Rose Bengal Crosslinking to Stabilize Collagen Sheets and Generate Modulated Collagen Laminates
Abstract
1. Introduction
2. Results
2.1. Collagen Sheets—An Overview
2.2. Swelling Degree and Microstructure of Collagen Sheets
2.2.1. Collagen Sheets as Received
2.2.2. Modification of Collagen Sheets by RGX
2.3. Thickness Analysis of Collagen Sheets
2.4. Cell Viability on Collagen Sheets
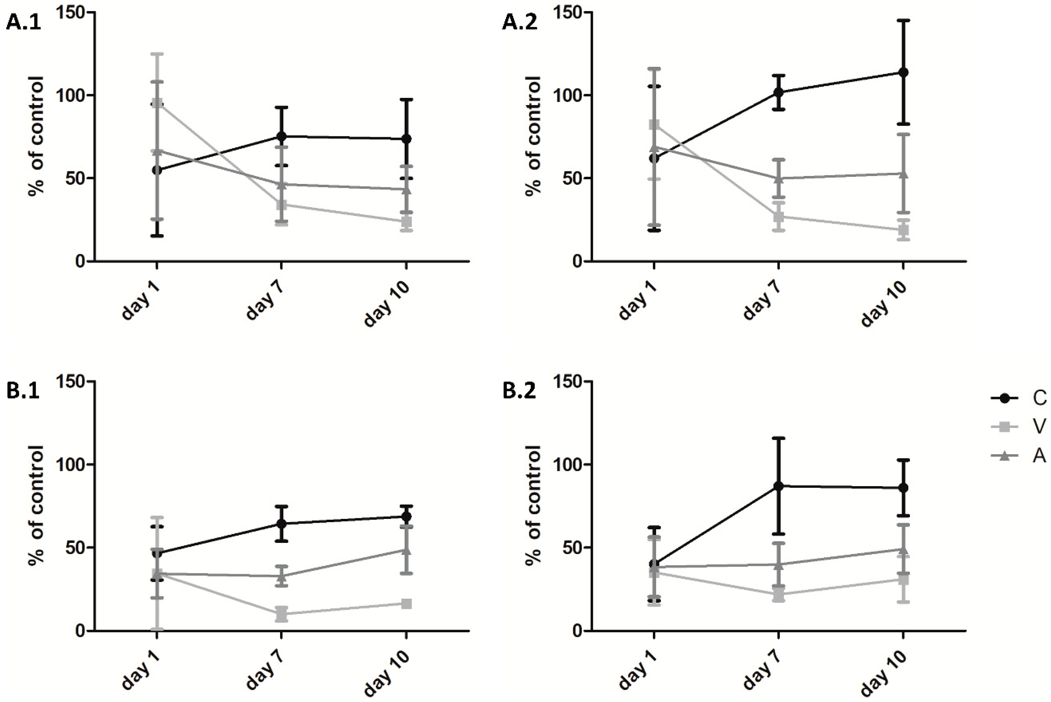
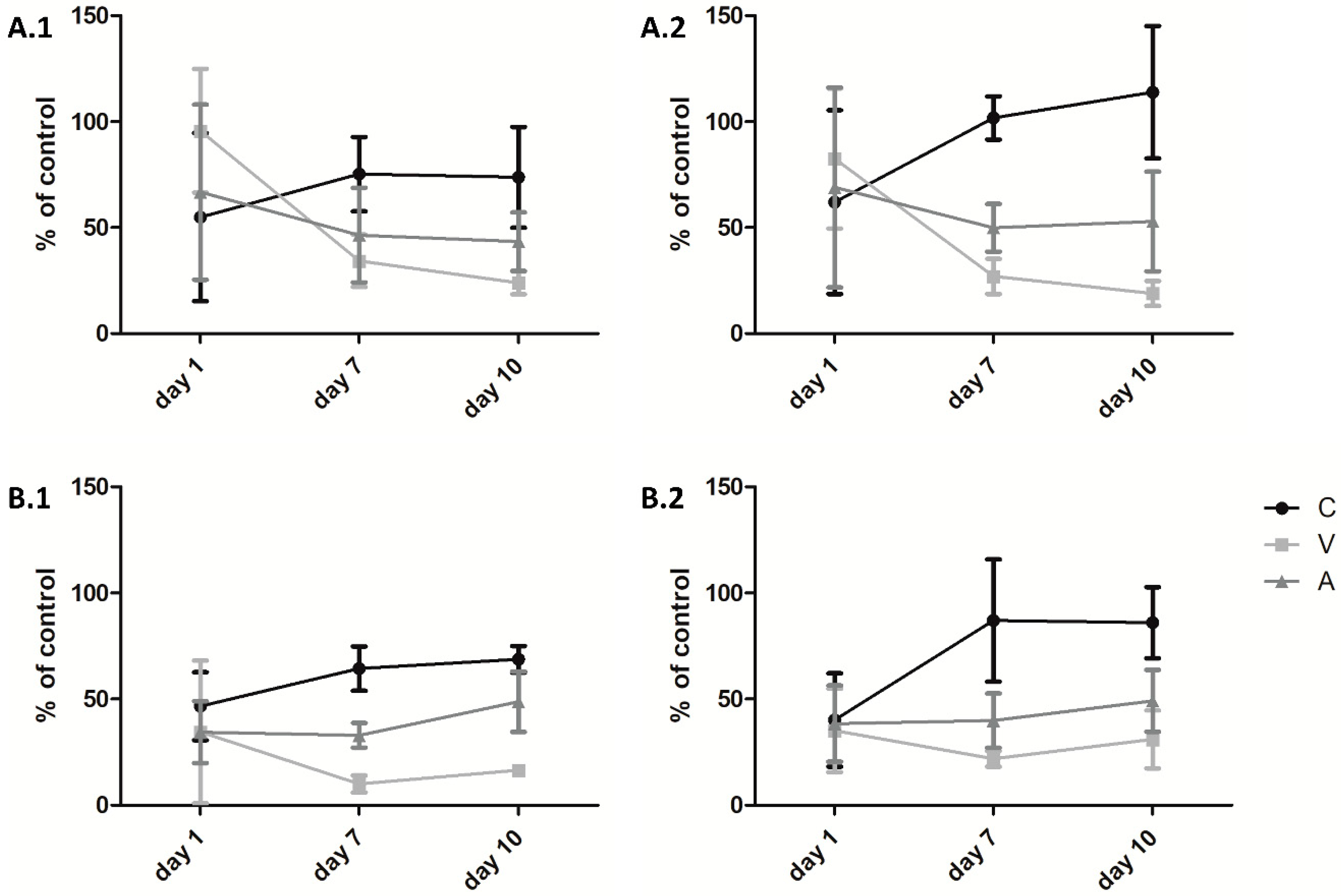
2.5. Release of Vancomycin
2.6. Thickness Analysis of Collagen Laminates
3. Discussion
3.1. Microstructure, Swelling Degree and Mechanical Properties of Collagen Sheets
3.2. Cell Viability on Collagen Sheets
3.3. Release of Vancomycin
3.4. Collagen Laminates
4. Materials and Methods
4.1. Collagen Sheets
4.2. Collagen Preparation
4.3. Analysis of Collagen Swelling Degree
4.4. Collagen Loading
4.5. Collagen Photocrosslinking
4.6. Transmitted Light Microscopy and Scanning Electron Microscopy
4.7. Analysis of Collagen Thickness
4.8. Cell Culture
4.9. AlamarBlue® Assay
4.10. Release of Vancomycin
5. Conclusions
Supplementary Materials
Author Contributions
Funding
Acknowledgments
Conflicts of Interest
Abbreviations
| DSC | Differential scanning calorimetry |
| PBS | Phosphate-buffered saline |
| RB | Rose Bengal |
| RGX | Rose bengal and green light collagen crosslinking |
| SEM | Scanning electron microscopy |
| TLM | Transmitted light microscopy |
References
- Shoulders, M.D.; Raines, R.T. Collagen structure and stability. Annu. Rev. Biochem. 2009, 78, 929–958. [Google Scholar] [CrossRef] [PubMed]
- Davison-Kotler, E.; Marshall, W.S.; García-Gareta, E. Sources of collagen for biomaterials in skin wound healing. Bioengineering 2019, 6, 56. [Google Scholar] [CrossRef] [PubMed]
- Parenteau-Bareil, R.; Gauvin, R.; Berthod, F. Collagen-based biomaterials for tissue engineering applications. Materials 2010, 3, 1863–1887. [Google Scholar] [CrossRef]
- Ricard-Blum, S. The collagen family. Cold Spring Harb. Perspect. Biol. 2011, 3, a004978. [Google Scholar] [CrossRef] [PubMed]
- Lin, Y.-K.; Lin, T.-Y.; Su, H.-P. Extraction and characterisation of telopeptide-poor collagen from porcine lung. Food Chem. 2011, 124, 1583–1588. [Google Scholar] [CrossRef]
- Zhang, Z.; Li, G.; Shi, B. Physicochemical properties of collagen, gelatin and collagen hydrolysate derived from bovine limed split wastes. J. -Soc. Leather Technol. Chem. 2006, 90, 23. [Google Scholar]
