Benefits and Biosafety of Use of 3D-Printing Technology for Titanium Biomedical Implants: A Pilot Study in the Rabbit Model
Abstract
:1. Introduction
1.1. Direct Metal Laser-Scintered (DMLS) Titanium Implants
1.1.1. Pre-Formed Stock Titanium Implants
1.1.2. Three-Dimensional-Printed Titanium Implants
1.1.3. Direct Metal Laser-Scintered (DMLS) Titanium Implants
1.1.4. Electron-Beam Melting (EBM)
1.2. Leaching of Titanium Particles
1.3. Adverse Effects of Released Titanium Particles
1.3.1. Mutagenesis and Carcinogenicity Agents
1.3.2. Hypersensitivity Reaction
1.4. Current Literature on Titanium Release from Implants
- To determine whether a difference exists between the amount of titanium particles released from milled and DMLS-titanium implants
- To compare the level of titanium release to that of the gold standard, the milled implants.
2. Results
2.1. Analysis of Titanium Concentration in Serum
2.1.1. Comparison of Serum Titanium Levels Taken before Implantation (Month 0)
2.1.2. Trend of Serum-Titanium Levels in Test Group 1 (Milled-Titanium Implant) throughout the 6 Month Experimental Period
2.1.3. Trend of Serum-Titanium Levels in Test Group 2 (DMLS-Titanium Implant) throughout the 6 Month Experimental Period
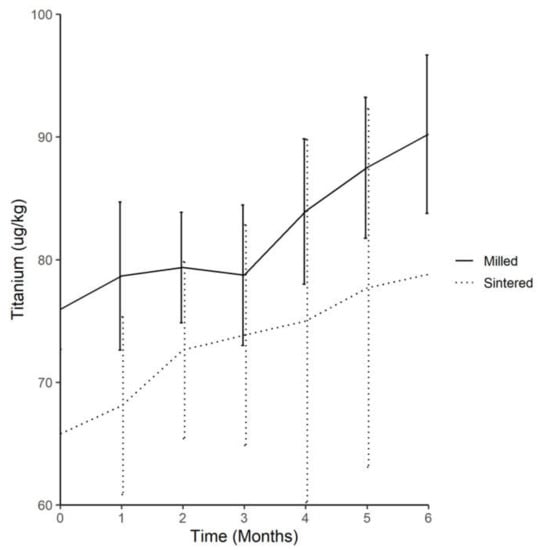
2.1.4. Comparison of Average Serum-Titanium in Test Group 1 (Milled-Titanium Implant) and Test Group 2 (DMLS-Titanium Implant) throughout the Experiment
2.2. Analysis of Titanium Concentration in Organs
2.2.1. Liver
2.2.2. Spleen
2.2.3. Thymus
3. Discussion
4. Materials and Methods
4.1. Titanium Implants
4.1.1. Milled-Titanium Implant
4.1.2. Sintered (DMLS)-Titanium Implant
4.2. Experimental Animals
4.2.1. Animal Group and Study Design
4.2.2. Implantation of Titanium Plates and Screws
4.2.3. Blood-Sample Collection for Serum-Titanium Analysis
4.2.4. Sacrifice of Animals and Harvesting Lymph-Reticular Organ Tissues (for Organ-Titanium Analysis)
4.3. Analysis of Serum and Organ Trace Metals in Biological Samples
4.4. Statistical Analysis
5. Conclusions
Author Contributions
Funding
Institutional Review Board Statement
Informed Consent Statement
Acknowledgments
Conflicts of Interest
References
- Deguchi, T.; Takano-Yamamoto, T.; Kanomi, R.; Hartsfield, J., Jr.; Roberts, W.; Garetto, L. The use of small titanium screws for orthodontic anchorage. J. Dent. Res. 2003, 82, 377–381. [Google Scholar] [CrossRef] [PubMed]
- Wang, K. The use of titanium for medical applications in the USA. Mater. Sci. Eng. A 1996, 213, 134–137. [Google Scholar] [CrossRef]
- Spencer, K.; Sizeland, A.; Taylor, G.; Wiesenfeld, D. The use of titanium mandibular reconstruction plates in patients with oral cancer. Int. J. Oral Maxillofac. Surg. 1999, 28, 288–290. [Google Scholar] [CrossRef]
- Jacobsson, M.; Tjellström, A.; Fine, L.; Andersson, H. A retrospective study of osseointegrated skin-penetrating titanium fixtures used for retaining facial prostheses. Int. J. Oral Maxillofac. Implant. 1992, 7, 86–97. [Google Scholar]
