Young Shoots of Red Beet and the Root at Full Maturity Inhibit Proliferation and Induce Apoptosis in Breast Cancer Cell Lines
Abstract
1. Introduction
2. Results
2.1. Polyphenolic Compounds
2.2. Cell Proliferation
2.3. Cytotoxicity
2.4. Selected Cellular Parameters Analyzed Using a Flow Cytometer
2.4.1. Apoptotic Activity
2.4.2. BCL-2 Activity
2.4.3. Multicaspase Activity
2.5. mRNA Expression Analysis
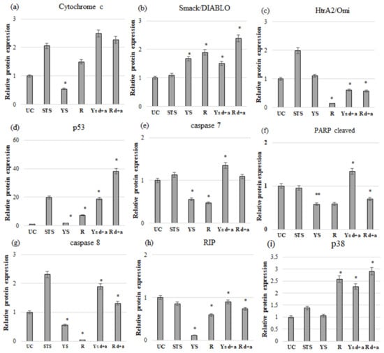
2.6. Protein Expression Analysis
3. Discussion
3.1. Polyphenolic Profile
3.2. Cell Proliferation
3.3. Cytotoxicity
3.4. Selected Cellular Parameters Analyzed Using a Flow Cytometer
3.5. Expression of Selected Genes and Proteins
4. Materials and Methods
4.1. Plant Material
4.2. Determination of Polyphenolic Profile
4.3. Simulated In Vitro Digestion Model of the Gastrointestinal Tract
4.4. Simulated In Vitro Absorption Model of the Gastrointestinal Tract
4.5. Cell Culture
4.6. Cell Treatment
4.7. Cell Proliferation Assessment
4.8. Cytotoxicity Assay
4.9. The Muse® Flow Cytometer Analysis
4.10. RNA Isolation, cDNA Synthesis, and RT-qPCR
4.11. Western Blot Assays
4.12. Statistical Analysis
5. Conclusions
Supplementary Materials
Author Contributions
Funding
Institutional Review Board Statement
Informed Consent Statement
Data Availability Statement
Conflicts of Interest
References
- Jemal, A.; Bray, F.; Center, M.M.; Ferlay, J.; Ward, E.; Forman, D. Global cancer statistics. CA Cancer J. Clin. 2011, 61, 69–90. [Google Scholar] [CrossRef] [PubMed]
- Siegel, R.L.; Miller, K.D.; Jemal, A. Cancer statistics. CA Cancer J. Clin. 2015, 65, 5–29. [Google Scholar] [CrossRef] [PubMed]
- Kamal, N.; Ilowefah, M.A.; Hilles, A.R.; Anua, N.A.; Awin, T.; Alshwyeh, H.A.; Mediani, A. Genesis and Mechanism of Some Cancer Types and an Overview on the Role of Diet and Nutrition in Cancer Prevention. Molecules 2022, 27, 1794. [Google Scholar] [CrossRef] [PubMed]
- Piasna, E.; Koronowicz, A.; Leszczynska, T.; Ambroszczyk, A.; Bednarczyk, J.; Dyk, A. Porównanie składu podstawowego oraz aktywności przeciwutleniającej młodych pędów w stosunku do korzeni buraka ćwikłowego (Beta vulgaris L.). Bromatol. Chem. Toksykol. 2015, 48, 496–501. [Google Scholar]
- Boone-Villa, V.D.; Obregón-Sánchez, N.H.; Del Bosque-Moreno, J.; Aguirre-Joya, J.A. Trends in functional food in non-communicable diseases. In Handbook of Research on Food Science and Technology. Apple Acad. Press 2019, 3, 1–32. [Google Scholar]
- Lewarne, T. Understanding the role of nutrition in preventing non-communicable diseases and supporting planetary health. Nurs. Stand. 2022, 37, 1–14. [Google Scholar] [CrossRef]
- Pankowska, M.; Stachurska, A.; Woźniak, M.; Małecki, M. Preparaty siRNA w terapii genowej raka jajnika. Gynecol. Oncol. 2014, 12, 197–205. [Google Scholar] [CrossRef]
- Lis, B.; Olas, B. Pro-health activity of dandelion (Taraxacum officinale L.) and its food products–history and present. J. Funct. Foods 2019, 59, 40–48. [Google Scholar] [CrossRef]
- Szczuka, D.; Nowak, A.; Zakłos-Szyda, M.; Kochan, E.; Szymańska, G.; Motyl, I.; Blasiak, J. American ginseng (Panax quinquefolium L.) as a source of bioactive phytochemicals with pro-health properties. Nutrients 2019, 11, 1041. [Google Scholar] [CrossRef]
- Szot, I.; Zhurba, M.; Klymenko, S. Pro-health and functional properties of goji berry (Lycium spp.). Agrobiodivers. Improv. Nutr. Health Life Qual. 2020, 4, 134–145. [Google Scholar]
- Talerz Zdrowego Żywienia. Available online: https://ncez.pzh.gov.pl/abc-zywienia/talerz-zdrowego-zywienia2020 (accessed on 29 November 2021).