- Notbohm, H.; Pihlajaniemi, T.; Kivirikko, K. Expression of recombinant human type 1-111 collagens in the yeast Pichia pastoris. Biochem. Soc. Trans. 2000, 28. [Google Scholar]
- Xiufu, H.; Daidi, F.; Yan’e, L.; Zhang, X.; Huijuan, S.; Yu, M.; Xiaoxuan, M.; Guifang, Z. Kinetics of high cell density fed-batch culture of recombinant Escherichia coli producing human-like collagen. Chin. J. Chem. Eng. 2006, 14, 242–247. [Google Scholar] [CrossRef]
- Walton, R.S.; Brand, D.D.; Czernuszka, J.T. Influence of telopeptides, fibrils and crosslinking on physicochemical properties of type I collagen films. J. Mater. Sci. Mater. Med. 2010, 21, 451–461. [Google Scholar] [CrossRef]
- Glowacki, J.; Mizuno, S. Collagen scaffolds for tissue engineering. Biopolym. Orig. Res. Biomol. 2008, 89, 338–344. [Google Scholar] [CrossRef]
- Davidenko, N.; Schuster, C.; Bax, D.; Raynal, N.; Farndale, R.W.; Best, S.; Cameron, R. Control of crosslinking for tailoring collagen-based scaffolds stability and mechanics. Acta Biomater. 2015, 25, 131–142. [Google Scholar] [CrossRef] [PubMed]
- Lin, K.; Zhang, D.; Macedo, M.H.; Cui, W.; Sarmento, B.; Shen, G. Advanced Collagen-Based Biomaterials for Regenerative Biomedicine. Adv. Funct. Mater. 2019, 29, 1804943. [Google Scholar] [CrossRef]
- Damink, L.O.; Dijkstra, P.; Van Luyn, M.; Van Wachem, P.; Nieuwenhuis, P.; Feijen, J. Glutaraldehyde as a crosslinking agent for collagen-based biomaterials. J. Mater. Sci. Mater. Med. 1995, 6, 460–472. [Google Scholar]
- Wu, X.; Black, L.; Santacana-Laffitte, G.; Patrick, C.W., Jr. Preparation and assessment of glutaraldehyde-crosslinked collagen–chitosan hydrogels for adipose tissue engineering. J. Biomed. Mater. Res. Part A 2007, 81, 59–65. [Google Scholar] [CrossRef] [PubMed]
- Harriger, M.D.; Supp, A.P.; Warden, G.D.; Boyce, S.T. Glutaraldehyde crosslinking of collagen substrates inhibits degradation in skin substitutes grafted to athymic mice. J. Biomed. Mater. Res. Off. J. Soc. Biomater. Jpn. Soc. Biomater. 1997, 35, 137–145. [Google Scholar] [CrossRef]
- Rafat, M.; Li, F.; Fagerholm, P.; Lagali, N.S.; Watsky, M.A.; Munger, R.; Matsuura, T.; Griffith, M. PEG-stabilized carbodiimide crosslinked collagen–chitosan hydrogels for corneal tissue engineering. Biomaterials 2008, 29, 3960–3972. [Google Scholar] [CrossRef]
- Pieper, J.; Hafmans, T.; Veerkamp, J.; Van Kuppevelt, T. Development of tailor-made collagen–glycosaminoglycan matrices: EDC/NHS crosslinking, and ultrastructural aspects. Biomaterials 2000, 21, 581–593. [Google Scholar] [CrossRef]
