Roles of Calcium Signaling in Gene Expression and Photosynthetic Acclimatization of Solanum lycopersicum Micro-Tom (MT) after Mechanical Damage
Abstract
1. Introduction
2. Results
2.1. Differentiated Expression of RBOH1, MPK1, MPK2 and SlCaM2 under Ca2+ Presence/Absence (Ca2+-Free) and with/without Mechanical Damage
2.2. Ca2+ Absence with Mechanical Damage Activated Antioxidant Enzymes and Increased Hydrogen Peroxide and Lipid Peroxidation
2.3. Hydrogen Peroxide Was Evidenced in Leaves of Plants Grown in the Presence of Ca2+ and with Mechanical Damage
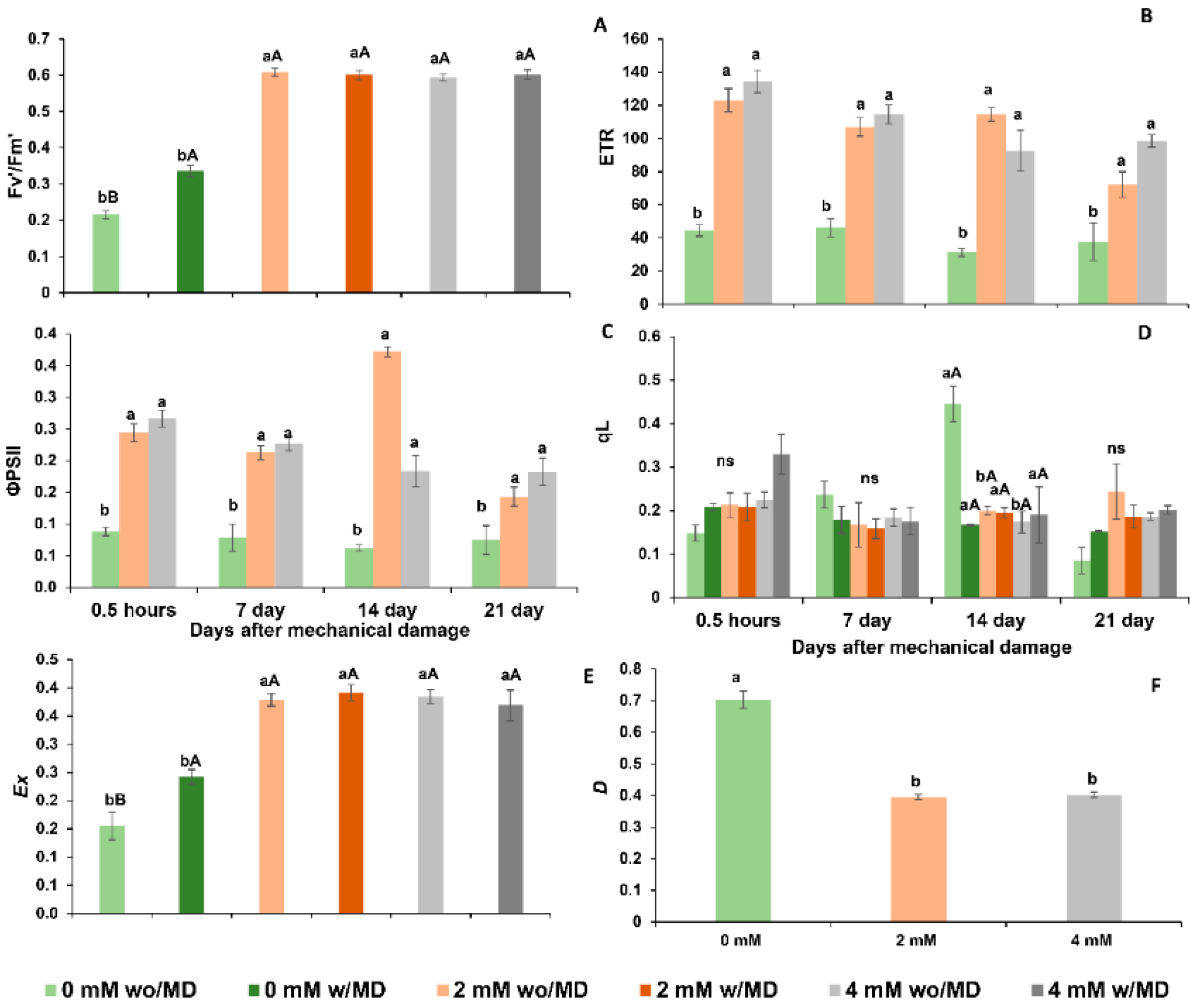
2.4. Performance of Chlorophyll a Fluorescence Does Not Differ between Plants Grown in the Absence of Ca2+ with and without Damage, but There Is an Influence Resulting in Low Gas Exchange and Plant Biomass
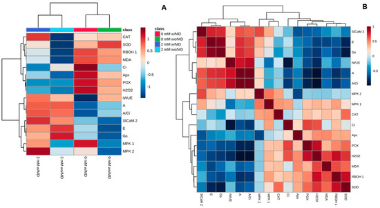
2.5. Two Clusters Were Found, One for Plants Grown in the Absence of Ca2+ and One for Those Grown in the Presence of Ca2+, and a Positive Correlation between H2O2, Gene Expression and Enzyme Activity Is Highlighted
3. Discussion
4. Materials and Methods
4.1. Study Species and Cultivation
4.2. Gene Expression
4.3. Activity of Antioxidant Enzymes and Quantification of Hydrogen Peroxide and Lipid Peroxidation
4.4. Histochemical Analysis of Hydrogen Peroxide
4.5. Chlorophyll a Fluorescence, Gas Exchange and Plant Biomass
4.6. Statistical Analysis
5. Conclusions
Supplementary Materials
Author Contributions
Funding
Institutional Review Board Statement
Informed Consent Statement
Data Availability Statement
Acknowledgments
Conflicts of Interest
References
- Seo, S.; Katou, S.; Seto, H.; Gomi, K.; Ohashi, Y. The Mitogen-Activated Protein Kinases WIPK and SIPK Regulate the Levels of Jasmonic and Salicylic Acids in Wounded Tobacco Plants. Plant J. 2007, 49, 899–909. [Google Scholar] [CrossRef] [PubMed]
- Baxter, A.; Mittler, R.; Suzuki, N. ROS as Key Players in Plant Stress Signalling. J. Exp. Bot. 2013, 65, 1229–1240. [Google Scholar] [CrossRef] [PubMed]
- Pandey, S.; Fartyal, D.; Agarwal, A.; Shukla, T.; James, D.; Kaul, T.; Negi, Y.K.; Arora, S.; Reddy, M.K. Abiotic Stress Tolerance in Plants: Myriad Roles of Ascorbate Peroxidase. Front. Plant Sci. 2017, 8, 581. [Google Scholar] [CrossRef] [PubMed]
- Suzuki, N.; Mittler, R. Reactive Oxygen Species-Dependent Wound Responses in Animals and Plants. Free Radic. Biol. Med. 2012, 53, 2269–2276. [Google Scholar] [CrossRef]
- Takahashi, F.; Mizoguchi, T.; Yoshida, R.; Ichimura, K.; Shinozaki, K. Calmodulin-Dependent Activation of MAP Kinase for ROS Homeostasis in Arabidopsis. Mol. Cell 2011, 41, 649–660. [Google Scholar] [CrossRef]
