Abstract
For the first time, the use of stannate-based sorbents was investigated as high temperature CO2 sorption to evaluate their potential to contribute towards reducing carbon emissions. The sorption capacity and kinetics of commercial tin oxide, sodium, potassium and calcium stannates and lab synthesised potassium stannates were tested using thermogravimetric analysis. Commercial K2SnO3 was found to possess the largest CO2 uptake capacity (2.77 mmol CO2/g or 12.2 wt%) at 700 °C, which is among the highest for potassium sorbents, but the CO2 desorption was not successful. On the contrary, the in-house synthesised K-stannate (K-B) using facile solid-state synthesis outperformed the other sorbents, resulting in a CO2 uptake of 7.3 wt% after 5 min, an adsorption rate (0.016 mg/s) one order of magnitude higher than the other stannates, and stability after 40 cycles. The XRD and XPS analyses showed that K-B contains a mixture of K2SnO3 (76%) and K4SnO4 (21%), while the Scherrer crystal sizes confirmed good resistance to sintering for the potassium stannates. Among the apparent kinetic model tested, the pseudo-second order model was the most suitable to predict the CO2 sorption process of K-B, indicating that chemical adsorption is dominant, while film-diffusion resistance and intra-particle diffusion resistance governed the sorption process in K-B. In summary, this work shows that solid-state synthesised potassium stannate could be an effective sorbent for high temperature separation, and additional work is required to further elucidate its potential.
1. Introduction
The largest driver towards climate change has been the increase in greenhouse gasses over the past century, with the most abundant being carbon dioxide. Global atmospheric CO2 levels today are the highest they have been in the past 800,000 years with them currently 50% higher than pre-industrial levels at 421 parts per million recorded in 2022 at the NOAA’s Mauna Loa Atmospheric Baseline Observatory [1]. In the attempt to revert this trend, Carbon Capture and Storage (CCS), which allows carbon to be separated and sequestered to prevent it from being released into the atmosphere, has been proposed, among other technologies. However, it has to be said that CCS deployment must increase dramatically from present levels, since if the current deployment rates are projected to 2050, they will cover just 10% of what is required [2]. There are several methods that can be used to separate CO2 in order for it to be captured and stored, including absorption, adsorption, and membrane separation. Solid sorbents are viewed as one of the more favourable forthcoming CO2-separating materials for pre- and post-combustion processes in a wide range of temperatures (25–700 °C), due to their promising stability and low energy costs to implement and operate compared to the more widely used liquid amines [3,4,5]. Selecting a sorbent for high temperature CO2 capture depends on several criteria (selectivity of CO2, adsorption and regeneration capacity, kinetics, mechanical strength, tolerance to impurities, and cost) to ensure the operational requirements of the process are met whilst being economically viable [6]. The majority of the research into high temperature CO2 sorbents involves using CaO, silicates and zirconates such as sodium zirconate and lithium-based sorbents, due to their known ability to separate CO2 from flue gas at high temperatures around the range of 500–700 °C [7,8]. Calcium-based sorbents have been shown to operate successfully at temperatures above 600 °C with calcium oxide (CaO) being one of the most researched due to its low-price natural availability. Unfortunately, CaO has three severe limitations, including slow kinetics after the initial carbonation step (due to product layer formation), energy intensive regeneration, and the requirement for a large surface area [9]. Li- and Na-based zirconates have shown capture capacities of between 0.187 and 0.211 g CO2 g sorbent−1, which is roughly 80–90% of their theoretical maximum [10]. These results were obtained under a low partial pressure of CO2 equal to 0.1 bar, highlighting the material can be used in post-combustion settings. The CO2 capture mechanism for lithium zirconate (Equation 1) shows that during the adsorption process, CO2 molecules react with lithium zirconate to form a lithium carbonate shell on the surface of the zirconium oxide shell, which covers the unreacted lithium zirconate core. The carbonation continues after the Li2CO3 and ZrO2 shells are produced by CO2 and Li+ and O2− ions diffusion through the product layer [11].
Although current research and development into CO2 High Temperature (HT) sorbents is mainly focused on Ca-, Li-, and Na-supported materials [6,9,12], potassium supported on Al6Si2O13, CaSiO3, ZrSiO4, ZrO2, and porous carbon have also been considered, with the latter resulting in the highest CO2 uptake (9–12 wt%) amongst supported K2CO3 sorbents [13,14].
Tin oxide (SnO2) has a rutile-type structure and is commonly used in various applications such as ceramics, plastics, batteries, and catalysts. It has been shown to have good thermal stability with it being stable in air at temperatures beyond 1400 °C [15]. Stannates and manganates have potential for adsorption of CO2 at high temperatures [16]. This is due to the fact that they share a similar ion distribution and molecular structure as zirconates, suggesting that they may share some of the key characteristics that are important for high temperature CO2 capture [17]. Both materials have central alkali-based metal with a double-bonded oxygen and two single-bonded oxygen atoms. This closeness in structure indicates stannates will react with CO2 under similar adsorption/desorption mechanisms as shown above for lithium zirconate. In addition, the study of the crystalline shape of two oxides, K2ZrO3 and K2SnO3, showed that both have similar base edge-shared MOX square pyramidal structure [17]. Manganates such as Li2MnO3 have been shown to have a similar structure to that of Li2SnO3, with lithium layers sandwiched between LiM2 layers forming honeycombs (M surrounding Li) [16]. It has also been shown that cations like Li+, Mn2+, and Sn4+ have a higher mobility in the closely packed oxygen framework, resulting in a substantial amount of intermixing between Li and Sn in the Li2SnO3 and a highly defected structure [18]. However, a recent work reported the inability of lithium manganate (Li2MnO3) on direct trapping of CO2, although it performs well on CO adsorption [19].
Lithium, sodium, and potassium stannates can be synthesised in different ways resulting in very different sorption performances. Li2SnO3 can be synthesised by solid-state reactions starting from Li2SnOz(OH)2, where above 220 °C gradual weight decrease is observed up to 850 °C with sharp endothermic peak around 700 °C linked to the decomposition of Li2CO3 to Li2O and its successive reaction with SnO2 to form Li2SnO3 [20]. Loss of lithium component either by sublimation or reaction with platinum crucible was noticed where heating up to 1000 °C. A temperature of 800 °C and holding time of 4 h at final temperature was found, therefore, to be ideal for Li2SnO3 synthesis. Despite lithium compounds being easy to sinter, stannates have been known to be hard to sinter. The present Li2SnO3 was found to have low sinterability even at 1000 °C. The low sintering propension of stannates and the denoted intermixing of Li, Sn ions could represent an advantage in terms of cyclability for CO2 adsorption. A study into the function mechanism of CO-CO2 atmosphere on the formation of Na2SnO3 showed the effect of CO2 partial pressure on a stannate’s CO2 adsorption and desorption capabilities. The adsorption tests show the SnO2 surface adsorbed a certain volume of CO2 when the SnO2 was roasted between 600 °C and 1000 °C [21]. The K-Sn-O system can contain different phases including two Sn4+ compounds K2SnO3 and K4SnO4, as well as the Sn2+ compounds K2SnO2, K2Sn2O3, and K4SnO3. Iwasaki et al. (2002) reported the synthesis of new compound Na4Sn3O8 from the reaction of Na2CO3 and SnO2 at 1300 °C [22]. Instead, McAuliffe et al. (2016) synthesised K2Sn3O7 by mixing K2CO3 and SnO2 with molar ratios of 1:1 K:S and calcined the mixture at 900 °C for 9 h in air with heating and cooling rates of 10 °C/min [23]. Nguyen et al. (2016) reported the nucleation and growth of K2SnO3 nanowires from molten alloy involving KOH and tin oxide in a weight ratio of 1:3 by simple annealing step at 900 °C for 2 h [24].