- Khor, E. Methods for the treatment of collagenous tissues for bioprostheses. Biomaterials 1997, 18, 95–105. [Google Scholar] [CrossRef]
- Damink, L.O.; Dijkstra, P.; Van Luyn, M.; Van Wachem, P.; Nieuwenhuis, P.; Feijen, J. Crosslinking of dermal sheep collagen using hexamethylene diisocyanate. J. Mater. Sci. Mater. Med. 1995, 6, 429–434. [Google Scholar]
- Kamimura, W.; Koyama, H.; Miyata, T.; Takato, T. Sugar-based crosslinker forms a stable atelocollagen hydrogel that is a favorable microenvironment for 3D cell culture. J. Biomed. Mater. Res. Part A 2014, 102, 4309–4316. [Google Scholar] [CrossRef]
- Rousseau, C.F.; Gagnieu, C.H. In vitro cytocompatibility of porcine type I atelocollagen crosslinked by oxidized glycogen. Biomaterials 2002, 23, 1503–1510. [Google Scholar] [CrossRef]
- Speer, D.P.; Chvapil, M.; Eskelson, C.; Ulreich, J. Biological effects of residual glutaraldehyde in glutaraldehyde-tanned collagen biomaterials. J. Biomed. Mater. Res. 1980, 14, 753–764. [Google Scholar] [CrossRef] [PubMed]
- Simmons, D.; Kearney, J. Evaluation of collagen cross-linking techniques for the stabilization of tissue matrices. Biotechnol. Appl. Biochem. 1993, 17, 23–29. [Google Scholar] [CrossRef] [PubMed]
- Weadock, K.S.; Miller, E.J.; Bellincampi, L.D.; Zawadsky, J.P.; Dunn, M.G. Physical crosslinking of collagen fibers: Comparison of ultraviolet irradiation and dehydrothermal treatment. J. Biomed. Mater. Res. 1995, 29, 1373–1379. [Google Scholar] [CrossRef] [PubMed]
- Nakada, A.; Shigeno, K.; Sato, T.; Hatayama, T.; Wakatsuki, M.; Nakamura, T. Optimal dehydrothermal processing conditions to improve biocompatibility and durability of a weakly denatured collagen scaffold. J. Biomed. Mater. Res. Part B Appl. Biomater. 2017, 105, 2301–2307. [Google Scholar] [CrossRef]
- Davidenko, N.; Bax, D.V.; Schuster, C.F.; Farndale, R.W.; Hamaia, S.W.; Best, S.M.; Cameron, R.E. Optimisation of UV irradiation as a binding site conserving method for crosslinking collagen-based scaffolds. J. Mater. Sci. Mater. Med. 2016, 27, 14. [Google Scholar] [CrossRef]
- Zhao, X.; Long, K.; Liu, Y.; Li, W.; Liu, S.; Wang, L.; Ren, L. To prepare the collagen-based artificial cornea with improved mechanical and biological property by ultraviolet-A/riboflavin crosslinking. J. Appl. Polym. Sci. 2017, 134, 45226. [Google Scholar] [CrossRef]