- Esatbeyoglu, T.; Wagner, A.E.; Schini-Kerth, V.B.; Rimbach, G. Betanin—A food colorant with biological activity. Mol. Nutr. Food Res. 2015, 59, 36–47. [Google Scholar] [CrossRef]
- Drozdowska, M.; Leszczyńska, T.; Koronowicz, A.; Piasna-Słupecka, E.; Domagała, D.; Kusznierewicz, B. Young shoots of red cabbage are a better source of selected nutrients and glucosinolates in comparison to the vegetable at full maturity. Eur. Food Res. Technol. 2020, 246, 2505–2515. [Google Scholar] [CrossRef]
- Choe, U.; Yu, L.L.; Wang, T.T. The science behind microgreens as an exciting new food for the 21st century. J. Agric. Food Chem. 2018, 66, 11519–11530. [Google Scholar] [CrossRef]
- Xiao, Z.; Lester, G.E.; Luo, Y.; Wang, Q. Assessment of vitamin and carotenoid concentrations of emerging food products: Edible microgreens. J. Agric. Food Chem. 2012, 60, 7644–7651. [Google Scholar] [CrossRef]
- Turner, E.R.; Luo, Y.; Buchanan, R.L. Microgreen nutrition, food safety, and shelf life: A review. J. Food Sci. 2020, 85, 870–882. [Google Scholar] [CrossRef]
- Baranowska, M.; Koziara, Z.; Suliborska, K.; Chrzanowski, W.; Wormstone, M.; Namieśnik, J.; Bartoszek, A. Interactions between polyphenolic antioxidants quercetin and naringenin dictate the distinctive redox-related chemical and biological behaviour of their mixtures. Sci. Rep. 2021, 11, 12282. [Google Scholar] [CrossRef]
- Drozdowska, M.; Leszczyńska, T.; Koronowicz, A.; Piasna-Słupecka, E.; Dziadek, K. Comparative study of young shoots and the mature red headed cabbage as antioxidant food resources with antiproliferative effect on prostate cancer cells. RSC Adv. 2020, 10, 43021–43034. [Google Scholar] [CrossRef]
- Kączkowski, J. Biochemia Roślin. Tom II: Metabolizm Wtórny. Wyd. II zmienione; PWN: Warszawa, Poland, 1993; pp. 84–90+266–283+295–297. [Google Scholar]
- Kyriacou, M.C.; El-Nakhel, C.; Graziani, G.; Pannico, A.; Soteriou, G.A.; Giordano, M.; Ritieni, A.; De Pascale, S.; Rouphael, Y. Functional quality in novel food sources: Genotypic variation in the nutritive and phytochemical composition of thirteen microgreens species. Food Chem. 2019, 277, 107–118. [Google Scholar] [CrossRef]
- Kyriacou, M.C.; El-Nakhel, C.; Pannico, A.; Graziani, G.; Soteriou, G.A.; Giordano, M.; Palladino, M.; Ritieni, A.; De Pascale, S.; Rouphael, Y. Phenolic constitution, phytochemical and macronutrient content in three species of microgreens as modulated by natural fiber and synthetic substrates. Antioxidants 2020, 9, 252. [Google Scholar] [CrossRef]
- Kale. R.G.; Sawate. A.R.; Kshirsagar. R.B.; Patil. B.M.; Mane. R.P. Studies on evaluation of physical and chemical composition of beetroot (Beta vulgaris L.). Int. J. Chem. Stud. 2018, 6, 2977–2979. [Google Scholar]
- Vulić, J.J.; Cebović, T.N.; Canadanović, V.M.; Cetković, G.S.; Djilas, S.M.; Canadanović-Brunet, J.M.; Velićanski, A.S.; Cvetković, D.D.; Tumbas, V.T. Antiradical, antimicrobial and cytotoxic activities of commercial beetroot pomace. Food Funct. 2013, 4, 713–721. [Google Scholar] [CrossRef] [PubMed]
- Jastrebova, J.; Witthoft, C.; Grahn, A.; Svensson, U.; Jagerstad, M. HPLC determination of folates in raw and processed beetroots. Food Chem. 2003, 80, 579–588. [Google Scholar] [CrossRef]
- Amani, M.D.; El-Mesallamy, A.; Abd El-Latif, H.; Mahrous, A.; Mahdi, G.M.; Hussein, S.A.M. Chemical composition and biological activities of red beetroot (Beta Vulgaris, L.) roots. Egypt. J. Chem. 2020, 63, 239–246. [Google Scholar]
- Lim, T.K. Beta vulgaris. In Edible Medicinal and Non-Medicinal Plants; Springer: Dordrecht, The Netherlands, 2016; Volume 2, pp. 26–68. [Google Scholar]