Due to the requirement to reduce global CO2 emissions and to the structural similarities of stannates to zirconates and their lower cost, this work investigates their potential use for CO2 capture at high temperatures, since to our knowledge, it has not been explored yet. Therefore, the uptake capacity, adsorption rate, and recyclability of commercial tin (VI) oxide (SnO2), zirconium oxide (ZrO2), calcium stannate (Ca2SnO3), sodium stannate (Na2SnO2), potassium stannate (K2SnO3), and lithium stannate (Li2SnO2), were studied by thermogravimetric analysis at different temperatures to evaluate their potential use as high temperature sorbents in industry. Based on its performance, K2SnO3 was then selected for further study, synthesised in-house using different K:Sn molar ratios, and their CO2 sorption capacity and kinetics evaluated and compared to zirconate-based sorbents.
2. Results and Discussion
2.1. Thermogravimetric Dynamic Analysis
The CO2 adsorption of tin oxide and zirconium oxide was initially investigated. The TGA analysis results can be seen in Figure 1a,b, while the chemical equations for their reaction with CO2 are reported below:
Figure 1.
CO2 dynamic adsorption for the different commercial sorbents. (a) ZrO2; (b) SnO2; (c) Na2SnO3; (d) Ca2SnO3; (e) K2SnO3; (f) Li2SnO3.
After an initial desorption of the adsorbed species (not shown in graph) in N2, the atmosphere was switched to CO2 to begin the sorption process. From the figure, it can be seen that CO2 adsorption takes place in the first 200 s for both oxides. Tin and zirconium oxides adsorbed less than 0.1 wt% of CO2 before the weight of both samples decreased below their original values. This occurred at low temperature of roughly 40 °C. The derivative graphs for both samples also showed very slow rates for both tin and zirconium oxides (0.0000001 mg/s and 0.00001 mg/s, respectively). As expected, the results indicated that SnO2 and ZrO2 are not good materials for use in neither high nor low temperature CO2 adsorption per se.
After defining a baseline for the support materials, the CO2 sorption of commercial Ca, Li, and K stannates was studied as reported in Figure 1c–f. Their respective reaction with CO2 is summarised in Equations (4)–(6):
Sodium stannate (Figure 1c) resulted in 2 wt% CO2 adsorbed in the first 1300 s with peak at around 200 °C and a maximum sorption rate of 0.0011 mg/s. This suggests that Na2SnO3 is an inefficient sorbent under the studied conditions. For example, a study into the CO-CO2 atmosphere on the formation of Na2SnO3 showed the adsorption of CO2 was only favoured at higher partial pressures of CO2 above 80 vol% [21]. The analysis of calcium stannate is shown in Figure 1d. This material adsorbed a small amount of CO2 (0.3 wt% in total) in two different events taking place at about 30–75 °C due to physisorption and between 500 and 600 °C due to chemisorption with a maximum rate of 0.001 mg/s. The low sorption capacity of the material was unexpected due to previous research into supported calcium sorbents. Typically, CaO is stabilised with the oxides of Al, Mg, and Si whereupon calcination provides excess pore volume allowing CO2 particles to enter the particle more easily, thus resulting in higher CO2 sorption capacity [25]. There is limited research into the use of stannates for CO2 sorption, although a previous report into the formation characteristics of calcium stannate from SnO2 and CaCO3 found that in a CO-CO2 atmosphere the activation energy was 359.97 kJ mol−1. Comparing this value to that of sodium zirconate (48.01 kJ mol−1) shows how calcium stannate is more dependent on temperature, with the largest reaction found to be at 1100 °C in presence of 85% CO2.
Potassium is generally used as a CO2 promotor within other ceramics such as Li- or Na-based sorbents or used in low temperature applications. The use of different supports can affect the performance of the potassium sorbent; for example, the use of titanium oxide resulted in the formation of inactive materials thus decreasing the performance [26]. The results from the TGA analysis are shown in Figure 1e, where it can be seen that potassium stannate was found to adsorb the highest amount of CO2 out of all the sorbents investigated, with a total of 11.5 wt% adsorbed between ambient temperature and 600 °C and a maximum adsorption rate of 0.0041 mg/s. The weight curve also suggests that the adsorption rate increases at temperatures over 400 °C, which indicates presence of two different sorption mechanisms. The obtained results are summarised in Table 1, where it can be seen that potassium stannate was found to have the best sorption capacities and kinetics.
Table 1.
Summary of stannates’ performance under dynamic CO2 adsorption.
2.2. Performance of Commercial Potassium Stannate under Different Conditions
The commercial potassium stannate was further tested to give an insight into the optimum conditions for its performance. This included investigating the adsorption/desorption temperature, regeneration cycles, and the effect of doping. To investigate the effect of varying the adsorption temperature on the uptake of CO2 on the potassium stannate, three different temperatures were analysed: 500, 600, and 700 °C. The results are shown in Figure 2, where it can be seen that carbon dioxide sorption on potassium stannate increased according to the temperature increase with a weight change of 9.3 wt.%, 10.8 wt.%, and 12.2 wt% (2.77 mmol CO2/g K2SnO3) CO2 capture respectively at 500, 600, and 700 °C. The CO2 sorption rate followed the same trend, with 0.0317, 0.055, and 0.11 (0.18 mg/s) wt.%/min respectively at 500, 600, and 700 °C. If the stannate operates through similar mechanisms to that of sodium zirconate, it can be said that at higher temperatures the primary method of transportation is through the potassium diffusion from the core to the carbonate shell layer after an initial fast surface-driven sorption [27].
Figure 2.
CO2 adsorption curves for commercial K2SnO3 under different temperatures in comparison to Na2ZrO3 [27], where (70/30) stands for a mixture containing 70 wt.% K2SnO3 and 30 wt.% Na2ZrO3.
Doping is used as a relatively inexpensive method to improve the efficiency of sorbents by combining them with different materials that are known to perform well. The doping effect of combining K2SnO3 and Na2ZrO3 at a ratio of 70/30 (wt.%) was investigated and is shown in Figure 2. The doping resulted in the same rate as for the test without Na2ZrO3 (0.055 wt.%/s) in the first 60 s and a sorption kinetics that levels out after about 500s, resulting in a lower final CO2 uptake (9.16 wt.%). Therefore, the addition of sodium zirconate does not seem to be beneficial to the diffusion of the ions through the product layer after the rapid initial CO2 sorption has taken place. Sodium zirconate is a well-researched sorbent with a high theoretical sorption capacity and favourable thermodynamics [27]. It has been shown to be effective in high temperature applications with favourable reaction rates. Due to these considerations, it was chosen to be used as a reference material providing a benchmark and a data set against which the stannate-based sorbents could be compared. The results of the TGA analysis can be seen in Figure 2, where the Na2ZrO3 behaviour at 600 °C under same conditions from previous work was compared [27]. Sodium zirconate has a lamellar structure with the mechanism of adsorption controlled by two processes, the first of which being the alkaline particles reacting with CO2 to form the carbonate, and the second being the sodium ions diffusing through the carbonate shell to reach the surface and react with CO2 [11]. The uptake and regeneration of Na2ZrO3 proceeds according to the reversible reaction in Equation (7) with a maximum theoretical increase in weight of 23.75 wt.%.
