Dinuclear Copper(II) Complexes with Schiff Bases Derived from 2-Hydroxy-5-Methylisophthalaldehyde and Histamine or 2-(2-Aminoethyl)pyridine and Their Application as Magnetic and Fluorescent Materials in Thin Film Deposition
Abstract
1. Introduction
2. Results and Discussion
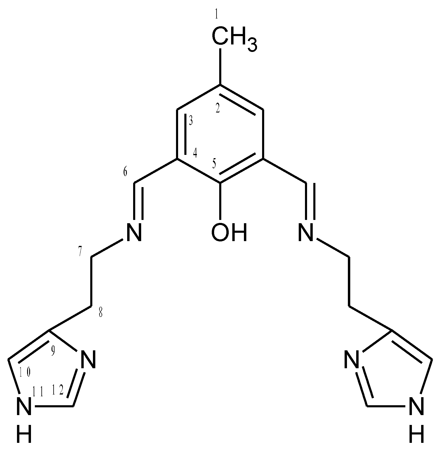
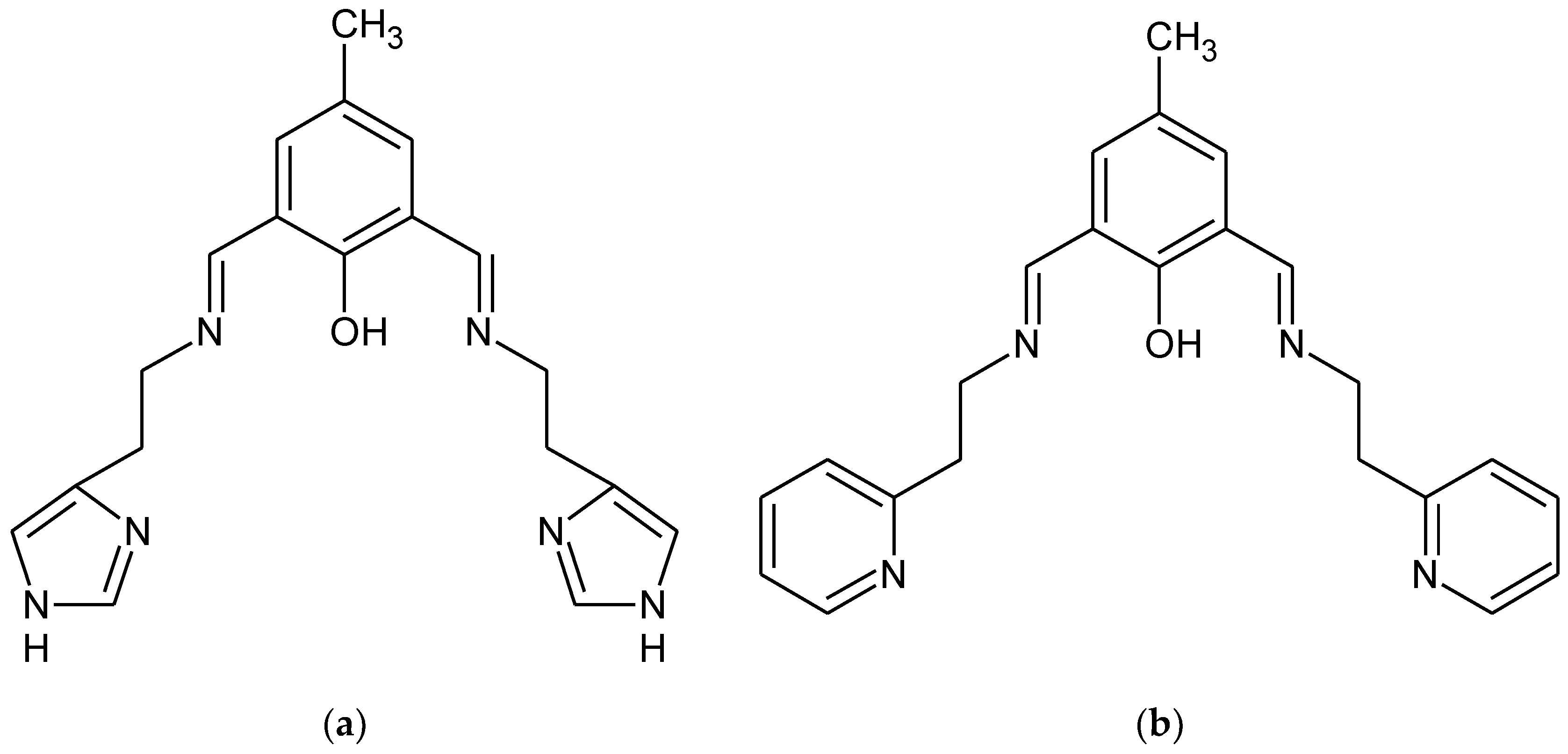
2.1. Ligand Synthesis and Characterization
2.2. Dinuclear Copper(II) Complexes: Synthesis and Characterization
2.3. Structure Description
2.4. DC Magnetic Measurements and EPR Spectra
2.5. UV-Vis and Fluorescence Spectroscopy
2.6. Thin Films of Copper(II) Complexes
3. Materials and Methods
3.1. Methods and Instrumentation
3.2. Crystal Structure Determination
3.3. Computational Details
4. Experimental
4.1. Synthesis of Ligands
4.2. Synthesis of Complexes
5. Conclusions
Supplementary Materials
Author Contributions
Funding
Acknowledgments
Conflicts of Interest
References
- Bhunia, A.; Vojtíšek, P.; Bertolasi, V.; Manna, S.C. Tridentate Schiff base coordinated trigonal bipyramidal/square pyramidal copper(II) complexes: Synthesis, crystal structure, DFT/TD-DFT calculation, catecholase activity and DNA binding. J. Mol. Struct. 2019, 1189, 94–101. [Google Scholar] [CrossRef]
- Ahamad, M.N.; Iman, K.; Raza, K.; Kumar, M.; Ansari, A.; Ahmad, M.; Shahid, M. Anticancer properties, apoptosis and catecholase mimic activities of dinuclear cobalt(II) and copper(II) Schiff base complexes. Bioorg. Chem. 2020, 95, 103561. [Google Scholar] [CrossRef] [PubMed]
- Zarei, L.; Asadi, Z.; Dusek, M.; Eigner, V. Homodinuclear Ni (II) and Cu (II) Schiff base complexes derived from O-vanillin with a pyrazole bridge: Preparation, crystal structures, DNA and protein (BSA) binding, DNA cleavage, molecular docking and cytotoxicity study. J. Photochem. Photobiol. A Chem. 2019, 374, 145–160. [Google Scholar] [CrossRef]
- Majumder, S.; Sarkar, S.; Sasmal, S.; Sañudo, E.C.; Mohanta, S. Heterobridged Dinuclear, Tetranuclear, Dinuclear-Based 1-D, and Heptanuclear-Based 1-D Complexes of Copper(II) Derived from a Dinucleating Ligand: Syntheses, Structures, Magnetochemistry, Spectroscopy, and Catecholase Activity. Inorg. Chem. 2011, 50, 7540–7554. [Google Scholar] [CrossRef]
- Barwiolek, M.; Szlyk, E.; Kozakiewicz, A.; Muziol, T.; Bieńko, A.; Jezierska, J. X-ray structure, magnetic and fluorescence characteristics of new Cu(II) complexes with Schiff bases derived from 2-(2-aminoethyl)pirydyne and 2-hydroxy-1-naphthaldehyde; morphology and fluorescence of their thin films. Dalton Trans. 2018, 47, 13902–13912. [Google Scholar] [CrossRef]
- Majeste, R.J.; Klein, C.L.; Stevens, E.D. Structure of a binuclear copper(II) complex: μ-{2,6-bis[(2-pyridyl)methyliminomethyl]-p-cresolato-N,N′,N′′,N′′′,μ-O}-μ-chloro-dichlorodicopper(II) dihydrate, C21H19Cl3Cu2N4O·2H2O. Acta Crystallogr. Sect. C Cryst. Struct. Commun. 1983, 39, 52–54. [Google Scholar] [CrossRef]
