Recent Advances in Developing Small Molecules Targeting Nucleic Acid
Abstract
:1. Introduction
2. Small Molecules Targeting DNA
2.1. Small Molecules Targeting DNA Duplex
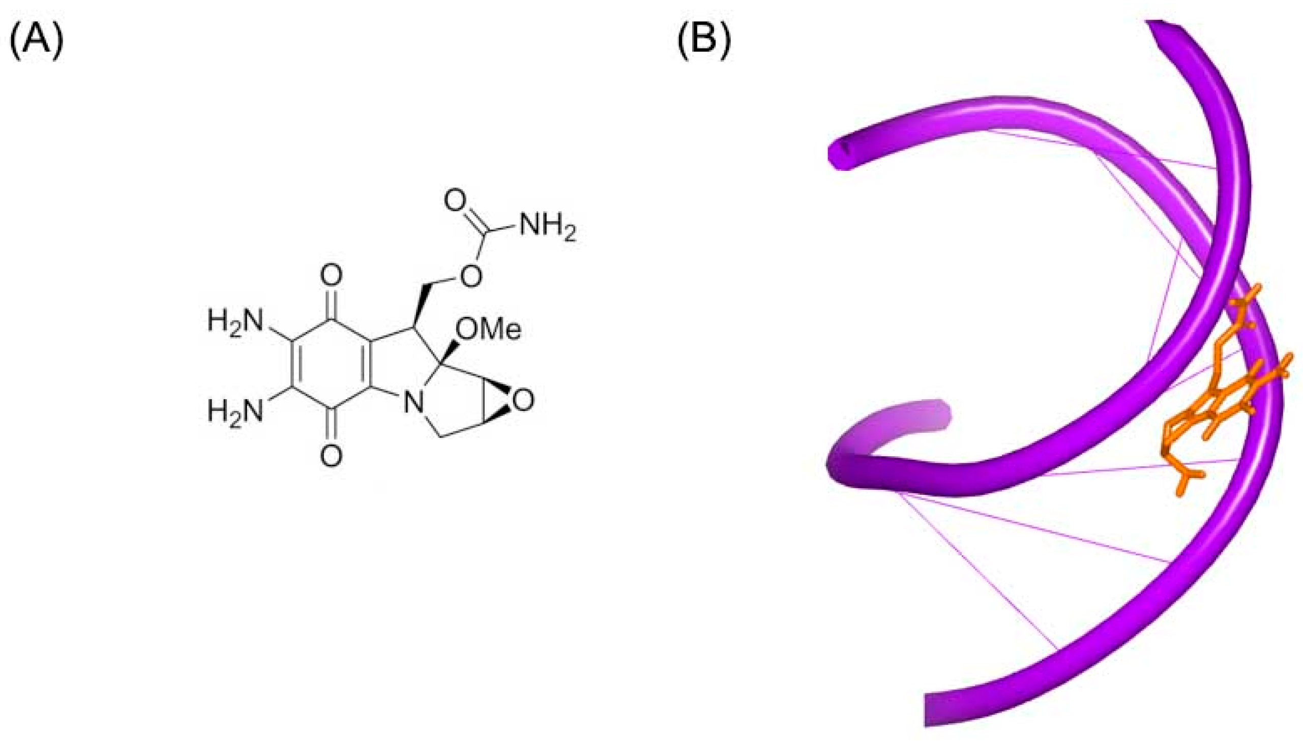
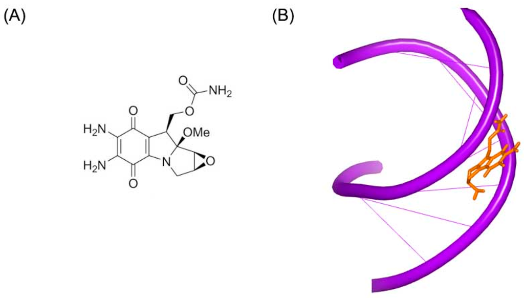
2.1.1. Small Molecules Forming Covalent Bonds with DNA Duplex
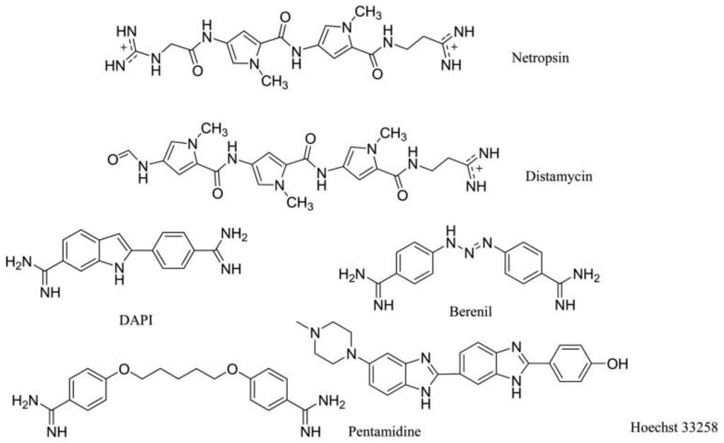
2.1.2. Small Molecules Targeting with DNA Duplex in Minor Groove
2.1.3. Small Molecules Targeting with DNA Duplex in Major Groove
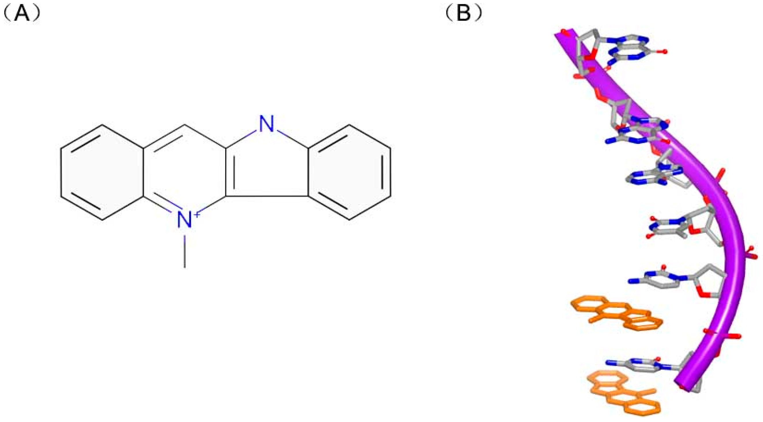
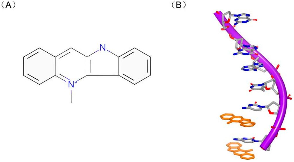
2.1.4. Small Molecules Intercalating into DNA Duplex
2.1.5. Small Molecules Targeting with DNA Duplex through Multiple Binding Patterns
2.2. Small Molecules Targeting DNA Triplex
2.3. Small Molecules Targeting DNA Quadruplex
3. Small Molecules Targeting RNA
3.1. Small Molecules Targeting Ribosome
3.2. Small Molecules Targeting Riboswitches
3.3. Small Molecules Targeting MicroRNA
3.4. Small Molecules Targeting Long Non-Coding RNA
4. Conclusions
Acknowledgments
Author Contributions
Conflicts of Interest
References
- Bayne, E.H.; Allshire, R.C. RNA-directed transcriptional gene silencing in mammals. Trends Genet. 2005, 21, 370–373. [Google Scholar] [CrossRef] [PubMed]
- Fedor, M.J.; Williamson, J.R. The catalytic diversity of RNAs. Nat. Rev. Mol. Cell Biol. 2005, 6, 399–412. [Google Scholar] [CrossRef] [PubMed]
- Johnstone, O.; Lasko, P. Translational regulation and RNA localization in drosophila oocytes and embryos. Annu. Rev. Genet. 2001, 35, 365–406. [Google Scholar] [CrossRef] [PubMed]
- Smith, A.M.; Fuchs, R.T.; Grundy, F.J.; Henkin, T.M. Riboswitch RNAs: Regulation of gene expression by direct monitoring of a physiological signal. RNA Biol. 2010, 7, 104–110. [Google Scholar] [CrossRef] [PubMed]
- Wu, L.; Belasco, J.G. Let me count the ways: Mechanisms of gene regulation by miRNAs and siRNAs. Mol. Cell 2008, 29, 1–7. [Google Scholar] [CrossRef] [PubMed]
- Gurung, R.L.; Lim, H.K.; Venkatesan, S.; Lee, P.S.; Hande, M.P. Targeting DNA-PKcs and telomerase in brain tumour cells. Mol. Cancer 2014, 13, 232. [Google Scholar] [CrossRef] [PubMed]
- Bottini, A.; De, S.K.; Wu, B.; Tang, C.; Varani, G.; Pellecchia, M. Targeting influenza a virus RNA promoter. Chem. Biol. Drug Des. 2015, 86, 663–673. [Google Scholar] [CrossRef] [PubMed]
- Cruz, J.A.; Westhof, E. The dynamic landscapes of RNA architecture. Cell 2009, 136, 604–609. [Google Scholar] [CrossRef] [PubMed]
- Fulle, S.; Gohlke, H. Molecular recognition of RNA: Challenges for modelling interactions and plasticity. J. Mol. Recognit. 2010, 23, 220–231. [Google Scholar] [CrossRef] [PubMed]
- Hermann, T. Rational ligand design for RNA: The role of static structure and conformational flexibility in target recognition. Biochimie 2002, 84, 869–875. [Google Scholar] [CrossRef]
- Brown, R.F.; Andrews, C.T.; Elcock, A.H. Stacking free energies of all DNA and RNA nucleoside pairs and dinucleoside-monophosphates computed using recently revised amber parameters and compared with experiment. J. Chem. Theory Comput. 2015, 11, 2315–2328. [Google Scholar] [CrossRef] [PubMed]
- Chauvot de Beauchene, I.; de Vries, S.J.; Zacharias, M. Binding site identification and flexible docking of single stranded RNA to proteins using a fragment-based approach. PLoS Comput. Biol. 2016, 12, e1004697. [Google Scholar] [CrossRef] [PubMed]
