Photoinduced Processes in Lysine-Tryptophan-Lysine Tripeptide with L and D Tryptophan
Abstract
1. Introduction
2. Results and Discussion
2.1. Fluorescence Quenching Processes in Lys-Trp-Lys
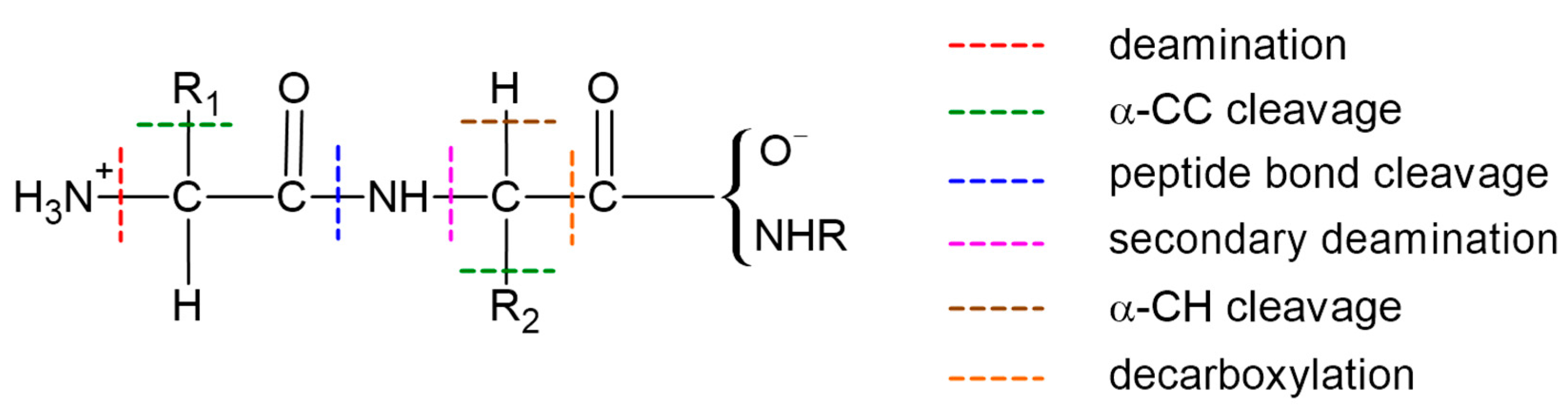
2.2. 1H NMR Investigation of Lys-Trp-Lys Photolysis Products
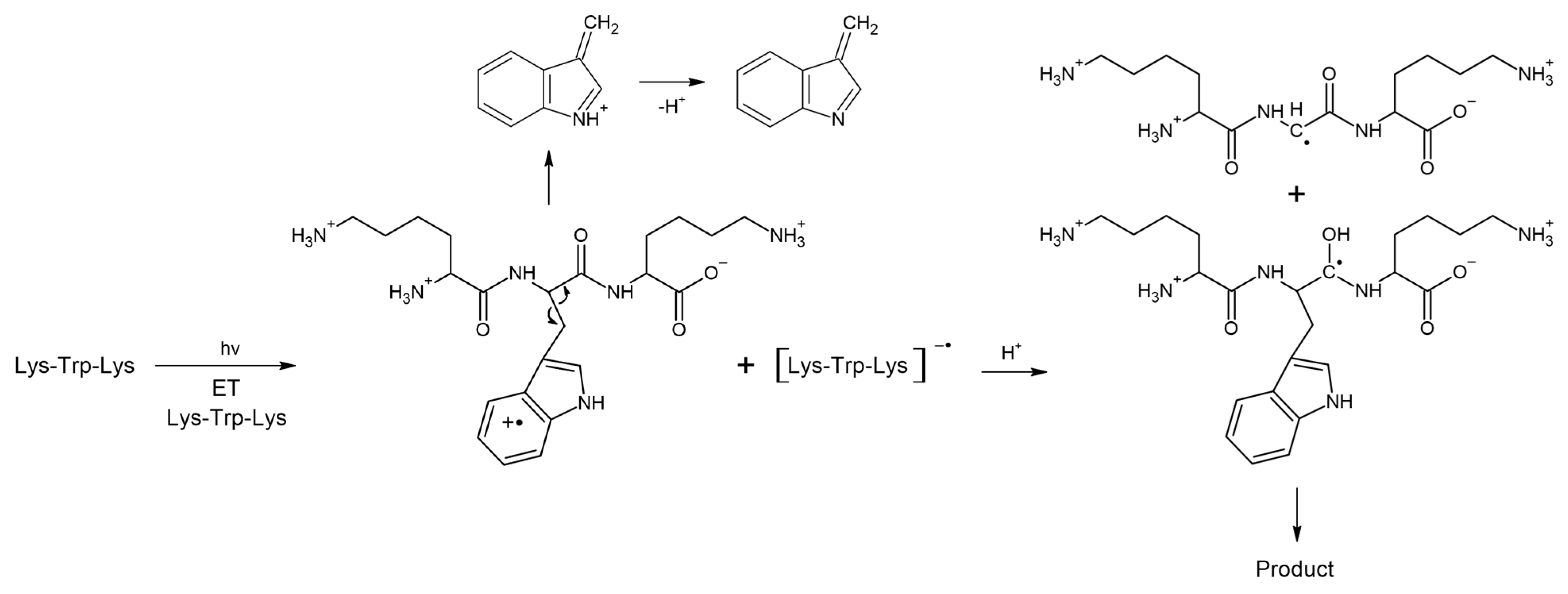
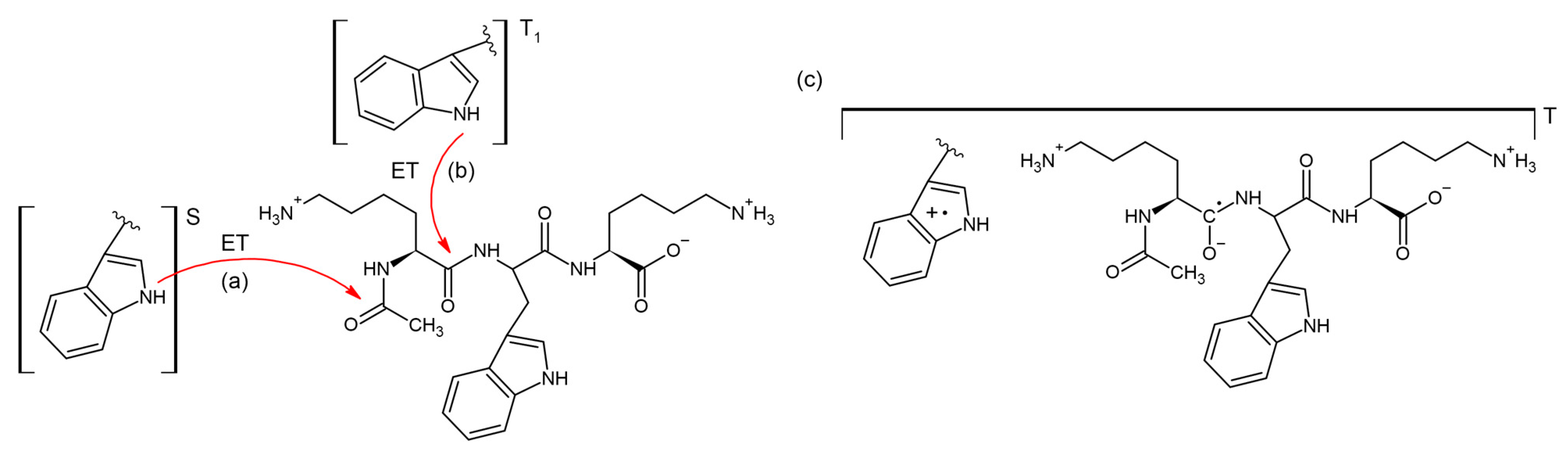
2.3. Photo-CIDNP Study of Lys-Trp-Lys
3. Materials and Methods
3.1. Spectroscopic Measurements
3.2. NMR and Photo-CIDNP Measurements
4. Conclusions
Supplementary Materials
Author Contributions
Funding
Institutional Review Board Statement
Informed Consent Statement
Data Availability Statement
Conflicts of Interest
References
- Zheng, Y.; Mao, K.; Chen, S.; Zhu, H. Chirality Effects in Peptide Assembly Structures. Front. Bioeng. Biotechnol. 2021, 9, 703004. [Google Scholar] [CrossRef] [PubMed]
- Ghisaidoobe, A.B.T.; Chung, S.J. Intrinsic Tryptophan Fluorescence in the Detection and Analysis of Proteins: A Focus on Förster Resonance Energy Transfer Techniques. Int. J. Mol. Sci. 2014, 15, 22518–22538. [Google Scholar] [CrossRef] [PubMed]
- Roy, S.; Giri, R.S.; Dolai, G.; Mandal, B. Role of Side-Chain and Chirality of the Amino Acids on the Supramolecular Assemblies of Dipeptides. J. Mol. Struct. 2020, 1221, 128877. [Google Scholar] [CrossRef]
- Guntas, G.; Hallett, R.A.; Zimmerman, S.P.; Williams, T.; Yumerefendi, H.; Bear, J.E.; Kuhlman, B. Engineering an Improved Light-Induced Dimer (ILID) for Controlling the Localization and Activity of Signaling Proteins. Proc. Natl. Acad. Sci. USA 2015, 112, 112–117. [Google Scholar] [CrossRef]
- Ballister, E.R.; Aonbangkhen, C.; Mayo, A.M.; Lampson, M.A.; Chenoweth, D.M. Localized Light-Induced Protein Dimerization in Living Cells Using a Photocaged Dimerizer. Nat. Commun. 2014, 5, 5475. [Google Scholar] [CrossRef]
- Dadashi-Silab, S.; Doran, S.; Yagci, Y. Photoinduced Electron Transfer Reactions for Macromolecular Syntheses. Chem. Rev. 2016, 116, 10212–10275. [Google Scholar] [CrossRef]