- Žilić, D.; Rakvin, B.; Milić, D.; Pajić, D.; Đilović, I.; Cametti, M.; Dzolic, Z. Crystal structures and magnetic properties of a set of dihalo-bridged oxalamidato copper(ii) dimers. Dalton Trans. 2014, 43, 11877–11887. [Google Scholar] [CrossRef]
- Brown, S.J.; Tao, X.; Wark, T.A.; Stephan, D.W.; Mascharak, P.K. Synthetic analog approach to metallobleomycins. 4. New halobridged dimeric and polymeric (infinite zigzag chain) complexes of copper(II) with peptide ligands related to bleomycins. Inorg. Chem. 1988, 27, 1581–1587. [Google Scholar] [CrossRef]
- Holm, R.H.; Kennepohl, P.; Solomon, E.I. Structural and Functional Aspects of Metal Sites in Biology. Chem. Rev. 1996, 96, 2239–2314. [Google Scholar] [CrossRef]
- Tardito, S.; Bassanetti, I.; Bignardi, C.; Elviri, L.; Tegoni, M.; Mucchino, C.; Bussolati, O.; Franchi-Gazzola, R.; Marchiò, L. Copper Binding Agents Acting as Copper Ionophores Lead to Caspase Inhibition and Paraptotic Cell Death in Human Cancer Cells. J. Am. Chem. Soc. 2011, 133, 6235–6242. [Google Scholar] [CrossRef]
- Keypour, H.; Shayesteh, M.; Rezaeivala, M.; Sayin, K. Dinuclear Cu(II) complexes of compartmental Schiff base ligands formed from unsymmetrical tripodal amines of varying arm lengths: Crystal structure of [Cu2L1](ClO4)2 and theoretical studies. J. Mol. Struct. 2016, 1112, 110–118. [Google Scholar] [CrossRef]
- Gennarini, F.; David, R.; López, I.; Le Mest, Y.; Reglier, M.; Belle, C.; Thibon-Pourret, A.; Jamet, H.; Le Poul, N. Influence of Asymmetry on the Redox Properties of Phenoxo- and Hydroxo-Bridged Dicopper Complexes: Spectroelectrochemical and Theoretical Studies. Inorg. Chem. 2017, 56, 7707–7719. [Google Scholar] [CrossRef] [PubMed]
- Holz, R.C.; Brink, J.M.; Gobena, F.T.; O’Connor, C.J. Dinuclear Copper(II) Complexes with Carboxylate-Rich Coordination Environments. Models for Substituted Copper(II) Aminopeptidases. Inorg. Chem. 1994, 33, 6086–6092. [Google Scholar] [CrossRef]
- Bühl, M.; Ashbrook, S.E.; Dawson, D.M.; Doyle, R.; Hrobarik, P.; Kaupp, M.; Smellie, I.A. Paramagnetic NMR of Phenolic Oxime Copper Complexes: A Joint Experimental and Density Functional Study. Chem. Eur. J. 2016, 22, 15328–15339. [Google Scholar] [CrossRef] [PubMed]
- Papatriantafyllopoulou, C.; Stamatatos, T.C.; Wernsdorfer, W.; Teat, S.J.; Tasiopoulos, A.J.; Escuer, A.; Perlepes, S.P. Combining Azide, Carboxylate, and 2-Pyridyloximate Ligands in Transition-Metal Chemistry: Ferromagnetic NiII5Clusters with a Bowtie Skeleton. Inorg. Chem. 2010, 49, 10486–10496. [Google Scholar] [CrossRef] [PubMed]