- Georgiev, V.G.; Weber, J.; Kneschke, E.M.; Denev, P.N.; Bley, T.; Pavlov, A.I. Antioxidant activity and phenolic content of betalain extracts from intact plants and hairy root cultures of the red beetroot Beta vulgaris cv. Detroit dark red. Plant Foods Hum. Nutr. 2010, 65, 105–111. [Google Scholar] [CrossRef]
- Maraie, N.K.; Abdul-Jalil, T.Z.; Alhamdany, A.T.; Janabi, H.A. Phytochemical study of the Iraqi Beta vulgaris leaves and its clinical application for the treatment of different dermatological diseases. World J. Pharm. Pharm. Sci. 2014, 3, 5–19. [Google Scholar]
- Kazimierczak, R.; Hallmann, E.; Treščinska, V.; Rembiałkowska, E. Estimation of the nutritive value of two red beet (Beta vulgaris) varieties from organic and conventional cultivation. J. Agric. Eng. Res. 2011, 56, 206–210. [Google Scholar]
- Kujala, T.S.; Loponen, J.M.; Klika, K.D.; Pihlaja, K. Phenolics and betacyanins in red beetroot (Beta vulgaris) root: Distribution and effect of cold storage on the content of total phenolics and three individual compounds. J. Agric. Food Chem. 2000, 48, 5338–5342. [Google Scholar] [CrossRef]
- Kampa, M.; Alexaki, V.I.; Notas, G.; Nifli, A.P.; Nistikaki, A.; Hatzoglou, A.; Bakogeorgou, E.; Kouimtzoglou, E.; Blekas, G.; Boskou, D.; et al. Antiproliferative and apoptotic effects of selective phenolic acids on T47D human breast cancer cells: Potential mechanisms of action. Breast Cancer Res. 2004, 6, 63–74. [Google Scholar] [CrossRef]
- Jeong, W.S.; Kim, I.W.; Hu, R.; Kong, A.N. Modulatory properties of various natural chemopreventive agents on the activation of NF-kappaB signaling pathway. Pharm. Res. 2004, 21, 661–670. [Google Scholar] [CrossRef]
- Nichenametla, S.N.; Taruscio, T.G.; Barney, D.L.; Exon, J.H. A review of the effects and mechanisms of polyphenolics in cancer. Crit. Rev. Food Sci. Nutr. 2006, 46, 161–183. [Google Scholar] [CrossRef]
- Malińska, D.; Kiersztan, A. Flawonoidy—Charakterystyka i znaczenie w terapii. Postępy Biochem. 2004, 50, 182–196. [Google Scholar]
- Reddy, M.K.; Alexander-Lindo, R.L.; Nair, M.G. Relative inhibition of lipid peroxidation, cyclooxygenase enzymes, and human tumor cell proliferation by natural food colors. J. Agric. Food Chem. 2005, 53, 9268–9273. [Google Scholar] [CrossRef]
- Kapadia, G.J.; Azuine, M.A.; Rao, G.S.; Arai, T.; Iida, A.; Tokuda, H. Cytotoxic effect of the red beetroot (Beta vulgaris L.) extract compared to doxorubicin (Adriamycin) in the human prostate (PC-3) and breast (MCF-7) cancer cell lines. Anti Cancer Agents Med. Chem. 2011, 11, 280–284. [Google Scholar] [CrossRef]
- Kapadia, G.J.; Rao, G.S.; Ramachandran, C.; Iida, A.; Suzuki, N.; Tokuda, H. Synergistic cytotoxicity of red beetroot (Beta vulgaris L.) extract with doxorubicin in human pancreatic, breast and prostate cancer cell lines. J. Complement. Integr. Med. 2013, 10, 113–122. [Google Scholar] [CrossRef]
- Nowacki, L.; Vigneron, P.; Rotellini, L.; Cazzola, H.; Merlier, F.; Prost, E.; Ralanairina, R.; Gadonna, J.P.; Rossi, C.; Vayssade, M. Betanin-enriched red beetroot (Beta vulgaris L.) extract induces apoptosis and autophagic cell death in MCF-7 cells. Phytother Res. 2015, 29, 1964–1973. [Google Scholar] [CrossRef]
- Das, S.; Filippone, S.M.; Williams, D.S.; Das, A.; Kukreja, R.C. Beet root juice protects against doxorubicin toxicity in cardiomyocytes while enhancing apoptosis in breast cancer cells. Mol. Cell. Biochem. 2016, 421, 89–101. [Google Scholar] [CrossRef]
- Boivin, D.; Lomy, S.; Lord-Dufour, J.; Jackson, E.; Beauliou, M.; Cote, A.; Mograbi, S.; Barrette, D.; Gingas, S.; Beliveau, R. Antiproliferative and antioxidant activities of common vegetables: A comparative study. Food Chem. 2009, 112, 374–380. [Google Scholar] [CrossRef]