- Dillon, J. The Anaerobic Photolysis of Tryptophan Containing Peptides. Photochem. Photobiol. 1980, 32, 37–39. [Google Scholar] [CrossRef]
- Hill, R.R.; Coyle, J.D.; Birch, D.; Dawe, E.; Jeffs, G.E.; Randall, D.; Stec, I.; Stevenson, T.M. Photochemistry of Dipeptides in Aqueous Solution. J. Am. Chem. Soc. 1991, 113, 1805–1817. [Google Scholar] [CrossRef]
- Hill, R.R.; Jeffs, G.E.; Banaghan, F.; McNally, T.; Werninck, A.R. Photo-Induced Electron Transfer in Small Peptides: Glycylalanine. J. Chem. Soc. Perkin Trans. 2 1996, 8, 1595–1599. [Google Scholar] [CrossRef]
- Lazzari, F.; Manfredi, A.; Alongi, J.; Marinotto, D.; Ferruti, P.; Ranucci, E. D-, l- and d,l-Tryptophan-Based Polyamidoamino Acids: PH-Dependent Structuring and Fluorescent Properties. Polymers 2019, 11, 543. [Google Scholar] [CrossRef]
- Vivian, J.T.; Callis, P.R. Mechanisms of Tryptophan Fluorescence Shifts in Proteins. Biophys. J. 2001, 80, 2093–2109. [Google Scholar] [CrossRef] [PubMed]
- Chen, Y.; Liu, B.; Yu, H.-T.; Barkley, M.D. The Peptide Bond Quenches Indole Fluorescence. J. Am. Chem. Soc. 1996, 118, 9271–9278. [Google Scholar] [CrossRef]
- Salikhov, K.M.; Molin, Y.N.; Sagdeev, R.Z.; Buchachenko, A.L. Spin Polarization and Magnetic Effects in Radical Reactions; Akademiai Kiado: Budapest, Hungary, 1984; Volume 22, pp. 65–72. [Google Scholar]
- Ageeva, A.A.; Khramtsova, E.A.; Magin, I.M.; Purtov, P.A.; Miranda, M.A.; Leshina, T.v. Role of Association in Chiral Catalysis: From Asymmetric Synthesis to Spin Selectivity. Chem. Eur. J. 2018, 24, 18587–18600. [Google Scholar] [CrossRef] [PubMed]
- Ageeva, A.A.; Khramtsova, E.A.; Magin, I.M.; Rychkov, D.A.; Purtov, P.A.; Miranda, M.A.; Leshina, T.V. Spin Selectivity in Chiral Linked Systems. Chem. Eur. J. 2018, 24, 3882–3892. [Google Scholar] [CrossRef]
- Chiellini, G. Understanding Amyloid Structures and Disease: A Continuing Challenge in Health Research. Int. J. Mol. Sci. 2021, 22, 6620. [Google Scholar] [CrossRef] [PubMed]
