Abstract
This review of the current literature aims to study correlations between the chemical structure and gastric anti-ulcer activity of tannins. Tannins are used in medicine primarily because of their astringent properties. These properties are due to the fact that tannins react with the tissue proteins with which they come into contact. In gastric ulcers, this tannin-protein complex layer protects the stomach by promoting greater resistance to chemical and mechanical injury or irritation. Moreover, in several experimental models of gastric ulcer, tannins have been shown to present antioxidant activity, promote tissue repair, exhibit anti Helicobacter pylori effects, and they are involved in gastrointestinal tract anti-inflammatory processes. The presence of tannins explains the anti-ulcer effects of many natural products.
1. Introduction
Tannins are poly-phenols present in plants, foods and beverages, and are of great economic and ecological interest [1–7]. They are water soluble and with molecular weights ranging between 500 and 3000 Daltons. They also form complexes with water-insoluble proteins, alkaloids and gelatin. They are responsible for the astringent taste of many fruits and vegetables, causing precipitation of salivary glycol-proteins and reducing oral lubrication [8].
Being phenolic compounds, tannins are chemically reactive and form inter and intra-molecular hydrogen bonds. They are easily oxidized by specific plant enzymes and influenced by metals such as ferric chloride, (which causes a darkening solution). Classically, the chemical structures of tannins are divided into two groups: hydrolysable, and condensed. The hydrolysable tannins consist of gallic acid esters, and ellagic acid glycosides, formed from shikimate, where the hydroxyl sugar groups are esterified with phenolic acids [9].
Ellagitannins are much more frequent in nature than gallic tannins, and it is likely that the hexahydroxydiphenílic biphenyl acid system results from oxidative coupling between two gallic acids. Largely found in the plant kingdom, condensed tannins or proanthocyanidins are polymers of flavan-3-ol and/or flavan-3,4-diol products of phenylpropanol metabolism [10]. Proanthocyanidins, (probably so named because of red pigments from the classes of anthocyanidins, cyanidin and delphinidin), have a rich structural diversity resulting from substitutions between flavan units, a great diversity of positions, connections, and compound stereochemistry [9].
Many plant species producing tannins are used in folk medicine for different purposes. The tannin’s drug applications are mainly related to their astringent properties. They exert internal anti-diarrheal and antiseptic effects by waterproofing the outer layers of more exposed mucous membranes. Precipitating proteins, tannins provide antimicrobial and antifungal effects. Tannins are also haemostatic, and can serve as an antidote in poisoning cases [8]. In the process of healing wounds, burns and inflammations, tannins help by forming a protective layer (tannin-protein/tannin-polysaccharide complex), over injured epithelial tissues permitting the healing process below to occur naturally [9]. Studies show that many tannins act as radical scavengers, intercepting active free radicals [9], various degenerative diseases such cancer, multiple sclerosis, atherosclerosis and aging process itself are associated with high concentrations of intercellular free radicals.
In the course of our continuing search for naturally bioactive products from plants, we have published plant extract and compound reviews demonstrating various activities such as: inhibition of mammary, cervical uterine, and ovarian neoplasia [11–13]; inhibition of hydroxy-3-methyl-glutaryl (HMG) CoA reductase, of angiotensin-converting enzyme (ACE), and of acetylcholinesterase (AChE) [14–16]; of convulsion, and anxiety disorders [17,18]; central analgesic activity [19] a treatment for Parkinson’s disease [20]; a preventative for osteoporosis [21]; an antileishmanial [22]; a giardicide [23]; an anti-leprotic [24]; an anti-hypoglycemic [25] an anti-inflammatory [26–29]; a malaria treatment [30]; anti-ulcer activities [31] and effects on HIV-1 Protease [32]. Our group has also reviewed both poisonous and medicinal plants in Northeastern Brazil [33,34], among others [35–54].
In a previous paper, this research group reviewed alkaloids and flavonoids with anti-ulcer activity [55,56]. The aim of this study is to review the literature on the bioactivity of tannins against the peptic ulcer.
2. Pathophysiology of the Peptic Ulcer
Peptic ulcer is one of the world’s major gastro-intestinal disorders, embracing both gastric and duodenal ulcers, and affecting 10% of the world population [57]. The patho-physiology of peptic disease is attributed to the imbalance between aggressive factors like acid, pepsin, and Helicobacter infection, and the local mucosa defenses like bicarbonate secretion, mucus and prostaglandins [58]. Helicobacter pylori infection, use of non-steroidal anti-inflammatory drugs-NSAIDs, emotional stress, alcohol abuse, and smoking are the principal etiological factors associated with peptic ulcer [59].
In Helicobacter pylori infections a gram negative bacterium colonizes the human stomach, and is a risk factor for the development of peptic ulcer and gastric adenocarcinoma [60]. The vacuolating cytototoxin (VacA) is a major virulence factor, and causes cell vacuolation and subsequent tissue damage [61,62]. Other bacterial factors also involved in the development of peptic ulcers are cytotoxin-associated gene island pathogenicity (CagA), lipopolysaccharides, flagellin and urease [62].
Tissue damage to the gastrointestinal mucosa (or hemorrhagic injury) is produced by exogenous compounds as well, mainly NSAIDs and ethanol [63]. NSAIDs damage the stomach by suppressing synthesis of gastric prostaglandins. Gastric acid exacerbates NSAID effects by deepening superficial lesions, interfering with platelet aggregation, and impairing the ulcer healing process [59].
The suppression of stomach acid secretions is a key therapeutic target for ulcers, and includes the use of antacids, specific muscarinic M1 receptor antagonists, targeting gastrin receptors and histamine H2 receptors, and the use of proton pump inhibitors [58].
The exposure of gastric mucosa to aggressive factors such as absolute ethanol, stress, and ischemia followed by reperfusion, and the use of NSAIDs produce pathological changes and the development of inflammation, hemorrhagic erosions, and ulcers with the acute involvement of free radicals, or Reactive Oxygen Species (ROS) [64–66]. These radicals are normally neutralized by the action of the antioxidant system consisting of organic substances containing thiol groups such as glutathione, vitamins C and E, NADPH, antioxidant enzymes such as peroxidase, superoxide dismutase, glutathione peroxidase, glutathione reductase and others [67]. When there is an imbalance between ROS and the antioxidant defense mechanisms, ROS lead to oxidative modifications in the cellular membrane and intracellular molecules resulting in peroxidation of membrane lipids, accumulation of lipid peroxides, and cellular damage [68].
Mucosal defensives are nitric oxide-NO [69], mucus [70], bicarbonate [71] gastrin [72] and prostaglandins [73], as well mucosal blood flow [74].
3. Plants with Peptic Anti-Ulcer Activity
Plants rich in tannins have been traditionally used for their medicinal effects and several studies have demonstrated their anti-ulcer effects.
Annuk et al. (1999) investigated the effect of the leaves (aqueous extract) of Arctostaphylos uva-ursi (Ericaceae) and Vaccinium vitis-idaea (Ericaceae), for susceptibility of ten strains of Helicobacter pylori. It was established that the extracts were clearly bacteriostatic [75].
Perera et al. (2001) compared the effect of aqueous bark extract from Rhizophora mangle (Rizophoraceae) against cimetidine on gastric ulceration induced by ethanol- hydrochloric acid in rats, determining the quality and quantity of the mucus. The extract inhibited ulceration and promoted higher mucus volumes [76]. Berenguer et al. (2006) determined its effects in a model of diclofenac-induced ulcer in rats. Pretreatment with Rhizophora mangle resulted in a significant decrease of the ulcerated area, with increases in glutathione peroxidase and superoxide dismutase activity [77]. The authors suggest that the gastro protective effect of the extract in this experimental model is antioxidant and prostaglandin dependent.
