Abstract
Copper-containing coordination compounds attract wide attention due to the redox activity and biogenicity of copper ions, providing multiple pathways of biological activity. The pharmacological properties of metal complexes can be fine-tuned by varying the nature of the ligand and donor atoms. Copper-containing coordination compounds are effective antitumor agents, constituting a less expensive and safer alternative to classical platinum-containing chemotherapy, and are also effective as antimicrobial, antituberculosis, antimalarial, antifugal, and anti-inflammatory drugs. 64Cu-labeled coordination compounds are promising PET imaging agents for diagnosing malignant pathologies, including head and neck cancer, as well as the hallmark of Alzheimer’s disease amyloid-β (Aβ). In this review article, we summarize different strategies for possible use of coordination compounds in the treatment and diagnosis of various diseases, and also various studies of the mechanisms of antitumor and antimicrobial action.
1. Introduction
Metal-containing therapeutic agents comprise a fundamental class of drugs for treating tumors. Although many metal-containing drugs based on gold, ruthenium, gallium, titanium, and iron are in preclinical and clinical trials phases I and II [1], cisplatin and also second- and third-generation platinum coordination compounds (carboplatin, oxalyplatin, and picoplatin) are still the most effective antitumor agents used in clinical practice [2]. The clinical use of platinum-based drugs entails many severe side effects, such as nephrotoxicity [3], neurotoxicity [4], and also ototoxicity and myelosuppression [5].
It is assumed that antitumor drugs based on endogenous metals (Co, Cu, Zn, and Fe) are less toxic as compared with platinum analogues [6]. Copper-containing coordination compounds were found to be promising antitumor therapeutic agents that act by various mechanisms such as inhibition of proteasome activity [7,8], telomerase activity [9], reactive oxygen species (ROS) formation [10,11], DNA degradation [12], DNA intercalation [13], paraptosis [14], and others.
Copper is an element of fundamental importance for the formation and functioning of several enzymes and proteins, such as cytochrome C oxidase and Cu/Zn superoxide dismutase, which are involved in the processes of respiration, energy metabolism, and DNA synthesis [15]. Most Cu(II) coordination compounds quickly form adducts with glutathione in the cell medium, which leads to the formation of a coordination compound of monovalent Cu(I) capable of generating a superoxide anion, which can induce ROS formation in a fenton-like reaction [16]. Due to high redox activity, the therapeutic efficacy of copper coordination compounds is not limited to antiproliferative action. Copper coordination compounds can be highly effective in treating viral infections [17], inflammatory diseases [18], and microbial infections [19] by multiple mechanisms of action. A Cu(II) coordination compound based on indomethacin is currently used in veterinary practice as an anti-inflammatory drug [20].
Malignant and inflamed tissues metabolize an increased amount of copper as compared with healthy tissues [21], which gives copper-containing coordination compounds an additional advantage over other metal-containing drugs. Various delivery systems for copper-based therapeutic agents and also for copper and chelating ligand separate delivery have been developed to enhance their delivery into tumor tissues [22,23].
Development of novel copper coordination compounds with antitumor activity is a promising and relevant area of medical chemistry [24,25,26,27]. A number of copper/Disulfiram-based drug combinations are in recruiting clinical trials as inexpensive and highly effective antitumor agents for metastatic breast cancer therapy and as diagnostic tools [28]. Their clinical success has triggered the development of delivery and controlled release systems for copper coordination compounds, as well as a search for novel copper-containing anticancer agents [29,30]. A brief and clear summary of promising in vivo anticancer activity of this type of drugs, along with relevant and current clinical trials was reported by Tabti1 et al. [31], but rapid development of copper-based therapy has caused rapid changes in clinical data. In a search for methods to overcome the poor water solubility of copper complexes, Wehbe et al. briefly summarized the use of copper complexes as antineoplastic agents [32]. However, after the publication of a detailed high-quality review by Santini et al. [33], a small number of works examined, in detail, the latest biological aspects of the use of copper complexes as therapeutic agents. Recently, Ong et al. reported a metal application in tropical diseases treatment, expanding the understanding of the applications of copper-containing coordination compounds [34].
In this review we provide a summary of different publications of recent years, paying attention to the variety of biological studies on the therapeutic and diagnostic potential of copper coordination compounds. We have emphasized the most abundant methods used to assess the mechanism of antitumor action and other therapeutic effects. This review could be useful to researchers engaged in medicinal application of copper-containing agents, affecting various uses of copper coordination compounds such as anticancer, antituberculosis, antimicrobial, anti-inflammatory, antibacterial agents, as well as PET-imaging agents for the diagnosis of malignant neoplasms and Alzheimer’s disease.
2. Copper Coordination Compounds Based on Ligands with Various Donor Atoms
2.1. N- and O-Donor Ligands
Casiopeínas comprise a family of copper coordination compounds with promising results for treating colorectal cancer and acute myeloid leukemia. Several Casiopeínas compounds have shown significant therapeutic efficacy, and two of them, Casiopeina III-ia 1 and Casiopeina II Gly 2 (Figure 1), have underwent a number of clinical trials as drugs for the treatment of leukemia [35].
Figure 1.
Chemical structures of Casiopeina II-gly 1 and Casiopeina-III-ia 2.
Several hypotheses have been developed regarding the mechanism of action of Casiopeinas, including ROS formation, phosphate hydrolysis, DNA damage, and DNA intercalation [36]. In addition, one of the latest studies [37] of coordination compounds of the Casiopeínas class has shown an antiproliferative effect in Giardia intestinalis trophozoite cultures, a pathogen causing an infectious disease that affects residents of developing countries. The antiproliferative effect of coordination compounds is explained by their ability to interact with the cell membrane and increase the ROS concentration in the parasite from the first hours of exposure (2–6 h). It was found that these compounds caused the death of trophozoite cells as a result of apoptosis. Guillermo de Anda-Jáuregui et al. recently constructed a network with deregulated biological pathways featuring links between pathways that crosstalk with each other. Through this approach, the following three features of Casiopeina treatment were identified: (a) perturbation of signaling pathways related to apoptosis induction, (b) perturbation of metabolic pathways, and (c) activation of immune responses [38].
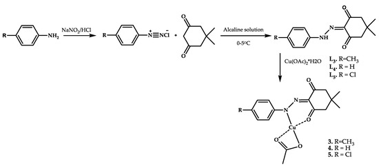
Copper coordination compounds 3–5 with Schiff bases as ligands were obtained by condensation of 5-dimethylcyclohexane-1,3-dione and a hydrazine derivative by Shoair et al. [39] (Figure 2).
Figure 2.
Ligand synthesis scheme and chemical structures of coordination compounds 3–5.
Coordination compounds 3–5 showed the ability to intercalate calf thymus DNA and also showed cytotoxic activity on the cell lines of liver cancer HepG-2 (human liver cancer cell line of hepatocellular carcinoma) and breast cancer MCF-7 (breast cancer cell line of invasive breast ductal carcinoma) (Table 1). The toxicity of the ligands and their corresponding coordination compounds is comparable. Complex 4 showed the greatest cytotoxic activity on MCF-7 cell lines.
Table 1.
MTT data of coordination compounds 3–5 and ligands L3–L5 after 72 h of incubation [39].
The antimicrobial activity of ligands L3–L5 and Cu(II) complexes 3–5 were tested against bacteria and fungi. All ligands and complexes were found to have antibacterial activity against Gram-negative Escherichia coli (except 3), Gram-positive Staphylococcus aureus, and Candida albicans (Table 2).
Table 2.
Antibacterial and antifungal activities data of ligands L3–L5 and Cu(II) coordination compounds 3–5 [39].
Copper-containing antitumor agents, with Schiff-base ligands based on hydrazone with a pyridine coligand, were investigated by QingYou Mo et al. [40]. Introducing N-containing coligands such as imidazole, pyridine, quinoline, phenanthroline, and their derivatives can affect the hydrophobicity, the geometry of the coordination compound, and consequently, the antitumor activity. Copper coordination compounds 6–8 with Schiff-base ligands and also coordination compounds 9–11 containing pyridine as a ligand were obtained (Figure 3). Studies of antiproliferative activity showed that introducing a pyridine coligand into the structure of the coordination compound increases cytotoxic activity as expected. Coordination compounds 9–11 containing a pyridine coligand exhibit antiproliferative activity in vitro with an IC50 ranging from 1.12 to 6.31 μM (MCF-7 breast cancer cells), while non-coligand analogues 6–8 have an IC50 in the range from 3.66 to 18.61 µM (MCF-7 breast cancer cell line of invasive breast ductal carcinoma).
Figure 3.
Chemical structures of coordination compounds 6–8 with Schiff-base ligands and 9–11 with a Py coligand.
For coordination compounds 9–11, cytotoxicity studies were also conducted on cisplatin-resistant lung cancer cell lines (A549cisR cisplatin-resistant lung cancer cell line of adenocarcinomic human alveolar basal epithelial cells). High toxicity was shown with an IC50 in the range of 3.77 to 6.03 μM (IC50 > 50 μM for cisplatin). Studies of the mechanism of the cytotoxic effect of coordination compound 11 showed that the drug causes DNA degradation, which triggers the mechanism of ROS-mediated apoptosis of mitochondrial dysfunction.
D. Anu et al. reported tetra-nuclear mixed-valence copper (I/II) coordination compound 12 with promising antitumor activity [41] (Figure 4). The structure of the obtained coordination compound was confirmed by X-ray diffraction.
Figure 4.
Synthesis scheme and chemical structure of coordination compound 12.
A spectrophotometric study of DNA intercalation by ligand L12 and coordination compound 12 was performed by titration of a calf thymus DNA solution with the solutions of coordination compound 12. The binding constants of L12 and coordination compound 12 were, respectively, (2.34 ± 0.60) × 105 M−1 and (3.50 ± 0.73) × 105 M−1, indicating a weak interaction with the secondary structure of DNA. BSA protein binding was confirmed by fluorescence titration. The antioxidant activity of coordination compound 12 was proven by the ability to decrease the reduction of Mo(VI) to Mo(V) and by, subsequent, formation of a complex at acidic pH. The ability of L12 and coordination compound 12 to cause apoptosis in MCF-7 cells was proven by the acridine orange/ethidium bromide (AO/EtBr) staining method.
Studies of antiproliferative activity on breast cancer cells MCF-7 and lung cancer cells A-549 showed an IC50 of 32 ± 1.0 μM (MCF-7 breast cancer cell line of invasive breast ductal carcinoma), 15 ± 1.5 μM (A-549 lung cancer cell line of adenocarcinomic human alveolar basal epithelial) for ligand L12 and 25 ± 1.0 μM (MCF-7) and 12 ± 1.0 μM (A-549) for coordination compound 12.
2.2. N- and S-Donor Ligands
Elesclomol is an injectable chemotherapeutic agent ligand L13 with low molecular weight (Figure 5), which demonstrated clinical efficacy in acute myeloid leukemia [42]. This drug is also at the first stage of clinical trials as a therapeutic agent for leukemia [43]. Elesclomol has been proven to exert an antitumor effect by forming a Cu(II) coordination compound in situ, and the corresponding coordination compound causes oxidative stress inside the malignant cell. The redox reaction Cu(II)/Cu(I) disrupts mitochondrial respiration and causes ROS formation. Ultimately, coordination of copper with the elesclomol ligand disrupts the production and metabolism of cellular energy and triggers the path of mitochondrial apoptosis in tumor cells, leading to their death [44].
Figure 5.
Chemical structure of elesclomol ligand L13 and copper coordination compound 13.
An antitumor activity of the redox-active copper coordination compound was also confirmed in [45], where the potential effectiveness of elesclomol in treating ovarian cancer was shown. The elesclomol ligand showed antiproliferative activity on six cell lines of gynecological cancer with an IC50 of 0.173 µM and an IC90 of 0.283 µM (tests were performed with Cu-preincubated cell lines).
Due to redox properties, copper coordination compounds not only are effective redox-active antitumor agents but also are effective in treating bacterial and fungal infections. Tuberculosis (TB) caused by Mycobacterium tuberculosis (Mtb) is an infection causing more deaths than acquired immunodeficiency syndrome. First-line drugs, such as rifampicin, successfully coped with bacterial pneumonia, but drug resistance requires seeking new chemotherapeutic agents. A new triple-drug combination for treating TB is a combination of oxidant [46] and redox-active drugs [47] coupled with a third drug with a different mode of action. Therefore, the redox activity of copper ions coupled with the fact that the immune system uses copper to eliminate bacterial infections makes copper coordination compounds promising antibacterial, and in particular, antituberculosis chemotherapeutic agents.
Recent studies by Ngwane et al. [48] demonstrated that elesclomol is relatively potent against Mtb H37Rv with a minimum inhibitory concentration of 10 μM (4 mg/L). In addition, against multidrug resistant clinical isolates of Mtb, it displays additive interactions with known tuberculosis drugs such as isoniazid and ethambutol, and a synergistic interaction with rifampicin.
Controlled supplementation of elesclomol with copper leading to the formation of compound 13 in culture medium increased Mtb sensitivity by >65-fold. (Table 3)
Table 3.
Effect of copper on antimycobacterial activity of ligand L13 against Mtb H37Rv [48].
Cu-ATSM 14 is a biologically active copper coordination compound based on thiosemicarbazides (Figure 6). This drug labeled with the radioactive isotopes 64Cu, 62Cu, and 60Cu was used as a PET hypoxia imaging agent in head and neck cancer [49]. It demonstrated better results in clinical trials than the 18-fluorodeoxyglucose used in clinical practice [50,51].
Figure 6.
Chemical structure and cellular accumulation scheme of Cu-ATSM 14.
Drug accumulation in hypoxic areas is associated with redox transitions of Cu(II)/Cu(I). Labeled with a radionuclide tag, Cu-ATSM 14 penetrated into cells by passive diffusion and underwent glutathione reduction. Under normoxic conditions, the labile coordination compound Cu(I) is oxidized by intracellular oxygen to the coordination compound Cu(II) and leaves the cell. In contrast, under hypoxic conditions, the Cu(I) coordination compound dissociates into a ligand and a metal ion, which binds to intracellular chaperone proteins leading to the accumulation of a radionuclide in hypoxic regions of tumors. The oxidation process of Cu(I) is so fast that a noticeable intracellular reduction of Cu(II) ATSM occurs only in hypoxic (tumor) cells, while the drug leaves healthy cells without any changes [52] (Figure 6).