- Raskatov, J.A.; Teplow, D.B. Using Chirality to Probe the Conformational Dynamics and Assembly of Intrinsically Disordered Amyloid Proteins. Sci. Rep. 2017, 7, 12433. [Google Scholar] [CrossRef]
- Ageeva, A.A.; Doktorov, A.B.; Polyakov, N.E.; Leshina, T.V. Chiral Linked Systems as a Model for Understanding D-Amino Acids Influence on the Structure and Properties of Amyloid Peptides. Int. J. Mol. Sci. 2022, 23, 3060. [Google Scholar] [CrossRef]
- Goez, M. Pseudo Steady-State Photo-CIDNP Measurements. Chem. Phys. Lett. 1992, 188, 451–456. [Google Scholar] [CrossRef]
- Kaptein, R. Simple Rules for Chemically Induced Dynamic Nuclear Polarization. J. Chem. Soc. D. 1971, 14, 732–733. [Google Scholar] [CrossRef]
- Closs, G.L.; Czeropski, M.S. Amendment of the CIDNP Phase Rules. Radical Pairs Leading to Triplet States. J. Am. Chem. Soc. 1977, 99, 6127–6128. [Google Scholar] [CrossRef]
- Sikora, K.; Jaśkiewicz, M.; Neubauer, D.; Migoń, D.; Kamysz, W. The Role of Counter-Ions in Peptides—An Overview. Pharmaceuticals 2020, 13, 442. [Google Scholar] [CrossRef] [PubMed]
- Adams, P.D.; Chen, Y.; Ma, K.; Zagorski, M.G.; Sönnichsen, F.D.; McLaughlin, M.L.; Barkley, M.D. Intramolecular Quenching of Tryptophan Fluorescence by the Peptide Bond in Cyclic Hexapeptides. J. Am. Chem. Soc. 2002, 124, 9278–9286. [Google Scholar] [CrossRef] [PubMed]
- Callis, P.R.; Vivian, J.T. Understanding the Variable Fluorescence Quantum Yield of Tryptophan in Proteins Using QM-MM Simulations. Quenching by Charge Transfer to the Peptide Backbone. Chem. Phys. Lett. 2003, 369, 409–414. [Google Scholar] [CrossRef]
- Shah, A.; Adhikari, B.; Martic, S.; Munir, A.; Shahzad, S.; Ahmad, K.; Kraatz, H.-B. Electron Transfer in Peptides. Chem. Soc. Rev. 2015, 44, 1015–1027. [Google Scholar] [CrossRef]
- Eaton, D.F. Reference materials for fluorescence measurement. Pure Appl. Chem. 1988, 60, 1107–1114. [Google Scholar] [CrossRef]
