Tunable Supramolecular Chirogenesis in the Self-Assembling of Amphiphilic Porphyrin Triggered by Chiral Amines
Abstract
1. Introduction
2. Results and Discussion
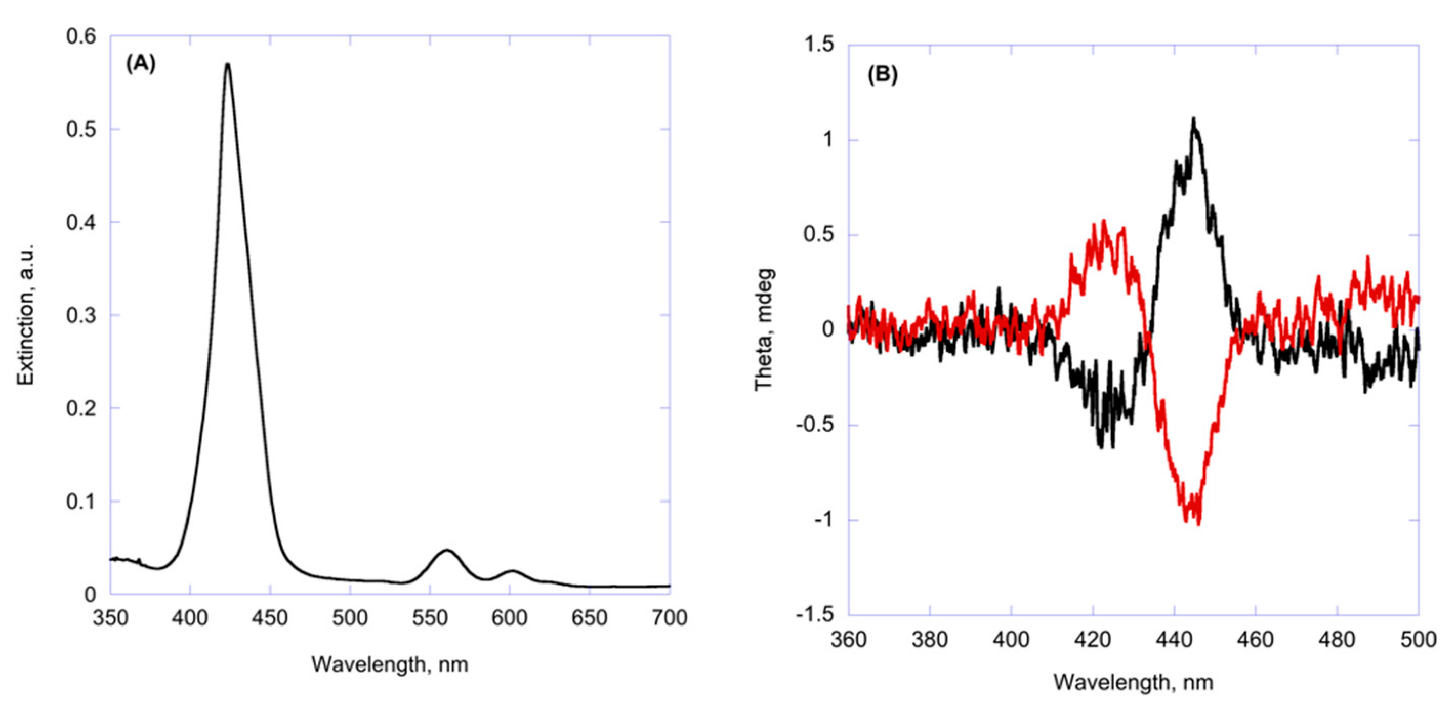
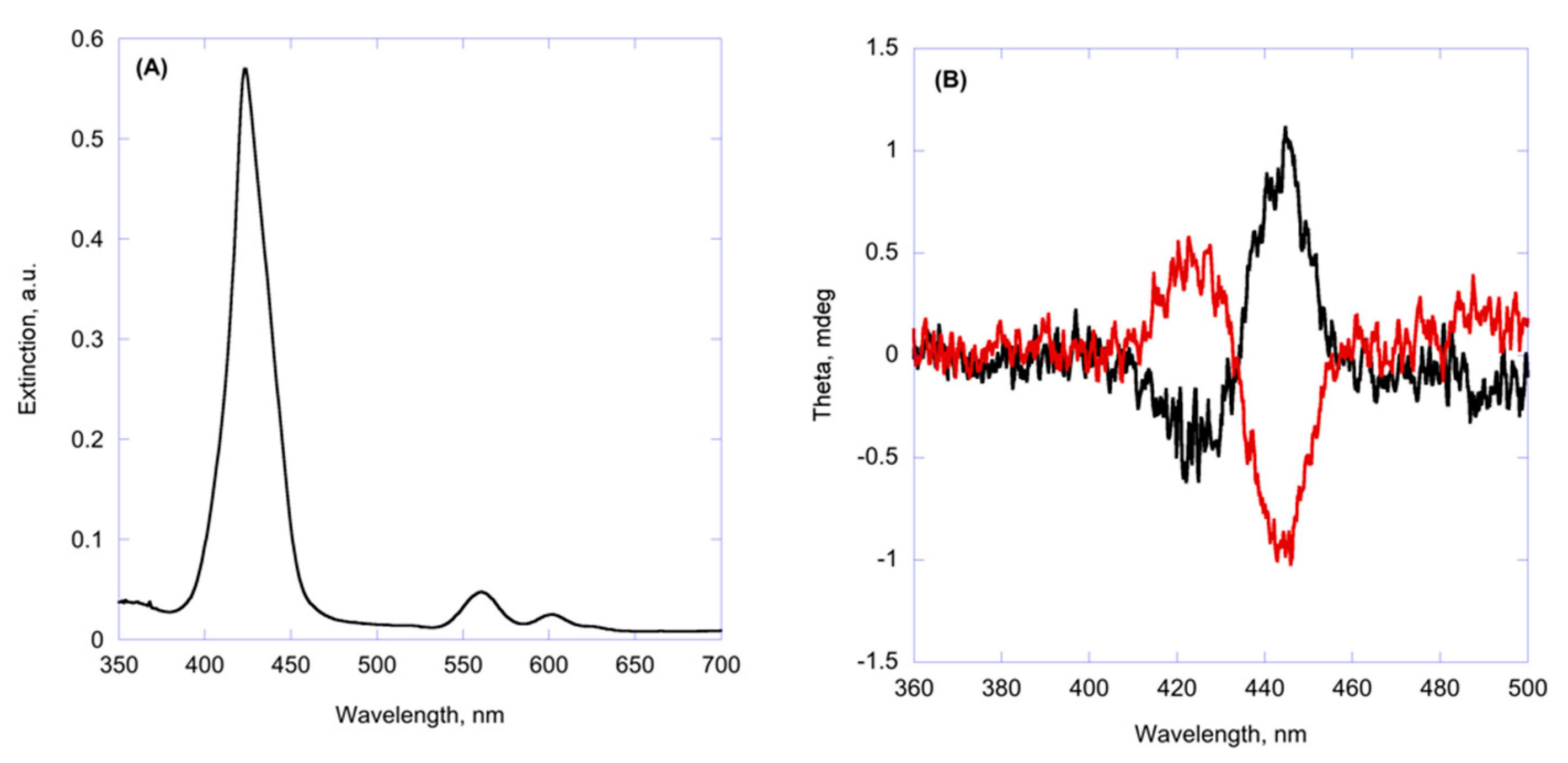
2.1. Aggregation Studies
2.2. Kinetic Studies
3. Conclusions and Perspectives
4. Materials and Methods
4.1. General
4.2. Synthesis of Porphyrin Derivatives
4.3. Aggregation and Kinetic Studies
Supplementary Materials
Author Contributions
Funding
Acknowledgments
Conflicts of Interest
References
- Magna, G.; Monti, D.; Di Natale, C.; Paolesse, R.; Stefanelli, M. The assembly of porphyrin systems in well-defined nanostructures: An update. Molecules 2019, 24, 4307. [Google Scholar] [CrossRef] [PubMed]
- Kou, J.; Doud, D.; Yanh, L. Porphyrin photosensitizers in photodynamic therapy and its applications. Oncotarget 2019, 8, 81591–81603. [Google Scholar] [CrossRef] [PubMed]
- Senge, M.O.; Fazekas, M.; Notaras, E.G.A.; Blau, W.J.; Zawadzka, M.; Locos, O.B. Nonlinear optical properties of porphyrins. Adv. Mater. 2007, 19, 2737–2774. [Google Scholar] [CrossRef]
- Di Natale, C.; Martinelli, E.; Magna, G.; Mandoj, F.; Monti, D.; Nardis, S.; Stefanelli, M.; Paolesse, R. Porphyrins for olfaction mimic: The Rome Tor Vergata approach. J. Porphyr. Phthalocyanines 2017, 21, 769–781. [Google Scholar] [CrossRef]
- Paolesse, R.; Nardis, S.; Monti, D.; Stefanelli, M.; Di Natale, C. Porphyrinoids for chemical sensors applications. Chem. Rev. 2017, 117, 2517–2583. [Google Scholar] [CrossRef]
- Castriciano, M.A.; Gentili, D.; Romeo, A.; Cavallini, M.; Monsù Scolaro, L. Spatial control of chirality in supramolecular aggregates. Sci. Rep. 2017, 7, 44094. [Google Scholar] [CrossRef]
- Liu, M.; Zhang, L.; Wang, T. Supramolecular chirality in self-assembled systems. Chem. Rev. 2015, 115, 7304–7397. [Google Scholar] [CrossRef]
- Stefanelli, M.; Magna, G.; Zurlo, F.; Caso, M.F.; Di Bartolomeo, E.; Antonaroli, S.; Venanzi, M.; Paolesse, R.; Di Natale, C.; Monti, D. Chiral selectivity of porphyrin-ZnO nanoparticle conjugates. ACS Appl. Mater. Interfaces 2019, 11, 12077–12087. [Google Scholar] [CrossRef]