- Brunette, D.M.; Tengvall, P.; Textor, M.; Thomsen, P. Titanium in Medicine: Material Science, Surface Science, Engineering, Biological Responses and Medical Applications; Springer Science & Business Media: Heidelberg, Germany, 2001. [Google Scholar]
- Ratner, B.D. A perspective on titanium biocompatibility. In Titanium in Medicine; Springer: Berlin/Heidelberg, Germany, 2001; pp. 1–12. [Google Scholar]
- Blackburn, M.; Williams, J. Strength, Deformation Modes and Fracture in Titanium-Aluminum Alloys; Boeing Scientific Research Labs Seattle Wash Solid State Physics Lab: Seattle, WA, USA, 1969; pp. 398–409. [Google Scholar]
- Welsch, G.; Boyer, R.; Collings, E. Materials Properties Handbook: Titanium Alloys; ASM international: Novelty, OH, USA, 1993. [Google Scholar]
- Niinomi, M. Mechanical properties of biomedical titanium alloys. Mater. Sci. Eng. A 1998, 243, 231–236. [Google Scholar] [CrossRef]
- Parthasarathy, J. 3D modeling, custom implants and its future perspectives in craniofacial surgery. Ann. Maxillofac. Surg. 2014, 4, 9. [Google Scholar] [CrossRef] [Green Version]
- Choi, J.W.; Kim, N. Clinical application of three-dimensional printing technology in craniofacial plastic surgery. Arch. Plast. Surg. 2015, 42, 267–277. [Google Scholar] [CrossRef] [Green Version]
- Rengier, F.; Mehndiratta, A.; von Tengg-Kobligk, H.; Zechmann, C.M.; Unterhinninghofen, R.; Kauczor, H.-U.; Giesel, F.L. 3D printing based on imaging data: Review of medical applications. Int. J. Comput. Assist. Radiol. Surg. 2010, 5, 335–341. [Google Scholar] [CrossRef]
- Kasemo, B. Biocompatibility of titanium implants: Surface science aspects. J. Prosthet. Dent. 1983, 49, 832–837. [Google Scholar] [CrossRef]
- Mattigod, S.V.; Fryxell, G.E.; Alford, K.; Gilmore, T.; Parker, K.; Serne, J.; Engelhard, M. Functionalized TiO2 nanoparticles for use for in situ anion immobilization. Environ. Sci. Technol. 2005, 39, 7306–7310. [Google Scholar] [CrossRef]
- Lomer, M.C.; Thompson, R.P.; Powell, J.J. Fine and ultrafine particles of the diet: Influence on the mucosal immune response and association with Crohn’s disease. Proc. Nutr. Soc. 2002, 61, 123–130. [Google Scholar] [CrossRef] [Green Version]
- Contado, C.; Pagnoni, A. TiO2 in commercial sunscreen lotion: Flow field-flow fractionation and ICP-AES together for size analysis. Anal. Chem. 2008, 80, 7594–7608. [Google Scholar] [CrossRef]
- Lomer, M.C.; Thompson, R.P.; Commisso, J.; Keen, C.L.; Powell, J.J. Determination of titanium dioxide in foods using inductively coupled plasma optical emission spectrometry. Analyst 2000, 125, 2339–2343. [Google Scholar] [CrossRef]
- Schroeder, H.A.; Balassa, J.J.; Tipton, I.H. Abnormal trace metals in man—Chromium. J. Chronic Dis. 1962, 15, 941–964. [Google Scholar] [CrossRef]