- Bekesi, N.; Gallego-Munoz, P.; Ibares-Frias, L.; Perez-Merino, P.; Martinez-Garcia, M.C.; Kochevar, I.E.; Marcos, S. Biomechanical changes after in vivo collagen cross-linking with rose bengal–green light and riboflavin-UVA. Investig. Ophthalmol. Vis. Sci. 2017, 58, 1612–1620. [Google Scholar] [CrossRef]
- Wertheimer, C.M.; Elhardt, C.; Kaminsky, S.M.; Pham, L.; Pei, Q.; Mendes, B.; Afshar, S.; Kochevar, I.E. Enhancing rose bengal-photosensitized protein crosslinking in the Cornea. Investig. Ophthalmol. Vis. Sci. 2019, 60, 1845–1852. [Google Scholar] [CrossRef]
- Chan, B.P.; Kochevar, I.E.; Redmond, R.W. Enhancement of porcine skin graft adherence using a light-activated process. J. Surg. Res. 2002, 108, 77–84. [Google Scholar] [CrossRef]
- Chan, B.; So, K.F. Photochemical crosslinking improves the physicochemical properties of collagen scaffolds. J. Biomed. Mater. Res. Part A 2005, 75, 689–701. [Google Scholar] [CrossRef]
- Chan, B.; Chan, O.; So, K.-F. Effects of photochemical crosslinking on the microstructure of collagen and a feasibility study on controlled protein release. Acta Biomater. 2008, 4, 1627–1636. [Google Scholar] [CrossRef]
- Chan, O.; So, K.-F.; Chan, B. Fabrication of nano-fibrous collagen microspheres for protein delivery and effects of photochemical crosslinking on release kinetics. J. Control. Release 2008, 129, 135–143. [Google Scholar] [CrossRef]
- Cherfan, D.; Verter, E.E.; Melki, S.; Gisel, T.E.; Doyle, F.J.; Scarcelli, G.; Yun, S.H.; Redmond, R.W.; Kochevar, I.E. Collagen cross-linking using rose bengal and green light to increase corneal stiffness. Investig. Ophthalmol. Vis. Sci. 2013, 54, 3426–3433. [Google Scholar] [CrossRef]
- Gallego-Munoz, P.; Ibares-Frías, L.; Lorenzo, E.; Marcos, S.; Peréz-Merino, P.; Bekesi, N.; Kochevar, I.E.; Martínez-García, M.C. Corneal wound repair after rose bengal and green light crosslinking: Clinical and histologic study. Investig. Ophthalmol. Vis. Sci. 2017, 58, 3471–3480. [Google Scholar] [CrossRef]
- Davies, G. The Rose Bengal test. Vet. Rec. 1971, 88, 447. [Google Scholar] [CrossRef]
- Alexander, W. American Society of Clinical Oncology, 2010 Annual Meeting and Rose Bengal: From a Wool Dye to a Cancer Therapy. Pharm. Ther. 2010, 35, 469. [Google Scholar]
- Vanerio, N.; Stijnen, M.; de Mol, B.A.; Kock, L.M. Biomedical applications of photo-and sono-activated Rose Bengal: A review. Photobiomodulation Photomed. Laser Surg. 2019, 37, 383–394. [Google Scholar] [CrossRef]
