Comparative Analysis of Transcriptomes to Identify Genes Associated with Fruit Size in the Early Stage of Fruit Development in Pyrus pyrifolia
Abstract
1. Introduction
2. Results
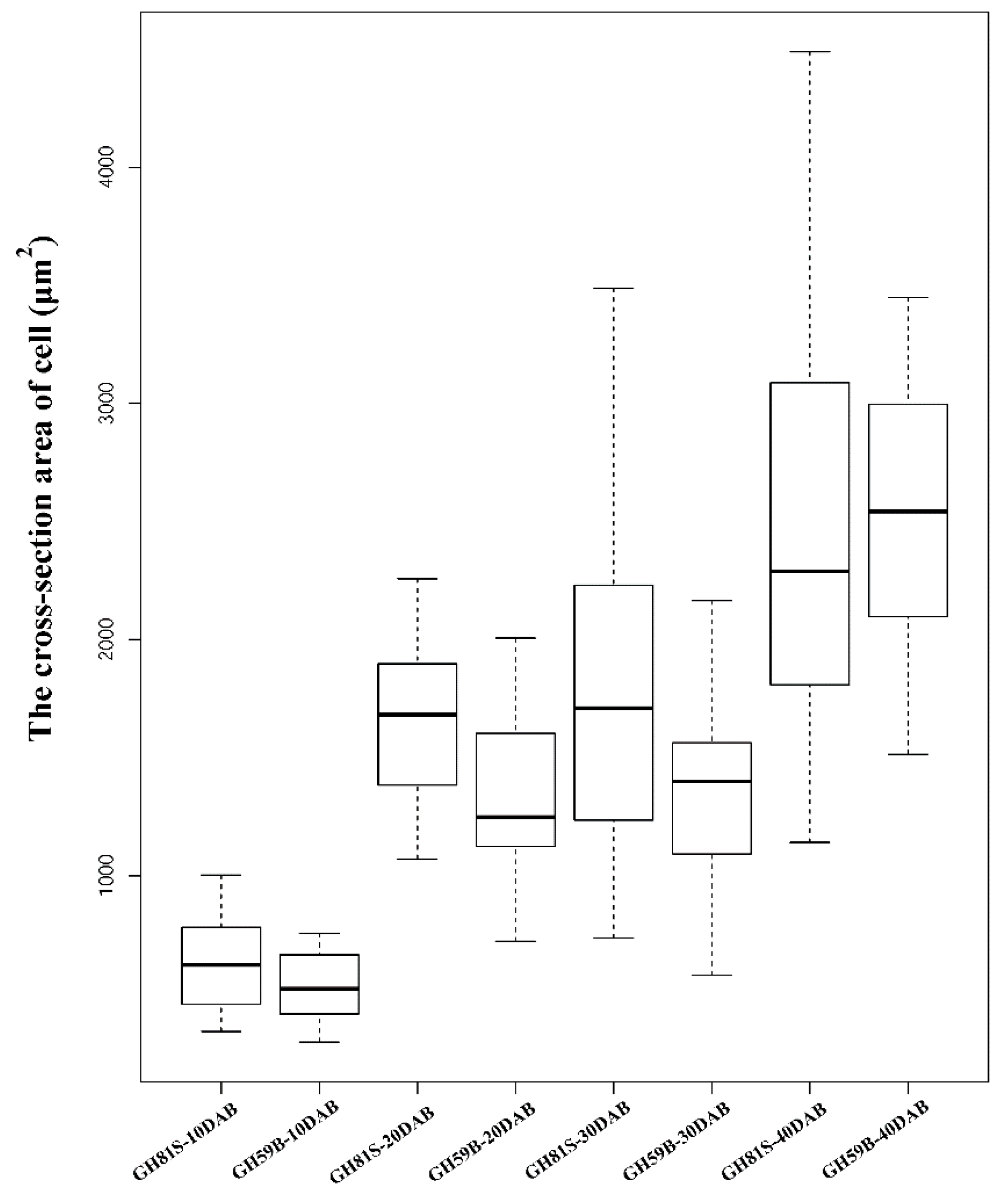
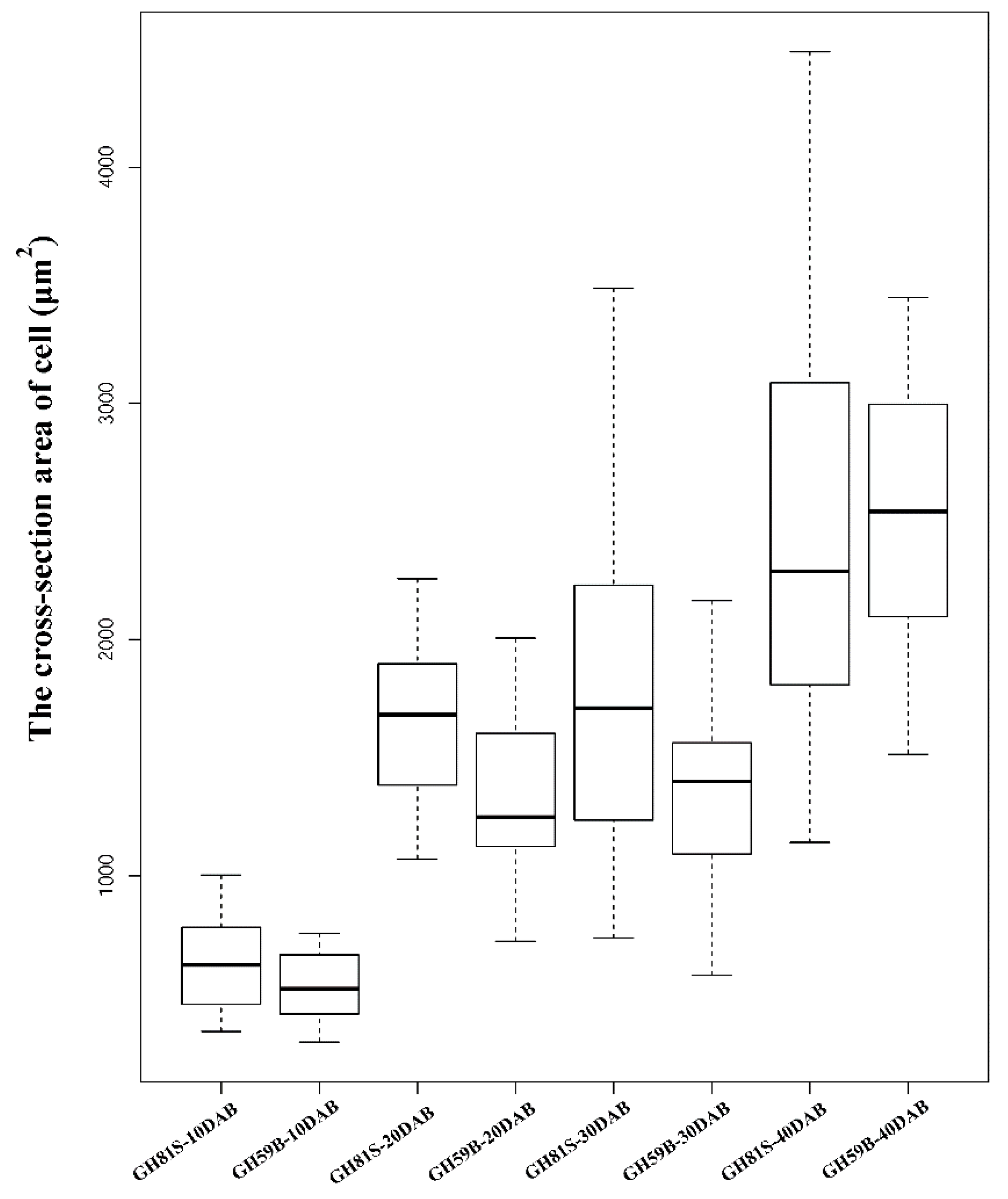
2.1. The Fruit Weight and Histological Sections of ‘GH59B’ and ‘GH81S’ in Forty Days after Blossom
2.2. Library Construction, Sequencing and Differentially Expressed Genes (DEGs) Identified Using RNA-Seq
2.3. DEGs Involved in the KEGG Pathways Related to Zeatin and Gibberellin
2.4. The Annotation of Structural Genes Related to Fruit Development
2.5. The DEGs Related to Transcription Factors
2.6. Protein Protein Interaction (PPI) Network Analysis
3. Discussion
4. Material and Methods
4.1. Plant Materials
4.2. Histological Sections of Young Fruit
4.3. RNA Extraction and RNA-Seq
4.4. Identification of Differentially Expressed Genes (DEGs)
4.5. Expression Analysis of Quantitative Real-Time PCR
Supplementary Materials
Author Contributions
Funding
Acknowledgments
Conflicts of Interest
References
- Hampson, C.; Bedford, K. Efficacy of blossom thinning treatments to reduce fruit set and increase fruit size of Ambrosia and Aurora Golden Gala apples. Can. J. Plant Sci. 2015, 91, 983–990. [Google Scholar] [CrossRef]
- Oosthuyse, S.A. Spray application of KNO3, low biuret urea and growth regulators and hormones during and after flowering on fruit retention, fruit size and yield of mango. Acta Hortic. 2015, 135–142. [Google Scholar] [CrossRef]
- Canli, F.A.; Pektas, M. Improving fruit size and quality of low yielding and small fruited pear cultivars with benzyladenine and gibberellin applications. Eur. J. Hortic. Sci. 2015, 80, 103–108. [Google Scholar] [CrossRef]
- Flaishman, M.A.; Shargal, A.; Shlizerman, L.; Levyadun, S.; Stern, R.A.; Grafi, G. Synthetic cytokinins cppu and tdz prolong the phase of cell division in developing pear (Pyrus communis L.) fruit. Acta Hortic. 2005, 671, 151–157. [Google Scholar] [CrossRef]
- Goffinet, M.C.; Robinson, T.L.; Lakso, A.N. A comparison of ‘Empire’ apple fruit size and anatomy in unthinned and hand-thinned trees. J. Pomol. Hortic. Sci. 1995, 70, 375–387. [Google Scholar] [CrossRef]