- Kiser, M.; Westerhoff, P.; Benn, T.; Wang, Y.; Perez-Rivera, J.; Hristovski, K. Titanium nanomaterial removal and release from wastewater treatment plants. Environ. Sci. Technol. 2009, 43, 6757–6763. [Google Scholar] [CrossRef] [PubMed]
- Kägi, R.; Ulrich, A.; Sinnet, B.; Vonbank, R.; Wichser, A.; Zuleeg, S.; Simmler, H.; Brunner, S.; Vonmont, H.; Burkhardt, M. Synthetic TiO2 nanoparticle emission from exterior facades into the aquatic environment. Environ. Pollut. 2008, 156, 233–239. [Google Scholar] [CrossRef] [PubMed]
- Yin, X.; Xue, Z.; Wang, L.; Cheng, Y.; Liu, B. High-performance plastic dye-sensitized solar cells based on low-cost commercial P25 TiO2 and organic dye. ACS Appl. Mater. Interfaces 2012, 4, 1709–1715. [Google Scholar] [CrossRef]
- Suwanchawalit, C.; Sriwong, C.; Wongnawa, S. Recyclable rubber sheets impregnated with potassium oxalate doped TiO2 and their uses in decolorization of dye-polluted waters. Int. J. Environ. Res. 2010, 4, 615–628. [Google Scholar]
- Gottschalk, F.; Sonderer, T.; Scholz, R.W.; Nowack, B. Modeled environmental concentrations of engineered nanomaterials (TiO2, ZnO, Ag, CNT, fullerenes) for different regions. Environ. Sci. Technol. 2009, 43, 9216–9222. [Google Scholar] [CrossRef]
- Ge, Y.; Schimel, J.P.; Holden, P.A. Evidence for negative effects of TiO2 and ZnO nanoparticles on soil bacterial communities. Environ. Sci. Technol. 2011, 45, 1659–1664. [Google Scholar] [CrossRef]
- Gondikas, A.P.; Kammer, F.v.d.; Reed, R.B.; Wagner, S.; Ranville, J.F.; Hofmann, T. Release of TiO2 nanoparticles from sunscreens into surface waters: A one-year survey at the old Danube recreational Lake. Environ. Sci. Technol. 2014, 48, 5415–5422. [Google Scholar] [CrossRef]
- Praetorius, A.; Scheringer, M.; Hungerbühler, K. Development of Environmental Fate Models for Engineered Nanoparticles—A Case Study of TiO2 Nanoparticles in the Rhine River. Environ. Sci. Technol. 2012, 46, 6705–6713. [Google Scholar] [CrossRef] [PubMed]
- Sillanpää, M.; Paunu, T.-M.; Sainio, P. Aggregation and deposition of engineered TiO2 nanoparticles in natural fresh and brackish waters. J. Phys. Conf. Ser. 2011, 304, 012018. [Google Scholar] [CrossRef]
- Lombi, E.; Donner, E.; Tavakkoli, E.; Turney, T.W.; Naidu, R.; Miller, B.W.; Scheckel, K.G. Fate of zinc oxide nanoparticles during anaerobic digestion of wastewater and post-treatment processing of sewage sludge. Environ. Sci. Technol. 2012, 46, 9089–9096. [Google Scholar] [CrossRef] [PubMed]
- Golanski, L.; Gaborieau, A.; Guiot, A.; Uzu, G.; Chatenet, J.; Tardif, F. Characterization of abrasion-induced nanoparticle release from paints into liquids and air. J. Phys. Conf. Ser. 2011, 304, 012062. [Google Scholar] [CrossRef]
- Anitua, E.; Begoña, L.; Orive, G. Clinical Evaluation of Split-Crest Technique with Ultrasonic Bone Surgery for Narrow Ridge Expansion: Status of Soft and Hard Tissues and Implant Success. Clin. Implant Dent. Relat. Res. 2013, 15, 176–187. [Google Scholar] [CrossRef] [PubMed]