The results of the TGA analysis show a total weight increase of 10.3 wt.% CO2, at 600 °C with an adsorption rate much slower than that shown by Na2SnO3. It has to be pointed out that the capacity for sodium zirconate sorbents was found to change with the synthesis, heating rate, and molar ratio of NaCO3 and ZrO2 reactants having a large effect of the capture performance, so that optimised Na2ZrO3 can achieve 20–23 wt.% [28]. However, we reported here not-optimised Na2ZrO3 synthesised under the same conditions for a fair comparison.
The regeneration cycle efficiency is an important criterion in sorbent selection as the energy pathway should be low for sorption/desorption to allow the material to be economically useable in industrial settings. A sorbent with a high cyclic stability is preferred where there is a minimal loss of sorption capacity over multiple cycles. Therefore, the commercial potassium stannate was tested over three sorption/desorption cycles with desorption temperature set at 900 °C. As shown in Figure 3, 25 wt.% was released in the initial calcination step, which can be ascribed to the structural water of the trihydrate (18 wt.%) potassium stannate and some additional adsorbed species. Then, in the first sorption step, 12.2 wt% of CO2 was adsorbed. However, in the following desorption stage only 2 wt% of CO2 was released, suggesting that the commercial material dramatically lost CO2 uptake capacity possibly due to sintering or because the temperature used for the synthesis of this material was higher than 900 °C, both ways making the process not viable and energy-intensive. Therefore, a series of K-stannates were synthesised in-house at lower calcination temperature (900 °C) to evaluate its effect on the CO2 desorption extent and rate.
Figure 3.
Cyclability test for commercial K2SnO3 at 600 °C/900 °C.
2.3. Performance of In-House Synthesised Potassium Stannates
The performance of the in-house synthesised K-stannate sorbents is shown in Figure 4 and summarised in Table 2. The sorbents produced using three different KOH:SnO2 weight ratio (K-A 1:2, K-B 3:1, K-C 2:1; K-D 1:1) and a K2CO3:SnO2 wt. ratio of 1:1 (K-D) were evaluated in ten consecutive cycles under three different temperatures (800, 850, and 900 °C), to estimate the CO2 uptake capacity, the rates of adsorption and desorption, and the theoretical capacity achieved. The results illustrated in Figure 4 and Table 2 show that K-B resulted in the highest CO2 uptake capacity (7.3 wt.% at 800 °C) followed by K-C (6.3 wt.% at 850 °C) and K-D (6.1 wt.% 800 °C) and K-A (2.9 wt.% 900 °C). This reflected the theoretical composition of the three sorbents and their respective theoretical CO2 capacities, with the CO2 uptake performance following the order K-B > K-D > K-C > K-A at 800 °C and K-B > K-C > K-D> K-A at 850 and 900 °C, respectively. The sorbents perform rather differently changing the temperature from 800 to 900 °C, with K-B and K-D having peak performance at 800 °C, while K-A and K-C showing their best at 900 and 850 °C, respectively. The rate of CO2 adsorption-desorption is an important parameter in evaluating CO2 sorbents. Among the four synthesised materials, K-B stands out having an adsorption (0.016 mg/s) rate one order of magnitude larger than the other three materials, and desorption (0.016 mg/s) rate comparable with that of K-C at 850 °C. K-B adsorption and desorption rates also are favourable if compared to those obtained under similar conditions by K-orthosilicate (adsorption rate:0.002 mg/s; desorption rate: 0.001 mg/s) [29].
Figure 4.
Performance of in-house synthesised potassium stannates (a) K-A, (b) K-B, (c) K-C, (d) K-D under different temperatures at 800, 850, 900 °C.
Table 2.
Performance of stannates synthesised in-house.
K-B was confirmed to be the most promising high temperature CO2 sorbent even in terms of performance based on the maximum theoretical CO2 uptake capacity, which was calculated considering the mineral phases quantified from the XRD analysis. K-B high reactivity suggests that the different mineral phase distribution and microstructural differences were behind its better performance. A previous work showed that the use in the solid-state synthesis of lesser amount of KOH than the stoichiometric required resulted in K2SnO3 nanowires growing on SnO2 [24]. However, this was not reflected in the K-A performances, in which initial adsorption rate was not larger than the other sorbents as expected. Another important observation for K-B is that the CO2 uptake capacity remained constant in the three cycles under the same temperature (see Figure 4b at 800 °C), suggesting good resistance to sintering at this temperature. Three distinct anhydrous potassium stannates are formed depending on the K and Sn ratio and synthesis conditions used. K4SnO4 is triclinic, while K2SnO3 and K2Sn3O7 are orthorhombic with Sn at the centre of a deformed octahedron [30]. It was also found that heating of K4SnO4 between 650–830 °C converts to K2SnO3 and then K2Sn3O7 (between 830–900 °C) and into SnO2 at higher temperature [31]. The small constant decrease in weight visible in Figure 4 just after the desorption of the CO2 in each cycle for K-A and K-B could be attributed to the slow rate transformation of stannate phases, which is also demonstrated by the XRD analysis later discussed.
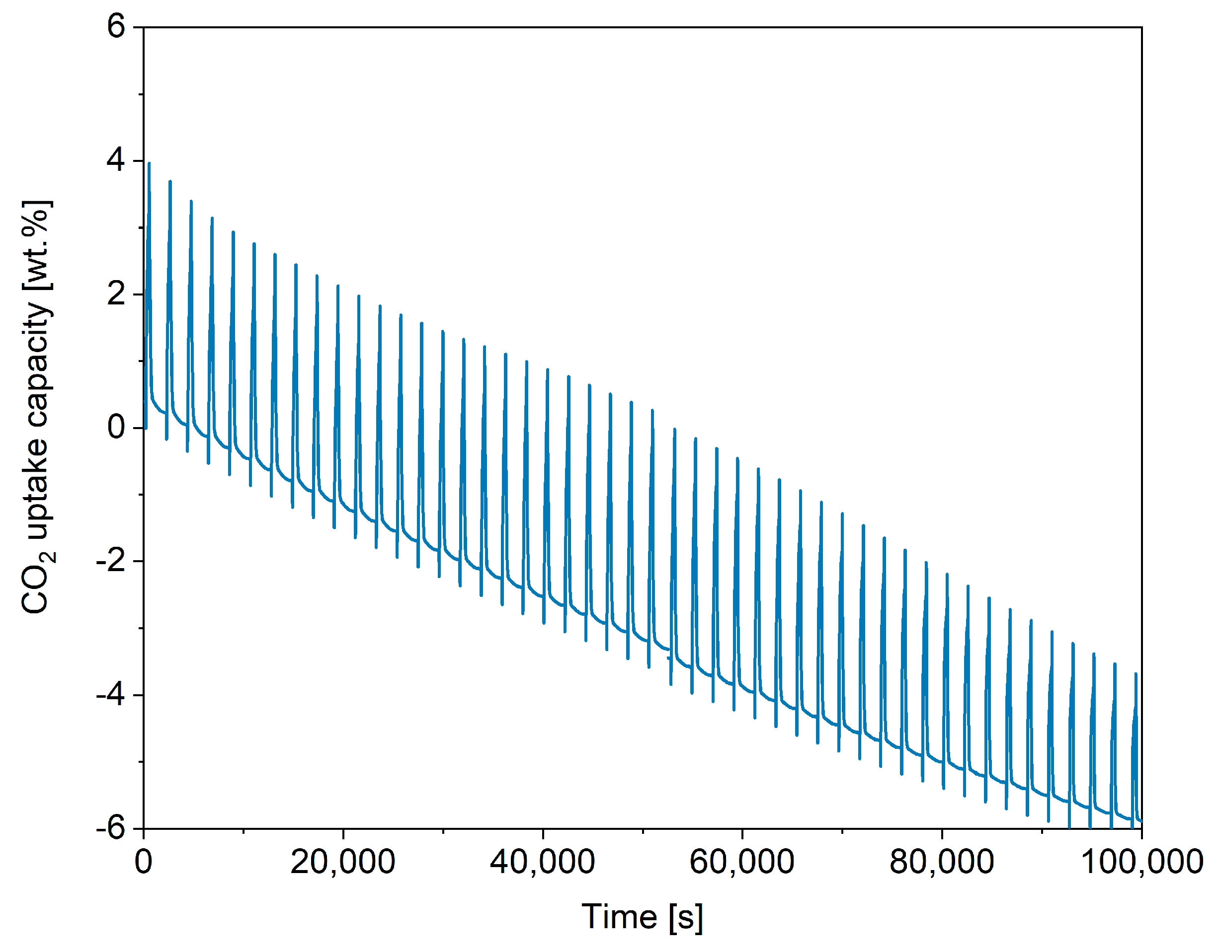