- Gilroy, S.; Białasek, M.; Suzuki, N.; Górecka, M.; Devireddy, A.R.; Karpiński, S.; Mittler, R. ROS, Calcium, and Electric Signals: Key Mediators of Rapid Systemic Signaling in Plants. Plant Physiol. 2016, 171, 1606–1615. [Google Scholar] [CrossRef]
- Stael, S.; Kmiecik, P.; Willems, P.; van der Kelen, K.; Coll, N.S.; Teige, M.; van Breusegem, F. Plant Innate Immunity—Sunny Side Up? Trends Plant Sci. 2015, 20, 3–11. [Google Scholar] [CrossRef]
- Bouché, N.; Scharlat, A.; Snedden, W.; Bouchez, D.; Fromm, H. A Novel Family of Calmodulin-Binding Transcription Activators in Multicellular Organisms. J. Biol. Chem. 2002, 277, 21851–21861. [Google Scholar] [CrossRef]
- Peng, H.; Yang, T.; Jurick, W.M., II. Calmodulin Gene Expression in Response to Mechanical Wounding and Botrytis cinerea Infection in Tomato Fruit. Plants 2014, 3, 427–441. [Google Scholar] [CrossRef]
- Yang, T.; Poovaiah, B.W. Hydrogen Peroxide Homeostasis: Activation of Plant Catalase by Calcium/Calmodulin. Proc. Natl. Acad. Sci. USA 2002, 99, 4097–4102. [Google Scholar] [CrossRef]
- Siddiqui, M.H.; Al-Whaibi, M.H.; Sakran, A.M.; Basalah, M.O.; Ali, H.M. Effect of Calcium and Potassium on Antioxidant System of Vicia Faba L. under Cadmium Stress. Int. J. Mol. Sci. 2012, 13, 6604–6619. [Google Scholar] [CrossRef] [PubMed]
- Xu, C.; Li, X.; Zhang, L. The Effect of Calcium Chloride on Growth, Photosynthesis, and Antioxidant Responses of Zoysia japonica under Drought Conditions. PLoS ONE 2013, 8, e68214. [Google Scholar] [CrossRef]
- Yang, S.; Wang, F.; Guo, F.; Meng, J.J.; Li, X.G.; Wan, S.B. Calcium Contributes to Photoprotection and Repair of Photosystem II in Peanut Leaves during Heat and High Irradiance. J. Integr. Plant Biol. 2014, 57, 486–495. [Google Scholar] [CrossRef] [PubMed]
- Colcombet, J.; Hirt, H. Arabidopsis MAPKs: A Complex Signalling Network Involved in Multiple Biological Processes. Biochem. J. 2008, 413, 217–226. [Google Scholar] [CrossRef] [PubMed]
- Danquah, A.; de Zelicourt, A.; Colcombet, J.; Hirt, H. The Role of ABA and MAPK Signaling Pathways in Plant Abiotic Stress Responses. Biotechnol. Adv. 2014, 32, 40–52. [Google Scholar] [CrossRef]
- Zelicourt, A.; Colcombet, J.; Hirt, H. The Role of MAPK Modules and ABA during Abiotic Stress Signaling. Trends Plant Sci. 2016, 21, 677–685. [Google Scholar] [CrossRef]
- Colcombet, J.; Sözen, C.; Hirt, H. Convergence of Multiple MAP3Ks on MKK3 Identifies a Set of Novel Stress MAPK Modules. Front. Plant Sci. 2016, 7, 1941. [Google Scholar] [CrossRef]
- Zhou, J.; Xia, X.-J.; Zhou, Y.-H.; Shi, K.; Chen, Z.; Yu, J.-Q. RBOH1-Dependent H2O2 Production and Subsequent Activation of MPK1/2 Play an Important Role in Acclimation-Induced Cross-Tolerance in Tomato. J. Exp. Bot. 2014, 65, 595–607. [Google Scholar] [CrossRef]
