Validation of a Molecular Diagnostic Test for Circulating Tumor DNA by Next-Gen Sequencing
Abstract
:1. Introduction
2. Results
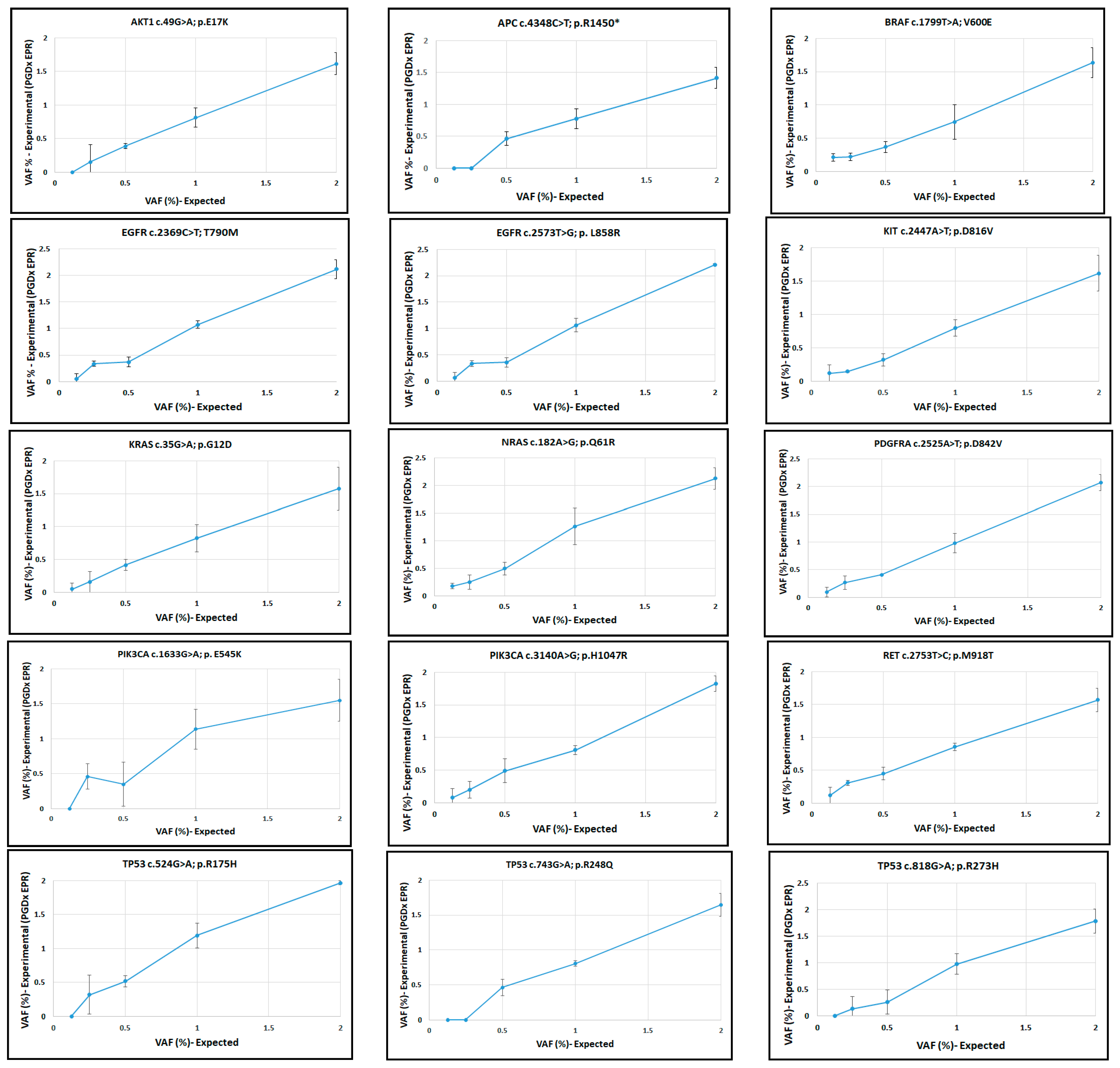
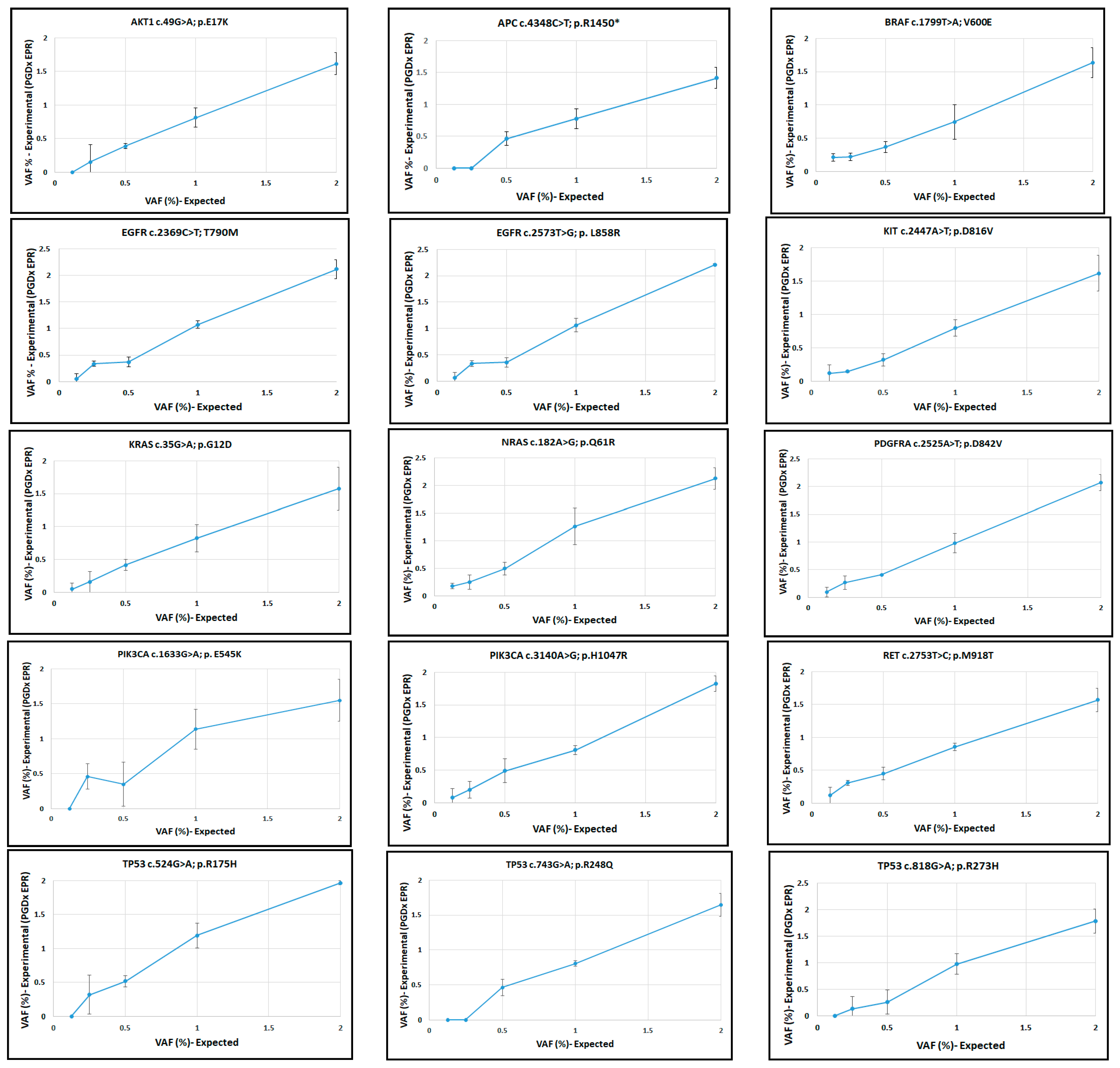
2.1. Analytical Performance of the EPR Assay Using Reference Standards
2.2. Clinical Sample Concordance with an Orthologous Assay
2.3. New Pipeline for Variant Reporting
2.4. Digital PCR
2.5. Response to Treatment
3. Discussion
4. Materials and Methods
4.1. Samples, Storage, and ctDNA Isolation
4.2. EPR Library Construction and Sequencing
4.3. Bioinformatics Pipeline
4.4. EPR Technical Performance Assessment
4.5. EPR Clinical Concordance Assessment
4.6. Precision: Repeatability and Reproducibility
4.7. Digital PCR
5. Conclusions
Supplementary Materials
Author Contributions
Funding
Institutional Review Board Statement
Informed Consent Statement
Data Availability Statement
Acknowledgments
Conflicts of Interest
Abbreviations
References
- Arisi, M.F.; Dotan, E.; Fernandez, S.V. Circulating Tumor DNA in Precision Oncology and Its Applications in Colorectal Cancer. Int. J. Mol. Sci. 2022, 23, 4441. [Google Scholar] [CrossRef] [PubMed]
- Pascual, J.; Attard, G.; Bidard, F.C.; Curigliano, G.; De Mattos-Arruda, L.; Diehn, M.; Italiano, A.; Lindberg, J.; Merker, J.D.; Montagut, C.; et al. ESMO recommendations on the use of circulating tumour DNA assays for patients with cancer: A report from the ESMO Precision Medicine Working Group. Ann. Oncol. 2022, 33, 750–768. [Google Scholar] [CrossRef] [PubMed]
- Rolfo, C.; Mack, P.; Scagliotti, G.V.; Aggarwal, C.; Arcila, M.E.; Barlesi, F.; Bivona, T.; Diehn, M.; Dive, C.; Dziadziuszko, R.; et al. Liquid Biopsy for Advanced NSCLC: A Consensus Statement From the International Association for the Study of Lung Cancer. J. Thorac. Oncol. 2021, 16, 1647–1662. [Google Scholar] [CrossRef] [PubMed]
- Diehl, F.; Schmidt, K.; Choti, M.A.; Romans, K.; Goodman, S.; Li, M.; Thornton, K.; Agrawal, N.; Sokoll, L.; Szabo, S.A.; et al. Circulating mutant DNA to assess tumor dynamics. Nat. Med. 2008, 14, 985–990. [Google Scholar] [CrossRef] [PubMed]
- Forshew, T.; Murtaza, M.; Parkinson, C.; Gale, D.; Tsui, D.W.; Kaper, F.; Dawson, S.J.; Piskorz, A.M.; Jimenez-Linan, M.; Bentley, D.; et al. Noninvasive identification and monitoring of cancer mutations by targeted deep sequencing of plasma DNA. Sci. Transl. Med. 2012, 4, 136ra168. [Google Scholar] [CrossRef] [PubMed]
- Dawson, S.J.; Tsui, D.W.; Murtaza, M.; Biggs, H.; Rueda, O.M.; Chin, S.F.; Dunning, M.J.; Gale, D.; Forshew, T.; Mahler-Araujo, B.; et al. Analysis of circulating tumor DNA to monitor metastatic breast cancer. N. Engl. J. Med. 2013, 368, 1199–1209. [Google Scholar] [CrossRef] [PubMed]
