Cytokine Profile in Development of Glioblastoma in Relation to Healthy Individuals
Abstract
1. Introduction
2. Results
2.1. Study Population
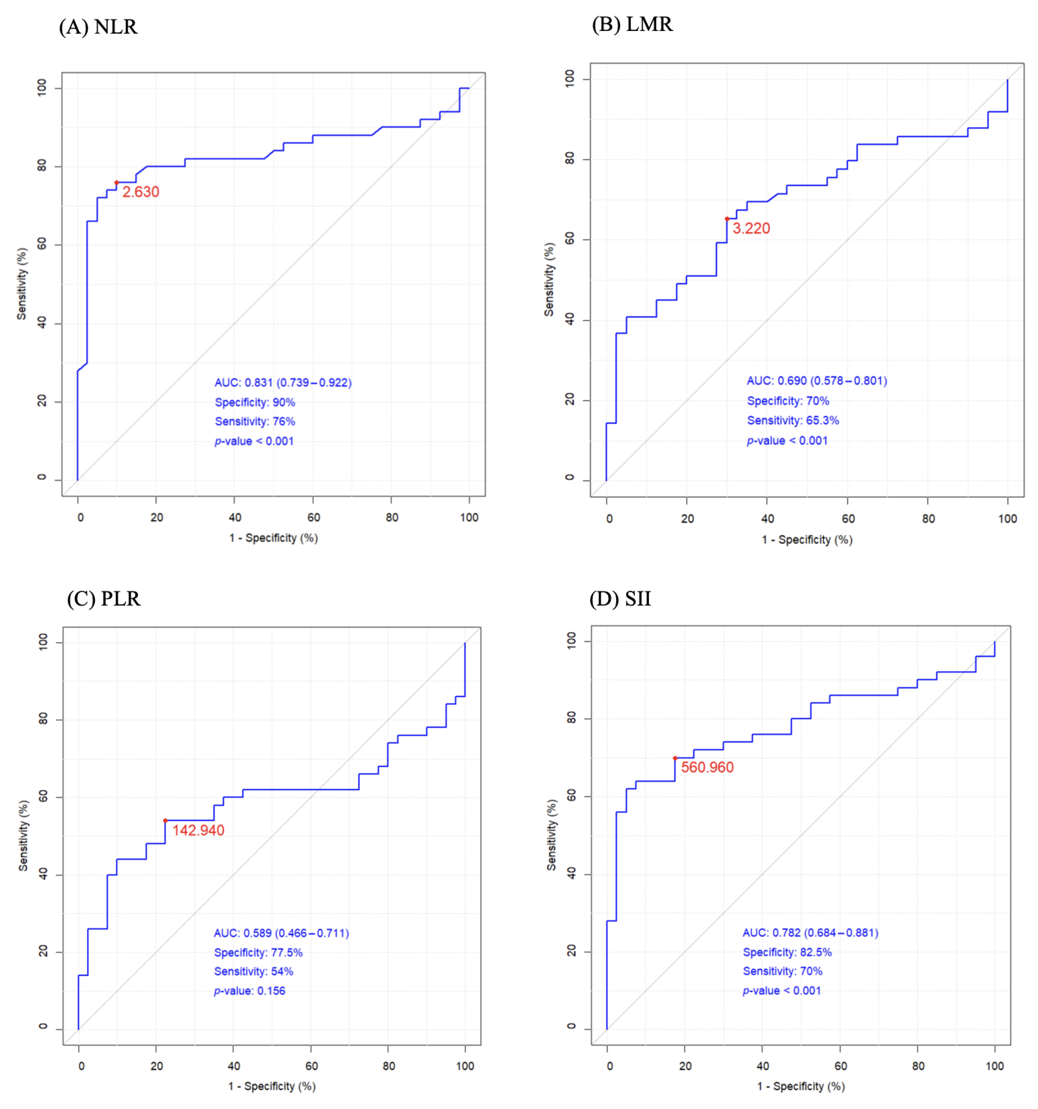
2.2. White Blood Cell Count-Derived Inflammation Indices
2.3. Inflammatory Variables
3. Discussion
4. Materials and Methods
4.1. Study Population
4.2. Clinical Assessment
4.3. Blood Sampling
4.4. White Blood Cell Count-Derived Inflammation Indices
4.5. Inflammatory Variables
4.6. Statistical Analysis
5. Conclusions
Author Contributions
Funding
Institutional Review Board Statement
Informed Consent Statement
Data Availability Statement
Conflicts of Interest
References
- Leonardi, G.C.; Accardi, G.; Monastero, R.; Nicoletti, F.; Libra, M. Ageing: From inflammation to cancer. Immun. Ageing 2018, 15, 1. [Google Scholar] [CrossRef]
- Qu, X.; Tang, Y.; Hua, S. Immunological Approaches Towards Cancer and Inflammation: A Cross Talk. Front. Immunol. 2018, 9, 563. [Google Scholar] [CrossRef]
- Greten, F.R.; Grivennikov, S.I. Inflammation and Cancer: Triggers, Mechanisms, and Consequences. Immunity 2019, 51, 27–41. [Google Scholar] [CrossRef]
- Kim, E.Y.; Lee, J.W.; Yoo, H.M.; Park, C.H.; Song, K.Y. The Platelet-to-Lymphocyte Ratio Versus Neutrophil-to-Lymphocyte Ratio: Which is Better as a Prognostic Factor in Gastric Cancer? Ann. Surg. Oncol. 2015, 22, 4363–4370. [Google Scholar] [CrossRef] [PubMed]
- Li, J.; Zhou, X.; Xiang, Y.; Zhang, S.; Feng, W.; Yuan, Y.; Liu, Y.; Yin, S. Clinical Significance of Preoperative Fibrinogen to Albumin Ratio in Patients with Glioblastoma: A Singe Center Experience. Cancer Manag. Res. 2021, 13, 3259–3269. [Google Scholar] [CrossRef] [PubMed]
- Sahin, F.; Yildiz, P. Serum platelet, MPV, PCT and PDW values, neutrophil to lymphocyte and platelet to lymphocyte ratios in lung cancer diagnosis. Eur. Respir. J. 2015, 46, PA4279. [Google Scholar] [CrossRef]
- Sun, P.; Chen, C.; Xia, Y.; Bi, X.; Liu, P.; Zhang, F.; Yang, H.; An, X.; Jiang, W.; Wang, F. The Ratio of C-Reactive Protein/Albumin is a Novel Inflammatory Predictor of Overall Survival in Cisplatin-Based Treated Patients with Metastatic Nasopharyngeal Carcinoma. Dis. Markers 2017, 2017, 6570808. [Google Scholar] [CrossRef]
- Tang, J.-N.; Goyal, H.; Yu, S.; Luo, H. Prognostic value of systemic immune-inflammation index (SII) in cancers: A systematic review and meta-analysis. J. Lab. Precis. Med. 2018, 3, 29. [Google Scholar] [CrossRef]
- Templeton, A.J.; Mcnamara, M.G.; Šeruga, B.; Vera-Badillo, F.E.; Aneja, P.; Ocaña, A.; Leibowitz-Amit, R.; Sonpavde, G.; Knox, J.J.; Tran, B.; et al. Prognostic Role of Neutrophil-to-Lymphocyte Ratio in Solid Tumors: A Systematic Review and Meta-Analysis. J. Natl. Cancer Inst. 2014, 106, dju124. [Google Scholar] [CrossRef]
- Ying, H.-Q.; Deng, Q.-W.; He, B.-S.; Pan, Y.-Q.; Wang, F.; Sun, H.-L.; Chen, J.; Liu, X.; Wang, S.-K. The prognostic value of preoperative NLR, d-NLR, PLR and LMR for predicting clinical outcome in surgical colorectal cancer patients. Med. Oncol. 2014, 31, 305. [Google Scholar] [CrossRef]
- Deshmukh, R.; Allega, M.F.; Tardito, S. A map of the altered glioma metabolism. Trends Mol. Med. 2021, 27, 1045–1059. [Google Scholar] [CrossRef] [PubMed]
- Jarmuzek, P.; Kot, M.; Defort, P.; Stawicki, J.; Komorzycka, J.; Nowak, K.; Tylutka, A.; Zembron-Lacny, A. Prognostic Values of Combined Ratios of White Blood Cells in Glioblastoma: A Retrospective Study. J. Clin. Med. 2022, 11, 3397. [Google Scholar] [CrossRef]
- Jarmuzek, P.; Kozlowska, K.; Defort, P.; Kot, M.; Zembron-Lacny, A. Prognostic Values of Systemic Inflammatory Immunological Markers in Glioblastoma: A Systematic Review and Meta-Analysis. Cancers 2023, 15, 3339. [Google Scholar] [CrossRef]