- Sasmal, S.; Hazra, S.; Kundu, P.; Majumder, S.; Aliaga-Alcalde, N.; Ruiz, E.; Mohanta, S. Magneto-Structural Correlation Studies and Theoretical Calculations of a Unique Family of Single End-to-End Azide-Bridged NiII4Cyclic Clusters. Inorg. Chem. 2010, 49, 9517–9526. [Google Scholar] [CrossRef]
- Manca, G.; Cano, J.; Ruiz, E. Exchange Interactions in Azido-Bridged Ligand NiIIComplexes: A Theoretical Analysis. Inorg. Chem. 2009, 48, 3139–3144. [Google Scholar] [CrossRef]
- Mallah, T.; Kahn, O.; Gouteron, J.; Jeannin, S.; Jeannin, Y.; O’Connor, C.J. Novel polypyrazolylborate ligands: Coordination control through 3-substituents of the pyrazole ring. Inorg. Chem. 1987, 26, 1375–1380. [Google Scholar] [CrossRef]
- Nayak, M.; Jana, A.; Fleck, M.; Hazra, S.; Mohanta, S. A unique example of a three component cocrystal of metal complexes. CrystEngComm 2010, 12, 1416–1421. [Google Scholar] [CrossRef]
- Koval, I.A.; Gamez, P.; Belle, C.; Selmeczi, K.; Reedijk, J. Synthetic models of the active site of catechol oxidase: Mechanistic studies. Chem. Soc. Rev. 2006, 35, 814–840. [Google Scholar] [CrossRef]
- Roznyatovsky, V.V.; Borisova, N.E.; Reshetova, M.D.; Ustynyuk, Y.A.; Aleksandrov, G.G.; Eremenko, I.; Moiseev, I.I. Dinuclear and polynuclear transition metal complexes with macrocyclic ligands. 6. New dinuclear copper(ii) complexes with macrocyclic Schiff bases derived from 4-tert-butyl-2,6-diformylphenol. Russ. Chem. Bull. 2004, 53, 1208–1217. [Google Scholar] [CrossRef]
- Fielden, J.; Sprott, J.; Long, D.-L.; Kögerler, P.; Cronin, L. Controlling Aggregation of Copper(II)-Based Coordination Compounds: From Mononuclear to Dinuclear, Tetranuclear, and Polymeric Copper Complexes. Inorg. Chem. 2006, 45, 2886–2895. [Google Scholar] [CrossRef] [PubMed]
- Khan, S.; Sproules, S.; Natrajan, L.S.; Harms, K.; Chattopadhyay, S. End-on cyanate or end-to-end thiocyanate bridged dinuclear copper(ii) complexes with a tridentate Schiff base blocking ligand: Synthesis, structure and magnetic studies. New J. Chem. 2018, 42, 1634–1641. [Google Scholar] [CrossRef]
- Biswas, A.; Drew, M.G.; Song, Y.; Ghosh, A. Effect of anionic co-ligands on structure and magnetic coupling of bis(μ-phenoxo)-bridged dinuclear copper(II) complexes. Inorg. Chim. Acta 2011, 376, 422–427. [Google Scholar] [CrossRef]
- Asokan, A.; Manoharan, P.T. 1H NMR Studies on Strongly Antiferromagnetically Coupled Dicopper(II) Systems. Inorg. Chem. 1999, 38, 5642–5654. [Google Scholar] [CrossRef]
- Das, K.; Mondal, T.K.; Garribba, E.; Fondo, M.; Sinha, C.; Datta, A. Phenoxo bridged tetranuclear copper(II) and dinuclear zinc(II) complexes of 2,6-diformyl-4-methylphenol-di(benzoylhydrazone): Synthesis, structure, spectra and magnetism. Inorg. Chim. Acta 2014, 413, 194–202. [Google Scholar] [CrossRef]
- Grzybowski, J.J.; Merrell, P.H.; Urbach, F.L. Dicopper(II) Complexes with Binucleating Ligands Derived from 2-Hydroxy-5-methylisophthaldehyde and 2-(2-aminoethyl)pyridine. Inorg. Chem. 1978, 17, 3078–3082. [Google Scholar] [CrossRef]