- Hu, M.; Yuan, Y.-X.; Wang, W.; Li, D.-M.; Zhang, H.-C.; Wu, B.-X.; Liu, M.; Zheng, Y.-S. Chiral recognition and enantiomer excess determination based on emission wavelength change of AIEgen rotor. Nat. Commun. 2020, 11, 161. [Google Scholar] [CrossRef]
- Guijarro, A.; Yus, M. The Origin of Chirality in the Molecules of Life; RSC Publishing: Cambridge, UK, 2009. [Google Scholar]
- El-Hachemi, Z.; Balaban, T.S.; Campos, J.L.; Cespedes, S.; Crusats, J.; Escudero, C.; Kamma-Lorger, C.S.; Llorens, J.; Malfois, M.; Mitchell, G.R.; et al. Effects of hydrodynamic forces on meso-(4-sulfonatophenyl)-substituted porphyrin J-aggregate nanoparticles: Elasticity, plasticity and breaking. Chem. Eur. J. 2016, 22, 9740–9749. [Google Scholar] [CrossRef]
- El-Hachemi, Z.; Crusats, J.; Troyano, C.; Ribó, J.M. Diastereoisomerism, stability, and morphology of substituted meso-4-sulphonatophenylporphyrin J-aggregates. ACS Omega 2019, 4, 4804–4813. [Google Scholar] [CrossRef] [PubMed]
- Micali, N.; Engelkamp, H.; van Rhee, P.G.; Christianen, P.C.M.; Monsù Scolaro, L.; Maan, J.C. Selection of supramolecular chirality by application of rotational and magnetic forces. Nat. Chem. 2012, 4, 201–207. [Google Scholar] [CrossRef] [PubMed]
- Chen, P.; Ma, X.; Hu, K.; Rong, Y.; Liu, M. Left or right? The direction of compression-generated vortex-like flow selects the macroscopic chirality of interfacial molecular assemblies. Chem. Eur. J. 2011, 117, 12108–12114. [Google Scholar] [CrossRef] [PubMed]
- Castriciano, M.A.; Romeo, A.; Zagami, R.; Micali, N. Kinetic effects of tartaric acid on the growth of chiral J-aggregates of tetrakis(4-sulfonatophenyl)porphyrin. Chem. Commun. 2012, 48, 48722–48724. [Google Scholar] [CrossRef] [PubMed]
- Sorrenti, A.; Rodriguez-Trujillo, R.; Amabilino, D.B.; Puigmartí-Luis, J. Milliseconds make the difference in far-from-equilibrium self-assembly of supramolecular chiral nanostructures. J. Am. Chem. Soc. 2016, 138, 6920–6923. [Google Scholar] [CrossRef]
- D’Urso, A.; Fragalà, M.E.; Purrello, R. From self-assembly to noncovalent synthesis of programmable porphyrins’ arrays in aqueous solution. Chem. Commun. 2012, 48, 8165–8176. [Google Scholar] [CrossRef]
