Copper(II) Etioporphyrinate as a Promising Photoluminescent and Electroluminescent Temperature Sensor
Abstract
:1. Introduction
2. Results
2.1. Synthesis of Copper(II) Etioporhyrinate (Cu-EtioP)
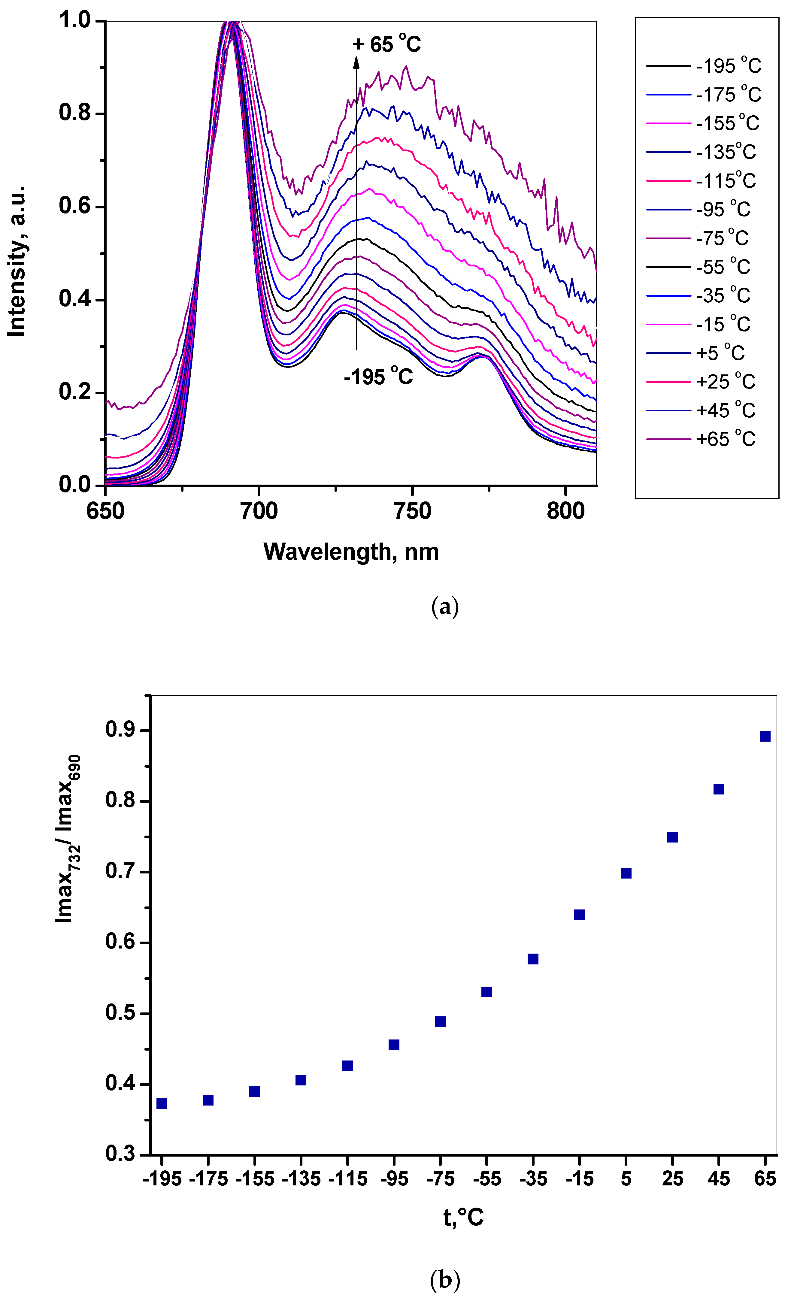
2.2. Photoluminescence of Cu-EtioP and Thermosensitivity of the Emission Bands
2.3. Electroluminescence of Cu-EtioP in PVK Matrix and Thermosensitivity of the Emission Bands
3. Discussion
4. Materials and Methods
4.1. Synthesis of Copper(II) Etioporphyrinate Cu-EtioP
4.2. Preparation of Cu-EtioP in Polystyrene Film
4.3. Fabrication and Characterization of Organic Light-Emitting Diodes (OLEDs)
5. Conclusions
Supplementary Materials
Author Contributions
Funding
Conflicts of Interest
References
- Kadish, K.M.; Smith, K.M.; Guilard, R. The Porphyrin Handbook; Academic Press: New York, NY, USA, 2000. [Google Scholar]
- Guo, C.; Sedgwick, A. Supramolecular fluorescent sensors: An historical overview and update. Coord. Chem. Rev. 2021, 427, 213560. [Google Scholar] [CrossRef] [PubMed]
- Tsivadze, A.Y. Supramolecular systems based on crownsubstituted phthalocyninates of metals. Russ. Chem. Rev. 2004, 73, 5–23. [Google Scholar] [CrossRef]
- Tsivadze, A.Y.; Chernyad’ev, A.Y. Metal crown-porphyrin complexes: Preparation, optical properties, and applications (review). Russ. J. Inorg. Chem. 2020, 65, 1662–1686. [Google Scholar] [CrossRef]
- Mal’tsev, E.I.; Brusentseva, M.A.; Lypenko, D.A.; Novikov, S.V.; Vannikov, A.V. Electrophosphorescence of aromatic polyimides doped with platinum porphyrins. Polym. Sci. Ser. A 2006, 48, 146–152. [Google Scholar] [CrossRef]
- Drouet, S.; Paul-Roth, C.; Fattori, V. Platinum and palladium complexes of fluorenyl porphyrins as red phosphors for light-emitting devices. New J. Chem. 2011, 35, 438–444. [Google Scholar] [CrossRef]
- Chernyad’ev, A.Y.; Kotenev, V.A.; Tsivadze, A.Y. A new luminescent temperature sensor based on palladium(IV) porphyrinate in polystyrene matrix. Prot. Met. Phys. Chem. Surf. 2015, 51, 964–967. [Google Scholar] [CrossRef]
- Sae, C.J.; Dongho, K.; Sang, J.H. Lowest Excited State of Oxovanadyl(IV) Tetraphenylporphyrin. J. Phys. Chem. A 1998, 102, 315–322. [Google Scholar]
- Chernyad’ev, A.Y.; Kotenev, V.A.; Tsivadze, A.Y. A New Tetrafluorene-Substituted Copper(II) Porphyrinate as a Promising Phosphorescent Temperature Sensor. Prot. Met. Phys. Chem. Surf. 2018, 54, 817–821. [Google Scholar] [CrossRef]