- Higashi, K.; Hosoya, K.; Ezura, H. Histological analysis of fruit development between two melon (Cucumis melo l. reticulatus) genotypes setting a different size of fruit. J. Exp. Bot. 1999, 50, 1593–1597. [Google Scholar] [CrossRef]
- Olmstead, J.W.; Iezzoni, A.F.; Whiting, M.D. Genetic differences in sweet cherry fruit size are determined by cell number and not cell size. Hortscience 2005, 40, 1008. [Google Scholar]
- Harada, T.; Kurahashi, W.; Yanai, M.; Wakasa, Y.; Satoh, T. Involvement of cell proliferation and cell enlargement in increasing the fruit size of malus, species. Sci. Hortic. 2005, 105, 447–456. [Google Scholar] [CrossRef]
- Malladi, A.; Hirst, P.M. Increase in fruit size of a spontaneous mutant of ‘Gala’ apple (Malus × domestica Borkh.) is facilitated by altered cell production and enhanced cell size. J. Exp. Bot. 2010, 61, 3003–3013. [Google Scholar] [CrossRef] [PubMed]
- Denne, M. The growth of apple fruitlets and the effect of early thinning on fruit development. Ann. Bot. 1960, 24, 397–406. [Google Scholar] [CrossRef]
- Zhang, C.; Tanabe, K.; Wang, S.; Tamura, F.; Yoshida, A.; Matsumoto, K. The impact of cell division and cell enlargement on the evolution of fruit size in Pyrus pyrifolia. Ann. Bot. 2006, 98, 537–543. [Google Scholar] [CrossRef] [PubMed]
- Azzi, L.; Deluche, C.; Gevaudant, F.; Frangne, N.; Delmas, F.; Hernould, M.; Chevalier, C. Fruit growth-related genes in tomato. J. Exp. Bot. 2015, 66, 1075–1086. [Google Scholar] [CrossRef] [PubMed]
- Tanksley, S.D. The genetic, developmental and molecular bases of fruit size and shape variation in tomato. Plant Cell 2004, 16 (Suppl. 1), S181–S189. [Google Scholar] [CrossRef] [PubMed]
- Frary, A.; Nesbitt, T.C.; Frary, A.; Grandillo, S.; van de Knaap, E.; Cong, B.; Liu, J.; Meller, J.; Elber, R.; Alpert, K.; et al. Cloning and transgenic expression of fw2.2: A quantitative trait locus key to the evolution of tomato fruit. Science 2000, 289, 85–88. [Google Scholar] [CrossRef] [PubMed]
- Cong, B.; Liu, J.; Tanksley, S.D. Natural alleles at a tomato fruit size quantitative trait locus differ by heterochronic regulatory mutations. Proc. Natl. Acad. Sci. USA 2002, 99, 13606–13611. [Google Scholar] [CrossRef] [PubMed]
- Cong, B.; Barrero, L.; Tanksley, S. Regulatory change in YABBYlike transcription factor led to evolution of extreme fruit size during tomato domestication. Nat. Genet. 2008, 40, 800–804. [Google Scholar] [CrossRef] [PubMed]