Coordination Cu-ATSM 14 also proved to be an effective drug capable of slowing the progression of amyotrophic lateral sclerosis (ALS) disease and improving the respiratory and cognitive function of patients. Currently, the drug Cu(II)-ATSM is undergoing clinical trials as a drug for the treatment of ALS. Patient registration for phase III clinical trials of the treatment of this disease began in November 2019 in Australia [53].
Anjum et al. recently reported eight thiosemicarbazido-based Cu(II) complexes, Cu-ATSM analogues 15–22, with promising antitumor activity [54] (Figure 7).
Figure 7.
Chemical structures of bis(thiosemicarbazone)-based copper complexes 15–22.
The toxicity of Cu(II) complexes 15–22 could be decreased by co-incubation with the nontoxic Cu chelator tetramolibdate (TM) or the antioxidant N-acetylcysteine (NAC), suggesting a mechanism of Cu-induced oxidative stress. The redox behavior of Cu(II) complexes was also of interest. Depending on electron-donating effects of the di-substitutions on the diimine backbone, the Cu(II/I) redox potential itself was changed, and the cytotoxicity changed as a result. The Cu(II/I) redox potential was also proposed to govern the hypoxia selectivity of coordination compounds, but no selective toxicity under hypoxic conditions was shown.
The ability of copper coordination compounds to successfully penetrate the blood-brain barrier has inspired some researchers to create copper-based preparations for visualizing pathological changes in Alzheimer’s disease. One of the major pathological hallmarks of the disease is the presence of extracellular senile plaques in the brain, consisting of an insoluble aggregated peptide called amyloid-β (Aβ), a 39−43 amino acid peptide [55]. Clinically used derivatives of benzothiazole, stilbene, and stripylpyridine labeled with 18-fluorine or 11-carbon are used for PET imaging of plaques by binding to a hydrophobic pocket of the peptide [56,57]. In addition, Zn2+ and Cu2+ cations have been proven to promote aggregation of amyloid plaques, which provides them with an advantage in binding to amyloid due to the increased consumption of these metals by amyloids [58,59].
A standard approach in developing Aβ PET imaging drugs is to modify a Cu-ATCM drug with a benzothiazole/stilbene moiety, which ensures the binding of the drug to the amyloid plaque. This developmental approach has been used by some Australian researchers (Figure 8).
Figure 8.
(a) Developed by Hickey et al. [60]. (b) Developed by SinChun Lim et al. [61]. (c) Developed by McInnes et al. [62]. Chemical structures of Cu-containing coordination compounds for PET imaging of Aβ plaques.
Hickey et al. [60] succeeded in designing a copper radiopharmaceutical Cu(II)-ATSM with an appended stilbene functional group for Aβ plaque imaging. Binding of compounds 24 and 25 (coordination compound 23 was quite insoluble) to Aβ plaques was clearly evident as demonstrated by epi-fluorescent microscopy. Aβ-specific 1E8 antibody was used as a control.
The biodistribution of coordination compounds 24 and 25 radiolabeled with 64Cu in wild-type mice after intravenous tail injection (∼13MBq) displayed good brain uptake of coordination compound 25 (1.11% ID/g) at 2 min after injection, dropping to 0.38% ID/g at 30 min. This indicates that coordination compound 25 can rapidly cross the blood-brain barrier of normal mice with a highly desirable fast washout from the brain as anticipated with no Aβ plaques to trap the imaging agent. Micro-PET images of pre-injected wild-type mice were also obtained.
The biodistribution of coordination compounds 27–30 radiolabeled with 64Cu in wild-type mice showed the best brain uptake results for coordination compound 30 (1.54% ID/g at 2 min after injection, dropping to 0.77% ID/g at 30 min). TEM images of Aβ1−42 model fibrils treated with compound 28 or 30 demonstrated dramatic changes in the structural morphology.
An alternative methodology is based on elemental mapping using laser ablation inductively coupled plasma mass spectrometry LA-ICP-MS. A sample of nonradioactive isotopically enriched 65Cu-30 was used. Coordination compound 24 was used as a control. The benzofuran containing complex 65Cu-30 appeared to bind with improved differentiation when compared with the styryl-pyridine containing complex 65Cu-24 and potentially offered better sensitivity for amyloid.
On the basis of these results, radiolabeled copper coordination compound could be used to assess amyloid pathology in AD patients using PET. The redox properties of copper ions, the ability to reduce intracellularly, selective accumulation in hypoxic areas, blood-brain barrier penetration, and stability in a blood flow provides copper-containing therapeutic agents features for use as not only therapeutic but also diagnostic and theranostic agents.
2.3. N/N-Donor Ligands
Because pathogens with multidrug resistance are emerging and new effective antibiotics against them are lacking, metal-containing coordination compounds have become of interest as antibacterial agents. The effectiveness of copper coordination compounds in the treatment of bacterial and fungal infections was mentioned above (coordination compounds 3 and 5 with antibacterial and antifungal activity [39] and Escimolol-based coordination compound 13 in Mtb treatment [48]). A copper-based coordination compound 31 with antimalarial activity against Plasmodium falciparum was developed by [63] (Figure 9). The antimalarial activities in vitro of compound 31 and its ligand were respectively estimated as ED50 = 0.13 and >30 mg / ml for coordination compound 31 and ligand L31.
Figure 9.
Synthesis scheme and chemical structure of coordination compound 31.
Beeton et al. reported nine copper coordination compounds 32–39 based on 1,10-phenanthroline and also their platinum and palladium analogues compounds 40 and 41 with antimicrobial and antibiofilm activity [64] (Figure 10).
Figure 10.
Chemical structure of coordination compounds 32–41.
The resulting coordination compounds showed higher antimicrobial activity as compared with free ligands against Gram-positive and Gram-negative bacterial strains and also increased antibiotic activity as compared with the standard preparation vancomycin against the clinical strain of methicillin-resistant Staphylococcus aureus (MRSA) (Table 4).
Table 4.
Minimal inhibitory concentrations and hemolitic activity of coordination compounds 32–41 [64].
The authors associated the action mechanism of coordination compounds 32–41 with interactions with the bacterial chromosome, which led to a decrease in bacterial reproduction. The redox activity of copper ions is dependent on the presence of reducing agents. This thiol is glutathione in most Gram-negative bacteria and bacillithiol in several Gram-positive bacteria [65]. Coordination compounds 40 and 41 based on Pt and Pd do not show significant antimicrobial activity, which also indicates that the antibacterial activity is associated with the redox/nuclease activity of copper ions.
Cu(II) coordination compounds 32–41 are less active than vancomycin on planktonic cells (Table 4) and are relatively much more active on biofilms. Copper-induced DNA damage can lead to death irrespective of the physiological state or growth rate of the bacterial cells.
Hence, copper coordination compounds can not only be effective synthetic antibacterial agents but also more effective as compared with classical antibiotic therapy because of their mechanism of action.
Brandão et al. reported Cu(II) coordination compounds based on thiochrome, the oxidized form of vitamin B1, with promising cytotoxic activity [66]. The ligand was obtained by oxidizing thiamine with copper (II) chloride. The resulting coordination compounds crystallize in the form of two structures, compounds 42 and 43 (Figure 11). Biological studies on human colon adenocarcinoma cells Caco-2 showed that both compounds reduce the viability of these cells more than thiamine or thiochrome. To investigate the mechanism responsible for the cytotoxic effect of compounds 42 and 43, the authors tested the alleged involvement of changes in oxidative stress levels. By adding N-acetylcysteine, they ruled out ROS formation, which ultimately showed no change in the cytotoxic effect of compound 42 and only a slight decrease in the cytotoxicity of compound 43. Therefore, oxidative stress does not seem to play an important role in the mechanism of biological action of these compounds, which indicates that the ability to generate ROS is important but is not always the main mechanism of the cytotoxic action of copper coordination compounds. A comparison of the cytotoxic activity of these compounds on cell lines (IC50 = 146 μM for compound 42 and IC50 = 191 μM for compound 43) with cisplatin (IC50 = 274 μM) shows that these copper coordination compounds are more effective on human colon adenocarcinoma cell line of heterogeneous human epithelial colorectal adenocarcinoma Caco-2.
Figure 11.
Chemical structure of coordination compounds 42 and 43.
Krasnovskaya et al. [67] reported a Cu(II) coordination compound 44 based on 2-aminoimidazolone with promising antitumor activity (Figure 12). Coordination compound 44 showed antiproliferative activity higher than cisplatin (IC50 MCF-7 13.67 ± 0.81 μM).
Figure 12.
Chemical structure of coordination compound 44.
Three copper complexes with potential anticancer and nonsteroidal anti-inflammatory activity were reported by Hussain et al. [68] (Figure 13). Coordination compounds 45–47 with benzimidazole-derived scaffolds were synthesized in accordance with the following scheme. In addition to antitumor activity, the compounds were proposed as potential candidates for NSAIDs.
Figure 13.
Ligand synthesis scheme and chemical structure of coordination compounds 45–47.
Human serum albumin (HAS) binding of compounds 45–47 was evaluated using HAS fluorescence quenching in the presence of coordination compounds. The results showed that the KSV values (slope of the Stern–Volmer plots) were of the order of 105, thus indicating strong quenching.
An Annexin/FITC assay showed that the three complexes 45–47 exhibited an increase in apoptotic cells to a significant level followed by necrosis. Glutathione depletion along with ROS formation in MCF-7 cells after treatment with coordination compounds 45–47 was also shown. The interaction of complexes with COX-2 inhibitor was also confirmed, which can be a mechanism of action of these potential NSAIDs. Coordination compounds 45–47 were tested in vivo on albino rats and mice for anti-inflammatory, antipyretic, and analgesic activities. The results showed that 45 and 47 have significant dose-dependent anti-inflammatory and analgesic activities at a lower concentration.
Sliwa et al. reported synthesis, characterization, and biological activity of three water-soluble copper(II) complexes [Cu(NO3)(PTA=O)(dmphen)][PF6] 48, [Cu(Cl)(dmphen)2][PF6] 49, and (Cu(NO3)2(dmphen)) 50 [69] (Figure 14).
Figure 14.
Synthesis scheme and chemical structure of coordination compounds 48–50.
The cytotoxic activity of compounds 48–50 was evaluated on the normal human dermal fibroblast (NHDF), human lung carcinoma (A549), epithelioid cervix carcinoma (HeLa), colon cancer cell line of supraclavicular lymph node metastasis (LoVo), and breast cancer cell line of invasive breast ductal carcinoma (MCF-7) cell lines (Table 5). All coordination compounds were more active than cisplatin but, expectedly, showed no significant selectivity to healthy cells. The interaction of compounds 48–50 with human apo-transferrin, causing a conformational change of the protein, was also proved using fluorescence and circular dichroism spectroscopy.
Table 5.
MTT data of coordination compounds 48–50 after 72 h of incubation [69].
Milani et al. reported seven novel Cu(I) complexes 51–57 with potent antiproliferative activity for human primary glioblastoma cell line U87cells [70] (Figure 15 and Table 6).
Figure 15.
Chemical structure of coordination compounds 51–57.
Table 6.
MTT data of coordination compounds 51–57 on U87 cells after 72 h of incubation [70].
Flow cytometry was conducted for accessing the apoptosis rate of U87 cells treated with compounds 51–57 after 24 h. All the complexes, except compound 54, significantly induced apoptosis in U87 cells. The ability of compounds 51–57 to inhibit cancer cell growth by induction of cell cycle arrest was also estimated. Treatment of U87 cells with compounds 51–57 caused a marked arrest of G1, a growth phase that plays a key role in cell cycle progression and ensures that DNA is ready for synthesis. To validate the hypothesis that 51–57 triggered apoptosis in treated U87 cells by the effect on the expression level of apoptotic and anti-apoptotic genes, an RT-PCR assay was conducted. The results obtained showed an increased level of caspase-independent apoptosis genes including P53, P21, Bid, and Bax in U87 cells after treatment by all the complexes except compounds 54 and 55. The level of anti-apoptotic genes Bcl-2 and Bcl-xL was markedly inhibited in the presence of compounds 55 and 56.
The investigation of the antitumor activity of Cu(I) coordination compounds 51–57, thus, demonstrated an inhibition of cell growth, cell cycle progression, migration ability, and expression level of anti-apoptotic genes and an induced apoptosis, necrosis, and expression level of apoptotic genes in a dose- and time-dependent manner in treated U87 cells.
Kacar et al. reported coordination compound 58 based on a pyridyl-fluorobenzimidazole scaffold [71] (Figure 16).
Figure 16.
Synthesis scheme, chemical structure of coordination compound 58.
Compound 58 showed antiproliferative and apoptotic effects on NIH/3T3 normal fibroblast cells and on SPC212 mesothelioma and DU145 prostate cancer cells. The most significant IC50 values were found against DU145, i.e., 37.0, 21.1, and 10.0 mM for the 24, 48, and 72 h treatments, respectively. A dose-dependent increase of pro-apoptotic Bax protein in DU145 preincubated with coordination compound 58 was observed.
Majouga et al. reported mixed-valence Cu(II/I) copper compounds based on 2-thioimidazolones with promising antitumor activity [72] (Figure 17).
Figure 17.
Chemical structure of coordination compounds 59–63.
An MTT test on MCF-7 (breast cancer cell line of invasive breast ductal carcinoma), SiHa (human cervical cancer cells with the modal chromosome number of 71), and HEK 293 (human embryonic kidney cell line) cell lines showed promising antitumor ability of compounds 59–62 (Table 7). The ability of compound 60 to damage DNA was confirmed by tunnel assay. Compound 60 also proved to be an effective telomerase inhibitor. Nuclear accumulation of labeled coordination compound 63 was proven using fluorescent microscopy.
Table 7.
MTT data of coordination compounds 59–62 after 72 h of incubation [72].