- Hanif, F.; Muzaffar, K.; Perveen, K.; Malhi, S.M.; Simjee, S.U. Glioblastoma Multiforme: A Review of its Epidemiology and Pathogenesis through Clinical Presentation and Treatment. Asian Pac. J. Cancer Prev. 2017, 18, 3–9. [Google Scholar] [CrossRef] [PubMed]
- Stupp, R.; Mason, W.P.; van den Bent, M.J.; Weller, M.; Fisher, B.; Taphoorn, M.J.B.; Belanger, K.; Brandes, A.A.; Marosi, C.; Bogdahn, U.; et al. Radiotherapy plus Concomitant and Adjuvant Temozolomide for Glioblastoma. N. Engl. J. Med. 2005, 352, 987–996. [Google Scholar] [CrossRef] [PubMed]
- Field, K.M.; Simes, J.; Nowak, A.K.; Cher, L.; Wheeler, H.; Hovey, E.J.; Brown, C.S.; Barnes, E.H.; Sawkins, K.; Livingstone, A.; et al. Randomized phase 2 study of carboplatin and bevacizumab in recurrent glioblastoma. Neuro-Oncology 2015, 17, 1504–1513. [Google Scholar] [CrossRef]
- Yeo, E.C.F.; Brown, M.P.; Gargett, T.; Ebert, L.M. The Role of Cytokines and Chemokines in Shaping the Immune Microenvironment of Glioblastoma: Implications for Immunotherapy. Cells 2021, 10, 607. [Google Scholar] [CrossRef]
- Franceschi, C.; Campisi, J. Chronic Inflammation (Inflammaging) and Its Potential Contribution to Age-Associated Diseases. J. Gerontol. A Ser. Biol. Sci. Med. Sci. 2014, 69 (Suppl. S1), S4–S9. [Google Scholar] [CrossRef]
- Wawrzyniak-Gramacka, E.; Hertmanowska, N.; Tylutka, A.; Morawin, B.; Wacka, E.; Gutowicz, M.; Zembron-Lacny, A. The Association of Anti-Inflammatory Diet Ingredients and Lifestyle Exercise with Inflammaging. Nutrients 2021, 13, 3696. [Google Scholar] [CrossRef]
- Zinger, A.; Cho, W.C.; Ben-Yehuda, A. Cancer and Aging—The Inflammatory Connection. Aging Dis. 2017, 8, 611–627. [Google Scholar] [CrossRef]
- Van Deursen, J.M. The role of senescent cells in ageing. Nature 2014, 509, 439–446. [Google Scholar] [CrossRef] [PubMed]
- Schmitt, C.A.; Wang, B.; Demaria, M. Senescence and cancer—Role and therapeutic opportunities. Nat. Rev. Clin. Oncol. 2022, 19, 619–636. [Google Scholar] [CrossRef] [PubMed]
- Galdiero, M.R.; Marone, G.; Mantovani, A. Cancer Inflammation and Cytokines. Cold Spring Harb. Perspect. Biol. 2018, 10, a028662. [Google Scholar] [CrossRef] [PubMed]
- Hassel, B.; Niehusmann, P.; Halvorsen, B.; Dahlberg, D. Pro-inflammatory cytokines in cystic glioblastoma: A quantitative study with a comparison with bacterial brain abscesses. With an MRI investigation of displacement and destruction of the brain tissue surrounding a glioblastoma. Front. Oncol. 2022, 12, 846674. [Google Scholar] [CrossRef]
- Rubenich, D.S.; de Souza, P.O.; Omizzollo, N.; Aubin, M.R.; Basso, P.J.; Silva, L.M.; da Silva, E.M.; Teixeira, F.C.; Gentil, G.F.; Domagalski, J.L.; et al. Tumor-neutrophil crosstalk promotes in vitro and in vivo glioblastoma progression. Front. Immunol. 2023, 14, 1183465. [Google Scholar] [CrossRef] [PubMed]
- Bender, D.E.; Schaettler, M.O.; Sheehan, K.C.; Johanns, T.M.; Dunn, G.P. Cytokine Profiling in Plasma from Patients with Brain Tumors Versus Healthy Individuals using 2 Different Multiplex Immunoassay Platforms. Biomark. Insights 2021, 16, 11772719211006666. [Google Scholar] [CrossRef] [PubMed]
- Nijaguna, M.B.; Patil, V.; Hegde, A.S.; Chandramouli, B.A.; Arivazhagan, A.; Santosh, V.; Somasundaram, K. An Eighteen Serum Cytokine Signature for Discriminating Glioma from Normal Healthy Individuals. PLoS ONE 2015, 10, e0137524. [Google Scholar] [CrossRef][Green Version]