- Sreekanth, D.; Arunasree, M.K.; Roy, K.R.; Reddy, T.C.; Reddy, G.V.; Reddanna, P. Betanin a betacyanin pigment purified from fruits of Opuntia ficus-indica induces apoptosis in human chronic myeloid leukemia cell line-K562. Phytomedicine 2007, 14, 739–746. [Google Scholar] [CrossRef]
- Lee, E.J.; An, D.; Nguyen, C.T.; Patil, B.S.; Kim, J.; Yoo, K.S. Betalain and betaine composition of greenhouse- or field-produced beetroot (Beta vulgaris L.) and inhibition of HepG2 cell proliferation. J. Agric. Food Chem. 2014, 62, 1324–1331. [Google Scholar] [CrossRef]
- Scarpa, E.S.; Emanuelli, M.; Frati, A.; Pozzi, V.; Antonini, E.; Diamantini, G.; Di Ruscio, G.; Sartini, D.; Armeni, T.; Palma, F.; et al. Betacyanins enhance vitexin-2-O-xyloside mediated inhibition of proliferation of T24 bladder cancer cells. Food Funct 2016, 7, 4772–4780. [Google Scholar] [CrossRef]
- Saber, A.; Abedimanesh, N.; Somi, M.H.; Khosroushahi, A.Y. Antiproliferative and apoptotic effects of red beetroot and betanin on human colorectal cancer cell lines. Res. Sq. 2021, 1–20. [Google Scholar] [CrossRef]
- Kubatka, P.; Kello, M.; Kajo, K.; Kruzliak, P.; Výbohová, D.; Šmejkal, K.; Przygodzki, R.M. Young barley indicates antitumor effects in experimental breast cancer in vivo and in vitro. Nutr. Cancer. 2016, 68, 611–621. [Google Scholar] [CrossRef] [PubMed]
- López-García, G.; Máñez, V.; Alegría, A.; Barberá, R.; Cilla, A. Antiproliferative effect of bioaccessible fractions of four Brassicaceae microgreens on human colon cancer cells linked to their phytochemical composition. Antioxidants 2020, 9, 368. [Google Scholar]
- Drozdowska, M.; Leszczyńska, T.; Koronowicz, A.; Piasna-Słupecka, E.; Domagała, D. Wpływ soku z młodych pędów kapusty głowiastej białej (B. oleracea var. capitata f. alba) na żywotność komórek nowotworowych gruczołu piersiowego linii MCF-7. Bromatol. Chem. Toksykol. 2019, 52, 188–193. [Google Scholar]
- Drozdowska, M.; Leszczyńska, T.; Piasna-Słupecka, E.; Domagała, D.; Koronowicz, A. Young Shoots and Mature Red Cabbage Inhibit Proliferation and Induce Apoptosis of Prostate Cancer Cell Lines. Appl. Sci. 2021, 11, 11507. [Google Scholar] [CrossRef]
- Elmore, S. Apoptosis: A review of programmed cell death. Toxicol. Pathol. 2007, 35, 495–516. [Google Scholar] [CrossRef]
- Vermes, I.; Haanen, C.; Steffens-Nakken, H.; Reutelingsperger, C. A novel assay for apoptosis. Flow cytometric detection of phosphatidylserine expression on early apoptotic cells using fluorescein labelled Annexin V. J. Immunol. Methods 1995, 184, 39–51. [Google Scholar] [CrossRef]
- Jänicke, R.U.; Sprengart, M.L.; Wati, M.R.; Porter, A.G. Caspase-3 is required for DNA fragmentation and morphological changes associated with apoptosis. J. Biol. Chem. 1998, 273, 9357–9360. [Google Scholar] [CrossRef]
- Germain, M.; Poirier, G.G. Cleavage of automodified poly(ADP-ribose) polymerase during apoptosis. Evidence for involvement of caspase-7. J. Biol. Chem. 1999, 274, 28379–28384. [Google Scholar] [CrossRef]
- Hill, M.M.; Adrain, C.; Duriez, P.J.; Creagh, E.M.; Martin, S.J. Analysis of the composition, assembly kinetics and activity of native Apaf-1 apoptosomes. EMBO J. 2004, 23, 2134–2145. [Google Scholar] [CrossRef]
- Tsujimoto, Y. Role of BCL-2 family proteins in apoptosis: Apoptosomes or mitochondria? Genes Cells 1998, 3, 697–707. [Google Scholar] [CrossRef]
- Budihardjo, I.; Oliver, H.; Lutter, M.; Luo, X.; Wang, X. Biochemical pathways of caspase activation during apoptosis. Annu. Rev. Cell Dev. Biol. 1999, 15, 269–290. [Google Scholar] [CrossRef]
- Herr, I.; Debatin, K.M. Cellular stress response and apoptosis in cancer therapy. Blood 2001, 98, 2603–2614. [Google Scholar] [CrossRef]