An in vivo investigation of antitumor activity was conducted using breast adenocarcinoma Ca-755 inoculated into mice lines C57BL/6 (female). Treatment began 48 h after vaccination with compound 60 (24 and 12 mg/kg/d) injected intraperitoneally at 24-h intervals for five days. Indicators of tumor growth inhibition for mice with a course of the test substance at a dose of 12 mg/kg was 46.1% on day seven after the end of treatment and 36.1% on day 14 after the end of treatment. For a dose of 24 mg/kg, it was 73.5% on day seven after the end of treatment and 59.5% on day 14 after the end of treatment, animal’s body weight loss did not exceed 10%. Telomerase inhibitor compound 60, thus, proved to be an effective antitumor agent.
2.4. S/S-Donor Ligands
The cytotoxic activity of copper coordination compounds can occur both when a coordination compound solution is administered in vivo/in cell and when a nontoxic ligand is administered with the cytotoxic coordination compound forming in situ (this approach has already been described for elesclomol in Section 2.2). Another example of the formation of a coordination compound during therapy is disulfiram (DSF), an FDA-approved drug for treating alcoholism. In recent years, the drug has attracted much attention as an antitumor inducer of ROS formation acting in combination with copper gluconate [73]. Disulfiram alone has a negligible effect on tumor cells, but in the presence of Cu(II) ions in a nanomolar range, it is effective against a wide range of tumor cell lines, as shown in [74]. In vivo administration of folate-targeted nanoparticles with encapsulated DSF to animals with subcutaneous models of breast cancer led to a decrease in tumor growth [75]. It was repeatedly shown [76] that the cytotoxic effect of the DSF emerges as a result of in situ formation of the coordination compound Cu-DSF. But a thorough study of DSF metabolism led to the conclusion that the coordination compound Cu-DSF does not in fact exist [77]. It was found in [78] that even in an aqueous solution, DSF does not form a coordination compound with copper and in fact decomposition into diethyldithiocarbamate (DDC) occurs. The resulting diethyldithiocarbamate (DDC) reacts with Cu(II) to form copper diethyldithiocarbamate 64, Cu(DDC)2 (Figure 18).
Figure 18.
Schemes of the interaction of copper (II) with disulfiram (DSF) and the formation of a coordination compound 64.
Dithiocarbamates are a known class of copper chelating agents that exhibit significant antitumor activity in vitro against various tumor cell lines [79]. We note that the use of DSF in combination with copper gluconate is in clinical trials as a breast cancer treatment scheme [80]. Liu et al. studied the mechanism of action in detail and reported that the disulfiram/copper mixture inhibits Bcl2 and induced Bax protein expression in all GBM cell lines, induces ROS activity, activates the apoptosis JNK pathway, causes ROS-dependent activation of the JNK and p38 pathways, and inhibits NFkB and ALDH activity [81]. In a comment to Liu et al., Cvek recalled successful trials for breast cancer using diethyldithiocarbamate in 1993 [82] and called for a return to undeservedly forgotten clinical trials of this inexpensive and effective drug [83]. Accordingly, Cvek, disulfiram could be used for treating brain tumors and even other cancers.
At present, DSF/Cu antitumor activity is still of interest. Duan et al. proposed synergistic breast tumor therapy via codelivery of doxorubicin and disulfiram cell killing using pH-sensitive core-shell-corona nanoparticles [84].
In vivo antitumor efficacy was proved using 4T1 tumor-bearing mice. The tumor inhibiting rate was 34.81% for the DSF-treated group, 68.27% for the DOX-treated group, 80.92% for the DSF + DOX-treated group, and 89.27% for the Co-NPs-treated group.
Wencheng Wu published a delicate pH-sensitive Cu/DSF delivery approach based on constructing mesoporous silica nanoparticles enriched with covalent-bonded Cu2+ ions and physically bonded DSF [85]. Under mild acidic conditions of the tumor microenvironment, a rapid biodegradation of nanoparticles was assumed to occur with subsequent Cu2+ and DSF release and an instantaneous chelation reaction leading to the formation of a cytotoxic agent. This approach was successfully tested, proving its efficacy in vitro and in vivo. Treating 4T1 tumor-bearing female BALB/C nude mice with 3.75 mg/kg of DSF dose (as part of the developed formulation) led to 71.4% tumor growth inhibition after two weeks of treatment, and no significant body-weight changes was observed.
Yiqiu Li et al. reported a DSF/Cu combination to induce anti-NPC activity through a joint action of multiple apoptosis pathways, such as an increasing chloride channel-3 protein expression, inducing ROS production, and decreasing NF-KB-p65 expression [86], and inhibiting the expression of α-SMA in cancer-associated fibroblasts (CAFs) [87]. In vivo, DSF/Cu combined with cisplatin (CDDP) therapy was well tolerated and could significantly suppress the growth of nasopharyngeal (NPC) tissues [88]. McMahon et al. recently summarized all drug-delivery approaches and formulations for DSF/Cu combinations [89]. Several active clinical trials testing the anticancer efficacy of DSF against various cancers are underway, such as germ cell tumor treatment [90] and breast neoplasm female and metastatic breast cancer [80,91]. Therefore, Disulfiram is a copper-based antitumor drug with great therapeutic potential for treating malignant tumors.
Zinc pyrithione is an agent with antimicrobial activity [92]. The ligand pyrithione itself has no antiproliferative activity, but copper coordination compound 65 based on it demonstrated antitumor activity [93] (Figure 19). A study of cytotoxicity of compound 65 on breast cancer cells (MCF-7) showed significant activity of the coordination compound with IC50 = 0.375 μM. Activity was also detected in U266 multiple myeloma cells with IC50 = 0.130 µM and in HepG2 liver cells with IC50 = 0.495 µM.
Figure 19.
Chemical structure of the coordination compound 65 (CuPT).
The cytotoxic effects of compound 65 were evaluated ex vivo on bone marrow cells from patients with acute myeloid leukemia (AML) and on mononuclear cells from peripheral blood of healthy volunteers. In AML patients, (CTR) CuPT and Bortezomib, respectively, reduced the viability of primary monocyte cells with an average IC50 of 57.03 and 20.50 nM, while in an experiment with healthy cells (CTR), the average IC50 was respectively estimated at 101.08 and 74.23 nM. A 12-h incubation of AML cells with coordination compound 65 in doses ranging from 0.25 to 0.75 μM led to apoptosis, which was shown by staining with annexin V/PI by flow cytometry. Coordination compound 65, thus, showed efficacy in AML therapy as compared with clinically used Bortezomib.
2.5. N-, O-, and S-Donor Ligands
The antitumor activity of copper coordination compounds with thiosemicarbazone has been known since the 1960s. Zhang H et al. reported Cu(II) coordination compound 66 with thiosemicarbazide 8-hydroxyquinoline-2-carboxaldehyde Cu(HQTS) and 67 8-hydroxyquinoline-2-carboxaldehyde-4,4-dimethyl-3-thiosemicarbazide Cu(HQDMTS) (Figure 20) [94]. An IC50 of 0.13 μM for compound 66 and 0.64 μM for compound 67 was obtained as a result of a study on SK-N-DZ neuroblastoma cell populations.
Figure 20.
Chemical structures of the coordination compounds 66 and 67.
Hancock et al. reported simultaneous administration of a thiosemicarbazone copper-chelating agent in combination with a copper salt [95]. In situ formation of a cytotoxic coordination compound was assumed, as in the case of Disulfiram and elesclomol (Figure 21). A study of the cytotoxic effect of thiosemicarbazone ligand L68 in combination with an equimolar amount of copper chloride showed the induction of a cytotoxic effect by oxidative stress, glutathione depletion, and ROS formation.
Figure 21.
Chemical structure of organic ligand L68.
In vivo toxicological studies have shown that the administration of 100 mg/kg of ligand in 100% DMSO does not lead to a decrease in tumor mass in mice. An equimolar mixture of a ligand L68 with copper chloride in mice showed the maximum tolerated dose of 15 mg/kg, and the administration of 3 mg/kg intravenously two times a day during five days resulted in a significant (42%) decrease in tumors (human leukemia cell line HL60), with less than 20% body weight loss. An ability to deplete glutathione in the cell by the same mechanism as arsenic oxide (As2O3) was also proven. The authors suggested that a combination of ligand L68 with a copper salt can be used in conjunction with classical chemotherapeutic agents (cisplatin or Bortezomib).
Carcelli et al. reported synthesis and the cytotoxic activity of Cu(II) coordination compounds with variously substituted salicylaldehyde thiosemicarbazone ligands [96] (Figure 22). Inhibition doses in the low nanomolar range were found in some cases.
Figure 22.
Synthesis scheme and chemical structure of coordination compounds 69–74.
The in vitro activity of copper complexes on a pair of human colon cancer cell lines (LoVo/LoVo-OXP) showed anticancer activity of the coordination compounds including on the oxaliplatin-resistant human colon cancer cell line of supraclavicular lymph node metastasis cell line LoVo-OXP (Table 8).
Table 8.
MTT data of coordination compounds 69–74 after 72 h of incubation [96].
Three-dimensional MTT tests on colorectal adenocarcinoma cell line HCT-116, human pancreatic adenocarcinoma cell line PSN-1 spheroids also showed a high antiproliferative activity of coordination compounds 69–74 and a significant efficacy as compared with cisplatin (Table 9).
Table 9.
MTT on three-dimensional (3D) spheroids of HCT-15 and PSN1 cancer cell spheroids of the coordination compounds 69–74 [96].
Cellular uptake and distribution were estimated using ICP-MS. A direct correlation between cellular accumulation and cytotoxic potency was not found by comparing uptake and cytotoxicity data in LoVo human colon cancer cells. Compounds 69–71 accumulated, substantially, in the mitochondria fraction and to a lesser extent in cytosolic fractions.
To estimate if compounds 69–74 cause DNA damage, DNA fragmentation was evaluated using alkaline single-cell gel electrophoresis (comet assay), and no DNA fragmentation was observed. In addition, no glutathione depletion was observed, and an ROS evaluation confirmed that TSC complexes did not provoke a substantial increase of cellular ROS levels. Therefore, the promising antitumor activity of these coordination compounds is not associated with the redox activity of copper ions. In clarification of the mechanism of cytotoxic action, the complexes were found to inhibit the protein disulfide isomerase (PDI) enzyme. Therefore, it was hypothesized that the coordination compounds 69–74 interfere with PDI activity, possibly inhibiting its disulfide bond catalytic activity.
The in vivo antitumor activity of compound 69 was evaluated in a solid tumor model, the highly aggressive syngeneic murine Lewis lung carcinoma (LLC). Tumor growth inhibition induced by compound 69 was compared with that of cisplatin (Table 10).
Table 10.
In vivo antitumor activity of coordination compound 69 (cisplatin as a control) on Lewis lung carcinoma (LLC) tumor-bearing mice [96].
A 6 mg/kg dose of coordination compound 69 induced tumor growth inhibition of about 74%, similar to cisplatin dosed at 1.5 mg/kg, but the time course of changes in body weight indicated that cisplatin induced elevated anorexia. In contrast, treatment with compound 69 did not induce a substantial body weight loss (<10%) throughout the therapeutic experiment. Once again, these results confirm the higher biocompatibility of copper-containing anticancer drugs as compared with classical platinum therapy.
Kongot et al. developed Cu(II) coordination compound 75 based on a ligand obtained by the reaction between S-benzyldithiocarbamate and 2-hydroxy-5-(phenyldiazenyl)benzaldehyde [97] (Figure 23). The ability of compound 75 to bind to bovine serum albumin (BSA) was tested using its own fluorescence quenching method (titration of a protein solution with a solution of a coordination compound). The binding constant of coordination compound 75 calculated using the Benesi–Hildebrand equation was Ka = 0.94 × 104 M−1, which indicates a significant binding energy. The authors believe that the most probable reason for this affinity is the hydrogen bond between the amino groups of the amino acid residues of the protein and the phenolic oxygen of the ligand.
Figure 23.
Chemical structure of coordination compound 75.
The cytotoxic activity of coordination compound 75 and the corresponding ligand was studied on human cervical cancer cells HeLa. Significant cell death was achieved in the concentration range of 2–10 μM. The calculated IC50 values were 4.46 μM for coordination compound 75 and 5.34 μM for the corresponding ligand. The selectivity of the drugs obtained was evaluated by comparing the cytotoxicity of the obtained compounds on healthy human cells HEK-293, which showed a rather high cell death at a concentration of 10 μM. On the basis of the obtained data, CC50 = 6.31 μM for coordination compound 75 and 10.90 μM for the ligand were calculated. Thus, coordination compound 75 was found to be selective for healthy cells at a concentration of IC50 = 4.46 μM obtained on HeLa cell lines, which also confirmed the selectivity of the coordination compound with respect to tumor cells.
2.6. Phosphine-Donor Ligands
Cu(I) phosphine-based coordination compounds attract wide attention due to high cytotoxicity, antibacterial, and anti-inflammatory properties [98]. The use of a phosphine ligand prevents oxidation and hydrolysis reactions due to a strong copper–phosphine interaction [33], which allows stabilization of copper in a monovalent state, providing divers biological activity.
Khan et al. [99] reported nine copper Cu(I) complexes based on thiphenilphosphine and thiourea (Figure 24).
Figure 24.
Chemical structure of coordination compounds 76–84.
The synthesized compounds were utilized in different biological assays, which showed antibacterial, antifungal, antilieshmanial, antioxidant, and cytotoxic properties against brine shrimps. Compounds 79 and 81 proved to be the most active molecules against bacteria, fungi, and the lieshmanial pathogen, in addition to having an excellent antioxidant activity.