- Luo, H.; He, L.; Zhang, G.; Yu, J.; Chen, Y.; Yin, H.; Goyal, H.; Zhang, G.-M.; Xiao, Y.; Gu, C.; et al. Normal Reference Intervals of Neutrophil-To-Lymphocyte Ratio, Platelet-To-Lymphocyte Ratio, Lymphocyte-To-Monocyte Ratio, and Systemic Immune Inflammation Index in Healthy Adults: A Large Multi-Center Study from Western China. Clin. Lab. 2019, 65, 255–265. [Google Scholar] [CrossRef] [PubMed]
- Mandrekar, J.N. Receiver Operating Characteristic Curve in Diagnostic Test Assessment. J. Thorac. Oncol. 2010, 5, 1315–1316. [Google Scholar] [CrossRef]
- Galdiero, M.R.; Varricchi, G.; Loffredo, S.; Mantovani, A.; Marone, G. Roles of neutrophils in cancer growth and progression. J. Leukoc. Biol. 2018, 103, 457–464. [Google Scholar] [CrossRef]
- Zhang, D.; Chen, G.; Manwani, D.; Mortha, A.; Xu, C.; Faith, J.J.; Burk, R.D.; Kunisaki, Y.; Jang, J.-E.; Scheiermann, C.; et al. Neutrophil ageing is regulated by the microbiome. Nature 2015, 525, 528–532. [Google Scholar] [CrossRef]
- Adrover, J.M.; Nicolás-Ávila, J.A.; Hidalgo, A. Aging: A Temporal Dimension for Neutrophils. Trends Immunol. 2016, 37, 334–345. [Google Scholar] [CrossRef] [PubMed]
- Massara, M.; Persico, P.; Bonavita, O.; Poeta, V.M.; Locati, M.; Simonelli, M.; Bonecchi, R. Neutrophils in Gliomas. Front. Immunol. 2017, 8, 1349. [Google Scholar] [CrossRef] [PubMed]
- Fridlender, Z.G.; Sun, J.; Kim, S.; Kapoor, V.; Cheng, G.; Ling, L.; Worthen, G.S.; Albelda, S.M. Polarization of tumor-associated neutrophil pheno-type by TGF-beta: “N1” versus “N2” TAN. Cancer Cell 2009, 16, 183–194. [Google Scholar] [CrossRef] [PubMed]
- Weng, W.; Chen, X.; Gong, S.; Guo, L.; Zhang, X. Preoperative neutrophil–lymphocyte ratio correlated with glioma grading and glioblastoma survival. Neurol. Res. 2018, 40, 917–922. [Google Scholar] [CrossRef]
- Bambury, R.M.; Teo, M.Y.; Power, D.G.; Yusuf, A.; Murray, S.; Battley, J.E.; Drake, C.; O’dea, P.; Bermingham, N.; Keohane, C.; et al. The association of pre-treatment neutrophil to lymphocyte ratio with overall survival in patients with glioblastoma multiforme. J. Neuro-Oncol. 2013, 114, 149–154. [Google Scholar] [CrossRef]
- Wiencke, J.K.; Koestler, D.C.; Salas, L.A.; Wiemels, J.L.; Roy, R.P.; Hansen, H.M.; Rice, T.; McCoy, L.S.; Bracci, P.M.; Molinaro, A.M.; et al. Immunomethylomic approach to explore the blood neutrophil lymphocyte ratio (NLR) in glioma survival. Clin. Epigenetics 2017, 9, 10. [Google Scholar] [CrossRef]
- McNamara, M.G.; Lwin, Z.; Jiang, H.; Templeton, A.J.; Zadeh, G.; Bernstein, M.; Chung, C.; Millar, B.-A.; Laperriere, N.; Mason, W.P. Factors impacting survival following second surgery in patients with glioblastoma in the temozolomide treatment era, incorporating neutrophil/lymphocyte ratio and time to first progression. J. Neuro-Oncol. 2014, 117, 147–152. [Google Scholar] [CrossRef]
- Han, S.; Liu, Y.; Li, Q.; Li, Z.; Hou, H.; Wu, A. Pre-treatment neutrophil-to-lymphocyte ratio is associated with neutrophil and T-cell infiltration and predicts clinical outcome in patients with glioblastoma. BMC Cancer 2015, 15, 617. [Google Scholar] [CrossRef]
- Wang, P.-F.; Song, H.-W.; Cai, H.-Q.; Kong, L.-W.; Yao, K.; Jiang, T.; Li, S.-W.; Yan, C.-X. Preoperative inflammation markers and IDH mutation status predict glioblastoma patient survival. Oncotarget 2017, 8, 50117–50123. [Google Scholar] [CrossRef]
- Mason, M.; Maurice, C.; McNamara, M.G.; Tieu, M.T.; Lwin, Z.; Millar, B.-A.; Menard, C.; Laperriere, N.; Milosevic, M.; Atenafu, E.G.; et al. Neutrophil–lymphocyte ratio dynamics during concurrent chemo-radiotherapy for glioblastoma is an independent predictor for overall survival. J. Neuro-Oncol. 2017, 132, 463–471. [Google Scholar] [CrossRef]