- Winder, J.; Cooke, R.; Gray, J.; Fannin, T.; Fegan, T. Medical rapid prototyping and 3D CT in the manufacture of custom made cranial titanium plates. J. Med. Eng. Technol. 1999, 23, 26–28. [Google Scholar] [CrossRef] [PubMed]
- Van Noort, R. The future of dental devices is digital. Dent. Mater. 2012, 28, 3–12. [Google Scholar] [CrossRef] [PubMed]
- Singare, S.; Yaxiong, L.; Dichen, L.; Bingheng, L.; Sanhu, H.; Gang, L. Fabrication of customised maxillo-facial prosthesis using computer-aided design and rapid prototyping techniques. Rapid Prototyp. J. 2006, 12, 206–213. [Google Scholar] [CrossRef]
- Ryan, G.E.; Pandit, A.S.; Apatsidis, D.P. Porous titanium scaffolds fabricated using a rapid prototyping and powder metallurgy technique. Biomaterials 2008, 29, 3625–3635. [Google Scholar] [CrossRef]
- Edwards, P.; O’Conner, A.; Ramulu, M. Electron beam additive manufacturing of titanium components: Properties and performance. J. Manuf. Sci. Eng. 2013, 135, 061016. [Google Scholar] [CrossRef]
- Yates, J.M.; Wildgoose, D.G.; van Noort, R. Correction of a mandibular asymmetry using a custom-made titanium onlay. J. Plast. Reconstr. Aesthetic Surg. 2009, 62, e247–e250. [Google Scholar] [CrossRef] [PubMed]
- Mangano, F.; Chambrone, L.; Van Noort, R.; Miller, C.; Hatton, P.; Mangano, C. Direct metal laser sintering titanium dental implants: A review of the current literature. Int. J. Biomater. 2014, 2014, 461534. [Google Scholar] [CrossRef] [PubMed] [Green Version]
- Mullen, L.; Stamp, R.C.; Brooks, W.K.; Jones, E.; Sutcliffe, C.J. Selective Laser Melting: A regular unit cell approach for the manufacture of porous, titanium, bone in-growth constructs, suitable for orthopedic applications. J. Biomed. Mater. Res. Part B Appl. Biomater. 2009, 89, 325–334. [Google Scholar] [CrossRef]
- Stamp, R.; Fox, P.; O’neill, W.; Jones, E.; Sutcliffe, C. The development of a scanning strategy for the manufacture of porous biomaterials by selective laser melting. J. Mater. Sci. Mater. Med. 2009, 20, 1839. [Google Scholar] [CrossRef]
- Hollander, D.A.; Von Walter, M.; Wirtz, T.; Sellei, R.; Schmidt-Rohlfing, B.; Paar, O.; Erli, H.-J. Structural, mechanical and in vitro characterization of individually structured Ti–6Al–4V produced by direct laser forming. Biomaterials 2006, 27, 955–963. [Google Scholar] [CrossRef] [PubMed]
- Mangano, C.; Raspanti, M.; Traini, T.; Piattelli, A.; Sammons, R. Stereo imaging and cytocompatibility of a model dental implant surface formed by direct laser fabrication. J. Biomed. Mater. Res. Part A 2009, 88, 823–831. [Google Scholar] [CrossRef]
- Dabrowski, B.; Swieszkowski, W.; Godlinski, D.; Kurzydlowski, K.J. Highly porous titanium scaffolds for orthopaedic applications. J. Biomed. Mater. Res. Part B Appl. Biomater. 2010, 95, 53–61. [Google Scholar] [CrossRef]
- Parthasarathy, J.; Starly, B.; Raman, S.; Christensen, A. Mechanical evaluation of porous titanium (Ti6Al4V) structures with electron beam melting (EBM). J. Mech. Behav. Biomed. Mater. 2010, 3, 249–259. [Google Scholar] [CrossRef]