- Maeda, K.; Kimura, S.; Demura, T.; Takeda, J.; Ozeki, Y. DcMYB1 Acts as a Transcriptional Activator of the Carrot Phenylalanine Ammonia-Lyase Gene (DcPAL1) in Response to Elicitor Treatment, UV-B Irradiation and the Dilution Effect. Plant Mol. Biol. 2005, 59, 739–752. [Google Scholar] [CrossRef]
- Lee, D.H.; Lal, N.K.; Lin, Z.J.D.; Ma, S.; Liu, J.; Castro, B.; Toruño, T.; Dinesh-Kumar, S.P.; Coaker, G. Regulation of Reactive Oxygen Species during Plant Immunity through Phosphorylation and Ubiquitination of RBOHD. Nat. Commun. 2020, 11, 1838. [Google Scholar] [CrossRef]
- Pan, G.; Zhang, H.; Chen, B.; Gao, S.; Yang, B.; Jiang, Y.-Q. Rapeseed Calcium-Dependent Protein Kinase CPK6L Modulates Reactive Oxygen Species and Cell Death through Interacting and Phosphorylating RBOHD. Biochem. Biophys. Res. Commun. 2019, 518, 719–725. [Google Scholar] [CrossRef] [PubMed]
- Kimura, S.; Hunter, K.; Vaahtera, L.; Tran, H.C.; Citterico, M.; Vaattovaara, A.; Rokka, A.; Stolze, S.C.; Harzen, A.; Meißner, L.; et al. CRK2 and C-Terminal Phosphorylation of NADPH Oxidase RBOHD Regulate Reactive Oxygen Species Production in Arabidopsis. Plant Cell 2020, 32, 1063–1080. [Google Scholar] [CrossRef] [PubMed]
- Yu, Y.; Zhang, Q.; Sun, S.; Yang, J. Upregulated Expression of RESPIRATORY BURST OXIDASE HOMOLOG D Underlies Lesion-Mimic Phenotype in Dark-Treated Arabidopsis Pheide a Oxygenase Mutant Leaves. Planta 2022, 255, 110. [Google Scholar] [CrossRef] [PubMed]
- Kalaji, H.; Oukarroum, A.; Alexandrov, V.; Kouzmanova, M.; Brestic, M.; Zivcak, M.; Samborska, I.A.; Cetner, M.D.; Allakhverdiev, S.I.; Goltsev, V. Identification of Nutrient Deficiency in Maize and Tomato Plants by in Vivo Chlorophyll a Fluorescence Measurements. Plant Physiol. Biochem. 2014, 81, 16–25. [Google Scholar] [CrossRef] [PubMed]
- Erinle, K.O.; Jiang, Z.; Ma, B.; Li, J.; Chen, Y.; Ur-Rehman, K.; Shahla, A.; Zhang, Y. Exogenous Calcium Induces Tolerance to Atrazine Stress in Pennisetum Seedlings and Promotes Photosynthetic Activity, Antioxidant Enzymes and PsbA Gene Transcripts. Ecotoxicol. Environ. Saf. 2016, 132, 403–412. [Google Scholar] [CrossRef]
- Wang, Q.; Yang, S.; Wan, S.; Li, X. The Significance of Calcium in Photosynthesis. Int. J. Mol. Sci. 2019, 20, 1353. [Google Scholar] [CrossRef]
- Aoki, K.; Yano, K.; Suzuki, A.; Kawamura, S.; Sakurai, N.; Suda, K.; Kurabayashi, A.; Suzuki, T.; Tsugane, T.; Watanabe, M.; et al. Large-Scale Analysis of Full-Length CDNAs from the Tomato (Solanum lycopersicum) Cultivar Micro-Tom, a Reference System for the Solanaceae Genomics. BMC Genom. 2010, 11, 210. [Google Scholar] [CrossRef]