- Randazzo, R.; Gaeta, M.; Gangemi, C.M.A.; Fragalà, M.E.; Purrello, R.; D’Urso, A. Chiral recognition of L- and D-amino acid by porphyrin supramolecular aggregates. Molecules 2019, 24, 84. [Google Scholar] [CrossRef]
- Hu, J.; Xie, Y.; Zhang, H.; Zhang, Q.; Zou, G. Chiral induction, modulation and locking in porphyrin based supramolecular assemblies with circularly polarized light. Chem. Commun. 2019, 55, 4953–4956. [Google Scholar] [CrossRef]
- Sorrenti, A.; El_Hachemi, Z.; Arteaga, O.; Canillas, A.; Crusats, J.; Ribò, J.M. Kinetic control of the supramolecular chirality of porphyrin J-aggregates. Chem. Eur. J. 2012, 18, 8820–8826. [Google Scholar] [CrossRef]
- El-Hachemi, Z.; Escudero, C.; Arteaga, O.; Canillas, A.; Crusats, J.; Mancini, G.; Purrello, R.; Sorrenti, A.; D’Urso, A.; Ribó, J.M. Chiral sign selection on the J-aggregates of deprotonated tetrakis-(4-sulfonatophenyl)porphyrin by traces of unidentified chiral contaminants present in the ultra-pure water used as solvent. Chirality 2009, 21, 408–412. [Google Scholar] [CrossRef]
- Stepanek, P.; Dukh, M.; Aman, D.; Moracova, J.; Monti, D.; Venanzi, M.; Mancini, G.; Drasar, P. Synthesis and solvent driven self-aggregation studies of meso-“C-glycoside”-porphyrin derivatives. Org. Biomol. Chem. 2007, 5, 960–970. [Google Scholar] [CrossRef] [PubMed]
- Monti, D.; Venanzi, M.; Gatto, E.; Mancini, G.; Sorrenti, A.; Stepanek, P.; Drasar, P. Study of the supramolecular chiral assembly of meso-“C-glucoside”-porphyrin derivatives in aqueous media. New J. Chem. 2008, 32, 2127–2133. [Google Scholar] [CrossRef]
- Lettieri, R.; Monti, D.; Zelenka, K.; Trnka, T.; Drasar, P.; Venanzi, M. Glucosylated steroid-porphyrins as new tools for nanotechnology applications. New J. Chem. 2012, 36, 1246–1254. [Google Scholar] [CrossRef]
- Zelenka, K.; Trnka, T.; Tislerova, I.; Monti, D.; Cinti, S.; Naitana, M.L.; Schiaffino, L.; Venanzi, M.; Laguzzi, G.; Luvidi, L.; et al. Spectroscopic, morphological, and mechanistic investigation of the solvent-promoted aggregation of porphyrins modified in meso-position by glucosylated steroids. Chem. Eur. J. 2011, 17, 13743–13753. [Google Scholar] [CrossRef]