- Zhang, Q.; Pan, J.; Wang, Y.; Lubet, R.; You, M. Beetroot red (betanin) inhibits vinyl carbamate- and benzo(a)pyrene-induced lung tumorigenesis through apoptosis. Mol. Carcinog. 2013, 52, 686–691. [Google Scholar] [CrossRef]
- D’Amours, D.; Sallmann, F.R.; Dixit, V.M.; Poirier, G.G. Gain-of-function of poly(ADP-ribose) polymerase-1 upon cleavage by apoptotic proteases: Implications for apoptosis. J. Cell Sci. 2001, 114, 3771–3778. [Google Scholar] [CrossRef]
- Sevrioukova, I.F. Apoptosis-inducing factor: Structure, function, and redox regulation. Antioxid. Redox Signal. 2011, 14, 2545–2579. [Google Scholar] [CrossRef]
- Verhagen, A.M.; Ekert, P.G.; Pakusch, M.; Silke, J.; Connolly, L.M.; Reid, G.E.; Moritz, R.L.; Simpson, R.J.; Vaux, D.L. Identification of DIABLO, a mammalian protein that promotes apoptosis by binding to and antagonizing IAP proteins. Cell 2000, 102, 43–53. [Google Scholar] [CrossRef]
- Schuler, M.; Green, D.R. Mechanisms of p53-dependent apoptosis. Biochem. Soc. Trans. 2001, 29, 684–688. [Google Scholar] [CrossRef]
- Swat, A.; Dolado, I.; Igea, A.; Gomez-Lopez, G.; Pisano, D.G.; Cuadrado, A.; Nebreda, A.R. Expression and functional validation of new p38α transcriptional targets in tumorigenesis. Biochem. J. 2011, 434, 549–558. [Google Scholar] [CrossRef]
- Dutta, P.R.; Maity, A. Cellular responses to EGFR inhibitors and their relevance to cancer therapy. Cancer Lett. 2007, 254, 165–177. [Google Scholar] [CrossRef]
- Dziadek, K.; Kopeć, A.; Dziadek, M.; Sadowska, U.; Cholewa-Kowalska, K. The Changes in Bioactive Compounds and Antioxidant Activity of Chia (Salvia hispanica L.) Herb under Storage and Different Drying Conditions: A Comparison with Other Species of Sage. Molecules 2022, 27, 1569. [Google Scholar] [CrossRef] [PubMed]
- Minekus, M.; Alminger, M.; Alvito, P.; Balance, S.; Bohn, T.; Bourlieu, C.; Carrière, F.; Boutrou, R.; Corredig, M.; Dupont, D.; et al. A standardized static in vitro digestion method suitable for food-an international consensus. Food Funct. 2014, 5, 1113–1124. [Google Scholar] [CrossRef] [PubMed]
- Livak, K.J.; Schmittgen, T.D. Analysis of relative gene expression data using Real-Time Quantitative PCR and the 2−∆∆CT method. Methods 2001, 25, 402–408. [Google Scholar] [CrossRef] [PubMed]




| Polyphenolic Compounds | Retention Time [min] | Part of a Beetroot | |
|---|---|---|---|
| Young Shoots | Root | ||
| Mean ± SD | Mean ± SD | ||
| Gallic acid | 3.655 | 28.08 a ± 0.02 | 5.09 b ± 0.02 |
| Chlorogenic acid | 7.171 | 1.86 a ± 0.01 | 1.42 b ± 0.03 |
| 4-Hydroxybenzoic acid | 7.870 | 4.23 a ± 0.01 | 0.30 b ± 0.02 |
| Caffeic acid | 8.873 | 1.24 a ± 0.00 | 0.11 b ± 0.00 |
| Vanillic acid | 9.059 | 1.28 a ± 0.04 | 0.11 b ± 0.01 |
| Syringic acid | 9.794 | 1.95 a ± 0.01 | 0.09 b ± 0.01 |
| p-Coumaric acid | 11.773 | 0.61 a ± 0.00 | 0.20 b ± 0.01 |
| Ferulic acid | 12.537 | 4.38 a ± 0.00 | 0.12 b ± 0.01 |
| Sinapinic acid | 13.065 | 222.81 a ± 0.25 | 0.06 b ± 0.00 |
| Rosmarinic acid | 18.870 | 171.56 ± 0.01 | Nd |
| Catechin | 6.252 | 27.75 a ± 0.17 | 9.33 b ± 0.17 |
| Epicatechin | 8.253 | 29.84 a ± 0.01 | 2.22 b ± 0.16 |
| Naringin | 14.080 | Nd | 0.35 ± 0.02 |
| Hesperidin | 15.157 | 190.74 a ± 0.02 | 0.30 b ± 0.02 |
| Rutin | 15.566 | 172.31 a ± 0.07 | 0.11 b ± 0.01 |
| Myricetin | 17.235 | 12.03 ± 0.01 | Nd |
| Quercetin | 25.374 | 13.22 ± 0.20 | Nd |
| Luteolin | 29.320 | 2.19 ± 0.02 | Nd |
| Hispidulin | 33.670 | 2.07 ± 0.00 | Nd |
| Apigenin | 34.929 | 0.50 ± 0.00 | Nd |
| Kaempferol | 35.954 | 3.67 ± 0.00 | Nd |
| Isorhamnetin | 37.046 | 4.02 ± 0.01 | Nd |
| Carnosol | 49.299 | 16.47 a ± 0.04 | 0.53 b ± 0.01 |
