Abstract
The synthesis and properties of a series of bis-tetrathiafulvalenes (bis-TTFs) containing nitrophenyl, aminophenyl or dimethylaminophenyl is reported. The synthesis was carried out by using routes involving Wittig-type, cross-coupling, reduction and alkylation reactions. The electron donor ability of these new compounds has been measured by cyclic voltammetry (CV). Charge transfer complexes with tetracyanoquinodimethane (TCNQ) were prepared by chemical redox reactions. The complexes have been proven to give conducting materials.
1. Introduction
Tetrathiafulvalene (TTF) and its derivatives have attracted attention for many years because of their electron donor ability and the electrical conductivity of their charge transfer salts, which was started in 1973 with the synthesis of the tetrathiafulvalene-tetracyanoquinodimethane complex (TTF-TCNQ) by Cowan and coworkers [1]. Since then, the progress made in the synthesis of such molecules has been closely related to the discovery of new materials [2] exhibiting conducting [3–6], superconducting [7,8], magnetic [9–11], or optical properties [12,13].
The TTF core and its derivatives—due to their characteristics, in particular their stability and reversible redox character—have found a significant number of applications in materials chemistry [14] such as molecular switches rotaxanes and catenanes [15], conductive materials [16] and superconductors [17], complex with the C60 [18], conductive polymers [19], materials for nonlinear optics [13], sponges cations [20], ferromagnetic organic magnets [9], liquid crystals [21], and dendrimers [22]. Our research is focused on the conducting and superconducting materials in the hope to improve results in the field and to aim to find an organic superconductor at room temperature.
Dimeric tetrathiafulvalenes are currently of interest to chemists for their applications in organic molecular materials. They can be divides into two types: one is linked through conjugated π-systems and the other through non-conjugated σ-chains [2].
In a continuation of previous work of our group [23–25], in this paper we now describe the synthesis and properties of some new unsymmetrically π-donors of bis-TTFs which linked directly by σ-bond with alkyl chains of different lengths, containing nitrophenyl, aminophenyl or dimethylaminophenyl groups, synthesized via cross-coupling, reduction and alkylation methods. The redox behavior of such precursors has been studied by cyclic voltammetry and finally the electrical conductivity of charge transfer complexes was measured.
2. Results and Discussion
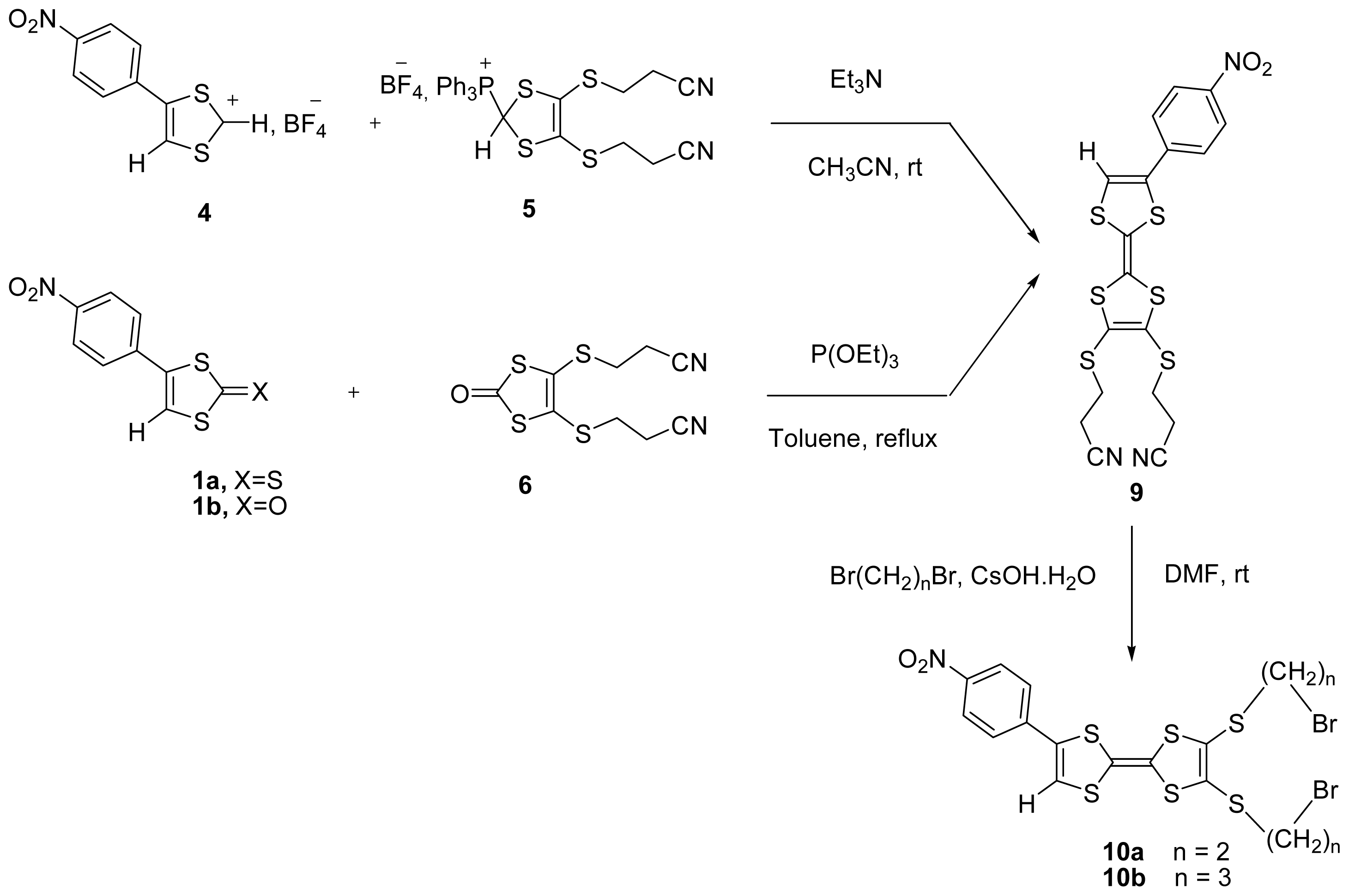
Several steps are needed to convert the 4-(p-nitrophenyl)-1,3-dithiole-2-thione 1a in the corresponding 4-(p-nitrophenyl)-1,3-dithiolium tetrafluoroborate 4 (Scheme 1).
