Abstract
Acetylcholinesterase is an important biochemical enzyme in that it controls acetylcholine-mediated neuronal transmission in the central nervous system, contains a unique structure with two binding sites connected by a gorge region, and it has historically been the main pharmacological target for treatment of Alzheimer’s disease. Given the large projected increase in Alzheimer’s disease cases in the coming decades and its complex, multifactorial nature, new drugs that target multiple aspects of the disease at once are needed. Tacrine, the first acetylcholinesterase inhibitor used clinically but withdrawn due to hepatotoxicity concerns, remains an important starting point in research for the development of multitarget-directed acetylcholinesterase inhibitors. This review highlights tacrine-based, multitarget-directed acetylcholinesterase inhibitors published in the literature since 2015 with a specific focus on merged compounds (i.e., compounds where tacrine and a second pharmacophore show significant overlap in structure). The synthesis of these compounds from readily available starting materials is discussed, along with acetylcholinesterase inhibition data, relative to tacrine, and structure activity relationships. Where applicable, molecular modeling, to elucidate key enzyme-inhibitor interactions, and secondary biological activity is highlighted. Of the numerous compounds identified, there is a subset with promising preliminary screening results, which should inspire further development and future research in this field.
1. Introduction
Acetylcholinesterase (AChE; EC 3.1.1.7) catalyzes the hydrolysis reaction of acetylcholine (ACh) to choline and acetate (Figure 1A), making it responsible for terminating ACh-mediated synaptic transmission in the central nervous system (CNS) with high catalytic efficiency [1,2]. Structurally, three key features are known: The catalytic active site (CAS), the gorge, and the peripheral anionic site (PAS) (Figure 1B,C). The CAS is in the interior of the enzyme and is where the hydrolysis reaction takes place. It can be further divided into regions including the esteratic site, which contains the catalytic triad (Ser203, His447, Glu334 in hAChE (PDB:4EY4)), the anionic site, which contains aromatic residues (Trp86, Tyr133, Tyr337, Phe338) that stabilize the quaternary ammonium group of ACh through cation-π interactions, the oxyanion hole, which contains residues (Gly121, Gly122, Ala204) to stabilize the negatively charged transition state, and the acyl pocket, which uses residues (Phe295 and Phe297) to control substrate specificity. The gorge region, having dimensions of about 20 Å long and 5 Å wide, connects the CAS to the PAS and the enzyme exterior. It is lined with primarily aromatic amino acids. The PAS on the exterior of the enzyme also consists of primarily aromatic residues (Tyr72, Asp74, Tyr124, Trp286, Tyr341) and serves as a low affinity binding site to concentrate ACh at the entrance to the gorge [3,4,5,6,7,8,9].
Figure 1.
(A) Hydrolysis of acetylcholine (ACh) to choline and acetate catalyzed by acetylcholinesterase (AChE). (B) View of the hAChE (PDB:4EY4) active site with key amino acid residues color coded by region (reprinted from [3], with permission from Elsevier). (C) Surface representation of the hAChE (PDB:4EY4) active site looking down the gorge with regions color coded as in (B) (reprinted from [3], with permission from Elsevier).
AChE has received considerable attention as a target of chemical intervention, particularly for therapeutic treatment of Alzheimer’s disease (AD). In the United States, AD is the sixth leading cause of death and affects nearly 6 million people, and that number is estimated to grow to nearly 14 million in the next few decades. The disease is characterized by progressive neurodegeneration and diverse symptoms, the most noticeable being cognitive failure (memory loss, language difficulties, inability to plan or problem solve) [10]. The connection between AChE and AD dates back approximately 40 years and is based on the role of ACh in learning and memory and the observation of reduced cholinergic function in the brains of AD patients [11,12,13,14,15,16]. The logical progression has been to develop an AChE inhibitor(s) (AChEi) to slow the breakdown of ACh and boost its levels (cholinergic hypothesis). Indeed, over the last several decades, four AChEi (tacrine, donepezil, rivastigmine, and galantamine) have all been used to treat AD (Figure 2). A fifth drug used to treat AD, memantine, functions as an N-methyl-D-aspartate receptor (NMDAR) antagonist, and it is often used in combination with donepezil. While these drugs have had moderate success in alleviating cognitive symptoms, they are incapable of halting progression or curing AD [17]. This is thought to be, in large part, due to the complex nature and etiology of AD, and it is largely accepted that new and improved AD drugs should target additional factors beyond ACh.
Figure 2.
Structures of clinically used Alzheimer’s disease (AD) drugs. Tacrine (discontinued), donepezil, galantamine, and rivastigmine are all AChEi. Memantine is an N-methyl-d-aspartate receptor (NMDAR) antagonist. The tricyclic rings of tacrine are labeled A–C for discussion purposes.
As mentioned above, various other factors are thought to play a role in the AD onset and progression, and there is a significant amount of interplay among these factors and with AChE. The amyloid hypothesis focuses on extracellular aggregates of the amyloid-β (Aβ) peptide in the form of oligomers and plaques, which disrupt synaptic transmission and cause neuronal death. The Aβ peptide itself is generated by β-secretase (BACE1) and γ-secretase cleavage of the amyloid precursor protein (APP) [18,19,20,21,22]. Aβ aggregation is promoted through an interaction with the PAS of AChE [23,24,25] and with metal ions (Cu2+ and Zn2+) [26,27,28]. These metal ions may also, alone or in combination with Aβ oligomers, lead to the production of reactive oxygen species (ROS) and inflammation, which have been implicated in neuronal death and AD progression [29,30,31]. Dyshomeostasis of other intracellular metal ions, such as Ca2+, may also contribute to neurodegeneration [32,33]. Additionally, metabolic enzymes such as 15-lipoxygenase (15-LOX), which catalyzes the oxidation of polyunsaturated fatty acids to hydroperoxy acids, and cyclooxygenase-2 (COX-2), which is involved in the conversion of arachidonic acid to prostaglandins, contribute to ROS, oxidative stress, and inflammation [34,35,36,37]. Monoamine oxidase (MAO) is also of interest as the increase of monoaminergic neurotransmission through inhibition may alleviate AD symptoms, and ROS-byproducts of the MAO reaction exacerbate oxidative stress [38,39]. Carbonic anhydrase (CA) has even been implicated in AD, and modulation may be beneficial for AD [40,41]. Furthermore, the tau hypothesis focuses on abnormal phosphorylation of the tau protein. This protein is associated with microtubules and interacts with the neuronal cytoskeleton to facilitate intracellular signaling. When hyperphosphorylated, tau can aggregate to form intracellular neurofibrillary tangles (NFTs). This leads to compromised axonal transport and diminished synaptic function, and there is evidence that tau may act synergistically with Aβ [18,42]. Finally, the mitochondrial cascade hypothesis of AD suggests that the individual genetic makeup determines a baseline mitochondrial function, and the genetics plus environment determines how the mitochondrial function declines with age. The declining mitochondrial function can then initiate other pathologies associated with AD, such as Aβ aggregation and tau phosphorylation [43,44].
Tacrine was the first AChEi approved by the United States Food and Drug Administration for the treatment of AD in 1993. However, it is no longer used clinically due to poor pharmacokinetics requiring four times per day dosing and side effects, the most notorious being hepatotoxicity. Structurally, it is a tricyclic molecule (see Figure 2) consisting of an aromatic A-ring, heteroaromatic B-ring containing an amino substituent at position 9, and a saturated C-ring. Hepatotoxicity has been linked to A-ring hydroxylation during metabolism, which is followed by subsequent conversion to a reactive quinone-like metabolite [45,46,47,48]. Tacrine has, however, remained an important molecule for research into new AD drugs. This is largely due to its strong inhibition of AChE (low nanomolar IC50), ligand efficiency, synthetic accessibility, tolerance of structural modification, and suitability as a starting point for the multitarget-directed ligand (MTDL) strategy. As mentioned above, AD is multifactorial in nature and new and improved AD drugs should target additional factors beyond the cholinergic system. The MTDL strategy for AD, which aims to combine two or more pharmacophores into a single chemical entity capable of acting on multiple aspects of AD at once, has been implemented using tacrine with varying degrees of success for nearly three decades [49,50,51,52,53,54]. It should be noted that the MTDL strategy is not unique to AD. For example, it has been applied to the treatment of cancer, malaria, and diabetes [55,56].
Morphy and Rankovic [57] classified MTDLs based on the degree of overlap of the pharmacophores (Figure 3). “Linked” MTDLs contain well separated pharmacophores joined by a distinct linker region that is not present in either parent compound. “Merged” MTDLs represent the opposite end of a continuum where there is a high degree of overlap between the pharmacophores based on structural similarities in the parent compounds. The merged approach often results in smaller and simpler molecules, whereas the linked approach leads to larger, higher molecular weight molecules. The tacrine-based MTDLs reported in the literature are numerous, and our initial survey led us to divide tacrine-based MTDLs into two groups: Linked and merged. To keep the scope of this manuscript manageable, we report herein only on the merged MTDLs. Furthermore, to focus on current advances, this review details only compounds that were newly reported in the last five years (2015–present). While we recognize the significance of linked tacrine-based MTDLs to this field, we feel that a detailed discussion warrants a separate report, which will be composed in due course.
Figure 3.
Tacrine-based multitarget-directed ligand (MTDLs) can be classified as “linked” or “merged” based on the degree of overlap of the pharmacophores (adapted with permission from [57], copyright (2005) American Chemical Society).
The merged tacrine-based MTDLs discussed have been grouped based on structural similarities. Special emphasis is placed on the synthesis of the compounds and comparison of in vitro AChE inhibition to tacrine, 6-chlorotacrine, or 7-methoxytacrine as appropriate. The 6-chloro substituent on the tacrine scaffold is known to improve the inhibition of AChE while increasing toxicity, and the 7-methoxy substituent, conversely, is known to weaken inhibition while reducing toxicity [58,59]. Unless otherwise stated, inhibition is evaluated using the classic Ellman method [60] with AChE from either Electrophorus electricus (EeAChE) or human (hAChE). These two enzymes have a 56.6% sequence identity, but EeAChE is generally the less expensive choice for preliminary testing [61]. We highlight key structure-activity relationship (SAR) trends and in silico molecular modeling interactions where appropriate, while also describing relevant secondary in vitro and in vivo biological activity. Molecular modeling uses either hAChE or Torpedo californica AChE (TcAChE), which have a 51.9% sequence identity [61]. Together, the in vitro, in silico, and in vivo data represent an “in combo” approach to AD drug discovery [56,62].
2. Pyranopyrazole Tacrines
One of the most studied modifications to the tacrine core over the last five years has been the replacement of the aromatic A-ring with a fused pyranopyrazole moiety. The resulting 76 different analogs of this tetracyclic scaffold can be divided among two series: 1a–z, varying in the 4-aryl substituent on the pyran ring, and 2a–ax, varying at four positions around the scaffold (Scheme 1A) [63,64,65,66,67]. Synthetically, pyranopyrazole tacrines are accessed via closely related two-step sequences (Scheme 1B,C). The pyrano[2,3-c]pyrazole core can be constructed using a one-pot four-component reaction between β-ketoesters, hydrazine hydrate or hydrazine derivatives, malononitrile, and aryl or alkyl aldehydes under ultrasonic irradiation in the presence of (S)-Pro to give 3a–n or 4a–o, t–aa, ae, af [63,64,66]. Alternatively, the pyrano[2,3-c]pyrazole core 3o–z or 4ag–ax can be constructed from the reaction of 3-methyl-1H-pyrazol-5(4H)-one or 3-methyl-1-phenyl-1H-pyrazol-5(4H)-one with aryl aldehydes and malononitrile [65,67]. A subsequent Friedländer reaction with the appropriate cyclohexanone, cycloheptanone, or tetrahydro-4H-thiopyran-4-one and AlCl3 gave the target compounds 1a–z and 2a–ax as racemic mixtures.
Scheme 1.
(A) Structure of pyranopyrazole tacrines 1a–z and 2a–ax [63,64,65,66,67]. (B) Synthesis of pyranopyrazole tacrines 1a–z. (C) Synthesis of pyranopyrazole tacrines 2a–ax. Reagents and conditions: (i) Ultrasonic irradiation, (S)-Pro, H2O/EtOH, rt, 10–35 min, 77–95%; (ii) cyclohexanone or cycloheptanone or tetrahydro-4H-thiopyran-4-one, AlCl3, DCE or DCM, Δ (12–24 h, 65–95%) or MWI (53–90%); (iii) DCE, Δ, 3–4 h, quant.; (iv) DABCO, EtOH, rt, 12 h, quant.
In addition to acting as AChEi, pyranopyrazole tacrines have shown activity against ROS and Aβ. Among compounds reported by Khoobi et al., the most active inhibitor 1h (EeAChE IC50 = 190 nM) showed a slight improvement over tacrine (EeAChE IC50 = 280 nM) (Table 1). SAR showed that a methoxy substituent at the 4-position of the phenyl ring showed better inhibition than methyl or fluoro substituents, and a second methoxy group at the 3-position, as seen in 1h, further improved potency. The Lineweaver-Burk plot showed varying x- and y-intercepts indicating a mixed-type inhibition for this compound (i.e., binding to both the substrate active site (CAS) and a second distinct site (PAS)). Molecular modeling predicted the R-enantiomer of 1h to interact with TcAChE near the CAS. The methoxyphenyl group showed a key hydrogen bonding interaction with His440 of the catalytic triad. However, the S-enantiomer was predicted to interact with the top of the gorge near the PAS. At 10 µM, 1h showed similar neuroprotection to quercetin in response to H2O2-induced damage in PC12 cells [63]. Chioua et al. identified two promising EeAChEi in the 4-nitrophenyl analog 1r (IC50 = 170 nM), which was comparable to tacrine (IC50 = 190 nM), and the 2-methoxyphenyl analog 1f (IC50 = 1.52 µM), which was 8-fold less potent than tacrine (Table 1). Interestingly, the Lineweaver-Burk plot indicated that 1f was a noncompetitive inhibitor, while molecular modeling of (R)- and (S)-1r with EeAChE showed similar interactions confined to the PAS, namely π-π stacking interactions between the pyranopyrazole moiety and Trp286 and the pyridine moiety and Tyr341. Furthermore, both 1f and 1r showed complete inhibition of Aβ1-40 EeAChE-induced aggregation at 25 µM, and they showed comparable neuroprotection against oligomycin A/rotenone-induced oxidative stress in cortical neurons. However, only 1f was nontoxic to HepG2 cells at 300 µM and showed favorable in silico CNS permeability [64]. Compounds 1s, with a para-thioanisole substituent, and 1x, with a biphenyl substituent, were also highly potent EeAChEi being 4.5- to 6-fold more potent than tacrine and having IC50 = 58 and 44 nM, respectively (Table 1). Molecular modeling indicated that both enantiomers of 1x interacted with TcAChE at the gorge entrance with the biphenyl substituent positioned towards the CAS [65].