The cyclability of high temperature CO2 sorbents also represents a paramount aspect for industrial applications, so that a good sorbent should not be prone to deactivation by sintering, or in case of presence of alkali metals, avoid their segregation or sublimation [32]. The TGA results show that both K-B and K-D were stable after three cycles at 800 °C, while all the materials clearly deactivated at 900 °C, suggesting sintering or potassium segregation at that temperature. Interestingly, K-B CO2 uptake and cyclability improves cycle after cycle, suggesting that structural/composition changes occur during the process at 800 °C. Therefore, to elucidate this and excluding the low K-A performance, the remnant three stannates’ cyclability was tested as shown in Figure 5, Figure A1 and Figure A2, where the TGA profiles of 40 cycles are reported. The most significant results are also summarised in Table 3. The cyclic stability test for K-B confirmed that an actual CO2 uptake capacity gain occurred in the first 10 cycles, which then stabilised with a minor weight capacity loss of 7.4% after 40 cycles. Instead, the CO2 uptake capacity of K-C decrease of 17.4% after the same number of cycles and the loss capacity of K-D was even more pronounced, being 52.4%. To put the performance of potassium stannate in context, its capacity uptake was compared to limestone after 50 cycles under similar conditions, where its capacity decreased from more than 45 wt.% to about 7 wt.% after 50 cycles of 30 min at sorption and desorption temperature, respectively, of 650 and 850 °C [33]. Therefore, the main advantage of K2SnO3 is its stability, while the high desorption temperature represents a drawback shared with CaO, which must be addressed to make the potassium stannate a viable CO2 sorbent.
Figure 5.
Cyclic stability of K-B after 40 cycles (with both the CO2 uptake at 800 °C and regeneration at 900 °C, cycles set at 6 min each, CO2 flow 50 mL/min).
Table 3.
Performance of K-B, K-C, and K-D under long exposition (with both the CO2 uptake at 800 °C and regeneration at 900 °C, cycles set at 360 s each, CO2 flow 50 mL/min).
To gain information on the potential reasons behind these differences, XRD, SEM, FTIR, and XPS analyses were carried out.
The samples synthesised using different KOH:SnO2 weight ratios present very different XRD profiles (Figure 6). K-A presents about 47% SnO2, 34% K2Sn3O7, and 19% K2SnO3 phases, where the large abundance of SnO2 was expected since KOH was provided in less than the stoichiometric ratio. The K2SnO3 phase increased to 33% in total peak area after three cycles, while K2Sn3O7 mineral phase decreased to 18% in favour of K2SnO3, suggesting there is mobility of K ions in the crystalline structure at temperature higher than 800 °C and phase re-arrangement. SnO2 diffraction patterns did not suffer any change after 3 cycles. K-C had some similarities with K-B in terms of KOH and K2SnO3 phase abundance but does not show K2Sn3O7 phase. K-D instead shows an increased crystallinity after the cycles and a composition that somehow resembles that of K-B in terms of K2SnO3 phase predominance but lacks presence of K4SnO4 and instead shows K2Sn3O7. These results indicate that the change in rate and uptake capacity visible in Figure 4 between the first and the other two cycles at 850°C can be associated to transformation of K2Sn3O7 in K2SnO3 with the latter having a faster adsorption rate and capacity (see Equation (8), where theoretical CO2 uptake capacity is 8 wt.%).
Figure 6.
XRD of in-house synthesised sorbents K-A (KA), K-B (KB), K-C (KC), and K-D (KD) and same sorbents after 3 cycles at 850 °C-ads/950 °C-des. 1-K2SnO3; 2-KOH; 3-K2Sn3O7; 4-K2CO3; 5-K4SnO4; 6-SnO2.
K-B was synthesised with large KOH vs. SnO2 weight ratio (4:1) towards the synthesis of K4SnO4. The XRD patterns do confirm its formation (21%), but large content of K2SnO3 (76%) was also formed. Unreacted K was also detected together with small amount (3%) of K2Sn3O7. The XRD patterns after three cycles show presence of K2CO3, suggesting not complete desorption of CO2 during the desorption stages. Also, despite the identified phases not suffering any changes in %, the intensity ratio of the metastannate peaks changed, suggesting a change of its crystals structure. The presence of K2SnO4 can be linked to the larger CO2 uptake capacity of K-B, since one mole of K4SnO4 can adsorb 2 moles of CO2 (see Equation (9)), so that its theoretical CO2 uptake capacity (24.8 wt.%) is larger than that of K2SnO3 (14.7 wt.%).
Since the performances of the sorbents could have been affected by other sorbent properties such as surface available, crystal size and crystal type, and basicity, BET, FTIR and XPS analyses were run. The sorbents’ BET surface (m2/g) decreased in the order K-D (11.32) > K-B (10.26) > K-A (9.97) > K-C (3.17), indicating that the available surface does not control the CO2 uptake capacity and rate, considering that K-B had CO2 uptake rate one order of magnitude larger than K-D (See Table 3). Also, the data indicates that the synthesis method can be used to tune the surface available. The crystal size for the different identified phases before and after three cycles at 850 °C was estimated using the Scherrer formula and the results are shown in Table 4.
Table 4.
Crystal size estimation from Scherrer formula.
The first observation is that the crystal size of the different identified mineral phases is consistent among the three adsorbents. Moreover, K2SnO3 phase crystals in all the three raw samples is around 100–130 nm and the size decreases to about 90 nm after three cycles, suggesting that K2SnO3 does not suffer sintering. K2Sn3O7 and K4SnO4 crystals size instead passes from ~60 to ~70/75 nm and 50 to 55 nm, respectively, indicating only a minor increase of the crystal size after 3 cycles. These data confirm the literature on stannates being sintering-resistant [20].