- Thakurta, S.; Roy, P.; Rosair, G.; Gómez-García, C.J.; Garribba, E.; Mitra, S. Ferromagnetic exchange coupling in a new bis(μ-chloro)-bridged copper(II) Schiff base complex: Synthesis, structure, magnetic properties and catalytic oxidation of cycloalkanes. Polyhedron 2009, 28, 695–702. [Google Scholar] [CrossRef]
- Sorar, I.; Şener, M.K.; Tepehan, F.Z.; Gül, A.; Koçak, M.B. Structural and optical studies of tetra (tricarbethoxy)-substituted metallophthalocyanines. Thin Solid Films 2008, 516, 2894–2898. [Google Scholar] [CrossRef]
- Sano, T.; Nishio, Y.; Hamada, Y.; Takahashi, H.; Usuki, T.; Shibata, K. The electroluminescence of organic materials. J. Mater. Chem. 2000, 10, 157–161. [Google Scholar] [CrossRef]
- Bräuer, B.; Zahn, D.R.; Rüffer, T.; Salvan, G. Deposition of thin films of a transition metal complex by spin coating. Chem. Phys. Lett. 2006, 432, 226–229. [Google Scholar] [CrossRef]
- Barwiolek, M.; Szłyk, E.; Surdykowski, A.; Wojtczak, A. New nickel(ii) and copper(ii) complexes with unsymmetrical Schiff bases derived from (1R,2R)(−)cyclohexanediamine and the application of Cu(ii) complexes for hybrid thin layers deposition. Dalton Trans. 2013, 42, 11476–11487. [Google Scholar] [CrossRef] [PubMed]
- Barwiolek, M.; Szłyk, E.; Berg, A.; Wojtczak, A.; Muziol, T.M.; Jezierska, J. Structural studies of copper(ii) complexes with 2-(2-aminoethyl)pyridine derived Schiff bases and application as precursors of thin organic–inorganic layers. Dalton Trans. 2014, 43, 9924–9933. [Google Scholar] [CrossRef] [PubMed]
- Gultneh, Y.; Tesema, Y.T.; Yisgedu, T.B.; Butcher, R.J.; Wang, G.; Yee, G.T. Studies of a Dinuclear Manganese Complex with Phenoxo and Bis-acetato Bridging in the Mn2(II,II) and Mn2(II,III) States: Coordination Structural Shifts and Oxidation State Control in Bridged Dinuclear Complexes. Inorg. Chem. 2006, 45, 3023–3033. [Google Scholar] [CrossRef] [PubMed]
- Sikdar, Y.; Modak, R.; Bose, D.; Banerjee, S.; Bieńko, D.; Zierkiewicz, W.; Bieńko, A.; Das Saha, K.; Goswami, S. Doubly chloro bridged dimeric copper(ii) complex: Magneto-structural correlation and anticancer activity. Dalton Trans. 2015, 44, 8876–8888. [Google Scholar] [CrossRef] [PubMed]
- Manzur, J.; García, A.M.; Vega, A.; Ibañez, A. Synthesis and structure of copper(II) complexes with L–OH (L–OH = 2,6-bis-[N-(2-pyridylethyl)-formidoyl]-4-methyl-phenol). Polyhedron 2007, 26, 115–122. [Google Scholar] [CrossRef]
- Spek, A.L. Structure validation in chemical crystallography. Acta Cryst. Sect. D Boil. Cryst. 2009, 65, 148–155. [Google Scholar] [CrossRef]