- Martí, C.; Orzáez, D.; Ellul, P.; Moreno, V.; Carbonell, J.; Granell, A. Silencing of DELLA induces facultative parthenocarpy in tomato fruits. Plant J. 2007, 52, 865–876. [Google Scholar] [CrossRef] [PubMed]
- Lenhard, M. Growing up to one’s standard. Curr. Opin. Plant Biol. 2007, 10, 63–69. [Google Scholar]
- Krizek, B.A. Making bigger plants: Key regulators of final organ size. Curr. Opin. Plant Biol. 2009, 12, 17–22. [Google Scholar] [CrossRef] [PubMed]
- Mizukami, Y.; Fischer, R.L. Plant organ size control: Aintegumenta regulates growth and cell numbers during organogenesis. Proc. Natl. Acad. Sci. USA 2000, 97, 942–947. [Google Scholar] [CrossRef] [PubMed]
- Hu, Y.; Xie, Q.; Chua, N.H. The Arabidopsis auxin-inducible gene ARGOS controls lateral organ size. Plant Cell 2003, 15, 1951–1961. [Google Scholar] [CrossRef] [PubMed]
- Anastasiou, E.; Kenz, S.; Gerstung, M.; MacLean, D.; Timmer, J.; Fleck, C.; Lenhard, M. Control of plant organ size by KLUH/CYP78A5-dependent intercellular signaling. Dev. cell 2007, 13, 843–856. [Google Scholar] [CrossRef] [PubMed]
- Carolyn, K.; Ohno, G.; Venugopala, R.; Marcus, G.B.H.; Elliot, M.M. The Arabidopsis JAGGED gene encodes a zinc finger protein thatpromotes leaf tissue development. Development 2004, 131, 1111–1122. [Google Scholar]
- Disch, S.; Anastasiou, E.; Sharma, V.K.; Laux, T.; Fletcher, J.C.; Lenhard, M. The E3 ubiquitin ligase big brother controls Arabidopsis organ size in a dosage-dependent manner. Curr. Biol. 2006, 16, 272–279. [Google Scholar] [CrossRef] [PubMed]
- Inzé, D.; De, V.L. Cell cycle regulation in plant development. Annu. Rev. 2006, 40, 77–105. [Google Scholar] [CrossRef] [PubMed]
- Boudolf, V.; Vlieghe, K.; Beemster, G.T.; Magyar, Z.; Torres Acosta, J.A.; Maes, S.; Van Der Schueren, E.; Inze, D.; De Veylder, L. The plant-specific cyclin-dependent kinase CDKB1;1 and transcription factor E2Fa-DPa control the balance of mitotically dividing and endoreduplicating cells in Arabidopsis. Plant Cell 2004, 16, 2683–2692. [Google Scholar] [CrossRef] [PubMed]
- De Veylder, L.; Beeckman, T.; Beemster, G.T.; Krols, L.; Terras, F.; Landrieu, I.; van der Schueren, E.; Maes, S.; Naudts, M.; Inze, D. Functional analysis of cyclin-dependent kinase inhibitors of Arabidopsis. Plant Cell 2001, 13, 1653–1668. [Google Scholar] [CrossRef] [PubMed]