- Spielmann, H.P.; Dwyer, T.J.; Hearst, J.E.; Wemmer, D.E. Solution structures of psoralen monoadducted and cross-linked DNA oligomers by NMR spectroscopy and restrained molecular dynamics. Biochemistry 1995, 34, 12937–12953. [Google Scholar] [CrossRef] [PubMed]
- Mace, K.; Aguilar, F.; Wang, J.S.; Vautravers, P.; Gomez-Lechon, M.; Gonzalez, F.J.; Groopman, J.; Harris, C.C.; Pfeifer, A.M. Aflatoxin b1-induced DNA adduct formation and p53 mutations in CYP450-expressing human liver cell lines. Carcinogenesis 1997, 18, 1291–1297. [Google Scholar] [CrossRef] [PubMed]
- Brown, K.L.; Voehler, M.W.; Magee, S.M.; Harris, C.M.; Harris, T.M.; Stone, M.P. Structural perturbations induced by the α-anomer of the aflatoxin b(1) formamidopyrimidine adduct in duplex and single-strand DNA. J. Am. Chem. Soc. 2009, 131, 16096–16107. [Google Scholar] [CrossRef] [PubMed]
- Noll, D.M.; Noronha, A.M.; Wilds, C.J.; Miller, P.S. Preparation of interstrand cross-linked DNA oligonucleotide duplexes. Front. Biosci. 2004, 9, 421–437. [Google Scholar] [CrossRef] [PubMed]
- Swenson, M.C.; Paranawithana, S.R.; Miller, P.S.; Kielkopf, C.L. Structure of a DNA repair substrate containing an alkyl interstrand cross-link at 1.65 Å resolution. Biochemistry 2007, 46, 4545–4553. [Google Scholar] [CrossRef] [PubMed]
- Huang, H.; Dooley, P.A.; Harris, C.M.; Harris, T.M.; Stone, M.P. Differential base stacking interactions induced by trimethylene interstrand DNA cross-links in the 5′-CpG-3′ and 5′-GpC-3′ sequence contexts. Chem. Res. Toxicol. 2009, 22, 1810–1816. [Google Scholar] [CrossRef] [PubMed]
- Iyer, V.N.; Szybalski, W. A molecular mechanism of mitomycin action: Linking of complementary DNA strands. Proc. Natl. Acad. Sci. USA 1963, 50, 355–362. [Google Scholar] [CrossRef] [PubMed]
- Sastry, M.; Fiala, R.; Lipman, R.; Tomasz, M.; Patel, D.J. Solution structure of the monoalkylatedmitomycin c-DNA complex. J. Mol. Biol. 1995, 247, 338–359. [Google Scholar] [CrossRef] [PubMed]
- Wartell, R.M.; Larson, J.E.; Wells, R.D. Netropsin. A specific probe for A-T regions of duplex deoxyribonucleic acid. J. Biol. Chem. 1974, 249, 6719–6731. [Google Scholar] [PubMed]
- Zimmer, C. Effects of the antibiotics netropsin and distamycin a on the structure and function of nucleic acids. Prog. Nucleic Acid Res. Mol. Biol. 1975, 15, 285–318. [Google Scholar] [PubMed]
- Arafa, R.K.; Ismail, M.A.; Munde, M.; Wilson, W.D.; Wenzler, T.; Brun, R.; Boykin, D.W. Novel linear triaryl guanidines, N-substituted guanidines and potential prodrugs as antiprotozoal agents. Eur. J. Med. Chem. 2008, 43, 2901–2908. [Google Scholar] [CrossRef] [PubMed]
- Nguyen, B.; Neidle, S.; Wilson, W.D. A role for water molecules in DNA-ligand minor groove recognition. Acc. Chem. Res. 2009, 42, 11–21. [Google Scholar] [CrossRef] [PubMed]
- Wilson, W.D.; Tanious, F.A.; Mathis, A.; Tevis, D.; Hall, J.E.; Boykin, D.W. Antiparasitic compounds that target DNA. Biochimie 2008, 90, 999–1014. [Google Scholar] [CrossRef] [PubMed]
- Chen, X.; Mitra, S.N.; Rao, S.T.; Sekar, K.; Sundaralingam, M. A novel end-to-end binding of two netropsins to the DNA decamers d(ccccciiiii)2, d(cccbr5cciiiii)2 and d(cbr5cccciiiii)2. Nucleic Acids Res. 1998, 26, 5464–5471. [Google Scholar] [CrossRef] [PubMed]