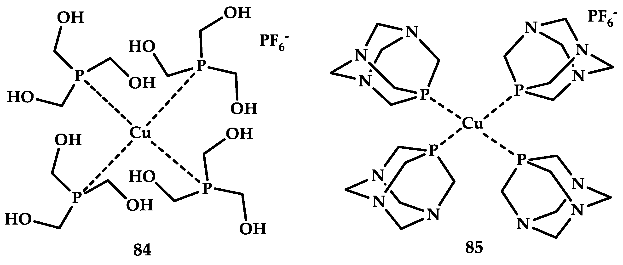
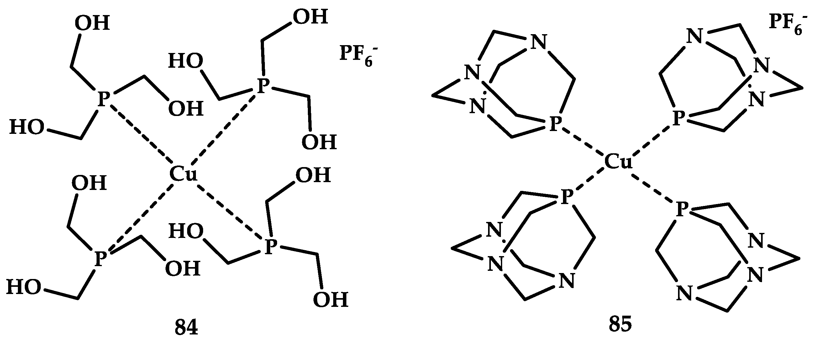
Tapanelli et al. [100] reported two water-soluble Cu(I) phosphonate complexes compounds 84 and 85, which showed activity against Plasmodium early sporogonic (Figure 25).
Figure 25.
Chemical structure of coordination compounds 84 and 85.
Coordination compound 84 with a more hydrophilic and less bulky tris(hydroxymethyl)phosphane showed inhibition of plasmodia growth at an early stage of the disease up to 85 percent, while a sterically bulk coordination compound 85 acted two to three times weaker in different replicas. At the same time, when the dose was reduced from 100 μM, the therapeutic effect disappeared completely. For similar gold and silver compounds, inhibition of parasite growth in 80–85% occurred already at concentrations of 10 μM.
Mashat et al. [101] reported four Cu(I) phenanthroline-phosphine coordination compounds 86–89 (Figure 26).
Figure 26.
Chemical structure of coordination compounds 86–89.
Coordination compounds 86–89 showed DNA intercalation ability. Strong DNA binding is provided by triphenylphosphine ligands with a substituent at the 4-position of the phenyl ring capable of forming hydrogen bonds. Coordination compounds 86–89 showed IC50 values of 25–91 μM on the MCF-7 cell line. The highest cytotoxicity was observed for compounds 87 and 89, which showed the strongest binding to DNA.
Komarnicka et al. [102] reported four novel Cu(I) complexes based on hydroxymethyldiphenylphosphine 90–93, and four mixed sparfloxacin (HSf), i.e., hydroxymethyldiphenylphosphine coordination compounds 94–97 (Figure 27).
Figure 27.
Chemical structures of Cu(I) coordination compounds based on hydroxymethyldiphenylphosphine 90–93, sparfloxacin (HSf) hydroxymethyldiphenylphosphine 94–97.
The cytotoxicity of the complexes synthesized and ligands (diimines, phosphines and phosphine oxides as potential decomposition products), starting compounds (CuNCS and CuI) was tested in vitro towards two cancer cell lines, i.e., mouse colon carcinoma (CT26) and human lung adenocarcinoma (A549). All tested complexes showed greater cytotoxicity than the corresponding ligands and copper iodide. In the case of the A549 line, dmp complexes compounds 90 and 91 ~25 mkM were twice as active as the bq complexes compounds 92 and 93 ~75 mkM. The activity against CT26 was slightly higher but was similar for both types of complexes.
It was shown that the penetration of complexes into cells proceeds quickly and an increase in the incubation time of cells with drugs from 4 h to 24 h does not lead to an increase in cytotoxicity. Sparfloxacin moiety introduction into the structure of the phosphine ligand led to a two-fold increase in toxicity on both cell lines.
3. Drug-Based Copper Coordination Compounds
The redox activity of copper cations along with their therapeutic efficacy, biogenicity, and ability to coordinate with various donor atoms opens up possibilities for synthesizing coordination compounds based on FDA-approved clinically used drugs with resultant target molecules having multiple biological effects. Copper coordination compounds based on ciprofloxacin [103], isoniazid [104], doxorubicin [105], indomethacin [106], and clioquinol [107] have been described. Coordination of copper cations with a drug molecule can change the pharmacodynamics of the drug and also enhance and complement therapeutic activity. A copper-containing gel based on indomethacin has shown increased activity as a local anti-inflammatory agent as compared with indomethacin [108]. A Cu(II) coordination compound based on indomethacin is capable of activating a copper-dependent opioid receptor and has a more effective analgesic effect than morphine with adjuvant arthritis after subcutaneous and oral administration [109].
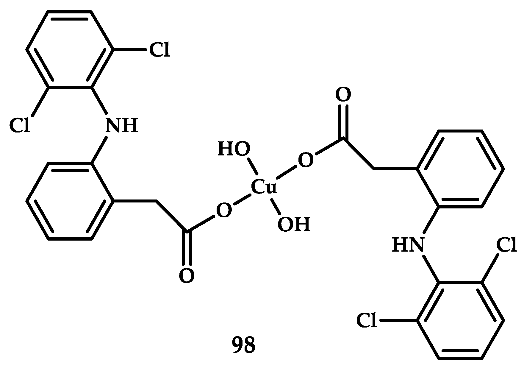
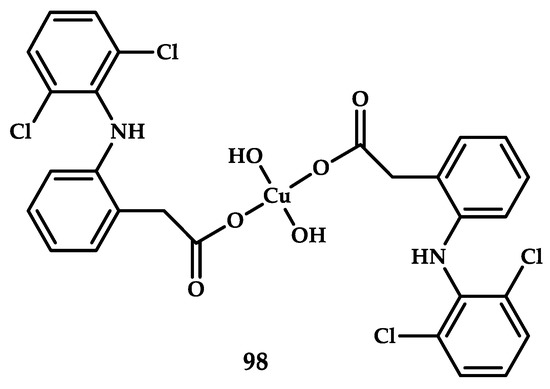
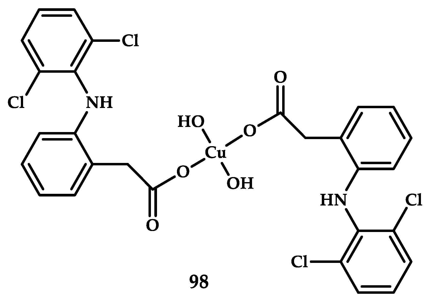
Cu(II) coordination compound 98 with the anti-inflammatory drug Diclofenac was described by [110] (Figure 28). Diclofenac is one of the first anti-inflammatory NSAIDs used in medicine. Epidemiological studies have shown that chronic inflammation predisposes patients to the development of tumor diseases and that the long-term use of non-steroidal anti-inflammatory drugs reduced the risk of developing malignant neoplasms.
Figure 28.
Chemical structure of coordination compound 98 [Cu(diclofenac)2(H2O)2] based on the NSAID Diclofenac.
The cytotoxic effect of compound 98 was evaluated using the Uptiblue test on the following four human cell lines: human dermal fibroblast (HDF), human keratinocyte cell line HaCaT, and human colon adenocarcinoma cell lines SW620 and HT29. A comparison of the cytotoxic activity of the initial Cu(II) salt, Diclofenac, and coordination compound 98 ([Cu(diclofenac)2(H2O)2]) showed that the initial compounds have no cytotoxic activity (survival on tumor cell lines does not exceed 70% at a concentration 200 μM), while coordination compound 98 exhibits cytotoxicity on human colon adenocarcinoma cell lines SW620 and HT29 with the respective IC50 of 100 and 93 μM. Compound 98 ([Cu(diclofenac)2(H2O)2]) is also the first Diclofenac-based coordination compound synthesized in a 100% aqueous medium.
Fenoprofen is a non-steroidal anti-inflammatory drug, a propionic acid derivative with anti-inflammatory, analgesic, and antipyretic effects. Gumilar et al. reported Cu(II) coordination compounds based on fenoprofen, caffeine, and DMF as coligands [111] (Figure 29). The coordination compounds Cu2(Fen)4(caf)2 (Fen-fenoprofenate anion; caf-caffeine) 95 and Cu2(Fen)2(DMF)2 96 have an analgesic effect, confirmed by studies in vitro and in vivo.
Figure 29.
Chemical structure of coordination compounds 99 and 100 based on the NSAID drug fenoprofen.
The analgetic properties of coordination compounds 99 and 100 were also of interest. The visceral analgesic action on acetic acid-induced pain of both complexes was five to seven times more potent than fenoprofen salt at the same fenoprofen dose (20 mg/kg). Moreover, both complexes showed longer onset and shorter duration of writhing than fenoprofen salt (data not shown). This indicates that compounds 99 and 100 present a strong analgesic activity for visceral pain.
Kovala-Demerzi et al. reported coordination compound 101 based on mefenamic acid ([Cu (Mef)2(H2O)]2) [112] (Figure 30). The cytotoxic activity of coordination compound 101 was tested in vitro on breast cancer cell line of invasive breast ductal carcinoma MCF-7, human bladder carcinoma cell line T24, lung cancer cell line of adenocarcinomic human alveolar basal epithelial cells A-549, and the mouse fibroblast cell line L-929. Coordination compound 101 exhibited greater cytotoxic activity as compared with the NSAID mefenamic acid (IC50 increased by two to six times). The IC50 values shown for 101 on the MCF-7 and L-929 tumor cell lines were compared with cisplatin (IC50 values were less than for cisplatin by 2.8 times for MCF-7 and 8.0 times for L-929). The coordination of mefenamic acid with copper (II) leads to the formation of an octahedral coordination compound, an increase in the cytotoxic activity of the initial ligand, and also new modes of cytotoxic action. Unfortunately, the low solubility of compound 101 prevents measuring anti-inflammatory effects in vivo.
Figure 30.
Chemical structure of coordination compound 101 based on the NSAID mefenamic acid.
Xiangchao Shi et al. developed copper (II) coordination compounds 102 and 103 based on a phenanthroline derivative and aspirin [113] (Figure 31). Compound 102 effectively induces mitochondrial dysfunction and promotes early apoptosis in ovarian cancer cells. It also inhibits the expression of cyclooxygenase-2 (COX-2), a key enzyme involved in the inflammatory response. A similar coordination compound 103 CuL without an aspirin ligand has a similar effect on cell redox homeostasis and cell cycle progression, but its cytotoxic activity is relatively low because its effect on mitochondrial function is mild and it cannot inhibit COX-2.
Figure 31.
Synthesis scheme of copper coordination compounds 102 and 103 with mixed phenanthroline and the NSAID aspirin.
The IC50 value on ovarian cancer cell line of ovarian serous cystadenocarcinoma SKOV-3, cervical cancer cell line HeLa, and human normal kidney cell line HK-2 for coordination compound 102 is 10–30% less than that of compound 103, which does not contain an aspirin fragment, and three to five times less than that of the ligand (Table 11). Coordination compound 102 was shown to have an antiproliferative effect through DNA degradation and mitochondrial dysfunction. The introduction of the aspirin moiety not only increases the antitumor efficacy of the drug but also reduces the inflammatory threat.
Table 11.
MTT data of coordination compounds 102 and 103, and the phenanthroline ligand after 72 h of incubation [113].
The COX-2 level in lipopolysaccharide-stimulated RAW macrophages was investigated on a flow cytometer after treatment with coordination compounds 102 and 103, and the anti-inflammatory potential of coordination compound 102 was confirmed.
Nitroimidazole derivatives are widely used drugs with multiple pharmacological effects such as antifungal [114], antibacterial [115], and cytotoxic [116]. They also represent a class of hypoxia indicators that have been investigated for hypoxia-selective cytotoxicity and radiosensitization of hypoxic cells [117]. The effectiveness of these molecules depends on the generation of a nitroradical anion by intracellular reduction, which makes 5-nitroimidazoles suitable for penetration into cells by passive diffusion, creating a favorable concentration gradient. Once inside the cell, the nitroradical anion interacts with DNA and destroys the double helix. Cu(II) coordination compounds 104 and 105 and Cu(I) coordination compounds 106 and 107 with ligands based on 5-nitroimidazole were synthesized in [118] (Figure 32).
Figure 32.
L104 and L105 ligand synthesis scheme and the chemical structures of coordination compounds 104–107 based on the antifungal drug Metronidazole.
MTT tests on oxaliplatin-resistant and non-resistant human colon cancer cell line of supraclavicular lymph node metastasis LoVo-OXP and LoVo of compounds 104–107 showed a significant increase of antiproliferative activity of Cu(II) compounds 104 and 105 and Cu(I) compounds 106 and 107 as compared with ligands in monolayer cultures of various lines of human tumor cells. Water-soluble Cu(I) coordination compound 106 showed higher cytotoxicity as compared with Cu(II) coordination compound 104 (Table 12). The data obtained indicates that water-soluble Cu(I) coordination compounds have a better cellular accumulation than the Cu(II) analogues. This hypothesis was tested using AAS, and intracellular accumulation of coordination compound 106 (R = H) was shown to be better than the Cu(II) analogue.
Table 12.
MTT data of coordination compounds 104–107 after 72 h of incubation [118].
Nitroimidazole derivatives are a promising platform for developing biologically active coordination compounds, and water-soluble Cu(I) coordination compounds capable of high cellular accumulation are a promising alternative to the classical Cu(II) coordination compounds, showing a significant improvement of the cytotoxic potency.
The 8-hydroxyquinoline (8-HQ) derivatives comprise a class of antifungal or antimicrobial agents. Developing Cu(II) coordination compounds with ligands based on oxyquinolones opens up opportunities for designing agents with multiple biological activity. Tardito et al. reported a halogenated clioquinol (CQ), which is an analogue of 8-HQ, and copper coordination compounds 108–115 based on it [119] (Figure 33). MTT data for coordination compounds 108–115 on cervical cancer cell line HeLa and human prostate cancer cell line PC3 are given in Table 13.
Figure 33.
Estimated chemical structures of coordination compounds 108–115.
Table 13.
The structures of coordination compounds 108–115 based on 8-HQ and their cytotoxic activity data [119].