| Carnosolic acid | 50.982 | 10.73 a ± 0.71 | 2.17 b ± 0.04 |
| Total | 923.54 a | 22.51 b | |
| MCF-7 Cell Line | ||||||
|---|---|---|---|---|---|---|
| Incubation Time [h] | 24 | 48 | 72 | |||
| Type of Juice | YS | R | YS | R | YS | R |
| Juice:Medium (v/v) | Mean ± SD | |||||
| 1:9 | 106.99 A ± 0.02 | 109.22 A ± 0.08 | 117.31 aA ± 0.05 | 124.14 bA ± 0.05 | 115.82 aA ± 0.03 | 119.67 bA ± 0.07 |
| 2:8 | 98.20 A ± 0.07 | 100.45 A ± 0.23 | 108.03 aA ± 0.20 | 116.66 bA ± 0.06 | 106.13 aA ± 0.15 | 101.11 bA ± 0.03 |
| 3:7 | 92.00 aA ± 0.10 | 97.70 bA ± 0.03 | 89.59 a ± 0.05 | 93.27 b ± 0.08 | 79.27 aA ± 0.08 | 98.36 bA ± 0.07 |
| 4:6 | 87.93 A ± 0.08 | 90.94 A ± 0.15 | 74.60 A ± 0.03 | 77.51 A ± 0.07 | 52.50 aA ± 0.08 | 64.96 bA ± 0.03 |
| 5:5 | 85.01 aA ± 0.01 | 88.97 bA ± 0.37 | 59.52 A ± 0.01 | 58.34 A ± 0.02 | 48.23 aA ± 0.01 | 57.45 bA ± 0.02 |
| Digested and absorbed juice | 72.62 aA ± 0.05 | 77.03 bA ± 0.04 | 66.96 A ± 0.02 | 69.41 A ± 0.03 | 41.17 aA ± 0.01 | 36.54 bA ± 0.03 |
| MDA-MB-231 cell line | ||||||
| 1:9 | 121.04 aB ± 0.03 | 113.63 bB ± 0.03 | 100.03 aB ± 0.01 | 116.32 bB ± 0.07 | 98.11 aB ± 0.02 | 106.96 bB ± 0.04 |
| 2:8 | 134.79 aB ± 0.01 | 123.30 bB ± 0.01 | 95.28 aB ± 0.01 | 101.20 bB ± 0.04 | 94.19 B ± 0.02 | 96.77 B ± 0.07 |
| 3:7 | 97.28 B ± 0.01 | 99.40 B ± 0.01 | 88.50 a ± 0.05 | 92.19 b ± 0.08 | 90.56 aB ± 0.03 | 87.15 bB ± 0.06 |
| 4:6 | 92.97 aB ± 0.01 | 96.33 bB ± 0.01 | 85.63 aB ± 0.03 | 90.04 bB ± 0.08 | 85.84 B ± 0.07 | 83.11 B ± 0.07 |
| 5:5 | 89.93 aB ± 0.02 | 95.14 bB ± 0.03 | 84.28 B ± 0.07 | 86.82 B ± 0.07 | 80.18 aB ± 0.03 | 75.93 bB ± 0.07 |
| Digested and absorbed juice | 95.24 aB ± 0.02 | 104.30 bB ± 0.02 | 90.89 B ± 0.05 | 93.08 B ± 0.08 | 86.81 aB ± 0.04 | 90.19 bB ± 0.01 |
| MCF-7 Cell Line | ||||||
|---|---|---|---|---|---|---|
| Incubation Time [h] | 24 | 48 | 72 | |||
| Type of Juice | YS | R | YS | R | YS | R |
| Juice:Medium (v/v) | Mean ± SD | |||||
| 1:9 | 2.01 ± 0.01 | 1.10 ± 0.01 | 1.41 ± 0.04 | 0.30 ± 0.01 | 2.07 ± 0.03 | 2.23 ± 0.07 |
| 2:8 | 5.04 A ± 0.02 | 5.50 A ± 0.04 | 2.26 ± 0.02 | 2.26 ± 0.02 | 0.55 a ± 0.01 | 4.92 bA ± 0.02 |
| 3:7 | 8.77 ± 0.01 | 7.27 A ± 0.01 | 8.58 A ± 0.01 | 6.95 A ± 0.01 | 9.92 A ± 0.01 | 8.11 ± 0.04 |
| 4:6 | 17.37 A ± 0.03 | 18.34 A ± 0.01 | 23.00 aA ± 0.01 | 13.98 bA ± 0.02 | 21.31 A ± 0.01 | 20.18 A ± 0.02 |
| 5:5 | 23.97 A ± 0.02 | 21.41 A ± 0.13 | 30.93 aA ± 0.04 | 24.50 bA ± 0.03 | 35.47 A ± 0.03 | 33.63 A ± 0.05 |
| Digested and absorbed juice | 3.23 a ± 0.01 | 6.52 bA ± 0.12 | 9.95 ± 0.07 | 8.27 A ± 0.01 | 12.31 ± 0.04 | 17.34 bA ± 0.06 |
| MDA-MB-231 cell line | ||||||
| 1:9 | 0.39 ± 0.01 | 0.77 ± 0.01 | 0.17 ± 0.01 | 0.25 ± 0.02 | 0.33 ± 0.01 | 0.20 ± 0.01 |
| 2:8 | 0.67 B ± 0.02 | 0.23 B ± 0.02 | 1.01 ± 0.01 | 0.33 ± 0.01 | 1.49 ± 0.01 | 1.10 B ± 0.01 |
| 3:7 | 1.59 ± 0.04 | 0.68 B ± 0.02 | 5.17 aB ± 0.06 | 3.52 bB ± 0.02 | 5.35 B ± 0.01 | 6.45 ± 0.03 |
| 4:6 | 5.79 aB ± 0.01 | 2.06 bB ± 0.04 | 6.96 B ± 0.03 | 8.34 B ± 0.02 | 7.51 B ± 0.03 | 9.57 B ± 0.04 |
| 5:5 | 8.38 aB ± 0.01 | 1.74 bB ± 0.01 | 7.28 B ± 0.08 | 8.66 B ± 0.02 | 10.52 B ± 0.09 | 11.04 B ± 0.04 |
| Digested and absorbed juice | 4.22 a ± 0.03 | 1.32 bB ± 0.03 | 8.25 a ± 0.07 | 4.66 bB ± 0.04 | 9.78 a ± 0.04 | 6.35 bB ± 0.05 |
| MCF-7 Cell Line | ||||||
|---|---|---|---|---|---|---|
| Cells | UC | STS | YS | R | YS d+a | R d+a |
| Mean ± SD | ||||||
| Live | 76.80 ± 0.52 | 38.13 ± 0.14 | 68.53 aA ± 1.04 | 52.53 b ± 3.00 | 41.93 A ± 3.54 | 44.20 A ± 2.59 |
| Total apoptotic | 22.93 ± 0.66 | 61.27 ± 0.14 | 29.67 aA ± 1.41 | 47.40 b ± 7.69 | 56.67 A ± 2.93 | 55.50 A ± 2.64 |
| Early Apoptotic | 19.93 ± 1.98 | 44.27 ± 0.37 | 17.67 A ± 0.94 | 21.27 A ± 0.66 | 35.07 A ± 0.14 | 39.75 A ± 0.73 |