Table 1.
Inhibition of Electrophorus electricus (EeAChE) by pyranopyrazole tacrines 1a–z (data from [63,64,65]).
Additional studies have focused on varying ring size on the tacrine core and side chains off of the pyrano[2,3-c]pyrazole moiety [66,67]. Compounds 2a–af, with one exception, all showed IC50 < 2 µM (EeAChE). SAR results showed that a propyl or phenyl substituent at R1 and a 4-methoxyphenyl or 4-fluorophenyl substituent at R3 gave the best inhibition. Expansion of the tacrine cyclohexane to a cycloheptane gave mixed inhibition results, and bioisosteric replacement of a cyclic methylene with S had little effect. Of note, compared to tacrine (IC50 = 221 nM), 2u (IC50 = 34 nM) and 2x (IC50 = 81 nM) were 6- and 3-fold more potent, respectively. Molecular modeling of 2u with TcAChE (Figure 4) showed the pyrazole ring forming key H-bonds with Glu199 and Tyr130 and π-π stacking with Trp84 in the CAS. Additionally, the 4-fluorophenyl moiety was positioned towards the oxyanion hole forming an amide-π stacking interaction with Gly119. The Lineweaver-Burk plot showed a mixed-type inhibition for 2u. Moreover, 2x was a moderate inhibitor of 15-LOX (IC50 = 31 µM, compared to quercetin IC50 = 18 µM), while 2u showed no inhibition of this enzyme, and both 2u and 2x were less hepatotoxic than tacrine, showing no appreciable change in the HepG2 cell viability up to 50 µM [66]. Compounds 2ag–ax were overall less potent inhibitors of AChE. Of this series, 2ag and 2ah with a phenyl and 4-methoxyphenyl substituent off the pyran, respectively, showed the best inhibition of EeAChE with IC50 ~ 2.8 µM [67].
Figure 4.
Molecular modeling of 2u in the substrate active site (CAS) of TcAChE (adapted from [66], with permission from Elsevier). The pyrazole ring forms key H-bonds with Glu199 and Tyr130 and π-π stacking with Trp84. The 4-fluorophenyl moiety forms an amide-π stacking interaction with Gly119.
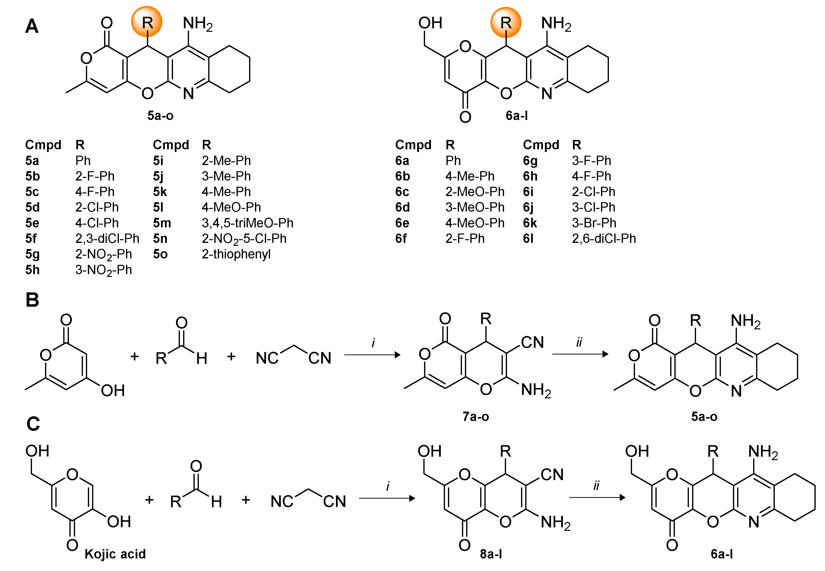
3. Pyranopyranone Tacrines
There have also been recent reports of pyranopyranone tacrines 5a–o and 6a–l (Scheme 2A) [68,69]. These compounds contain hydroxypyranone moieties that offer activity against ROS, while maintaining a potent inhibition of AChE. The target compounds were prepared in two steps from a starting hydroxypyranone (Scheme 2B,C). 4-Hydroxy-6-methyl-2H-pyran-2-one or kojic acid (KA), a natural fungal metabolite with ROS scavenging ability [70], were reacted with aryl aldehydes and malononitrile in the presence of DABCO or Et3N to afford intermediate aminocarbonitriles 7a–o and 8a–l. Then, the Friedländer reaction with cyclohexanone in the presence of AlCl3 gave the target compounds 5a–o and 6a–l as racemic mixtures [68,69].
Scheme 2.
(A) Structure of pyranopyranone tacrines 5a–o and 6a–l [68,69]. (B) Synthesis of pyranopyranone tacrines 5a–o. (C) Synthesis of pyranopyranone tacrines 6a–l. Reagents and conditions: (i) DABCO (rt, 12 h, quant.) or Et3N (Δ, 5 min, 63–77%), EtOH, rt; (ii) cyclohexanone, AlCl3, DCE or 1,4-dioxane, Δ, 2–18 h, 50–87%.
Compared to tacrine (EeAChE IC50 = 48 nM), 5a–o showed a weaker inhibition. The most potent compound 5f with a 2,3-dichlorophenyl group was 8-fold weaker (EeAChE IC50 = 370 nm). 5f also showed moderate neuroprotection in PC12 cells against H2O2-induced damage, but it did not perform as well as quercetin in the same assay. The Lineweaver-Burk plot of 5f showed a mixed inhibition, suggesting an interaction with both the CAS and PAS. Interestingly, molecular modeling showed that the R-enantiomer of 5f was predicted to interact with the PAS, while the S-enantiomer was predicted to interact with the mid-gorge region and span the PAS-CAS distance [68]. Similarly, 6a–l also showed a comparatively weaker inhibition. Of this series, the most potent inhibitor of EeAChE was the 3-methoxyphenyl substituted 6d (IC50 = 640 nM), which was 20-fold less potent than tacrine (IC50 = 31 nM). Promisingly though, most of these compounds were significantly less toxic than tacrine. In addition, 6d maintained a 65.5% viability in HepG2 cells at 1 mM, 6-fold less toxic than tacrine (10.9% viability at 1 mM). Moreover, 6d improved upon the known antioxidant capacity of KA (ORAC assay; 4.79 and 2.51 Trolox equivalents for 6d and KA, respectively), and it showed a capable neuroprotection against oligomycin/rotenone and Aβ1-40 in SH-SY5Ycells at 3 µM. Molecular modeling of hAChE with 6d R- and S-enantiomers indicated an association of both with the PAS via π-π stacking with Trp286 and Tyr341, acting as a barrier to the active site of the enzyme (Figure 5). Additional key H-bonds were noted, including the primary hydroxyl group for both enantiomers with Tyr72 and the tacrine-like amino group with Tyr124 (R-enantiomer) or Asp74 (S-enantiomer) [69].
Figure 5.
Molecular modeling of (R)-6d in the second distinct site (PAS) of hAChE (adapted from [69]). Important interactions include π-π stacking with Trp286 and Tyr341 and H-bonds of the primary hydroxyl group with Tyr72 and the tacrine-like amino group with Tyr124.
4. Pyranonaphthalene, Pyranoquinoline, and Pyranonaphthoquinone Tacrines
Pentacylcic pyranotacrines bearing a fused naphthalene, quinoline, or naphthoquinone moiety (Scheme 3A) have shown diverse anti-AD activity, including AChE inhibition, BACE1 inhibition, ROS scavenging, and metal chelation [71,72,73,74]. The pyranoquinoline tacrines were designed to incorporate the hydroxyquinoline moiety of cliquinol, a known antioxidant and Cu-chelator [72,75], while the pyranonaphthoquinone tacrines were designed to incorporate the known 1,4-naphthoquinone BACE1i scaffold [73,76]. The compounds were prepared through closely related two-step sequences relying on 4H-pyran construction from malononitrile, aryl aldehydes, and either 2-naphthol, 1-naphthol, 8-hydroxyquinoline, or 2-hydroxy-1,4-naphthoquinone to give intermediates 12 [71], 13a,c,e–p [71,72], and 14a–t [73,74] (Scheme 3B). In all cases, a subsequent Friedländer reaction with the appropriate cycloalkanone and AlCl3 gave the target compounds 9a–c, 10a–p, and 11a–t as racemic mixtures.
Scheme 3.
(A) Structure of pyranonaphthalene (9a–c, 10a,b), pyranoquinoline (10c–p), and pyranonaphthoquinone tacrines 11a–t [71,72,73,74]. (B) Synthesis of pyranonaphthalene (9a–c, 10a,b), pyranoquinoline (10c–p), and pyranonaphthoquinone tacrines 11a–t. Reagents and conditions: (i) 2-Naphthol, piperidine, EtOH, Δ, 12 h, 72%; (ii) cyclopentanone or cyclohexanone or cycloheptanone, AlCl3, DCE or 1,4-dioxane, Δ (2–24 h, 40–95%) or MWI (3 h, 9–70%); (iii) 1-naphthol or 8-hydroxyquinoline, piperidine, EtOH, Δ, 15 min–12 h, 47–93%; (iv) 2-hydroxy-1,4-naphthoquinone, piperidine, EtOH, Δ, 2–6 h, quant.
In terms of biological activity, these compounds showed a weak inhibition of AChE with varying secondary activity. Among pyranonaphthalene and pyranoquinoline tacrines bearing a 1-methyl-1H-imadazol-2-yl substituent 9a–c and 10a–d, compared to tacrine (EeAChE IC50 = 89.8 nM), all were weaker inhibitors of AChE. Even the most potent inhibitor 9b (EeAChE IC50 = 6.73 µM) was 75-fold less potent than tacrine. Non-competitive inhibition was indicated by the Lineweaver-Burk plot and confirmed by molecular modeling, which showed both enantiomers of 9b favoring an interaction with the PAS. The antioxidant capacity was promising, however, with compounds exhibiting between 1.47–2.75 Trolox equivalents by the ORAC assay, but 9b did show increased hepatotoxicity compared to tacrine in HepG2 cells [71]. Among 10e–p, 10l bearing a 3-methoxyphenyl substituent was the most potent against EeAChE (IC50 = 40 nM, compared to tacrine IC50 = 30 nM). SAR indicated the phenyl substituted inhibitors to be more potent than the pyridinyl substituted ones. The Lineweaver-Burk plot showed that 10l acted as a noncompetitive inhibitor of hAChE. Molecular modeling predicted that the R-enantiomer bound to hAChE at the PAS primarily through π-π stacking interactions. Moreover, noted were two H-bonds between the 8-amino group and Asp74 and Leu76. The S-enantiomer was predicted to bind in a similar fashion. These compounds showed a moderate antioxidant ability, and 10l, although not the best antioxidant tested, gave an ORAC assay result of 1.83 Trolox equivalents. In addition, 10l was non-toxic in HepG2 cells at concentrations up to 1 mM and was predicted to cross the blood-brain barrier (BBB) by the parallel artificial membrane permeability assay (PAMPA) (effective permeability (Pe) = 5.41 × 10−6 cm/s where a high BBB permeation predicted with Pe (10−6 cm/s) > 4.0, a low BBB permeation predicted with Pe (10−6 cm/s) < 2.0, and BBB permeation uncertain with Pe (10−6 cm/s) from 2.0 to 4.0). Disappointingly, 10l showed not ability to chelate Cu2+ or Fe2+ [72]. The pyranonaphthoquinone tacrines 11a–t showed significantly less inhibition of AChE than tacrine. The 3-nitrophenyl substituted 11n (EeAChE IC50 = 860 nM) was 17-fold less potent than tacrine (EeAChE IC50 = 50 nM) [73], and the 4-methoxyphenyl substituted 11t (hAChE IC50 = 1.10 µM) was 8.5-fold less potent than tacrine (hAChE IC50 = 130 nM) [74]. 11n and 11t showed a mixed-type inhibition by the Lineweaver-Burk plot analysis, while molecular modeling with TcAChE showed a similar interaction for both compounds with CAS and PAS residues. Key interactions included π-π interactions with the aromatic rings and Phe330 and Trp84 in the CAS, as well as an H-bond between the nitro substituent (for 11n) and Tyr334 in the PAS [73,74]. Additionally, 11n showed a promising ability to chelate Cu2+, Zn2+, and Fe2+. Unfortunately though, 11n showed only a weak BACE1 inhibition compared to the known peptidomimetic BACE1 inhibitor OM99-2 (IC50 = 19.60 µM and 14 nM, respectively), and it showed no antioxidant activity or neuroprotective ability against Aβ25-35 [73]. Importantly, 11t showed 3.5-fold less hepatotoxicity than tacrine at 1 mM in HepG2 cells and was predicted to be CNS active (PAMPA-BBB, Pe = 4.4 × 10−6 cm/s) [74].