- Naitana, M.L.; Dukh, M.; Zelenka, K.; Trnka, T.; Venanzi, M.; Lettieri, R.; Monti, D. The kinetic studies of the solvent-promoted aggregation of a steroid-porphyrin derivative. J. Porphyr. Phthalocyanines 2013, 17, 889–895. [Google Scholar] [CrossRef]
- Lorecchio, C.; Venanzi, M.; Mazzuca, C.; Lettieri, R.; Palleschi, A.; Nguyen Thi, T.H.; Cardova, L.; Drasar, P.; Monti, D. Tuning the chiroptical and morphological properties of steroidal-porphyrin aggregates: A mechanistic, structural and MM investigation. Org. Biomol. Chem. 2014, 12, 3956–3963. [Google Scholar] [CrossRef]
- Lettieri, R.; Cardova, L.; Gatto, E.; Mazzuca, C.; Monti, D.; Palleschi, A.; Placidi, E.; Drasar, P.; Venanzi, M. Hierarchical transfer of chiral information from the molecular to the mesoscopic scale by Langmuir-Blodgett deposition of tetrasteroid-porphyrins. New J. Chem. 2017, 41, 639–649. [Google Scholar] [CrossRef]
- Monti, D.; De Rossi, M.; Sorrenti, A.; Laguzzi, G.; Gatto, E.; Stefanelli, M.; Venanzi, M.; Luvidi, L.; Mancini, G.; Paolesse, R. Supramolecular chirality in solvent-promoted aggregation of amphiphilic porphyrin derivatives: Kinetic studies and comparison between solution behavior and solid-state morphology by AFM topography. Chem. Eur. J. 2010, 16, 860–870. [Google Scholar] [CrossRef]
- Simoncini, E.; Caroleo, F.; Ceccacci, F.; Mancini, G.; Stefanelli, M.; Paolesse, R.; Venanzi, M.; Monti, D. Surfactant-induced chirality on reluctant aggregates of a chiral amphiphilic cationic (l)-proline-Zn(II)porphyrin conjugate in water. RSC Adv. 2014, 4, 55362–55366. [Google Scholar] [CrossRef]
- Caroleo, F.; Stefanelli, M.; Magna, G.; Venanzi, M.; Paolesse, R.; Sennato, S.; Carbone, M.; Monti, D. Kinetic and spectroscopic studies on the chiral self-aggregation of amphiphilic zinc and copper (l)-prolinate-tetraarylporphyrin derivatives in different aqueous media. Org. Biomol. Chem. 2019, 17, 1113–1120. [Google Scholar] [CrossRef]