Comparing the FTIR profiles of the commercial and in-house synthesised stannate sorbents (Figure 7), it can be clearly seen that while the commercial K-stannate is hydrated, the other ones are not. Another interesting feature is the similarity of K-B and K-C transmittance profiles, which corroborates the similarity (although different distribution) of the mineral phases detected by XRD. The transmittance of the Sn-O bond vibration of SnO2 (669 cm−1) is well-defined for the K-A sorbent due to the large stoichiometric excess used in the synthesis. The oxidation state of the elements present in the K-stannate sorbents was investigated by XPS. The binding energy (BE) of spin orbital components K2p3/2 and K2p1/2 was found at 291.8 eV and 294.2 eV and assigned to K +1 in K2SnO3 and K4SnO4 as detected by XRD. The 3d spectra of tin (Sn) present in XPS of K-B are shown in Figure 8, where the BE of 3d5/2 (485.2 eV) and 3d3/2 (493.8 eV) suggests +4 oxidation state. The XPS fitting graph of Sn 3d5/2 and Sn 3d3/2 showed two best fitted peaks indicating presence of another oxidation state at higher binding energy assigned to Sn+4. Similar trend of shift in binding energy was also observed by Ray et al. (2021) [34]. The deconvolution of O1s for K-B revealed two peaks: one at 529 eV was assigned to the O of O-Sn2+, while the one at 530.3 eV was assigned to O of O-Sn4+. The K-A XPS spectra for Sn3d, O1s, C1s, and K are shown in Figure A3, where it can be distinguished that the Sn3d 5/3 (486.6 eV) and 3/2 of Sn4+, the O1s of O-SnO4+ (532.2 eV) and O-Sn2+ (small peak) at 530.5 eV, confirm large presence of SnO2 as expected by the reactant ratio used in the synthesis. K was not detected by the instrument.
Figure 7.
FTIR of tin oxide, commercial and in-house synthesised potassium stannate sorbents.
Figure 8.
XPS of KB before carbonation.
The surface morphology of K-B before and after carbonation was studied by SEM. Figure 9a K-B showed clear agglomeration of particles, heterogeneity in size distribution, and microporosity. The close-up in Figure 9b shows two types of surfaces: (i) a smooth layer, and (ii) a more irregular surface layer (possibly K-rich) on top of the other layer. Previous work showed similar morphology explaining this superficial layer of K species covering SnO2 particles related to the strong philicity of K-O bond of K-species towards the Lewis acidic sites (Sn4+-O) present on the surface of SnO2 [34]. Figure 9c,d instead shows the morphology of K-B after three carbonation/calcination cycles at different resolutions. The sorbent surface seems made of homogeneous molten phase with presence of macro/mesopores more abundant than the starting one, suggesting some mineral phase rearrangement (as supported by the XRD analysis) by K/Sn/O species migration and temperature-related cracking. Free-moving K+ and OH− ions and oxygen radicals produced by high reaction temperature quickly diffuse into tin oxide structure to form molten phase of K2SnO3/K4SnO4, which nucleate out in different crystals structures [24]. This is confirmed by the zoomed Figure 9d, also suggesting the presence of different potassium stannate phases, since nanowires, micro sub-spherical, elongated hexagonal prisms, and larger irregular shaped particles are visible. Similar shapes were assigned to K2SnO3 and K2Sn3O7 by EDX in previous work [34]. K2SnO3 is a layered structure itself in which the growth predominantly happens at its ends (at edge sites) that can result in nanowires [24]. It can be extrapolated from the SEM pictures that the K-B sorbent was synthesised in the form of fine particles (average size <50 micron). Even though such fine particles can be easily used and tested for characterization in static analysis systems, such as those used in this work, their applicability in actual dynamic systems even at lab-scale, such as fluidized bed reactors, is very challenging. In this context, the use of small sorbent particles can strongly limit sintering and pore-plugging, thus consequently enhancing the multicyclic ability [35]. Moreover, sound-assisted fluidization was proposed as a viable technique to allow the use of such fine particles in fluidized bed reactors, thus overcoming the strict limitation posed by particle size applicable in ordinary fluidized bed reactors [36].
Figure 9.
SEM of KB before (a,b) and after three carbonation/calcination cycles (c,d).
2.4. Kinetic Analysis
As visible in Figure 4, the CO2 sorption process in presence of K-B can be divided into two steps: (i) a rapid chemical sorption step, and (ii) a slower product layer diffusion. The best model that combines the two phenomena is represented by the double exponential (DE) model, which shows high R2 and very good fitting between model and real data in comparison to the other tested models, as shown in Figure 10, Figure A4, Figure A5, Figure A6 and Table 5. Table 6 reports the kinetic parameters calculated with the DE and Eyring’s models. The exponential constant k1 (chemisorption) was in average 200 times larger than the value of k2 (bulk diffusion), and the B constants were always larger than A constants and occurred in a large interval of time, indicating that the limiting step of the overall process was potassium diffusion. Furthermore, potassium diffusion increased with the temperature, with k2 being 10 times larger at 900 °C compared to that at 800 °C. Figure 10 shows the linear plots derived from the Eyring model, where it is possible to see that the superficial and (with less extent) bulk CO2 adsorption processes were linear. The calculated activation enthalpies for the surface and bulk reactions were 2.0 and 28.1 kJ/mol. The very low activation enthalpy for the surface chemisorption indicates that this was not dependent on temperature at this range of temperatures. When compared with other sorbents such as Li4SiO4 [37], the activation enthalpy (∆H ++) values of the bulk chemisorption process were greatly reduced, although the temperatures used in that work were lower than in this work. Instead, under similar conditions, the diffusion enthalpy resulted lower in a previous work where Li4SiO4 was also used, indicating larger diffusion resistance by potassium stannate [38]. On the other hand, the activation entropy (ΔS++) was calculated as negative for the surface process (−3.5 kJ/mol) and positive (14 kJ/mol) for the diffusion one, meaning that the entropy for the activated state is lower than the initial state for the surface reaction, which matches with the fact that at the initial state, CO2 is in the gas phase.
Figure 10.
DE and Eyring’s models applied to K-B CO2 sorption data.
Table 5.
R2 for the various kinetic models evaluated for K-B.
Table 6.
Kinetic parameters obtained applying the DE model.
The apparent DE kinetic models used above indicated the overall adsorption behaviour of K-B and established bulk diffusion of potassium across the carbonate layer formed during the surface chemical reaction as rate-limiting step, but to evaluate the potential presence of other diffusion-limiting steps, the inter-particle, intra-particle diffusion kinetic (IPD) model and the Boyd’s film-diffusion model were used. Applying the inter-particle diffusion model, the plots of ln(1 − qt/qe) versus time exhibited double linearity with poor fitting and the intercept was different from ln6/π2 at all temperatures, indicating that inter-particle diffusion was not a rate-limiting step. Using the IPD model and plotting (qt) vs. (t0.5) did not result in a good fitting and in a straight line passing through the origin, suggesting that the rate-controlling step was not intra-particle diffusion resistance. Finally, the Boyd’s film-diffusion model also had a poor fitting so that mass transfer controlled by pore-diffusion was excluded.
3. Materials and Methods
3.1. Materials
Seven different materials were initially selected: Tin (VI) oxide (SnO2), zirconium oxide (ZrO2), calcium stannate (Ca2SnO3), potassium stannate trihydrate (K2SnO3 ·H2O), lithium stannate (Li2SnO3), and sodium stannate trihydrate (Na2SnO3 ·H2O). Tin oxide and zirconium oxide (≥99.99%) were purchased from Sigma-Aldrich (St. Louis, MO, USA) and calcium, potassium, and sodium meta-stannates (≥99%) were acquired from Santa Cruz Biotechnology (Santa Cruz, CA, USA). Then, 4 different K-Sn CO2 adsorbents were synthesised in-house and tested. K-A, K-B, and K-C were synthesised by manually mixing (for 5 min in a pestle and mortar) KOH (Sigma-Aldrich) and SnO2 (Sigma-Aldrich) using a KOH:SnO2 weight ratio of 1:2, 4:1 and 2:1, respectively [24]. The mixture was then calcined in air for 15 hrs at a final temperature set at 900 °C and a heating/cooling rate of 10 °C/min. The reactants’ weight ratios were selected to selectively form: K2SnO3 nanowires (K-A), K4SnO4 (K-B), and K2SnO3 (K-C). The 4th K-Sn material, K-D, was instead synthesised by mixing K2CO3 and SnO2 with molar ratios of 1/1 K/Sn and calcining the mixture at 800 °C for 9 h in air with heating and cooling rates of 10 °C/min towards the production of a K2Sn3O7-rich sample [23].