- Kopka, M.L.; Yoon, C.; Goodsell, D.; Pjura, P.; Dickerson, R.E. The molecular origin of DNA-drug specificity in netropsin and distamycin. Proc. Natl. Acad. Sci. USA 1985, 82, 1376–1380. [Google Scholar] [CrossRef] [PubMed]
- Nunn, C.M.; Garman, E.; Neidle, S. Crystal structure of the DNA decamer d(cgcaattgcg) complexed with the minor groove binding drug netropsin. Biochemistry 1997, 36, 4792–4799. [Google Scholar] [CrossRef] [PubMed]
- Schultz, P.G.; Dervan, P.B. Distamycin and penta-N-methylpyrrolecarboxamide binding sites on native DNA. A comparison of methidiumpropyl-EDTA-Fe(II) footprinting and DNA affinity cleaving. J. Biomol. Struct. Dyn. 1984, 1, 1133–1147. [Google Scholar] [CrossRef] [PubMed]
- Tevis, D.S.; Kumar, A.; Stephens, C.E.; Boykin, D.W.; Wilson, W.D. Large, sequence-dependent effects on DNA conformation by minor groove binding compounds. Nucleic Acids Res. 2009, 37, 5550–5558. [Google Scholar] [CrossRef] [PubMed]
- Chenoweth, D.M.; Dervan, P.B. Allosteric modulation of DNA by small molecules. Proc. Natl. Acad. Sci. USA 2009, 106, 13175–13179. [Google Scholar] [CrossRef] [PubMed]
- Moreno, T.; Pous, J.; Subirana, J.A.; Campos, J.L. Coiled-coil conformation of a pentamidine-DNA complex. Acta Crystallogr. D Biol. Crystallogr. 2010, 66, 251–257. [Google Scholar] [CrossRef] [PubMed]
- Willis, B.; Arya, D.P. An expanding view of aminoglycoside-nucleic acid recognition. Adv. Carbohydr. Chem. Biochem. 2006, 60, 251–302. [Google Scholar] [PubMed]
- Goldberg, I.H. Mechanism of neocarzinostatin action: Role of DNA microstructure in determination of chemistry of bistranded oxidative damage. Acc. Chem. Res. 1991, 24, 191–198. [Google Scholar] [CrossRef]
- Kappen, L.S.; Goldberg, I.H. Neocarzinostatin acts as a sensitive probe of DNA microheterogeneity: Switching of chemistry from C-1′ to C-4′ by a C.T mismatch 5′ to the site of DNA damage. Proc. Natl. Acad. Sci. USA 1992, 89, 6706–6710. [Google Scholar] [CrossRef] [PubMed]
- Myers, A.G.; Proteau, P.J.; Handel, T.M. Stereochemical assignment of neocarzinostatin chromophore. Structures of neocarzinostatin chromophore-methyl thioglycolate adducts. J. Am. Chem. Soc. 1988, 110, 7212–7214. [Google Scholar] [CrossRef]
- Gao, X.; Stassinopoulos, A.; Ji, J.; Kwon, Y.; Bare, S.; Goldberg, I.H. Induced formation of a DNA bulge structure by a molecular wedge ligand-postactivated neocarzinostatin chromophore. Biochemistry 2002, 41, 5131–5143. [Google Scholar] [CrossRef] [PubMed]
- Kwon, Y.; Xi, Z.; Kappen, L.S.; Goldberg, I.H.; Gao, X. New complex of post-activated neocarzinostatin chromophore with DNA: Bulge DNA binding from the minor groove. Biochemistry 2003, 42, 1186–1198. [Google Scholar] [CrossRef] [PubMed]
- Chaires, J.B. Energetics of drug-DNA interactions. Biopolymers 1997, 44, 201–215. [Google Scholar] [CrossRef]
- Lerman, L.S. Structural considerations in the interaction of DNA and acridines. J. Mol. Biol. 1961, 3, 18–30. [Google Scholar] [CrossRef]
- Richards, A.D.; Rodger, A. Synthetic metallomolecules as agents for the control of DNA structure. Chem. Soc. Rev. 2007, 36, 471–483. [Google Scholar] [CrossRef] [PubMed]
- Snyder, R.D. Assessment of atypical DNA intercalating agents in biological and in silico systems. Mutat. Res. 2007, 623, 72–82. [Google Scholar] [CrossRef] [PubMed]
- Snyder, R.D.; McNulty, J.; Zairov, G.; Ewing, D.E.; Hendry, L.B. The influence of N-dialkyl and other cationic substituents on DNA intercalation and genotoxicity. Mutat. Res. 2005, 578, 88–99. [Google Scholar] [CrossRef] [PubMed]