- Newman, A.M.; Bratman, S.V.; To, J.; Wynne, J.F.; Eclov, N.C.; Modlin, L.A.; Liu, C.L.; Neal, J.W.; Wakelee, H.A.; Merritt, R.E.; et al. An ultrasensitive method for quantitating circulating tumor DNA with broad patient coverage. Nat. Med. 2014, 20, 548–554. [Google Scholar] [CrossRef] [PubMed]
- Guidance for Industry and FDA Staff. Statistical Guidance on Reporting Results from Studies Evaluating Diagnostic Tests. 2023. Available online: https://www.fda.gov/media/71147/download (accessed on 8 October 2023).
- Jennings, L.J.; Arcila, M.E.; Corless, C.; Kamel-Reid, S.; Lubin, I.M.; Pfeifer, J.; Temple-Smolkin, R.L.; Voelkerding, K.V.; Nikiforova, M.N. Guidelines for Validation of Next-Generation Sequencing-Based Oncology Panels: A Joint Consensus Recommendation of the Association for Molecular Pathology and College of American Pathologists. J. Mol. Diagn. 2017, 19, 341–365. [Google Scholar] [CrossRef]
- Clark, T.A.; Chung, J.H.; Kennedy, M.; Hughes, J.D.; Chennagiri, N.; Lieber, D.S.; Fendler, B.; Young, L.; Zhao, M.; Coyne, M.; et al. Analytical Validation of a Hybrid Capture-Based Next-Generation Sequencing Clinical Assay for Genomic Profiling of Cell-Free Circulating Tumor DNA. J. Mol. Diagn. 2018, 20, 686–702. [Google Scholar] [CrossRef] [PubMed]
- Williams, P.M.; Forbes, T.P.; Lund, S.; Cole, K.D.; He, H.J.; Karlovich, C.; Paweletz, C.P.; Stetson, D.; Yee, L.M.; Connors, D.E.; et al. Validation of ctDNA Quality Control Materials Through a Precompetitive Collaboration of the Foundation for the National Institutes of Health. JCO Precis. Oncol. 2021, 5, 910–920. [Google Scholar] [CrossRef] [PubMed]
- CLSI. Nucleic Acid Sequencing Methods in Diagnostic Laboratory Medicine, 2nd ed.; Approved Guideline; CLSI Document MM09-A2; Clinical and Laboratory Standards Institute: Wayne, PA, USA, 2014. [Google Scholar]
- Zulato, E.; Tosello, V.; Nardo, G.; Bonanno, L.; Del Bianco, P.; Indraccolo, S. Implementation of Next Generation Sequencing-Based Liquid Biopsy for Clinical Molecular Diagnostics in Non-Small Cell Lung Cancer (NSCLC) Patients. Diagnostics 2021, 11, 1468. [Google Scholar] [CrossRef] [PubMed]
- Verma, S.; Moore, M.W.; Ringler, R.; Ghosal, A.; Horvath, K.; Naef, T.; Anvari, S.; Cotter, P.D.; Gunn, S. Analytical performance evaluation of a commercial next generation sequencing liquid biopsy platform using plasma ctDNA, reference standards, and synthetic serial dilution samples derived from normal plasma. BMC Cancer 2020, 20, 945. [Google Scholar] [CrossRef] [PubMed]