Scheme 1.
Synthetic route for the preparation of 4-(p-nitrophenyl)-1,3-dithiolium salt 4.
The first step consists in methylating the thione 1a [26] with methyl triflate in anhydrous CH2Cl2 at 0 °C. The desired salt, 2-methylthio-4-(p-nitrophenyl)-1,3-dithiolium trifluoromethane sulfonate 2, isolated as a precipitate by simple addition of cold ether in 95% yield. During the second step, the salt 2 placed in suspension in ethanol is reduced by sodium borohydride at 0 °C. 2-methylthio-4-(p-nitrophenyl)-1,3-dithiole 3 is isolated as oil in 75% yield, which is treated directly in the next step. Finally, dethiomethylation of the reduced product 3 with tetrafluoroboric acid in acetic anhydride at 0 °C leads to 1,3-dithiolium 4 expected with a yield of 45%.
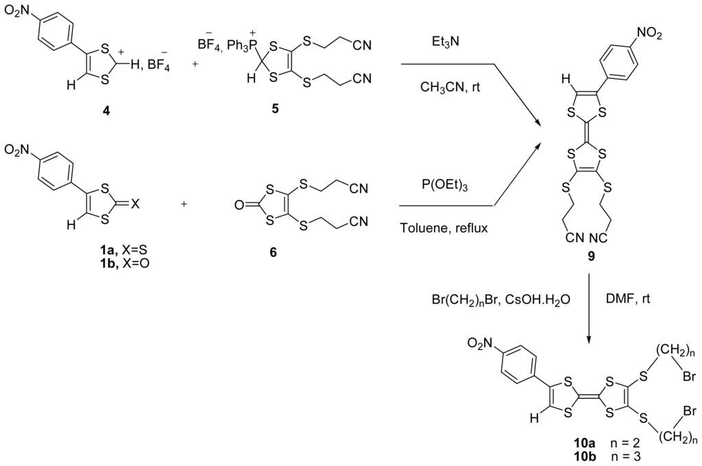
The synthesis of electron donors 9, 10a and 10b based on a multi-step procedure were carried out as shown in Scheme 2.
Scheme 2.
Synthetic route of mono-tetrathiafulvalenes (TTFs) 9 and 10.
We have synthesized 2,3-bis(2-cyanoethylthio)-6-p-nitrophenyl tetrathiafulvalene 9 by two different methodologies. The first involved a Wittig-type reaction using a weak base such as triethylamine which does not remove cyanoethyl protecting groups. The action of triethylamine in acetonitrile at room temperature on the phosphonium salt 4-(p-nitrophenyl)-1,3-dithiole-2-yl-triphenylphosphonium tetrafluoroborate 5 [27], generates the ylid, which reacts on the 1,3-dithiolium salt 4 to give the adduct intermediate. This is converted, by elimination of triphenylphosphine to 2,3-bis(2-cyanoethylthio)-6-p-nitrophenyl tetrathiafulvalene 9 in 30% yield.
The second route involved the reaction of chalcogenones 4-(p-nitrophenyl)-1,3-dithiole-2-thione 1a or 4-(p-nitrophenyl)-1,3-dithiole-2-one 1b [28] with 5-bis-(2-cyanoethylthio)-1,3-dithiole-2-one 6 [27], via a cross coupling method [29] in toluene at reflux in the presence of triethyl phosphite. As the reactivity of precursor 2-one was much higher than that of precursor 2-thione, mono-TTF 9 bearing two cyanoethylthio groups was obtained in 35% and 57% yield, respectively.
The deprotection of bis(2-cyanoethyl) groups of 9 with the aid of CsOH and sequentially reaction with 10 equivalents of 1,2-dibromoethane or 1,3-dibromopropane afforded the unsymmetrically functionalized mono-TTF derivatives 2,3-bis(2-bromoethylthio)-6-p-nitrophenyl tetrathiafulvalene 10a or 2,3-bis(3-bromopropylthio)-6-p-nitrophenyl tetrathiafulvalene 10b in 45% and 44% yield, respectively after purification by column chromatography.
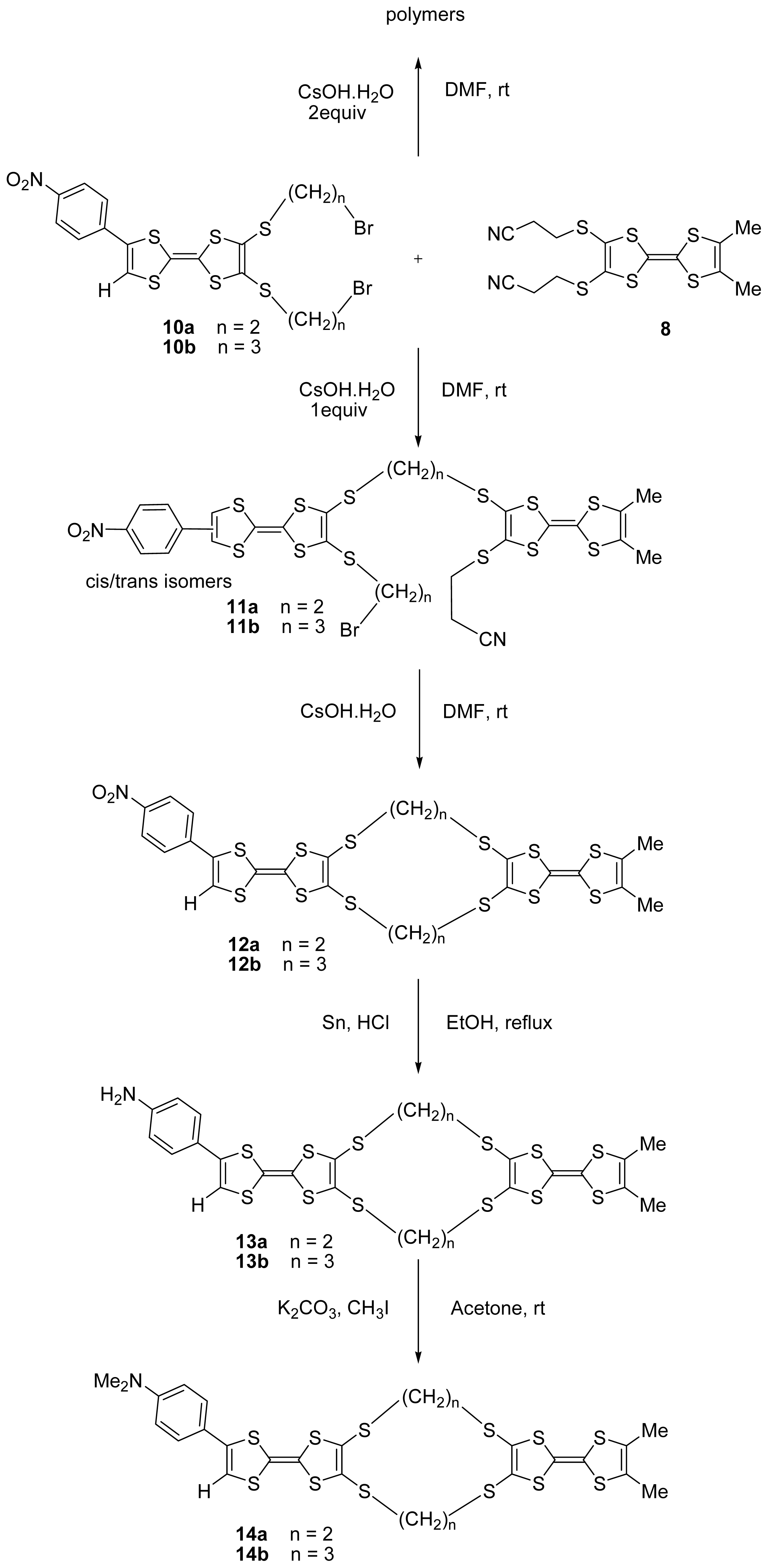
The syntheses of bis-TTFs 11–14, also based on a multi-step procedure, were carried out as shown in Scheme 3. The electrodonors 11a and 11b containing two TTF units were obtained in a mixture of cis/trans isomers in 40% and 38% yield, respectively, by using the reaction of 10a or 10b with 2,3-bis(2-cyanoethylthio)-6,7-di(methyl)tetrathiafulvalene 8 [30] using cesium hydroxide in DMF at room temperature. In this reaction, the risk of formation of a polymer is high, and to limit the polymerization it is necessary to work at high dilution (use a syringe pump). Thus, compounds 12a and 12b were obtained in 88% and 94% yield, respectively, by treatment of compounds 11a or 11b by cesium hydroxide in DMF at room temperature.
Scheme 3.
Synthetic route of bis-TTFs 11–14.