3.2. Experiments
CO2 uptake capacity and adsorption rates in dynamic environment from 25 to 900 °C under 50 mL/min of N2/CO2 were evaluated using a Mettler Toledo TGA2 thermogravimetric analyser (Mettler Toledo, Schwerzenbach, Switzerland) depicted in Figure A7. Initially, a small amount of sorbent (~20mg) was placed into the TGA crucible. Pure nitrogen was then passed through the TGA reaction furnace at 100 mL/min until the sample weight became stable. Then, pure CO2 was flown in the TG furnace. The sample was heated from 25 to 900 °C at a 10 °C/min. During heating, the sample weight and temperature were continually recorded by computer software and later plotted to analyse the data. Once the maximum temperature was reached, the temperature was kept for 10 min and finally the CO2 was desorbed by changing back the atmosphere from CO2 to N2. The isothermal TGA experiments were run using a method similar to the one described above, with the difference that the samples were first calcined at 900 °C for 15 min in 100% N2, then the temperature was decreased to the desired one, equilibrated, and then the N2 was switched to CO2 for allowing the isothermal CO2 adsorption to take place for 5–60 min depending on the experiment. Desorption was then obtained raising the temperature to 900 °C in N2. The cyclic performance under three different temperatures (800, 850, and 900 °C) was performed in a sequential way with the same sample. For the cyclic experiments the above steps were repeated 40 times.
3.3. Characterisation
X-ray powder diffraction (XRD) was used to inspect the crystalline size, purity, and nature of the sorbents being investigated. The microstructure of the sorbents was analysed before and after the sorption/desorption process, using a Philips PANalytical X’Pert³ XRD, with Kβ filtration by nickel and variable tension and current of 40 kV and 45 mA. The instrument was operated at 25 °C with a Cu anode (K-Alpha1 1.54060 Å with continuous scans between 25 and 100 (°2Th.) with scan step time of 0.5 s. The specimen length was 10 mm and the receiving slit size 0.38 mm. Match! software version 3.15 Build 247 and the COD Inorganics reference pattern database, together with data from literature [31] were used for the identification of the mineral phases. Their relative abundance was estimated using Origin 2019 software by considering the integral relative intensity corresponding to the different identified mineral phases and assuming that this is proportional to the volume fraction in the sample. The analysis of the relative intensity ratio was used for peaks shared by different phases, dividing the most representative peaks by the most intense one. The mean crystallites diameter size (nm) of the Li-FA sorbents was calculated using Scherrer’s formula (D = κλ/βCOSθ), where the Scherrer constant (k) for spherical crystallites with cubic symmetry is equal to 0.9, λ is wavelength (Cu = 1.5406 Å), β is the full width in radian at half maximum (FWHM) of the peaks, and θ is Bragg’s angle of the XRD peak. FTIR analysis was carried out using a PerkinElmer Frontier (PerkinElmer, Waltham, MA, USA) with polarized UATR with incorporated Spectrum 9™ instrument control and data management Spectrum software version 9. X-ray photoelectron spectroscopy (XPS) was used to collect chemical information on the surface of all samples using a PHI Quantera II Scanning XPS Microprobe (Physical Electronics, Chanhassen, MN, USA). Samples were sputtered with argon ions for 30 sec before the measurements. The energy resolved spectra of C, O, Sn, and K were collected and calibrated with C-C peak of C1s. Scanning electron microscopy (SEM) was performed using a Zeiss Merlin Field Emission Scanning Electron Microscope (Zeiss, Oberkochen, Germany) with an acceleration voltage of 2.5 kV. Samples were coated by gold/palladium sputter coater (Polaron SC7640, Thermo VG Scientific, Waltham, MA, USA) for 20 s under 20 mA before performing.
To establish the apparent CO2 sorption kinetics of the most performing in-house synthesised sorbent (K-B), the weight change data were fitted to the pseudo-second order, Elovich, Avrami, Avrami-Erofeev, and double exponential kinetic models [20]. In the pseudo-second order model (t/qt) vs. t are plotted as linear function, with slope and intercept representing (1/qe) and (qe2/k2), respectively. A linear plot of the Elovich model, which links the rate of adsorption to the increase of CO2 surface coverage, is obtained plotting (qt) vs. (ln(t)), with slope being (1/β) and intercept (1/β)ln(αβ)). According to the Elovich equation, the activation energy changes linearly with the surface coverage according to Ea = Ea0 + ßθ. The Avrami’s fractional order kinetic model of particle nucleation can be applied to CO2 chemisorption by plotting −ln(1 − 𝛼)) vs. ln(t), which yields a straight line in the successful fitting of the model. Finally, a linear version of the Avrami-Erofeev kinetic model that predicts gas-solid reactions to follow a growth pattern through nucleation, followed by the subsequent growth of the nuclei that is formed, is obtained plotting ln(−ln(1 − α)) versus ln(t), where if the value of n (curve slope) is higher than 1, the absorption reaction is controlled by the formation and growth of product crystals [27]. Finally, the isotherms were fitted using the Solver function on Excel to a double exponential (DE) model: y =A exp−k1x + B exp−k2x + C where y represents the weight percentage of CO2 adsorbed, x is the time, k1 and k2 are the exponential factors, which are kinetically controlled by chemisorption and potassium diffusion, and A, B, and C are the pre-exponential factors. The activation enthalpies involved in the above two stages can be calculated using the Eyring absolute rate equation: (ln (k/T) = ln (kb/h) + (ΔS++/R) + (−ΔH++/R) × (1/T), where kB is the Boltzmann’s constant, h is the Planck’s constant, T is the temperature, R is the gas constant, and ΔS++ and ΔH++ are the activation entropy and enthalpy.
To evaluate then the potential sorption mechanism and rate-controlling steps, the inter-particle, intra-particle, and Boyd’s film-diffusion models were employed. The intra-particle diffusion model, which describes overall adsorption mechanism controlled by film diffusion, external diffusion, surface diffusion, or a combination of these steps, was evaluated by plotting (qt) vs. (t0.5), which yields a linear function with (k) and (C) being the slope and intercept, respectively. The Boyd’s film-diffusion model is a single resistance model assuming the gas film surrounding the adsorbent particle is the main resistance. This model can be used to predict the rate-limiting step involved in the adsorption process through the plot of Bt against time t (min). If the plot is straight and passes through the origin, the adsorption rate is controlled by the pore diffusion. However, if the plot is not straight or straight but does not pass through the origin, it can then be deduced that the adsorption process is also controlled by film diffusion [39]. If inter-particle diffusion resistance is the rate-limiting step, a plot of ln(1 − qt/qe) versus t should be linear with the slope of –p(Dc/rp 2) and the intercept should be ln6/p2 [35]. Otherwise, there should be other steps that control the adsorption process.