- Wu, J.; Wang, Z.; Shi, Z.; Zhang, S.; Ming, R.; Zhu, S.; Khan, M.A.; Tao, S.; Korban, S.S.; Wang, H.; et al. The genome of the pear (Pyrus bretschneideri Rehd.). Genome Res. 2013, 23, 396–408. [Google Scholar] [CrossRef] [PubMed]
- Mohammad, M.K.; Amru, N.B.; Normaniza, O.; Faruq, G.; Rahman, M.R.; Mohd, S.A. Fruit development, pigmentation and biochemical properties of wax apple as affected by localized application of ga3 under field conditions. Braz. Arch. Biol. Technol. 2013, 56, 11–20. [Google Scholar]
- Singh, Z.; Grewal, G.P.S.; Singh, L.; Müller, W.; Polesny, F.; Verheyden, C. Gibberellin a4/a7 improved fruit set, retention, yield and quality of subtropical peach (Prunus persica batsch.). Acta Hortic. 2000, 525, 467–472. [Google Scholar] [CrossRef]
- Honda, I.; Matsunaga, H.; Kikuchi, K.; Matuo, S.; Fukuda, M.; Imanishi, S. Involvement of cytokinins, 3-indoleacetic acid and gibberellins in early fruit growth in pepper (Capsicum annuum L.). Hortic. J. 2016, 86, 52–60. [Google Scholar] [CrossRef]
- Kudo, T.; Makita, N.; Kojima, M.; Tokunaga, H.; Sakakibara, H. Cytokinin activity of cis-zeatin and phenotypic alterations induced by overexpression of putative cis-Zeatin-O-glucosyltransferase in rice. Plant Physiol. 2012, 160, 319–331. [Google Scholar] [CrossRef] [PubMed]
- Bartrina, I.; Otto, E.; Strnad, M.; Werner, T.; Schmulling, T. Cytokinin regulates the activity of reproductive meristems, flower organ size, ovule formation and thus seed yield in Arabidopsis thaliana. Plant Cell 2011, 23, 69–80. [Google Scholar] [CrossRef] [PubMed]
- Otani, M.; Meguro, S.; Gondaira, H.; Hayashi, M.; Saito, M.; Han, D.S.; Inthima, P.; Supaibulwatana, K.; Mori, S.; Jikumaru, Y.; et al. Overexpression of the gibberellin 2-oxidase gene from Torenia fournieri induces dwarf phenotypes in the liliaceous monocotyledon Tricyrtis sp. J. Plant Physiol. 2013, 170, 1416–1423. [Google Scholar] [CrossRef] [PubMed]
- Xiao, Z.; Fu, R.; Li, J.; Fan, Z.; Yin, H. Overexpression of the gibberellin 2-oxidase gene from camellia lipoensis, induces dwarfism and smaller flowers in Nicotiana tabacum. Plant Mol. Biol. Rep. 2016, 34, 182–191. [Google Scholar] [CrossRef]
