | 0.003 |
| Lactate (mmol/L) | 3.3 | (1.7–6.8) | 2.6 | (1.6–4.2) | 4.5 | (2.5–10.2) | 0.001 |
| Sodium (mmol/L) | 138 | (136–141) | 138 | (136–140) | 138 | (136–141) | 0.321 |
| Potassium (mmol/L) | 4.3 | (3.8–4.9) | 4.2 | (3.7–4.8) | 4.4 | (3.9–5.0) | 0.222 |
| Creatinine (mg/dL) | 1.48 | (1.13–2.17) | 1.32 | (1.07–1.83) | 1.60 | (1.23–2.39) | 0.006 |
| Hemoglobin (g/dL) | 12.3 | (10.3–14.0) | 12.2 | (10.1–14.2) | 12.3 | (10.5–13.8) | 0.638 |
| WBC (106/mL) | 15.09 | (10.66–19.20) | 13.10 | (9.70–17.66) | 16.12 | (12.34–19.96) | 0.001 |
| Platelets (106/mL) | 225 | (171–275) | 225 | (163–287) | 225 | (177–267) | 0.892 |
| INR | 1.17 | (1.08–1.39) | 1.13 | (1.05–1.33) | 1.20 | (1.10–1.47) | 0.003 |
| D-dimer (mg/L) | 10.23 | (2.58–32.00) | 6.40 | (2.09–16.55) | 18.21 | (3.64–32.00) | 0.008 |
| AST (U/L) | 129 | (47–408) | 96 | (36–191) | 189 | (64–545) | 0.002 |
| ALT (U/L) | 77 | (31–200) | 52 | (28–124) | 96 | (35–339) | 0.006 |
| Bilirubin (mg/dL) | 0.62 | (0.43–0.98) | 0.60 | (0.41–0.93) | 0.64 | (0.47–1.01) | 0.227 |
| Albumin (g/L) | 30.0 | (25.5–33.9) | 30.7 | (27.6–34.4) | 28.7 | (23.8–33.0) | 0.005 |
| Troponin I (µg/L) | 0.841 | (0.912–7.678) | 0.348 | (0.090–2.561) | 1.952 | (0.424–12.434) | 0.001 |
| NT-pro BNP (pg/mL) | 4063 | (681–13606) | 3621 | (466–11732) | 4122 | (1098–13629) | 0.287 |
| Procalcitonin (ng/mL) | 0.28 | (0.12–0.96) | 0.29 | (0.07–0.77) | 0.28 | (0,18–1.66) | 0.474 |
| CRP (mg/L) | 12 | (4–41) | 6 | (4–42) | 15 | (4–41) | 0.362 |
| Follow-up data, n (%) | |||||||
| ICU time, days (median, (IQR)) | 4 | (2–8) | 4 | (2–10) | 3 | (2–6) | 0.001 |
| R | p Value | |
|---|---|---|
| Age | −0.147 | 0.026 |
| BMI | −0.038 | 0.576 |
| Body temperature | 0.006 | 0.935 |
| WBC | −0.017 | 0.800 |
| Platelets | 0.101 | 0.127 |
| Bilirubin | −0.153 | 0.063 |
| Creatinine | −0.285 | 0.001 |
| CRP | −0.433 | 0.001 |
| PCT | −0.392 | 0.001 |
| cTNI | −0.061 | 0.392 |
| NT-pro BNP | −0.596 | 0.001 |
| LVEF | −0.103 | 0.120 |
| PaO2/FiO2 ratio | 0.127 | 0.074 |
| Mechanical ventilation days | 0.038 | 0.562 |
| Fluid balance | −0.201 | 0.003 |
| SOFA score | −0.409 | 0.001 |
| Acute Physiology score | −0.339 | 0.001 |
| APACHE II score | −0.413 | 0.001 |
| Intensive care days | 0.103 | 0.121 |
| Albumin | |
|---|---|
| Day 1 | 0.607 (0.535–0.680); p = 0.005 |
| Day 2 | 0.635 (0.554–0.716); p = 0.002 |
| Day 3 | 0.681 (0.594–0.768); p = 0.001 |
| Day 4 | 0.683 (0.587–0.779); p = 0.001 |
| Day 8 | 0.753 (0.638–0.868); p = 0.001 |
| Variables | Univariable | Multivariable | ||||
|---|---|---|---|---|---|---|
| HR | 95% CI | p Value | HR | 95% CI | p Value | |
| Age | 1.006 | 0.993–1.020 | 0.364 | 1.008 | 0.993–1.023 | 0.287 |
| Sex | 1.020 | 0.710–1.465 | 0.916 | 0.837 | 0.556–1.259 | 0.393 |
| BMI | 1.018 | 0.983–1.054 | 0.317 | 1.007 | 0.967–1.048 | 0.732 |
| Systolic BP | 0.993 | 0.987–1.000 | 0.044 | 0.996 | 0.989–1.003 | 0.237 |
| Respiratory rate | 1.025 | 0.995–1.055 | 0.105 | 1.030 | 1.000–1.061 | 0.052 |
| Hb | 0.979 | 0.913–1.049 | 0.545 | 0.991 | 0.912–1.078 | 0.837 |