- Tang, R.J.; Luan, S. Regulation of Calcium and Magnesium Homeostasis in Plants: From Transporters to Signaling Network. Curr. Opin. Plant Biol. 2017, 39, 97–105. [Google Scholar] [CrossRef]
- Li, X.; Zhang, H.; Tian, L.; Huang, L.; Liu, S.; Li, D.; Song, F. Tomato SlRbohB, a Member of the NADPH Oxidase Family, Is Required for Disease Resistance against Botrytis cinerea and Tolerance to Drought Stress. Front. Plant Sci. 2015, 6, 463. [Google Scholar] [CrossRef]
- Steinhorst, L.; Kudla, J. Signaling in Cells and Organisms—Calcium Holds the Line. Curr. Opin. Plant Biol. 2014, 22, 14–21. [Google Scholar] [CrossRef]
- Hochmal, A.K.; Schulze, S.; Trompelt, K.; Hippler, M. Calcium-Dependent Regulation of Photosynthesis. Biochim. Biophys. Acta BBA Bioenerg. 2015, 1847, 993–1003. [Google Scholar] [CrossRef] [PubMed]
- Hashimoto, K.; Kudla, J. Calcium Decoding Mechanisms in Plants. Biochimie 2011, 93, 2054–2059. [Google Scholar] [CrossRef]
- Nie, W.-F.; Wang, M.-M.; Xia, X.-J.; Zhou, Y.-H.; Shi, K.; Chen, Z.; Yu, J.Q. Silencing of Tomato RBOH1 and MPK2 Abolishes Brassinosteroid-Induced H2O2 Generation and Stress Tolerance. Plant Cell Environ. 2013, 36, 789–803. [Google Scholar] [CrossRef]
- Mika, A.; Buck, F.; Lüthje, S. Membrane-Bound Class III Peroxidases: Identification, Biochemical Properties and Sequence Analysis of Isoenzymes Purified from Maize (Zea Mays L.) Roots. J. Proteom. 2008, 71, 412–424. [Google Scholar] [CrossRef] [PubMed]
- Minibayeva, F.; Beckett, R.P.; Kranner, I. Roles of Apoplastic Peroxidases in Plant Response to Wounding. Phytochemistry 2015, 112, 122–129. [Google Scholar] [CrossRef] [PubMed]
- Plieth, C.; Vollbehr, S. Calcium Promotes Activity and Confers Heat Stability on Plant Peroxidases. Plant Signal. Behav. 2012, 7, 650–660. [Google Scholar] [CrossRef]
- Amao, Y.; Takai, K.; Ohashi, A. Effect of Manganese and Calcium Ions on the Photoinduced Water Oxidation with Photosynthesis Organ Grana from Green Plant. Appl. Catal. B 2010, 97, 36–40. [Google Scholar] [CrossRef]
- Ramalho, J.C.; Rebelo, M.C.; Santos, M.E.; Antunes, M.L.; Nunes, M.A. Effects of Calcium Deficiency on Coffea Arabica. Nutrient Changes and Correlation of Calcium Levels with Some Photosynthetic Parameters. Plant Soil 1995, 172, 87–96. [Google Scholar] [CrossRef]
- Choudhury, S.; Panda, P.; Sahoo, L.; Panda, S.K. Reactive Oxygen Species Signaling in Plants under Abiotic Stress. Plant Signal Behav. 2013, 8, e23681. [Google Scholar] [CrossRef]