- Pramanik, B.; Das, D. Aggregation-Induced Emission or Hydrolysis by Water? The Case of Schiff Bases in Aqueous Organic Solvents. J. Phys. Chem. 2018, 122, 3655–3661. [Google Scholar] [CrossRef]
- Babenko, S.V.; Kuznetsova, P.S.; Polyakov, N.E.; Kruppa, A.I.; Leshina, T.V. New insights into the nature of short-lived paramagnetic intermediates of ketoprofen. Photo-CIDNP study. J. Photochem. Photobiol. A Chem. 2020, 392, 112383. [Google Scholar] [CrossRef]
- Saprygina, N.N.; Morozova, O.B.; Gritsan, N.P.; Fedorova, O.S.; Yurkovskaya, A.V. 1H CIDNP study of the kinetics and mechanism of the reversible photoinduced oxidation of tryptophyl-tryptophan dipeptide in aqueous solutions. Russ. Chem. Bull. 2011, 60, 2579–2587. [Google Scholar] [CrossRef]
- Wentrup, C. Reactive Intermediates; Wiley: New York, NY, USA, 1984. [Google Scholar]
- Perdew, J.P.; Burke, K.; Ernzerhof, M. Generalized Gradient Approximation Made Simple. Phys. Rev. 1996, 77, 3865–3868. [Google Scholar] [CrossRef]
- Laikov, D.N. Fast Evaluation of Density Functional Exchange-Correlation Terms Using the Expansion of the Electron Density in Auxiliary Basis Sets. Chem. Phys. Lett. 1997, 281, 151–156. [Google Scholar] [CrossRef]
- Laikov, D.N.; Ustynyuk, Y.A. PRIRODA-04: A Quantum-Chemical Program Suite. New Possibilities in the Study of Molecular Systems with the Application of Parallel Computing. Russ. Chem. Bull. 2005, 54, 820–826. [Google Scholar] [CrossRef]
- Laikov, D.N. A New Class of Atomic Basis Functions for Accurate Electronic Structure Calculations of Molecules. Chem. Phys. Lett. 2005, 416, 116–120. [Google Scholar] [CrossRef]












| Compound | φ | τ1/ns | A1 (a) | τ2/ns | A2 | <τ> (b)/ns | χ2 (c) |
|---|---|---|---|---|---|---|---|
| I | 0.082 | 1.75 | 0.51 | 2.70 | 0.49 | 2.22 | 1.07 |
| II | 0.107 | 2.13 | 0.11 | 3.44 | 0.89 | 3.30 | 1.08 |
| III | 0.070 | 1.10 | 0.26 | 2.4 | 0.74 | 2.06 | 1.17 |
| NAc-Trp | 0.160 | 2.82 | 0.13 | 4.66 | 0.87 | 4.42 | 1.24 |