- Tack, V.; Spans, L.; Schuuring, E.; Keppens, C.; Zwaenepoel, K.; Pauwels, P.; Van Houdt, J.; Dequeker, E.M.C. Describing the Reportable Range Is Important for Reliable Treatment Decisions: A Multiple Laboratory Study for Molecular Tumor Profiling Using Next-Generation Sequencing. J. Mol. Diagn. 2018, 20, 743–753. [Google Scholar] [CrossRef] [PubMed]
- Weber, S.; Spiegl, B.; Perakis, S.O.; Ulz, C.M.; Abuja, P.M.; Kashofer, K.; Leest, P.V.; Azpurua, M.A.; Tamminga, M.; Brudzewsky, D.; et al. Technical Evaluation of Commercial Mutation Analysis Platforms and Reference Materials for Liquid Biopsy Profiling. Cancers 2020, 12, 1588. [Google Scholar] [CrossRef] [PubMed]
- Rose Brannon, A.; Jayakumaran, G.; Diosdado, M.; Patel, J.; Razumova, A.; Hu, Y.; Meng, F.; Haque, M.; Sadowska, J.; Murphy, B.J.; et al. Enhanced specificity of clinical high-sensitivity tumor mutation profiling in cell-free DNA via paired normal sequencing using MSK-ACCESS. Nat. Commun. 2021, 12, 3770. [Google Scholar] [CrossRef] [PubMed]
- Deveson, I.W.; Gong, B.; Lai, K.; LoCoco, J.S.; Richmond, T.A.; Schageman, J.; Zhang, Z.; Novoradovskaya, N.; Willey, J.C.; Jones, W.; et al. Evaluating the analytical validity of circulating tumor DNA sequencing assays for precision oncology. Nat. Biotechnol. 2021, 39, 1115–1128. [Google Scholar] [CrossRef] [PubMed]
- Rodriguez-Casanova, A.; Bao-Caamano, A.; Lago-Leston, R.M.; Brozos-Vazquez, E.; Costa-Fraga, N.; Ferreiros-Vidal, I.; Abdulkader, I.; Vidal-Insua, Y.; Rivera, F.V.; Candamio Folgar, S.; et al. Evaluation of a Targeted Next-Generation Sequencing Panel for the Non-Invasive Detection of Variants in Circulating DNA of Colorectal Cancer. J. Clin. Med. 2021, 10, 4487. [Google Scholar] [CrossRef] [PubMed]
- Gong, B.; Deveson, I.W.; Mercer, T.; Johann, D.J., Jr.; Jones, W.; Tong, W.; Xu, J. Ultra-deep sequencing data from a liquid biopsy proficiency study demonstrating analytic validity. Sci. Data 2022, 9, 170. [Google Scholar] [CrossRef] [PubMed]
- Wood, D.E.; White, J.R.; Georgiadis, A.; Van Emburgh, B.; Parpart-Li, S.; Mitchell, J.; Anagnostou, V.; Niknafs, N.; Karchin, R.; Papp, E.; et al. A machine learning approach for somatic mutation discovery. Sci. Transl. Med. 2018, 10, eaar7939. [Google Scholar] [CrossRef] [PubMed]



| Variant Type | DNA Quantity | At 0.125% VAF % (Detected/Total) | At 0.25% VAF % (Detected/Total) | At 0.5% VAF % (Detected/Total) | At 1% VAF % (Detected/Total) | At 2% VAF % (Detected/Total) |
|---|---|---|---|---|---|---|
| 15 SNV | 30 ng | 37.7% (17/45) | 64.4% (29/45) | 91.1% (41/45) | 100% (45/45) | 97.8% (44/45) |
| 40 ng | 33.3% (20/60) | 77.7% (35/45) | 93.3% (70/75) | 100% (45/45) | 100% (45/45) | |
| 50 ng | 35.5% (16/45) | 73.3% (33/45) | 95.5% (43/45) | 100% (45/45) | 100% (45/45) | |
| 60 ng | 33.3% (15/45) | 68.9% (31/45) | 93.3% (42/45) | 100% (45/45) | 100% (45/45) | |