- Da Silva, L.; Marchiori, P.E.R.; Maciel, C.P.; Machado, E.C.; Ribeiro, R.V. Fotossíntese, Relações Hídricas e Crescimento de Cafeeiros Jovens Em Relação à Disponibilidade de Fósforo. Pesqui. Agropecu. Bras. 2010, 45, 965–972. [Google Scholar] [CrossRef]
- Ribeiro, R.V.; Machado, E.C.; Santos, M.G.; Oliveira, R.F. Seasonal and Diurnal Changes in Photosynthetic Limitation of Young Sweet Orange Trees. Environ. Exp. Bot. 2009, 66, 203–211. [Google Scholar] [CrossRef]
- Buchanan, B.B.; Gruissem, W.; Jones, R.L. (Eds.) Biochemistry & Molecular Biology of Plants; John Wiley & Sons, Ltd.: Chichester, UK, 2015; ISBN 9780470714218. [Google Scholar]
- Evans, N.H.; McAinsh, M.R.; Hetherington, A.M. Calcium Oscillations in Higher Plants. Curr. Opin. Plant Biol. 2001, 4, 415–420. [Google Scholar] [CrossRef]
- Himschoot, E.; Beeckman, T.; Friml, J.; Vanneste, S. Calcium Is an Organizer of Cell Polarity in Plants. Biochim. Biophys. Acta BBA Mol. Cell Res. 2015, 1853, 2168–2172. [Google Scholar] [CrossRef] [PubMed]
- Yang, S.-L.; Lan, S.-S.; Deng, F.-F.; Gong, M. Effects of Calcium and Calmodulin Antagonists on Chilling Stress-Induced Proline Accumulation in Jatropha curcas L. J. Plant Growth Regul. 2016, 35, 815–826. [Google Scholar] [CrossRef]
- Thordal-Christensen, H.; Zhang, Z.; Wei, Y.; Collinge, D.B. Subcellular Localization of H2O2 in Plants. H2O2 Accumulation in Papillae and Hypersensitive Response during the Barley-Powdery Mildew Interaction. Plant J. 1997, 11, 1187–1194. [Google Scholar] [CrossRef]
- Balcke, G.U.; Bennewitz, S.; Bergau, N.; Athmer, B.; Henning, A.; Majovsky, P.; Jiménez-Gómez, J.M.; Hoehenwarter, W.; Tissier, A. Multi-Omics of Tomato Glandular Trichomes Reveals Distinct Features of Central Carbon Metabolism Supporting High Productivity of Specialized Metabolites OPEN. Plant Cell 2017, 29, 960–983. [Google Scholar] [CrossRef]
- Neill, S.; Barros, R.; Bright, J.; Desikan, R.; Hancock, J.; Harrison, J.; Morris, P.; Ribeiro, D.; Wilson, I. Nitric Oxide, Stomatal Closure, and Abiotic Stress. J. Exp. Bot. 2008, 59, 165–176. [Google Scholar] [CrossRef]
- Drazkiewicz, M.; Baszyński, T. Calcium Protection of PS2 Complex of Phaseolus Coccineus from Cadmium Toxicity: In Vitro Study. Environ. Exp. Bot. 2008, 64, 8–14. [Google Scholar] [CrossRef]
- Pospíšil, P.; Prasad, A. Formation of Singlet Oxygen and Protection against Its Oxidative Damage in Photosystem II under Abiotic Stress. J. Photochem. Photobiol. B 2014, 30, 168–179. [Google Scholar] [CrossRef]
- Pino, L.E.; Peres, L.E.P. Manual do Modelo Vegetal Micro-Tom Capítulo 1: Especificações da Casa de Vegetação. 2010. Available online: https://docplayer.com.br/68592185-Manual-do-modelo-vegetal-micro-tom.html (accessed on 27 January 2021).