5. Other Pyranotacrines
Other tri- and tetracylcic pyranotacrines with a diverse anti-AD activity have been studied (Scheme 4A) [71,77,78,79]. The 4H-pyran core was formed by either a one-step reaction of ethyl benzoylacetate with benzaldehyde derivative and malononitrile in the presence of piperidine (in the case of 17a–p [77]) or a two-step sequence in which the appropriate imidazole- or quinolinecarboxaldehyde was first condensed with malononitrile and then treated with a 1,3-dicarbonyl (in the case of 17q,t,u,x–ab, and 18a,c) in the presence of piperidine (Scheme 4B,C) [71,78]. Alternatively, for the sulfamoyl-containing pyranotacrines 16f–t, SOCl2 and microwave irradiation was first used to make p-sulfamoylbenzoyl chloride from the corresponding acid. Esterificaton with hydroxybenzaldehydes then gave sulfamoylbenzoate benzaldehydes, which were subjected to a three-component Aldol-Michael-cyclization sequence with malononitrile and dimedone under microwave irradiation to give intermediates 18f–j (Scheme 4D) [79]. In all cases, a final Friedländer reaction with the appropriate cycloalkanone in the presence of AlCl3 gave the target compounds 15a–ad and 16a–t as racemic mixtures (Scheme 4B–D).
Scheme 4.
(A) Structure of other pyranotacrines 15a–ad and 16a–t [71,77,78,79]. (B) Synthesis of pyranotacrines 15a–ad. (C) Synthesis of pyranotacrines 16a–e. (D) Synthesis of sulfamoyl-containing pyranotacrines 16f–t. Reagents and conditions: (i) Ethyl benzoylacetate (R2 = CO2Et, R3 = Ph), piperidine, EtOH, Δ, 3 h, quant.; (ii) ethyl acetoacetate (R2 = CO2Et, R3 = Me) or acetylacetone (R2 = COMe, R3 = Me), piperidine, EtOH, rt, 12 h, 78–93%; (iii) cyclopentanone or cyclohexanone or cycloheptanone, AlCl3, DCE or toluene, Δ (3–24 h, 32–87%) or MWI (10 min, 70–83%); (iv) dimedone, piperidine, EtOH, rt, 12 h, 69–76%; (v) (a) SOCl2, MWI, 30 min, 88%; (b) hydroxybenzaldehyde derivative, pyridine, DCM, rt, 12 h, 85–93%; (vi) dimedone, K2CO3, EtOH, MWI, 6 min, 85–89%.
Eghtedari et al. found that all compounds 15a–p showed IC50 values (EeAChE) < 6 µM. The best inhibitor 15i, bearing a R1 3-bromophenyl substituent was 5-fold more potent than tacrine with an IC50 = 69 nM and showed a mixed-type inhibition based on the Lineweaver-Burk plot. SAR suggested that the best inhibition was achieved with a R1 2- or 3-bromo/chlorophenyl substituent. Molecular modeling predicted 15i to bind to the CAS of AChE near the catalytic triad. The predominant binding interaction was predicted to be the hydrophobic/π-π interactions, but an H-bond between the amino group and His440 was also noted. While 15i was predicted to cross the BBB (0.80 probability by the online admetSAR server), it was only weakly neuroprotective against H2O2-induced injury in PC12 cells and was moderately toxic to HepG2 cells (but still less toxic than tacrine) [77]. All synthesized sulfamoyl-containing pyranotacrines 16f–t were potent EeAChEi (IC50 < 150 nM), but 16l was the most potent (IC50 = 10 nM) and was 5.5-fold more potent than tacrine (IC50 = 55 nM) (Table 2). In general, the cyclohexyl moiety was favored over the cyclopentyl and cycloheptyl derivatives, and the p-sulfamoylbenzoate moiety was favored at the 4-position among this series. However, no molecular modeling or X-ray crystallography was performed to visualize the interaction of the inhibitors with the enzyme. Of the 15 compounds evaluated, 10 showed some degree of antioxidant activity [79].
Table 2.
Inhibition of EeAChE by pyranotacrines 16a–t (data from [71,78,79]).
However, modification to the imidazo- or quinolinopyranotacrines was found to weaken the inhibition. For example, compared to tacrine (EeAChE IC50 = 89.8 nM), all imidazopyranotacrines 15q–t and 16a,b (Table 2) were weaker inhibitors of AChE [71]. For the quinolinopyranotacrines, constructed due to the prevalence of the 2-chloroquinolin-3-yl moiety in many pharmacologically active compounds, the most potent AChEi were 15x and 15ac (EeAChE IC50 = 480 and 470 nM, respectively, compared to tacrine IC50 = 190 nM) [78]. While lacking as AChEi, imidazo- and quinolinopyranotacrines have other beneficial properties. All of the imidazopyranotacrines showed high antioxidant capacity, with all but one compound exhibiting between 1.70–2.34 Trolox equivalents by the ORAC assay. Imidazopyranotacrine 15t, despite a weak AChE inhibition (IC50 = 38.7 µM), was particularly promising given its high antioxidant capacity and low hepatotoxicity compared to tacrine in HepG2 cells (non-toxic at 1 mM) [71]. In addition, 15ac was able to significantly inhibit EeAChE-induced Aβ1-40 aggregation, and both 15x and 15ac were less hepatotoxic than tacrine in HepG2 cells, with 15x being 27-fold less toxic. Moreover, 15x and 15ac showed promising neuroprotection in SH-SY5Y cells against oxidative stress, Aβ1-40 aggregation, and tau-phosphorylation [78].
6. Pyridino-, Indolo-, and Quinoxalinotacrines
Replacement of the aromatic A-ring of tacrine with nitrogen heterocycles has resulted in pyridino-, indolo-, and quinoxalinotacrines (Scheme 5A) [80,81,82]. Pyridinotacrines 19a–j were prepared from 1-methyl-1H-(benz)imidazol-2-carbaldehyde by condensation with malononitrile followed by a reaction with the appropriate enolizable ketone (acetone, cyclohexanone, or cycloheptanone) and NH4OAc in AcOH to yield 2-amino-3-cyanopyridine intermediates. The Friedländer reaction with the appropriate cycloalkanone in the presence of AlCl3 gave the target compounds (Scheme 5B) [80]. Indolotacrines 20a–c were designed to fuse a 2-aminoindole-3-carbonitrile scaffold, which contains common pharmacophores of MAOi, and tacrine/7-methoxytacrine. The starting commercially available or easily made 2-iodoanilines could either be trifluoroacetylated with TFAA or benzylated with reductive amination using benzaldehyde and NaBH3CN. In either case, the 2-aminoindole-3-carbonitrile core was formed via Cu-catalyzed cyclization with malononitrile, which, upon the tFriedländer reaction with cyclohexanone and AlCl3 gave the desired compounds (Scheme 5C) [81]. Quinoxalinotacrine 21 was prepared from the Friedländer reaction between 3-amino-2-quinoxalinecarbonitrile [83] and cyclohexanone in the presence of AlCl3 [82].
Scheme 5.
(A) Structure of pyridino- (19a–j), indolo- (20a–c), and quinoxalinotacrines 21 [80,81,82]. (B) Synthesis of pyridinotacrines 19a–j. (C) Synthesis of indolotacrines 20a–c. (D) Synthesis of quinoxalinotacrine 21. Reagents and conditions: (i) Piperidine, EtOH, rt; (ii) acetone or cyclohexanone or cycloheptanone, NH4OAc, AcOH, Δ; (iii) cyclohexanone or cycloheptanone, AlCl3, DCE, Δ (18 h, 72–95%) or MWI (2 h, 16–88%); (iv) TFAA, TEA, THF, rt, 12 h, 97–99%; (v) L-Pro or picolinic acid, K2CO3, CuI, DMSO/H2O, 60 °C (12 h, 48–90%) or MWI (12 h, 26%); (vi) (a) benzaldehyde, MeOH, rt, 12 h, 97%; (b) NaBH3CN, AcOH/MeOH, rt, 12 h, 75%; (vii) (a) TEA, DMF, rt, 1.5 h, 75%; (b) Na2S2O4, H2O/MeOH, 50 °C, 3 h, 87% [83].
Modification to these N-heterocyclic tacrine scaffolds generally comes with a reduction in AChE inhibition and mixed other properties. For example, all pyridinotacrines 19a–j reported by Boulebd et al. [80] showed a weaker inhibition of EeAChE than tacrine (IC50 = 30 nM), albeit over a fairly narrow range with IC50 = 310–620 nM. While not the most potent AChEi, compound 19d (IC50 = 500 nM) is noteworthy in that it showed no toxicity to HepG2 cells at concentrations as high at 1 mM. The authors hypothesized that reduced toxicity compared to tacrine was due to the fully substituted pyridine ring (no C-H bonds), which blocked oxidation to the reactive iminoquinone metabolite associated with hepatotoxicity in tacrine. However, none of the synthesized compounds displayed significant antioxidant activity [80]. Indolotacrine 20b showed that hAChE IC50 = 1.5 µM, making it more potent than 7-methoxytacrine (IC50 = 10 µM) but less potent than tacrine (IC50 = 320 nM). In addition, 20b showed a promising inhibition of MAO-A (IC50 = 490 nM) and was predicted to cross the BBB (PAMPA-BBB, Pe = 6.6 × 10−6 cm/s), but it lacked antioxidant activity and was more cytotoxic to a CHO-K1 cell line and more hepatotoxic to a HepG2 cell line than both tacrine and 7-methoxytacrine [81]. Lastly, compared to tacrine (hAChE IC50 = 374 nM), quinoxalinotacrine 21 was a significantly weaker hAChE inhibitor (IC50 = 22.0 µM). Molecular modeling predicted 21 interacted with hAChE in the mid-gorge region with the cyclohexyl ring oriented toward the CAS forming alkyl-π interactions with Trp86 and the phenyl and pyridinyl rings oriented towards the PAS forming π-π interactions with Tyr341 and Tyr337, respectively. Moreover, noted were key H-bonds between the amino group and pyrazine nitrogen and Tyr124 and Asp74. An initial in silico analysis predicted 21 had favorable ADME properties for CNS action (MW < 450, hydrogen-bond donors < 3, hydrogen-bond acceptors < 7, number of hydrogen bond donor < 5, Van der Waals surface area of polar nitrogen and oxygen atoms < 90, number of rotatable bonds < 8, hydrogen bonds < 8, logBB = −0.332) and that 21 (and 10 possible metabolites) showed no potential hepatotoxicity. Subsequent screening in HepG2 cells showed that 21 first showed a significant reduction in cell viability at 300 µM (for comparison, tacrine showed a significant reduction in cell viability at 30 µM). Additionally, 21 showed neuroprotection in SH-SY5Y cells against ROS (oligomycin A/rotenone-induced) and tau hyperphosphorylation (okadaic acid-induced) at concentrations as low as 0.1 µM, but the effect diminished above 1 µM [82].
7. Pyrrolo-, Pyrazolo-, and Furanotacrines; Pyrazolophthalazine Tacrines
Again, replacement of the aromatic A-ring of tacrine with other nitrogen and oxygen heterocycles has resulted in pyrrolo-, pyrazolo-, and furanotacrines, as well as pyrazolophthalazine tacrines (Scheme 6A) [84,85]. The pyrrolotacrine series 22a–i was constructed starting from ethoxymethylene malononitrile by a reaction with aromatic amines to form arylaminomalonitriles, which could undergo Thorpe-Ziegler cyclization to the pyrrole upon reaction with chloroacetonitrile, 4-bromophenacylbromide, or ethyl bromoacetate and TEA. A final Friedländer reaction with cycloalkanones and AlCl3 under microwave irradiation gave the target 2,3-fused pyrrolotacrines 22a–g or 3,4-fused pyrrolotacrines 22h,i (Scheme 6B). Likewise, the pyrazolo series was also constructed starting from ethoxymethylene malononitrile by a reaction with aromatic hydrazines to form the 5-amino-4-cyanopyrazoles followed by the Friedländer reaction with cycloalkanones and AlCl3 under microwave irradiation gave the target 3,4-fused pyrazolotacrines 22j–n (Scheme 6B). The furanotacrine 22o was constructed starting from malononitrile by initial alkylation with 4-bromophenacylbromide and then cyclization with TEA to the 2-amino-3-cyanofuran. A final Friedländer reaction with cyclopentanone as before gave the target compound (Scheme 6B) [84]. For 23a–u, the pyrazolo[1,2-b]phthalazine core was constructed using a one-pot, Ni-catalyzed, four-component reaction with phthalimide, hydrazine hydrate, malononitrile, and benzaldehyde derivatives. A subsequent Friedländer reaction with cyclohexanone and AlCl3 gave the desired products as racemic mixtures (Scheme 6C) [85].
Scheme 6.
(A) Structure of pyrrolo- (22a–i), pyrazolo- (22j–n), and furanotacrines 22o, as well as pyrazolophthalazine tacrines 23a–u [84,85]. (B) Synthesis of pyrrolo- (22a–i), pyrazolo- (22j–n), and furanotacrine 22o. (C) Synthesis of pyrazolophthalazine tacrines 23a–u. Reagents and conditions: (i) EtOH, rt, 30 min, >80%; (ii) X-CH2-R2 (where X = Cl or Br, Y = CN, CO2Et, or 4-Br-Bz) TEA, Δ, 15–30 min, 63–91%; (iii) cyclopentanone or cyclohexanone, AlCl3, DCE or DCM, Δ (8–24 h, 30–95%) or MWI (30–32 min, 45–87%); (iv) malononitrile, 10% KOH, EtOH, rt, 30 min, 80%; (v) TEA, EtOH, Δ, 2 h, 67%; (vi) NiCl2·6H2O, EtOH, Δ, 4 h.
Compounds 22a–o were shown to be potent AChEi, as all compounds presented IC50 values (enzyme source not specified) between 4.06–6.87 nM that are comparable to donepezil (IC50 = 7.23 nM). There seems to be little difference between the pyrolo-, pyrazolo-, and furanotacrines in regards to the inhibitory activity, and no additional biological properties were examined [84]. A more in depth analysis was performed on pyrazolophthalazine tacrines 23a–u. Of the compounds synthesized, five showed very potent inhibition (EeAChE IC50 < 100 nM) with 23o (IC50 = 23 nM), bearing a m-fluorophenyl substituent, and 23l (IC50 = 49 nM), bearing an o-methoxyphenyl substituent, being the most potent and being 16-fold and 7.5-fold more potent than tacrine, respectively (Table 3). SAR showed that the phenyl substituted compounds outperformed the alkyl substituted ones, and o/m/p-substituted phenyl substituents outperformed the non-substituted phenyl counterpart. The Lineweaver-Burk plot showed that 23l as a mixed-type inhibitor, and theoretical calculations predicted it to be CNS active (0.9260 probability by the online admetSAR server). Molecular modeling showed the R-enantiomer of 23l to interact more favorably with TcAChE, specifically at the PAS via the π-π stacking with Tyr120 and Trp278 and H-bonding with Tyr69. Additionally, 23l showed that the moderate ability to inhibit both self- and AChE-induced Aβ aggregation, was less toxic than tacrine with HepG2 cell viability remaining high (83%) at 300 µM, and exhibited a slight antioxidant activity as it protected PC12 cells from H2O2-induced death at 100 µM [85].