| 9 indels | 30 ng | 14.8% (4/27) | 37% (10/27) | 66.7% (18/27) | 74% (20/27) | 77.8% (21/27) |
| 40 ng | 19.4% (7/36) | 37% (10/27) | 46.7% (21/45) | 77.8% (21/27) | 77.8% (21/27) | |
| 50 ng | 18.5% (5/27) | 33.3% (9/27) | 59.3% (16/27) | 70.4% (19/27) | 77.8% (21/27) | |
| 60 ng | 18.5% (5/27) | 33.3% (9/27) | 59.3% (16/27) | 70.4% (19/27) | 77.8% (21/27) |
| Seraseq ctDNA Reference Material v.2 (ng) for Library Preparation | ||||
|---|---|---|---|---|
| Using 30 ng | Using 40 ng | Using 50 ng | Using 60 ng | |
| PPV = TP/(TP+FP) | 96.5% [249/(249+9)] | 97.4% [300/(300+8)] | 97.3% [252/(252+7)] | 98.4% [249/(249+4)] |
| LoD-95 for SNVs | 1% VAF | 1% VAF | 0.5% VAF | 0.5% VAF |
| Specificity = TN/(TN + FP) | 93.5% [72/(72+5)] | 93.2% [96/(96+7)] | 92.3% [72/(72+6)] | 92.3% [72/(72+6)] |
| Gene | Variant (DNA) | Variant (Protein) | Tempus Assay VAF% | EPR Assay VAF% | Classification | Type of Tumor | Patient ID# |
|---|---|---|---|---|---|---|---|
| AKT1 | 49G>A | E17K | 39.1 | 43.35 | Path. | Breast | MF-053 |
| ALK | 1108G>A | E370K | 35.7 | 38.88 | Unc. Sig. | Colon | EW-034 |
| ALK | 3599C>T | A1200V | 40.8 | 36.16 | Unc. Sig. | Mel. | SH-041 |
| ALK | 3885G>A | W1295* | 3.7 | 4.55 | Unc. Sig. | Lung | JS-040 |
| ALK | 3931G>C | D1311H | 3.3 | 4.66 | Unc. Sig. | Lung | JS-040 |
| APC | 734C>A | S245* | 14 | 12.85 | Path. | Colon | HM-059 |
| APC | 4349G>A | R1450Q | 48.8 | 0 (48.9 G) | Unc. Sig. | Lung | GP-051 |
| ARID1A | 947A>T | Y316F | 0.6 | 0 | Unc. Sig. | Lung | DK-055 |
| ARID1A | 1978G>A | G660R | 1.7 | 1.32 | Unc. Sig. | Lung | CK-027 |
| ARID1A | 5965C>T | R1989* | 0.3 | 0 | Path. | Lung | AS-012 |
| ATM | 1339C>T | R447* | 51.6 | 0 (53.4 G) | Path. | Lung | RC-055 |
| ATM | 6188G>A | G2063E | 17.1 | 21 | Lik. Path. | Colon | AD-050 |
| ATM | 8165T>G | L2722R | 5.4 | 5.54 | Unc. Sig. | Lung | JR-010 |
| ATM | 9023G>A | R3008H | 18.3 | 20.81 | Path. | Colon | AD-050 |
| ATM | 9101T>G | L3034W | 50.4 | 0 (50 G) | Unc. Sig. | Lung | LTW-047 |
| BRAF | 793G>C | G265R | 0* | 14.3 | Lik. Path. | Lung | LTW-047 |
| BRAF | 1447A>G | K483E | 68.5 | 0 (69 G) | Lik. Path. | Colon | MM-015 |
| BRAF | 1799T>A | V600E | 0.6 | 0.69 | Path. | Mel. | LH-070 |
| BRAF | 1799T>A | V600E | 1.6 | 1.94 | Path. | Mel. | JB-086 |
| BRAF | 1799T>A | V600E | 19.8 | 17.07 | Path. | Mel. | SH-041 |
| BRCA1 | 3599A>C | Q1200P | 0.6 | 0 | Unc. Sig. | Lung | CL-080 |
| BRCA2 | 7903G>A | E2635K | 10.2 | 9.83 | Unc. Sig. | Colon | HM-059 |
| BRCA2 | 3568C>T | R1190W | 52 | 52.11 | Benign | Lung | JS-040 |
| CCND1 | 835G>T | E279* | 1.3 | 0 | Unc. Sig. | Lung | AS-012 |
| CDH1 | 817G>A | E273K | 0.3 | 0 | Unc. Sig. | Lung | DK-055 |