- Hoagland, D.R.; Arnon, D.I. The Water-Culture Method for Growing Plants without Soil. Calif. Agric. Exp. Stn. 1950, 397, 32. [Google Scholar]
- González, R.M.; Ricardi, M.M.; Iusem, N.D. Atypical Epigenetic Mark in an Atypical Location: Cytosine Methylation at Asymmetric (CNN) Sites within the Body of a Non-Repetitive Tomato Gene. BMC Plant Biol. 2011, 11, 94. [Google Scholar] [CrossRef]
- Alfenas-Zerbini, P.; Maia, I.G.; Fávaro, R.D.; Cascardo, J.C.M.; Brommonschenkel, S.H.; Zerbini, F.M. Genome-Wide Analysis of Differentially Expressed Genes During the Early Stages of Tomato Infection by a Potyvirus. Mol. Plant Microbe Interact. 2009, 22, 352–361. [Google Scholar] [CrossRef]
- Misra, N.; Gupta, A.K. Effect of Salinity and Different Nitrogen Sources on the Activity of Antioxidant Enzymes and Indole Alkaloid Content in Catharanthus Roseus Seedlings. J. Plant Physiol. 2006, 163, 11–18. [Google Scholar] [CrossRef]
- Teisseire, H.; Guy, V. Copper-Induced Changes in Antioxidant Enzymes Activities in Fronds of Duckweed (Lemna Minor). Plant Sci. 2000, 153, 65–72. [Google Scholar] [CrossRef]
- Peixoto, H.P.P.; Cambraia, J.; Sant, A.R.; Mosquim, R.; Moreira, M.A. Aluminum Effects on Lipid Peroxidation and on the Activities of Enzymes of Oxidative Metabolism in Sorghum 1. Braz. J. Plant Physiol. 1999, 11, 137–143. [Google Scholar]
- Nakano, Y.; Asada, K. Hydrogen Peroxide is Scavenged by Ascorbate-Specific Peroxidase in Spinach Chloroplasts. Plant Cell Physiol. 1981, 22, 867–880. [Google Scholar] [CrossRef]
- Bradford, M.M. A Rapid and Sensitive Method for the Quantitation of Microgram Quantities of Protein Utilizing the Principle of Protein-Dye Binding. Anal. Biochem. 1976, 72, 248–254. [Google Scholar] [CrossRef]
- Alexieva, V.; Sergiev, I.; Mapelli, S.; Karanov, E. The Effect of Drought and Ultraviolet Radiation on Growth and Stress Markers in Pea and Wheat. Plant Cell Environ. 2001, 24, 1337–1344. [Google Scholar] [CrossRef]
- Devi, S.R.; Prasad, M.N.V. Copper Toxicity in Ceratophyllum Demersum L. (Coontail), a Free Floating Macrophyte: Response of Antioxidant Enzymes and Antioxidants. Plant Sci. 1998, 138, 157–165. [Google Scholar] [CrossRef]
- Demmig-Adams, B.; Adams, W.W., III; Barker, D.H.; Logan, B.A.; Bowling, D.R.; Verhoeven, A.S. Using Chlorophyll Fluorescence to Assess the Fraction of Absorbed Light Allocated to Thermal Dissipation of Excess Excitation. Physiol. Plant 1996, 98, 253–264. [Google Scholar] [CrossRef]
- Murchie, E.H.; Lawson, T. Chlorophyll Fluorescence Analysis: A Guide to Good Practice and Understanding Some New Applications. J. Exp. Bot. 2013, 64, 3983–3998. [Google Scholar] [CrossRef]
- Zhang, S.; Li, Q.; Ma, K.; Chen, L. Temperature-Dependent Gas Exchange and Stomatal/Non-Stomatal Limitation to CO2 Assimilation of Quercus Liaotungensis under Midday High Irradiance. Photosynth. Res. 2001, 39, 383–388. [Google Scholar] [CrossRef]
- Zar, J.H. Biostatistical Analysis, 5th ed.; Pearson Prentice Hall: Upper Saddle River, NJ, USA, 2010. [Google Scholar]