After, the nitro group of bis-TTFs 12a or 12b was reduced into an amino group in ethanol at reflux in the presence of tin and hydrochloric acid. The amino substituted bis-TTFs derivatives 13a or 13b were obtained after purification by column chromatography in 52% and 48% yield, respectively.
Finally the alkylation of amino bis-TTFs 13a or 13b was effected by treatment with K2CO3 (2 equiv.) and with 4 equivalents of iodomethane at room temperature, the dimethylamino bis-TTFs 14a or 14b were isolated by filtration and then extracted with CH2Cl2 and washed with water. 14a and 14b were obtained in 76% and 75% yields, respectively.
In the 1H NMR spectra of compound 9, protons of CH=C exhibit a singlet at δ 6.82 ppm, in addition, protons of CH2CN showed a triplet at 2.78 ppm and 2.83 ppm, with coupling constants of 7.07 Hz and 6.00 Hz, respectively. Thus, the protons SCH2 showed a triplet at 3.14 ppm and 3.21 ppm, with coupling constants of 7.07 Hz and 6.00 Hz, respectively. The 1H NMR spectra of the 10a,b revealed the absence of the CH2CH2CN group protons and the presence of (CH2)nBr protons. 10a showed two triplets at 3.30 ppm and at 3.85 ppm with coupling constants of 6.72 Hz and 6.33 Hz, respectively. 10b showed a multiplet at 2.15 ppm and two triplets at 2.93 ppm and at 3.55 ppm, with coupling constants of 6.78 Hz and 6.36 Hz, respectively. Further confirmation for the structure of 12a,b was obtained from their mass spectral data, where they showed ion peaks at [M + H]+ 739 and [M + H]+ 767, respectively, and by their 1H RMN spectra, the aromatic protons for 12a as two doublets at 7.55 ppm and at 8.25 ppm, with the same coupling constants of 9.37 Hz, as well as another characteristic triplet at 3.59 ppm for the two (CH2)2 groups protons. On the other hand, the spectrum of 12b exhibited a multiplet at 2.47 ppm for the two CH2CH2CH2 groups. Moreover, the spectra of 13a,b showed amino group protons as multiplet around 3.50–3.85 ppm. The final products 14a,b showed the absence of the amino group proton signals and the presence of dimethylamino group proton signals as singlets at 3.35 ppm and at 3.20 ppm, respectively.
2.1. Electrochemical Studies
The redox behavior of these new functional mono- and bis-TTF was studied in solution by cyclic voltammetry (CV) and by square wave voltammetry (SQW). Measurements were performed under nitrogen at room temperature using a glassy carbon working electrode, a Pt counter electrode and a standard calomel electrode (SCE) as reference, with tetrabutylammonium perchlorate (n-Bu4NClO4, 0.1 M) in dry acetonitrile, as supporting electrolyte. A scan rate of 100 m·Vs−1 was used. The CV measurements showed reversible redox waves for all the compounds studied and the corresponding oxidation potentials Eox were determined by the SQW technique. The results are summarized in Table 1.
Table 1.
Oxidation potential of mono- and bis-tetrathiafulvalenes (bis-TTF)s.
The type I (a) SQW curve shows two sharp oxidation waves each with one electron process for the mono-TTF (Figure 1a). This kind of voltammogramm is observed for compounds 9, 10a and 10b. The type II (b) SQW curve is observed for compounds 11a,b, 12a,b, 13a,b and 14a,b (Figure 1b). We can clearly see three oxidation peaks with respectively a 1, 1 and 2 electron process. The real distinction of the two first oxidation waves is clearly due to the difference of the two TTF units of the bis-TTFs.
Figure 1.
Voltammogram of mono-TTF 9 (type I) (a) and bis-TTF 14a (type II) (b).