| CDH1 | 2199G>T | R733S | 0.3 | 0 | Unc. Sig. | Lung | LTW-047 |
| EGFR | 2255C>T | S752F | 0 | 1.16 | Lik. Path. | Lung | AS-012 |
| EGFR | 2918G>A | R973Q | 0.9 | 1.07 | Unc. Sig. | Lung | JR-010 |
| EGFR | 3055C>T | P1019S | 0.8 | 0.56 | Unc. Sig. | Lung | RC-055 |
| KIT | 497C>G | P166R | 0.6 | 0.78 | Unc. Sig. | Lung | JK-049 |
| KIT | 1588G>A | V5301 | 0.8 | 0 | Unc. Sig. | Lung | PC-075 |
| KRAS | 34G>T | G12C | 0.5 | 1.62 | Path. | Colon | EW-034 |
| KRAS | 35G>A | G12D | 9.6 | 9.88 | Path. | Lung | MS-072 |
| KRAS | 35G>A | G12D | 22.5 | 21.85 | Path. | Colon | HM-059 |
| KRAS | 35G>A | G12D | 34.5 | 33.28 | Path. | Colon | AD-050 |
| KRAS | 35G>T | G12V | 14.4 | 11.13 | Path. | Lung | CL-080 |
| KRAS | 35G>C | G12A | 25.5 | 25.08 | Path. | Lung | JS-040 |
| KRAS | 437C>T | A146V | 35.1 | 34.9 | Path. | Colon | MM-015 |
| MET | 3637C>A | L1213I | 8.9 | 7.9 | Lik. Path. | Lung | LD-030 |
| MET | 3937T>A | Y1331N | 6.7 | 8.25 | Unc. Sig. | Lung | MS-072 |
| MYC | 138C>G | F46L | 23.6 | 22.21 | Unc. Sig. | Breast | CM-029 |
| MYC | 1307G>A | R436Q | 49.4 | 0 (49 G) | Unc. Sig. | Esoph. | AG-042 |
| NTRK1 | 2350C>G | L784V | 0.6 | 0 | Unc. Sig. | Lung | LTW-047 |
| PIK3CA | 1624G>A | E542K | 0 | 0.31 | Path. | Colon | HM-059 |
| PIK3CA | 1624G>A | E542K | 0.3 | 0.13 | Path. | Lung | JK-049 |
| PIK3CA | 1624G>A | E542K | 81 | 83.73 | Path. | Breast | CM-029 |
| PIK3CA | 1633G>A | E545K | 0.3 | 0.26 | Path. | Colon | HM-059 |
| PIK3CA | 1634A>G | E545G | 0.3 | 0.16 | Path. | Colon | HM-059 |
| PIK3CA | 2176G>A | E726K | 0 | 0.32 | Path. | Lung | AS-012 |
| RET | 1078C>T | R360W | 0 | 0.9 | Unc. Sig. | Mel. | JB-086 |
| ROS1 | 5209G>T | E1737* | 1.5 | 1.4 | Unc. Sig. | Breast | MF-053 |
| ROS1 | 6286C>T | R2096W | 30.7 | 0 (29.8 R) | Unc. Sig. | Lung | DK-055 |
| TP53 | 313G>T | G105C | 19.9 | 23.04 | Path. | Lung | LD-030 |
| TP53 | 469G>T | V157F | 2.2 | 1.75 | Path. | Lung | PC-075 |
| TP53 | 641A>G | H214R | 0.3 | 0.32 | Path. | Esoph. | AG-042 |
| TP53 | 659A>G | Y220C | 2.2 | 2.89 | Path. | Lung | JK-049 |
| TP53 | 673-1G>T | Splicing region | 37.6 | 0 (36 R) | Path. | Breast | CM-029 |
| TP53 | 715A>G | N239D | 34.9 | 33.03 | Path. | Lung | HN-008 |
| TP53 | 733G>T | G245C | 47.1 | 46.55 | Path. | Lung | DK-055 |
| TP53 | 743G>A | R248Q | 5.7 | 6.56 | Path. | Lung | JS-040 |
| TP53 | 773A>G | E258G | 1.1 | 1.43 | Path. | Lung | AS-012 |
| TP53 | 818G>A | R273H | 0.4 | 0.39 | Path. | Lung | LD-030 |
| TP53 | 818G>A | R273H | 0.8 | 0.6 | Path. | Lung | JK-049 |
| TP53 | 818G>A | R273H | 46.7 | 47.39 | Path. | Colon | EW-034 |
| TP53 | 524G>A | R175H | 71.9 | 71.44 | Path. | Colon | MM-015 |
| TP53 | 856G>A | E286K | 5.9 | 6.18 | Path. | Lung | CL-080 |