- Stefanelli, M.; Savioli, M.; Zurlo, F.; Magna, G.; Venanzi, M.; Di Natale, C.; Paolesse, R.; Monti, D. Porphyrin through the looking glass: Spectroscopic and mechanistic insights in supramolecular chirogenesis of new self-assembled porphyrin derivatives. Front. Chem. 2020, 8, 1–12. [Google Scholar] [CrossRef]
- Oliveras-Gonzalez, C.; Di Meo, F.; Gonzalez-Campo, A.; Beljonne, D.; Norman, P.; Simon-Sorbed, M.; Linares, M.; Amabilino, D.B. Bottom-up hierarchical self-assembly of chiral porphyrin through coordination and hydrogen bonds. J. Am. Chem. Soc. 2015, 137, 15795–15808. [Google Scholar] [CrossRef]
- Feldborg, L.N.; Saletra, W.J.; Iavicoli, P.; Amabilino, D.B. Central metal ion determined self-assembly of intrinsically chiral porphyrins. J. Porphyr. Phthalocyanines 2011, 15, 995–1003. [Google Scholar] [CrossRef]
- Seeber, G.; Tiedmann, B.E.F.; Raymond, K.N. Supramolecular chirality in coordination chemistry. Top. Curr. Chem. 2006, 265, 147–183. [Google Scholar]
- Borovkov, V.V.; Lintuluoto, J.M.; Inoue, Y. Supramolecular Chirogenesis in zinc porphyrins: Mechanism, role of guest structure, and application for the absolute configuration determination. J. Am. Chem. Soc. 2001, 123, 2979–2989. [Google Scholar] [CrossRef]
- Berova, N.; Di Bari, L.; Pescitelli, G. Application of elctronic circular dichroism in configurational and conformational analysis of organic compounds. Chem. Soc. Rev. 2007, 36, 914–931. [Google Scholar] [CrossRef]
- Ohno, O.; Kaizu, Y.; Kobayashi, H. J-aggregate formation of a water-soluble porphyrin in acidic aqueous media. J. Chem. Phys. 1993, 99, 4128–4139. [Google Scholar] [CrossRef]
- Castriciano, M.A.; Romeo, A.; De Luca, G.; Villari, V.; Monsù Scolaro, L.; Micali, N. Scaling the chirality in porphyrin J-nanoaggregates. J. Am. Chem. Soc. 2011, 133, 765–767. [Google Scholar] [CrossRef]
- Sanders, J.K.M.; Bampos, N.; Clyde-Watson, Z.; Darling, S.L.; Hawley, J.C.; Kim, H.-J.; Mak, C.C.; Webb, S. Axial coordination chemistry of metalloporphyrins. In The Porphyrin Handbook; Kadish, K.M., Smith, K.M., Guilard, R., Eds.; Academic Press: New York, NY, USA, 2000; Volume 3, Chapter 15. [Google Scholar]
- Pasternack, R.; Gibbs, E.J.; Bruzewicz, D.; Stewart, D.; Engstrom, K.S. Kinetics of disassembly of a DNA-bound porphyrin supramolecular array. J. Am. Chem. Soc. 2002, 124, 3533–3539. [Google Scholar] [CrossRef]