- Bessho, K.; Iizuka, T. Clinical and animal experiments on stress corrosion of titanium miniplates. Clin. Mater. 1993, 14, 223–227. [Google Scholar] [CrossRef]
- Matthew, I.R.; Frame, J.W. Release of metal in vivo from stressed and nonstressed maxillofacial fracture plates and screws. Oral Surg. Oral Med. Oral Pathol. Oral Radiol. Endod. 2000, 90, 33–38. [Google Scholar] [CrossRef] [PubMed]
- Katou, F.; Andoh, N.; Motegi, K.; Nagura, H. Immuno-inflammatory responses in the tissue adjacent to titanium miniplates used in the treatment of mandibular fractures. J. Cranio-Maxillo-Facial Surg. 1996, 24, 155–162. [Google Scholar] [CrossRef]
- O’Connell, J.; Murphy, C.; Ikeagwuani, O.; Adley, C.; Kearns, G. The fate of titanium miniplates and screws used in maxillofacial surgery: A 10 year retrospective study. Int. J. Oral Maxillofac. Surg. 2009, 38, 731–735. [Google Scholar] [CrossRef]
- Kruth, J.-P.; Mercelis, P.; Van Vaerenbergh, J.; Froyen, L.; Rombouts, M. Binding mechanisms in selective laser sintering and selective laser melting. Rapid Prototyp. J. 2005, 11, 26–36. [Google Scholar] [CrossRef] [Green Version]
- Coen, N.; Kadhim, M.; Wright, E.; Case, C.; Mothersill, C. Particulate debris from a titanium metal prosthesis induces genomic instability in primary human fibroblast cells. Br. J. Cancer 2003, 88, 548–552. [Google Scholar] [CrossRef] [PubMed] [Green Version]
- Frisken, K.; Dandie, G.; Lugowski, S.; Jordan, G. A study of titanium release into body organs following the insertion of single threaded screw implants into the mandibles of sheep. Aust. Dent. J. 2002, 47, 214–217. [Google Scholar] [CrossRef] [PubMed] [Green Version]
- Shin, D.; Blanchard, S.B.; Ito, M.; Chu, T.M.G. Peripheral quantitative computer tomographic, histomorphometric, and removal torque analyses of two different non-coated implants in a rabbit model. Clin. Oral Implant. Res. 2011, 22, 242–250. [Google Scholar] [CrossRef] [PubMed]
- Smith, D.C.; Lugowski, S.; McHugh, A.; Deporter, D.; Watson, P.A.; Chipman, M. Systemic metal ion levels in dental implant patients. Int. J. Oral Maxillofac. Implant. 1997, 12, 206–219. [Google Scholar]
- Albores-Saavedra, J.; Vuitch, F.; Delgado, R.; Wiley, E.; Hagler, H. Sinus Histiocytosis of Pelvic Lymph Nodes after Hip Replacement: A Histiocytic Proliferation Induced by Cobalt-Chromium and Titanium. Am. J. Surg. Pathol. 1994, 18, 83–90. [Google Scholar] [CrossRef]
- Urban, R.M.; Jacobs, J.J.; Tomlinson, M.J.; Gavrilovic, J.; Black, J.; Peoc’h, M. Dissemination of wear particles to the liver, spleen, and abdominal lymph nodes of patients with hip or knee replacement. JBJS 2000, 82, 457. [Google Scholar] [CrossRef]
- Daley, B.; Doherty, A.; Fairman, B.; Case, C. Wear debris from hip or knee replacements causes chromosomal damage in human cells in tissue culture. J. Bone Jt. Surg. Br. Vol. 2004, 86, 598–606. [Google Scholar] [CrossRef]