- Tylutka, A.; Morawin, B.; Wawrzyniak-Gramacka, E.; Wacka, E.; Nowicka, W.; Hiczkiewicz, J.; Zembron-Lacny, A. Immunosenescence in Aging-Related Vascular Dysfunction. Int. J. Mol. Sci. 2022, 23, 13269. [Google Scholar] [CrossRef] [PubMed]
- Basheer, A.S.; Abas, F.; Othman, I.; Naidu, R. Role of Inflammatory Mediators, Macrophages, and Neutrophils in Glioma Maintenance and Progression: Mechanistic Understanding and Potential Therapeutic Applications. Cancers 2021, 13, 4226. [Google Scholar] [CrossRef] [PubMed]
- Ocana, A.; Nieto-Jiménez, C.; Pandiella, A.; Templeton, A.J. Neutrophils in cancer: Prognostic role and therapeutic strategies. Mol. Cancer 2017, 16, 137. [Google Scholar] [CrossRef]
- Kore, R.A.; Abraham, E.C. Inflammatory cytokines, interleukin-1 beta and tumor necrosis factor-alpha, upregulated in glioblastoma multiforme, raise the levels of CRYAB in exosomes secreted by U373 glioma cells. Biochem. Biophys. Res. Commun. 2014, 453, 326–331. [Google Scholar] [CrossRef] [PubMed]
- Griffin, B.D.; Moynagh, P.N. Persistent Interleukin-1β Signaling Causes Long Term Activation of NFκB in a Promoter-specific Manner in Human Glial Cells. J. Biol. Chem. 2006, 281, 10316–10326. [Google Scholar] [CrossRef]
- Tada, M.; Diserens, A.-C.; Desbaillets, I.; Jaufeerally, R.; Hamou, M.-F.; de Tribolet, N. Production of interleukin-1 receptor antagonist by human glioblastoma cells in vitro and in vivo. J. Neuroimmunol. 1994, 50, 187–194. [Google Scholar] [CrossRef]
- Qiu, J.; Li, Q.; Bell, K.A.; Yao, X.; Du, Y.; Zhang, E.; Yu, J.J.; Yu, Y.; Shi, Z.; Jiang, J. Small-molecule inhibition of prostaglandin E receptor 2 impairs cyclooxygenase-associated malignant glioma growth. Br. J. Pharmacol. 2019, 176, 1680–1699. [Google Scholar] [CrossRef]
- Palumbo, P.; Lombardi, F.; Augello, F.R.; Giusti, I.; Dolo, V.; Leocata, P.; Cifone, M.G.; Cinque, B. Biological effects of selective COX-2 inhibitor NS398 on human glioblastoma cell lines. Cancer Cell Int. 2020, 20, 167. [Google Scholar] [CrossRef]
- Karin, M. Nuclear factor-κB in cancer development and progression. Nature 2006, 441, 431–436. [Google Scholar] [CrossRef]
- Zhao, H.; Wu, L.; Yan, G.; Chen, Y.; Zhou, M.; Wu, Y.; Li, Y. Inflammation and tumor progression: Signaling pathways and targeted intervention. Signal Transduct. Target. Ther. 2021, 6, 263. [Google Scholar] [CrossRef]
- Feng, Y.; Wang, J.; Tan, D.; Cheng, P.; Wu, A. Relationship between circulating inflammatory factors and glioma risk and prognosis: A meta-analysis. Cancer Med. 2019, 8, 7454–7468. [Google Scholar] [CrossRef]
- Liu, Q.; Li, G.; Li, R.; Shen, J.; He, Q.; Deng, L.; Zhang, C.; Zhang, J. IL-6 promotion of glioblastoma cell invasion and angiogenesis in U251 and T98G cell lines. J. Neuro-Oncol. 2010, 100, 165–176. [Google Scholar] [CrossRef]
- Fridlender, Z.G.; Sun, J.; Mishalian, I.; Singhal, S.; Cheng, G.; Kapoor, V.; Horng, W.; Fridlender, G.; Bayuh, R.; Worthen, G.S.; et al. Transcriptomic Analysis Comparing Tumor-Associated Neutrophils with Granulocytic Myeloid-Derived Suppressor Cells and Normal Neutrophils. PLoS ONE 2012, 7, e31524. [Google Scholar] [CrossRef]
- Wang, Q.; He, Z.; Huang, M.; Liu, T.; Wang, Y.; Xu, H.; Duan, H.; Ma, P.; Zhang, L.; Zamvil, S.S.; et al. Vascular niche IL-6 induces alternative macrophage activation in glioblastoma through HIF-2α. Nat. Commun. 2018, 9, 559. [Google Scholar] [CrossRef]
- Hasan, T.; Caragher, S.P.; Shireman, J.M.; Park, C.H.; Atashi, F.; Baisiwala, S.; Lee, G.; Guo, D.; Wang, J.Y.; Dey, M.; et al. Interleukin-8/CXCR2 signaling regulates therapy-induced plasticity and enhances tumorigenicity in glioblastoma. Cell Death Dis. 2019, 10, 292. [Google Scholar] [CrossRef]