The oxidation potentials are almost identical for each pair of bis-donors (11a, 11b), (12a, 12b), (13a, 13b) and (14a, 14b). The first oxidation potentials in each pair are shifted cathodically by 20 mV. This may be due to the alkyl linked group. The oxidation potentials of compounds 14a,b are slightly higher than that of compounds 13a,b, on the other hand, the compounds 12a,b are slightly higher than that of compounds 14a,b. This should be attributable to the electronic properties of the nitrophenyl, aminophenyl and dimethylaminophenyl groups. All the oxidation potential values measured for mono-TTFs were found higher than the oxidation potentials of bis-TTFs. These results showed the good donor ability of this new series of mono-TTFs derivatives, which consequently should lead to conducting materials.
2.2. Preparation and Electrical Conductivity of Charge Transfer Complexes
The first report on the electrical conductivity in an organic solid appeared in 1954 [31], namely, a perylene—bromine complex, which has a room-temperature conductivity of 0.1 S cm−1. In 1960, the organic acceptor TCNQ [32] was synthesized as well as a great number of its conducting charge-transfer complexes and radical ion salts.
In the 1970s, the organic donor TTF [33] led to the first organic metal TTF-TCNQ [1]. Its room-temperature conductivity (500 S cm−1) increases with a decrease of the temperature to the value of 6000 S cm−1 at 60 K where a metal-insulator transition occurs. Since then, great interest has been devoted to this type of material, and a great number of new organic donors and acceptors have been synthesized as well as their charge-transfer salts.
Therefore, the complexation of the donors 9–14 with 7,7,8,8-tetracyanoquinodimethane (TCNQ) in hot acetonitrile solution gave the corresponding charge transfer complexes (CTC). Most of the solids were isolated in powder forms. Electrical conductivity was only measured on compressed pellets at room temperature using a two probe technique. The results are reported in Table 2.
Table 2.
Electrical conductivity and melting points of charge transfer complexes.
For this family of materials, only CTC 9-TCNQ, 10a-TCNQ and 10b-TCNQ resulting from mono-TTFs, can be classified in the area of conductors. In fact, they have a conductivity measured on powder compressed pellets of 8.60 10−1 to 1.30 10−2 S cm−1, that allows a conductivity ten times greater on single crystal.
Other, CTC resulting from bis-TTFs can be classified in the category of semi-conductors materials with conductivities from 10−3 to 10−6 S cm−1. This can be due to a structural disorder and/or a full charge transfer of an electron for each molecule.
3. Experimental Section
3.1. General
NMR spectra were recorded on a Brucker AC 250 instrument. Microanalyses were performed in the Microanalysis Laboratory of ENSCM (Montpellier). FAB mass spectra were recorded on a JOEL JMS-DX 300 spectrometer. Uncorrected melting points were measured on a 510 Buchi apparatus. Cyclic voltammetry measurements were carried out on a PAR-273 potentiostat/galvanostat. All solvents were dried by standard methods and all commercial reagents used without purification. All reactions were performed under an inert atmosphere of nitrogen.
3.2. 2-Methylthio-4-(p-nitrophenyl)-1,3-dithiolium Trifluoromethane Sulfonate 2
A suspension of 4-(p-nitrophenyl)-1,3-dithiole-2-thione 1a (4.28 g, 16.81 mmol) in dry methylene chloride (25 mL) was treated with methyl triflate (2.4 mL, 19.2 mmol) at 0 °C. The mixture was stirred under nitrogen for 4 h and dry ether (150 mL) was added. The violet-orange salt 2 was obtained by filtration after 24 h, washed with more dry ether, and dried. Yield = 95%; orange powder, mp = 237 °C; 1H NMR (CDCl3) δ ppm: 3.10 (s, 3H, CH3S); 7.37 (s, 1H, HC-S); 7.53 (m, 2Harom); 8.24 (m, 2Harom); M.S: (NOBA, FAB > 0): 420 [M + H]+; M = 419; Anal. Calcd for C11H8S4NO5F3: C, 31.49; H, 1.92; S, 30.57; found: C, 31.70; H, 2.14; S, 30.60.
3.3. 2-Methylthio-4-(p-nitrophenyl)-1,3-dithiole 3
A suspension of 2 (7.73 g, 18.45 mmol) in dry ethanol (10 mL) was treated with NaBH4 (3.41 g, 92.25 mmol) at 0 °C under nitrogen. After the reaction mixture was stirred for 2 h, the solvent was evaporated under vacuum. The residue was dissolved in dichloromethane (100 mL), washed three times with water and dried over magnesium sulphate; the product was obtained after evaporation. Yield = 75%; TLC: Rf = 0.85 (CH2Cl2); dark red oil; 1H NMR (CDCl3) δ ppm: 2.84 (s, 3H, CH3S); 5.63 (s, 1H); 7.15 (s, 1H, HC-S); 7.33 (m, 2Harom); 8.00 (m, 2Harom); M.S: (NOBA, FAB > 0): 272 [M + H]+; M = 271; Anal. Calcd for C10H9S3NO2: C, 44.25; H, 3.34; S, 35.44; found: C, 44.00; H, 3.07; S, 35.75.
3.4. 4-(p-Nitrophenyl)-1,3-dithiolium Tetrafluoroborate 4
Tetrafluoroboric acid (0.92 g, 10.60 mmol) was added dropwise under nitrogen to a solution of 3 (2.61g, 9.64 mmol) in 30 mL of acetic anhydride at 0 °C. The reaction mixture was stirred for 15 min, then anhydrous ether was added. The 1,3-dithilium salt was precipitated, collected by filtration and washed with ether. Yield = 45%; white powder, mp = 253 °C; 1H NMR (CDCl3) δ ppm: 7.50 (m, 2Harom); 7.85 (s, 1H, HC=C-S); 8.20 (m, 2Harom); 9.35 (s, 1H); M.S: (NOBA, FAB > 0): 312 [M + H]+; M = 311; Anal. Calcd for C9H6S2NO2BF4: C, 34.74; H, 1.94; S, 20.61; found: C, 34.98; H, 2.16; S, 20.96.