Table 3.
Inhibition of EeAChE by pyrazolophthalazine tacrines 23a–u (data from [85]).
An additional series of pyrazolotacrines 24a–d, 25a,b, 26a–e, and 27a,b have been very recently reported (Scheme 7A) [86]. The design rationale for these compounds was to merge the 4-chlorophenyltetrahydroquinoline moiety for AChE inhibition with the pyrazole and thiourea moieties of known COX-2 inhibitors (e.g., celecoxib) to potentially modulate the ACh and ROS/inflammatory aspects of AD. Starting from previously prepared amino pyrazolotacrine intermediate 28 [87], condensation with benzaldehyde derivatives or phenyl isothiocyanates gave the imines 24a–d and thioureas 25a,b. A further reaction of 25a,b with phenacyl bromides or ethyl bromoacetate afforded the thiazolidines 26a–e and thiazolidinones 27a,b, respectively (Scheme 7B) [86]. Interestingly, the authors chose to assess in vitro AChE inhibition through a percentage increase in contraction of frog’s Rectus abdominis, as opposed to the more common Ellman assay [60], making a direct comparison to other compounds described in this review difficult. Suffice it to say, all compounds showed AChE inhibitory activity that was comparable or better than tacrine except 25a. In particular, 24b, 26e, and 27a,b were all roughly at least twice as active as tacrine. COX-2 inhibition assays indicated that 24b, 26e, and 27a,b showed IC50 values between 0.76–0.89 µM, which was comparable to celecoxib (IC50 = 0.84 µM). Of note, 26e showed remarkable selectivity towards COX-2 over COX-1 (13-fold more potent towards COX-2, better than celecoxib), which is beneficial for reducing adverse renal and gastrointestinal side effects [88]. The hepatoxicity was investigated through determination of serum glutamic pyruvic transaminase (SGPT) levels, and all compounds proved less hepatotoxic than tacrine. Molecular modeling with hAChE showed similar interactions for all compounds. For example, 27a,b (Figure 6) was predicted to interact in the PAS with the tricyclic core showing favorable hydrophobic interactions with Tyr341, Tyr337, Phe338, and Val294. The 4-chlorophenyl substituent also showed hydrophobic interactions with Tyr341 and Trp286, and the quinolinyl nitrogen was predicted to H-bond with Arg296. The thiazolidinone moiety showed a favorable interaction with Glu292 and Ser293 [86].
Scheme 7.
(A) Structure of pyrazolotacrines 24a–d, 25a,b, 26a–e, and 27a,b [86]. (B) Synthesis of pyrazolotacrines 24a–d, 25a,b, 26a–e, and 27a,b. Reagents and conditions: (i) R-CHO, piperidine, EtOH, Δ, 4 h, 80–90%; (ii) R1-NCS, EtOH, Δ, 4–6 h, 83–89%; (iii) R2-COCH2Br, NaOAc, 1,4-dioxane, Δ, 4–6 h, 60–92%; (iv) ethyl bromoacetate, NaOAc, 1,4-dioxane, Δ, 4–6 h, 68–79%.
Figure 6.
Molecular modeling of 27a (rose) and 27b (purple) with hAChE showing the interaction with the PAS (adapted from [86], with permission from Elsevier). Key interactions noted are the tricyclic core showing favorable hydrophobic interactions with Tyr341, Tyr337, Phe338, and Val294, the 4-chlorophenyl substituent showing hydrophobic interactions with Tyr341 and Trp286, the quinolinyl nitrogen showing an H-bond with Arg296, and the thiazolidinone moiety showing favorable interactions with Glu292 and Ser293.
8. Urea and Thiourea Tacrines
Still further replacement of the aromatic A-ring of tacrine with additional heterocycles has resulted in thiourea and urea tacrines (Scheme 8A) [89,90]. Thiourea tacrines 28a–l were designed to combine tacrine and 3,4-dihydropyrimidin-2(1H)-thiones, known as calcium channel blockers [91,92] that have also shown metal-mediated, Aβ-related neuroprotection [93], into a multifunctional scaffold. The 3,4-dihydropyrimidin-2(1H)-thione moiety 34a–l was prepared by the reaction of substituted arylidenemalononitriles with thiourea in the presence of NaOMe. The exocyclic nitrile and amine then readily underwent the Friedländer reaction with cyclohexanone in the presence of AlCl3 to afford the target compounds as racemic mixtures (Scheme 8B) [89]. The synthesis of 29a–c and 30–33 was done in one-step from the 2-amino-3-cyanotetrahydroquinoline 35. Precursor 35 could be condensed with aryl isothiocyanates to afford cyclized thiourea tacrines 29a–c, or it could be fused with urea or thiourea under high temperature (300 °C) to afford cyclized urea and thiourea tacrines 30 and 31 or moderate temperature (200 °C) to afford the open chain urea and thiourea tacrines 32 and 33 (Scheme 8C) [90].
Scheme 8.
(A) Structure of thiourea tacrines 28a–l, 29a–c, 31, and 33 and urea tacrines 30 and 32 [89,90]. (B) Synthesis of thiourea tacrines 28a–l. (C) Synthesis of thiourea and urea tacrines 29a–c and 30–33. Reagents and conditions: (i) Thiourea, NaOMe, EtOH, Δ, 12 h, 10–29%; (ii) cyclohexanone, AlCl3, DCE, MWI, 1–2 h, 46–70%; (iii) SCN-R, pyridine, Δ, 10 h, 85–86%; (iv) urea or thiourea, 300 °C, 1 h, 64–74%; (v) urea or thiourea, 200 °C, 1 h, 76–83%.
Thiourea tacrines 28a–l showed a promising biological profile. The most potent hAChE inhibitor was 28k (IC50 = 37.3 nM), which had a 3-bromophenyl substituent and was 10-fold more potent than tacrine (IC50 = 374 nM). In addition, 28e, which had a 3-methoxyphenyl substituent, was the next most potent but significantly weaker (IC50 = 3.05 µM). All other compounds in this series were significantly weaker AChEi (IC50 > 5 µM). Both 28e and 28k showed non-competitive inhibition by Lineweaver-Burk plot analysis, suggesting PAS interaction. This was confirmed by molecular modeling with hAChE where (R)-28k was predicted to bind to the PAS by π-π interactions with the phenyl ring and Trp286 and Tyr72 and the aminopyridine ring and Tyr341. H-bonds were also seen between the tacrine-like amine and Asp74, and the bromo substituent was involved in halogen bonds. Overall binding of the S-enantiomer was similar. Notably, 28e was also predicted to bind to the PAS, but it lacked any binding contribution from the methoxy substituent, which may explain its reduced activity. In addition, compared to known calcium channel blocker nimodipine (49.62%), both 28e and 28k showed similar inhibition of Ca2+ influx (30.40% and 42.23%), but neither 28e nor 28k showed significant inhibition of Aβ1-42 self-induced aggregation. In addition, 28e was particularly promising in that it displayed no hepatotoxicity to HepG2 cells at concentrations up to 300 µM [89]. For 29a–c and 30–33, Ragab et al. chose to assess the in vitro AChE inhibition again through the less common percentage increase in contraction of frog’s Rectus abdominis, making direct comparison to other compounds described in this review difficult. However, it is still noted that all compounds showed promising AChE inhibitory activity except compound 29b. Hepatoxicity was investigated through the determination of SGPT levels and glutathione (GSH) levels, and all compounds proved less hepatotoxic than tacrine. In silico calculations predicted that all compounds had promising drug-like characteristics [90].
9. Amido-, Amino-, and Iminotacrines
Amidotacrines 36a–p were designed to explore the effect of adding an amide moiety to the 2-position of the cyclohexyl C-ring of tacrine, an underexplored SAR [94]. Meanwhile, amino- (37 and 39a–e) and iminotacrines 38a,b focus on replacing the aromatic A-ring of tacrine with amine or imine moieties (Scheme 9A) [90]. Synthetically, amidotacrines were accessed via the key intermediate ethyl 2-tacrine carboxylate (40a) or the corresponding 6-bromo analog 40b, which were prepared by the Friedländer reaction with 2-aminobenzonitriles, ethyl 4-oxocyclohexanecarboxylate, and BF3·Et2O (Scheme 9B). To investigate the effect of different heterocyclic substituents at the 6-position, 40b was subjected to Pd-catalyzed Suzuki-Miyaura cross-coupling with the corresponding pyrazolo- or pyrimido-boronic ester to give 40k and 40n, respectively. Nucleophilic acyl substitution of 40a/b with methylamine or hydrazine afforded 36a–d. Alternatively, 40a,b,k,n could be saponified to acids 41a,b,k,n and coupled to various phenyalkylamines using T3P to afford 36e–n or coupled to 5-amino-1-methyl-1H-pyrazole using HATU to afford 36o,p [94]. Compound 35, for the synthesis of amino- and iminotacrines, could be hydrolyzed with 70% sulfuric acid to afford 37, condensed with aryl aldehydes or benzoic acid hydrazide to afford Schiff bases 38a,b or benzoylhydrazide 39a, and acylated with benzoyl chloride or alkylated with different alkyl halides to afford derivatives 39b–e (Scheme 9C) [90].
Scheme 9.
(A) Structure of amido- (36a–p), amino- (37 and 39a–e), and iminotacrines 38a,b [90,94]. (B) Synthesis of amidotacrines 36a–p. (C) Synthesis of amino- (37 and 39a–e) and iminotacrines 38a,b. Reagents and conditions: (i) BF3·Et2O, toluene, Δ, 4 h, 84%; (ii) 1-methylpyrazole-4-boronic acid pinacol ester or 5-pyrimidineboronic acid pinacol ester, Na2CO3, Pd(PPh3)4, 1,4-dioxane/H2O, Δ, 2 h, 52%; (iii) NH4OH or N2H4·H2O, MeOH, 60 °C, 2–3 h, 73–85%; (iv) LiOH·H2O, THF/H2O/MeOH, rt, 3 h, 79–90%; (v) benzylamine or phenylethylamine or phenylpropylamine, T3P, TEA, DMF, 60 °C, 4 h, 59–67%; (vi) 5-amino-1-methyl-1H-pyrazole, HATU, DIPEA, DMF, rt, 12 h, 63–71%; (vii) 70% H2SO4, Δ, 5 h; (viii) R-C6H4-CHO, pyridine, Δ, 6 h, 87–90%; (ix) NH2NH-Bz, Δ, 1 h, 84%; (x) X-R (where X = Cl or Br), 1,4-dioxane, Δ, 5–10 h, 69–89%.
With two exceptions, all amidotacrines 36a–p were more potent than tacrine (EeAChE IC50 = 94.69 nM), and the best inhibitor was 36g (IC50 = 5.17 nM), which had no substituent at the 6-position of the tacrine core and a phenylpropylamide at the 2-position (Table 4). SAR indicated that the phenylpropylamide at the 2-position gave the best inhibition of AChE, the bromo substituent at the 6-position seemed to have little effect, and a heterocycle (pyrazolo or pyrimido) at the 6-position decreased inhibition. Of note, 36c with no substituent at the 6-position and the hydrazide at the 2-position was a potent inhibitor (IC50 = 12.97 nM). Molecular modeling with TcAChE showed that most compounds investigated positioned the tacrine moiety in the CAS, exhibiting π-π stacking with Trp84 and Tyr337 and H-bonding to His447, and oriented the 2-position towards the PAS allowing the amides to make key contacts with residues there. Of note, 36g was positioned to allow the amide nitrogen to H-bond with Tyr124, and 36c was positioned to allow the hydrazide to H-bond with Tyr337 (Figure 7). Compound 36c was particularly promising as it uniquely, among the compounds tested, showed no cytotoxicity to HEK-293 cells or HepG2 cells at concentrations up to 300 µM [94]. Amino- and iminotacrines 37, 38a,b, 39a–e, also prepared by Ragab et al. and tested in an uncommon AChEi assay (see above), showed promising AChE inhibitory activity with the exception of compounds 39a,b. Compound 39c, with a 2-benzylamino substituent, had the highest activity (nearly 2-fold more active than tacrine). Molecular modeling of 39c with hAChE showed H-bonding between the benzylamino NH and Asp93 and between the nitrogen of the CN group and Tyr96, as well as hydrophobic interactions with various amino acids. This compound also was less hepatotoxic than tacrine and predicted to have promising drug-like characteristics [90].
Table 4.
Inhibition of EeAChE by amidotacrines 36a–p (data from [94]).
Figure 7.
Molecular modeling of 36c with TcAChE showing the interaction with the CAS (adapted from [94], with permission from Elsevier). Key interactions noted are the tacrine moiety π-π stacking with Trp84 and Tyr337 and H-bonding to His447 and the hydrazide H-bonding with Tyr337.