- Hamilton, A.J.; Bouzayen, M.; Grierson, D. Identification of a tomato gene for the ethylene-forming enzyme by expression in yeast. Proc. Natl. Acad. Sci. USA 1991, 88, 7434–7437. [Google Scholar] [CrossRef] [PubMed]
- Lisso, J.; Altmann, T.; Mussig, C. Metabolic changes in fruits of the tomato dx mutant. Phytochemistry 2006, 67, 2232–2238. [Google Scholar] [CrossRef] [PubMed]
- Ohnishi, T.; Godza, B.; Watanabe, B.; Fujioka, S.; Hategan, L.; Ide, K.; Shibata, K.; Yokota, T.; Szekeres, M.; Mizutani, M. CYP90A1/CPD, a brassinosteroid biosynthetic cytochrome P450 of Arabidopsis, catalyzes C.-3 oxidation. J. Biol. Chem. 2012, 287, 31551–31560. [Google Scholar] [CrossRef] [PubMed]
- Neff, M.M.; Nguyen, S.M.; Malancharuvil, E.J.; Fujioka, S.; Noguchi, T.; Seto, H.; Tsubuki, M.; Honda, T.; Takatsuto, S.; Yoshida, S.; et al. BAS1: A gene regulating brassinosteroid levels and light responsiveness in Arabidopsis. Proc. Natl. Acad. Sci. USA 1999, 96, 15316–15323. [Google Scholar] [CrossRef] [PubMed]
- Thornton, L.E.; Peng, H.; Neff, M.M. Rice CYP734A cytochrome P450s inactivate brassinosteroids in Arabidopsis. Planta 2011, 234, 1151–1162. [Google Scholar] [CrossRef] [PubMed]
- Magome, H.; Nomura, T.; Hanada, A.; Takeda-Kamiya, N.; Ohnishi, T.; Shinma, Y.; Katsumata, T.; Kawaide, H.; Kamiya, Y.; Yamaguchi, S. CYP714B1 and CYP714B2 encode gibberellin 13-oxidases that reduce gibberellin activity in rice. Proc. Natl. Acad. Sci. USA 2013, 110, 1947–1952. [Google Scholar] [CrossRef] [PubMed]
- Van der Graaff, E.; Laux, T.; Rensing, S.A. The WUS homeobox-containing (WOX) protein family. Genome Biol. 2009, 10, 248. [Google Scholar] [CrossRef] [PubMed]
- Willemsen, V.; Bauch, M.; Bennett, T.; Campilho, A.; Wolkenfelt, H.; Xu, J.; Haseloff, J.; Scheres, B. The NAC domain transcription factors FEZ and SOMBRERO control the orientation of cell division plane in Arabidopsis root stem cells. Dev. Cell 2008, 15, 913–922. [Google Scholar] [CrossRef] [PubMed]
- Shahnejat-Bushehri, S.; Tarkowska, D.; Sakuraba, Y.; Balazadeh, S. Arabidopsis NAC transcription factor JUB1 regulates GA/BR metabolism and signalling. Nat. Plants 2016, 2, 16013. [Google Scholar] [CrossRef] [PubMed]
- Licausi, F.; Ohme-Takagi, M.; Perata, P. APETALA2/Ethylene Responsive Factor (AP2/ERF) transcription factors: Mediators of stress responses and developmental programs. New Phytol. 2013, 199, 639–649. [Google Scholar] [CrossRef] [PubMed]