- Addison, A.W.; Rao, T.N.; Reedijk, J.; van Rinn, J.; Verschoor, G.C. Synthesis, structure, and spectroscopic properties of copper(II) compounds containing nitrogen-sulphur donor ligands; the crystal and molecular structure of aqua[1,7-bis(N-methylbenzimidazol-2′-yl)-2,6-dithiaheptane]copper(II) perchlorate. J. Chem. Soc. Dalton Trans. 1984, 7, 1349–1356. [Google Scholar] [CrossRef]
- Okuniewski, A.; Rosiak, D.; Chojnacki, J.; Becker, B. Coordination polymers and molecular structures among complexes of mercury(II) halides with selected 1-benzoylthioureas. Polyhedron 2015, 90, 47–57. [Google Scholar] [CrossRef]
- Chilton, N.F.; Anderson, R.P.; Turner, L.D.; Soncini, A.; Murray, K.S. PHI: A powerful new program for the analysis of anisotropic monomeric and exchange–coupled polynuclear d- and f-block complexes. J. Comput. Chem. 2013, 34, 1164–1175. [Google Scholar] [CrossRef]
- Roundhill, S.G.N.; Roundhill, D.M.; Bloomquist, D.R.; Landee, C.; Willett, R.D.; Dooley, D.M.; Gray, H.B. Molecular structure and magnetic properties of the chloro-bridged dimer chloro[hydrotris(1-pyrazolyl)borato]copper(II). Observation of a ferromagnetic ground state. Inorg. Chem. 1979, 18, 831–835. [Google Scholar] [CrossRef]
- Marsh, W.E.; Hatfield, W.E.; Hodgson, D.J. Magnetic interactions in chloro-bridged dimers. Structural characterization of aquadichlorobis(2-methylpyridine)copper(II) and bis[dichlorobis(2-methylpyridine)copper(II)]. Inorg. Chem. 1982, 21, 2679–2684. [Google Scholar] [CrossRef]
- Marsh, W.E.; Patel, K.C.; Hatfield, W.E.; Hodgson, D.J. Magnetic interactions in chloro-bridged copper(II) dimers. Structural and magnetic characterization of bis(.mu.-chloro)bis[chloro(N,N,N’-triethylethylenediamine)copper(II)], [Cu(Et3en)Cl2]2. Inorg. Chem. 1983, 22, 511–515. [Google Scholar] [CrossRef]
- Crawford, V.H.; Richardson, H.W.; Wasson, J.R.; Hodgson, D.J.; Hatfield, W.E. Relation between the singlet-triplet splitting and the copper-oxygen-copper bridge angle in hydroxo-bridged copper dimers. Inorg. Chem. 1976, 15, 2107–2110. [Google Scholar] [CrossRef]
- Graham, B.; Hearn, M.T.W.; Junk, P.C.; Kepert, C.M.; Mabbs, F.E.; Moubaraki, B.; Murray, K.S.; Spiccia, L. Syntheses, Crystal Structures, Magnetic Properties, and EPR Spectra of Tetranuclear Copper(II) Complexes Featuring Pairs of “Roof-Shaped” Cu2X2 Dimers with Hydroxide, Methoxide, and Azide Bridges. Inorg. Chem. 2001, 40, 1536–1543. [Google Scholar] [CrossRef] [PubMed]
- Skorda, K.; Stamatatos, T.C.; Vafiadis, A.P.; Lithoxoidou, A.T.; Terzis, A.; Perlepes, S.P.; Mrozinski, J.; Raptopoulou, C.P.; Plakatouras, J.C.; Bakalbassis, E.G. Copper(II) chloride/1-methylbenzotriazole chemistry: Influence of various synthetic parameters on the product identity, structural and magnetic characterization, and quantum-chemical studies. Inorg. Chim. Acta 2005, 358, 565–582. [Google Scholar] [CrossRef]
