The Solvation Effect of C=O Group of Cyclic Anhydrides in Solution
Abstract
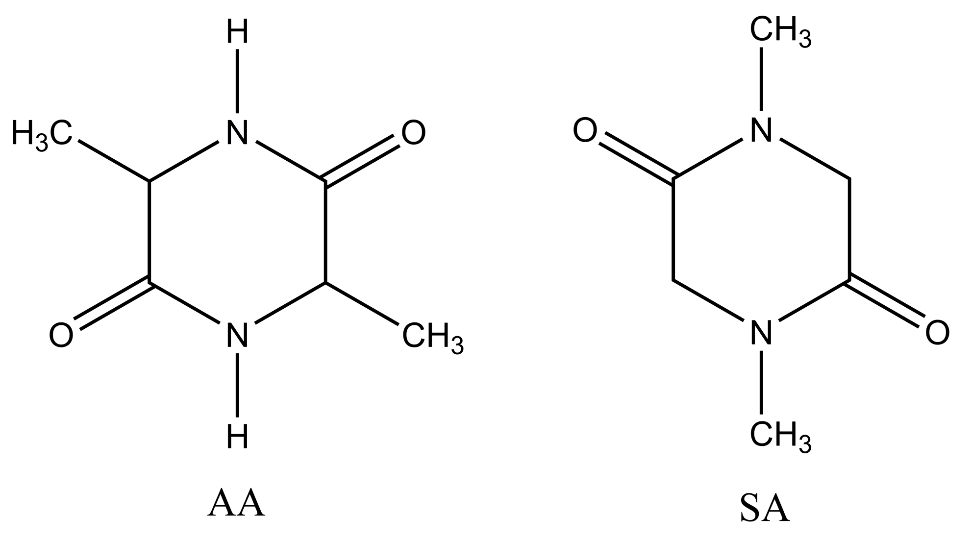
1. Introduction
2. Results and Discussion
2.1. Solvation Effects of Anhydrides in Inert and Aprotic Solvents
2.2. Cooperativity Effects of Anhydrides in Proton Donor Solvents
3. Materials and Methods
3.1. Materials
3.2. Method
4. Conclusions
Supplementary Materials
Author Contributions
Funding
Institutional Review Board Statement
Informed Consent Statement
Data Availability Statement
Conflicts of Interest
References
- Raju, R.; Piggott, A.M.; Huang, X.C.; Capon, R.J. Nocardioazines: A novel bridged diketopiperazine scaffold from a marine-derived bacterium inhibits p-glycoprotein. Org. Lett. 2011, 13, 2770–2773. [Google Scholar] [CrossRef]
- Borthwick, A.D. 2,5-diketopiperazines: Synthesis, reactions, medicinal chemistry, and bioactive natural products. Chem. Rev. 2012, 112, 3641–3716. [Google Scholar] [CrossRef]
- Wang, W.L.; Zhu, T.J.; Tao, H.W.; Lu, Z.Y.; Fang, Y.C.; Gu, Q.Q.; Zhu, W.M. Three novel, structurally unique spirocyclic alkaloids from the halotolerant B-17 fungal strain of Aspergillus variecolor. Chem. Biodivers. 2007, 4, 2913–2919. [Google Scholar] [CrossRef]
- Manchineella, S.; Govindaraju, T. Molecular Self-Assembly of Cyclic Dipeptide Derivatives and Their Applications. ChemPlusChem 2017, 82, 88–106. [Google Scholar] [CrossRef] [PubMed]
- Rubio-Aliaga, I.; Daniel, H. Mammalian peptide transporters as targets for drug delivery. Trends Pharmacol. Sci. 2002, 23, 434–440. [Google Scholar] [CrossRef] [PubMed]
- Mizuma, T.; Narasaka, T.; Awazu, S. Uptake of cyclic dipeptide by PEPT1 in Caco-2 cells: Phenolic hydroxyl group of substrate enhances affinity for PEPT1. J. Pharm. Pharmacol. 2002, 54, 1293–1296. [Google Scholar] [CrossRef]
- Morozova, A.S.; Ziganshina, S.A.; Kudryavtseva, E.O.; Kurbatova, N.V.; Savostina, L.I.; Bukharaev, A.A.; Ziganshin, M.A. Water admixture triggers the self-assembly of the glycyl-glycine thin film at the presence of organic vapors. Colloids Surf. A Physicochem. Eng. Asp. 2022, 649, 129541. [Google Scholar] [CrossRef]
- Brady, G.P.; Sharp, K.A. Energetics of cyclic dipeptide crystal packing and solvation. Biol. Chem. 1997, 72, 913–927. [Google Scholar] [CrossRef]
- Pérez-Mellor, A.; Zehnacker, A. Vibrational circular dichroism of a 2,5-diketopiperazine (DKP) peptide: Evidence for dimer formation in cyclo LL or LD diphenylalanine in the solid state. Chirality 2017, 29, 89–96. [Google Scholar] [CrossRef]
- Habermann, S.M.; Murphy, K.P. Energetics of hydrogen bonding in proteins: A model compound study. Protein Sci. 1996, 5, 1229–1239. [Google Scholar] [CrossRef] [PubMed]
- Budesinsky, M.; Cisarova, I.; Borremans, F.; Martins, J.C.; Pauwels, E. Solid-state structure of cyclic dipeptides: An X-ray and computational study of cis- and trans-diketopiperazines of N-methyl-phenylalanine with the thia-pipecolic acids and thia-prolines. Acta Cryst. 2017, 73, 1179–1193. [Google Scholar] [CrossRef]
- Varfolomeev, M.A.; Rakipov, I.T.; Solomonov, B.N. Calorimetric investigation of hydrogen bonding of formamide and its methyl derivatives in organic solvents and water. Int. J. Thermophys. 2013, 34, 710–724. [Google Scholar] [CrossRef]
- Rakipov, I.T.; Sabirzyanov, A.N.; Petrov, A.A.; Akhmadiayrov, A.A.; Varfolomeev, M.A.; Solomonov, B.N. Thermochemistry of hydrogen bonding of linear and cyclic amides in proton acceptors media. Thermochim. Acta 2017, 652, 34–38. [Google Scholar] [CrossRef]