- Leitl, M.J.; Zink, D.M. Copper(I) complexes for thermally activated delayed fluorescence: From photophysical to device properties. Top. Curr. Chem. 2016, 374, 25. [Google Scholar] [CrossRef] [PubMed]
- Hosokai, T.; Matsuzaki, H. Evidence and mechanism of efficient thermally activated delayed fluorescence promoted by delocalized excited states. Sci. Adv. 2017, 3, e1603282. [Google Scholar] [CrossRef] [PubMed]
- Chitta, R.; Rogers, L. Electrochemical, Spectral, and Computational Studies of Metalloporphyrin Dimers Formed by Cation Complexation of Crown Ether Cavities. Inorg. Chem. 2004, 43, 6969–6978. [Google Scholar] [CrossRef] [PubMed]
- Chernyadyev, A.Y.; Aleksandrov, A.E. Copper(II) meso-Tetraphenyl- and meso-Tetrafluorenyl Porphyrinates as Charge Carrier Transporting and Electroluminescent Compounds. ACS Omega 2022, 7, 8613–8622. [Google Scholar] [CrossRef] [PubMed]
- Lakowicz, J.R. Principles of Fluorescence Spectroscopy; Plenum Press: New York, NY, USA; London, UK, 1986. [Google Scholar]
- Parker, V.C.A. Photoluminescence of Solutions; Elsevier Publishing: Amsterdam, The Netherlands; London, UK; New York, NY, USA, 1968. [Google Scholar]
- Sang, B.S.; Su, C.G. Improving light efficiency of white polymer light emitting diodes by introducing the TPBi exciton protection layer. Thin Solid Film. 2009, 517, 4143–4146. [Google Scholar] [CrossRef]
- Razavi, H.; Mohajerani, E. Electroluminescence and photoluminescence in porphyrin derived compounds in a new polymeric PVK:PBD host. J. Porphyr. Phthalocyanines 2012, 16, 396–402. [Google Scholar] [CrossRef]
- Sommer, J.R.; Farley, R.T. Efficient Near-Infrared Polymer and Organic Light-Emitting Diodes Based on Electrophosphorescence from (Tetraphenyltetranaphtho[2,3]porphyrin)platinum(II). ACS Appl. Mater. Interfaces 2009, 1, 274–278. [Google Scholar] [CrossRef]
- Lee, S.-J.; Jin, S.P. Green phosphorescent light-emitting diodes from polymer doped with iridium complex. Appl. Phys. Lett. 2008, 92, 193312. [Google Scholar] [CrossRef]
- Pina, J.; Seixas de Melo, J. On the triplet state of poly(N-vinylcarbazole). Chem. Phys. Lett. 2004, 400, 441–445. [Google Scholar] [CrossRef]
- Demina, N.S.; Rasputin, N.A. Benzo[b]selenophene/Thieno[3,2-b]indole-Based N,S,Se-Heteroacenes for Hole-Transporting Layers. ACS Omega 2020, 5, 9377–9383. [Google Scholar] [CrossRef] [PubMed]