- Grove, H.; Julve, M.; Sletten, J.; Lloret, F. Solid state polymerization causing transition to a ferromagnetic state. Crystal structures and magnetic properties of [Cu2(dpp)(H2O)(dmso)Cl4]·dmso and [Cu2(dpp)Cl4]n (dpp = 2,3-bis(2-pyridyl)pyrazine). J. Chem. Soc. Dalton Trans. 2001, 17, 2487–2493. [Google Scholar] [CrossRef]
- Rodríguez, M.; Llobet, A.; Corbella, C.M. A theoretical analysis of how geometrical distortions on Cu(μ-Cl)2Cu dimers influence their electronic and magnetic properties. Polyhedron 2000, 19, 2483–2491. [Google Scholar] [CrossRef]
- Kozlevčar, B.; Šegedin, P. Structural Analysis of a Series of Copper(II) Coordination Compounds and Correlation with their Magnetic Properties. Croat. Chem. Acta 2008, 81, 369–379. [Google Scholar]
- Brudenell, S.J.; Spiccia, L.; Tiekink, E.R.T. Binuclear Copper(II) Complexes of Bis(pentadentate) Ligands Derived from Alkyl-Bridged Bis(1,4,7-triazacyclonane) Macrocycles. Inorg. Chem. 1996, 35, 1974–1979. [Google Scholar] [CrossRef]
- Lever, A.B.P. Studies in Physical and Theoretical Chemistry 33: Inorganic Electronic Spectroscopy, 1st ed.; Elsevier: Amsterdam, The Netherlands, 1968; pp. 355–361. [Google Scholar]
- Boudreaux, E.A.; Mulay, L.N. Theory and Applications of Molecular Paramagnetism, 1st ed.; Wiley Interscience: New York, NY, USA, 1976. [Google Scholar]
- Oxford Diffraction Ltd. CrysAlis RED and CrysAlis CCD; Oxford Diffraction Ltd.: Oxfordshire, UK, 2000; p. 54. [Google Scholar]
- Kabsch, W. XDS. Acta Cryst. 2010, 66, 125–132. [Google Scholar] [CrossRef]
- Krug, M.; Weiss, M.S.; Heinemann, U.; Mueller, U. XDSAPP: A graphical user interface for the convenient processing of diffraction data using XDS. J. Appl. Cryst. 2012, 45, 568–572. [Google Scholar] [CrossRef]
- Sheldrick, G.M. Crystal structure refinement with SHELXL. Acta Cryst. Sect. C Struct. Chem. 2015, 71, 3–8. [Google Scholar] [CrossRef] [PubMed]
- Brandenburg, K. DIAMOND, Crystal Impact GbR; Release 2.1e; CRYSTAL IMPACT Dr. H. Putz & Dr. K.; Brandenburg GbR: Bonn, Germany, 2001. [Google Scholar]
- Farrugia, L.J. WinGX and ORTEP for Windows: An update. J. Appl. Cryst. 2012, 45, 849–854. [Google Scholar] [CrossRef]
- Frisch, M.J.; Trucks, G.W.; Schlegel, H.B.; Scuseria, G.E.; Robb, M.A.; Cheeseman, J.R.; Scalmani, G.; Barone, V.; Petersson, G.A.; Nakatsuji, H.; et al. Gaussian 16; Revision B.01; Gaussian, Inc.: Wallingford, UK, 2016. [Google Scholar]
- Zieliński, W.; Rajca, A. Metody Spektroskopowe i ich Zastosowanie do Identyfikacji Zwiazków Organicznych, 2nd ed.; WNT: Warsaw, Poland, 1995; pp. 402–405. [Google Scholar]
- Mueller, U.; Forster, R.; Hellmig, M.; Huschmann, F.U.; Kastner, A.; Malecki, P.; Pühringer, S.; Röwer, M.; Sparta, K.; Steffien, M.; et al. The macromolecular crystallography beamlines at BESSY II of the Helmholtz-Zentrum Berlin: Current status and perspectives. Eur. Phys. J. Plus 2015, 130, 141–150. [Google Scholar] [CrossRef]

