A structure–activity relationship (SAR) study was conducted. Cellular accumulation of the drug can occur via active transport, as suggested by the hCTR1 copper transporter for cisplatin [120], or by passive diffusion through the plasma membrane, in which case the drug should be endowed with appropriate lipophilicity to pass through the cell membrane and reach a sufficient intracellular concentration. An excessively lipophilic compound accumulates in the membrane, while greater hydrophilicity prevents interaction with the lipid bilayer. Of the studied derivatives, coordination compounds based on the most hydrophilic ligands L108 and L109 (5-SO3-8-HQ and 5-SO3-7-I-8-HQ) do not exhibit cytotoxic activity, while ligands of the most active coordination compounds are ligands with intermediate lipophilicity, namely, ligands L110 to L112 (8-HQ, 5,7-Me-8-HQ, and 5-Cl-8-HQ).
Coordination compounds 110 and 114 (Cu-CQ and Cu-8-HQ) were shown to inhibit the proteasome activity. MTT tests showed that coordination compound 114 (Cu-CQ) is at least 10 times more cytotoxic than ligand L114 administered separately when tested for 48 h on HeLa cell lines (IC50 = 8.9 μM for coordination compound 114 and 93 μM for the ligand) and PC3 cell lines (IC50 = 9.0 μM for coordination compound 114 and >100 μM for the ligand).
Shah et al. demonstrated significant antibacterial activity of compound 114 (Cu-CQ) and its strong gain by copper ions [121]. The antibacterial activity of compound 110 was confirmed using Mtb-infected macrophages in the presence or absence of 7.5 μM CuSO4.
Copper coordination compounds based on 8-hydroxyquinolines exhibit both cytotoxic and antibacterial properties. The molecular design allows varying their lipophilicity and cellular accumulation. The results obtained together with the promising data obtained for elesclomol L13 [38] confirm the promising use of copper coordination compounds in treating bacterial pneumonia caused by Mtb. The therapy certainly owes its success to the redox activity of copper cations. Both therapeutic regimens involving separate uses of copper and a ligand and in situ drug formation open up great opportunities for developing formulations, including those that are selective for healthy tissues.
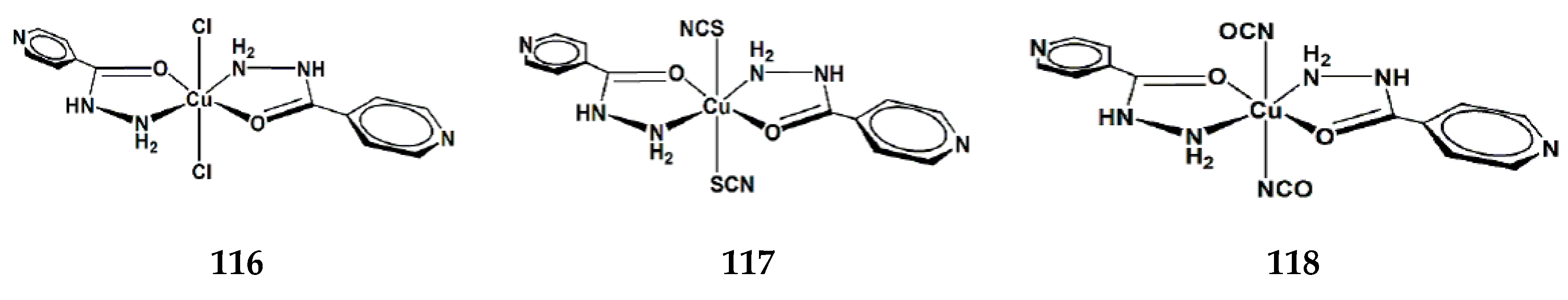
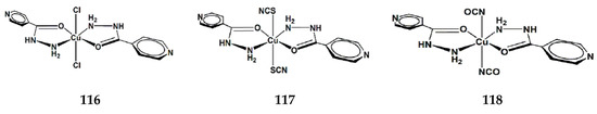
Silva et al. reported a nanostructured lipid system for low-soluble isoniazid-based copper complexes compounds 116 ([CuCl2(INH)2]·H2O, 117 [Cu(NCS)2(INH)2]·5H2O, and 118 [Cu(NCO)2(INH)2]·4H2O with antimycobacterial activity (Figure 34). The nano-sized drug delivery systems increased their antimycobacterial activity, decreased cytotoxicity against the Vero cell line, and consequently improved the selectivity index [122].
Figure 34.
Chemical structures of coordination compounds 116–118 based on the antituberculosis drug isoniazid.
A recent study on the cyto-genotoxicity of Cu(II) compounds 116–118 with INH was conducted by Fregonezi et al. and also concluding that the compounds show no cytotoxicity in therapeutic doses [123].
4. Natural Product-Based Copper Coordination Compounds
Natural products (NPs) have attracted lots of attention as biological active ligands for copper coordination compounds, due to the fact that nearly 60% of clinically approved anticancer drugs are associated with NPs. Advances of metal complexes with natural product-like compounds have been recently summarized by Heras et al. [124], herein a few examples of those design.
Fei et al. [125] reported two copper (II) complexes, compounds 119 and 120, based on dehydroabietic acid (DHA), the main component of traditional Chinese medicine rosin (Figure 35).
Figure 35.
Synthesis scheme and chemical structure of coordination compounds 119 and 120 based on the dehydroabietic acid.
The ability of compounds 119 and 120 to interact with calf thymus DNA (CT DNA) via intercalation, as well as albumin binding ability has been proven by various physicochemical methods. MTT assay illustrates that the selective cytotoxic activity of compound 119 was better than that of ligand L119, compound 120, cisplatin, and oxaliplatin. The exposure of compound 119 to MCF-7 cells resulted in cell cycle arrest in G1 phase, apoptosis, mitochondrial dysfunction, and elevated ROS level, also compound 119 proved to induce apoptosis through intrinsic and extrinsic pathways, autophagy, and DNA damage in MCF-7 cells. Compound 119 is assumed to have the ability to resist metastasis and angiogenesis due to downregulation of VEGFR2, MMP-2, and MMP-9 expression levels in tumor cells.
Chen et al. [7] reported a coordination compound of copper 121 based on Hinokitiol, a natural monoterpenoid (Figure 36). A coordination compound was formed in situ while using equimolar mixtures of L121 and CuSO4, as was previously described for Disulfiram, elesclomol and thiosemicarbazone ligand L68.
Figure 36.
Chemical structure of Hinokitiol L121.
Ligand L121 in the presence of CuSO4 induces striking accumulation of ubiquitinated proteins in A549 and K562 cells, which means that it is capable of inhibiting the activity of the 19S proteasomal DUBs much more effectively than it does the chymotrypsin-like activity of the 20S proteasome. Coordination compound 121 effectively induces caspase-independent and paraptosis-like cell death in A549 and K562 cells, and the resulted cell death has been proven to depend on ATF4-assosiated ER stress but not ROS generation.
5. Conclusions
Copper-containing coordination compounds are a promising class of drugs with multiple therapeutic effects from antitumor to anti-inflammatory activity. This review summarizes the successful use of copper coordination compounds as antitumor, antimalarial, antituberculosis, antifungal, and anti-inflammatory drugs.
An antitumor activity of copper coordination compounds was repeatedly proven in vivo. Imidazolin-4-one based coordination compound 60 showed 73.5% of breast adenocarcinoma Ca-755 growth inhibition in seven days of treatment with a 24 mg/kg dose; animal’s body weight loss did not exceed 10%. Thiosemicarbazone-based ligand L68 + CuCl2 showed 42% of monocytic leukemia HL60 growth inhibition in five days of treatment with a 3 mg/kg dose, with less than 20% body weight loss. The DSF/Cu nanoparticle delivery system showed 71.4% of breast cancer 4T1 growth inhibition after two weeks of treatment with a 3.75 mg/kg of DSF dose, and there were no significant body-weight changes observed. Thiosemicarbazone-based coordination compound 69 showed 74% of Lewis lung carcinoma (LLC) tumor growth inhibition in seven days of treatment with a 6 mg/kg dose, weight loss body weight loss did not exceed 10%.
Regarding the mechanism of antitumor activity, the vast majority of coordination compounds act through the ROS formation (1, 2, L13 + Cu, 42, 43, 45–47, Disulfiram-based coordination compound 64, L68 + Cu, 119), glutation depletion (45–47, L68 + Cu, 69–74), proteasome inhibition (7, 8, 110, 114, L121 + Cu), DNA degradation (1, 2, 11, 60, 102, 119), DNA intercalation (1, 2, 3–5, L13 + Cu, 86–89, 119, 120), apoptosis induction (1, 2, 65, 102, 119), and cell cycle arrest (51–57, 103, 119). Despite the fact that most coordination compounds of copper exhibit ROS-mediated cytotoxicity, examples of coordination compounds acting by other mechanisms are also described. Thus, the cytotoxic activity of coordination compounds 42, 43, 69–74, L121 + Cu is not associated with ROS formation and does not decrease under the influence of ROS inhibitors.
Redox-active drugs proved to be an effective supplement in addition to antituberculous drugs, or even being an independent therapy. Thus, elesclomol-based copper coordination compound 13, Cu-CQ–based coordination compound 114, and isoniazid-based coordination compounds 116–118 showed promising activity against Mycobacterium tuberculosis. Phosphine-based coordination compounds 79 and 81 showed a promising activity against bacteria, fungi, and the lieshmanial pathogen. In addition, 1,10-phenanthroline–based coordination compounds 32–39 showed higher antibiofilm activity than the clinically used Vancomycin, which is also associated with redox activity of copper cations.
The ability of copper coordination compounds to penetrate through the blood-brain barrier along with their stability in the bloodstream allows development of 64Cu-marked PET-imagine agents. Thiosemicarbazone-based coordination compounds 23–30 are Aβ-targeted PET-visualizers of Alzheimer’s disease showed the ability to rapidly crossing the blood-brain barrier, as well as good brain uptake and Aβ plaques affinity. In addition, CuATSM coordination compounds are hypoxia-sensitive PET-visualizers of malignant neoplasms, including head and neck cancer. Cu(II/I) redox potential was repeatedly proven to govern the hypoxia selectivity of CuATSM coordination compounds.
Anti-inflammatory properties of coper-containing coordination compounds are interesting due to the possibility of twin antitumor/anti-inflammatory drug development. Thus, aspirin-based coordination compound 102 showed COX-2 inhibition due to aspirin moiety, whereas coordination compounds 45–47 showed analgesic properties themselves.
It is also worth noting that using both a ligand and a copper salt is as effective as using a coordination compound. Copper-containing coordination compounds of disulfiram metabolite are always formed in situ, and the same approach has been successfully applied in vitro and in vivo to a number of compounds, such as L13 + Cu, L68 + Cu, L108–L113 + Cu, and L121 + Cu.
The redox activity of copper ions along with the their biogenicity, the stability of copper coordination compounds in the bloodstream, and the highly promising therapeutic results in vitro and in vivo prove the potential of copper coordination compounds to become widely used in clinical practice.
Funding
This research was funded by Ministry of Education and Science of the Russian Federation implemented by a governmental decree dated 16 March 2013, no. 211, The Russian Science Foundation, grant number 19-74-10059” and Russian Foundation for Basic Research, grant number 19-29-08007.
Acknowledgments
We acknowledge the financial support from the Ministry of Education and Science of the Russian Federation in the framework of the Increase Competitiveness Program of NUST ‘‘MISIS” implemented by a governmental decree dated 16 March 2013, no. 211. (Introduction and Conclusions). The Russian Science Foundation supported the section “Drug-based copper coordination compounds” (grant no. 19-74-10059), and the Russian Foundation for Basic Research supported the section “Copper coordination compounds based on ligands with various donor atoms” (grant no. 19-29-08007).
Conflicts of Interest
The authors declare no conflict of interest.