| Late Apoptotic | 3.00 ± 1.32 | 17.00 ± 0.23 | 12.00 a ± 2.35 | 26.13 bA ± 0.57 | 21.60 aA ± 2.78 | 15.75 b ± 1.89 |
| Dead | 0.27 ± 0.14 | 0.60 ± 0.00 | 1.80 ± 0.33 | 0.07 ± 0.09 | 1.40 ± 0.05 | 0.30 ± 0.05 |
| MDA-MB-231 cell line | ||||||
| Live | 73.60 ± 2.26 | 60.80 ± 3.34 | 37.00 aB ± 0.75 | 55.55 b ± 2.97 | 17.75 aB ± 0.28 | 30.15 bB ± 6.70 |
| Total apoptotic | 26.40 ± 2.45 | 39.20 ± 3.34 | 62.90 aB ± 0.90 | 44.45 b ± 3.20 | 82.20 aB ± 1.27 | 69.75 bB ± 6.93 |
| Early Apoptotic | 23.20 ± 2.31 | 35.60 ± 2.92 | 52.90 aB ± 0.71 | 39.30 bB ± 4.00 | 42.20 aB ± 1.56 | 58.00 bB ± 4.95 |
| Late Apoptotic | 3.20 ± 0.14 | 3.60 ± 0.42 | 10.00 ± 1.61 | 5.15 B ± 0.80 | 40.00 aB ± 0.28 | 11.75 b ± 1.98 |
| Dead | 0.00 ± 0.00 | 0.00 ± 0.00 | 0.10 ± 0.04 | 0.00 ± 0.00 | 0.05 ± 0.02 | 0.10 ± 0.23 |
| MCF-7 Cell Line | ||||||
|---|---|---|---|---|---|---|
| BCL-2 Protein | UC | STS | YS | R | YS d+a | R d+a |
| Mean ± SD | ||||||
| Activated | 79.30 ± 0.50 | 23.60 ± 0.23 | 7.40 aA ± 0.60 | 68.50 b ± 0.55 | 8.60 aA ± 0.02 | 23.60 bA ± 0.08 |
| Inactivated | 20.40 ± 0.25 | 76.40 ± 0.45 | 92.60 aA ± 1.88 | 31.30 b ± 0.57 | 91.40 aA ± 0.27 | 76.40 bA ± 1.55 |
| No expression | 0.10 ± 0.01 | 0.00 ± 0.00 | 0.00 ± 0.00 | 0.20 ± 0.00 | 0.00 ± 0.00 | 0.20 ± 0.00 |
| MDA-MB-231 Cell Line | ||||||
| Activated | 94.30 ± 5.86 | 19.70 ± 0.95 | 16.30 aB ± 4.05 | 68.60 b ± 0.45 | 2.40 aB ± 0.25 | 45.20 bB ± 6.55 |
| Inactivated | 5.40 ± 0.20 | 80.30 ± 8.90 | 83.50 aB ± 2.55 | 31.10 b ± 0.25 | 97.50 aB ± 2.55 | 54.50 bB ± 8.55 |
| No expression | 0.30 ± 0.02 | 0.00 ± 0.00 | 0.20 ± 0.00 | 0.30 ± 0.00 | 0.10 ± 0.03 | 0.30 ± 0.05 |
| MCF-7 Cell Line | ||||||
|---|---|---|---|---|---|---|
| Cell | UC | STS | YS | R | YS d+a | R d+a |
| Mean ± SD | ||||||
| Live | 88.40 ± 2.56 | 61.20 ± 1.48 | 32.70 aA ± 0.38 | 68.55 bA ± 2.12 | 27.20 aA ± 0.48 | 65.20 bA ± 2.40 |
| Caspase+ | 9.80 ± 0.31 | 13.65 ± 1.29 | 23.55 ± 0.43 | 22.55 A ± 2.20 | 23.10 aA ± 1.27 | 32.70 bA ± 3.65 |
| Caspase+/Dead | 1.45 ± 0.15 | 24.60 ± 0.24 | 43.50 aA ± 1.18 | 8.55 bA ± 0.27 | 49.60 aA ± 0.56 | 1.95 bA ± 1.96 |
| Total caspase | 11.25 ± 1.27 | 38.25 ± 1.46 | 67.05 aA ± 1.60 | 31.10 bA ± 1.20 | 72.70 a ± 1.37 | 34.65 bA ± 3.38 |
| Dead | 0.35 ± 0.02 | 0.55 ± 0.03 | 0.25 ± 0.03 | 0.35 ± 0.01 | 0.10 A ± 0.00 | 0.15 ± 0.02 |
| MDA-MB-231 cell line | ||||||
| Live | 93.55 ± 0.95 | 46.30 ± 0.78 | 73.00 aB ± 1.56 | 52.85 bB ± 1.57 | 21.70 aB ± 2.47 | 40.00 bB ± 0.78 |
| Caspase+ | 5.35 ± 0.07 | 49.70 ± 5.51 | 22.90 a ± 1.34 | 28.95 bB ± 0.46 | 49.20 aB ± 4.56 | 39.90 bB ± 0.07 |
| Caspase+/Dead | 1.00 ± 0.85 | 3.85 ± 7.67 | 3.90 aB ± 0.11 | 18.05 bB ± 0.11 | 24.40 aB ± 2.02 | 18.35 bB ± 0.85 |
| Total caspase | 6.35 ± 0.92 | 53.55 ± 1.24 | 26.80 aB ± 1.45 | 47.00 bB ± 0.57 | 73.60 a ± 2.19 | 58.25 bB ± 0.78 |
| Dead | 0.10 ± 0.04 | 0.15 ± 0.19 | 0.20 ± 0.11 | 0.15 ± 0.01 | 4.70 B ± 0.11 | 1.75 ± 0.11 |
| MCF-7 Cell Line | ||||
|---|---|---|---|---|
| Type of Juice | YS | R | YS d+a | R d+a |
| Gene | Mean ± SD | |||
| AIFM1 | 2.05 ± 0.04 | 1.46 A ± 0.08 | 2.17 A ± 0.11 | 1.36 A ± 0.41 |
| AKT1 | 1.26 ± 0.02 | 1.19 ± 0.00 | −1.97 ± 0.03 | −2.51 ± 0.33 |
| APAF1 | 4.12 A ± 0.10 | 3.31 ± 0.22 | 5.05 aA ± 0.20 | 3.61 b ± 0.36 |
| BAD | 2.03 ± 0.28 | 1.02 ± 0.09 | 1.84 A ± 0.05 | 1.76 A ± 0.48 |
| BBC3 | 4.68 cA ± 0.37 | 3.64 c ± 0.16 | 3.30 a ± 0.28 | 1.00 b ± 0.01 |
| BCL2 | −1.24 ± 1.02 | −1.67 ± 0.68 | 2.17 A ± 0.50 | −1.68 A ± 0.01 |
| BID | 1.81 ± 0.02 | 1.12 A ± 0.10 | 1.33 ± 0.12 | 1.07 ± 0.02 |
| CASP3 | Nd | Nd | Nd | Nd |
| CASP7 | 5.07 a ± 0.32 | 1.96 b ± 0.16 | 1.51 ± 0.16 | 1.75 ± 0.84 |