- Verter, E.E.; Gisel, T.E.; Yang, P.; Johnson, A.J.; Redmond, R.W.; Kochevar, I.E. Light-initiated bonding of amniotic membrane to cornea. Investig. Ophthalmol. Vis. Sci. 2011, 52, 9470–9477. [Google Scholar] [CrossRef][Green Version]
- Chik, T.; Ma, X.; Choy, T.; Li, Y.; Diao, H.; Teng, W.; Han, S.; Cheung, K.; Chan, B. Photochemically crosslinked collagen annulus plug: A potential solution solving the leakage problem of cell-based therapies for disc degeneration. Acta Biomater. 2013, 9, 8128–8139. [Google Scholar] [CrossRef]
- Zhao, L.; Li, X.; Zhao, J.; Ma, S.; Ma, X.; Fan, D.; Zhu, C.; Liu, Y. A novel smart injectable hydrogel prepared by microbial transglutaminase and human-like collagen: Its characterization and biocompatibility. Mater. Sci. Eng. C 2016, 68, 317–326. [Google Scholar] [CrossRef]
- Nagorski, C.; Opalecky, D.; Bettelheim, F.A. A study of collagen-hyaluronan interaction through swelling in polyacrylamide gels. Res. Commun. Mol. Pathol. Pharmacol. 1995, 89, 179–188. [Google Scholar]
- Tronci, G.; Yin, J.; Holmes, R.A.; Liang, H.; Russell, S.J.; Wood, D.J. Protease-sensitive atelocollagen hydrogels promote healing in a diabetic wound model. J. Mater. Chem. B 2016, 4, 7249–7258. [Google Scholar] [CrossRef]
- Liang, H.; Russell, S.J.; Wood, D.J.; Tronci, G. Monomer-induced customization of UV-cured atelocollagen hydrogel networks. Front. Chem. 2018, 6, 626. [Google Scholar] [CrossRef]
- Huang, Y.; Meek, K.M. Swelling studies on the cornea and sclera: The effects of pH and ionic strength. Biophys. J. 1999, 77, 1655–1665. [Google Scholar] [CrossRef]
- Khare, A.R.; Peppas, N.A. Swelling/deswelling of anionic copolymer gels. Biomaterials 1995, 16, 559–567. [Google Scholar] [CrossRef]
- Vizarova, K.; Bakoš, D.; Rehakova, M.; Macho, V. Modification of layered atelocollagen by ultraviolet irradiation and chemical cross-linking: Structure stability and mechanical properties. Biomaterials 1994, 15, 1082–1086. [Google Scholar] [CrossRef]
- Shrestha, A.; Hamblin, M.R.; Kishen, A. Photoactivated rose bengal functionalized chitosan nanoparticles produce antibacterial/biofilm activity and stabilize dentin-collagen. Nanomed. Nanotechnol. Biol. Med. 2014, 10, 491–501. [Google Scholar] [CrossRef]
- Powell, H.M.; Boyce, S.T. EDC cross-linking improves skin substitute strength and stability. Biomaterials 2006, 27, 5821–5827. [Google Scholar] [CrossRef]
- Chen, R.-N.; Ho, H.-O.; Sheu, M.-T. Characterization of collagen matrices crosslinked using microbial transglutaminase. Biomaterials 2005, 26, 4229–4235. [Google Scholar] [CrossRef]