References
- Dömötör, O.; de Almeida, R.F.M.; Côrte-Real, L.; Matos, C.P.; Marques, F.; Matos, A.; Real, C.; Kiss, T.; Enyedy, É.A.; Garcia, M.H.; et al. Studies on the mechanism of action of antitumor bis(aminophenolate) ruthenium (III) complexes. J. Inorg. Biochem. 2017, 168, 27–37. [Google Scholar] [CrossRef] [PubMed][Green Version]
- Dabrowiak, J.C. Metals in Medicine; Wiley: Hoboken, NJ, USA, 2009; pp. 49–249. [Google Scholar]
- Volarevic, V.; Djokovic, B.; Jankovic, M.G.; Harrell, C.R.; Fellabaum, C.; Djonov, V.; Arsenijevic, N. Molecular mechanisms of cisplatin-induced nephrotoxicity: A balance on the knife edge between renoprotection and tumor toxicity. J. Biomed. Sci. 2019, 26, 1–14. [Google Scholar] [CrossRef] [PubMed]
- McWhinney, S.R.; Goldberg, R.M.; McLeod, H.L. Platinum Neurotoxicity Pharmacogenetics. Mol. Cancer Ther. 2009, 8, 10–16. [Google Scholar] [CrossRef] [PubMed]
- Wheate, N.J.; Walker, S.; Craig, G.E.; Oun, R. The Status of Platinum Anticancer Drugs in the Clinic and in Clinical Trials. Dalton Trans. 2010, 39, 8113–8127. [Google Scholar] [CrossRef]
- Gaál, A.; Orgován, G.; Mihucz, V.G.; Pape, I.; Ingerle, D.; Streli, C.; Szoboszlai, N.J. Metal Transport Capabilities of Anticancer Copper Chelators. Trace Elem. Med. Biol. 2018, 47, 79–88. [Google Scholar]
- Xin, C.; Xiao, Z.; Jinghong, C.; Qianqi, Y.; Li, Y. Hinokitiol copper complex inhibits proteasomal deubiquitination and induces paraptosis-like cell death in human cancer cells. Eur. J. Pharmacol. 2017, 815, 147–155. [Google Scholar]
- Zeeshan, M.; Murugadas, A.; Ghaskadbi, S.; Rajendran, R.B.; Akbarsha, M.A. ROS dependent copper toxicity in Hydra-biochemical and molecular study. Comp. Biochem. Physiol. C Toxicol. Pharmacol. 2016, 185, 1–12. [Google Scholar] [CrossRef]
- Qin, Q.-P.; Meng, T.; Tan, M.-X.; Liu, Y.-C.; Luo, X.-J.; Zou, B.-Q.; Liang, H. Synthesis, crystal structure and biological evaluation of a new dasatinib copper(II) complex as telomerase inhibitor. Eur. J. Med. Chem. 2018, 143, 1597–1603. [Google Scholar] [CrossRef] [PubMed]
- Hernandes, M.S.; Britto, L.R. NADPH oxidase and neurodegeneration. Curr. Neuropharmacol. 2012, 10, 321–327. [Google Scholar] [CrossRef]
- Fatfat, M.; Merhi, R.A.; Rahal, O.; Stoyanovsky, D.A.; Zaki, A.; Haidar, H.; Kagan, V.E.; Gali-Muhtasib, H.; Machaca, K. Copper Chelation Selectively Kills Colon Cancer Cells through Redox Cycling and Generation of Reactive Oxygen Species. BMC Cancer. 2014, 14, 527. [Google Scholar] [CrossRef]
- Kremer, M.L. Mechanism of the Fenton reaction. Evidence for a new intermediate. Phys. Chem. Chem. Phys. 1999, 1, 3595–3605. [Google Scholar] [CrossRef]
- Sangeetha, S.; Murali, M. Non-covalent DNA binding, protein interaction, DNA cleavage and cytotoxicity of [Cu(quamol)Cl]·H2O. Int. J. Biol. Macromol. 2018, 107, 2501–2511. [Google Scholar] [CrossRef] [PubMed]
- Martinez-Bulit, P.; Garza-Ortíz, A.; Mijangos, E.; Barrón-Sosa, L.; Sánchez-Bartéz, F.; Gracia-Mora, I.; Flores-Parra, A.; Contreras, R.; Reedijk, J.; Barba-Behrens, N. 2,6-Bis(2,6-diethylphenyliminomethyl)pyridine coordination compounds with cobalt(II), nickel(II), copper(II), and zinc(II): Synthesis, spectroscopic characterization, X-ray study and in vitro cytotoxicity. J. Inorg. Biochem. 2015, 142, 1–7. [Google Scholar] [CrossRef]
- Fengyi, Z.; Weifan, W.; Wen, L.; Li, X.; Shilong, Y.; Xu-Min, C.; Mengyi, Z.; Meng, L.; Mengtao, M.; Hai-Jun, X.; et al. High anticancer potency on tumor cells of dehydroabietylamine Schiff-base derivatives and a copper(II) complex. Eur. J. Med. Chem. 2018, 146, 451–459. [Google Scholar]
- Chudal, L.; Pandey, N.K.; Phan, J.; Johnson, O.; Lin, L.; Yu, H.; Shu, Y.; Huang, Z.; Xing, M.; Liu, J.P.; et al. Copper-Cysteamine Nanoparticles as a Heterogeneous Fenton-Like Catalyst for Highly Selective Cancer Treatment. ACS Appl. Bio Mater. 2020, 3, 1804–1814. [Google Scholar] [CrossRef]
- Lebon, F.; Boggetto, N.; Ledecq, M.; Durant, F.; Benatallah, Z.; Sicsic, S.; Lapouyade, R.; Kahn, O.; Mouithys-Mickalad, A.; Deby-Dupont, G.; et al. Metal-Organic Compounds: A New Approach for Drug Discovery: N1-(4-Methyl-2-Pyridyl)-2,3,6-Trimethoxybenzamide Copper(II) Complex as an Inhibitor of Human Immunodeficiency Virus 1 Protease. Biochem. Pharmacol. 2002, 63, 1863–1873. [Google Scholar] [CrossRef]
- Roch-Arveiller, M.; Huy, D.P.; Maman, L.; Giroud, J.-P.; Sorenson, J.R.J. Non-Steroidal Anti-Inflammatory Drug-Copper Complex Modulation of Polymorphonuclear Leukocyte Migration. Biochem. Pharmacol. 1990, 39, 569–574. [Google Scholar] [CrossRef]
- Stanila, A.; Braicu, C.; Stanila, S.; Pop, R.M. Antibacterial Activity of Copper and Cobalt Amino Acids Complexes. Not. Bot. Horti Agrobot. Cluj-Na. 2011, 39, 124–129. [Google Scholar] [CrossRef]
- Weder, J.E.; Hambley, T.W.; Kennedy, B.J.; Lay, P.A.; MacLachlan, D.; Bramley, R.; Delfs, C.D.; Murray, K.S.; Moubaraki, B.; Warwick, B.; et al. Anti-Inflammatory Dinuclear Copper(II) Complexes with Indomethacin. Synthesis, Magnetism and EPR Spectroscopy. Crystal Structure of the N,N-Dimethylformamide Adduct. Inorg. Chem. 1999, 38, 1736–1744. [Google Scholar] [CrossRef]
- Liao, Y.; Zhao, J.; Bulek, K.; Tang, F.; Chen, X.; Cai, G.; Jia, S.; Fox, P.; Huang, E.; Pizarro, T.; et al. Inflammation mobilizes copper metabolism to promote colon tumorigenesis via an IL-17-STEAP4-XIAP axis. Nat. Commun. 2020, 11, 900. [Google Scholar] [CrossRef]
- Chen, K.T.J.; Anantha, M.; Leung, A.W.Y.; Kulkarni, J.A.; Militao, G.G.C.; Wehbe, M.; Sutherland, B.; Cullis, P.R.; Bally, M.B. Characterization of a liposom al copper(II)-quercetin formulation suitable for parenteral use. Drug Delivery Transl. Res. 2020, 10, 202–215. [Google Scholar] [CrossRef] [PubMed]
- Liu, X.; Chu, H.; Cui, N.; Wang, T.; Dong, S.; Cui, S.; Dai, Y.; Wang, D. In vitro and in vivo evaluation of biotin-mediated PEGylated nanostructured lipid as carrier of disulfiram coupled with copper ion. J. Drug Delivery Sci. Technol. 2019, 51, 651–661. [Google Scholar] [CrossRef]
- Pellei, M.; Bagnarelli, L.; Luciani, L.; Del Bello, F.; Giorgioni, G.; Piergentili, A.; Quaglia, W.; De Franco, M.; Gandin, V.; Marzano, C.; et al. Synthesis and Cytotoxic Activity Evaluation of New Cu(I) Complexes of Bis(pyrazol-1-yl) Acetate Ligands Functionalized with an NMDA Receptor Antagonist. Int. J. Mol. Sci. 2020, 21, 2616. [Google Scholar] [CrossRef] [PubMed]
- Takjoo, R.; Centore, R.; Hayatolgheibi, S. Mixed ligand complexes of cadmium(II) and copper(II) dithiocarbazate: Synthesis, spectral characterization, X-ray crystal structure. Inorg. Chim. Acta. 2018, 471, 587–594. [Google Scholar] [CrossRef]
- Khan, M.H.; Cai, M.; Deng, J.; Yu, P.; Liang, H.; Yang, F. Anticancer Function and ROS-Mediated Multi-Targeting Anticancer Mechanisms of Copper (II) 2-hydroxy-1-naphthaldehyde Complexes. Molecules 2019, 24, 2544. [Google Scholar] [CrossRef]
- Sabithakala, T.; Chittireddy, V.R.R. DNA Binding and in vitro anticancer activity of 2-((1H-benzimidazol-2-yl)methylamino)acetic acid and its copper(II) mixed-polypyridyl complexes: Synthesis and crystal structure. Appl. Organomet. Chem. 2018, 32, 4550. [Google Scholar] [CrossRef]
- Denoyer, D.; Clatworthy, S.A.S.; Cater, M.A. Copper Complexes in Cancer Therapy. Metallo-Drugs Dev. Action Anticancer Agents 2018, 16, 469–506. [Google Scholar]
- Wang, Z.; Tan, J.; McConville, C.; Kannappan, V.; Tawari, P.; Brown, J.; Ding, J.; Armesilla, A.; Irache, J.; Mei, Q.; et al. Poly lactic-co-glycolic acid controlled delivery of disulfiram to target liver cancer stem-like cells. Nanomed. Nanotechnol. Biol. Med. 2017, 13, 641–657. [Google Scholar]
- Banerjee, P.; Geng, T.; Mahanty, A.; Li, T.; Zong, L.; Wang, B. Integrating the drug, disulfiram into the vitamin E-TPGS-modified PEGylated nanostructured lipid carriers to synergize its repurposing for anti-cancer therapy of solid tumors. Int J. Pharm. 2019, 557, 374–389. [Google Scholar] [CrossRef] [PubMed]
- Tabti, R.; Tounsi, N.; Gaiddon, C.; Bentouhami, E.; Désaubry, L. Progress in Copper Complexes as Anticancer Agents. Med. Chem. 2017, 7, 1–55. [Google Scholar] [CrossRef]
- Wehbe, M.; Leung, A.W.Y.; Abrams, M.J.; Orvig, C.; Bally, M.B. A Perspective – can copper complexes be developed as a novel class of therapeutics? Dalton Trans. 2017, 46, 10758–10773. [Google Scholar] [CrossRef] [PubMed]
- Santini, C.; Pellei, M.; Gandin, V.; Porchia, M.; Tisato, F.; Marzano, C. Advances in Copper Complexes as Anticancer Agents. Chem. Rev. 2014, 114, 815–862. [Google Scholar] [CrossRef] [PubMed]
- Ching Ong, Y.; Roy, S.; Andrews, P.; Gasser, G. Metal Compounds against Neglected Tropical Diseases. Chem. Rev. 2019, 119, 730–796. [Google Scholar] [CrossRef] [PubMed]
- Ruiz-Azuara, L.; Bastian, G.; Bravo-Gómez, M.E.; Cañas, R.C.; Flores-Alamo, M.; Fuentes, I.; Mejia, C.; García-Ramos, J.; Serrano, A. Abstract CT408: Phase I study of one mixed chelates copper(II) compound, Casiopeína CasIIIia with antitumor activity and its mechanism of action. AACR. Cancer Res. 2014, 74 (Suppl. 19). [Google Scholar] [CrossRef]
- Galindo-Murillo, R.; Garcia-Ramos, J.C.; Ruiz-Azuara, L.; Cheatham, T.E.; Cortes-Guzman, F. Intercalation processes of copper complexes in DNA. Nucleic Acids Res. 2015, 43, 5364–5376. [Google Scholar] [CrossRef]
- Rufino-González, Y.; Ponce-Macotela, M.; García-Ramos, J.C.; Martínez-Gordillo, M.N.; Galindo-Murillo, R.; González-Maciel, A.; Reynoso-Robles, R.; Tovar-Tovar, A.; Flores-Alamo, M.; Toledano-Magaña, Y.; et al. Antigiardiasic activity of Cu(II) coordination compounds: Redox imbalance and membrane damage after a short exposure time. J. Inorg. Biochem. 2019, 195, 83–90. [Google Scholar] [CrossRef]
- Anda-Jáuregui, G.; Espinal-Enríquez, J.; Hur, J.; Alcalá-Corona, S.A.; Ruiz-Azuara, L.; Hernández-Lemus, E. Identification of Casiopeina II-gly secondary targets through a systems pharmacology approach. Comput. Biol. Chem. 2019, 78, 127–132. [Google Scholar] [CrossRef]
- Shoair, A.F.; El-Bindary, A.A.; El-Ghamaz, N.A.; Rezk, G.N. Synthesis, characterization, DNA binding and antitumor activities of Cu(II) complexes. J. Mol. Liq. 2018, 269, 619–638. [Google Scholar] [CrossRef]
- Mo, Q.; Deng, J.; Liu, Y.; Huang, G.; Li, Z.; Yu, P.; Gou, Y.; Yang, F. Mixed-ligand Cu(II) hydrazone complexes designed to enhance anticancer activity. Eur. J. Med. Chem. 2018, 156, 368–380. [Google Scholar] [CrossRef]
- Anu, D.; Naveen, P.; Vijaya, P.B.; Frampton, C.S.; Kaveri, M.V. An unexpected mixed valence tetranuclear Copper (I/II) Complex: Synthesis, Structural Characterization, DNA/Protein Binding, Antioxidant and Anticancer Properties. Polyhedron. 2019, 167, 137–150. [Google Scholar] [CrossRef]
- Synta and GlaxoSmithKline Announce Elesclomol Granted Orphan Drug Designation by the FDA. Available online: https://ir.madrigalpharma.com/news-releases/news-release-details/synta-and-glaxosmithkline-announce-elesclomol-granted-orphan (accessed on 28 January 2008).
- Hedley, D.; Shamas-Din, A.; Chow, S.; Sanfelice, D.; Schuh, A.C.; Brandwein, J.M.; Seftel, M.D.; Gupta, V.; Yee, K.W.L.; Schimmer, A.D. A phase I study of elesclomol sodium in patients with acute myeloid leukemia. Leuk. Leuk. Lymphoma. 2016, 57, 2437–2440. [Google Scholar] [CrossRef] [PubMed]
- Vincent, G.; Fayewicz, S.L.; Bateman, N.W.; Hood, B.L.; Sun, M.; Suhan, J.; Duensing, S.; Yin, Y.; Sander, C.; Kirkwood, J.M.; et al. Mitochondrial respiration-an important therapeutic target in melanoma. PLoS ONE. 2012, 7, 40690. [Google Scholar]
- Gorshkov, K.; Sima, N.; Sun, W.; Lu, B.; Huang, W.; Travers, J.; Klumpp-Thomas, C.; Michael, S.G.; Xu, T.; Huang, R. Quantitative Chemotherapeutic Profiling of Gynecologic Cancer Cell Lines Using Approved Drugs and Bioactive Compounds. Transl. Oncol. 2019, 12, 441–452. [Google Scholar] [CrossRef]
- Haynes, R.K.; Cheu, K.-W.; Chan, H.-W.; Wong, H.-N.; Li, K.-Y.; Tang, M.M.-K.; Chen, M.-J.; Guo, Z.-F.; Guo, Z.-H.; Sinniah, K. Interactions between Artemisinins and other Antimalarial Drugs in Relation to the Cofactor Model—A Unifying Proposal for Drug Action. Chem. Med. Chem. 2012, 7, 2204–2226. [Google Scholar] [CrossRef]
- Rathore, S.; Datta, G.; Kaur, I.; Malhotra, P.; Mohmmed, A. Disruption of cellular homeostasis induces organelle stress and triggers apoptosis like cell-death pathways in malaria parasite. Cell Death Dis. 2015, 6, 1803. [Google Scholar] [CrossRef]
- Ngwane, A.H.; Petersen, R.D.; Baker, B.; Wiid, I.; Wong, H.N.; Haynes, R.K. The evaluation of the anti-cancer drug elesclomol that forms a redox-active copper chelate as a potential anti-tubercular drug. IUBMB Life. 2019, 71, 532–538. [Google Scholar] [CrossRef]
- Paul, D.B.; Simon, R.B.; Mark, B.M.; Helen, M.B.; Jason, S.L.; Jonathan, R.D. Nitroimidazole conjugates of bis (thiosemicarbazonato) 64Cu (II) – Potential combination agents for the PET imaging of hypoxia. J. Inorg. Biochem. 2010, 104, 126–135. [Google Scholar]
- Maurer, R.I.; Blower, P.J.; Dilworth, J.R.; Reynolds, C.A.; Zheng, Y.; Mullen, G.E.D. Studies on the Mechanism of Hypoxic Selectivity in Copper Bis(Thiosemicarbazone) Radiopharmaceuticals. J. Med. Chem. 2002, 45, 1420–1431. [Google Scholar] [CrossRef]
- Basu, S.; Zhuang, H.; Torigian, D.A.; Rosenbaum, J.; Chen, W.; Alavi, A. Functional imaging of inflammatory diseases using nuclear medicine techniques. Semin. Nucl. Med. 2009, 39, 124–145. [Google Scholar] [CrossRef]
- Colombié, M.; Gouard, S.; Frindel, M.; Vidal, A.; Chérel, M.; Kraeber-Bodéré, F.; Rousseau, C.; Bourgeois, M. Focus on the Controversial Aspects of (64) Cu-ATSM in Tumoral Hypoxia Mapping by PET Imaging. Front. Med. 2015, 2, 58. [Google Scholar] [CrossRef]
- Clinicaltrials.gov. Phase 1 Dose Escalation and PK Study of Cu(II)ATSM in ALS/MND. NCT02870634.