| APC | 3460_3462delGAA | E1154del | 46.5 | 37.54 | Lik.ben. | Lung | DH-058 |
| APC | 3956delC | P1319Lfs*2 | 11.7 | 12.67 | Path. | Colon | HM-059 |
| APC | 3957_3964delTGTGAGCG | V1320fs*9 | 23 | 0 (26 Φ) | Lik. Path. | Colon | AD-050 |
| APC | 4219_4234 delAGTGAAC… | S1407fs*3 | 63 | 0 (51 Φ) | Lik. Path. | Colon | EW-034 |
| APC | 4326delT | P1443Lfs*30 | 75.6 | 73.48 | Path. | Colon | MM-015 |
| ARID1A | 123_128delGGC | A42_A43del | 62.7 | 0 (56 G) | Unc. Sig. | Lung | GP-051 |
| BRAF | 1798_ 1799 delGTinsAA | V600K | 2.2 | 1.66 | Path. | Mel. | MI-043 |
| BRCA2 | 6284delC | S2095Y fs*24 | 3.2 | 1.78 | Lik. Path. | Lung | GP-051 |
| CDH1 | 61_86delCTCTGCCAGGAGCCGGAGCCCTGCCAinsGCT | L21fs | 12.7 | 0 (36 C) | Lik. Path. | Breast | MF-053 |
| EGFR | 2235_2249delGGAATTA… | E746_A750del | 28.8 | 37.8 | Path. | Lung | HN-008 |
| EGFR | 2237_2254delAATTAAGAGAAGCAACAT | E746_S752delinsA | 0 | 1.09 | Path. | Lung | AS-012 |
| EGFR | 2237_2255delAATTAAGAGAAGCAACATinsT | E746_S752delinsV | 1.3 | 1.18 | Path. | Lung | AS-012 |
| ErBB2 | 2230_2231 del GA | N745Cfs*128 | 41 | 0 (39.8 R) | Unc. Sig. | Colon | AD-050 |
| TP53 | 773_782delAAGACTCCAG | E258Vfs*84 | 0.5 | 1.01 | Path. | Colon | HM-059 |
| TP53 | 780delC | S261Vfs*84 | 9.6 | 10.92 | Path. | Lung | RW-024 |
| PGDx EPR Algorithm for Variant Reporting | New Pipeline for Variant Reporting- EPR LDT | |
|---|---|---|
| PPA considering clinically significant variants (pathogenic and likely pathogenic) | 83.3% (40/(40 + 8)) | 91.7% (44/(44 + 4)) |
| Gene | Variant (DNA) | Variant (Protein) | Tempus xF VAF % | PGDx EPR VAF % | dPCR (%VAF ± SD) | Patient ID# |
|---|---|---|---|---|---|---|
| ALK | 1108G>A | E370K | 35.7 | 38.88 | 38.78 ± 0.59 | EW-034 |
| ALK | 3599C>T | A1200V | 40.8 | 36.16 | 40.08 ± 3.4 | SH-041 |
| APC | 4219_4234 del AGTGAAC… | S1407fs*3 | 63 | 0 (51 Φ) | 69.4 ± 0.8 | EW-034 |
| APC | 4326delT | P1443Lfs*30 | 75.6 | 73.48 | 76.62 ± 0.13 | MM-015 |
| BRAF | 793G>C | G265R | 0 | 14.3 | 10.57 ± 0.35 | LTW-047 |
| BRAF | 1447A>G | K483E | 68.5 | 0 (69 G) | 70.11 ± 1.11 | MM-015 |
| BRAF | 1799T>A | V600E | 19.8 | 17.07 | 14.5 ± 3.8 | SH-041 |
| BRAF | 1798_ 1799 delGTinsAA | V600K | 2.2 | 1.66 | 1.74 ± 0.11 | MI-043 |
| EGFR | 2255C>T | S752F | 0 | 1.16 | 0 | AS-012 |
| EGFR | 2237_2254delAATTAAGAGAAGCAACAT | E746_S752delinsA | 0 | 1.09 | 2.083 ± 0.23 | AS-012 |
| EGFR | 2235_2249delGGAATTA.. | E746_A750del | 28.8 | 37.8 | 41.61 ± 0.59 | HN-008 |
| KRAS | 34G>T | G12C | 0.5 | 1.62 | 0.916 ± 0.19 | EW-034 |
| KRAS | 35G>C | G12A | 25.5 | 25.08 | 13.25 ± 1.53 | JS-040 |
| KRAS | 437C>T | A146V | 35.1 | 34.9 | 41.27 ± 1.73 | MM-015 |
| PIK3CA | 1624G>A | E542K | 0 | 0.31 | 0.08 ± 0.03 | HM-059 |