- Cheng, H.; Song, S.; Xiao, L.; Soo, H.M.; Cheng, Z.; Xie, D. Gibberellin acts through jasmonate to control the expression of myb21, myb24 and myb57 to promote stamen filament growth in Arabidopsis. PLoS Genet. 2009, 5, e1000440. [Google Scholar] [CrossRef] [PubMed]
- Nguyen, C.V.; Vrebalov, J.T.; Gapper, N.E.; Zheng, Y.; Zhong, S.; Fei, Z.; Giovannoni, J.J. Tomato golden2-like transcription factors reveal molecular gradients that function during fruit development and ripening. Plant Cell 2014, 26, 585–601. [Google Scholar] [CrossRef] [PubMed]
- Chang, S.; Puryear, J.; Cairney, J. A simple and efficient method for isolating RNA from pine trees. Plant Mol. Biol. Rep. 1993, 11, 113–116. [Google Scholar] [CrossRef]
- Bai, S.; Sun, Y.; Qian, M.; Yang, F.; Ni, J.; Tao, R.; Li, L.; Shu, Q.; Zhang, D.; Teng, Y. Transcriptome analysis of bagging-treated red Chinese sand pear peels reveals light-responsive pathway functions in anthocyanin accumulation. Sci. Rep. 2017, 7, 63. [Google Scholar] [CrossRef] [PubMed]
- Xu, Y.; Hui, L.; Li, X.; Jing, L.; Wang, Z.; Yang, Q.; Chang, Y. Systematic selection and validation of appropriate reference genes for gene expression studies by quantitative real-time PCR in pear. Acta Physiol. Plant. 2015, 37, 40. [Google Scholar] [CrossRef]






| Samples | Raw Reads | Total Clean Reads | Total Mapped Reads | Q20 | Q30 |
|---|---|---|---|---|---|
| GH81S-10 DAB | 47,463,332 | 43,555,990 | 70.40% | 98.31% | 95.38% |
| GH81S-20 DAB | 50,756,314 | 46,213,290 | 69.20% | 98.25% | 95.26% |
| GH81S-30 DAB | 52,395,106 | 46,794,198 | 68.70% | 98.40% | 95.55% |
| GH59B-10 DAB | 50,756,688 | 46,472,938 | 69.80% | 98.35% | 95.47% |
| GH59B-20 DAB | 50,018,632 | 45,642,660 | 69.70% | 98.27% | 95.31% |
| GH59B-30 DAB | 50,757,620 | 45,838,906 | 69.00% | 98.10% | 94.89% |
| Primer | Sequence | Tm (°C) | Length (bp) | Accession Number | PCR Efficiency% |
|---|---|---|---|---|---|
| Q-ZOG1-F | CCACCTCAACCAACTCCTACAC | 58.6 | 97 | XM_018648918 | 107 |
| Q-ZOG1-R | CTTAACTTGGCGGTTGTGAGTG | 60.1 | |||
| Q-GA2OX1-F | GCAGATAACAGGCTTGGACACTT | 60.4 | 123 | XM_009356581.2 | 108 |
| Q-GA2OX1-R | GATTTCCGAGTACCGAGATTGAA | 60.3 | |||
| Q-CKX7-F | GAGATTTGTGGAGCGGAAGAC | 58.8 | 188 | XM_009336405.2 | 109 |
| Q-CKX7-R | CCAGTAGAAACTAATCAAGCCAATA | 57.7 | |||