- Kozak, M.; Kalota, B.; Tkaczyk, S.; Tsvirko, M. Luminescent Temperature Sensor Material Based on an Eu(III) β-Diketonate Complex Incorporated into Cellulose Triacetate Functional Materials. J. Appl. Spectrosc. 2014, 80, 678–683. [Google Scholar] [CrossRef]
- Galyametdinov, Y.G.; Krupin, A.S.; Knyazev, A.A. Temperature-Sensitive Chameleon Luminescent Films Based on PMMA Doped with Europium(III) and Terbium(III) Anisometric Complexes. Inorganics 2022, 10, 94. [Google Scholar] [CrossRef]









| Compound | Emission Peak, λmax, nm | QY, % | Life Time, µs |
|---|---|---|---|
| Cu-EtioP | 693, 742 (T = 25 °C) | 3.15 (T = 25 °C) | 6 ** (T = 25 °C) |
| 690, 728, 773 (T = −195 °C) | 45 (T = −195 °C) | ||
| CuTFP* | 798 (T = 25 °C) | 5.2 (T = 25 °C) | 5 ** (T = 25 °C) |
| 779 (T = −195 °C) | 344 (T = −195 °C) |
Publisher’s Note: MDPI stays neutral with regard to jurisdictional claims in published maps and institutional affiliations. |
© 2022 by the authors. Licensee MDPI, Basel, Switzerland. This article is an open access article distributed under the terms and conditions of the Creative Commons Attribution (CC BY) license (https://creativecommons.org/licenses/by/4.0/).
Share and Cite
Chernyadyev, A.Y.; Aleksandrov, A.E.; Lypenko, D.A.; Tsivadze, A.Y. Copper(II) Etioporphyrinate as a Promising Photoluminescent and Electroluminescent Temperature Sensor. Int. J. Mol. Sci. 2022, 23, 10961. https://doi.org/10.3390/ijms231810961
Chernyadyev AY, Aleksandrov AE, Lypenko DA, Tsivadze AY. Copper(II) Etioporphyrinate as a Promising Photoluminescent and Electroluminescent Temperature Sensor. International Journal of Molecular Sciences. 2022; 23(18):10961. https://doi.org/10.3390/ijms231810961
Chicago/Turabian StyleChernyadyev, Andrey Yu., Alexey E. Aleksandrov, Dmitry A. Lypenko, and Aslan Yu. Tsivadze. 2022. "Copper(II) Etioporphyrinate as a Promising Photoluminescent and Electroluminescent Temperature Sensor" International Journal of Molecular Sciences 23, no. 18: 10961. https://doi.org/10.3390/ijms231810961
APA StyleChernyadyev, A. Y., Aleksandrov, A. E., Lypenko, D. A., & Tsivadze, A. Y. (2022). Copper(II) Etioporphyrinate as a Promising Photoluminescent and Electroluminescent Temperature Sensor. International Journal of Molecular Sciences, 23(18), 10961. https://doi.org/10.3390/ijms231810961