- Rothamel, D.; Schwarz, F.; Sculean, A.; Herten, M.; Scherbaum, W.; Becker, J. Biocompatibility of various collagen membranes in cultures of human PDL fibroblasts and human osteoblast-like cells. Clin. Oral Implant. Res. 2004, 15, 443–449. [Google Scholar] [CrossRef] [PubMed]
- Boyan, B.D.; Lohmann, C.H.; Dean, D.D.; Sylvia, V.L.; Cochran, D.L.; Schwartz, Z. Mechanisms involved in osteoblast response to implant surface morphology. Annu. Rev. Mater. Res. 2001, 31, 357–371. [Google Scholar] [CrossRef]
- Rosenblatt, J.; Rhee, W.; Wallace, D. The effect of collagen fiber size distribution on the release rate of proteins from collagen matrices by diffusion. J. Control. Release 1989, 9, 195–203. [Google Scholar] [CrossRef]
- Singh, M.; Lumpkin, J.A.; Rosenblatt, J. Mathematical modeling of drug release from hydrogel matrices via a diffusion coupled with desorption mechanism. J. Control. Release 1994, 32, 17–25. [Google Scholar] [CrossRef]
- Coelho, C.C.; Sousa, S.R.; Monteiro, F.J. Heparinized nanohydroxyapatite/collagen granules for controlled release of vancomycin. J. Biomed. Mater. Res. Part A 2015, 103, 3128–3138. [Google Scholar] [CrossRef]
- Uquillas, J.A.; Akkus, O. Modeling the electromobility of type-I collagen molecules in the electrochemical fabrication of dense and aligned tissue constructs. Ann. Biomed. Eng. 2012, 40, 1641–1653. [Google Scholar] [CrossRef]
- Turbay, M.B.E.; Rey, V.; Argañaraz, N.M.; Vieyra, F.E.M.; Aspée, A.; Lissi, E.A.; Borsarelli, C.D. Effect of dye localization and self-interactions on the photosensitized generation of singlet oxygen by rose bengal bound to bovine serum albumin. J. Photochem. Photobiol. B Biol. 2014, 141, 275–282. [Google Scholar] [CrossRef]
- Drohan, W.N.; MacPhee, M.J.; Miekka, S.I.; Singh, M.S.; Elson, C.; Taylor, J.R., Jr. Chitin Hydrogels, Methods of Their Production and Use. U.S. Patent 6,124,273, 26 September 2000. [Google Scholar]
- MacPhee, M.J.; Drohan, W.N.; Woolverton, C.J. Supplemented and Unsupplemented Tissue Sealants, Methods of Their Production and Use. U.S. Patent 6,054,122, 25 April 2000. [Google Scholar]
- Campbell, P.G.; Weiss, L.E.; Smith, J. Biocompatible Polymers and Methods of Use. U.S. Patent 11/495,115, 7 October 2010. [Google Scholar]
- Wen, X.; Kirkwood, K.L. Methods and Compositions for Temporal Release of Agents from a Biodegradable Scaffold. U.S. Patent 12/856,299, 17 February 2011. [Google Scholar]