4. Conclusions
The aim of this work was to investigate the use of stannates for carbon capture at high temperatures to help the global effort to reduce CO2 emissions. Potassium stannate was found to be a contender for a high temperature CO2 sorbent achieving a CO2 uptake capacity of 12.2 wt% (2.77 mmol CO2/g), which is the highest among K-based sorbents. Also, the CO2 uptake rate of the in-house synthesised K-B was one order of magnitude higher than the other sorbents, the uptake was 7.3 wt% after 5 min, and the sorption/desorption cycles stable after 40 cycles. The pseudo-second order model was the most suitable to predict the CO2 adsorption process of K-B indicating dominance of chemical adsorption, while film-diffusion resistance and intra-particle diffusion resistance governed the adsorption process in K-B. In summary, this work shows that solid state synthesised potassium stannate could be an effective sorbent for high temperature separation, and further work is required to optimise its synthesis and application, in particular by evaluating its behaviour under different simulated CO2 concentrations, presence of moisture, reducing the gap between the current CO2 uptake capacity and the theoretical one and decreasing the desorption temperature.
Author Contributions
R.B.: investigation, formal analysis, writing—original draft. R.C.: investigation, data curation, formal analysis, writing—review and editing. O.C.: supervision, funding acquisition, writing—review and editing. A.S.: supervision, conceptualization, methodology, formal analysis, funding acquisition, writing—original draft, writing—review and editing. All authors have read and agreed to the published version of the manuscript.
Funding
This research was partially funded by Innovate UK, Knowledge Transfer Partnership Grant no. 10013135.
Data Availability Statement
Data will be made available on request.
Conflicts of Interest
The authors declare no conflict of interest.
Appendix A
Figure A1.
Cyclic stability of K-C after 40 cycles.
Figure A1.
Cyclic stability of K-C after 40 cycles.

Figure A2.
Cyclic stability of K-D after 40 cycles.
Figure A2.
Cyclic stability of K-D after 40 cycles.

Figure A3.
XPS of raw K-A.
Figure A3.
XPS of raw K-A.

Figure A4.
Kinetic modelling at 800 °C.
Figure A4.
Kinetic modelling at 800 °C.

Figure A5.
Kinetic modelling at 850 °C.
Figure A5.
Kinetic modelling at 850 °C.

Figure A6.
Kinetic modelling at 900 °C.
Figure A6.
Kinetic modelling at 900 °C.

Figure A7.
Schematic of TGA2 thermogravimetric balance used for the CO2 capture tests. [modified from: https://www.mt.com/dam/Analytical/ThermalAnalysi/TA-PDF/TGA2_Broch_EN_30247078_V04.15_Original_38299.pdf (accessed on 9 November 2022).
Figure A7.
Schematic of TGA2 thermogravimetric balance used for the CO2 capture tests. [modified from: https://www.mt.com/dam/Analytical/ThermalAnalysi/TA-PDF/TGA2_Broch_EN_30247078_V04.15_Original_38299.pdf (accessed on 9 November 2022).

References
- National Oceanic and Atmospheric Administration (NOAA). 2022. Available online: https://www.noaa.gov/news-release/carbon-dioxide-now-more-than-50-higher-than-pre-industrial-levels (accessed on 5 July 2022).
- Martin-Roberts, E.; Scott, V.; Flude, S.; Johnson, G.; Haszeldine, R.S.; Gilfillan, S. Carbon capture and storage at the end of a lost decade. One Earth 2021, 4, 1569–1584. [Google Scholar] [CrossRef]
- Liu, X.; Liu, J.; Sun, C.; Liu, H.; Wang, W.; Smith, E.; Jiang, L.; Chen, X.; Snape, C. Design and development of 3D hierarchical ultra-microporous CO2-sieving carbon architectures for potential flow-through CO2 capture at typical practical flue gas temperatures. J. Mater. Chem. A 2020, 8, 17025–17035. [Google Scholar] [CrossRef]
- Yoo, D.K.; Jhung, S.H. Selective CO2 adsorption at low pressure with a Zr based UiO-67 metal–organic framework functionalized with aminosilanes. J. Mater. Chem. A 2022, 10, 8856–8865. [Google Scholar] [CrossRef]
- Dunstan, M.T.; Donat, F.; Bork, A.H.; Grey, C.P.; Müller, C.R. CO2 Capture at Medium to High Temperature Using Solid Oxide-Based Sorbents: Fundamental Aspects, Mechanistic Insights, and Recent Advances. Chem. Rev. 2021, 121, 12681–12745. [Google Scholar] [CrossRef]
- Gao, W.; Liang, S.; Wang, R.; Jiang, Q.; Zhang, Y.; Zheng, Q.; Xie, B.; Toe, C.; Zhu, X.; Wang, J.; et al. Park, Industrial carbon dioxide capture and utilization: State of the art and future challenges. Chem. Soc. Rev. 2020, 49, 8584–8686. [Google Scholar] [CrossRef]
- Garcia, J.A.; Villen-Guzman, M.; Rodriguez-Maroto, J.M.; Paz-Garcia, J.M. Technical analysis of CO2 capture pathways and technologies. J. Environ. Chem. Eng. 2022, 10, 108470. [Google Scholar] [CrossRef]
- Stefanelli, E.; Vitolo, S.; Puccini, M. Single-step fabrication of templated Li4SiO4-based pellets for CO2 capture at high temperature. J. Environ. Chem. Eng. 2022, 10, 108389. [Google Scholar] [CrossRef]
- Krödel, M.; Landuyt, A.; Abdala, P.M.; Müller, C.R. Mechanistic Understanding of CaO-Based Sorbents for High-Temperature CO2 Capture: Advanced Characterization and Prospects. ChemSusChem 2020, 13, 6259–6272. [Google Scholar]
- Peltzer, D.; Múnera, J.; Cornaglia, L. The effect of the Li:Na molar ratio on the structural and sorption properties of mixed zirconates for CO2 capture at high temperature. J. Environ. Chem. Eng. 2019, 7, 2829–3000. [Google Scholar] [CrossRef]
- Zhang, Y.; Gao, Y.; Pfeiffer, H.; Louis, B.; Sun, L.; O’Hare, D.; Wang, Q. Recent advances in lithium containing ceramic based sorbents for high-temperature CO2 capture. J. Mater. Chem. A 2019, 7, 7962–8005. [Google Scholar] [CrossRef]
- Hassani, E.; Cho, J.; Feyzbar-Khalkhali-Nejad, F.; Rashti, A.; Soon Jang, S.; Oh, T.-S. Ca2CuO3: A high temperature CO2 sorbent with rapid regeneration kinetics. J. Environ. Chem. Eng. 2022, 10, 107334. [Google Scholar] [CrossRef]
- Chang, R.; Wu, X.; Cheung, O.; Liu, W. Synthetic solid oxide sorbents for CO2 capture: State-of-the art and future perspectives. J. Mater. Chem. A 2022, 10, 1682–1705. [Google Scholar] [CrossRef]