- Micali, N.; Mallamace, F.; Romeo, A.; Purrello, R.; Monsù Scolaro, L. Mesoscopic structure of meso-tetrakis(4-sulfonatophenyl)porphyne J-aggregates. J. Phys. Chem. B 2000, 104, 5897–5904. [Google Scholar] [CrossRef]







Publisher’s Note: MDPI stays neutral with regard to jurisdictional claims in published maps and institutional affiliations. |
© 2020 by the authors. Licensee MDPI, Basel, Switzerland. This article is an open access article distributed under the terms and conditions of the Creative Commons Attribution (CC BY) license (http://creativecommons.org/licenses/by/4.0/).
Share and Cite
Savioli, M.; Stefanelli, M.; Magna, G.; Zurlo, F.; Caso, M.F.; Cimino, R.; Goletti, C.; Venanzi, M.; Di Natale, C.; Paolesse, R.; et al. Tunable Supramolecular Chirogenesis in the Self-Assembling of Amphiphilic Porphyrin Triggered by Chiral Amines. Int. J. Mol. Sci. 2020, 21, 8557. https://doi.org/10.3390/ijms21228557
Savioli M, Stefanelli M, Magna G, Zurlo F, Caso MF, Cimino R, Goletti C, Venanzi M, Di Natale C, Paolesse R, et al. Tunable Supramolecular Chirogenesis in the Self-Assembling of Amphiphilic Porphyrin Triggered by Chiral Amines. International Journal of Molecular Sciences. 2020; 21(22):8557. https://doi.org/10.3390/ijms21228557
Chicago/Turabian StyleSavioli, Marco, Manuela Stefanelli, Gabriele Magna, Francesca Zurlo, Maria Federica Caso, Rita Cimino, Claudio Goletti, Mariano Venanzi, Corrado Di Natale, Roberto Paolesse, and et al. 2020. "Tunable Supramolecular Chirogenesis in the Self-Assembling of Amphiphilic Porphyrin Triggered by Chiral Amines" International Journal of Molecular Sciences 21, no. 22: 8557. https://doi.org/10.3390/ijms21228557
APA StyleSavioli, M., Stefanelli, M., Magna, G., Zurlo, F., Caso, M. F., Cimino, R., Goletti, C., Venanzi, M., Di Natale, C., Paolesse, R., & Monti, D. (2020). Tunable Supramolecular Chirogenesis in the Self-Assembling of Amphiphilic Porphyrin Triggered by Chiral Amines. International Journal of Molecular Sciences, 21(22), 8557. https://doi.org/10.3390/ijms21228557