- Huettner, C.; Paulus, W.; Roggendorf, W. Messenger RNA expression of the immunosuppressive cytokine IL-10 in human gli-omas. Am. J. Pathol. 1995, 146, 317–322. [Google Scholar]
- Kosmopoulos, M.; Christofides, A.; Drekolias, D.; Zavras, P.D.; Gargalionis, A.N.; Piperi, C. Critical Role of IL-8 Targeting in Gliomas. Curr. Med. Chem. 2018, 25, 1954–1967. [Google Scholar] [CrossRef] [PubMed]
- Brat, D.J.; Bellail, A.C.; Van Meir, E.G. The role of interleukin-8 and its receptors in gliomagenesis and tumoral angiogenesis. Neuro-Oncol. 2005, 7, 122–133. [Google Scholar] [CrossRef]
- Huettner, C.; Czub, S.; Kerkau, S.; Roggendorf, W.; Tonn, J.C. Interleukin 10 is expressed in human gliomas in vivo and increases glioma cell proliferation and motility in vitro. Anticancer Res. 1997, 17, 3217–3224. [Google Scholar]
- Hishii, M.; Nitta, T.; Ishida, H.; Ebato, M.; Kurosu, A.; Yagita, H.; Sato, K.; Okumura, K. Human Glioma-derived Interleukin-10 Inhibits Antitumor Immune Responses In Vitro. Neurosurgery 1995, 37, 1160–1167. [Google Scholar] [CrossRef] [PubMed]
- Wagner, S.; Czub, S.; Greif, M.; Vince, G.H.; Süss, N.; Kerkau, S.; Rieckmann, P.; Roggendorf, W.; Roosen, K.; Tonn, J.C. Microgli-al/macrophage expression of interleukin 10 in human glioblastomas. Int. J. Cancer 1999, 82, 12–16. [Google Scholar] [CrossRef]
- Joshi, B.H.; Hogaboam, C.; Dover, P.; Husain, S.R.; Puri, R.K. Role of interleukin-13 in cancer, pulmonary fibrosis, and other T(H)2-type diseases. Vitam. Horm. 2006, 74, 479–504. [Google Scholar] [CrossRef]
- Girard, D.; Faquin, R.; Naccache, P.H.; Beaulieu, A.D. Effects of interleukin-13 on human neutrophil functions. J. Leukoc. Biol. 1996, 59, 412–419. [Google Scholar] [CrossRef] [PubMed]
- Knudson, K.M.; Hwang, S.; McCann, M.S.; Joshi, B.H.; Husain, S.R.; Puri, R.K. Recent Advances in IL-13Rα2-Directed Cancer Immunotherapy. Front. Immunol. 2022, 13, 878365. [Google Scholar] [CrossRef]
- Koelman, L.; Pivovarova-Ramich, O.; Pfeiffer, A.F.H.; Grune, T.; Aleksandrova, K. Cytokines for evaluation of chronic inflammatory status in ageing research: Reliability and phenotypic characterisation. Immun. Ageing 2019, 16, 11. [Google Scholar] [CrossRef] [PubMed]
- Kumar, R.; Kamdar, D.; Madden, L.; Hills, C.; Crooks, D.; O'Brien, D.; Greenman, J. Th1/Th2 cytokine imbalance in meningioma, anaplastic astrocytoma and glioblastoma multiforme patients. Oncol. Rep. 2006, 15, 1513–1516. [Google Scholar] [CrossRef][Green Version]
- Zisakis, A.; Piperi, C.; Themistocleous, M.S.; Korkolopoulou, P.; Boviatsis, E.I.; Sakas, D.E.; Patsouris, E.; Lea, R.W.; Kalofoutis, A. Comparative analysis of peripheral and localised cytokine secretion in glioblastoma patients. Cytokine 2007, 39, 99–105. [Google Scholar] [CrossRef]
- Salkeni, M.A.; Naing, A. Interleukin-10 in cancer immunotherapy: From bench to bedside. Trends Cancer 2023, 9, 716–725. [Google Scholar] [CrossRef]
- Geskin, L.J.; Viragova, S.; Stolz, D.B.; Fuschiotti, P. Interleukin-13 is overexpressed in cutaneous T-cell lymphoma cells and regulates their proliferation. Blood 2015, 125, 2798–2805. [Google Scholar] [CrossRef]
- Zhang, Z.; Shen, X.; Tan, Z.; Mei, Y.; Lu, T.; Ji, Y.; Cheng, S.; Xu, Y.; Wang, Z.; Liu, X.; et al. Interferon gamma-related gene signature based on anti-tumor immunity predicts glioma patient prognosis. Front. Genet. 2023, 13, 1053263. [Google Scholar] [CrossRef]
- Ivashkiv, L.B. IFNγ: Signalling, epigenetics and roles in immunity, metabolism, disease and cancer immunotherapy. Nat. Rev. Immunol. 2018, 18, 545–558. [Google Scholar] [CrossRef]
- Jorgovanovic, D.; Song, M.; Wang, L.; Zhang, Y. Roles of IFN-γ in tumor progression and regression: A review. Biomark. Res. 2020, 8, 49. [Google Scholar] [CrossRef]