Gonzales et al. (2001) conducted studies with aqueous methanolic extract from the leaves of Maytenus aquifolium (Celastraceae), Soroceae bomplandii (Moraceae), and Zolernia ilicifolia (Fabaceae) evaluating anti-ulcer activity through ethanol and indomethacin/bethanecol ulcer induction in mice. Maytenus aquifolium lowered all ulcerogenic parameters in the ethanol test. Soroceae bomplandii produced anti-ulcerogenic effects in both experimental models, while Zolernia ilicifolia showed significant effects only for indometacin/bethanecol-induced gastric lesions [78].
Martins et al. (2002) evaluated the anti-ulcer activity of acetone soluble fraction (AFSAB) from bark extract of Styphnodendron adstringens (Leguminosae), in acute models of gastric ulceration, and for basal and bethanecol-stimulated gastric acid secretion in rats. AFSAB promoted significant decreases in gastric lesions from ethanol and hypothermic restraint-stress, and significantly decreased the basal as well as bethanecol-stimulated gastric secretory volume, and total acidity [79].
Rafhael and Kuttan (2003), demonstrated elevated levels of glutathione (GSH) gastric mucosa, and ethanol lesion inhibition in rats using methanolic extract from Phyllanthus amarus (Euphorbiacea) [80]. GSH is a well-known antioxidant abundantly present as a low-molecular mass thiol in most organisms [81].
Khennouf et al. (2003) examined the gastro-protective effects of 70% acetone leave extracts of Quercus suber and Quercus coccifera (Fagaceae), as well as tannins purified from these extracts, in mice and rabbits using an ethanol-induced gastric ulcer model. Both extracts, as well as the purified tannins prevented the formation of stomach lesions and strongly inhibited lipid peroxidation in rabbit brain homogenate. The authors suggest that the gastro-protective effects are related to the anti-lipoperoxidant properties [82].
Hiruma-Lima et al. (2006) investigated hydroalcoholic extract (HE) of Qualea grandiflora (Vochysiaceae) bark in both acute and sub-acute gastric ulcer models in rodents. The oral administration of HE exhibited anti-ulcer activity in HCl/ethanol, indomethacin/bethanecol, and stress models [83]. Shay (1945) [84], showed that HE alone reduced the severity of gastric lesions. When given by intra-duodenal route, HE changes the pH, but does not modify others parameters of the gastric juice. HE presented healing activity in sub-acute gastric ulcers [83].
Andreo et al. (2006) evaluated methanolic (MeOH) and dichloromethane (DCM) extracts from the leaves of Mouriri pusa (Melastomataceae) in gastric ulcer, (HCl/ethanol, absolute ethanol, non-steroidal anti-inflammatory drug, stress, and pylorus ligature) models in mice and rats. The best results were obtained after pretreatment with MeOH extract, DCM extract did not show significant anti-ulcerogenic activity. The mechanism involving the anti-ulcerogenic activity of MeOH extract seems to be related to NO generation, with participation by an endogenous sulfhydryl group [85]. Vasconcelos et al. (2008) showed positive data in both 14 and 30 days of treatment with this extract [86] and Vasconcelos et al. (2010) investigated the effect of a tannins fraction from Mouriri pusa leaves (methanolic extract) on the prevention, and healing of gastric ulcers. The tannins fraction reduced the lesion area while promoting a larger regenerative mucosa which implies both gastro protective effects and healing enhancement [87].
Zayachkivska et al. (2006) investigated the gastro-duodenal protective effects of proanthocyanidins (PA) from Viburnum opulus (Caprifoliaceae) on stress-induced gastrointestinal damage. The study showed that the PA exert potent protective activity, via increases in NO generation, suppression of lipid peroxidation, augmented antioxidant activity, and changes in the glycol-conjugate content of gastro-duodenal mucosa in rats [88].
Pre-clinical trials of Emblica officinalis Gaertn (Euforbiaceae), known as Indian gooseberry or amla—which is notably the most important medicinal plant in the Indian traditional system of medicine—the Ayurveda have shown that this species possesses a wide spectrum of pharmacological properties. Experiments have shown that amla possesses a gastroprotective effect in addition to antioxidant activity, anti-inflammatory and free radical scavenging. These pharmacological properties are directly linked to the chemical compounds. Several studies suggest that it contains tannins, alkaloids, and phenolic compounds [89].
4. Purified Tannins and Peptic Antiulcer Activity
Tannins are used in medicine primarily because of their astringent properties; they react with the proteins of the tissue layers. Tannins precipitate micro proteins at the site of the peptic ulcer, forming a protective pellicle that prevents absorption of toxic substances, and promote resistance to the action of proteolytic enzymes, an associated activity against Helicobacter pylori [86].
Murakami et al. (1991) showed that ellagic acid is a potent competitive inhibitor of gastric H+, K+-ATPase, and proposed that ellagic acid may compete with ATP at the ATP hydrolysis site, thus markedly inhibiting acid secretion, and stress-induced gastric lesions [90]. Enzyme inhibition was also evident for tannic acid [91].
Khennouf et al. 2003 examined the gastroprotective effects of tannins purified from Quercus suber and Quercus coccifera (pedunculagin, phillyraeoidin A, castalagin and acutissimin B) on ethanol-induced gastric lesions in mice, and concluded that the protection afforded by these substances was very high, and might be due to the inhibition of acid secretion [82].
Purified tannins were tested against Helicobacter pylori by Funatogawa et al. (2004). Twenty hydrolysable tannins, 3 catechin and 6 proanthocyanidins were tested. All of the hydrolysable tannins tested demonstrated promising antibacterial activity against Helicobacter pylori [92].