- Anjum, R.; Palanimuthu, D.; Kalinowski, D.S.; Lewis, W.; Park, K.C.; Kovacevic, Z.; Khan, I.U.; Richardson, D.R. Synthesis, Characterization, and in Vitro Anticancer Activity of Copper and Zinc Bis(Thiosemicarbazone) complexes. Inorg. Chem. 2019, 58, 13709–13723. [Google Scholar] [CrossRef] [PubMed]
- Hardy, J.A.; Higgins, G.A. Alzheimer’s disease: The amyloid cascade hypothesis. Science. 1992, 256, 184–185. [Google Scholar] [CrossRef] [PubMed]
- Kung, H.F.; Choi, S.R.; Qu, W.; Zhang, W.; Skovronsky, D. 18F Stilbenes and Styrylpyridines for PET Imaging of Aβ Plaques in Alzheimer’s Disease: A Miniperspective. J. Med. Chem. 2010, 53, 933–941. [Google Scholar] [CrossRef]
- Clark, C.M.; Pontecorvo, M.J.; Beach, T.G.; Bedell, B.J.; Coleman, R.E.; Doraiswamy, P.M.; Fleisher, A.S.; Reiman, E.M.; Sabbagh, M.N.; Sadowsky, C.H.; et al. Cerebral PET with florbetapir compared with neuropathology at autopsy for detection of neuritic amyloid-β plaques: A prospective cohort study. Lancet Neurol. 2012, 11, 669–678. [Google Scholar] [CrossRef]
- Bagheri, S.; Squitti, R.; Haertlé, T.; Siotto, M.; Saboury, A.A. Role of Copper in the Onset of Alzheimer’s Disease Compared to Other Metals. Front. Aging. Neurosci. 2018, 9, 446. [Google Scholar] [CrossRef] [PubMed]
- Kim, A.C.; Lim, S.; Kim, Y.K. Metal Ion Effects on Aβ and Tau Aggregation. Int. J. Mol. Sci. 2018, 19, 128. [Google Scholar] [CrossRef]
- Lim, S.C.; Paterson, B.M.; Fodero-Tavoletti, M.T.; O’Keefe, G.J.; Cappai, R.; Barnham, K.J.; Villemagne, V.L.; Donnelly, P.S. A copperradiopharmaceutical for diagnostic imaging of Alzheimer’s disease: A bis(thiosemicarbazonato)copper(ii) complex that binds to amyloid-β plaques. Chem. Commun. 2010, 46, 5437–5439. [Google Scholar] [CrossRef]
- Hickey, J.L.; Lim, S.C.; Hayne, D.J.; Paterson, B.M.; White, J.M.; Villemagne, V.L.; Roselt, P.; Binns, D.; Cullinane, C.; Jeffery, C.M.; et al. Diagnostic Imaging Agents for Alzheimer’s Disease: Copper Radiopharmaceuticals that Target Aβ Plaques. J. Am. Chem. Soc. 2013, 135, 16120–16132. [Google Scholar] [CrossRef]
- McInnes, L.E.; Noor, A.; Kysenius, K.; Cullinane, C.; Roselt, P.; McLean, C.A.; Chiu, F.C.K.; Powell, A.K.; Crouch, P.J.; White, J.M.; et al. Potential Diagnostic Imaging of Alzheimer’s Disease with Copper-64 Complexes That Bind to Amyloid-β Plaques. Inorg. Chem. 2019, 5, 3382–3395. [Google Scholar] [CrossRef]
- Gokhale, N.H.; Padhye, S.B.; Billington, D.C.; Rathbone, D.L.; Croft, S.L.; Kendrick, H.D.; Anson, C.E.; Powell, A.K. Synthesis and characterization of copper(II) complexes of pyridine-2-carboxamidrazones as potent antimalarial agents. Inorg. Chim. Acta. 2003, 349, 23–29. [Google Scholar] [CrossRef]
- Beeton, M.L.; Aldrich-Wright, J.R.; Bolhuis, A. The antimicrobial and antibiofilm activities of copper (II) complexes. J. Inorg. Biochem. 2014, 140, 167–172. [Google Scholar] [CrossRef] [PubMed]
- Newton, G.L.; Rawat, M.; La Clair, J.J.; Jothivasan, V.K.; Budiarto, T.; Hamilton, C.J.; Claiborne, A.; Helmann, J.D.; Fahey, R.C. Bacillithiol is an antioxidant thiol produced in Bacilli. Nat. Chem. Biol. 2009, 5, 625–627. [Google Scholar] [CrossRef] [PubMed]
- Brandão, P.; Guieu, S.; Correia-Branco, A.; Silva, C.; Martel, F. Development of novel Cu(I) compounds with vitamin B1 derivative and their potential application as anticancer drugs. Inorg. Chim. Acta. 2019, 487, 287–294. [Google Scholar] [CrossRef]
- Krasnovskaya, O.O.; Fedorov, Y.V.; Gerasimov, V.M.; Skvortsov, D.A.; Moiseeva, A.A.; Mironov, A.V.; Beloglazkina, E.K.; Zyk, N.V.; Majouga, A.G. Novel 2-aminoimidazole-4-one complexes of copper(ii) and cobalt(ii): Synthesis, structural characterization and cytotoxicity. Arab. J. Chem. 2019, 12, 835–846. [Google Scholar] [CrossRef]
- Hussain, A.; AlAjmi, M.F.; Rehman, M.T.; Amir, S.; Husain, F.M.; Alsalme, A.; Siddiqui, M.A.; AlKhedhairy, A.A.; Khan, R.A. Copper(II) complexes as potential anticancer and Nonsteroidal anti-inflammatory agents: In vitro and in vivo studies. Sci. Rep. 2019, 9, 5237. [Google Scholar] [CrossRef]
- Śliwa, E.I.; Śliwińska-Hill, U.; Bażanów, B.; Siczek, M.; Kłak, J.; Smoleński, P. Synthesis, Structural, and Cytotoxic Properties of New Water-Soluble Copper(II) Complexes Based on 2,9-Dimethyl-1,10-Phenanthroline and Their One Derivative Containing 1,3,5-Triaza-7-Phosphaadamantane-7-Oxide. Molecules 2020, 25, 741. [Google Scholar]
- Milani, N.C.; Maghsoud, Y.; Hosseini, M.; Babaei, A.; Rahmani, H.; Roe, S.M.; Gholivand, K. A new class of copper(I) complexes with imine-containing chelators which show potent anticancer activity. Appl. Organometal. Chem. 2020, 34, 5526. [Google Scholar]
- Kacar, S.; Unver, H.; Sahinturk, V. A mononuclear copper(II) complex containing benzimidazole and pyridyl ligands: Synthesis, characterization, and antiproliferative activity against human cancer cells. Arabian J. Chem. 2020, 13, 4310–4323. [Google Scholar] [CrossRef]
- Majouga, A.G.; Zvereva, M.I.; Rubtsova, M.P.; Skvortsov, D.A.; Mironov, A.V.; Azhibek, D.M.; Krasnovskaya, O.O. Mixed Valence Copper(I,II) Binuclear Complexes with Unexpected Structure: Synthesis, Biological Properties and Anticancer Activity. J. Med. Chem. 2014, 14, 6252–6258. [Google Scholar] [CrossRef]
- Hald, J.; Jacobsen, E. A Drug Sensitizing the Organism to Ethyl Alcohol. Lancet. 1948, 252, 1001–1004. [Google Scholar] [CrossRef]
- Tawari, P.E.; Wang, Z.; Najlah, M.; Tsang, C.W.; Kannappan, V.; Liu, P.; McConville, C.; He, B.; Armesilla, A.L.; Wang, W. The Cytotoxic Mechanisms of Disulfiram and Copper(II) in Cancer Cells. Toxicol. Res. 2015, 4, 1439–1442. [Google Scholar] [CrossRef]
- Fasehee, H.; Dinarvand, R.; Ghavamzadeh, A.; Esfandyari-Manesh, M.; Moradian, H.; Faghihi, S.; Ghaffari, S.H. Delivery of Disulfiram into Breast Cancer Cells Using Folate-Receptor-Targeted Plga-Peg Nanoparticles: In Vitro and in Vivo Investigations. J. Nanobiotechnol. 2016, 14, 32. [Google Scholar] [CrossRef] [PubMed]
- Sedlacek, J.; Martins, L.M.D.R.S.; Danek, P.; Pombeiro, A.J.L.; Cvek, B. Diethyldithiocarbamate Complexes with Metals Used as Food Supplements Show Different Effects in Cancer Cells. J. Appl. Biomed. 2014, 12, 301–308. [Google Scholar] [CrossRef]
- Wu, X.; Xue, X.; Wang, L.; Wang, W.; Han, J.; Sun, X.; Zhang, H.; Liu, Y.; Che, X.; Yang, J.; et al. Suppressing autophagy enhances disulfiram/copper-induced apoptosis in non-small cell. Eur. J. Pharmacol. 2018, 827, 1–12. [Google Scholar] [CrossRef] [PubMed]
- Lewis, D.J.; Deshmukh, P.; Tedstone, A.A.; Tuna, F.; O’Brien, P. On the Interaction of Copper(II) with Disulfiram. Chem. Commun. 2014, 50, 13334–13337. [Google Scholar] [CrossRef] [PubMed]
- Wang, F.; Jiao, P.; Qi, M.; Frezza, M.; Dou, Q.P.; Yan, B. Turning Tumor-Promoting Copper into an Anti-Cancer Weapon Via High-Throughput Chemistry. Curr. Med. Chem. 2010, 17, 2685–2698. [Google Scholar] [CrossRef]
- Phase II Trial of Disulfiram With Copper in Metastatic Breast Cancer (DISC). The Institute of Molecular and Translational Medicine, Czech Republic. Clinicaltrials.gov Identifier: NCT03323346.
- Liu, P.; Brown, S.; Goktug, T.; Channathodiyil, P.; Kannappan, V.; Hugnot, J.-P.; Guichet, P.-O.; Bian, X.; Armesilla, A.L.; Darling, J.L.; et al. Cytotoxic effect of disulfiram/copper on human glioblastoma cell lines and ALDH-positive cancer-stem-like cells. Br. J. Cancer 2012, 107, 1488–1497. [Google Scholar] [CrossRef]
- Cvek, B. Comment on ‘Cytotoxic effect of disulfiram/copper on human glioblastoma cell lines and ALDH-positive cancer-stem-like cells’. Br. J. Cancer. 2013, 108, 993. [Google Scholar] [CrossRef]
- Dufour, P.; Lang, J.M.; Giron, C.; Duclos, B.; Haehnel, P.; Jaeck, D.; Jung, J.M.; Oberling, F. Sodium ditiocarb as adjuvant immunotherapy for high risk breast cancer: A randomized study. Biotherapy 1993, 6, 9–12. [Google Scholar] [CrossRef]
- Tao, X.; Gou, J.; Zhang, Q.; Tan, X.; Ren, T.; Yao, Q.; Tian, B.; Kou, L.; Zhang, L.; Tang, X. Synergistic breast tumor cell killing achieved by intracellular co-delivery of doxorubicin and disulfiram via core-shell-corona nanoparticles. Biomater. Sci. 2018, 6, 1869–1881. [Google Scholar] [CrossRef]
- Wu, W.; Yu, L.; Jiang, Q.; Huo, M.; Lin, H.; Wang, L.; Chen, Y.; Shi, J. Enhanced Tumor-Specific Disulfiram Chemotherapy by In Situ Cu2+ Chelation-Initiated Nontoxicity-to-Toxicity Transition. J. Am. Chem. Soc. 2019, 29, 11531–11539. [Google Scholar] [CrossRef] [PubMed]
- Xu, X.; Xu, J.; Zhao, C.; Hou, X.; Li, M.; Wang, L.; Chen, L.; Chen, Y.; Zhu, L.; Yang, H. Antitumor effects of disulfiram/copper complex in the poorly-differentiated nasopharyngeal carcinoma cells via activating ClC-3 chloride channel. Biomed. Pharmacother. 2019, 120, 109529. [Google Scholar] [CrossRef] [PubMed]
- Yaping, Y.; Mengjia, L.; Xiaoxue, S.; Congran, Z.; Yawei, W.; Liwei, W.; Lixin, C.; Zhihong, L.; Linyan, Z.; Haifeng, Y. The selective cytotoxicity of DSF-Cu attributes to the biomechanical properties and cytoskeleton rearrangements in the normal and cancerous nasopharyngeal epithelial cells. Int. J. Biochem. Cell Biol. 2017, 84, 96–108. [Google Scholar]
- Li, Y.; Chen, F.; Chen, J.; Chan, S.; He, Y.; Liu, W.; Zhang, G. Disulfiram/Copper Induces Antitumor Activity against Both Nasopharyngeal Cancer Cells and Cancer-Associated Fibroblasts through ROS/MAPK and Ferroptosis Pathways. Cancers 2020, 12, 138. [Google Scholar] [CrossRef]
- McMahon, A.; Chen, W.; Li, F. Old wine in new bottles: Advanced drug delivery systems for disulfiram-based cancer therapy. J. Control Release 2020, 319, 352–359. [Google Scholar] [CrossRef]
- Phase II Study of Disulfiram and Cisplatin in Refractory TGCTs. National Cancer Institute, Slovakia. ClinicalTrials.gov Identifier: NCT03950830.