- Gocher, A.M.; Workman, C.J.; Vignali, D.A.A. Interferon-γ: Teammate or opponent in the tumour microenvironment? Nat. Rev. Immunol. 2022, 22, 158–172. [Google Scholar] [CrossRef] [PubMed]
- Moslemizadeh, A.; Nematollahi, M.H.; Amiresmaili, S.; Faramarz, S.; Jafari, E.; Khaksari, M.; Rezaei, N.; Bashiri, H.; Kheirandish, R. Combination therapy with interferon-gamma as a potential therapeutic medicine in rat's glioblastoma: A multi-mechanism evaluation. Life Sci. 2022, 305, 120744. [Google Scholar] [CrossRef]
- Tripathi, A.; Shrinet, K.; Kumar, A. HMGB1 protein as a novel target for cancer. Toxicol. Rep. 2019, 6, 253–261. [Google Scholar] [CrossRef]
- Sekiguchi, F.; Kawabata, A. Role of HMGB1 in Chemotherapy-Induced Peripheral Neuropathy. Int. J. Mol. Sci. 2020, 22, 367. [Google Scholar] [CrossRef] [PubMed]
- Hreggvidsdóttir, H.S.; Lundberg, A.M.; Aveberger, A.-C.; Klevenvall, L.; Andersson, U.; Harris, H.E. High Mobility Group Box Protein 1 (HMGB1)-Partner Molecule Complexes Enhance Cytokine Production by Signaling Through the Partner Molecule Receptor. Mol. Med. 2012, 18, 224–230. [Google Scholar] [CrossRef] [PubMed]
- Otazu, G.K.; Dayyani, M.; Badie, B. Role of RAGE and Its Ligands on Inflammatory Responses to Brain Tumors. Front. Cell. Neurosci. 2021, 15, 770472. [Google Scholar] [CrossRef]
- Park, J.S.; Arcaroli, J.; Yum, H.-K.; Yang, H.; Wang, H.; Yang, K.-Y.; Choe, K.-H.; Strassheim, D.; Pitts, T.M.; Tracey, K.J.; et al. Activation of gene expression in human neutrophils by high mobility group box 1 protein. Am. J. Physiol. Cell Physiol. 2003, 284, C870–C879. [Google Scholar] [CrossRef] [PubMed]
- Nishibori, M.; Wang, D.; Ousaka, D.; Wake, H. High Mobility Group Box-1 and Blood–Brain Barrier Disruption. Cells 2020, 9, 2650. [Google Scholar] [CrossRef] [PubMed]
- Cheng, P.; Ma, Y.; Gao, Z.; Duan, L. High Mobility Group Box 1 (HMGB1) Predicts Invasion and Poor Prognosis of Glioblastoma Multiforme via Activating AKT Signaling in an Autocrine Pathway. Med. Sci. Monit. 2018, 24, 8916–8924. [Google Scholar] [CrossRef]
- Wang, X.-J.; Zhou, S.-L.; Fu, X.-D.; Zhang, Y.-Y.; Liang, B.; Shou, J.-X.; Wang, J.-Y.; Ma, J. Clinical and prognostic significance of high-mobility group box-1 in human gliomas. Exp. Ther. Med. 2015, 9, 513–518. [Google Scholar] [CrossRef]
- Roesler, R.; Dini, S.A.; Isolan, G.R. Neuroinflammation and immunoregulation in glioblastoma and brain metastases: Recent developments in imaging approaches. Clin. Exp. Immunol. 2021, 206, 314–324. [Google Scholar] [CrossRef] [PubMed]
- Kim, J.-B.; Choi, J.S.; Yu, Y.-M.; Nam, K.; Piao, C.-S.; Kim, S.-W.; Lee, M.-H.; Han, P.-L.; Park, J.-S.; Lee, J.-K. HMGB1, a Novel Cytokine-Like Mediator Linking Acute Neuronal Death and Delayed Neuroinflammation in the Postischemic Brain. J. Neurosci. 2006, 26, 6413–6421. [Google Scholar] [CrossRef] [PubMed]
- Louis, D.N.; Perry, A.; Wesseling, P.; Brat, D.J.; Cree, I.A.; Figarella-Branger, D.; Hawkins, C.; Ng, H.K.; Pfister, S.M.; Reifenberger, G.; et al. The 2021 WHO Classification of Tumors of the Central Nervous System: A summary. Neuro-Oncology 2021, 23, 1231–1251. [Google Scholar] [CrossRef]
- Chen, W.-J.; He, D.-S.; Tang, R.-X.; Ren, F.-H.; Chen, G. Ki-67 is a Valuable Prognostic Factor in Gliomas: Evidence from a Systematic Review and Meta-analysis. Asian Pac. J. Cancer Prev. 2015, 16, 411–420. [Google Scholar] [CrossRef]
- R Core Team. R: A Language and Environment for Statistical Computing; R Foundation for Statistical Computing: Vienna, Austria, 2022; Available online: https://www.R-project.org/ (accessed on 1 June 2023).