- Vijayaraghavan, V.; Sabane, A.V.; Tejas, K. Hypersensitivity to titanium: A less explored area of research. J. Indian Prosthodont. Soc. 2012, 12, 201–207. [Google Scholar] [CrossRef]
- Lee, K.; Trochimowicz, H.; Reinhardt, C. Pulmonary response of rats exposed to titanium dioxide (TiO2) by inhalation for two years. Toxicol. Appl. Pharmacol. 1985, 79, 179–192. [Google Scholar] [CrossRef]
- Lee, K.; Henry, N.W.; Trochimowicz, H.; Reinhardt, C. Pulmonary response to impaired lung clearance in rats following excessive TiO2 dust deposition. Environ. Res. 1986, 41, 144–167. [Google Scholar] [CrossRef]
- Nordberg, G.F.; Fowler, B.A.; Nordberg, M. Handbook on the Toxicology of Metals; Academic Press: Cambridge, MA, USA, 2014. [Google Scholar]
- Mohr, U.; Ernst, H.; Roller, M.; Pott, F. Pulmonary tumor types induced in Wistar rats of the so-called “19-dust study”. Exp. Toxicol. Pathol. 2006, 58, 13–20. [Google Scholar] [CrossRef] [PubMed]
- Ahnlide, I.; Björkner, B.; Bruze, M.; Möller, H. Exposure to metallic gold in patients with contact allergy to gold sodium thiosulfate. Contact Dermat. 2000, 43, 344–350. [Google Scholar] [CrossRef]
- Hallab, N.; Merritt, K.; Jacobs, J.J. Metal sensitivity in patients with orthopaedic implants. JBJS 2001, 83, 428. [Google Scholar] [CrossRef] [PubMed]
- Schramm, M.; Pitto, R. Clinical relevance of allergological tests in total hip joint replacement. In Proceedings 5th International CeramTec Symposium, Bioceramics in Hip Joint Replacement, 18–19 February 2000; Georg Thieme Verlag: Stuttgart, Germany; New York, NY, USA, 2000; pp. 101–106. [Google Scholar]
- Abdallah, H.I.; Balsara, R.K.; O’Riordan, A.C. Pacemaker contact sensitivity: Clinical recognition and management. Ann. Thorac. Surg. 1994, 57, 1017–1018. [Google Scholar] [CrossRef]
- Berglund, F.; Carlmark, B. Yellow nail syndrome in patients with titanium and gold implants. Toxicol. Lett. 1999, 1, 53. [Google Scholar]
- Lalor, P.; Revell, P.; Gray, A.; Wright, S.; Railton, G.; Freeman, M. Sensitivity to titanium. A cause of implant failure? Bone Jt. J. 1991, 73, 25–28. [Google Scholar] [CrossRef]
- Peters, M.S.; Schroeter, A.L.; Hale, H.M.; Broadbent, J.C. Pacemaker contact sensitivity. Contact Dermat. 1984, 11, 214–218. [Google Scholar] [CrossRef] [PubMed]
- Tamai, K.; Mitsumori, M.; Fujishiro, S.; Kokubo, M.; Ooya, N.; Nagata, Y.; Sasai, K.; Hiraoka, M.; Inamoto, T. A case of allergic reaction to surgical metal clips inserted for postoperative boost irradiation in a patient undergoing breast-conserving therapy. Breast Cancer 2001, 8, 90–92. [Google Scholar] [CrossRef]
- Verbov, J. Pacemaker contact sensitivity. Contact Dermat. 1985, 12, 173. [Google Scholar] [CrossRef] [PubMed]
- Viraben, R.; Boulinguez, S.; Alba, C. Granulomatous dermatitis after implantation of a titanium-containing pacemaker. Contact Dermat. 1995, 33, 437. [Google Scholar] [CrossRef] [PubMed]