- Phase II Study of Vinorelbine, Cisplatin, Disulfiram and Copper in CTC_EMT Positive Refractory Metastatic Breast Cancer. National Cancer Institute, Slovakia. ClinicalTrials.gov Identifier: NCT04265274.
- Blanchard, C.; Brooks, L.; Ebsworth-Mojica, K.; Didione, L.; Wucher, B.; Dewhurst, S.; Krysan, D.; Dunman, P.M.; Wozniak, R.A.F. Zinc Pyrithione Improves the Antibacterial Activity of Silver Sulfadiazine Ointment. mSphere 2016, 5, 00194-16. [Google Scholar] [CrossRef]
- Liu, N.N.; Liu, C.J.; Li, X.F.; Liao, S.Y.; Song, W.B.; Yang, C.S.; Zhao, C.; Huang, H.B.; Guan, L.X.; Zhang, P.Q.; et al. A Novel Proteasome Inhibitor Suppresses Tumor Growth Via Targeting Both 19s Proteasome Deubiquitinases and 20s Proteolytic Peptidases. Sci. Rep. 2014, 4, 5240. [Google Scholar] [CrossRef] [PubMed]
- Zhang, H.; Thomas, R.; Oupicky, D.; Peng, F. Synthesis and characterization of new copper thiosemicarbazone complexes with an ONNS quadridentate system: Cell growth inhibition, S-phase cell cycle arrest and proapoptotic activities on cisplatin-resistant neuroblastoma cells. J. Biol. Inorg. Chem. 2008, 13, 47–55. [Google Scholar] [CrossRef]
- Hancock, C.N.; Stockwin, L.H.; Han, B.; Divelbiss, R.D. A copper chelate of thiosemicarbazone NSC 689534 induces oxidative/ER stress and inhibits tumor growth in vitro and in vivo. Free Radical Biol. Med. 2011, 50, 110–121. [Google Scholar] [CrossRef]
- Carcelli, M.; Tegoni, M.; Bartoli, J.; Marzano, C.; Pelosi, G.; Salvalaio, M.; Rogolino, D.; Gandin, V. In vitro and in vivo anticancer activity of tridentate thiosemicarbazone copper complexes: Unravelling an unexplored pharmacological target. Eur. J. Med. Chem. 2020, 194, 112266. [Google Scholar] [CrossRef]
- Kongot, M.; Reddy, D.; Singh, V.; Patel, R.; Singhal, N.K.; Kumar, A. Potent drug candidature of an ONS donor tethered copper (II) complex: Anticancer activity, cytotoxicity and spectroscopically approached BSA binding studies. Spectrochim. Acta Part A 2019, 212, 330–342. [Google Scholar] [CrossRef] [PubMed]
- Balakrishna, M.S. Copper(I) Chemistry of Phosph ines, Functionalized Phosphines and Phosphorus Heterocycles; Elsevier: Amsterdam, The Netherlands, 2019; pp. 1–442. [Google Scholar]
- Khan, S.I.; Ahmad, S.; Altaf, A.A.; Rauf, M.K.; Badshah, A.; Azam, S.S.; Tahir, M.N. Heteroleptic copper(I) halides with triphenylphosphine and acetylthiourea: Synthesis, characterization and biological studies (experimental and molecular docking). New J. Chem. 2019, 43, 19318–19330. [Google Scholar] [CrossRef]
- Tapanelli, S.; Habluetzel, A.; Pellei, M.; Marchiò, L.; Tombesi, A.; Capparè, A.; Santini, C. Novel metalloantimalarials: Transmission blocking effects of water soluble Cu(I), Ag(I) and Au(I) phosphane complexes on the murine malaria parasite Plasmodium berghei. J. Inorg. Biochem. 2017, 166, 1–4. [Google Scholar] [CrossRef] [PubMed]
- Komarnicka, U.K.; Starosta, R.; Kyziołb, A.; Jeżowska-Bojczuk, M. Copper(I) complexes with phosphine derived from sparfloxacin. Part I – structures, spectroscopic properties and cytotoxicity. Dalton Trans. 2015, 44, 12688–12699. [Google Scholar] [CrossRef] [PubMed]
- Mashat, K.H.; Babgi, B.A.; Hussien, M.A.; Arshad, M.N.; Abdellattif, M.H. Synthesis, structures, DNA-binding and anticancer activities of some copper(I)-phosphine complexes. Polyhedron 2019, 158, 164–172. [Google Scholar] [CrossRef]
- Wallis, S.C.; Gahan, L.R.; Charles, B.G.; Hambley, T.W.; Duckworth, P.A. Copper(II) Complexes of the Fluoroquinolone Antimicrobial Ciprofloxacin. Synthesis, X-Ray Structural Characterization, and Potentiometric Study. J. Inorg. Biochem. 1996, 62, 1–16. [Google Scholar] [CrossRef]
- Hanson, J.C.; Camerman, N.; Camerman, A. Structure of a Copper-Isoniazid Complex. J. Med. Chem. 1981, 24, 1369–1371. [Google Scholar] [CrossRef]
- Bottari, B.; Maccari, R.; Monforte, F.; Ottana, R.; Rotondo, E.; Vigorita, M.G. Isoniazid Related Copper(II) and Nickel(II) Complexes with Antimycobacterial in Vitro Activity. Bioorg. Med. Chem. Lett. 2000, 10, 657–660. [Google Scholar] [CrossRef]
- Sukul, A.; Poddar, S.K.; Haque, S.; Kumar, S.; Das, S.; Mahmud, Z.; Rahman, A. Synthesis, Characterization and Comparison of Local Analgesic, Anti-Inflammatory, Anti-Ulcerogenic Activity of Copper and Zinc Complexes of Indomethacin. Anti-Inflamm. Anti-Allergy Agents Med. Chem. 2017, 15, 221–233. [Google Scholar] [CrossRef]
- Di Vaira, M.; Bazzicalupi, C.; Orioli, P.; Messori, L.; Bruni, B.; Zatta, P. Clioquinol, a Drug for Alzheimer’s Disease Specifically Interfering with Brain Metal Metabolism: Structural Characterization of Its Zinc(II) and Copper(II) Complexes. Inorg. Chem. 2004, 43, 3795–3797. [Google Scholar] [CrossRef]
- Yassin, N.Z.; El-Shenawy, S.M.; Abdel-Rahman, R.F.; Yakoot, M.; Hassan, M.; Helmy, S. Effect of a Topical Copper Indomethacin Gel on Inflammatory Parameters in a Rat Model of Osteoarthritis. Drug Des. Devel. Ther. 2015, 9, 1491–1498. [Google Scholar] [PubMed]
- Okuyama, S.; Hashimoto, S.; Aihara, H.; Willingham, W.M.; Sorenson, J.R. Copper Complexes of Non-Steroidal Antiinflammatory Agents: Analgesic Activity and Possible Opioid Receptor Activation. Agents Actions. 1987, 21, 130–144. [Google Scholar] [CrossRef] [PubMed]
- Sayen, S.; Carlier, A.; Tarpin, M.; Guillon, E. A Novel Copper(II) Mononuclear Complex with the Non-Steroidal Anti-Inflammatory Drug Diclofenac: Structural Characterization and Biological Activity. J. Inorg. Biochem. 2013, 120, 39–43. [Google Scholar] [CrossRef] [PubMed]
- Gumilar, F.; Agotegaray, M.; Bras, C.; Gandini, N.A.; Minetti, A.; Quinzani, O. Anti Nociceptive Activity and Toxicity Evaluation of Cu(II)-Fenoprofenate Complexes in Mice. Eur. J. Pharmacol. 2012, 675, 32–39. [Google Scholar] [CrossRef]
- Kovala-Demertzi, D.; Hadjipavlou-Litina, D.; Staninska, M.; Primikiri, A.; Kotoglou, C.; Demertzis, M.A. Anti-oxidant, in vitro, in vivo anti-inflammatory activity and antiproliferative activity of mefenamic acid and its metal complexes with manganese(II), cobalt(II), nickel(II), copper(II) and zinc(II). J. Enzyme Inhib. Med. Chem. 2009, 24, 742–752. [Google Scholar] [CrossRef]
- Shi, X.; Fang, H.; Guo, Y.; Yuan, H.; Guo, Z.; Wang, X. Anticancer copper complex with nucleus, mitochondrion and cyclooxygenase-2 as multiple targets. J. Inorg. Biochem. 2019, 190, 38–44. [Google Scholar] [CrossRef]
- Olender, D.; Żwawiak, J.; Lukianchuk, V.; Lesyk, R.; Kropacz, A.; Fojutowski, A.; Zaprutko, L. Synthesis of some N-substituted nitroimidazole derivatives as potential antioxidant and antifungal agents. Eur. J. Med. Chem. 2009, 44, 645–652. [Google Scholar] [CrossRef]
- Varshney, V.; Mishra, N.N.; Shukla, P.K.; Sahu, D.P. Synthesis of nitroimidazole derived oxazolidinones as antibacterial agents. Eur. J. Med. Chem. 2010, 45, 661–666. [Google Scholar] [CrossRef]
- Mushtaque, M.; Avecilla, F.; Haque, A.; Yab, Z.; Rizvi, M.M.A.; Khan, M.S. Synthesis, structural and biological activity of N-substituted 2-methyl-4-/5-nitroimidazole derivatives. J. Mol. Struct. 2019, 1185, 440–449. [Google Scholar] [CrossRef]
- Ding, W.Q.; Liu, B.L.; Vaught, J.L.; Yamauchi, H.; Lind, S.E. Anticancer Activity of the Antibiotic Clioquinol. Cancer Res. 2005, 65, 3389–3395. [Google Scholar] [CrossRef]
- Pellei, M.; Gandin, V.; Cimarelli, C.; Quaglia, W.; Mosca, N.; Bagnarelli, L.; Marzano, C.; Santini, C. Syntheses and biological studies of nitroimidazole conjugated heteroscorpionate ligands and related Cu(I) and Cu(II) complexes. J. Inorg. Biochem. 2018, 187, 33–40. [Google Scholar] [CrossRef] [PubMed]
- Tardito, S.; Barilli, A.; Bassanetti, I.; Tegoni, M.; Bussolati, O.; Franchi-Gazzola, R.; Mucchino, C.; Marchiò, L. Copper-Dependent Cytotoxicity of 8-Hydroxyquinoline Derivatives Correlates with Their Hydrophobicity and Does Not Require Caspase Activation. J. Med. Chem. 2012, 55, 10448–10459. [Google Scholar] [CrossRef] [PubMed]
- Harrison, M.D.; Jones, C.E.; Solioz, M.; Dameron, C.T. Intracellular Copper Routing: The Role of Copper Chaperones. Trends Biochem. Sci. 2000, 25, 29–32. [Google Scholar] [CrossRef]
- Shah, S.; Dalecki, A.G.; Malalasekera, A.P.; Crawford, C.L.; Michalek, S.M.; Kutsch, O.; Sun, J.; Bossmann, S.H.; Wolschendorf, F. 8-Hydroxyquinolines Are Boosting Agents of Copper-Related Toxicity in Mycobacterium Tuberculosis. Antimicrob. Agents Chemother. 2016, 60, 5765–5776. [Google Scholar] [CrossRef] [PubMed]
- Silva, P.B.; Souza, P.C.; Calixto, G.M.F.; Lopes, E.D.O.; Frem, R.C.G.; Netto, A.V.G.; Mauro, A.E.; Pavan, F.R.; Chorilli, M. In Vitro Activity of Copper(II) Complexes, Loaded or Unloaded into a Nanostructured Lipid System, against Mycobacterium tuberculosis. Int. J. Mol. Sci. 2016, 17, 745. [Google Scholar] [CrossRef]
- Fregonezi, N.F.; de Souza, F.A.; Aleixo, N.A.; da Silva Gomes, P.S.; Silvestre, R.B.; De Grandis, A.; da Silva, P.B.; Pavan, F.R.; Chorilli, M.; Resende, F.A. Cyto-genotoxic evaluation of novel anti-tubercular copper (II) complexes containing isoniazid-based ligands. Regul. Toxicol. Pharmacol. 2020, 113, 104653. [Google Scholar] [CrossRef]
- Heras, B.L.; Amesty, Á.; Estévez-Braun, A.; Hortelano, S. Metal Complexes of Natural Product Like-compounds with Antitumor Activity. Anti-Cancer Agents Med. Chem. 2019, 19, 48–65. [Google Scholar] [CrossRef]
- Fei, B.-L.; Tu, S.; Wei, Z.; Wang, P.; Long, J.-Y.; Qiao, C.; Chen, Z.-F. Biological evaluation of optically pure chiral binuclear copper(II) complexes based on a rosin derivative as highly potential anticancer agents. Dalton Trans. 2019, 48, 15646–15656. [Google Scholar] [CrossRef]
© 2020 by the authors. Licensee MDPI, Basel, Switzerland. This article is an open access article distributed under the terms and conditions of the Creative Commons Attribution (CC BY) license (http://creativecommons.org/licenses/by/4.0/).











