- Tse, W.C.; Boger, D.L. Sequence-selective DNA recognition: Natural products and nature’s lessons. Chem. Biol. 2004, 11, 1607–1617. [Google Scholar] [CrossRef] [PubMed]
- Weiss, R.B. The anthracyclines: Will we ever find a better doxorubicin? Semin. Oncol. 1992, 19, 670–686. [Google Scholar] [PubMed]
- Davies, D.B.; Eaton, R.J.; Baranovsky, S.F.; Veselkov, A.N. NMR investigation of the complexation of daunomycin with deoxytetranucleotides of different base sequence in aqueous solution. J. Biomol. Struct. Dyn. 2000, 17, 887–901. [Google Scholar] [CrossRef] [PubMed]
- Frederick, C.A.; Williams, L.D.; Ughetto, G.; van der Marel, G.A.; van Boom, J.H.; Rich, A.; Wang, A.H. Structural comparison of anticancer drug-DNA complexes: Adriamycin and daunomycin. Biochemistry 1990, 29, 2538–2549. [Google Scholar] [CrossRef] [PubMed]
- Leonard, G.A.; Brown, T.; Hunter, W.N. Anthracycline binding to DNA. High-resolution structure of d(tgtaca) complexed with 4′-epiadriamycin. Eur. J. Biochem. 1992, 204, 69–74. [Google Scholar] [CrossRef] [PubMed]
- Moore, M.H.; Hunter, W.N.; d’Estaintot, B.L.; Kennard, O. DNA-drug interactions. The crystal structure of d(CGATCG) complexed with daunomycin. J. Mol. Biol. 1989, 206, 693–705. [Google Scholar] [CrossRef]
- Wang, A.H.; Gao, Y.G.; Liaw, Y.C.; Li, Y.K. Formaldehyde cross-links daunorubicin and DNA efficiently: HPLC and X-ray diffraction studies. Biochemistry 1991, 30, 3812–3815. [Google Scholar] [CrossRef] [PubMed]
- Wang, A.H.; Ughetto, G.; Quigley, G.J.; Rich, A. Interactions between an anthracycline antibiotic and DNA: Molecular structure of daunomycin complexed to d(CpGpTpApCpG) at 1.2-A resolution. Biochemistry 1987, 26, 1152–1163. [Google Scholar] [CrossRef] [PubMed]
- Lambert, B.; Jones, B.K.; Roques, B.P.; Le Pecq, J.B.; Yeung, A.T. The noncovalent complex between DNA and the bifunctional intercalator ditercalinium is a substrate for the UvrABC endonuclease of Escherichia coli. Proc. Natl. Acad. Sci. USA 1989, 86, 6557–6561. [Google Scholar] [CrossRef] [PubMed]
- Lambert, B.; Roques, B.P.; Le Pecq, J.B. Induction of an abortive and futile DNA repair process in E. coli by the antitumor DNA bifunctionalintercalator, ditercalinium: Role in polA in death induction. Nucleic Acids Res. 1988, 16, 1063–1078. [Google Scholar] [CrossRef] [PubMed]
- Lambert, B.; Segal-Bendirdjian, E.; Esnault, C.; Le Pecq, J.B.; Roques, B.P.; Jones, B.; Yeung, A.T. Recognition by the DNA repair system of DNA structural alterations induced by reversible drug-DNA interactions. Anticancer Drug Des. 1990, 5, 43–53. [Google Scholar] [PubMed]
- Garbay-Jaureguiberry, C.; Laugaa, P.; Delepierre, M.; Laalami, S.; Muzard, G.; Le Pecq, J.B.; Roques, B.P. DNA bis-intercalators as new anti-tumour agents: Modulation of the anti-tumour activity by the linking chain rigidity in the ditercalinium series. Anticancer Drug Des. 1987, 1, 323–335. [Google Scholar] [PubMed]
- Leon, P.; Garbay-Jaureguiberry, C.; Barsi, M.C.; Le Pecq, J.B.; Roques, B.P. Modulation of the antitumor activity by methyl substitutions in the series of 7H-pyridocarbazole monomers and dimers. J. Med. Chem. 1987, 30, 2074–2080. [Google Scholar] [CrossRef] [PubMed]