| WBC count | 1.039 | 1.012–1.067 | 0.005 | 1.054 | 1.022-.087 | 0.001 |
| Platelet count | 0.999 | 0.998–1.001 | 0.586 | 0.999 | 0.996–1.001 | 0.283 |
| Levosimendan | 1.005 | 1.001–1.008 | 0.017 | 1.005 | 1.001–1.009 | 0.020 |
| Fluid balance | 2.087 | 1.265–3.441 | 0.004 | 1.831 | 1.093–3.066 | 0.021 |
| Albumin < 30.0 g/L | 1.517 | 1.063–2.164 | 0.021 | 1.875 | 1.109–3.170 | 0.019 |
| Variables | Univariable | Multivariable | ||||
|---|---|---|---|---|---|---|
| HR | 95% CI | p Value | HR | 95% CI | p Value | |
| Age | 1.006 | 0.993–1.020 | 0.364 | 1.003 | 0.985–1.023 | 0.720 |
| Sex | 1.020 | 0.710–1.465 | 0.916 | 0.693 | 0.396–1.215 | 0.201 |
| BMI | 1.018 | 0.983–1.054 | 0.317 | 0.973 | 0.919–1.030 | 0.339 |
| Systolic BP | 0.993 | 0.987–1.000 | 0.044 | 0.994 | 0.985–1.003 | 0.188 |
| Respiratory rate | 1.025 | 0.995–1.055 | 0.105 | 1.023 | 0.985–1.003 | 0.237 |
| Hb | 0.979 | 0.913–1.049 | 0.545 | 0.951 | 0.854–1.058 | 0.355 |
| WBC | 1.039 | 1.012–1.067 | 0.005 | 1.037 | 0.995–1.082 | 0.087 |
| Platelet count | 0.999 | 0.998–1.001 | 0.586 | 0.999 | 0.996–1.001 | 0.341 |
| Albumin decrease ≥ 20% | 1.645 | 1.014–2.669 | 0.044 | 1.737 | 1.029–2.933 | 0.039 |
Disclaimer/Publisher’s Note: The statements, opinions and data contained in all publications are solely those of the individual author(s) and contributor(s) and not of MDPI and/or the editor(s). MDPI and/or the editor(s) disclaim responsibility for any injury to people or property resulting from any ideas, methods, instructions or products referred to in the content. |
© 2023 by the authors. Licensee MDPI, Basel, Switzerland. This article is an open access article distributed under the terms and conditions of the Creative Commons Attribution (CC BY) license (https://creativecommons.org/licenses/by/4.0/).
Share and Cite
Schupp, T.; Behnes, M.; Rusnak, J.; Ruka, M.; Dudda, J.; Forner, J.; Egner-Walter, S.; Barre, M.; Abumayyaleh, M.; Bertsch, T.; et al. Does Albumin Predict the Risk of Mortality in Patients with Cardiogenic Shock? Int. J. Mol. Sci. 2023, 24, 7375. https://doi.org/10.3390/ijms24087375
Schupp T, Behnes M, Rusnak J, Ruka M, Dudda J, Forner J, Egner-Walter S, Barre M, Abumayyaleh M, Bertsch T, et al. Does Albumin Predict the Risk of Mortality in Patients with Cardiogenic Shock? International Journal of Molecular Sciences. 2023; 24(8):7375. https://doi.org/10.3390/ijms24087375
Chicago/Turabian StyleSchupp, Tobias, Michael Behnes, Jonas Rusnak, Marinela Ruka, Jonas Dudda, Jan Forner, Sascha Egner-Walter, Max Barre, Mohammad Abumayyaleh, Thomas Bertsch, and et al. 2023. "Does Albumin Predict the Risk of Mortality in Patients with Cardiogenic Shock?" International Journal of Molecular Sciences 24, no. 8: 7375. https://doi.org/10.3390/ijms24087375
APA StyleSchupp, T., Behnes, M., Rusnak, J., Ruka, M., Dudda, J., Forner, J., Egner-Walter, S., Barre, M., Abumayyaleh, M., Bertsch, T., Müller, J., & Akin, I. (2023). Does Albumin Predict the Risk of Mortality in Patients with Cardiogenic Shock? International Journal of Molecular Sciences, 24(8), 7375. https://doi.org/10.3390/ijms24087375