- Rakipov, I.T.; Petrov, A.A.; Akhmadiyarov, A.A.; Khachatrian, A.A.; Varfolomeev, M.A.; Solomonov, B.N. Thermochemistry of hydrogen bonding of proton acceptors in the media of linear and cyclic amides. Cooperativity effects in multi-particle complexes of amides. Thermochim. Acta 2017, 657, 20–25. [Google Scholar] [CrossRef]
- Rakipov, I.T.; Petrov, A.A.; Akhmadiyarov, A.A.; Khachatrian, A.A.; Mukhametzyanov, T.A.; Solomonov, B.N. Thermochemistry of solution, solvation, and hydrogen bonding of cyclic amides in proton acceptor and donor solvents. Amide cycle size effect. Molecules 2021, 26, 1411. [Google Scholar] [CrossRef]
- Rakipov, I.T.; Petrov, A.A.; Akhmadiyarov, A.A.; Khachatrian, A.A.; Varfolomeev, M.A. FTIR spectral study of intermolecular interactions of C=O groups of amides in solution. J. Mol. Liq. 2022, 354, 118838. [Google Scholar] [CrossRef]
- Prins, L.J.; Reinhoudt, D.N.; Timmerman, P. Noncovalent synthesis using hydrogen bonding. Angew. Chem. Int. Ed. 2001, 40, 2382–2426. [Google Scholar] [CrossRef]
- Scheiner, S. Cooperativity of multiple H-bonds in influencing structural and spectroscopic features of the peptide unit of proteins. J. Mol. Struct. 2010, 976, 49–55. [Google Scholar] [CrossRef]
- Andersen, P.S.; Schuck, P.; Sundberg, E.J.; Geisler, C.; Karjalainen, K.; Mariuzza, R.A. Quantifying the energetics of cooperativity in a ternary protein complex. Biochemistry 2002, 41, 5177–5184. [Google Scholar] [CrossRef]
- Kobko, N.; Paraskevas, L.; Del Rio, E.; Dannenberg, J.J. Cooperativity in amide hydrogen bonding chains: Implications for protein-folding models. J. Am. Chem. Soc. 2001, 123, 4348–4349. [Google Scholar] [CrossRef]
- Dannenberg, J.J. Cooperativity in hydrogen bonded aggregates. Models for crystals and peptides. J. Mol. Struct. 2002, 615, 219–226. [Google Scholar] [CrossRef]
- Torii, H. Electrostatic origin of the cooperative effect on the C=O bond lengths and the amide I vibrational frequencies of the N-methylacetamide oligomers. J. Mol. Struct. 2005, 735, 21–26. [Google Scholar] [CrossRef]
- Jankowska, R.; Ciarkowski, J. Conformation of dioxopiperazines: V. Consistent treatment and its implications. J. Peptide Protein Res. 1987, 30, 61–78. [Google Scholar] [CrossRef]
- Solomonov, B.N.; Varfolomeev, M.A.; Novikov, V.B.; Klimovitskii, A.E. New thermochemical parameter for describing solvent effects on ir stretching vibration frequencies communication 1. Assessment of van der waals interactions. Spectrochim. Acta Part A 2006, 64, 397–404. [Google Scholar] [CrossRef] [PubMed]
- Solomonov, B.N.; Novikov, V.B.; Varfolomeev, M.A.; Mileshko, N.M. A new method for the extraction of specific interaction enthalpy from the enthalpy of solvation. J. Phys. Org. Chem. 2005, 18, 49–61. [Google Scholar] [CrossRef]
- Solomonov, B.N.; Varfolomeev, M.A.; Abaidullina, D.I. Cooperative hydrogen bonding in solution: Influence of molecule structure. Vib. Spectrosc. 2007, 43, 380–386. [Google Scholar] [CrossRef]
- Rakipov, I.T.; Petrov, A.A.; Akhmadiyarov, A.A.; Khachatrian, A.A.; Klimovitskii, A.E.; Varfolomeev, M.A.; Solomonov, B.N. FTIR—spectroscopy of intermolecular interactions of pyrrole in solutions: The influence of media and cooperativity of hydrogen bonds. J. Mol. Liq. 2019, 277, 200–206. [Google Scholar] [CrossRef]
- Varfolomeev, M.A.; Abaidullina, D.I.; Rakipov, I.T.; Solomonov, B.N. Cooperative effect of hydrogen bonds in the complexes of aliphatic alcohols with proton acceptors in chloroform. Russ. J. Gen. Chem. 2008, 78, 2283–2292. [Google Scholar] [CrossRef]