| Q-CKX6-F | AAAATCTGCTTACGACCCCTTGG | 63.8 | 124 | XM_009369812.2 | 96 |
| Q-CKX6-R | ACATGCCTTTAGGGCCTCTTCTT | 62.8 | |||
| Q-ACS-F | TGTCTCCTCATACACCGATACCC | 60.5 | 171 | XM_009365119.2 | 102 |
| Q-ACS-R | GAAAGAAGGTATCCACCACTCAA | 57.9 | |||
| Q-ACO-F | TCCCAGTTGTTGACTTGAGCCT | 61.2 | 194 | NM_001302321.1 | 93 |
| Q-ACO-R | CATTTCCTTAAACCTTTGCTCCA | 60.7 | |||
| Q-NAC25-F | TTCTACCCTAATCCTGCACTTCT | 57.3 | 118 | XM_009381159.2 | 108 |
| Q-NAC25-R | CATCTTAAACCCACCATCCAAA | 59.3 | |||
| Q-WOX1-F | TGTTACTGGGAGGCGTTTAGATT | 60.2 | 119 | XM_009361806 | 105 |
| Q-WOX1-R | AATACAATGGCGCTTATACAAGTC | 58.1 | |||
| Q-actin-F | CCATCCAGGCTGTTCTCTC | 54.7 | 139 | JN684184 | 100 |
| Q-actin-R | GCAAGGTCCAGACGAAGG | 55.7 | |||
| Q-UBI-F | ACCCTCGCCGACTACAAC | 55.3 | 198 | XM_009368893.2 | 94 |
| Q-UBI-R | ACTCCTTCCGCAGCCTCT | 55.4 |
© 2018 by the authors. Licensee MDPI, Basel, Switzerland. This article is an open access article distributed under the terms and conditions of the Creative Commons Attribution (CC BY) license (http://creativecommons.org/licenses/by/4.0/).
Share and Cite
Jiang, S.; An, H.; Luo, J.; Wang, X.; Shi, C.; Xu, F. Comparative Analysis of Transcriptomes to Identify Genes Associated with Fruit Size in the Early Stage of Fruit Development in Pyrus pyrifolia. Int. J. Mol. Sci. 2018, 19, 2342. https://doi.org/10.3390/ijms19082342
Jiang S, An H, Luo J, Wang X, Shi C, Xu F. Comparative Analysis of Transcriptomes to Identify Genes Associated with Fruit Size in the Early Stage of Fruit Development in Pyrus pyrifolia. International Journal of Molecular Sciences. 2018; 19(8):2342. https://doi.org/10.3390/ijms19082342
Chicago/Turabian StyleJiang, Shuang, Haishan An, Jun Luo, Xiaoqing Wang, Chunhui Shi, and Fanjie Xu. 2018. "Comparative Analysis of Transcriptomes to Identify Genes Associated with Fruit Size in the Early Stage of Fruit Development in Pyrus pyrifolia" International Journal of Molecular Sciences 19, no. 8: 2342. https://doi.org/10.3390/ijms19082342
APA StyleJiang, S., An, H., Luo, J., Wang, X., Shi, C., & Xu, F. (2018). Comparative Analysis of Transcriptomes to Identify Genes Associated with Fruit Size in the Early Stage of Fruit Development in Pyrus pyrifolia. International Journal of Molecular Sciences, 19(8), 2342. https://doi.org/10.3390/ijms19082342