10. Naphthalene and Naphthoquinone Pyranopyrimidinones/Pyrimidinimines
Pyranopyrimidinones and pyranopyrimidinimines 42a–o, 43a–o, and 44a–l (Scheme 10A) focus on two key modifications to the tacrine scaffold to modulate AChE inhibition and antioxidant activity: (1) Replacement of the aromatic A-ring with a fused pyranonapthalene or pyranonaphthoquinone moiety and (2) change of the central aromatic B-ring from an aminopyridine to a pyrimidinone or pyrimidinimine [95,96,97]. Several examples of the former modification have been presented herein, but the latter remains underexplored. The transition to a pyrimidinone or pyrimidinimine is based on the fact that quinazolinone and quinazolinimine derivatives inspired by naturally occurring alkaloids structurally resemble tacrine (e.g., deoxyvasicinone) and have shown promising activity as AChEi [98,99,100,101,102]. The naphthalene pyranopyrimidinones 42a–i and 43a–i were prepared using a three-component, one-pot reaction with ethyl cyanoacetate, benzaldehydes, and 2- or 1-naphthol in the presence of piperidine to give 45a,d,g and 46a,d,g, followed by condensation with lactams in the presence of POCl3 (Scheme 10B) [95]. Similarly, the pyranopyrimidinimies 42j–o and 43j–o were prepared using the same three-component, one-pot reaction with the exception of malononitrile in place of ethyl cyanoacetate to give 48a,d and 49a,d. Subsequent condensation with lactams in the presence of POCl3 gave the desired compounds (Scheme 10C) [96]. Moreover, in a similar fashion, naphthoquinone pyranopyrimidinones 44a–l were prepared using a three-component, one-pot reaction with ethyl cyanoacetate, benzaldehydes, and 2-hydroxynaphthalene-1,4-dione in the presence of potassium phthalimide-N-oxyl [103] to give 47a–f. Condensation with lactams in the presence of POCl3 as before gave the desired compounds (Scheme 10B) [97].
Scheme 10.
(A) Structure of naphthalene pyranopyrimidinones 42a–i and 43a–i, naphthoquinone pyranopyrimidinones 44a–l, and naphthalene pyrimidinimines 42j–o and 43j–o [95,96,97]. (B) Synthesis of naphthalene pyranopyrimidinones 42a–i and 43a–i and naphthoquinone pyranopyrimidinones 44a–l. (C) Synthesis of naphthalene pyranopyrimidinimines 42j–o and 43j–o. Reagents and conditions: (i) 2-Naphthol or 1-naphthol, piperidine, EtOH, MWI, 10 min, 68–95%; (ii) γ-butyrolactam or δ-valerolactam or ε-caprolactam, POCl3, DCE or PhBr, MWI, 15 min, 70–96%; (iii) potassium phthalimide-N-oxyl, H2O, Δ, 30–60 min, >90%.
Among these three related series of compounds, a strong inhibition of AChE, such as tacrine, was generally maintained. For example, 42e, containing a piperidine-fused ring, 3-methoxyphenyl substituent, and derived from 2-naphthol was the most potent of the naphthalene pyranopyrimidinones regarding EeAChE inhibition (IC50 = 30.5 nM) and was comparable to tacrine (IC50 = 44.3 nM) (Table 5) [95]. In addition, 42n, also containing a piperidine-fused ring, 3-methoxyphenyl substituent, and derived from 2-naphthol, was the most potent of the pyranopyrimidinimines (IC50 = 3.2 nM), and this was followed closely by 42o (IC50 = 5.3 nM) bearing an azepane-fused ring (Table 5) [96]. Several of the naphthoquinone pyranopyrimidinones were similar in potency to tacrine (EeAChE IC50 = 31 nM). Of interest were the most potent 44f (IC50 = 44 nM), which contained a piperidine-fused ring and 4-bromophenyl substituent, and the similarly potent 44a (IC50 = 52 nM), which contained a piperidine-fused ring and phenyl substituent [97]. Notably, across all three series, even the worst inhibitor was still fairly potent (IC50 ≈ 250–550 nM).
Table 5.
Inhibition of EeAChE by naphthalene pyranopyrimidinones 42a–i and 43a–i and naphthalene pyrimidinimines 42j–o and 43j–o (data from [95,96]).
Compound 42e displayed a mixed-type inhibition by the Lineweaver-Burk plot analysis. Additionally, it displayed potent antioxidant activity by the ORAC assay (4.7 Trolox equivalents) and showed no toxicity in HepG2 cells at concentrations up to 1 mM, but its BBB permeability is questionable (PAMPA-BBB, Pe = 3.6 × 10−6 cm/s) [95]. For the pyranopyrimidinimines, SAR clearly showed the 3-methoxyphenyl substituent to be more potent than the phenyl, and the 2-naphthol derived compounds to be more potent than those derived from 1-naphthol. Compound 42n displayed noncompetitive inhibition by the Lineweaver-Burk plot analysis, which agrees with molecular modeling predicting binding of the S-enantiomer (but not R) of 42n with the mid-gorge region of hAChE (Figure 8). Key interactions include a π-π stacking between Trp86 and the benzochromeno moiety and an H-bond between Asp74 and the imino moiety. Additionally, 42n and 42o displayed potent antioxidant activity by the ORAC assay (3.4 and 3.6 Trolox equivalents, respectively), but only 42o showed a significant Aβ1-42 self-aggregation inhibition at 10 µM (40.3%) [96]. All naphthoquinone pyranopyrimidinones displayed some degree of antioxidant activity by the ORAC assay (44a = 2.78 Trolox equivalents), but most displayed significant toxicity to HepG2 cells. In addition, 44a was the exception as it maintained 84.5% HepG2 cell viability at 300 µM and was 2-fold less toxic than tacrine at the same concentration [97].
Figure 8.
Molecular modeling of (S)-42n with hAChE showing the interaction with the mid-gorge region (adapted from [96], © 2016 WILEY-VCH Verlag GmbH & Co. KGaA, Weinheim). Key interactions noted are the π-π stacking between Trp86 and the benzochromeno moiety and an H-bond between Asp74 and the imino moiety.
11. Other Tacrines
This final section focuses on tacrine-based molecules with little structural similarity to those of previous sections. Huprines combine the aminoquinoline moiety of tacrine and the carbocyclic bridged moiety of huperine A (Scheme 11A), a naturally occurring sesquiterpene alkaloid AChEi. Of particular interest is huprine Y that has shown dramatic improvement compared to parent structures regarding AChE inhibition, while also showing neuroprotection against 3-nitropropionic acid-induced neurodegeneration in mice [104,105]. In constructing 2-methoxyhuprine (50) (Scheme 11A), Mezeiova et al. sought to maintain the beneficial properties of huprine Y while adding the reduced toxicity of 7-methoxytacrine by combining the carbocyclic bridged moiety and methoxyaminoquinoline moiety [106]. Synthetically, 1,3-dibromoadamantane was first fragmented to the ketone by reaction with NaOH at high temperature. Treatment with 5% Pd/C and H2 in EtOH then led to isomerization of the carbon-carbon double bond. Finally, the Friedländer reaction with 2-amino-5-methoxybenzonitrile and AlCl3 afforded racemic 50, which was converted to the hydrochloride salt for biochemical testing (Scheme 11B). Regarding hAChE inhibition, 2-methoxyhuprine (50) showed a mixed-type inhibition, as determined by the Lineweaver-Burk analysis, with an IC50 = 2.63 µM and was more nearly 4-fold more potent than the parent 7-methoxytacrine (IC50 = 10 µM). However, it was 8-fold less potent than tacrine (IC50 = 320 nM) and 1600-fold less potent than the parent huprine Y (IC50 = 1.64 nM). Interestingly, molecular modeling with hAChE predicted the more active enantiomer to be the S,S-enantiomer. In vitro assays predicted favorable CNS permeability (PAMPA-BBB, Pe = 7.64 × 10−6 cm/s) for 50, but unfavorable toxicity, as in HepG2, ACHN, and SH-SY5Y cell lines, it showed significantly more toxicity than tacrine and 7-methoxytacrine (comparable to huprine Y) [106].
Scheme 11.
(A) Structure of 2-methoxyhuprine (50) ((−)-huperine A shown for reference) and propargyl tacrines 51a–c and propargyl ethylenediamine tacrines 52a,b [106,107]. (B) Synthesis of 2-methoxyhuprine (50). (C) Synthesis of propargyl tacrines 51a–c. (D) Synthesis of propargyl ethylenediamine tacrines 52a,b. Reagents and conditions: (i) 1 M NaOH, 1,4-dioxane, Δ, 18 h, 82%; (ii) 5% Pd/C, H2, EtOH, rt, 2 h, quant.; (iii) AlCl3, DCE, MWI, 2 h, 80%; (iv) propargyl bromide (1.1 eq), KOH or K2CO3, MeCN, rt, 12–36 h, 35–82%; (v) propargyl bromide (2.1 eq), KOH or K2CO3, MeCN, rt, 12–36 h, 35–82%.
Propargyl tacrines 51a–c and propargyl ethylenediamine tacrines 52a,b (Scheme 11A,C,D) were prepared by mono- or dialkylation of tacrine, 6-chlorotacrine, or ethylenediamine tacrine using propargyl bromide (1.1 or 2.1 eq.) [107]. A single propargyl group attached to tacrine or 6-chlorotacirne was found to increase EeAChE inhibition, as both 51a,b were 2-fold more potent than the parent molecules (IC50 = 51.3 nM for 51a vs. 104.8 nM for tacrine; 11.2 nM for 51b vs. 23.5 nM for 6-chlorotacrine). Dipropargylation of tacrine or 6-chlorotacrine or mono- or dipropargylation of ethylenediamine tacrine was found to decrease inhibition. The Lineweaver-Burk plot indicated a mixed-type inhibition for 51a, and both 51a,b showed decreased hepatotoxicity compared to tacrine [107].
Semicarbazone tacrines 53a,b (Scheme 12A) were designed to incorporate semicarbazone or thiosemicarbazone at the 1-position of the tacrine tricyclic core [108]. These functional groups have diverse biological activity, and they have shown promise for AD as AChEi, metal chelators, and anti-Aβ compounds [109,110]. Condensation of 2-amino-3,5-dibromobenzaldehyde with dimedone afforded the tricyclic core, which readily condensed with thiosemicarbazide or semicarbazide in a second step to yield the target compounds 53a,b (Scheme 12B). Inhibition studies showed that both were weak, mixed-type inhibitors of EeAChE (IC50 = 10.30 and 8.66 µM, respectively) and were at least 200-fold less potent than tacrine (IC50 = 41.41 nM). Molecular modeling did predict a simultaneous CAS and PAS interaction with EeAChE, and in silico calculations also suggested favorable drug-like properties and lower toxicity than tacrine [108].
Scheme 12.
(A) Structure of semicarbazone tacrines 53a,b and indenoquinolines 54a–o [108,111]. (B) Synthesis of semicarbazone tacrines 53a,b. (C) Synthesis of indenoquinolines 54a–o. Reagents and conditions: (i) 1,4-Doxane, Δ, 24 h, 80%; (ii) thiosemicarbazide hydrochloride or semicarbazide hydrochloride, EtOH, Δ, 3 h, 75–79%; (iii) (a) InCl3, toluene, Δ, 24 h; (b) 2 M NaOH, Δ, 24 h, 13–50%; (iv) PhB(OH)2 (1.3 or 2.6 eq.), Pd(PPh3)4, K2CO3, 1,4-dioxane, Δ, 4 h, 80–96%.
Lastly, Ekiz et al. prepared indenoquinoline tacrine analogs 54a–o (Scheme 12A) for evaluation as AChEi and CAi [111]. InCl3-catalyzed Friedländer reaction of 2-aminobenzonitrile or brominated derivatives with bromoindanones gave 54a–i. These were tested directly, or further derivatized to the mono- or diphenyl compounds 54j–o by Pd(PPh3)4-catalyzed Suzuki Coupling with phenylboronic acid (1.3 or 2.6 eq.) in the presence of aq. K2CO3 in dioxane (Scheme 12C). The monophenylindenoquinolines showed the most potent inhibition of EeAChE (IC50 = 37–57 nM), which was comparable to tacrine (IC50 = 59 nM), indicating that phenyl substituents at the 1-, 2-, or 3-positions were favorable (Table 6). The most potent was 54j bearing a 1-phenyl substituent (IC50 = 37 nM). Additional SAR analysis showed that AChE inhibition was greatly reduced in the diphenylindenoquinolines and the mono-, di-, and tribromoindenoquinolines (IC50 > 1 µM). The lone exception was the 1,8-dibromo compound 54d (IC50 = 230 nM). Compared to the known CAi, acetazolamide, all compounds showed a good inhibition activity against hCAI and hCAII (IC50 < 1.3 µM), which may indicate additional therapeutic potential for these compounds [111].
Table 6.
Inhibition of EeAChE by indenoquinolines 54a–o (data from [111]).
12. Conclusions
Many merged tacrine-based, multitarget-directed AChEi have been presented throughout this review. These compounds represent various chemical scaffolds, most commonly two of the three rings of tacrine’s tricyclic core merged to other substituted heterocycles, that have been synthesized by diverse chemical methods. The Friedländer reaction has proven particularly important for building these tacrine-based inhibitors. SAR for AChE inhibition lacks a generalization across scaffolds and must be analyzed on a case-by-case basis. Nevertheless, some potent AChEi that have maintained or improved upon the already potent inhibition of tacrine have been identified, highlighted by 1s (IC50 = 58 nM, 4.5-fold more potent than tacrine), 1x (IC50 = 44 nM, 6-fold more potent than tacrine), 2u (IC50 = 34 nM, 6-fold more potent than tacrine), 2x (IC50 = 81 nM, 3-fold more potent than tacrine), 10l (IC50 = 40 nM, similar potency to tacrine), 15i (IC50 = 69 nM, 5-fold more potent than tacrine), 16l (IC50 = 10 nM, 5.5-fold more potent than tacrine), 23l (IC50 = 49 nM, 7.5-fold more potent than tacrine), 23o (IC50 = 23 nM, 16-fold more potent than tacrine), 28k (IC50 = 37.3 nM, 10-fold more potent than tacrine), 36c (IC50 = 12.97 nM, 7-fold more potent than tacrine), 36g (IC50 = 5.17 nM, 18-fold more potent than tacrine), 42o (IC50 = 5.3 nM), 44a (IC50 = 52 nM, similar potency to tacrine), and 54j (IC50 = 37 nM, similar potency to tacrine).