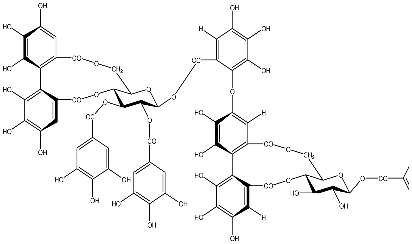
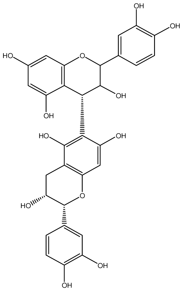
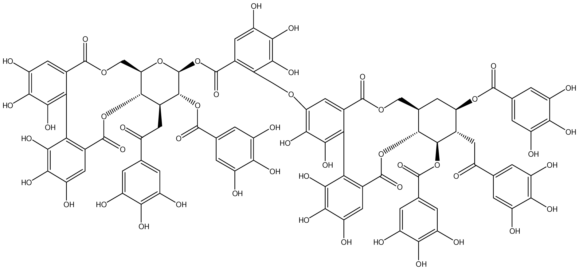
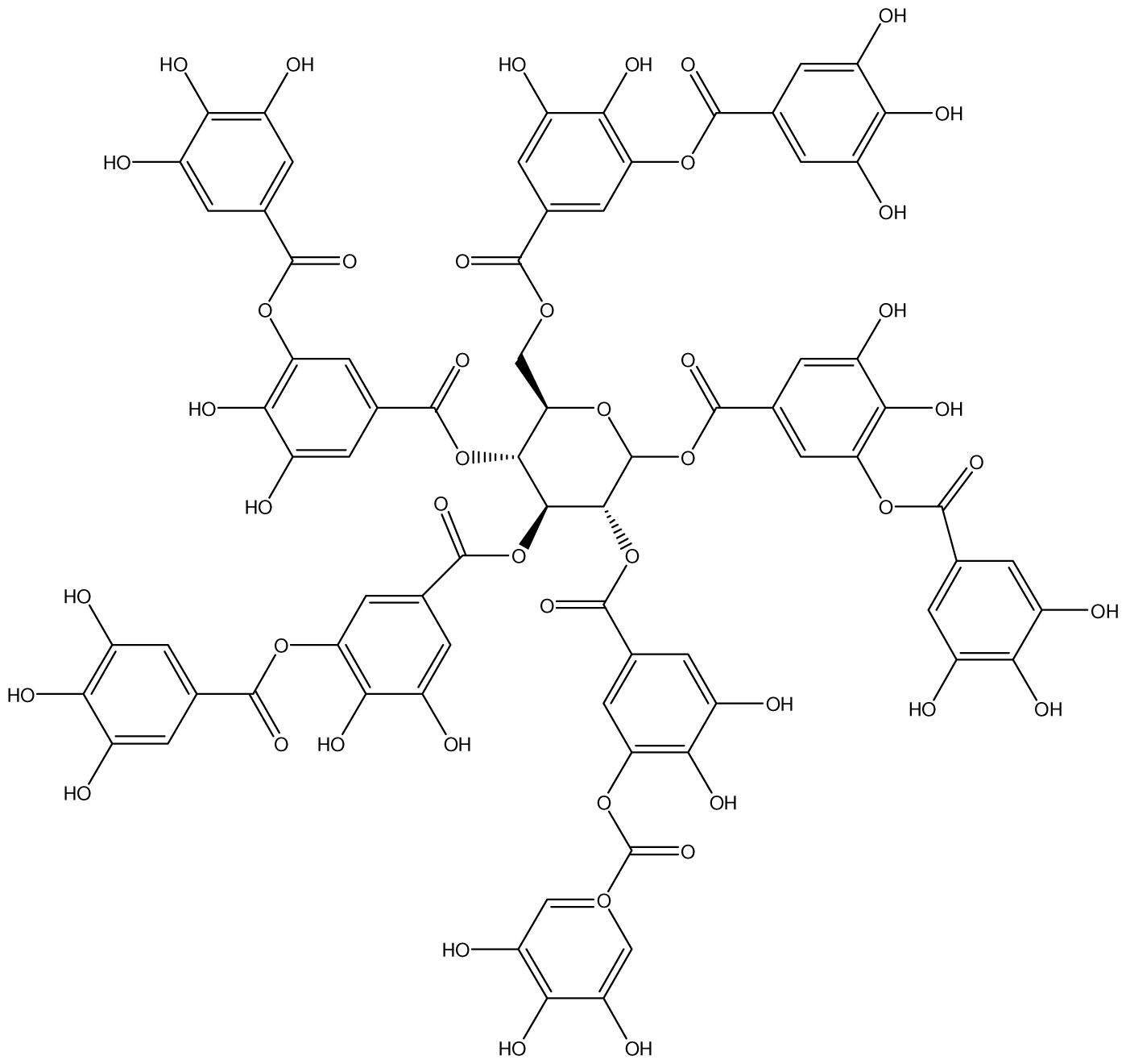
In several experimental models of gastric ulcer, purified tannins have shown to be involved with gastrointestinal tract anti-inflammatory actions, promotion of tissue repair, acid secretion inhibition, and to present both antioxidant and anti-Helicobacter pylori activity (Table 1).
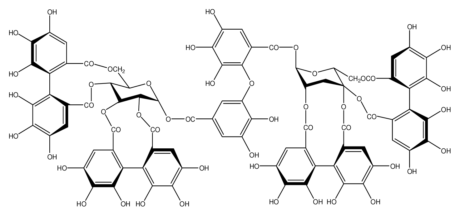
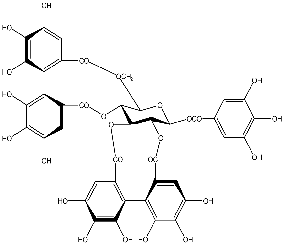
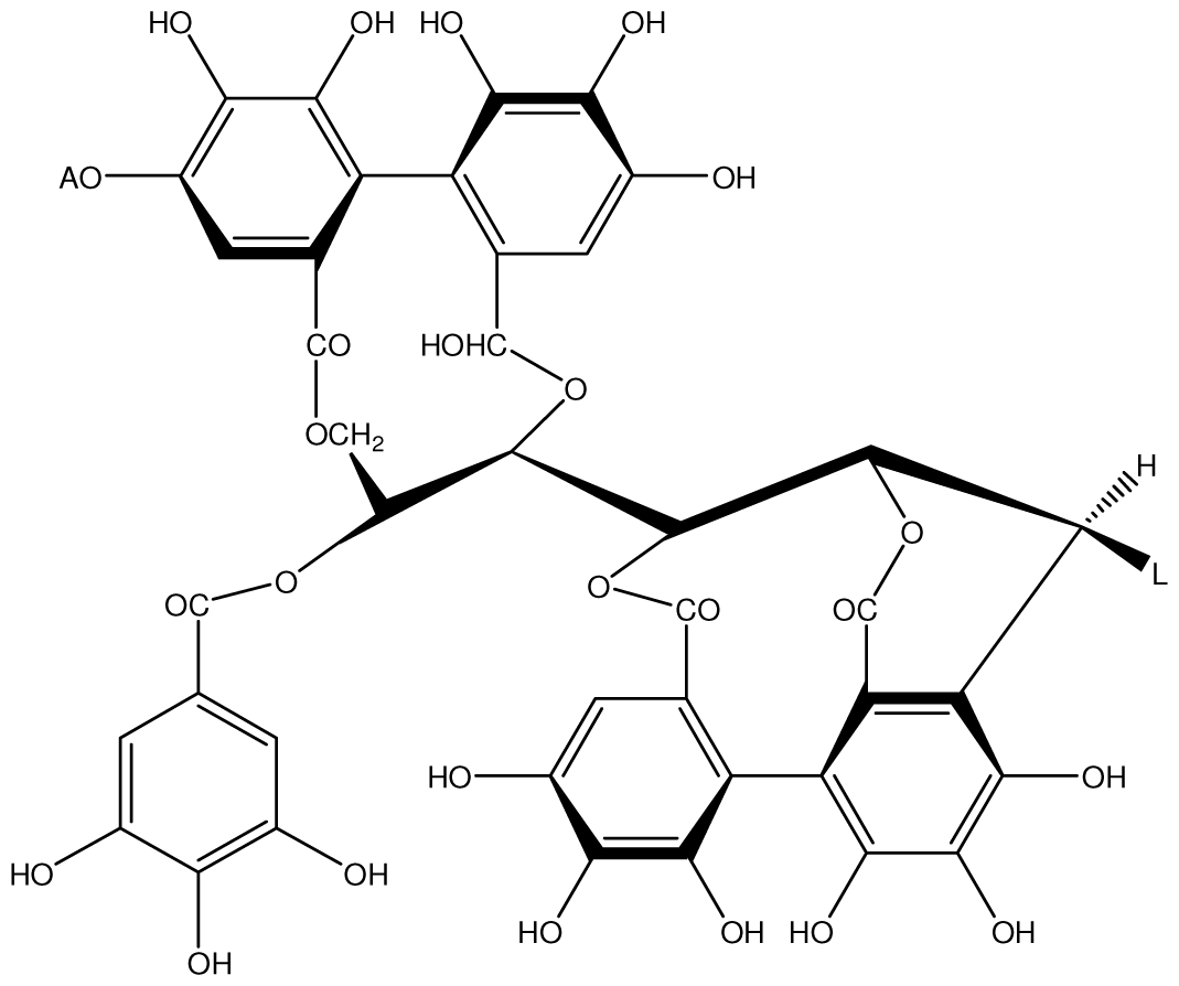
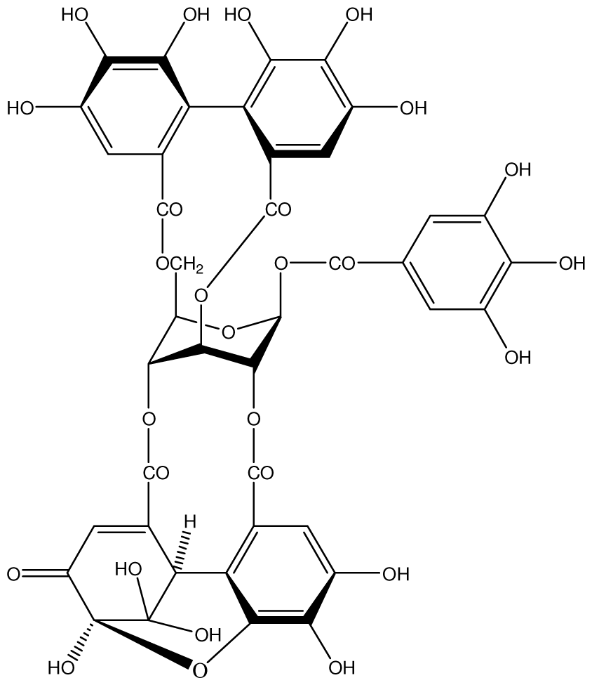
Table 1.