| PIK3CA | 2176G>A | E726K | 0 | 0.32 | 0.11 ± 0.02 | AS-012 |
| TP53 | 524G>A | R175H | 71.9 | 71.44 | 73.16 ± 2.81 | MM-015 |
| TP53 | 715A>G | N239D | 34.9 | 33.03 | 36.19 ± 0.91 | HN-008 |
| TP53 | 733G>T | G245C | 47.1 | 46.55 | 42.42 ± 0.75 | DK-055 |
| TP53 | 818G>A | R273H | 46.7 | 47.39 | 47.21 ± 0.63 | EW-034 |
| Cancer Type | Patient ID# | Variant | VAF Pre-Treat. | VAF Post-Treat. | CT Scan | |
|---|---|---|---|---|---|---|
NSCLC Stage IV | CH-067 | TP53 G245V (exon 7)- Path. | Month 0 0.95% | Month 1 0.32% | Compared Months 1 vs. -3: Lung and subcimal better Overall: better (Month 11 under this treatment continue responding) | Month 11- Alive |
NSCLC Stage IV | HN-008 | EGFR E746_750del (exon19)-Path TP53 N239D (exon 7)- Path. | Month 0 38% 33% | Month 3 (Osimertinib) Not detected 1 Not detected 2 | Compared Months 3 vs. 0: Improvement of liver and bone metastases Overall: better (Month 24: progression) | Month 33-Expired (new brain met.) |
NSCLC Stage IV | LTW-047 | BRAF G265R (exon 6)- Lik. Path. | Month 0 14.3% | Month 3 22.57% | Compared Months 4 vs. -1: Lung lesion: stable Overall: same (Month 17: progression) | Month 23- Alive |
Colon Stage IV | RA-027 | KRAS A146T (exon 4)- Path. PIK3CA E545K (exon 10)-Path. TP53 R282W (exon 8)- Path. RAF1 R191I (exon 5)- Unc. sig. | Month 0 4.58% 5.10% 5.17% 6.24% | Month 1 5.33% 7.18% 7.61% 7.92% | Compared Months-2 vs. 1: New hepatic lesions and portacaval lymph nodes Overall: worst | Month 15- Expired |
Colon Stage IV | EW-034 | KRAS G12C (exon 2)- Path. TP53 R273H (exon 8)- Path. APC S1407fs*3 (exon16)-Lik.Path. | Month 0 1.62% 47.39% 51% G | Month 1 5.52% 4.47% 12.60% | Compared Months 3 vs. 0: Decrease in hepatic tumor burden Overall: better (Month 9: progression) | Month 22- Expired |
Colon Stage IV | MM-015 | APC P1443Lfs*30 (exon 16)-Path. BRAF K483E (exon 12)-Lik.Path. KRAS A146V (exon 4)- Path. TP53 R275H (exon 5)- Path. | Month 0 73.48% 69% G 39.4% 71.44% | Month 1 0.94% 2.19% 1.99% 0.83% | Compared Months 4 vs. -1: Decreasing hepatic and adrenal metastases. Overall: better (Month 3: treatment stopped due toxicity) | Month 8- Expired |
Colon Stage IV | MB-051 | KRAS G12S (exon 2)- Path. TP53 R273H (exon 8)- Path. APC P1319fs*2 (exon 16)- Path. | Month 0 10.82% 11% 14% | Month 1 2.01% 1.86% 2.68% | Compared Months 3 vs. 0: Liver and lung metastases did not show change Overall: same (Month 7: progression) | Month 9- Expired |
Colon Stage IV | SVO-002 | APC Y935* (exon 16)- Path. APC P1440fs*33 (exon 16)- Path. KRAS A146T (exon 4)- Path. TP53 E51* (exon 4)- Path. | Month 0 3% 3.72% 7.65% 5.85% R | Month 2 0.54% 0.31% 1.65% 1.63% R | Compared Months 3 vs. 0: Decreasing hepatic met. Overall: better (Month 12: progression) | Month 34- Alive (stable disease) |