A second group of compounds have been identified that either greatly reduced the hepatotoxicity of tacrine or showed significant secondary biological activity directed towards another aspect of AD (e.g., ROS, Aβ, metals), and this group is highlighted by 1f (complete inhibition of Aβ1-40 EeAChE-induced aggregation, neuroprotection against oligomycin A/rotenone-induced oxidative stress in cortical neurons, and reduced hepatotoxicity), 2x (moderate inhibitor of 15-LOX and reduced hepatotoxicity), 6d (reduced hepatotoxicity, antioxidant capacity, and neuroprotection against oligomycin/rotenone and Aβ1-40 in SH-SY5Ycells), 11n (ability to chelate Cu2+, Zn2+, and Fe2+), 15t (high antioxidant capacity and low hepatotoxicity), 15ac (inhibition of EeAChE-induced Aβ1-40 aggregation, reduced hepatotoxicity, and neuroprotection in SH-SY5Y cells against oxidative stress, Aβ1-40 aggregation, and tau-phosphorylation), 21 (reduced hepatotoxicity and neuroprotection in SH-SY5Y cells against ROS and tau hyperphosphorylation), 23l (moderate ability to inhibit both self- and AChE-induced Aβ aggregation, reduced hepatotoxicity, and slight antioxidant activity), 26e (selective COX-2 inhibition), 28k (inhibition of Ca2+ influx), 42o (antioxidant activity and significant Aβ1-42 self-aggregation inhibition), 44a (antioxidant activity and reduced hepatotoxicity), and 54j (inhibition of carbonic anhydrase). Altogether, compounds 2x, 23l, 28k, 42o, 44a, and 54j combine favorable AChE inhibition, favorable hepatotoxicity, and/or favorable secondary activity, and we feel they are the most promising for further study.
Going forward, we believe that continued research in this field is vital in the fight against AD. The most promising compounds identified should be further tested in animal models to evaluate if promising in vitro properties are maintained. The pharmacokinetic properties of the most promising compounds should also be further investigated. For example, the PAMPA-BBB data presented in initial screening results may be altered in an in vivo system, which would necessitate additional chemical modification to enhance pharmacokinetics. There is an additional chemical space that remains to be explored, and we envision additional heterocyclic fusions to the tacrine core to further explore SAR. As of yet, no “magic bullet” inhibitor has been identified. However, with each compound of this class that is synthesized and tested in combo, we gain incremental knowledge into the complex etiology and progression of AD that remains to be fully understood.
Author Contributions
Conceptualization, T.J.E.; investigation, T.J.E., D.L.M., and S.C.C.; writing—original draft preparation, T.J.E.; writing—review and editing, T.J.E., D.L.M., and S.C.C. All authors have read and agreed to the published version of the manuscript.
Funding
This research received no external funding.
Acknowledgments
We thank Michael Wilczanski for help in reviewing references. We thank the Penn State Behrend 2019–2020 Academic Year Undergraduate Research Grant that was partially used to support D.L.M. during work on this manuscript. Given the large volume of research and extended period devoted to the study of tacrine-based acetylcholinesterase inhibitors, we chose to focus this review only on compounds that have been first reported between January 2015–May 2020. We intend this review to be representative of the field but not necessarily all inclusive. We acknowledge those whose work in this field may have been omitted from discussion due to the scope of the manuscript.
Conflicts of Interest
The authors declare no conflict of interest.
Abbreviations
| Aβ | Amyloid-β |
| ACh | Acetylcholine |
| AChE | Acetylcholinesterase |
| AChEi | Acetylcholinesterase inhibitor(s) |
| AD | Alzheimer’s disease |
| ADME | Absorption, distribution, metabolism, and excretion |
| APP | Amyloid precursor protein |
| BACE1 | β-Secretase 1 |
| BACE1i | β-Secretase 1 inhibitor(s) |
| BBB | Blood-brain barrier |
| CA | Carbonic anhydrase |
| CAi | Carbonic anhydrase inhibitor(s) |
| CAS | Catalytic active site |
| CNS | Central nervous system |
| COX-2 | Cyclooxygenase 2 |
| DABCO | 1,4-Diazabicyclo[2.2.2]octane |
| DCE | Dichloroethane |
| DCM | Dichloromethane |
| DIPEA | N,N-Diisopropylethylamine |
| DMF | Dimethylformamide |
| DMSO | Dimethyl sulfoxide |
| Ee | Electrophorus electricus |
| GSH | Glutathione |
| h | Human |
| HATU | 1-[Bis(dimethylamino)methylene]-1H-1,2,3-triazolo[4,5-b]pyridinium 3-oxid hexafluorophosphate |
| IC50 | Half maximal inhibitory concentration |
| KA | Kojic acid |
| 15-LOX | 15-Lipoxygenase |
| MOA | Monoamine oxidase |
| MOAi | Monoamine oxidase inhibitor(s) |
| MTDL | Multitarget-directed ligand |
| MWI | Microwave irradiation |
| NFTs | Neurofibrillary tangles |
| NMDAR | N-methyl-d-aspartate receptor |
| ORAC | Oxygen radical absorbance capacity |
| PAMPA | Parallel artificial membrane permeability assay |
| PAS | Peripheral anionic site |
| Pe | Effective permeability |
| ROS | Reactive oxygen species |
| SAR | Structure-activity relationship |
| SGPT | Serum glutamic pyruvic transaminase |
| Tc | Torpedo californica |
| TEA | Triethylamine |
| TFAA | Trifluoroacetic anhydride |
| THF | Tetrahydrofuran |
| T3P | Propylphosphonic anhydride |
References
- Silman, I.; Sussman, J.L. Acetylcholinesterase: ‘classical’ and ‘non-classical’ functions and pharmacology. Curr. Opin. Pharmacol. 2005, 5, 293–302. [Google Scholar] [CrossRef] [PubMed]
- Quinn, D.M. Acetylcholinesterase: Enzyme structure, reaction dynamics, and virtual transition states. Chem. Rev. 1987, 87, 955–979. [Google Scholar] [CrossRef]
- Ochoa, R.; Rodriguez, C.A.; Zuluaga, A.F. Perspectives for the structure-based design of acetylcholinesterase reactivators. J. Mol. Graph. Model. 2016, 68, 176–183. [Google Scholar] [CrossRef] [PubMed]
- Bajda, M.; Więckowska, A.; Hebda, M.; Guzior, N.; Sotriffer, C.A.; Malawska, B. Structure-based search for new inhibitors of cholinesterases. Int. J. Mol. Sci. 2013, 14, 5608–5632. [Google Scholar] [CrossRef] [PubMed]
- Mercey, G.; Verdelet, T.; Renou, J.; Kliachyna, M.; Baati, R.; Nachon, F.; Jean, L.; Renard, P.-Y. Reactivators of acetylcholinesterase inhibited by organophosphorus nerve agents. Acc. Chem. Res. 2012, 45, 756–766. [Google Scholar] [CrossRef] [PubMed]
- Silman, I.; Sussman, J.L. Acetylcholinesterase: How is structure related to function? Chem. Biol. Interact. 2008, 175, 3–10. [Google Scholar] [CrossRef]
- Dvir, H.; Silman, I.; Harel, M.; Rosenberry, T.L.; Sussman, J.L. Acetylcholinesterase: From 3D structure to function. Chem. Biol. Interact. 2010, 187, 10–22. [Google Scholar] [CrossRef]
- Rydberg, E.H.; Brumshtein, B.; Greenblatt, H.M.; Wong, D.M.; Shaya, D.; Williams, L.D.; Carlier, P.R.; Pang, Y.-P.; Silman, I.; Sussman, J.L. Complexes of alkylene-linked tacrine dimers with Torpedo californica acetylcholinesterase: Binding of bis(5)-tacrine produces a dramatic rearrangement in the active-site gorge. J. Med. Chem. 2006, 49, 5491–5500. [Google Scholar] [CrossRef]
- Radić, Z.; Manetsch, R.; Krasiński, A.; Raushel, J.; Yamauchi, J.; Garcia, C.; Kolb, H.; Sharpless, K.B.; Taylor, P. Molecular basis of interactions of cholinesterases with tight binding inhibitors. Chem. Biol. Interact. 2005, 157, 133–141. [Google Scholar] [CrossRef]
- 2020 Alzheimer’s disease facts and figures. Alzheimer’s Dement. 2020, 16, 391–460. [CrossRef]
- Drachman, D.A.; Leavitt, J. Human memory and the cholinergic system: A relationship to aging? Arch. Neurol. 1974, 30, 113–121. [Google Scholar] [CrossRef] [PubMed]
- Bartus, R.T. Evidence for a direct cholinergic involvement in the scopolamine-induced amnesia in monkeys: Effects of concurrent administration of physostigmine and methylphenidate with scopolamine. Pharmacol. Biochem. Behav. 1978, 9, 833–836. [Google Scholar] [CrossRef]
- Davies, P.; Maloney, A.J.F. Selective loss of central cholinergic neurons in Alzheimer’s disease. Lancet 1976, 308, 1403. [Google Scholar] [CrossRef]
- Perry, E.K.; Tomlinson, B.E.; Blessed, G.; Perry, R.H.; Cross, A.J.; Crow, T.T. Noradrenergic and cholinergic systems in senile dementia of Alzheimer type. Lancet 1981, 318, 149. [Google Scholar] [CrossRef]
- Craig, L.A.; Hong, N.S.; McDonald, R.J. Revisiting the cholinergic hypothesis in the development of Alzheimer’s disease. Neurosci. Biobehav. Rev. 2011, 35, 1397–1409. [Google Scholar] [CrossRef]
- Pepeu, G.; Giovannini, M.G. Cholinesterase inhibitors and memory. Chem. Biol. Interact. 2010, 187, 403–408. [Google Scholar] [CrossRef]
- Schliebs, R.; Arendt, T. The significance of the cholinergic system in the brain during aging and in Alzheimer’s disease. J. Neural Transm. 2006, 113, 1625–1644. [Google Scholar] [CrossRef]
- Oboudiyat, C.; Glazer, H.; Seifan, A.; Greer, C.; Isaacson, R.S. Alzheimer’s disease. Semin Neurol 2013, 33, 313–329. [Google Scholar] [CrossRef]
- Kreft, A.F.; Martone, R.; Porte, A. Recent advances in the identification of γ-secretase inhibitors to clinically test the Aβ oligomer hypothesis of Alzheimer’s disease. J. Med. Chem. 2009, 52, 6169–6188. [Google Scholar] [CrossRef]
- Kurz, A.; Perneczky, R. Amyloid clearance as a treatment target against Alzheimer’s disease. J. Alzheimer’s Dis. 2011, 24, 61–73. [Google Scholar] [CrossRef]
- Hardy, J.A.; Higgins, G.A. Alzheimer’s disease: The amyloid cascade hypothesis. Science 1992, 256, 184. [Google Scholar] [CrossRef] [PubMed]
- Jakob-Roetne, R.; Jacobsen, H. Alzheimer’s disease: From pathology to therapeutic approaches. Angew. Chem. Int. Ed. 2009, 48, 3030–3059. [Google Scholar] [CrossRef] [PubMed]
- Inestrosa, N.C.; Alvarez, A.; Pérez, C.A.; Moreno, R.D.; Vicente, M.; Linker, C.; Casanueva, O.I.; Soto, C.; Garrido, J. Acetylcholinesterase accelerates assembly of amyloid-β-peptides into Alzheimer’s fibrils: Possible role of the peripheral site of the enzyme. Neuron 1996, 16, 881–891. [Google Scholar] [CrossRef]
- De Ferrari, G.V.; Canales, M.A.; Shin, I.; Weiner, L.M.; Silman, I.; Inestrosa, N.C. A structural motif of acetylcholinesterase that promotes amyloid β-peptide fibril formation. Biochemistry 2001, 40, 10447–10457. [Google Scholar] [CrossRef]
- Bartolini, M.; Bertucci, C.; Cavrini, V.; Andrisano, V. β-Amyloid aggregation induced by human acetylcholinesterase: Inhibition studies. Biochem. Pharmacol. 2003, 65, 407–416. [Google Scholar] [CrossRef]
- Pithadia, A.S.; Lim, M.H. Metal-associated amyloid-β species in Alzheimer’s disease. Curr. Opin. Chem. Biol. 2012, 16, 67–73. [Google Scholar] [CrossRef]
- Savelieff, M.G.; Lee, S.; Liu, Y.; Lim, M.H. Untangling amyloid-β, tau, and metals in Alzheimer’s disease. Acs Chem. Biol. 2013, 8, 856–865. [Google Scholar] [CrossRef]
- Hureau, C. Coordination of redox active metal ions to the amyloid precursor protein and to amyloid-β peptides involved in Alzheimer disease. Part 1: An overview. Coord. Chem. Rev. 2012, 256, 2164–2174. [Google Scholar] [CrossRef]