Chemical structures and action of purified tannins in the peptic ulcer.
5. Material and Methods
In the present work, the anti-ulcer activity of the plants and tannins was searched through the data bank of the University of Illinois in Chicago, the NAPRALERT (Acronym for Natural Products ALERT), and the sites ScienceDirect and Pubmed. The data were updated in April 2011, using anti-ulcer plants, or tannins in the legend. The tannins and references selected for this work were also consulted as to details for both models and mechanisms.
6. Conclusions
Scientific literature demonstrates that tannins are involved in the anti-ulcer activities of several medicinal plants. Purified substances from these secondary tannic metabolites exhibit activity in experimental models both in vivo and in vitro for the peptic ulcer. The presence of these phenolic compounds would explain the anti-ulcer benefits of numerous natural products.
Acknowledgements
The authors thank the University of Illinois in Chicago, USA, for the use of the NAPRALERT database for this study and also thank the financial support provided by CNPq/CAPES/PRONEX and FAPEMAT.
References
- Karamaæ, M. Chelation of Cu(II), Zn(II), and Fe(II) by tannin constituents of selected edible nuts.
- Amarowicz, R.; Estrella, I.; Hernández, T.; Dueñas, M.; Troszyñska, A.; Kosiñska, A.; Pegg, R.B. Antioxidant activity of a red lentil extract and its fractions. Int. J. Mol. Sci 2009, 10, 5513–5527. [Google Scholar]
- Yoshida, T.; Amakura, Y.; Yosh, M. Structural features and biological properties of ellagitannins in some plant families of the order Myrtales. Int. J. Mol. Sci 2010, 11, 79–106. [Google Scholar]
- Politi, F.A.S.; Mello, J.C.P.; Migliato, K.F.; Nepomuceno, A.L.A.; Moreira, R.R.D.; Pietro, R.C.L.R. Antimicrobial, cytotoxic and antioxidant activities and determination of the total tannin content of bark extracts Endopleura uchi. Int. J. Mol. Sci 2011, 12, 2757–2768. [Google Scholar]
- Okuda, T.; Ito, H. Tannins of constant structure in medicinal and food plants-hydrolysable tannins and polyphenols related to tannins. Molecules 2011, 16, 2191–2217. [Google Scholar]
- Blenn, C.; Wyrsch, P.; Althaus, F.R. The ups and downs of tannins as inhibitors of poly(ADP-ribose)glycohydrolase. Molecules 2011, 16, 1854–1877. [Google Scholar]
- Zhao, S.; Liu, J.Y.; Chen, S.Y.; Shi, L.L.; Liu, Y.J.; Ma, C. Antioxidant potential of polyphenols and tannins from burs of Castanea mollissima Blume. Molecules 2011, 16, 8590–8600. [Google Scholar]
- Albuquerque, U.P.; Monteiro, J.M.; Araújo, E.L. Taninos: uma abordagem da química à ecologia. Quim. Nova 2005, 28, 892–896. [Google Scholar]
- Simões, C.M.O.; Schenkel, E.P.; Gosmann, G.; Mello, J.C.P.; Mentz, L.A. Farmacognosia da Planta ao Medicamento, 5th ed; Editora da UFRGS: Porto Alegre, Brasil, 2003; p. 424. [Google Scholar]
- Heil, M.; Delsinne, T.; Hilpert, A.; Schürkens, S.; Andary, C.; Linsenmair, E.K.; Sousa, M.; Mckey, D. Reduced chemical defense in ant-plants? A critical re-evaluation of a widely accepted hypothesis. Oikos 2002, 99, 457–468. [Google Scholar]
- Moura, M.D.; Torres, A.R.; Oliveira, R.A.G.; Diniz, M.F.F.M.; Barbosa-Filho, J.M. Natural products as inhibitors of models of mammary neoplasia. Br. J. Phytother 2001, 5, 124–145. [Google Scholar]
- Moura, M.D.; Silva, J.S.; Oliveira, R.A.G.; Diniz, M.F.F.M.; Barbosa-Filho, J.M. Natural products reported as potential inhibitors of uterine cervical neoplasia. Acta Farm. Bonaerense 2002, 21, 67–74. [Google Scholar]
- Silva, J.S.; Moura, M.D.; Oliveira, R.A.G.; Diniz, M.F.F.; Barbosa-Filho, J.M. Natural product inhibitors of ovarian neoplasia. Phytomedicine 2003, 10, 221–232. [Google Scholar]
- Gonçalves, M.C.R.; Moura, L.S.A.; Rabelo, L.A.; Barbosa-Filho, J.M.; Cruz, H.M.M.; Cruz, J. Natural products inhibitors of HMG CoA reductase. Rev. Bras. Farm. 2000, 81, 63–71. [Google Scholar]
- Barbosa-Filho, J.M.; Martins, V.K.M.; Rabelo, L.A.; Moura, M.D.; Silva, M.S.; Cunha, E.V.L.; Souza, M.F.V.; Almeida, R.N.; Medeiros, I.A. Natural products inhibitors of the angiotensin converting enzyme (ACE). A review between 1980–2000. Rev. Bras. Farmacogn 2006, 16, 421–446. [Google Scholar]
- Barbosa-Filho, J.M.; Medeiros, K.C.P.; Diniz, M.F.F.M.; Batista, L.M.; Athayde-Filho, P.F.; Silva, M.S.; Cunha, E.V.L.; Almeida, J.R.G.S.; Quintans-Júnior, L.J. Natural products inhibitors of the enzyme acetylcholinesterase. Rev. Bras. Farmacogn 2006, 16, 258–285. [Google Scholar]
- Quintans-Júnior, L.J.; Almeida, J.R.G.S.; Lima, J.T.; Nunes, X.P.; Siqueira, J.S.; Oliveira, L.E.G.; Almeida, R.N.; Athayde-Filho, P.F.; Barbosa-Filho, J.M. Plants with anticonvulsant properties— a review. Rev. Bras. Farmacogn 2008, 18, 798–819. [Google Scholar]
- Sousa, F.C.F.; Melo, C.T.V.; Citó, M.C.O.; Félix, F.H.C.; Vasconcelos, S.M.M.; Fonteles, M.M.F.; Barbosa-Filho, J.M.; Viana, G.S.B. Plantas medicinais e seus constituintes bioativos: Uma revisão da bioatividade e potenciais benefícios nos distúrbios da ansiedade em modelos animais. Rev. Bras. Farmacogn 2008, 18, 642–654. [Google Scholar]
- Almeida, R.N.; Navarro, D.S.; Barbosa-Filho, J.M. Plants with central analgesic activity. Phytomedicine 2001, 8, 310–322. [Google Scholar]
- Morais, L.C.S.L.; Barbosa-Filho, J.M.; Almeida, R.N. Plants and bioactive compounds for the treatment of Parkinson’s disease. Arq. Bras. Fitomed. Cient 2003, 1, 127–132. [Google Scholar]