| Index | Reference Values | GBM n = 50 Mean ± SD (Me) | HC n = 40 Mean ± SD (Me) | GBM vs. HC p Level |
|---|---|---|---|---|
| WBC (103/µL) | 4.0–10.2 | 8.41 ± 2.92 (7.86) | 6.03 ± 1.54 (6.06) | <0.001 |
| Neutrophils (103/µL) | 2.0–6.9 | 9.95 ± 8.46 (7.52) | 3.37 ± 1.31 (3.04) | <0.001 |
| Lymphocytes (103/µL) | 0.6–3.4 | 1.75 ± 1.27 (1.42) | 1.90 ± 0.58 (1.82) | 0.022 |
| Monocytes (103/µL) | 0.00–0.90 | 0.69 ± 0.73 (0.52) | 0.50 ± 0.12 (0.49) | 0.555 |
| Platelets (103/µL) | 140–420 | 216 ± 109 (206) | 219 ± 58 (209) | 0.873 |
| NLR (103/µL) | 0.87–4.15 | 8.08 ± 7.26 (5.53) | 1.98 ± 1.53 (1.74) | <0.001 |
| LMR (103/µL) | 2.45–8.77 | 4.21 ± 5.90 (2.82) | 3.97 ± 1.27 (3.73) | <0.001 |
| PLR (103/µL) | 47–198 | 173 ± 120 (151) | 123 ± 46 (112) | 0.143 |
| SII (103/µL) | 142–808 | 1785 ± 1769 (1214) | 442 ± 375 (343) | <0.001 |
| Variable | GBM n = 50 Mean ± SD (Me) | HC n = 40 Mean ± SD (Me) | GBM vs. HC p Level |
|---|---|---|---|
| IL-1β pg/mL | 0.641 ± 0.232 (0.616) | 0.459 ± 0.183 (0.433) | <0.001 |
| IL-1Ra pg/mL | 69.83 ± 32.86 (62.83) | 63.42 ± 20.76 (59.92) | 0.581 |
| IL-6 pg/mL | 22.51 ± 8.30 (22.51) | 16.25 ± 5.66 (12.27) | <0.001 |
| IL-8 pg/mL | 17.03 ± 9.35 (13.57) | 10.32 ± 2.62 (9.62) | <0.001 |
| IL-10 pg/mL | 49.67 ± 18.39 (49.06) | 39.35 ± 9.71 (38.41) | 0.003 |
| IL-13 pg/mL | 5.83 ± 2.66 (5.37) | 5.78 ± 1.67 (5.39) | 0.561 |
| TNFα pg/mL | 57.84 ± 22.56 (54.80) | 71.20 ± 18.04 (73.22) | <0.001 |
| IFNγ pg/mL | 161 ± 101 (174) | 174 ± 67 (186) | 0.712 |
| HMGB1 ng/mL | 44.47 ± 33.76 (30.83) | 51.03 ± 31.14 (40.05) | <0.001 |
| Variable | AUC | Cut-Off Value | Specificity (%) | Sensitivity (%) | RR | 95% CI | p Level |
|---|---|---|---|---|---|---|---|
| IL-1β pg/mL | 0.720 | 0.469 | 55.0 | 78.0 | 2.111 | 1.346–3.342 | <0.001 |
| IL-1Ra pg/mL | 0.525 | 61.31 | 57.5 | 56.0 | 1.353 | 0.851–2.191 | 0.685 |
| IL-6 pg/mL | 0.725 | 19.83 | 80.0 | 80.0 | 2.923 | 1.605–5.724 | <0.001 |
| IL-8 pg/mL | 0.735 | 10.86 | 72.5 | 76.0 | 3.151 | 1.867–5.588 | <0.001 |
| IL-10 pg/mL | 0.683 | 41.22 | 67.5 | 72.0 | 2.482 | 1.519–4.222 | <0.05 |
| IL-13 pg/mL | 0.536 | 4.45 | 85.0 | 38.0 | 0.459 | 0.213–0.880 | 0.560 |
| TNFα pg/mL | 0.720 | 65.72 | 67.5 | 74.0 | 0.385 | 0.227–0.629 | <0.001 |
| IFNγ pg/mL | 0.523 | 159.24 | 70.0 | 48.0 | 0.643 | 0.370–1.056 | 0.712 |
| HMGB1 ng/mL | 0.708 | 34.52 | 75.0 | 66.0 | 0.364 | 0.199–0.628 | <0.001 |
| Model | AUC | Cut-off Value (as Probability) | Classifier Accuracy (%) | p Level |
|---|---|---|---|---|
| NLR + IL-1β | 0.907 | 0.473 | 85.6 | <0.001 |
| NLR + IL-1Ra | 0.841 | 0.405 | 83.3 | <0.001 |
| NLR + IL-6 | 0.908 | 0.544 | 87.8 | <0.001 |
| NLR + IL-8 | 0.896 | 0.458 | 88.9 | <0.001 |
| NLR + IL-10 | 0.887 | 0.520 | 84.4 | <0.001 |
| NLR + IL-13 | 0.830 | 0.441 | 83.3 | <0.001 |
| NLR + TNFα | 0.853 | 0.501 | 82.2 | <0.001 |
| NLR + IFNγ | 0.866 | 0.407 | 84.4 | <0.001 |
| NLR + HMGB1 | 0.823 | 0.449 | 83.1 | <0.001 |