- Pelaprat, D.; Delbarre, A.; Le Guen, I.; Roques, B.P.; Le Pecq, J.B. DNA intercalating compounds as potential antitumor agents. 2. Preparation and properties of 7H-pyridocarbazole dimers. J. Med. Chem. 1980, 23, 1336–1343. [Google Scholar] [CrossRef] [PubMed]
- Gao, Q.; Williams, L.D.; Egli, M.; Rabinovich, D.; Chen, S.L.; Quigley, G.J.; Rich, A. Drug-induced DNA repair: X-ray structure of a DNA-ditercalinium complex. Proc. Natl. Acad. Sci. USA 1991, 88, 2422–2426. [Google Scholar] [CrossRef] [PubMed]
- Bonjean, K.; De Pauw-Gillet, M.C.; Defresne, M.P.; Colson, P.; Houssier, C.; Dassonneville, L.; Bailly, C.; Greimers, R.; Wright, C.; Quetin-Leclercq, J.; et al. The DNA intercalating alkaloid cryptolepine interferes with topoisomerase II and inhibits primarily DNA synthesis in B16 melanoma cells. Biochemistry 1998, 37, 5136–5146. [Google Scholar] [CrossRef] [PubMed]
- Lisgarten, J.N.; Coll, M.; Portugal, J.; Wright, C.W.; Aymami, J. The antimalarial and cytotoxic drug cryptolepine intercalates into DNA at cytosine-cytosine sites. Nat. Struct. Biol. 2002, 9, 57–60. [Google Scholar] [CrossRef] [PubMed]
- Bailly, C.; Henichart, J.P. DNA recognition by intercalator-minor-groove binder hybrid molecules. Bioconjug. Chem. 1991, 2, 379–393. [Google Scholar] [CrossRef] [PubMed]
- Banerjee, D.; Pal, S.K. Simultaneous binding of minor groove binder and intercalator to dodecamer DNA: Importance of relative orientation of donor and acceptor in FRET. J. Phys. Chem. B 2007, 111, 5047–5052. [Google Scholar] [CrossRef] [PubMed]
- Rettig, M.; Weingarth, M.; Langel, W.; Kamal, A.; Kumar, P.P.; Weisz, K. Solution structure of a covalently bound pyrrolo[2,1-c][1,4]benzodiazepine-benzimidazole hybrid to a 10mer DNA duplex. Biochemistry 2009, 48, 12223–12232. [Google Scholar] [CrossRef] [PubMed]
- Rettig, M.; Langel, W.; Kamal, A.; Weisz, K. NMR structural studies on the covalent DNA binding of a pyrrolobenzodiazepine-naphthalimide conjugate. Org. Biomol. Chem. 2010, 8, 3179–3187. [Google Scholar] [CrossRef] [PubMed]
- Le Doan, T.; Perrouault, L.; Praseuth, D.; Habhoub, N.; Decout, J.L.; Thuong, N.T.; Lhomme, J.; Helene, C. Sequence-specific recognition, photocrosslinking and cleavage of the DNA double helix by an oligo-[α]-thymidylate covalently linked to an azidoproflavine derivative. Nucleic Acids Res. 1987, 15, 7749–7760. [Google Scholar] [CrossRef] [PubMed]
- Moser, H.E.; Dervan, P.B. Sequence-specific cleavage of double helical DNA by triple helix formation. Science 1987, 238, 645–650. [Google Scholar] [CrossRef] [PubMed]
- Jain, A.; Wang, G.; Vasquez, K.M. DNA triple helices: Biological consequences and therapeutic potential. Biochimie 2008, 90, 1117–1130. [Google Scholar] [CrossRef] [PubMed]
- Sandstrom, K.; Warmlander, S.; Bergman, J.; Engqvist, R.; Leijon, M.; Graslund, A. The influence of intercalator binding on DNA triplex stability: Correlation with effects on A-tract duplex structure. J. Mol. Recognit. 2004, 17, 277–285. [Google Scholar] [CrossRef] [PubMed]
- Arya, D.P.; Micovic, L.; Charles, I.; Coffee, R.L., Jr.; Willis, B.; Xue, L. Neomycin binding to Watson–hoogsteen (W–H) DNA triplex groove: A model. J. Am. Chem. Soc. 2003, 125, 3733–3744. [Google Scholar] [CrossRef] [PubMed]
- Xue, L.; Charles, I.; Arya, D.P. Pyrene-neomycin conjugate: Dual recognition of a DNA triple helix. Chem. Commun. (Camb.) 2002, 7, 70–71. [Google Scholar] [CrossRef]