- Pereira, J.V.; Modesto-Filho, J.; Agra, M.F.; Barbosa-Filho, J.M. Plant and plant-derived compounds employed in prevention of the osteoporosis. Acta Farm. Bonaerense 2002, 21, 223–234. [Google Scholar]
- Rocha, L.G.; Almeida, J.R.G.S.; Macedo, R.O.; Barbosa-Filho, J.M. A review of natural products with antileishmanial activity. Phytomedicine 2005, 12, 514–535. [Google Scholar]
- Amaral, F.M.M.; Ribeiro, M.N.S.; Barbosa-Filho, J.M.; Reis, A.S.; Nascimento, F.R.F.; Macedo, R.O. Plants and chemical constituents with giardicidal activity. Rev. Bras. Farmacogn 2006, 16, 696–720. [Google Scholar]
- Barbosa-Filho, J.M.; Nascimento-Júnior, F.A.; Tomaz, A.C.A.; Athayde-Filho, P.F.; Silva, M.S.; Cunha, E.V.L; Souza, M.F.V.; Batista, L.M.; Diniz, M.F.F.M. Natural products with antileprotic activity. Rev. Bras. Farmacogn. 2007, 17, 141–148. [Google Scholar]
- Barbosa-Filho, J.M.; Vasconcelos, T.H.C.; Alencar, A.A.; Batista, L.M.; Oliveira, R.A.G.; Guedes, D.N.; Falcão, H.S.; Moura, M.D.; Diniz, M.F.F.M.; Modesto-Filho, J. Plants and their active constituents from South, Central, and North America with hypoglycemic activity. Rev. Bras. Farmacogn 2005, 15, 392–413. [Google Scholar]
- Falcão, H.S.; Lima, I.O.; Santos, V.L.; Dantas, H.F.; Diniz, M.F.F.M.; Barbosa-Filho, J.M.; Batista, L.M. Review of the plants with anti-inflammatory activity studied in Brazil. Rev. Bras. Farmacogn 2005, 15, 381–391. [Google Scholar]
- Barbosa-Filho, J.M.; Piuvezam, M.R.; Moura, M.D.; Silva, M.S.; Lima, K.V.B.; Cunha, E.V.L.; Fechine, I.M.; Takemura, O.S. Anti-inflammatory activity of alkaloids: A twenty century review. Rev. Bras. Farmacogn. 2006, 16, 109–139. [Google Scholar]
- Lima, G.R.M.; Montenegro, C.A.; Almeida, C.L.F.; Athayde-Filho, P.F.; Barbosa-Filho, J.M.; Batista, L.M. Database survey of anti-inflammatory plants in South America: A review. Int. J. Mol. Sci 2011, 12, 2692–2749. [Google Scholar]
- Souto, A.L.; Tavares, J.F.; Silva, M.S.; Diniz, M.F.F.M.; Athayde-Filho, P.F.; Barbosa Filho, J.M. Anti-inflammatory activity of alkaloids: An update from 2000 to 2010. Molecules 2011, 16, 8515–8534. [Google Scholar]
- Mariath, I.R.; Falcão, H.S.; Barbosa-Filho, J.M.; Sousa, L.C.F.; Tomaz, A.C.A.; Batista, L.M.; Diniz, M.F.F.M.; Athayde-Filho, P.F.; Tavares, J.F.; Silva, M.S.; et al. Plants of the American continent with antimalarial activity. Rev. Bras. Farmacogn 2009, 19, 158–192. [Google Scholar]
- Falcão, H.S.; Mariath, I.R.; Diniz, M.F.F.M.; Batista, L.M.; Barbosa-Filho, J.M. Plants of the American continent with antiulcer activity. Phytomedicine 2008, 15, 132–146. [Google Scholar]
- Ribeiro Filho, J.; Falcão, H.S.; Batista, L.M.; Barbosa Filho, J.M.; Piuvezam, M.R. Effects of plant extracts on HIV-1 protease. Curr. HIV Res 2010, 8, 531–544. [Google Scholar]
- Agra, M.F.; Freitas, P.F.; Barbosa-Filho, J.M. Synopsis of the plants known as medicinal and poisonous in Northeast of Brazil. Rev. Bras. Farmacogn 2007, 17, 114–140. [Google Scholar]
- Agra, M.F.; Silva, K.N.; Basílio, I.J.L.D.; Freitas, P.F.; Barbosa-Filho, J.M. Survey of medicinal plants used in the region Northeast of Brazil. Rev. Bras. Farmacogn 2008, 18, 472–508. [Google Scholar]
- Silva, F.L.; Fischer, D.C.H.; Tavares, J.F.; Silva, M.S.; Athayde-Filho, P.F.; Barbosa-Filho, J.M. Compilation of secondary metabolites from Bidens pilosa L. Molecules 2011, 16, 1070–1102. [Google Scholar]
- Gonçalves, M.C.R.; Diniz, M.F.F.M.; Borba, J.D.C.; Nunes, X.P.; Barbosa-Filho, J.M. Berinjela (Solanum melongena L.): mito ou realidade no combate as dislipidemias? Rev. Bras. Farmacogn 2006, 16, 252–257. [Google Scholar]
- Barbosa-Filho, J.M.; Alencar, A.A.; Nunes, X.P.; Tomaz, A.C.A.; Sena-Filho, J.G.; Athayde-Filho, P.F.; Silva, M.S.; Souza, M.F.V.; Cunha, E.V.L. Sources of alpha-, beta-, gamma-, delta- and epsilon-carotenes: A twentieth century review. Rev. Bras. Farmacogn 2008, 18, 135–154. [Google Scholar]
- Alves, J.S.; Castro, J.C.M.; Freire, M.O.; Cunha, E.V.L.; Barbosa-Filho, J.M.; Silva, M.S. Complete assignment of the 1H and 13C spectra of four triterpenes of the ursane, artane, lupane and friedelane groups. Magn. Reson. Chem 2000, 38, 201–206. [Google Scholar]
- Sena-Filho, J.G.; Duringer, J.M.; Maia, G.L.A.; Tavares, J.F.; Xavier, H.S.; Silva, M.S.; Cunha, E.V.L.; Barbosa-Filho, J.M. Ecdysteroids from Vitex species: Distribution and compilation of their 13C-NMR spectral data. Chem. Biodivers 2008, 5, 707–713. [Google Scholar]
- Oliveira, S.L.; Silva, M.S.; Tavares, J.F.; Sena-Filho, J.G.; Lucena, H.F.S.; Romero, M.A.V.; Barbosa-Filho, J.M. Tropane alkaloids from genus Erythroxylum: Distribution and compilation of 13C-NMR spectral data. Chem. Biodivers 2010, 7, 302–326. [Google Scholar]
- Palmeira-Junior, S.F.; Conserva, L.M.; Barbosa Filho, J.M. Clerodane diterpenes from Croton species: Distribution and a compilation of their and 13C NMR. Nat. Prod. Commun 2006, 1, 319–344. [Google Scholar]
- Sena Filho, J.G.; Duringer, J.M.; Uchoa, D.E.A.; Xavier, H.S.; Barbosa Filho, J.M.; Braz Filho, R. Distribution of iridoid glucosides in plants from the genus Lippia (Verbenaceae): An investigation of Lippia alba (Mill.) N.E. Brown. Nat. Prod. Commun 2007, 2, 715–716. [Google Scholar]