- Quintanilla, R.A.; Orellana, J.A.; Von Bernhardi, R. Understanding risk factors for Alzheimer’s disease: Interplay of neuroinflammation, connexin-based communication and oxidative stress. Arch. Med. Res. 2012, 43, 632–644. [Google Scholar] [CrossRef]
- McGeer, P.L.; McGeer, E.G. NSAIDs and Alzheimer disease: Epidemiological, animal model and clinical studies. Neurobiol. Aging 2007, 28, 639–647. [Google Scholar] [CrossRef]
- Szekely, C.A.; Town, T.; Zandi, P.P. NSAIDS for the chemoprevention of Alzheimer’s disease. In Subcellular Biochemistry; Springer: Dordrecht, The Netherlands, 2007; Volume 42, pp. 229–248. [Google Scholar]
- Zündorf, G.; Reiser, G. Calcium dysregulation and homeostasis of neural calcium in the molecular mechanisms of neurodegenerative diseases provide multiple targets for neuroprotection. Antioxid. Redox Signal. 2010, 14, 1275–1288. [Google Scholar] [CrossRef] [PubMed]
- Nimmrich, V.; Eckert, A. Calcium channel blockers and dementia. Br. J. Pharmacol. 2013, 169, 1203–1210. [Google Scholar] [CrossRef] [PubMed]
- Praticò, D.; Zhukareva, V.; Yao, Y.; Uryu, K.; Funk, C.D.; Lawson, J.A.; Trojanowski, J.Q.; Lee, V.M.Y. 12/15-Lipoxygenase is increased in Alzheimer’s disease: Possible involvement in brain oxidative stress. Am. J. Pathol. 2004, 164, 1655–1662. [Google Scholar] [CrossRef]
- Joshi, Y.B.; Giannopoulos, P.F.; Praticò, D. The 12/15-lipoxygenase as an emerging therapeutic target for Alzheimer’s disease. Trends Pharmacol. Sci. 2015, 36, 181–186. [Google Scholar] [CrossRef] [PubMed]
- Schewe, T. 15-lipoxygenase-1: A prooxidant enzyme. Biol. Chem. 2002, 383, 365–374. [Google Scholar] [CrossRef]
- Rubio-Perez, J.M.; Morillas-Ruiz, J.M. A review: Inflammatory process in Alzheimer’s disease, role of cytokines. Sci. World J. 2012, 2012, 756357. [Google Scholar] [CrossRef]
- Riederer, P.; Danielczyk, W.; Grünblatt, E. Monoamine oxidase-B inhibition in Alzheimer’s disease. NeuroToxicology 2004, 25, 271–277. [Google Scholar] [CrossRef]
- Pizzinat, N.; Copin, N.; Vindis, C.; Parini, A.; Cambon, C. Reactive oxygen species production by monoamine oxidases in intact cells. Naunyn Schmiedeberg’s Arch. Pharmacol. 1999, 359, 428–431. [Google Scholar] [CrossRef]
- Jang, B.G.; Yun, S.-M.; Ahn, K.; Song, J.H.; Jo, S.A.; Kim, Y.-Y.; Kim, D.K.; Park, M.H.; Han, C.; Koh, Y.H. Plasma carbonic anhydrase II protein is elevated in Alzheimer’s disease. J. Alzheimer’s Dis. 2010, 21, 939–945. [Google Scholar] [CrossRef]
- Provensi, G.; Carta, F.; Nocentini, A.; Supuran, C.T.; Casamenti, F.; Passani, M.B.; Fossati, S. A new kid on the block? Carbonic anhydrases as possible new targets in Alzheimer’s disease. Int. J. Mol. Sci. 2019, 20, 4724. [Google Scholar] [CrossRef]
- Ittner, L.M.; Götz, J. Amyloid-β and tau—A toxic pas de deux in Alzheimer’s disease. Nat. Rev. Neurosci. 2011, 12, 67–72. [Google Scholar] [CrossRef] [PubMed]
- Swerdlow, R.H.; Burns, J.M.; Khan, S.M. The Alzheimer’s disease mitochondrial cascade hypothesis: Progress and perspectives. Biochim. Biophys Acta 2014, 1842, 1219–1231. [Google Scholar] [CrossRef] [PubMed]
- Swerdlow, R.H.; Burns, J.M.; Khan, S.M. The Alzheimer’s disease mitochondrial cascade hypothesis. J. Alzheimer’s Dis. 2010, 20, S265–S279. [Google Scholar] [CrossRef] [PubMed]
- Knapp, M.J.; Knopman, D.S.; Solomon, P.R.; Pendlebury, W.W.; Davis, C.S.; Gracon, S.I.; Apter, J.T.; Lazarus, C.N.; Baker, K.E.; Barnett, M.; et al. A 30-Week randomized controlled trial of high-dose tacrine in patients with Alzheimer’s disease. JAMA 1994, 271, 985–991. [Google Scholar] [CrossRef]
- Mehta, M.; Adem, A.; Sabbagh, M. New acetylcholinesterase inhibitors for Alzheimer’s disease. Int. J. Alzheimer Dis. 2012, 2012, 728983. [Google Scholar] [CrossRef]
- Ames, D.J.; Bhathal, P.S.; Davies, B.M.; Fraser, J.R.E. Hepatotoxicity of tetrahydroacridine. Lancet 1988, 331, 887. [Google Scholar] [CrossRef]
- Pirmohamed, M.; Madden, S.; Park, B.K. Idiosyncratic drug reactions. Clin. Pharmacokinet. 1996, 31, 215–230. [Google Scholar] [CrossRef]
- Youdim, M.B.H.; Buccafusco, J.J. Multi-functional drugs for various CNS targets in the treatment of neurodegenerative disorders. Trends Pharmacol. Sci. 2005, 26, 27–35. [Google Scholar] [CrossRef]
- Youdim, M.B.H.; Buccafusco, J.J. CNS Targets for multi-functional drugs in the treatment of Alzheimer’s and Parkinson’s diseases. J. Neural Transm. 2005, 112, 519–537. [Google Scholar] [CrossRef]
- Agatonovic-Kustrin, S.; Kettle, C.; Morton, D.W. A molecular approach in drug development for Alzheimer’s disease. Biomed. Pharmacother. 2018, 106, 553–565. [Google Scholar] [CrossRef]
- Pang, Y.-P.; Quiram, P.; Jelacic, T.; Hong, F.; Brimijoin, S. Highly potent, selective, and low cost bis-tetrahydroaminacrine inhibitors of acetylcholinesterase: Steps toward novel drugs for treating Alzheimer’s disease. J. Biol. Chem. 1996, 271, 23646–23649. [Google Scholar] [CrossRef] [PubMed]
- Bornstein, J.J.; Eckroat, T.J.; Houghton, J.L.; Jones, C.K.; Green, K.D.; Garneau-Tsodikova, S. Tacrine-mefenamic acid hybrids for inhibition of acetylcholinesterase. MedChemComm 2011, 2, 406–412. [Google Scholar] [CrossRef]
- Kochi, A.; Eckroat, T.J.; Green, K.D.; Mayhoub, A.S.; Lim, M.H.; Garneau-Tsodikova, S. A novel hybrid of 6-chlorotacrine and metal–amyloid-β modulator for inhibition of acetylcholinesterase and metal-induced amyloid-β aggregation. Chem. Sci. 2013, 4, 4137–4145. [Google Scholar] [CrossRef]
- Tsogoeva, S.B. Recent progress in the development of synthetic hybrids of natural or unnatural bioactive compounds for medicinal chemistry. Mini Rev. Med. Chem 2010, 10, 773–793. [Google Scholar] [CrossRef]
- Colín-Lozano, B.; Estrada-Soto, S.; Chávez-Silva, F.; Gutiérrez-Hernández, A.; Cerón-Romero, L.; Giacoman-Martínez, A.; Almanza-Pérez, J.C.; Hernández-Núñez, E.; Wang, Z.; Xie, X.; et al. Design, synthesis and in combo antidiabetic bioevaluation of multitarget phenylpropanoic acids. Molecules 2018, 23, 340. [Google Scholar] [CrossRef]
- Morphy, R.; Rankovic, Z. Designed multiple ligands. An emerging drug discovery paradigm. J. Med. Chem. 2005, 48, 6523–6543. [Google Scholar] [CrossRef]
- Misik, J.; Nepovimova, E.; Pejchal, J.; Kassa, J.; Korabecny, J.; Soukup, O. Cholinesterase inhibitor 6-chlorotacrine-In vivo toxicological profile and behavioural effects. Curr. Alzheimer Res. 2018, 15, 552–560. [Google Scholar] [CrossRef]
- Korabecny, J.; Musilek, K.; Holas, O.; Binder, J.; Zemek, F.; Marek, J.; Pohanka, M.; Opletalova, V.; Dohnal, V.; Kuca, K. Synthesis and in vitro evaluation of N-alkyl-7-methoxytacrine hydrochlorides as potential cholinesterase inhibitors in Alzheimer disease. Bioorganic Med. Chem. Lett. 2010, 20, 6093–6095. [Google Scholar] [CrossRef]
- Ellman, G.L.; Courtney, K.D.; Andres, V., Jr.; Feather-Stone, R.M. A new and rapid colorimetric determination of acetylcholinesterase activity. Biochem Pharm. 1961, 7, 88–95. [Google Scholar] [CrossRef]
- The UniProt, C. UniProt: A worldwide hub of protein knowledge. Nucleic Acids Res. 2018, 47, D506–D515. [Google Scholar] [CrossRef]
- Navarrete-Vázquez, G.; Alaniz-Palacios, A.; Hidalgo-Figueroa, S.; González-Acevedo, C.; Ávila-Villarreal, G.; Estrada-Soto, S.; Webster, S.P.; Medina-Franco, J.L.; López-Vallejo, F.; Guerrero-Álvarez, J.; et al. Discovery, synthesis and in combo studies of a tetrazole analogue of clofibric acid as a potent hypoglycemic agent. Bioorganic Med. Chem. Lett. 2013, 23, 3244–3247. [Google Scholar] [CrossRef] [PubMed]
- Khoobi, M.; Ghanoni, F.; Nadri, H.; Moradi, A.; Pirali Hamedani, M.; Homayouni Moghadam, F.; Emami, S.; Vosooghi, M.; Zadmard, R.; Foroumadi, A.; et al. New tetracyclic tacrine analogs containing pyrano[2,3-c]pyrazole: Efficient synthesis, biological assessment and docking simulation study. Eur. J. Med. Chem. 2015, 89, 296–303. [Google Scholar] [CrossRef] [PubMed]
- Chioua, M.; Perez-Pena, J.; Garcia-Font, N.; Moraleda, I.; Iriepa, I.; Soriano, E.; Marco-Contelles, J.; Oset-Gasque, M.J. Pyranopyrazolotacrines as nonneurotoxic, Abeta-anti-aggregating and neuroprotective agents for Alzheimer’s disease. Future Med. Chem. 2015, 7, 845–855. [Google Scholar] [CrossRef] [PubMed]
- Derabli, C.; Boualia, I.; Abdelwahab, A.B.; Boulcina, R.; Bensouici, C.; Kirsch, G.; Debache, A. A cascade synthesis, in vitro cholinesterases inhibitory activity and docking studies of novel Tacrine-pyranopyrazole derivatives. Bioorg Med. Chem. Lett 2018, 28, 2481–2484. [Google Scholar] [CrossRef] [PubMed]
- Pourabdi, L.; Khoobi, M.; Nadri, H.; Moradi, A.; Moghadam, F.H.; Emami, S.; Mojtahedi, M.M.; Haririan, I.; Forootanfar, H.; Ameri, A.; et al. Synthesis and structure-activity relationship study of tacrine-based pyrano[2,3-c]pyrazoles targeting AChE/BuChE and 15-LOX. Eur J. Med. Chem. 2016, 123, 298–308. [Google Scholar] [CrossRef]
- Mahdavi, M.; Saeedi, M.; Gholamnia, L.; Jeddi, S.A.B.; Sabourian, R.; Shafiee, A.; Foroumadi, A.; Akbarzadeh, T. Synthesis of novel tacrine analogs as aceytlcholinesterase inhibitors. J. Heterocycl. Chem. 2017, 54, 384–390. [Google Scholar] [CrossRef]
- Hariri, R.; Afshar, Z.; Mahdavi, M.; Safavi, M.; Saeedi, M.; Najafi, Z.; Sabourian, R.; Karimpour-Razkenari, E.; Edraki, N.; Moghadam, F.H.; et al. Novel tacrine-based pyrano[3′,4′:5,6]pyrano[2,3-b]quinolinones: Synthesis and cholinesterase inhibitory activity. Arch. Pharm. Weinh. 2016, 349, 915–924. [Google Scholar] [CrossRef]
- Dgachi, Y.; Martin, H.; Malek, R.; Jun, D.; Janockova, J.; Sepsova, V.; Soukup, O.; Iriepa, I.; Moraleda, I.; Maalej, E.; et al. Synthesis and biological assessment of KojoTacrines as new agents for Alzheimer’s disease therapy. J. Enzym. Inhib Med. Chem. 2019, 34, 163–170. [Google Scholar] [CrossRef]
- Gomes, A.J.; Lunardi, C.N.; Gonzalez, S.; Tedesco, A.C. The antioxidant action of Polypodium leucotomos extract and kojic acid: Reactions with reactive oxygen species. Braz. J. Med. Biol. Res. 2001, 34, 1487–1494. [Google Scholar] [CrossRef]
- Boulebd, H.; Ismaili, L.; Bartolini, M.; Bouraiou, A.; Andrisano, V.; Martin, H.; Bonet, A.; Moraleda, I.; Iriepa, I.; Chioua, M.; et al. Imidazopyranotacrines as non-hepatotoxic, selective acetylcholinesterase inhibitors, and antioxidant agents for Alzheimer’s disease therapy. Molecules 2016, 21, 400. [Google Scholar] [CrossRef]
- Dgachi, Y.; Sokolov, O.; Luzet, V.; Godyn, J.; Panek, D.; Bonet, A.; Martin, H.; Iriepa, I.; Moraleda, I.; Garcia-Iriepa, C.; et al. Tetrahydropyranodiquinolin-8-amines as new, non hepatotoxic, antioxidant, and acetylcholinesterase inhibitors for Alzheimer’s disease therapy. Eur. J. Med. Chem. 2017, 126, 576–589. [Google Scholar] [CrossRef] [PubMed]
- Mahdavi, M.; Hariri, R.; Mirfazli, S.S.; Lotfian, H.; Rastergari, A.; Firuzi, O.; Edraki, N.; Larijani, B.; Akbarzadeh, T.; Saeedi, M. Synthesis and biological activity of some benzochromenoquinolinones: Tacrine analogs as potent anti-Alzheimer’s agents. Chem. Biodivers 2019, 16, e1800488. [Google Scholar] [CrossRef] [PubMed]