| 1 | 2 | ||||||
|---|---|---|---|---|---|---|---|
| Cu1-O1 | 1.956(5) | Cu2-O1 | 1.959(5) | Cu1-O1 | 1.954(2) | Cu2-O1 | 1.982(2) |
| Cu1-N30 | 1.962(6) | Cu2-N10 | 1.959(7) | Cu1-N30 | 1.997(3) | Cu2-N10 | 2.004(3) |
| Cu1-N23 | 2.025(7) | Cu2-N3 | 2.006(6) | Cu1-N23 | 2.055(3) | Cu2-N3 | 2.024(3) |
| Cu1-Cl1 | 2.350(2) | Cu2-Cl2 | 2.344(2) | Cu1-Cl3 | 2.3926(8) | Cu2-Cl2 | 2.3906(9) |
| Cu1-Cl1 i | 2.849(2) | Cu2-Cl2 ii | 2.786(2) | Cu1-Cl1 | 2.4254(9) | Cu2-Cl3 | 2.4279(8) |
| Cu3-Cl4 | 2.274(3) | Cu3-Cl3 | 2.275(3) | Cu1-Cl3-Cu2 | 79.87(3) | ||
| Cu3-Cl4 i | 2.274(3) | Cu3-Cl3 i | 2.275(3) | O1-Cu1-N30 | 167.08(11) | O1-Cu2-N10 | 163.35(10) |
| O1-Cu1-N30 | 169.7(3) | O1-Cu2-N10 | 168.8(3) | O1-Cu1-N23 | 92.61(11) | O1-Cu2-N3 | 85.37(11) |
| O1-Cu1-N23 | 88.7(3) | O1-Cu2-N3 | 87.5(3) | N30-Cu1-N23 | 94.08(12) | N10-Cu2-N3 | 95.82(12) |
| N30-Cu1-N23 | 93.0(3) | N10-Cu2-N3 | 92.9(3) | O1-Cu1-Cl3 | 80.32(7) | O1-Cu2-Cl2 | 96.56(8) |
| O1-Cu1-Cl1 | 86.27 (18) | O1-Cu2-Cl2 | 86.30(17) | N30-Cu1-Cl3 | 87.64(8) | N10-Cu2-Cl2 | 98.64(8) |
| N30-Cu1-Cl1 | 93.5(2) | N10-Cu2-Cl2 | 94.0(2) | N23-Cu1-Cl3 | 142.27(9) | N3-Cu2-Cl2 | 109.63(9) |
| N23-Cu1-Cl1 | 169.9(2) | N314-Cu2-Cl2 | 172.3(2) | O1-Cu1-Cl1 | 92.43(8) | O1-Cu2-Cl3 | 78.91(7) |
| O1-Cu1-Cl1 i | 93.01(16) | O1-Cu2-Cl2 ii | 94.69(16) | N30-Cu1-Cl1 | 96.15(9) | N10-Cu2-Cl3 | 89.80(8) |
| N30-Cu1-Cl1 i | 97.2(2) | N10-Cu2-Cl2 ii | 96.5(2) | N23-Cu1-Cl1 | 107.05(9) | N3-Cu2-Cl3 | 139.87(9) |
| N23-Cu1-Cl1 i | 84.5(2) | N3-Cu2-Cl2 ii | 88.8(2) | Cl3-Cu1-Cl1 | 110.23(3) | Cl2-Cu2-Cl3 | 108.69(3) |
| Cl1-Cu1-Cl1 i | 87.01(7) | Cl2-Cu2-Cl2 ii | 87.19(7) | ||||
| Cl4-Cu3-Cl4 i | 180.0 | Cl4-Cu3-Cl3 i | 89.64(10) | ||||
| Cl4-Cu3-Cl3 | 90.36(10) | Cl4 i-Cu3-Cl3 i | 90.36(10) | ||||
| Cl4 i-Cu3-Cl3 | 89.64(10) | Cl3-Cu3-Cl3 i | 180.0 |
| Identification Code | 1 CCDC 1873388 | 2 CCDC1997646 |
|---|---|---|
| Empirical formula | C42H52Cl8Cu5N14O4 | C24H24.50Cl3Cu2N4.50O |
| Formula weight | 1418.24 | 625.41 |
| Temperature [K] | 293(2) | 100(2) |
| Wavelength [Å] | 0.71073 | 0.82657 |
| Crystal system, space group | triclinic, P-1 | monoclinic, C2 |
| Unit cell dimensions [Å] and [°] | a = 10.0417(15) α = 90.796(11) | a = 28.5592(13) |
| b = 11.1083(15) β = 99.044(12) | b = 7.5327(4) β = 96.751(5) | |
| c = 12.5958(17) γ = 95.502(12) | c = 11.9908(7) | |
| Volume [Å3] | 1380.6(3) | 2561.7(2) |
| Z, Calculated density [Mg⋅m−3] | 1, 1.706 | 4, 1.622 |
| Absorption coefficient [mm−1] | 2.336 | 2.932 |
| F(000) | 715 | 1268 |
| Crystal size [mm] | 0.400 × 0.360 × 0.190 | 0.370 × 0.110 × 0.050 |
| Theta range for data collection [°] | 2.064 to 26.372 | 4.086 to 31.102 |
| Limiting indices | −10 <= h <= 12 | −35 <= h <= 35 |