- Almeida, C.L.F.; Falcão, H.S.; Lima, G.R.M.; Montenegro, C.A.; Lira, N.S.; Athayde-Filho, P.F.; Rodrigues, L.C.; Souza, M.F.V.; Barbosa-Filho, J.M.; Batista, L.M. Bioactivities from marine algae of the genus Gracilaria. Int. J. Mol. Sci 2011, 12, 4550–4573. [Google Scholar]
- Lira, N.S.; Montes, R.C.; Tavares, J.F.; Silva, M.S.; Cunha, E.V.L.; Athayde-Filho, P.F.; Rodrigues, L.C.; Dias, C.S.; Barbosa-Filho, J.M. Brominated compounds from marine sponges of the genus Aplysina and a compilation of their 13C NMR spectral data. Mar. Drugs 2011, 9, 2316–2368. [Google Scholar]
- Honório, J.E.R., Júnior; Soares, P.M.; Melo, C.L.; Arruda Filho, A.C.V.; Sena Filho, J.G.; Barbosa Filho, J.M.; Sousa, F.C.F.; Fonteles, M.M.F.; Leal, L.K.A.; Queiroz, M.G.R.; et al. Atividade farmacológica da monocrotalina isolada de plantas do gênero Crotalaria. Rev. Bras. Farmacogn 2010, 20, 453–458. [Google Scholar]
- Vasconcelos, S.M.M.; Honório-Júnior, J.E.R.; Abreu, R.N.D.C.; Silva, M.C.C.; Barbosa-Filho, J.M.; Lobato, R.F.G. Pharmacologic study of some plant species from the Brazilian Northeast: Calotropis procera, Agava sisalana, Solanum paludosum, Dioscorea cayenensis and Crotalaria retusa. In Medicinal Plants: Classification, Biosynthesis and Pharmacology; Varela, A., Ibanez, J., Eds.; Nova Science Publishers: Hauppauge, NY, USA, 2009; Volume 4, pp. 189–202. [Google Scholar]
- Vasconcelos, S.M.M.; Pereira, E.C.; Chaves, E.M.C.; Lobato, R.F.G.; Barbosa-Filho, J.M.; Patrocínio, M.C.A. Pharmacologic study of Amburana cearensis and Aniba genus. In Recent Progress in Medicinal Plants Volume 30: Drug Plant IV; Singh, V.K., Govil, J.N., Eds.; Studium Press: Houston, TX, USA, 2010; Volume 30–51, p. 64. [Google Scholar]
- Barbosa-Filho, J.M.; Sette, I.M.F.; Cunha, E.V.L.; Guedes, D.N.; Silva, M.S. Protoberberine alkaloids. In The Alkaloids; Cordell, G.A., Ed.; Elsevier Amsterdam: The Netherlands, 2005; Volume 62–1, p. 75. [Google Scholar]
- Conserva, L.M.; Pereira, C.A.B.; Barbosa-Filho, J.M. Alkaloids of the Hernandiaceae: Occurrence and a compilation of their biological activities. Alkaloids Chem. Biol 2005, 62, 175–243. [Google Scholar]
- Barbosa-Filho, J.M.; da-Cunha, E.V.L.; Gray, A.I. Alkaloids of the Menispermaceae. Alkaloids Chem. Biol 2000, 54, 1–190. [Google Scholar]
- Andrade, N.C.; Cunha, E.V.L.; Silva, M.S.; Agra, M.F.; Barbosa-Filho, J.M. Terpenoids of the Annonaceae: Distribution and compilation of 13C NMR data. In Recent Research Developments in Phytochemistry; Gayathri, A., Ed.; Research Signpost: Kerala, India, 2003; Volume 7, pp. 1–85. [Google Scholar]
- Almeida, R.N.; Barbosa-Filho, J.M. Drogas psicotrópicas. In Psicofarmacologia—Fundamentos Práticos, 1st ed; Almeida, R.N., Ed.; Guanabara Koogan: Rio de Janeiro, Brasil, 2006; pp. 3–24. [Google Scholar]
- Barbosa-Filho, J.M.; Silva, T.M.S.; Sette, I.M.F.; Franca, F.; Agra, M.F.; Soares, F.P.; Costa, J.F.O.; Santos, R.R. Plantas da Caatinga: Perfil Botânico, Fitoquímica e Atividade Biológica, 1st ed; Giulietti, A.M., de Queiroz, L.P., Eds.; IMSEAR: Brasília, Brasil, 2006; Volume 4, pp. 19–497. [Google Scholar]
- Agra, M.F.; Camara, C.A.; Barbosa-Filho, J.M.; Silva, T.M.S.; Almeida, R.N.; Medeiros, I.A.; Nurit, K.; Oliveira, F.S.; Freire, K.R.L.; Morais, L.C.S.L. Medicinais e Produtoras de Princípios Ativos. In Espécies da Flora Nordestina de Importância Econômica Potencial; Everaldo, V.S.B., Sampaio, E.V.S.B., Eds.; Associação de Plantas do Nordeste: Recife, Brasil, 2005; Volume 1, pp. 135–198. [Google Scholar]
- Mota, K.S.L.; Dias, G.E.N.; Pinto, M.E.F.; Luiz-Ferreira, A.; Souza-Brito, A.R.M.; Hiruma-Lima, C.A.; Barbosa-Filho, J.M.; Batista, L.M. Flavonoids with gastroprotective activity. Molecules 2009, 14, 979–1012. [Google Scholar]
- Falcão, H.S.; Leite, J.A.; Barbosa-Filho, J.M.; Athayde-Filho, P.F.; Chaves, M.C.O.; Moura, M.D.; Ferreira, A.L.; Almeida, A.B.A.; Souza-Brito, A.R.M.; Diniz, M.F.F.M.; et al. Gastric and duodenal antiulcer activity of alkaloids: A review. Molecules 2008, 13, 3198–3223. [Google Scholar]
- Zapata-Colindres, J.C.; Zepeda-Gomez, S.; Montano-Loza, A.; Vazquez-Ballesteros, E.; Jesus-Villalobos, J.; Valdovinos-Andraca, F. The association of Helicobacter pylori infection and nonsteroidal anti-inflammatory drugs in peptic ulcer disease. Can. J. Gastroenterol 2006, 20, 277–280. [Google Scholar]
- Jain, K.S.; Shah, A.K.; Bariwal, J.; Shelke, S.M.; Kale, A.P.; Jagtap, J.R.; Bhosale, A.V. Recent advances in proton pump inhibitors and management of acid-peptic disorders. Bioorg. Med. Chem 2007, 15, 1181–1205. [Google Scholar]
- Malfertheiner, P.; Chan, F.K.L.; McColl, K.E.L. Peptic ulcer disease. Lancet 2009, 374, 1449–1461. [Google Scholar]
- Suerbaum, S.; Michetti, P. Helicobacter pylori infection. N. Engl. J. Med 2002, 347, 1175–1186. [Google Scholar]
- Tombola, F.; Campello, S.; De Luca, L.; Ruggiero, P.; Del Giudice, G.; Papini, E.; Zoratti, M. Plant polyphenols inhibit VacA, a toxin secreted by the gastric phathogen Helicobacter pylori. FEBS Lett 2003, 543, 184–189. [Google Scholar]
- Backert, S.; Naumann, M. What a disorder: Proinflammatory signaling pathways induced by Helicobacter pylori. Trends Microbiol 2010, 18, 479–486. [Google Scholar]
- Repetto, M.G.; Llessuy, S.F. Antioxidant properties of natural compounds used in popular medicine for gastric ulcer. Braz. J. Med. Biol. Res 2002, 35, 523–534. [Google Scholar]