3.5. 2,3-Bis(2-cyanoethylthio)-6-p-nitrophenyl Tetrathiafulvalene 9
3.5.1. Method 1
4-(p-Nitrophenyl)-1,3-dithiole-2-thione 1a [26] or 4-(p-nitrophenyl)-1,3-dithiole-2-one 1b [28] and 5-bis-(2-cyanoethylthio)-1,3-dithiole-2-one 6 [27] were synthesized as described in the literature. Under a nitrogen atmosphere, 25 mL of freshly distilled triethyl phosphite was added to the mixture of 1a (0.5 g, 1.96 mmol) or 1b (0.5 g, 2.09 mmol) and 6 (1 equiv.). The resulting mixture was heated over an oil bath up to 110 °C and stirred for a further 4 h. The solvent was then removed under reduced pressure. Compound 9 was obtained by column chromatography of the residue (silica gel, eluting with dichloromethane and petroleum ether (2:1)) in 35% and 57% yield, respectively.
3.5.2. Method 2
A solution of the dithiolium salt 4 (0.5 g, 1.60 mmol) and (4,5-bis((2-cyanoethyl)thio)-1,3-dithiol-2-yl)triphenylphosphonium tetrafluoroborate 5 (0.99 g, 1.60 mmol) in acetonitrile (30 mL) was treated with triethylamine (0.27 mL, 1.92 mmol) at room temperature under nitrogen and the reaction mixture was stirred for 4 h, the solvent was evaporated under vacuum. The residue was purified by column chromatography on silica gel with dichloromethane and petroleum ether (2:1) as the eluent to afford 9 in 30% yield.
TLC: Rf = 0.53 (CH2Cl2/petroleum ether) (2:1); dark-violet powder, mp = 175 °C; 1H NMR (CDCl3) δ ppm: 2.78 (t, 2H, CH2S, J = 7.07 Hz); 2.83 (t, 2H, CH2S, J = 6.00 Hz); 3.14 (t, 2H, CH2CN, J = 7.07 Hz); 3.21 (t, 2H, CH2CN, J = 6.00 Hz); 6.82 (s, 1H, C=CH); 7.40 (d, 2Harom, J = 9.00 Hz); 8.28 (d, 2Harom, J = 9.00 Hz); M.S: (NOBA, FAB > 0): 496 [M + H]+; M = 495; Anal. Calcd for C18H13S6N3O2: C, 43.61; H, 2.64; S, 38.81; found: C, 43.40; H, 2.40; S, 39.06.
3.6. Synthesis of Mono-TTFs 10a and 10b
Cesium hydroxide monohydrate (0.62 g, 3.72 mmol) in dry methanol (10 mL) was added to tetrathiafulvalene dicyano derivative 9 (0.5 g, 1.69 mmol) dissolved in dry and degassed DMF (30 mL). The reaction mixture was stirred for 10 min, the colour becoming dark violet. Then, an excess of 1,2-dibromoethane or 1,3-dibromopropane (10 equiv.) was added in one portion. The colour of the reaction mixture became clear, and the reaction mixture was stirred at room temperature for 1 h. The solvent was removed in vacuo, the residue was dissolved in dichloromethane (100 mL), washed three times with water and dried over magnesium sulphate. The mixture was concentrated in vacuo and the residue was purified by chromatography on a silica gel column (eluent: dichloromethane).
2,3-Bis(2-bromoethylthio)-6-p-nitrophenyl tetrathiafulvalene 10a: Yield = 45%; TLC: Rf = 0.85 (CH2Cl2); dark-violet powder, mp = 93 °C; 1H NMR (CDCl3) δ ppm: 3.30 (t, 4H, SCH2, J = 6.72 Hz); 3.85 (t, 4H, CH2Br, J = 6.33 Hz); 6.80 (s, 1H, C=CH); 7.55 (d, 2Harom, J = 9.28 Hz); 8.17 (d, 2Harom, J = 9.28 Hz); M.S: (NOBA, FAB > 0): 604 [M + H]+; M = 603; Anal. Calcd for C15H14S6NO2Br: C, 31.84; H, 2.17; S, 31.88; found: C, 32.09; H, 2.37; S, 31.73.
2,3-Bis(3-bromopropylthio)-6-p-nitrophenyl tetrathiafulvalene 10b: Yield = 44%; TLC: Rf = 0.85 (CH2Cl2); dark-violet powder, mp = 84 °C; 1H NMR (CDCl3) δ ppm: 2.15 (m, 4H, SCH2CH2CH2Br, J = 6.58 Hz); 2.93 (t, 4H, SCH2, J = 6.78 Hz); 3.55 (t, 4H, CH2Br, J = 6.36 Hz); 6.76 (s, 1H, C=CH); 7.50 (d, 2Harom, J = 9.38 Hz); 8.20 (d, 2Harom, J = 9.38 Hz); M.S: (NOBA, FAB > 0): 632 [M + H]+; M = 631; Anal. Calcd for C16H16S6NO2Br: C, 34.23; H, 2.71; S, 30.46; found: C, 34.03; H, 2.56; S, 30.76.
3.7. Synthesis of Bis-TTFs 11a and 11b
Compounds 11a and 11b were synthesized by employing the same experimental process as 10 from 1 equiv. of 10a or 10b, 1 equiv. of 2,3-bis(2-cyanoethylthio)-6,7-di(methyl)tetrathiafulvalene 8 and 1 equiv. of cesium hydroxide.
p-Nitrophenyl bis-tetrathiafulvalene 11a: Yield = 40%; TLC: Rf = 0.74 (CH2Cl2); violet powder, mp = 104 °C; 1H NMR (CDCl3) δ ppm: 1.84 (s, 6H, C=CMe); 2.84 (t, 2H, CH2S, J = 7.05 Hz); 3.19 (t, 2H, CH2CN, J = 7.05 Hz); 3.37 (t, 2H, SCH2, J = 6.70 Hz); 3.89 (t, 2H, CH2Br, J = 6.35 Hz); 3.62 (t, 4H, SCH2, J = 7.37 Hz); 6.85 (s, 1H, C=CH); 7.56 (d, 2Harom, J = 9.39 Hz); 8.26 (d, 2Harom, J = 9.39 Hz); M.S: (NOBA, FAB > 0): 869 [M + H]+; M = 868; Anal. Calcd for C27H19S12N2O2Br: C, 37.35; H, 2.21; S, 44.32; found: C, 37.60; H, 2.46; S, 44.12.