- Dapic, V.; Bates, P.J.; Trent, J.O.; Rodger, A.; Thomas, S.D.; Miller, D.M. Antiproliferative activity of G-quartet-forming oligonucleotides with backbone and sugar modifications. Biochemistry 2002, 41, 3676–3685. [Google Scholar] [CrossRef] [PubMed]
- Harrison, R.J.; Gowan, S.M.; Kelland, L.R.; Neidle, S. Human telomerase inhibition by substituted acridine derivatives. Bioorg. Med. Chem. Lett. 1999, 9, 2463–2468. [Google Scholar] [CrossRef]
- Heald, R.A.; Modi, C.; Cookson, J.C.; Hutchinson, I.; Laughton, C.A.; Gowan, S.M.; Kelland, L.R.; Stevens, M.F. Antitumor polycyclic acridines. 8.(1) Synthesis and telomerase-inhibitory activity of methylated pentacyclic acridinium salts. J. Med. Chem. 2002, 45, 590–597. [Google Scholar] [CrossRef] [PubMed]
- Riou, J.F.; Guittat, L.; Mailliet, P.; Laoui, A.; Renou, E.; Petitgenet, O.; Megnin-Chanet, F.; Helene, C.; Mergny, J.L. Cell senescence and telomere shortening induced by a new series of specific G-quadruplex DNA ligands. Proc. Natl. Acad. Sci. USA 2002, 99, 2672–2677. [Google Scholar] [CrossRef] [PubMed]
- Sun, D.; Thompson, B.; Cathers, B.E.; Salazar, M.; Kerwin, S.M.; Trent, J.O.; Jenkins, T.C.; Neidle, S.; Hurley, L.H. Inhibition of human telomerase by a G-quadruplex-interactive compound. J. Med. Chem. 1997, 40, 2113–2116. [Google Scholar] [CrossRef] [PubMed]
- Clark, G.R.; Pytel, P.D.; Squire, C.J.; Neidle, S. Structure of the first parallel DNA quadruplex-drug complex. J. Am. Chem. Soc. 2003, 125, 4066–4067. [Google Scholar] [CrossRef] [PubMed]
- Martino, L.; Virno, A.; Pagano, B.; Virgilio, A.; Di Micco, S.; Galeone, A.; Giancola, C.; Bifulco, G.; Mayol, L.; Randazzo, A. Structural and thermodynamic studies of the interaction of distamycin a with the parallel quadruplex structure [d(tggggt)]4. J. Am. Chem. Soc. 2007, 129, 16048–16056. [Google Scholar] [CrossRef] [PubMed]
- Neidle, S. The structures of quadruplex nucleic acids and their drug complexes. Curr. Opin. Struct. Biol. 2009, 19, 239–250. [Google Scholar] [CrossRef] [PubMed]
- Comartin, D.J.; Brown, E.D. Non-ribosomal factors in ribosome subunit assembly are emerging targets for new antibacterial drugs. Curr. Opin. Pharmacol. 2006, 6, 453–458. [Google Scholar] [CrossRef] [PubMed]
- Connolly, K.; Culver, G. Deconstructing ribosome construction. Trends Biochem. Sci. 2009, 34, 256–263. [Google Scholar] [CrossRef] [PubMed]
- Franceschi, F.; Duffy, E.M. Structure-based drug design meets the ribosome. Biochem. Pharmacol. 2006, 71, 1016–1025. [Google Scholar] [CrossRef] [PubMed]
- Poehlsgaard, J.; Douthwaite, S. The bacterial ribosome as a target for antibiotics. Nat. Rev. Microbiol. 2005, 3, 870–881. [Google Scholar] [CrossRef] [PubMed]
- Yonath, A. Antibiotics targeting ribosomes: Resistance, selectivity, synergism and cellular regulation. Annu. Rev. Biochem. 2005, 74, 649–679. [Google Scholar] [CrossRef] [PubMed]
- Aboul-ela, F. Strategies for the design of RNA-binding small molecules. Future Med. Chem. 2010, 2, 93–119. [Google Scholar] [CrossRef] [PubMed]
- Thomas, J.R.; Hergenrother, P.J. Targeting RNA with small molecules. Chem. Rev. 2008, 108, 1171–1224. [Google Scholar] [CrossRef] [PubMed]
- Francois, B.; Russell, R.J.; Murray, J.B.; Aboul-ela, F.; Masquida, B.; Vicens, Q.; Westhof, E. Crystal structures of complexes between aminoglycosides and decoding a site oligonucleotides: Role of the number of rings and positive charges in the specific binding leading to miscoding. Nucleic Acids Res. 2005, 33, 5677–5690. [Google Scholar] [CrossRef] [PubMed]