- Wisbey, A.; Gregson, P.; Peter, L.; Tuke, M. Effect of surface treatment on the dissolution of titanium-based implant materials. Biomaterials 1991, 12, 470–473. [Google Scholar] [CrossRef]
- Bianco, P.D.; Ducheyne, P.; Cuckler, J.M. Titanium serum and urine levels in rabbits with a titanium implant in the absence of wear. Biomaterials 1996, 17, 1937–1942. [Google Scholar] [CrossRef]
- Woodman, J.; Jacobs, J.; Galante, J.; Urban, R. Metal ion release from titanium-based prosthetic segmental replacements of long bones in baboons: A long-term study. J. Orthop. Res. 1983, 1, 421–430. [Google Scholar] [CrossRef]
- Omlor, G.; Kretzer, J.; Reinders, J.; Streit, M.; Bruckner, T.; Gotterbarm, T.; Aldinger, P.; Merle, C. In vivo serum titanium ion levels following modular neck total hip arthroplasty—10 year results in 67 patients. Acta Biomater. 2013, 9, 6278–6282. [Google Scholar] [CrossRef]
- Ray, M.; Matthew, I.; Frame, J. Metallic fragments on the surface of miniplates and screws before insertion. Br. J. Oral Maxillofac. Surg. 1999, 37, 14–18. [Google Scholar] [CrossRef] [PubMed]
- Suito, H.; Iwawaki, Y.; Goto, T.; Tomotake, Y.; Ichikawa, T. Oral factors affecting titanium elution and corrosion: An in vitro study using simulated body fluid. PLoS ONE 2013, 8, e66052. [Google Scholar] [CrossRef]
- Bessho, K.; Fujimura, K.; Iizuka, T. Experimental long-term study of titanium ions eluted from pure titanium miniplates. J. Biomed. Mater. Res. 1995, 29, 901–904. [Google Scholar] [CrossRef]
- Bettinelli, M.; Perotti, M.; Spezia, S.; Baffi, C.; Beone, G.M.; Alberici, F.; Bergonzi, S.; Bettinelli, C.; Cantarini, P.; Mascetti, L. The role of analytical methods for the determination of trace elements in environmental biomonitors. Microchem. J. 2002, 73, 131–152. [Google Scholar] [CrossRef]
- Morgan, N.; Scholey, D.; Burton, E. A comparison of two methods for determining titanium dioxide marker content in broiler digestibility studies. Animal 2014, 8, 529–533. [Google Scholar] [CrossRef] [Green Version]
- Shaw, B.J.; Ramsden, C.S.; Turner, A.; Handy, R.D. A simplified method for determining titanium from TiO2 nanoparticles in fish tissue with a concomitant multi-element analysis. Chemosphere 2013, 92, 1136–1144. [Google Scholar] [CrossRef] [PubMed]
- van Bussel, W.; Kerkhof, F.; van Kessel, T.; Lamers, H.; Nous, D.; Verdonk, H.; Verhoeven, B.; Boer, N.; Toonen, H. Accurate determination of titanium as titanium dioxide for limited sample size digestibility studies of feed and food matrices by inductively coupled plasma optical emission spectrometry with real-time simultaneous internal standardization. At. Spectrosc. 2010, 31, 81–88. [Google Scholar]
- Grosser, Z.A.; Neubauer, K.; Thompson, L.; Davidowski, L. A Comparison of ICP-OES and ICP-MS for the Determination of Metals in Food. 2008. Available online: https://www.spectroscopyonline.com/view/comparison-icp-oes-and-icp-ms-determination-metals-food (accessed on 5 June 2021).