| Model | AUC | Cut-off Value (as Probability) | Classifier Accuracy (%) | p Level |
|---|---|---|---|---|
| SII + IL-1β | 0.880 | 0.544 | 81.1 | <0.001 |
| SII + IL-1Ra | 0.808 | 0.469 | 78.9 | <0.001 |
| SII + IL-6 | 0.872 | 0.459 | 81.1 | <0.001 |
| SII + IL-8 | 0.882 | 0.434 | 85.6 | <0.001 |
| SII + IL-10 | 0.845 | 0.444 | 76.7 | <0.001 |
| SII + IL-13 | 0.793 | 0.505 | 77.8 | <0.001 |
| SII + TNFα | 0.816 | 0.542 | 77.8 | <0.001 |
| SII + IFNγ | 0.794 | 0.513 | 77.8 | <0.001 |
| SII + HMGB1 | 0.783 | 0.445 | 78.7 | <0.001 |
| Value | ||
|---|---|---|
| Follow-up period | Mean ± SD (day) Median (range) | 201 ± 152 174 (4–727) |
| Age at operation | Mean ± SD (year) Median (range) | 66.0 ± 10.56 65.0 (38.4–88.9) |
| Gender | Females Males | 30 (60%) 20 (40%) |
| Hemisphere | Left Right Midline or bilateral | 24 (48%) 22 (44%) 4 (8%) |
| Location | Frontal lobe Temporal lobe Parietal lobe Occipital lobe Subtentorial location Multifocal | 16 (32%) 15 (30%) 12 (24%) 4 (8%) 0 (0%) 3 (6%) |
| Ki-67 | ≥30% <30% | 31 (62%) 19 (38%) |
| CRP | Mean ± SD (mg/L) Median (range) | 10.59 ± 5.98 11.08 (0.85–21.99) |
Disclaimer/Publisher’s Note: The statements, opinions and data contained in all publications are solely those of the individual author(s) and contributor(s) and not of MDPI and/or the editor(s). MDPI and/or the editor(s) disclaim responsibility for any injury to people or property resulting from any ideas, methods, instructions or products referred to in the content. |
© 2023 by the authors. Licensee MDPI, Basel, Switzerland. This article is an open access article distributed under the terms and conditions of the Creative Commons Attribution (CC BY) license (https://creativecommons.org/licenses/by/4.0/).
Share and Cite
Jarmuzek, P.; Defort, P.; Kot, M.; Wawrzyniak-Gramacka, E.; Morawin, B.; Zembron-Lacny, A. Cytokine Profile in Development of Glioblastoma in Relation to Healthy Individuals. Int. J. Mol. Sci. 2023, 24, 16206. https://doi.org/10.3390/ijms242216206
Jarmuzek P, Defort P, Kot M, Wawrzyniak-Gramacka E, Morawin B, Zembron-Lacny A. Cytokine Profile in Development of Glioblastoma in Relation to Healthy Individuals. International Journal of Molecular Sciences. 2023; 24(22):16206. https://doi.org/10.3390/ijms242216206
Chicago/Turabian StyleJarmuzek, Pawel, Piotr Defort, Marcin Kot, Edyta Wawrzyniak-Gramacka, Barbara Morawin, and Agnieszka Zembron-Lacny. 2023. "Cytokine Profile in Development of Glioblastoma in Relation to Healthy Individuals" International Journal of Molecular Sciences 24, no. 22: 16206. https://doi.org/10.3390/ijms242216206
APA StyleJarmuzek, P., Defort, P., Kot, M., Wawrzyniak-Gramacka, E., Morawin, B., & Zembron-Lacny, A. (2023). Cytokine Profile in Development of Glioblastoma in Relation to Healthy Individuals. International Journal of Molecular Sciences, 24(22), 16206. https://doi.org/10.3390/ijms242216206