Colon Stage IV | KRS-014 | APC R564* (exon 14)- Path. NRAS Q61K (exon 3)- Path. TP53 D259Y (exon 7)- Path. | Month 0 30.09% 0.28% 19.28% | Month 2 4.44% Not detected 3.25% | Compared Months 3 vs. -1: Liver metastases worst and new lung and brain met. Overall: worst (Month 6: progression) | Month 15- Expired |
Breast Stage IV | CA-062 | PIK3CA I69N (exon 2)- Unc. Sig. PIK3CA H1047R (exon 21)- Path. | Month 0 29.34% 27.46% | Month 2 20.67% 22.23% | Compared Months 2 vs. 0: Liver met. worse; lung and bone met. stable Overall: worst (Month 3: progression) | Month 13- Expired |
Disclaimer/Publisher’s Note: The statements, opinions and data contained in all publications are solely those of the individual author(s) and contributor(s) and not of MDPI and/or the editor(s). MDPI and/or the editor(s) disclaim responsibility for any injury to people or property resulting from any ideas, methods, instructions or products referred to in the content. |
© 2023 by the authors. Licensee MDPI, Basel, Switzerland. This article is an open access article distributed under the terms and conditions of the Creative Commons Attribution (CC BY) license (https://creativecommons.org/licenses/by/4.0/).
Share and Cite
Fernandez, S.V.; Tan, Y.F.; Rao, S.; Fittipaldi, P.; Sheriff, F.; Borghaei, H.; Dotan, E.; Winn, J.S.; Edelman, M.J.; Treat, J.; et al. Validation of a Molecular Diagnostic Test for Circulating Tumor DNA by Next-Gen Sequencing. Int. J. Mol. Sci. 2023, 24, 15779. https://doi.org/10.3390/ijms242115779
Fernandez SV, Tan YF, Rao S, Fittipaldi P, Sheriff F, Borghaei H, Dotan E, Winn JS, Edelman MJ, Treat J, et al. Validation of a Molecular Diagnostic Test for Circulating Tumor DNA by Next-Gen Sequencing. International Journal of Molecular Sciences. 2023; 24(21):15779. https://doi.org/10.3390/ijms242115779
Chicago/Turabian StyleFernandez, Sandra V., Yin Fei Tan, Shilpa Rao, Patricia Fittipaldi, Fathima Sheriff, Hossein Borghaei, Efrat Dotan, Jennifer S. Winn, Martin J. Edelman, Joseph Treat, and et al. 2023. "Validation of a Molecular Diagnostic Test for Circulating Tumor DNA by Next-Gen Sequencing" International Journal of Molecular Sciences 24, no. 21: 15779. https://doi.org/10.3390/ijms242115779
APA StyleFernandez, S. V., Tan, Y. F., Rao, S., Fittipaldi, P., Sheriff, F., Borghaei, H., Dotan, E., Winn, J. S., Edelman, M. J., Treat, J., Judd, J., Alpaugh, R. K., Wang, Y. L., Yu, J. Q., Wasik, M., & Baldwin, D. A. (2023). Validation of a Molecular Diagnostic Test for Circulating Tumor DNA by Next-Gen Sequencing. International Journal of Molecular Sciences, 24(21), 15779. https://doi.org/10.3390/ijms242115779