p-Nitrophenyl bis-tetrathiafulvalene 11b: Yield = 38%; TLC: Rf = 0.74 (CH2Cl2); violet powder, m.p. = 96 °C; 1H NMR (CDCl3) δ ppm: 1.80 (s, 6H, C=CMe); 2.81 (t, 2H, CH2S, J = 7.05 Hz); 3.16 (t, 2H, CH2CN, J = 7.05 Hz); 2.09 (m, 2H, SCH2CH2CH2Br, J = 6.56 Hz); 2.88 (t, 2H, SCH2, J = 6.74 Hz); 3.52 (t, 2H, CH2Br, J = 6.30 Hz); 2.45 (m, 2H, SCH2CH2CH2S); 2.95 (t, 4H, SCH2); 6.82 (s, 1H, C=CH); 7.54 (d, 2Harom, J = 9.39 Hz); 8.24 (d, 2Harom, J = 9.39 Hz); M.S: (NOBA, FAB > 0): 897 [M + H]+; M = 896; Anal. Calcd for C29H23S12N2O2Br: C, 38.87; H, 2.59; S, 42.93; found: C, 39.07; H, 2.80; S, 42.74.
3.8. Synthesis of Bis-TTFs 12a and 12b
Compounds 12a and 12b were synthesized by employing the same experimental process as 10 from 1 equiv. of 11a or 11b and 1 equiv. cesium hydroxide.
p-Nitrophenyl bis-tetrathiafulvalene 12a: Yield = 88%; TLC: Rf = 0.70 (CH2Cl2); violet powder, mp = 163 °C; 1H NMR (CDCl3) δ ppm: 1.55 (s, 6H, C=CMe); 3.59 (t, 8H, SCH2, J = 7.40 Hz); 6.83 (s, 1H, C=CH); 7.55 (d, 2Harom, J = 9.37 Hz); 8.25 (d, 2Harom, J = 9.37 Hz); M.S: (NOBA, FAB > 0): 739 [M + H]+; M = 738; Anal. Calcd for C24H21S12NO2: C, 39.05; H, 2.59; S, 52.12; found: C, 39.30; H, 2.69; S, 51.92.
p-Nitrophenyl bis-tetrathiafulvalene 12b: Yield = 94%; TLC: Rf = 0.70 (CH2Cl2); violet powder, m.p. = 155 °C; 1H NMR (CDCl3) δ ppm: 1.55 (s, 6H, C=CMe); 2.47 (m, 4H, SCH2CH2CH2S); 2.99 (t, 8H, SCH2); 6.83 (s, 1H, C=CH); 7.55 (d, 2Harom, J = 9.39 Hz); 8.25 (d, 2Harom, J = 9.39 Hz); M.S: (NOBA, FAB > 0): 767 [M + H]+; M = 766; Anal. Calcd for C25H23S12NO2: C, 40.75; H, 3.02; S, 50.21; found: C, 40.95; H, 3.17; S, 49.96.
3.9. Synthesis of Bis-TTFs 13a and 13b
A stirred mixture of 4-p-nitrophenyl-bis-TTFs derivatives 12a or 12b (4 mmol), tin (0.94 g, 8 mmol), and aqueous solution of HCl (35%) (1.8 mL, 20 mmol) in ethanol (30 mL) was refluxed for 4 h under nitrogen. During this time the initial black solution turned light yellow. The solution was then concentrated in vacuo and treated with an aqueous solution (100 mL) of sodium hydroxide (0.1 M) and extracted with ether. The organic phase was washed with water, dried (MgSO4), and concentrated in vacuo. The product was subjected to column chromatography on silica gel (CH2Cl2), affording the expected compounds 13a and 13b as powder.
p-Aminophenyl bis-tetrathiafulvalene 13a: Yield = 52%; TLC: Rf = 0.62 (CH2Cl2); dark-orange powder, mp = 138 °C; 1H NMR (CDCl3) δ ppm: 1.53 (s, 6H, C=CMe); 3.50 (t, 8H, SCH2, J = 7.38 Hz); 3.55–3.85 (m, 2H, NH2); 6.72 (s, 1H, C=CH); 6.60 (d, 2Harom, J = 8.47 Hz); 7.09 (d, 2Harom, J = 8.37 Hz); M.S: (NOBA, FAB > 0): 709 [M + H]+; M = 708; Anal. Calcd for C24H23S12N: C, 40.70; H, 2.98; S, 54.33; found: C, 40.97; H, 3.09; S, 54.04.
p-Aminophenyl bis-tetrathiafulvalene 13b: Yield = 48%; TLC: Rf = 0.62 (CH2Cl2); dark-orange powder, m.p. = 132 °C; 1H NMR (CDCl3) δ ppm: 1.54 (s, 6H, C=CMe); 2.44 (m, 4H, SCH2CH2CH2S); 2.95 (t, 8H, SCH2); 3.50–3.80 (m, 2H, NH2); 6.70 (s, 1H, C=CH); 6.60 (d, 2Harom, J = 8.37 Hz); 7.09 (d, 2Harom, J = 8.49 Hz); M.S: (NOBA, FAB > 0): 737 [M + H]+; M = 736; Anal. Calcd for C25H25S12N: C, 42.41; H, 3.42; S, 52.26; found: C, 42.70; H, 3.54; S, 52.10.
3.10. Synthesis of Bis-TTFs 14a and 14b
To a stirred solution of 4-aminophenyl-bis-TTF 13a or 13b (3 mmol) and of iodomethane (0.75 mL, 12 mmol) in acetone (15 mL) under nitrogen, K2CO3 (0.83 g, 6 mmol) was added. After 4 days of stirring at room temperature, the precipitate obtained was filtered, washed with acetone, and then extracted with CH2Cl2. The organic phase was dried (MgSO4) and concentrated in vacuo, providing the expected compounds 14a and 14b as dark orange powder.
p-Dimethylaminophenyl bis-tetrathiafulvalene 14a: Yield = 76%; TLC: Rf = 0.78 (CH2Cl2); orange powder, mp = 182 °C; 1H NMR (CDCl3) δ ppm: 1.53 (s, 6H, C=CMe); 3.35 (s, 6H, NMe2); 3.51 (t, 8H, SCH2, J = 7.37 Hz); 6.61 (s, 1H, C=CH); 7.71 (d, 2Harom, J = 8.85 Hz); 8.00 (d, 2Harom, J = 8.90 Hz); M.S: (NOBA, FAB > 0): 737 [M + H]+; M = 736; Anal. Calcd for C26H27S12N: C, 42.41; H, 3.42; S, 52.26; found: C, 42.13; H, 3.28; S, 52.57.