- Wada, K.; Kamisaki, Y.; Kentaro, N.; Kishimoto, Y.; Ashida, K.; Itoh, T. Effect of plaunotol on gastric injury induced by ischaemia-reperfusion in rats. J. Pharm. Pharmacol 1997, 49, 903–907. [Google Scholar]
- Kwieciente, S.; Brzozowski, T.; Konturek, S.J. Effect of reactive oxygen species action on gastric mucosa in various models of mucosal injury. J. Physiol. Pharmacol 2002, 53, 761–773. [Google Scholar]
- Odabasoglu, F.; Cakir, A.; Suleyman, H.; Aslan, A.; Bayr, Y.; Halici, M.; Kaza, C. Gastroprotective and antioxidant effects of usnic acid on indomethacin-induced gastric ulcer in rats. J. Ethnopharmacol 2006, 103, 59–65. [Google Scholar]
- Chattophadhyay, I.; Bandyopadhyay, U.; Biswas, K.; Maity, P.; Banerjee, R.K. Indomethacin inactivates gastric peroxidase to induced reactive oxygen mediated gastric mucosal injury and curcumin protects it by preventing peroxidase inactivation and scavenging reactive oxygen. Free Rad. Biol. Med 2006, 40, 1397–1408. [Google Scholar]
- Cartea, M.A.; Francisco, M.; Soengas, P.; Velasco, P. Phenolic compounds in Brassica vegetables. Molecules 2011, 16, 251–280. [Google Scholar]
- Konturek, P.C.; Brzozowski, T.; Walter, B.; Burnat, G.; Hess, T.; Hahn, E.G.; Konturek, S.J. Gherlin induced gastroprotective against ischemia reperfusion injury involves an activation of sensory afferent nerves and hyperemia mediated by nitric oxide. Eur. J. Pharmacol 2006, 536, 171–181. [Google Scholar]
- Kim, H.; Kim, K.H. Role of nitric oxide and muçus in isquemia/reperfusion induced gastric mucosal injury in rats. Pharmacology 2001, 62, 200–207. [Google Scholar]
- Wallace, J.L. Gastric resistance to acid: Is the mucus-bicarbonate barrier functionally redundant? Am. J. Physiol 1989, 256, G31–G38. [Google Scholar]
- Komori, M.; Tsuji, S.; Sun, W.; Tsujii, M.; Kawai, N.; Yasumaru, M.; Kakiuchi, Y.; Kimura, A.; Sasaki, Y.; Higashiyama, S.; et al. Gastrin enhances gastric mucosal integrity through cyclooxygenase 2 upregulation in rats. Am. J. Physiol. Gastrointest. Liver Physiol 2002, 283, 1368–1378. [Google Scholar]
- Parente, L.; Parretti, M. Advances in the pathophysiology of constitutive and inducible cyclooxygenases: Two enzymes in the spolight. Biochem. Pharmacol 2003, 65, 153–159. [Google Scholar]
- Abdel Salam, O.M.; Czimmer, J.; Debreceni, A.; Szolcsanyi, J.; Mozsik, G. Gastric mucosal integrity: gastric mucosal blood flow and microcirculation. J. Physiol 2001, 95, 105–127. [Google Scholar]
- Annuk, H.; Hirmo, S.; Türi, E.; Mikelsaar, M.; Arak, E.; Wadström, T. Effect on cell surface hydrophobicity and susceptibility of Helicobacter pylori to medicinal plant extracts. FEMS Microbiol. Lett 1999, 172, 41–45. [Google Scholar]
- Perera, L.M.S.; Ruedas, D.; Gómez, B.C. Gastric antiulcer effects of Rhizophora mangle L. J. Ethnopharmacol 2001, 77, 1–3. [Google Scholar]
- Berenguer, B.; Sánchez, L.M.; Quílez, A.; López-Barreiro, M.; Haro, O.; De Gálvez, J.; Martín, M.J. Protective and antioxidant effects of Rizophora mangle L. against NSAID-induced gastric ulcers. J. Ethnopharmacol 2006, 103, 194–200. [Google Scholar]
- Gonzales, F.G.; Portela, T.Y.; Stipp, E.J.; Di Stasi, L.C. Antiulcerogenic and analgesic effects of Maytenus aquifolium, Soroceae bomplandii and Zolernia ilicifolia. J. Ethnopharmacol 2001, 77, 41–47. [Google Scholar]
- Martins, D.T.O.; Lima, J.C.S.; Rao, V.S.N. The acetone soluble fraction from bark extract of Stryphynodendron adstringeens (Mart.) Coville inhibits gastric acid secretion and experimental gastric ulceration in rats. Phytother. Res 2002, 16, 427–431. [Google Scholar]
- Rafhael, K.R.; Kuttan, R. Inhibition of experimental gastric lesion and inflammation by Phyllanthus amarus extract. J. Ethnopharmacol 2003, 87, 193–197. [Google Scholar]
- Birdane, F.M.; Cemek, M.; Birdane, Y.O.; Gülçin, I.; Büyükokuroglu, M.E. Benefical effects of Foeniculum vulgare on ethanol-induced acute gastric mucosal injury in rats. Word J. Gastoenterol 2007, 13, 607–611. [Google Scholar]
- Khennouf, S.; Benabdallah, H.; Gharzouli, K.; Amira, S.; Ito, H.; Kim, T.; Yoshida, T.; Gharzouli, A. Effect of tannins from Quercus suber and Quercus coccifera leaves on ethanol-induced gastric lesions in mice. J. Agric. Food Chem 2003, 51, 1469–1473. [Google Scholar]
- Hiruma-Lima, C.A.; Santos, L.C.; Pellizzon, C.H.; Silveira, G.G.; Vasconcelos, P.C.P.; Vilegas, W.; Souza Brito, A.R.M. Qualea grandiflora, a Brasilian cerrado medicinal plant presentes an important antiulcer activity. J. Ethnopharmacol 2006, 104, 207–214. [Google Scholar]
- Shay, H.; Komarov, S.A.; Fels, S.S.; Meranze, D.; Gruestein, M.; Siplet, H. A simple method for the uniform production of gastric ulceration in the rat. Gastroenterology 1945, 5, 43–61. [Google Scholar]
- Andreo, M.A.; Ballesteros, K.V.R.; Hiruma-Lima, C.A.; Rocha, L.R.M.; Souza Brito, A.R.M.; Vilegas, W. Effect of Mouriri pusa extracts on experimentally induced gastric lesions in rodents: Role of endogenous sulfhydryls compouds and nitric oxide in gastroprotection. J. Ethnopharmacol 2006, 107, 431–441. [Google Scholar]
- Vasconcelos, P.C.P.; Kushima, H.; Andreo, M.; Hiruma-Lima, C.A.; Vilegas, W.; Takahira, R.K.; Pellizon, C.H. Studies of gastric mucosa regeneration and safety promoted by Mouriri pusa treatment in acetic acid ulcer model. J. Ethnopharmacol 2008, 115, 293–301. [Google Scholar]