- Chioua, M.; Serrano, E.; Dgachi, Y.; Martin, H.; Jun, D.; Janockova, J.; Sepsova, V.; Soukup, O.; Moraleda, I.; Chabchoub, F.; et al. Synthesis, biological assessment and molecular modeling of racemic quinopyranotacrines for Alzheimer’s disease therapy. Chemistryselect 2018, 3, 461–466. [Google Scholar] [CrossRef]
- Wang, Z.; Li, W.; Wang, Y.; Li, X.; Huang, L.; Li, X. Design, synthesis and evaluation of clioquinol–ebselen hybrids as multi-target-directed ligands against Alzheimer’s disease. Rsc. Adv. 2016, 6, 7139–7158. [Google Scholar] [CrossRef]
- Bermejo-Bescos, P.; Martin-Aragon, S.; Jimenez-Aliaga, K.L.; Ortega, A.; Molina, M.T.; Buxaderas, E.; Orellana, G.; Csaky, A.G. In vitro antiamyloidogenic properties of 1,4-naphthoquinones. Biochem. Biophys. Res. Commun. 2010, 400, 169–174. [Google Scholar] [CrossRef]
- Eghtedari, M.; Sarrafi, Y.; Nadri, H.; Mahdavi, M.; Moradi, A.; Homayouni Moghadam, F.; Emami, S.; Firoozpour, L.; Asadipour, A.; Sabzevari, O.; et al. New tacrine-derived AChE/BuChE inhibitors: Synthesis and biological evaluation of 5-amino-2-phenyl-4H-pyrano[2,3-b]quinoline-3-carboxylates. Eur. J. Med. Chem. 2017, 128, 237–246. [Google Scholar] [CrossRef]
- Garcia-Font, N.; Hayour, H.; Belfaitah, A.; Pedraz, J.; Moraleda, I.; Iriepa, I.; Bouraiou, A.; Chioua, M.; Marco-Contelles, J.; Oset-Gasque, M.J. Potent anticholinesterasic and neuroprotective pyranotacrines as inhibitors of beta-amyloid aggregation, oxidative stress and tau-phosphorylation for Alzheimer’s disease. Eur. J. Med. Chem. 2016, 118, 178–192. [Google Scholar] [CrossRef]
- Ulus, R.; Zengin Kurt, B.; Gazioglu, I.; Kaya, M. Microwave assisted synthesis of novel hybrid tacrine-sulfonamide derivatives and investigation of their antioxidant and anticholinesterase activities. Bioorg Chem. 2017, 70, 245–255. [Google Scholar] [CrossRef]
- Boulebd, H.; Ismaili, L.; Martin, H.; Bonet, A.; Chioua, M.; Marco Contelles, J.; Belfaitah, A. New (benz)imidazolopyridino tacrines as nonhepatotoxic, cholinesterase inhibitors for Alzheimer disease. Future Med. Chem. 2017, 9, 723–729. [Google Scholar] [CrossRef]
- Benek, O.; Soukup, O.; Pasdiorova, M.; Hroch, L.; Sepsova, V.; Jost, P.; Hrabinova, M.; Jun, D.; Kuca, K.; Zala, D.; et al. Design, Synthesis and in vitro Evaluation of Indolotacrine Analogues as Multitarget-Directed Ligands for the Treatment of Alzheimer’s Disease. ChemMedChem 2016, 11, 1264–1269. [Google Scholar] [CrossRef]
- Ramos, E.; Palomino-Antolin, A.; Bartolini, M.; Iriepa, I.; Moraleda, I.; Diez-Iriepa, D.; Samadi, A.; Cortina, C.V.; Chioua, M.; Egea, J.; et al. QuinoxalineTacrine QT78, a cholinesterase inhibitor as a potential ligand for Alzheimer’s disease therapy. Molecules 2019, 24, 1503. [Google Scholar] [CrossRef]
- Monge, A.; Palop, J.A.; Del Castillo, J.C.; Caldero, J.M.; Roca, J.; Romero, G.; Del Rio, J.; Lasheras, B. Novel antagonists of 5-HT3 receptors. Synthesis and biological evaluation of piperazinylquinoxaline derivatives. J. Med. Chem. 1993, 36, 2745–2750. [Google Scholar] [CrossRef] [PubMed]
- Alshareef, H.F.; Mohamed, H.; Salaheldin, A.M. Synthesis and biological evaluation of new tacrine analogues under microwave irradiation. Chem. Pharm. Bull. 2017, 65, 732–738. [Google Scholar] [CrossRef] [PubMed][Green Version]
- Jalili-Baleh, L.; Nadri, H.; Moradi, A.; Bukhari, S.N.A.; Shakibaie, M.; Jafari, M.; Golshani, M.; Homayouni Moghadam, F.; Firoozpour, L.; Asadipour, A.; et al. New racemic annulated pyrazolo[1,2-b]phthalazines as tacrine-like AChE inhibitors with potential use in Alzheimer’s disease. Eur. J. Med. Chem. 2017, 139, 280–289. [Google Scholar] [CrossRef] [PubMed]
- Mroueh, M.; Faour, W.H.; Shebaby, W.N.; Daher, C.F.; Ibrahim, T.M.; Ragab, H.M. Synthesis, biological evaluation and modeling of hybrids from tetrahydro-1H-pyrazolo[3,4-b]quinolines as dual cholinestrase and COX-2 inhibitors. Bioorg Chem. 2020, 100, 103895. [Google Scholar] [CrossRef]
- Ragab, H.M.; Ashour, H.M.A.; Galal, A.; Ghoneim, A.I.; Haidar, H.R. Synthesis and biological evaluation of some tacrine analogs: Study of the effect of the chloro substituent on the acetylcholinesterase inhibitory activity. Mon. Für Chem. Chem. Mon. 2016, 147, 539–552. [Google Scholar] [CrossRef]
- Patrono, C.; Rocca, B. Nonsteroidal antiinflammatory drugs: Past, present and future. Pharmacol. Res. 2009, 59, 285–289. [Google Scholar] [CrossRef]
- Chioua, M.; Buzzi, E.; Moraleda, I.; Iriepa, I.; Maj, M.; Wnorowski, A.; Giovannini, C.; Tramarin, A.; Portali, F.; Ismaili, L.; et al. Tacripyrimidines, the first tacrine-dihydropyrimidine hybrids, as multi-target-directed ligands for Alzheimer’s disease. Eur. J. Med. Chem. 2018, 155, 839–846. [Google Scholar] [CrossRef]
- Ragab, H.M.; Teleb, M.; Haidar, H.R.; Gouda, N. Chlorinated tacrine analogs: Design, synthesis and biological evaluation of their anti-cholinesterase activity as potential treatment for Alzheimer’s disease. Bioorg Chem. 2019, 86, 557–568. [Google Scholar] [CrossRef]
- Atwal, K.S.; Swanson, B.N.; Unger, S.E.; Floyd, D.M.; Moreland, S.; Hedberg, A.; O’Reilly, B.C. Dihydropyrimidine calcium channel blockers. 3. 3-Carbamoyl-4-aryl-1,2,3,4-tetrahydro-6-methyl-5-pyrimidinecarboxylic acid esters as orally effective antihypertensive agents. J. Med. Chem. 1991, 34, 806–811. [Google Scholar] [CrossRef]
- Zorkun, İ.S.; Saraç, S.; Çelebi, S.; Erol, K. Synthesis of 4-aryl-3,4-dihydropyrimidin-2(1H)-thione derivatives as potential calcium channel blockers. Bioorganic Med. Chem. 2006, 14, 8582–8589. [Google Scholar] [CrossRef] [PubMed]
- Tardiff, D.F.; Brown, L.E.; Yan, X.; Trilles, R.; Jui, N.T.; Barrasa, M.I.; Caldwell, K.A.; Caldwell, G.A.; Schaus, S.E.; Lindquist, S. Dihydropyrimidine-thiones and clioquinol synergize to target β-amyloid cellular pathologies through a metal-dependent mechanism. ACS Chem. Neurosci. 2017, 8, 2039–2055. [Google Scholar] [CrossRef] [PubMed]
- Reddy, E.K.; Remya, C.; Mantosh, K.; Sajith, A.M.; Omkumar, R.V.; Sadasivan, C.; Anwar, S. Novel tacrine derivatives exhibiting improved acetylcholinesterase inhibition: Design, synthesis and biological evaluation. Eur. J. Med. Chem. 2017, 139, 367–377. [Google Scholar] [CrossRef] [PubMed]
- Dgachi, Y.; Bautista-Aguilera, O.M.; Benchekroun, M.; Martin, H.; Bonet, A.; Knez, D.; Godyn, J.; Malawska, B.; Gobec, S.; Chioua, M.; et al. Synthesis and biological evaluation of benzochromenopyrimidinones as cholinesterase inhibitors and potent antioxidant, non-hepatotoxic agents for Alzheimer’s disease. Molecules 2016, 21, 634. [Google Scholar] [CrossRef]
- Dgachi, Y.; Ismaili, L.; Knez, D.; Benchekroun, M.; Martin, H.; Szalaj, N.; Wehle, S.; Bautista-Aguilera, O.M.; Luzet, V.; Bonnet, A.; et al. Synthesis and biological assessment of racemic benzochromenopyrimidinimines as antioxidant, cholinesterase, and Abeta1-42 aggregation inhibitors for Alzheimer’s disease therapy. ChemMedChem 2016, 11, 1318–1327. [Google Scholar] [CrossRef]
- Dgachi, Y.; Martin, H.; Bonet, A.; Chioua, M.; Iriepa, I.; Moraleda, I.; Chabchoub, F.; Marco-Contelles, J.; Ismaili, L. Synthesis and biological assessment of racemic benzochromenopyrimidinetriones as promising agents for Alzheimer’s disease therapy. Future Med. Chem. 2017, 9, 715–721. [Google Scholar] [CrossRef]
- Decker, M. Novel inhibitors of acetyl- and butyrylcholinesterase derived from the alkaloids dehydroevodiamine and rutaecarpine. Eur. J. Med. Chem. 2005, 40, 305–313. [Google Scholar] [CrossRef]
- Huang, G.; Kling, B.; Darras, F.H.; Heilmann, J.; Decker, M. Identification of a neuroprotective and selective butyrylcholinesterase inhibitor derived from the natural alkaloid evodiamine. Eur. J. Med. Chem. 2014, 81, 15–21. [Google Scholar] [CrossRef]
- Darras, F.H.; Wehle, S.; Huang, G.; Sotriffer, C.A.; Decker, M. Amine substitution of quinazolinones leads to selective nanomolar AChE inhibitors with ‘inverted’ binding mode. Bioorg. Med. Chem. 2014, 22, 4867–4881. [Google Scholar] [CrossRef]
- Decker, M. Homobivalent quinazolinimines as novel nanomolar inhibitors of cholinesterases with dirigible selectivity toward butyrylcholinesterase. J. Med. Chem. 2006, 49, 5411–5413. [Google Scholar] [CrossRef]
- Decker, M.; Krauth, F.; Lehmann, J. Novel tricyclic quinazolinimines and related tetracyclic nitrogen bridgehead compounds as cholinesterase inhibitors with selectivity towards butyrylcholinesterase. Bioorg. Med. Chem. 2006, 14, 1966–1977. [Google Scholar] [CrossRef] [PubMed]
- Dekamin, M.G.; Eslami, M.; Maleki, A. Potassium phthalimide-N-oxyl: A novel, efficient, and simple organocatalyst for the one-pot three-component synthesis of various 2-amino-4H-chromene derivatives in water. Tetrahedron 2013, 69, 1074–1085. [Google Scholar] [CrossRef]
- Muñoz-Torrero, D.; Camps, P. Huprines for Alzheimer’s disease drug development. Expert Opin. Drug Discov. 2008, 3, 65–81. [Google Scholar] [CrossRef] [PubMed]
- Canudas, A.M.; Pubill, D.; Sureda, F.X.; Verdaguer, E.; Camps, P.; Muñoz-Torrero, D.; Jiménez, A.; Camins, A.; Pallàs, M. Neuroprotective effects of (±)-huprine Y on in vitro and in vivo models of excitoxicity damage. Exp. Neurol. 2003, 180, 123–130. [Google Scholar] [CrossRef]
- Mezeiova, E.; Korabecny, J.; Sepsova, V.; Hrabinova, M.; Jost, P.; Muckova, L.; Kucera, T.; Dolezal, R.; Misik, J.; Spilovska, K.; et al. Development of 2-methoxyhuprine as novel lead for Alzheimer’s disease therapy. Molecules 2017, 22, 1265. [Google Scholar] [CrossRef]
- Mao, F.; Li, J.; Wei, H.; Huang, L.; Li, X. Tacrine-propargylamine derivatives with improved acetylcholinesterase inhibitory activity and lower hepatotoxicity as a potential lead compound for the treatment of Alzheimer’s disease. J. Enzym. Inhib Med. Chem. 2015, 30, 995–1001. [Google Scholar] [CrossRef]
- Neto, D.C.F.; Lima, J.A.; De Almeida, J.S.F.D.; Franca, T.C.C.; do Nascimento, C.J.; Villar, J.D.F. New semicarbazones as gorge-spanning ligands of acetylcholinesterase and potential new drugs against Alzheimer’s disease: Synthesis, molecular modeling, NMR, and biological evaluation. J. Biomol. Struct Dyn. 2018, 36, 4099–4113. [Google Scholar] [CrossRef]
- Lambert, C.; Beraldo, H.; Lievre, N.; Garnier-Suillerot, A.; Dorlet, P.; Salerno, M. Bis(thiosemicarbazone) copper complexes: Mechanism of intracellular accumulation. J. Biol. Inorg. Chem. 2013, 18, 59–69. [Google Scholar] [CrossRef]
- Sinha, S.K.; Shrivastava, S.K. Synthesis, evaluation and molecular dynamics study of some new 4-aminopyridine semicarbazones as an antiamnesic and cognition enhancing agents. Bioorg. Med. Chem. 2013, 21, 5451–5460. [Google Scholar] [CrossRef]
- Ekiz, M.; Tutar, A.; Okten, S.; Butun, B.; Kocyigit, U.M.; Taslimi, P.; Topcu, G. Synthesis, characterization, and SAR of arylated indenoquinoline-based cholinesterase and carbonic anhydrase inhibitors. Arch. Pharm. Weinh. 2018, 351, e1800167. [Google Scholar] [CrossRef]
© 2020 by the authors. Licensee MDPI, Basel, Switzerland. This article is an open access article distributed under the terms and conditions of the Creative Commons Attribution (CC BY) license (http://creativecommons.org/licenses/by/4.0/).



