- Francois, B.; Szychowski, J.; Adhikari, S.S.; Pachamuthu, K.; Swayze, E.E.; Griffey, R.H.; Migawa, M.T.; Westhof, E.; Hanessian, S. Antibacterial aminoglycosides with a modified mode of binding to the ribosomal-RNA decoding site. Angew. Chem. Int. Ed. Engl. 2004, 43, 6735–6738. [Google Scholar] [CrossRef] [PubMed]
- Vicens, Q.; Westhof, E. Crystal structure of paromomycin docked into the eubacterial ribosomal decoding a site. Structure 2001, 9, 647–658. [Google Scholar] [CrossRef]
- Vicens, Q.; Westhof, E. Crystal structure of a complex between the aminoglycoside tobramycin and an oligonucleotide containing the ribosomal decoding a site. Chem. Biol. 2002, 9, 747–755. [Google Scholar] [CrossRef]
- Vicens, Q.; Westhof, E. Crystal structure of geneticin bound to a bacterial 16s ribosomal RNA a site oligonucleotide. J. Mol. Biol. 2003, 326, 1175–1188. [Google Scholar] [CrossRef]
- Kondo, J.; Francois, B.; Russell, R.J.; Murray, J.B.; Westhof, E. Crystal structure of the bacterial ribosomal decoding site complexed with amikacin containing the γ-amino-α-hydroxybutyryl (haba) group. Biochimie 2006, 88, 1027–1031. [Google Scholar] [CrossRef] [PubMed]
- Blount, K.F.; Breaker, R.R. Riboswitches as antibacterial drug targets. Nat. Biotechnol. 2006, 24, 1558–1564. [Google Scholar] [CrossRef] [PubMed]
- Deigan, K.E.; Ferre-D’Amare, A.R. Riboswitches: Discovery of drugs that target bacterial gene-regulatory RNAs. Acc. Chem. Res. 2011, 44, 1329–1338. [Google Scholar] [CrossRef] [PubMed]
- Mulhbacher, J.; St-Pierre, P.; Lafontaine, D.A. Therapeutic applications of ribozymes and riboswitches. Curr. Opin. Pharmacol. 2010, 10, 551–556. [Google Scholar] [CrossRef] [PubMed]
- Zhang, J.; Lau, M.W.; Ferre-D’Amare, A.R. Ribozymes and riboswitches: Modulation of RNA function by small molecules. Biochemistry 2010, 49, 9123–9131. [Google Scholar] [CrossRef] [PubMed]
- Trausch, J.J.; Batey, R.T. A disconnect between high-affinity binding and efficient regulation by antifolates and purines in the tetrahydrofolate riboswitch. Chem. Biol. 2014, 21, 205–216. [Google Scholar] [CrossRef] [PubMed]
- Duchardt-Ferner, E.; Gottstein-Schmidtke, S.R.; Weigand, J.E.; Ohlenschlager, O.; Wurm, J.P.; Hammann, C.; Suess, B.; Wohnert, J. What a difference an OH makes: Conformational dynamics as the basis for the ligand specificity of the neomycin-sensing riboswitch. Angew. Chem. Int. Ed. 2016, 55, 1527–1530. [Google Scholar] [CrossRef] [PubMed]
- Ambros, V. MicroRNA pathways in flies and worms: Growth, death, fat, stress, and timing. Cell 2003, 113, 673–676. [Google Scholar] [CrossRef]
- Bartel, D.P. MicroRNAs: Genomics, biogenesis, mechanism, and function. Cell 2004, 116, 281–297. [Google Scholar] [CrossRef]
- Lai, E.C. MicroRNAs: Runts of the genome assert themselves. Curr. Biol. 2003, 13, R925–936. [Google Scholar] [CrossRef] [PubMed]
- Shi, Z.; Zhang, J.; Qian, X.; Han, L.; Zhang, K.; Chen, L.; Liu, J.; Ren, Y.; Yang, M.; Zhang, A.; et al. AC1MMYR2, an inhibitor of dicer-mediated biogenesis of oncomir miR-21, reverses epithelial-mesenchymal transition and suppresses tumor growth and progression. Cancer Res. 2013, 73, 5519–5531. [Google Scholar] [CrossRef] [PubMed]