| CASP8 | 4.61 aA ± 0.09 | 2.36 bA ± 0.27 | 3.16 c ± 0.29 | 2.16 d ± 0.20 |
| DIABLO | 1.54 ± 0.09 | 1.20 ± 0.07 | 2.55 c ± 0.17 | 1.48 d ± 0.03 |
| FADD | 1.68 ± 0.22 | 1.52 A ± 0.13 | 1.10 A ± 0.02 | 1.28 A ± 0.15 |
| FAS | 3.36 a ± 0.28 | 1.01 b ± 0.22 | −1.42 a ± 0.56 | 1.10 b ± 0.01 |
| MYC | 1.58 ± 0.09 | 1.48 A ± 0.03 | 1.89 ± 0.03 | 1.78 ± 0.06 |
| NFKB1 | 3.17 a ± 0.07 | 1.40 bA ± 0.05 | 1.40 aA ± 0.11 | 1.10 bA ± 0.08 |
| PHLPP1 | 1.40 ± 0.28 | 1.68 ± 0.56 | −1.35 a ± 0.70 | 1.19 b ± 1.07 |
| TP53 | 1.70 ± 0.10 | 1.10 A ± 0.07 | 1.55 ± 0.07 | 1.31 ± 0.07 |
| MDA-MB-231 cell line | ||||
| AIFM1 | 2.14 a ± 0.05 | 7.75 bB ± 0.02 | 3.72 B ± 0.11 | 3.85 B ± 0.02 |
| AKT1 | −1.07 ± 0.04 | −1.27 ± 0.35 | −2.23 ± 0.12 | −2.16 ± 0.52 |
| APAF1 | 2.45 B ± 0.05 | 2.89 ± 0.02 | 2.10 B ± 0.15 | 2.66 ± 0.55 |
| BAD | 1.24 ± 0.10 | 1.34 ± 0.09 | 4.21 B ± 0.07 | 3.29 B ± 0.41 |
| BBC3 | 1.23 cB ± 0.38 | 2.19 d ± 1.20 | 2.65 a ± 0.48 | 1.07 b ± 0.59 |
| BCL2 | Nd | Nd | 1.01 B ± 0.26 | 1.33 B ± 0.24 |
| BID | 1.32 a ± 0.74 | 2.91 bB ± 0.22 | 1.57 ± 0.04 | 1.14 ± 0.01 |
| CASP3 | Nd | Nd | Nd | Nd |
| CASP7 | Nd | Nd | Nd | Nd |
| CASP8 | −5.01 aB ± 1.18 | −1.56 bB ± 0.07 | 3.38 c ± 0.06 | 2.44 d ± 0.01 |
| DIABLO | 1.99 ± 0.06 | 2.25 ± 0.03 | 1.43 c ± 0.07 | 2.50 d ± 0.25 |
| FADD | −1.92 c ± 0.02 | −2.65 dB ± 0.53 | 5.30 aB ± 0.04 | −3.00 bB ± 0.70 |
| FAS | Nd | Nd | Nd | Nd |
| MYC | 1.00 a ± 0.41 | 3.54 bB ± 0.08 | 1.45 ± 0.05 | 1.38 ± 0.02 |
| NFKB1 | 2.02 a ± 0.21 | 6.40 bB ± 0.30 | 5.48 aB ± 0.07 | 3.96 bB ± 0.35 |
| PHLPP1 | −1.00 a ± 0.00 | 1.35 b ± 0.03 | −1.20 ± 0.55 | 1.25 ± 0.26 |
| TP53 | 2.81 ± 0.09 | 2.60 B ± 0.03 | 1.45 ± 0.09 | 1.35 ± 0.15 |
Disclaimer/Publisher’s Note: The statements, opinions and data contained in all publications are solely those of the individual author(s) and contributor(s) and not of MDPI and/or the editor(s). MDPI and/or the editor(s) disclaim responsibility for any injury to people or property resulting from any ideas, methods, instructions or products referred to in the content. |
© 2023 by the authors. Licensee MDPI, Basel, Switzerland. This article is an open access article distributed under the terms and conditions of the Creative Commons Attribution (CC BY) license (https://creativecommons.org/licenses/by/4.0/).
Share and Cite
Piasna-Słupecka, E.; Leszczyńska, T.; Drozdowska, M.; Dziadek, K.; Domagała, B.; Domagała, D.; Koronowicz, A. Young Shoots of Red Beet and the Root at Full Maturity Inhibit Proliferation and Induce Apoptosis in Breast Cancer Cell Lines. Int. J. Mol. Sci. 2023, 24, 6889. https://doi.org/10.3390/ijms24086889
Piasna-Słupecka E, Leszczyńska T, Drozdowska M, Dziadek K, Domagała B, Domagała D, Koronowicz A. Young Shoots of Red Beet and the Root at Full Maturity Inhibit Proliferation and Induce Apoptosis in Breast Cancer Cell Lines. International Journal of Molecular Sciences. 2023; 24(8):6889. https://doi.org/10.3390/ijms24086889
Chicago/Turabian StylePiasna-Słupecka, Ewelina, Teresa Leszczyńska, Mariola Drozdowska, Kinga Dziadek, Barbara Domagała, Dominik Domagała, and Aneta Koronowicz. 2023. "Young Shoots of Red Beet and the Root at Full Maturity Inhibit Proliferation and Induce Apoptosis in Breast Cancer Cell Lines" International Journal of Molecular Sciences 24, no. 8: 6889. https://doi.org/10.3390/ijms24086889
APA StylePiasna-Słupecka, E., Leszczyńska, T., Drozdowska, M., Dziadek, K., Domagała, B., Domagała, D., & Koronowicz, A. (2023). Young Shoots of Red Beet and the Root at Full Maturity Inhibit Proliferation and Induce Apoptosis in Breast Cancer Cell Lines. International Journal of Molecular Sciences, 24(8), 6889. https://doi.org/10.3390/ijms24086889