- Chong, J.; Wishart, D.S.; Xia, J. Using MetaboAnalyst 4.0 for Comprehensive and Integrative Metabolomics Data Analysis. Curr. Protoc. Bioinform. 2019, 68, e86. [Google Scholar] [CrossRef]









| Gene | Oligonucleotides | Gene ID | Reference |
|---|---|---|---|
| RBOH1 F | 5′-GGAGCTCCAGCACAAGATTA-3′ | Sl08g081690 | [18] |
| RBOH1 R | 5′-CTTGTTGCAGCACTCATGTC-3′ | ||
| MPK1 F | 5′-GCTGACAGATTGTTGCAGGT-3′ | Sl12g019460 | |
| MPK1 R | 5′-TCCACCCCATAAAGATACATCA-3′ | ||
| MPK2 F | 5′-TACTCGCTCGTTTGCTGTTG-3′ | Sl08g014420 | |
| MPK2 R | 5′-TTGGAGTACAGGAAAACAATGG-3′ | ||
| SlCaM2-F | 5′-TCTGAGGAGGAGTTGAAAGAGG-3′ | Solyc10g081170 | [9] |
| SlCaM2-R | 5′-TCAACATCAGCTTCCCTAATCA-3′ | ||
| Actin F | 5′-GGGATGATATGGAGAAGATATGG-3′ | Actina-185 pb | [53] |
| Actin R | 5′-AAGCACAGCCTGGATAGC-3′ | ||
| β-6-tubulin F | 5′-TTGGTTTTGCACCACTGACTTC-3′ | Tub6-65 pb | [54] |
| β-6-tubulin | 5′-AAGCTCTGGCACTGTCAAAGC-3 |
Publisher’s Note: MDPI stays neutral with regard to jurisdictional claims in published maps and institutional affiliations. |
© 2022 by the authors. Licensee MDPI, Basel, Switzerland. This article is an open access article distributed under the terms and conditions of the Creative Commons Attribution (CC BY) license (https://creativecommons.org/licenses/by/4.0/).
Share and Cite
Campos, F.G.; Seixas, D.P.; Barzotto, G.R.; Jorge, L.G.; Ducatti, K.R.; Ferreira, G.; Rodrigues, T.M.; Silva, E.A.A.d.; Boaro, C.S.F. Roles of Calcium Signaling in Gene Expression and Photosynthetic Acclimatization of Solanum lycopersicum Micro-Tom (MT) after Mechanical Damage. Int. J. Mol. Sci. 2022, 23, 13571. https://doi.org/10.3390/ijms232113571
Campos FG, Seixas DP, Barzotto GR, Jorge LG, Ducatti KR, Ferreira G, Rodrigues TM, Silva EAAd, Boaro CSF. Roles of Calcium Signaling in Gene Expression and Photosynthetic Acclimatization of Solanum lycopersicum Micro-Tom (MT) after Mechanical Damage. International Journal of Molecular Sciences. 2022; 23(21):13571. https://doi.org/10.3390/ijms232113571
Chicago/Turabian StyleCampos, Felipe Girotto, Diana Pacheco Seixas, Gustavo Ribeiro Barzotto, Letícia Galhardo Jorge, Karina Renostro Ducatti, Gisela Ferreira, Tatiane Maria Rodrigues, Edvaldo Aparecido Amaral da Silva, and Carmen Sílvia Fernandes Boaro. 2022. "Roles of Calcium Signaling in Gene Expression and Photosynthetic Acclimatization of Solanum lycopersicum Micro-Tom (MT) after Mechanical Damage" International Journal of Molecular Sciences 23, no. 21: 13571. https://doi.org/10.3390/ijms232113571
APA StyleCampos, F. G., Seixas, D. P., Barzotto, G. R., Jorge, L. G., Ducatti, K. R., Ferreira, G., Rodrigues, T. M., Silva, E. A. A. d., & Boaro, C. S. F. (2022). Roles of Calcium Signaling in Gene Expression and Photosynthetic Acclimatization of Solanum lycopersicum Micro-Tom (MT) after Mechanical Damage. International Journal of Molecular Sciences, 23(21), 13571. https://doi.org/10.3390/ijms232113571