- Parisien, M.; Major, F. The MC-Fold and MC-Sym pipeline infers RNA structure from sequence data. Nature 2008, 452, 51–55. [Google Scholar] [CrossRef] [PubMed]
- Brown, C.J.; Ballabio, A.; Rupert, J.L.; Lafreniere, R.G.; Grompe, M.; Tonlorenzi, R.; Willard, H.F. A gene from the region of the human X inactivation centre is expressed exclusively from the inactive X chromosome. Nature 1991, 349, 38–44. [Google Scholar] [CrossRef] [PubMed]
- Gupta, R.A.; Shah, N.; Wang, K.C.; Kim, J.; Horlings, H.M.; Wong, D.J.; Tsai, M.C.; Hung, T.; Argani, P.; Rinn, J.L.; et al. Long non-coding RNA hotair reprograms chromatin state to promote cancer metastasis. Nature 2010, 464, 1071–1076. [Google Scholar] [CrossRef] [PubMed]
- Lee, M.P.; DeBaun, M.R.; Mitsuya, K.; Galonek, H.L.; Brandenburg, S.; Oshimura, M.; Feinberg, A.P. Loss of imprinting of a paternally expressed transcript, with antisense orientation to KVLQT1, occurs frequently in beckwith–wiedemann syndrome and is independent of insulin-like growth factor II imprinting. Proc. Natl. Acad. Sci. USA 1999, 96, 5203–5208. [Google Scholar] [CrossRef] [PubMed]
- Pasmant, E.; Laurendeau, I.; Heron, D.; Vidaud, M.; Vidaud, D.; Bieche, I. Characterization of a germ-line deletion, including the entire INK4/ARF locus, in a melanoma-neural system tumor family: Identification of ANRIL, an antisense noncoding RNA whose expression coclusters with ARF. Cancer Res. 2007, 67, 3963–3969. [Google Scholar] [CrossRef] [PubMed]
- Brownlee, G.G.; Sharps, J.L. The RNA polymerase of influenza a virus is stabilized by interaction with its viral RNA promoter. J. Virol. 2002, 76, 7103–7113. [Google Scholar] [CrossRef] [PubMed]
- Desselberger, U.; Racaniello, V.R.; Zazra, J.J.; Palese, P. The 3′ and 5′-terminal sequences of influenza A, B and C virus RNA segments are highly conserved and show partial inverted complementarity. Gene 1980, 8, 315–328. [Google Scholar] [CrossRef]
- Lee, M.K.; Bottini, A.; Kim, M.; Bardaro, M.F., Jr.; Zhang, Z.; Pellecchia, M.; Choi, B.S.; Varani, G. A novel small-molecule binds to the influenza a virus RNA promoter and inhibits viral replication. Chem. Commun. (Camb.) 2014, 50, 368–370. [Google Scholar] [CrossRef] [PubMed]





























© 2016 by the authors; licensee MDPI, Basel, Switzerland. This article is an open access article distributed under the terms and conditions of the Creative Commons Attribution (CC-BY) license (http://creativecommons.org/licenses/by/4.0/).
Share and Cite
Wang, M.; Yu, Y.; Liang, C.; Lu, A.; Zhang, G. Recent Advances in Developing Small Molecules Targeting Nucleic Acid. Int. J. Mol. Sci. 2016, 17, 779. https://doi.org/10.3390/ijms17060779
Wang M, Yu Y, Liang C, Lu A, Zhang G. Recent Advances in Developing Small Molecules Targeting Nucleic Acid. International Journal of Molecular Sciences. 2016; 17(6):779. https://doi.org/10.3390/ijms17060779
Chicago/Turabian StyleWang, Maolin, Yuanyuan Yu, Chao Liang, Aiping Lu, and Ge Zhang. 2016. "Recent Advances in Developing Small Molecules Targeting Nucleic Acid" International Journal of Molecular Sciences 17, no. 6: 779. https://doi.org/10.3390/ijms17060779
APA StyleWang, M., Yu, Y., Liang, C., Lu, A., & Zhang, G. (2016). Recent Advances in Developing Small Molecules Targeting Nucleic Acid. International Journal of Molecular Sciences, 17(6), 779. https://doi.org/10.3390/ijms17060779