| −13 <= k <= 13 | −9 <= k <= 9 | |
| −15 <= l <= 15 | −14 <= l <= 14 | |
| Reflections collected/unique | 9252/9252 [R(int) = 0.0637] | 17143/5140 [R(int) = 0.0247] |
| Completeness [%] to theta [°] | 25.242° 99.8% | 29.732° 97.5% |
| Absorption correction | Analytical | Numerical |
| Max. and min. transmission | 0.665 and 0.455 | 0.867 and 0.410 |
| Refinement method | Full-matrix least-squares on F2 | Full-matrix least-squares on F2 |
| Data/restraints/parameters | 9252/6/332 | 5140/1/325 |
| Goodness-of-fit on F2 | 1.011 | 1.063 |
| Final R Indices [I > 2sigma(I)] | R1a = 0.0913, wR2 b = 0.2373 | R1a = 0.0251, wR2 b = 0.0684 |
| R indices (all data) | R1a = 0.1205, wR2 b = 0.2497 | R1a = 0.0255, wR2 b = 0.0686 |
| Absolute structure parameter | N/D | 0.007(2) |
| Largest diff. peak and hole [eÅ−3] | 2.320 and −1.326 | 0.534 and −0.361 |
© 2020 by the authors. Licensee MDPI, Basel, Switzerland. This article is an open access article distributed under the terms and conditions of the Creative Commons Attribution (CC BY) license (http://creativecommons.org/licenses/by/4.0/).
Share and Cite
Barwiolek, M.; Kaczmarek-Kędziera, A.; Muziol, T.M.; Jankowska, D.; Jezierska, J.; Bieńko, A. Dinuclear Copper(II) Complexes with Schiff Bases Derived from 2-Hydroxy-5-Methylisophthalaldehyde and Histamine or 2-(2-Aminoethyl)pyridine and Their Application as Magnetic and Fluorescent Materials in Thin Film Deposition. Int. J. Mol. Sci. 2020, 21, 4587. https://doi.org/10.3390/ijms21134587
Barwiolek M, Kaczmarek-Kędziera A, Muziol TM, Jankowska D, Jezierska J, Bieńko A. Dinuclear Copper(II) Complexes with Schiff Bases Derived from 2-Hydroxy-5-Methylisophthalaldehyde and Histamine or 2-(2-Aminoethyl)pyridine and Their Application as Magnetic and Fluorescent Materials in Thin Film Deposition. International Journal of Molecular Sciences. 2020; 21(13):4587. https://doi.org/10.3390/ijms21134587
Chicago/Turabian StyleBarwiolek, Magdalena, Anna Kaczmarek-Kędziera, Tadeusz M. Muziol, Dominika Jankowska, Julia Jezierska, and Alina Bieńko. 2020. "Dinuclear Copper(II) Complexes with Schiff Bases Derived from 2-Hydroxy-5-Methylisophthalaldehyde and Histamine or 2-(2-Aminoethyl)pyridine and Their Application as Magnetic and Fluorescent Materials in Thin Film Deposition" International Journal of Molecular Sciences 21, no. 13: 4587. https://doi.org/10.3390/ijms21134587
APA StyleBarwiolek, M., Kaczmarek-Kędziera, A., Muziol, T. M., Jankowska, D., Jezierska, J., & Bieńko, A. (2020). Dinuclear Copper(II) Complexes with Schiff Bases Derived from 2-Hydroxy-5-Methylisophthalaldehyde and Histamine or 2-(2-Aminoethyl)pyridine and Their Application as Magnetic and Fluorescent Materials in Thin Film Deposition. International Journal of Molecular Sciences, 21(13), 4587. https://doi.org/10.3390/ijms21134587