- Steinemann, S.G. Titanium—The material of choice? Periodontology 2000 1998, 17, 7–21. [Google Scholar] [CrossRef]
- Bianco, P.D.; Ducheyne, P.; Cuckler, J. Systemic titanium levels in rabbits with a titanium implant in the absence of wear. J. Mater. Sci. Mater. Med. 1997, 8, 525–529. [Google Scholar] [CrossRef]
- Pearce, A.; Richards, R.; Milz, S.; Schneider, E.; Pearce, S. Animal models for implant biomaterial research in bone: A review. Eur Cell Mater. 2007, 13, 1–10. [Google Scholar] [CrossRef]
- Golasik, M.; Herman, M.; Piekoszewski, W. Toxicological aspects of soluble titanium–a review of in vitro and in vivo studies. Metallomics 2016, 8, 1227–1242. [Google Scholar] [CrossRef]
- Heringa, M.; Peters, R.; Bleys, R.; Van Der Lee, M.; Tromp, P.; Van Kesteren, P.; Van Eijkeren, J.; Undas, A.; Oomen, A.; Bouwmeester, H. Detection of titanium particles in human liver and spleen and possible health implications. Part. Fibre Toxicol. 2018, 15, 1–9. [Google Scholar] [CrossRef] [PubMed]
- Swiatkowska, I.; Martin, N.G.; Henckel, J.; Apthorp, H.; Hamshere, J.; Hart, A.J. Blood and plasma titanium levels associated with well-functioning hip implants. J. Trace Elem. Med. Biol. 2020, 57, 9–17. [Google Scholar] [CrossRef] [PubMed]
- Churg, A.; Gilks, B.; Dai, J. Induction of fibrogenic mediators by fine and ultrafine titanium dioxide in rat tracheal explants. Am. J. Physiol. Lung Cell. Mol. Physiol. 1999, 277, L975–L982. [Google Scholar] [CrossRef] [PubMed] [Green Version]
- Urban, R.M.; Tomlinson, M.J.; Hall, D.J.; Jacobs, J.J. Accumulation in liver and spleen of metal particles generated at nonbearing surfaces in hip arthroplasty. J. Arthroplast. 2004, 19, 94–101. [Google Scholar] [CrossRef]
- Wang, J.; Zhou, G.; Chen, C.; Yu, H.; Wang, T.; Ma, Y.; Jia, G.; Gao, Y.; Li, B.; Sun, J. Acute toxicity and biodistribution of different sized titanium dioxide particles in mice after oral administration. Toxicol. Lett. 2007, 168, 176–185. [Google Scholar] [CrossRef] [PubMed]







Publisher’s Note: MDPI stays neutral with regard to jurisdictional claims in published maps and institutional affiliations. |
© 2021 by the authors. Licensee MDPI, Basel, Switzerland. This article is an open access article distributed under the terms and conditions of the Creative Commons Attribution (CC BY) license (https://creativecommons.org/licenses/by/4.0/).
Share and Cite
Ng, S.L.; Das, S.; Ting, Y.-P.; Wong, R.C.W.; Chanchareonsook, N. Benefits and Biosafety of Use of 3D-Printing Technology for Titanium Biomedical Implants: A Pilot Study in the Rabbit Model. Int. J. Mol. Sci. 2021, 22, 8480. https://doi.org/10.3390/ijms22168480
Ng SL, Das S, Ting Y-P, Wong RCW, Chanchareonsook N. Benefits and Biosafety of Use of 3D-Printing Technology for Titanium Biomedical Implants: A Pilot Study in the Rabbit Model. International Journal of Molecular Sciences. 2021; 22(16):8480. https://doi.org/10.3390/ijms22168480
Chicago/Turabian StyleNg, Sabrina Livia, Subhabrata Das, Yen-Peng Ting, Raymond Chung Wen Wong, and Nattharee Chanchareonsook. 2021. "Benefits and Biosafety of Use of 3D-Printing Technology for Titanium Biomedical Implants: A Pilot Study in the Rabbit Model" International Journal of Molecular Sciences 22, no. 16: 8480. https://doi.org/10.3390/ijms22168480
APA StyleNg, S. L., Das, S., Ting, Y.-P., Wong, R. C. W., & Chanchareonsook, N. (2021). Benefits and Biosafety of Use of 3D-Printing Technology for Titanium Biomedical Implants: A Pilot Study in the Rabbit Model. International Journal of Molecular Sciences, 22(16), 8480. https://doi.org/10.3390/ijms22168480