p-Dimethylaminophenyl bis-tetrathiafulvalene 14b: Yield = 75%; TLC: Rf = 0.78 (CH2Cl2); orange powder, mp = 176 °C; 1H NMR (CDCl3) δ ppm: 1.54 (s, 6H, C=CMe); 2.43 (m, 4H, SCH2CH2CH2S); 2.96 (t, 8H, SCH2); 3.35 (s, 6H, NMe2); 6.60 (s, 1H, C=CH); 7.71 (d, 2Harom, J = 8.85 Hz); 8.00 (d, 2Harom, J = 8.90 Hz); M.S: (NOBA, FAB > 0): 765 [M + H]+; M = 764; Anal. Calcd for C27H29S12N: C, 44.00; H, 3.82; S, 50.34; found: C, 43.76; H, 3.63; S, 50.71.
4. Conclusions
In summary, we have successfully prepared via Wittig-type, cross-coupling, reduction and alkylation synthetic strategies some new mono-TTFs and bis-TTFs containing nitrophenyl, aminophenyl or dimethylaminophenyl groups. All donors synthesized during the course of this work have been characterized by cyclic voltammetry and their oxidation potentials were determined by cyclic voltammetry. Charge transfer complexes of the donors with TCNQ were prepared and the electrical conductivity of these materials was measured, some CTC are conductive.
Acknowledgments
This work was partially supported by Algerian Research Ministry, MERS.
References
- Ferraris, J.; Cowan, D.O.; Walatka, V.; Perlstein, J.H. Electron transfer in a new highly conducting donor-acceptor complex. J. Am. Chem. Soc 1973, 95, 948–949. [Google Scholar]
- Segura, J.L.; Martin, N. New concepts in tetrathiafulvalene chemistry. Angew. Chem. Int. Ed 2001, 40, 1372–1409. [Google Scholar]
- Fabre, J.M. Dimensionality and electrical properties in organic synthetic metals—Current results through selected recent examples. J. Solid State Chem 2002, 168, 367–383. [Google Scholar]
- Clemente-León, M.; Coronado, E.; Galan-Mascaros, J.R.; Gime-nez-Saiz, C.; Gomez-Garcia, C.J.; Fabre, J.M.; Mousdis, G.A.; Papavassiliou, G.C. Hybrid molecular materials based upon organic π-electron donors and inorganic metal complexes. conducting salts of bis(ethylenediseleno)tetrathiafulvalene (BEST) with the octahedral anions hexacyanoferrate(III) and nitroprusside. J. Solid State Chem 2002, 168, 616–625. [Google Scholar]
- Devic, T.; Evain, M.; Moelo, Y.; Canadell, E.; Auban-Senzier, P.; Fourmigué, M.; Batail, P. Single crystalline commensurate metallic assemblages of π-slabs and CdI2-type layers: Synthesis and properties of β-(EDT-TTF-I2)2[Pb5/61/6I2]3 and β-(EDT-TTF-I2)2[Pb2/3+xAg1/3-2xxI2]3, x = 0.05. J. Am. Chem. Soc 2003, 125, 3295–3301. [Google Scholar]
- Suzuki, W.; Fujiwara, E.; Kobayashi, A.; Fujishiro, Y.; Nishibori, E.; Takata, M.; Sakata, M.; Fujiwara, H.; Kobayashi, H. Highly conducting crystals based on single-component gold complexes with extended-TTF dithiolate ligands. J. Am. Chem. Soc 2003, 125, 1486–1487. [Google Scholar]
- Nishikawa, H.; Machida, A.; Morimoto, T.; Kikuchi, K.; Kodama, T.; Ikemoto, I.; Yamada, J.-I.; Yoshino, H.; Murata, K. A new organic superconductor, (DODHT)2BF4·H2O. Chem. Commun 2003, 494–495. [Google Scholar]
- Yamada, J.I.; Toita, T.; Akutsu, H.; Nakatsuji, S.; Nishikawa, H.; Ikemoto, I.; Kikuchi, K.; Choi, E.S.; Graf, D.; Brooks, J.S. A new organic superconductor, β-(BDA-TTP)2GaCl4[BDA-TTP = 2,5-(1,3-dithian-2-ylidene)-1,3,4,6-tetrathiapentalene]. Chem. Commun 2003, 2230–2231. [Google Scholar]
- Coronado, E.; Galan-Mascaros, J.R.; Gimenez-Saiz, C.; Gomez-Garcia, C.J.; Ruis-Perez, C. Hybrid organic/inorganic molecular materials formed by tetrathiafulvalene radicals and magnetic trimeric clusters of dimetallic oxalate-bridged complexes: The series (TTF)4{MII(H2O)2[MIII(ox)3]2}·nH2O (MII = Mn, Fe, Co, Ni, Cu and Zn; MIII = Cr and Fe; ox = C2O42−). Eur. J. Inorg. Chem 2003, 2003, 2290–2298. [Google Scholar]
- Miyazaki, A.; Okabe, K.; Enomoto, K.; Nishijo, J.; Enoki, T.; Setifi, F.; Golhen, S.; Ouahab, L.; Toita, T.; Yamada, J.I. π-d Interaction-based molecular magnets. Polyhedron 2003, 22, 2227–2234. [Google Scholar]
- Enoki, T.; Yamazaki, H.; Okabe, K.; Enomoto, K.; Kato, T.; Miyazaki, A.; Ogura, E.; Kuwqatani, Y.; Iyoda, M. Unconventional TTF-based molecular magnets. Synth. Met 2003, (133–134), 501–503. [Google Scholar]
- Otero, M.; Herranz, M.A.; Seoane, C.; Martin, N.; Garin, J.; Orduna, J.; Alcala, R.; Villacampa, B. Synthesis and properties of push-pull chromophores for second-order nonlinear optics derived from π-extended tetrathiafulvalenes (TTFs). Tetrahedron 2002, 58, 7463–7475. [Google Scholar]
- Farren, C.; Christensen, C.A.; Fitzgerald, S.; Bryce, M.R.; Beeby, A. Synthesis of novel phthalocyanine-tetrathiafulvalene hybrids; intramolecular fluorescence quenching related to molecular geometry. J. Org. Chem 2002, 67, 9130–9139. [Google Scholar]