- Yang, G.; Luo, H.; Ohba, T.; Kanoh, H. CO2 Capture by Carbon Aerogel–Potassium Carbonate Nanocomposites. Int. J. Chem. Eng. 2016, 2016, 4012967. [Google Scholar] [CrossRef]
- Gregory, O.J.; Luo, Q.; Crismas, E.E. High Temperature Stability of Indium Tin Oxide Thin Films. Thin Solid Film. 2002, 406, 286–293. [Google Scholar] [CrossRef]
- Salager, E.; Sarou-Kanian, V.; Sathiya, M.; Tang, M.; Leriche, J.; Melin, P.; Wang, Z.; Vezin, H.; Bassada, C.; Deschamps, M.; et al. Solid-State NMR of the Family of Positive Electrode Materials Li2Ru1–ySnyO3 for Lithium-Ion Batteries. Chem. Mater. 2014, 26, 7009–7019. [Google Scholar] [CrossRef]
- Lloy, J.; Gatehouse, B.M. The crystal structure of potassium metazirconate and potassium metastannate; K2ZrO2 and K2SnO3: Oxides with five-co-ordinate square-pyramidal zirconium(IV) and tin(IV). J. Chem. Soc. D 1969, 727–728. [Google Scholar] [CrossRef]
- Wang, Z.; Ren, Y.; Ma, T.; Zhuang, W.; Lu, S.; Xu, G.; Abouimrane, A.; Amine, K.; Chen, Z. Probing cation intermixing in Li2SnO3. Chen. RSC Adv. 2016, 6, 31559. [Google Scholar] [CrossRef]
- Hernández-Fontes, C.; Pfeiffer, H. Unraveling the CO and CO2 reactivity on Li2MnO3: Sorption and catalytic analyses. Chem. Eng. J. 2022, 428, 131998. [Google Scholar] [CrossRef]
- Inagaki, M.; Nakai, S.; Ikeda, T. Synthesis and sintering of Li2SnO3. J. Nucl. Mater. 1988, 160, 224–228. [Google Scholar] [CrossRef]
- Liu, B.; Zhang, Y.; Su, Z.; Li, G.; Jiang, T. Function mechanism of CO-CO2 atmosphere on the formation of Na2SnO3 from SnO2 and Na2CO3 during the roasting process. Powder Technol. 2016, 301, 102–109. [Google Scholar] [CrossRef]
- Iwasaki, M.; Takizawa, H.; Uheda, K.; Endo, T. Synthesis and crystal structure of Na4Sn3O8. J. Mater. Chem. 2002, 12, 1068–1070. [Google Scholar] [CrossRef]
- McAuliffe, R.D.; Miller, C.A.; Zhang, X.; Hulbert, B.S.; Huq, A.; dela Cruz, C.; Schleife, A.; Shoemaker, D.P. Structural, Electronic, and Optical Properties of K2Sn3O7 with an Offset Hollandite Structure. Inorg. Chem. 2017, 56, 2914–2918. [Google Scholar] [CrossRef] [PubMed]
- Nguyen, T.Q.; Atla, V.; Vendra, V.K.; Thapa, A.K.; Jasinski, J.B.; Druffel, T.L.; Sunkara, M.K. Scalable solvo-plasma production of porous tin oxide nanowires. Chem. Eng. Sci. 2016, 154, 20–26. [Google Scholar] [CrossRef]
- Kierzkowska, A.M.; Pacciani, R.; Müller, C.R. CaO-Based CO2 Sorbents: From Fundamentals to the Development of New, Highly Effective Materials. ChemSusChem 2013, 6, 1130–1148. [Google Scholar] [CrossRef]
- Cho, M.S.; Lee, S.C.; Chae, H.J.; Lee, J.B.; Kim, J.C. Preparation and performance of potassium-based sorbent using SnO2 for post-combustion CO2 capture. Adsorption 2016, 22, 1119–1127. [Google Scholar] [CrossRef]
- Munro, S.; Åhlén, M.; Cheung, O.; Sanna, A. Tuning Na2ZrO3 for fast and stable CO2 adsorption by solid state synthesis. Chem. Eng. J. 2020, 388, 124284. [Google Scholar] [CrossRef]
- Ji, G.; Memon, M.; Zhuo, H.; Zhao, M. Experimental study on CO2 capture mechanisms using Na2ZrO3 sorbents synthesized by soft chemistry method. Chem. Eng. J. 2017, 313, 646–654. [Google Scholar] [CrossRef]
- Sanna, A.; Maroto-Valer, M.M. Potassium-based sorbents from fly ash for high-temperature. Environ. Sci. Pollut. Res. 2016, 23, 22242–22252. [Google Scholar] [CrossRef]
- Hoppe, R.; Roehrborn, H.J.; Walker, H. Neue Plumbate und Stannate der Alkalimetalle. Naturwiss 1964, 51, 86. [Google Scholar] [CrossRef]
- Tournoux, M. Les Systèmes Étain IV-oxygène-Potassium et Zirconium-Oxygène-Potassium. Matériaux. 2007. Available online: https://tel.archives-ouvertes.fr (accessed on 9 July 2022).
- Sanchez-Camacho, P.; Romero-Ibarra, I.C.; Pfeiffer, H. Thermokinetic and microstructural analyses of the CO2 chemisorption on K2CO3-Na2ZrO3. J. CO2 Util. 2013, 3, 14–20. [Google Scholar] [CrossRef]
- Sun, S.; Lv, Z.; Qiao, Y.; Qin, C.; Xu, S.; Wu, C. Integrated CO2 capture and utilization with CaO-alone for high purity syngas production. CCST 2021, 1, 100001. [Google Scholar] [CrossRef]
- Roy, T.; Agarwal, A.K.; Sharma, Y.C. A cleaner route of biodiesel production from waste frying oil using novel potassium tin oxide catalyst: A smart liquid-waste management. Waste Manag. 2021, 135, 243–255. [Google Scholar] [CrossRef] [PubMed]
- Sarrión, B.; Perejón, A.; Sánchez-Jiménez, P.E.; Pérez-Maqueda, L.A.; Valverde, J.M. Role of calcium looping conditions on the performance of natural and synthetic Ca-based materials for energy storage. J. CO2 Util. 2018, 28, 374–384. [Google Scholar] [CrossRef]
- Raganati, F.; Chirone, R.; Ammendola, P. Calcium-looping for thermochemical energy storage in concentrating solar power applications: Evaluation of the effect of acoustic perturbation on the fluidized bed carbonation. Chem. Eng. J. 2020, 392, 123658. [Google Scholar] [CrossRef]
- Wang, K.; Zhao, Y.; Clough, P.T.; Zhao, P.; Anthony, E.J. Sorption of CO2 on NaBr co-doped Li4SiO4 ceramics: Structural and kinetic analysis. Fuel Process. Technol. 2019, 195, 106143. [Google Scholar] [CrossRef]
- Sanna, A.; Thompson, S.; Zajac, J.M.; Whitty, K.J. Evaluation of palm-oil fly ash derived lithium silicate for CO2 sorption under simulated gasification conditions. J. CO2 Util. 2022, 56, 101826. [Google Scholar] [CrossRef]
- Song, G.; Zhu, X.; Chen, R.; Liao, Q.; Ding, Y.D.; Chen, L. An investigation of CO2 adsorption kinetics on porous magnesium oxide. Chem. Eng. J. 2016, 283, 175–183. [Google Scholar] [CrossRef]
Disclaimer/Publisher’s Note: The statements, opinions and data contained in all publications are solely those of the individual author(s) and contributor(s) and not of MDPI and/or the editor(s). MDPI and/or the editor(s) disclaim responsibility for any injury to people or property resulting from any ideas, methods, instructions or products referred to in the content. |
© 2023 by the authors. Licensee MDPI, Basel, Switzerland. This article is an open access article distributed under the terms and conditions of the Creative Commons Attribution (CC BY) license (https://creativecommons.org/licenses/by/4.0/).