- Rakipov, I.T.; Semenov, K.N.; Petrov, A.A.; Akhmadiyarov, A.A.; Khachatrian, A.A.; Klimovitskii, A.E.; Solomonov, B.N. FTIR Spectroscopy of Intermolecular Interactions of Ethers with Methanol: Cooperativity Effect. J. Solut. Chem. 2022, 51, 1219–1228. [Google Scholar] [CrossRef]
- Perrin, D.D.; Armarego, W.L.F.; Perrin, D.R. Purification of Laboratory Chemicals. In Purification of Laboratory Chemicals; Pergamon Press: Oxford, UK, 1980; p. 568. [Google Scholar]






| № | Solvent | SVW 1 | AA | SA |
|---|---|---|---|---|
| 1 | Triethylamine | 0.66 | 1695 | 1686 |
| 2 | Diethyl ether | 1.26 | 1694 | 1683 |
| 3 | Carbon tetrachloride | 1.38 | 1693 | 1682 |
| 4 | Toluene | 1.63 | 1692 | 1682 |
| 5 | Tetrahydrofurane | 1.81 | 1692 | 1681 |
| 6 | Benzene | 2.24 | 1691 | 1680 |
| 7 | Pyridine | 2.58 | 1690 | 1677 |
| 8 | Propionitrile | 2.72 | 1689 | 1677 |
| 9 | 1,2-Dichloroethane | 2.93 | 1689 | 1676 |
| 10 | Acetonitrile | 3.26 | 1687 | 1674 |
| 11 | Nitromethane | 3.71 | 1686 | 1673 |
| 12 | Chloroform | 1.86 | 1683 | 1671 |
| 13 | Methanol | 2.26 | 1673 | 1667 |
| 14 | Water | 3.08 | 1664 | 1652 |
| Solvent (S) | Alanine Anhydride | Sarcosine Anhydride |
|---|---|---|
| Chloroform | 1692 (9) | 1681 (10) |
| Methanol | 1691 (17) | 1679 (13) |
| Water | 1688 (25) | 1675 (23) |
| № | Solvent (S) | SVW | Alanine Anhydride | Sarcosine Anhydride |
|---|---|---|---|---|
| 1 | Carbon tetrachloride | 1.38 | 1677 | 1671 |
| 2 | Toluene | 1.65 | 1676 | 1670 |
| 3 | Benzene | 2.24 | 1675 | 1668 |
| 4 | Acetonitrile | 3.26 | 1672 | 1664 |
| 5 | Chloroform | 1.81 | 1665 | 1658 |
| 6 | Methanol | 2.26 | 1673 | 1666 |
| Proton Donor (RXH) | AA | SA |
|---|---|---|
| Chloroform | 1.67 (10.8) | 1.99 (11.5) |
| Methanol | 1.10 (1.7) | 1.16 (1.8) |
Disclaimer/Publisher’s Note: The statements, opinions and data contained in all publications are solely those of the individual author(s) and contributor(s) and not of MDPI and/or the editor(s). MDPI and/or the editor(s) disclaim responsibility for any injury to people or property resulting from any ideas, methods, instructions or products referred to in the content. |
© 2023 by the authors. Licensee MDPI, Basel, Switzerland. This article is an open access article distributed under the terms and conditions of the Creative Commons Attribution (CC BY) license (https://creativecommons.org/licenses/by/4.0/).
Share and Cite
Rakipov, I.; Akhmadiyarov, A.; Petrov, A.; Khachatrian, A.; Solomonov, B. The Solvation Effect of C=O Group of Cyclic Anhydrides in Solution. Int. J. Mol. Sci. 2023, 24, 6724. https://doi.org/10.3390/ijms24076724
Rakipov I, Akhmadiyarov A, Petrov A, Khachatrian A, Solomonov B. The Solvation Effect of C=O Group of Cyclic Anhydrides in Solution. International Journal of Molecular Sciences. 2023; 24(7):6724. https://doi.org/10.3390/ijms24076724
Chicago/Turabian StyleRakipov, Ilnaz, Aydar Akhmadiyarov, Artem Petrov, Artashes Khachatrian, and Boris Solomonov. 2023. "The Solvation Effect of C=O Group of Cyclic Anhydrides in Solution" International Journal of Molecular Sciences 24, no. 7: 6724. https://doi.org/10.3390/ijms24076724
APA StyleRakipov, I., Akhmadiyarov, A., Petrov, A., Khachatrian, A., & Solomonov, B. (2023). The Solvation Effect of C=O Group of Cyclic Anhydrides in Solution. International Journal of Molecular Sciences, 24(7), 6724. https://doi.org/10.3390/ijms24076724