- Bryce, M.R. Functionalised tetrathiafulvalenes: New applications as versatile π-electron systems in materials chemistry. J. Mater. Chem 2000, 10, 589–598. [Google Scholar]
- Asakawa, M.; Ashton, P.R.; Balzani, V.; Credi, A.; Hamers, C.; Mattersteig, G.; Montalti, M.; Shipway, A.N.; Spencer, N.; Stoddart, J.F.; et al. A chemically and electrochemically switchable [2] catenane incorporating a tetrathiafulvalene unit. Angew. Chem. Int. Engl 1998, 37, 333–337. [Google Scholar]
- Laukhina, E.; Vidal-Gancedo, J.; Laukhin, V.; Veciana, J.; Chuev, I.; Tkacheva, V.; Wurst, K.; Rovira, C. Multistability in a BEDT-TTF based molecular conductor. J. Am. Chem. Soc 2003, 125, 3948–3953. [Google Scholar]
- Nishikawa, H.; Machida, A.; Morimoto, T.; Kikuchi, K.; Kodama, T.; Ikemoto, I.; Yamada, J.I.; Yoshino, H.; Murata, K. A new organic superconductor, (DODHT)2BF4·H2O. Chem. Commun 2003, 494–495. [Google Scholar]
- Martin, N.; Sanchez, L.; Guldi, D.M. Stabilisation of charge-separated states via gain of aromaticity and planarity of the donor moiety in C60-based dyads. Chem. Commun 2000, 113–114. [Google Scholar]
- Roncali, J. Linearly extended π-donors: When tetrathiafulvalene meets conjugated oligomers and polymers. J. Mater. Chem 1997, 7, 2307–2321. [Google Scholar]
- Hansen, T.K.; Jorgensen, T.; Stein, P.C.; Becher, J. Crown ether derivatives of tetrathiafulvalene. J. Org. Chem 1992, 57, 6403–6409. [Google Scholar]
- Bengs, H.; Ebert, M.; Karthaus, O.; Kohne, B.; Praefcke, K.; Ringsdorf, H.; Wendorff, J.H.; Wustefeld, R. Induction and variation of discotic columnar phases through doping with electron acceptors. Adv. Mater 1990, 2, 141–144. [Google Scholar]
- Bryce, M.R.; Devonport, W.; Goldenberg, L.M.; Wang, C. Macromolecular tetrathiafulvalene chemistry. Chem. Commun 1998, 9, 945–952. [Google Scholar]
- Abbaz, T.; Gouasmia, A.K.; Fujiwara, H.; Hiraoka, T.; Sugimoto, T.; Taillefer, M.; Fabre, J.M. New TTF and bis-TTF containing thiophene units: Electrical properties of the resulting salts. Synth. Met 2007, 157, 508–516. [Google Scholar]
- Subias, G.; Abbaz, T.; Fabre, J.M.; Fraxedas, J. Characterization of the anion-ordering transition in (TMTTF)2ReO4 by x-ray absorption and photoemission spectroscopies. Phys. Rev. B 2007, 76, 085103–085107. [Google Scholar]
- Lamère, J.F.; Malfant, I.; Sournia-Saquet, A.; Lacroix, P.G.; Fabre, J.M.; Kaboub, L.; Abbaz, T.; Gouasmia, A.K.; Asselberghs, I.; Clays, K. Quadratic nonlinear optical response in partially charged donor-substituted tetrathiafulvalene: From a computational investigation to a rational synthetic feasibility. Chem. Mater 2007, 19, 805–815. [Google Scholar]
- Clausen, R.P.; Becher, J. The 1,2,3-thiadiazole route to new vinylogue tetrathiafulvalenes. Tetrahedron 1996, 52, 3171–3188. [Google Scholar]
- Binet, L.; Fabre, J.M.; Montginoul, C.; Simonsen, K.B.; Becker, J. Reparation and chemistry of new unsymmetrically substituted tetrachalcogenofulvalenes bearing CN(CH2)2X and HO(CH2)2X groups (X = S or Se). J. Chem. Soc. Perkin Trans 1996, 1, 783–788. [Google Scholar]
- Campaigne, E.; Hamilton, R.D.; Jacobsen, N.W. Dithiolium derivatives. II. Some new 1,3-dithiolium perchlorates. J. Org. Chem 1964, 29, 1708–1710. [Google Scholar]
- Misaki, Y.; Nishikawa, H.; Kawakami, K.; Yamabe, T.; Mori, T.; Inokuchi, H.; Mori, H.; Tanaka, S. Ethylenedioxy substituted 2,5-bis(1′,3′-dithiol-2′-ylidene)-1,3,4,6-tetrathiapentalenes and their conducting salts. Chem. Lett 1993, 22, 2073–2076. [Google Scholar]
- Binet, L.; Fabre, J.M. Synthesis of new functionalized π-electron donors: Primary hydroxy and primary amino multisulfur tetrathiafulvalenes. Synthesis 1997, 10, 1179–1184. [Google Scholar]
- Akamatu, H.; Inokuchi, H.; Matsunaga, Y. Organic semiconductors with high conductivity. I. Complexes between polycyclic aromatic hydrocarbons and halogens. Bull. Chem. Soc. Jpn 1956, 29, 213–218. [Google Scholar]
- Acker, D.S.; Harder, R.J.; Hertler, W.R.; Mahler, W.; Melby, L.R.; Benson, R.E.; Mochel, W.E. 7,7,8,8-tetracyanoqunodimethane and its electrically conducting anion-radical derivatives. J. Am. Chem. Soc 1960, 82, 6408–6409. [Google Scholar]
- Wudl, F.; Smith, G.M.; Hufnagel, E. 1,3-Bis-dithiole chloride. J. Chem. Soc. D Chem. Commun 1970, 1453–1954. [Google Scholar]
© 2012 by the authors; licensee Molecular Diversity Preservation International, Basel, Switzerland. This article is an open-access article distributed under the terms and conditions of the Creative Commons Attribution license (http://creativecommons.org/licenses/by/3.0/).