Disclaimer/Publisher’s Note: The statements, opinions and data contained in all publications are solely those of the individual author(s) and contributor(s) and not of MDPI and/or the editor(s). MDPI and/or the editor(s) disclaim responsibility for any injury to people or property resulting from any ideas, methods, instructions or products referred to in the content. |
© 2023 by the authors. Licensee MDPI, Basel, Switzerland. This article is an open access article distributed under the terms and conditions of the Creative Commons Attribution (CC BY) license (https://creativecommons.org/licenses/by/4.0/).
Share and Cite
Ageeva, A.A.; Lukyanov, R.S.; Martyanova, S.O.; Magin, I.M.; Kruppa, A.I.; Polyakov, N.E.; Plyusnin, V.F.; Doktorov, A.B.; Leshina, T.V. Photoinduced Processes in Lysine-Tryptophan-Lysine Tripeptide with L and D Tryptophan. Int. J. Mol. Sci. 2023, 24, 3331. https://doi.org/10.3390/ijms24043331
Ageeva AA, Lukyanov RS, Martyanova SO, Magin IM, Kruppa AI, Polyakov NE, Plyusnin VF, Doktorov AB, Leshina TV. Photoinduced Processes in Lysine-Tryptophan-Lysine Tripeptide with L and D Tryptophan. International Journal of Molecular Sciences. 2023; 24(4):3331. https://doi.org/10.3390/ijms24043331
Chicago/Turabian StyleAgeeva, Aleksandra A., Roman S. Lukyanov, Sofia O. Martyanova, Ilya M. Magin, Alexander I. Kruppa, Nikolay E. Polyakov, Victor F. Plyusnin, Alexander B. Doktorov, and Tatyana V. Leshina. 2023. "Photoinduced Processes in Lysine-Tryptophan-Lysine Tripeptide with L and D Tryptophan" International Journal of Molecular Sciences 24, no. 4: 3331. https://doi.org/10.3390/ijms24043331
APA StyleAgeeva, A. A., Lukyanov, R. S., Martyanova, S. O., Magin, I. M., Kruppa, A. I., Polyakov, N. E., Plyusnin, V. F., Doktorov, A. B., & Leshina, T. V. (2023). Photoinduced Processes in Lysine-Tryptophan-Lysine Tripeptide with L and D Tryptophan. International Journal of Molecular Sciences, 24(4), 3331. https://doi.org/10.3390/ijms24043331