- Bracaglia, L.; Sharma, P.; Fisher, J.P. Polymer-Tissue Hybrid Biomaterials and Methods of Making and Using Same. U.S. Patent 9,795,471, 24 October 2017. [Google Scholar]
- Shah, N.J.; Hong, J.; Hyder, N.; Hammond, P.T. Composition and Methods for Coating. U.S. Patent 13/746,902, 25 July 2013. [Google Scholar]
- Hofmann, A.; Ritz, U.; Hessmann, M.; Schmid, C.; Tresch, A.; Rompe, J.; Meurer, A.; Rommens, P. Cell viability, osteoblast differentiation, and gene expression are altered in human osteoblasts from hypertrophic fracture non-unions. Bone 2008, 42, 894–906. [Google Scholar] [CrossRef]
- Hofmann, A.; Ritz, U.; Verrier, S.; Eglin, D.; Alini, M.; Fuchs, S.; Kirkpatrick, C.J.; Rommens, P.M. The effect of human osteoblasts on proliferation and neo-vessel formation of human umbilical vein endothelial cells in a long-term 3D co-culture on polyurethane scaffolds. Biomaterials 2008, 29, 4217–4226. [Google Scholar] [CrossRef]
- Langendorf, E.K.; Rommens, P.M.; Drees, P.; Mattyasovszky, S.G.; Ritz, U. Detecting the Effects of the Glucocorticoid Dexamethasone on Primary Human Skeletal Muscle Cells—Differences to the Murine Cell Line. Int. J. Mol. Sci. 2020, 21, 2497. [Google Scholar] [CrossRef]








© 2020 by the authors. Licensee MDPI, Basel, Switzerland. This article is an open access article distributed under the terms and conditions of the Creative Commons Attribution (CC BY) license (http://creativecommons.org/licenses/by/4.0/).
Share and Cite
Eckes, S.; Braun, J.; Wack, J.S.; Ritz, U.; Nickel, D.; Schmitz, K. Rose Bengal Crosslinking to Stabilize Collagen Sheets and Generate Modulated Collagen Laminates. Int. J. Mol. Sci. 2020, 21, 7408. https://doi.org/10.3390/ijms21197408
Eckes S, Braun J, Wack JS, Ritz U, Nickel D, Schmitz K. Rose Bengal Crosslinking to Stabilize Collagen Sheets and Generate Modulated Collagen Laminates. International Journal of Molecular Sciences. 2020; 21(19):7408. https://doi.org/10.3390/ijms21197408
Chicago/Turabian StyleEckes, Stefanie, Joy Braun, Julia S. Wack, Ulrike Ritz, Daniela Nickel, and Katja Schmitz. 2020. "Rose Bengal Crosslinking to Stabilize Collagen Sheets and Generate Modulated Collagen Laminates" International Journal of Molecular Sciences 21, no. 19: 7408. https://doi.org/10.3390/ijms21197408
APA StyleEckes, S., Braun, J., Wack, J. S., Ritz, U., Nickel, D., & Schmitz, K. (2020). Rose Bengal Crosslinking to Stabilize Collagen Sheets and Generate Modulated Collagen Laminates. International Journal of Molecular Sciences, 21(19), 7408. https://doi.org/10.3390/ijms21197408