- Vasconcelos, P.C.P.; Andreo, M.A.; Vilegas, W.; Pellizzon, C.H. Effect of Mouriri pusa tannins and flavonoids on prevention and treatment against experimental gastric ulcer. J. Etnopharmacol 2010, 131, 146–153. [Google Scholar]
- Zayachkivska, O.S.; Gzhegotsky, M.R.; Terletska, O.I.; Lutsyk, D.A.; Yaschenko, A.M.; Dzhura, O.R. Influence of Viburnum opulus proanthocyanidins on stress-induced gastrointestinal mucosal damage. J. Physiol. Pharmacol 2006, 57, 155–167. [Google Scholar]
- Baliga, M.S.; Dsouza, J.J. Amla (Emblica officinalis Gaertn), a wonder berry in the treatment and prevention of cancer. Eur. J. Cancer Prev 2011, 20, 225–239. [Google Scholar]
- Murakami, S.; Isobe, Y.; Kijima, H.; Nagai, H.; Muramatu, M.; Otomu, S. Inhibition of gastric H+, K+-ATPase and acid secretion by ellagic acid. Planta Med 1991, 57, 305–308. [Google Scholar]
- Murakami, S.; Muramatsu, M.; Otomo, S. Inhibitory effect of tannic acid on gastric H+, K+-ATPase. J. Nat. Prod 1992, 55, 513–516. [Google Scholar]
- Funatogawa, K.; Hayashi, S.; Shimomura, H.; Yoshida, T.; Hatano, T.; Ito, H.; Hirai, Y. Antibacterial activity of hydrolysable tannins derived from medicinal plants against Helicobacter pylori. Microbiol. Immunol 2004, 48, 251–261. [Google Scholar]
- Okuda, T.; Yoshida, T.; Hatano, T. Correlation of oxidative transformations of hydrolysable tannins and plant evolution. Phytochemistry 2000, 55, 513–529. [Google Scholar]
- Kang, J.; Liu, Y.; Xie, M.X.; Lia, S.; Jianga, M.; Wanga, Y.D. Interactions of human serum albumin with chlorogenic acid and ferulic acid. Biochim. Biophys. Acta 2004, 1674, 205–214. [Google Scholar]
- Lampire, O.; Mila, I.; Raminosoa, M.; Michon, V.; Catherine, H.; Penhoat, D.; Faucheur, N.; Laprevote, O.; Scalbert, A. Polyphenols isolated from the bark of Castanea sativa Mill. Chemical structures and auto association. Phytochemistry 1998, 49, 623–631. [Google Scholar]
- Yoshida, T.; Ito, H.; Hipolito, I.J. Pentameric ellagitannin oligomers in melastomataceous plants-chemotaxonomic significance. Phytochemistry 2005, 66, 1972–1983. [Google Scholar]
- Yoshimura, M.; Ito, H.; Miyashita, K.; Hatano, T.; Taniguchi, S.; Amakura, Y.; Yoshida, T. Flavonol glucuronides and C-glucosidic ellagitannins from Melaleuca squarrosa. Phytochemistry 2008, 69, 3062–3069. [Google Scholar]
- Zheng, G.; Xu, L.; Wu, P; Xie, H.; Jiang, Y.; Chen, F.; Wei, X. Polyphenols from longan seeds and their radical-scavenging activity. Food Chem. 2009, 116, 433–436. [Google Scholar]
- Ito, H.; Kobayashi, E.; Tamakatsu, Y.; Li, S.H.; Hatano, T.; Sakagami, H.; Kusama, K.; Satoh, K.; Sugita, D.; Shimura, S.; et al. Polyphenols from Eriobotrya japonica and their cytotoxicity against human oral tumor cell lines. Chem. Pharm. Bull 2000, 48, 687–693. [Google Scholar]
- Ito, H.; Miyake, M.; Nishitani, E.; Mori, K.; Hatano, T.; Okuda, T.; Konoshima, T.; Takasaki, M.; Kozuka, M.; Mukainaka, T.; Tokuda, H.; Nishino, H.; Yoshida, T. Anti-tumor promoting activity of polyphenols from Cowania mexicana and Coleogyne ramosissima. Cancer Lett 1999, 143, 5–13. [Google Scholar]
- Silva, H.R.; Silva, C.C.M.; Caland Neto, L.B.; Lopes, J.A.D.; Citó, A.M.G.L.; Chaves, M.H. Constituintes químicos das cascas do caule de Cenostigma macrophyllus: Ocorrência de colesterol. Quim. Nova 2007, 30, 1877–1881. [Google Scholar]
- Babich, H.; Krupka, M.E.; Nissim, H.A.; Zuckerbraun, H.L. Differential in vitro cytotoxicity of (−)-epicatechin gallate (ECG) to cancer and normal cells from the human oral cavity. Toxicol. In Vitro 2005, 19, 231–242. [Google Scholar]
- Fielman, K.S. Recent progress in ellagitannin chemistry. Phytochemistry 2005, 66, 1984–2000. [Google Scholar]
- Jin, Z.X.; Ito, H.; Yoshida, T. Dimeric and trimeric ellagitannins from Corylus heterophylla. Phytochemistry 1998, 48, 333–338. [Google Scholar]
- Champavier, Y.; Comte, G.; Vercauteren, J.; Allais, D.P.; Chulia, A.J. Norterpenoid and sesquiterpenoid glucosides from Juniperus phoeniceae and Galega officinalis. Phytochemistry 1999, 50, 1219–1223. [Google Scholar]
- Shu, P.; Hong, J.L.; Wu, G.; Yu, B.Y.; Qin, M.J. Analysis of flavonoids and phenolic acids in Iris tectorum by HPLC-DAD-ESI-MS. Chin. J. Nat. Med 2010, 8, 202–207. [Google Scholar]
- Taniguchi, S.; Nakamura, N.; Nose, M.; Takeda, S.; Uchi, R.Y.; Ito, H.; Yoshida, T.; Yazaki, K. Production of macrocyclic ellagitannin oligomers by Oenothera laciniata callus cultures. Phytochemistry 1998, 48, 981–985. [Google Scholar]
- Yokozawa, T.; Chen, C.P.; Dong, E.; Tanaka, T.; Nonaka, G.; Nishioka, I. Study on the inhibitory effect of tannins and flavonoids against the 1,1-diphenyl-2-picrylhydrazyl radical. Biochem. Pharmacol 1998, 56, 213–222. [Google Scholar]
- Heijmen, F.H.; Pont, J.S.; Middelkoop, E.; Kreis, R.W.; Hoekstra, M.J. Cross-linking of dermal sheep collagen with tannic acid. Biomaterials 1997, 18, 749–754. [Google Scholar]
- Tani, S. Effects of tannic acid and tannic acid-starch on the experimental gastric ulcer in rat. Yakugaku Zasshi 1976, 96, 648–652. [Google Scholar]
- Tani, S.; Sakurai, Y.; Kondo, Y. Effects of tannins and some related compounds on ethanol-induced gastric lesions in the rat. Yakugaku Zasshi 1986, 106, 347–349. [Google Scholar]
- Piao, M.J.; Kang, K.A.; Zhang, R.; Ko, D.O.; Wang, Z.H.; Lee, K.H.; Chang, W.Y.; Chae, S.; Jee, Y.; Shin, T.; et al. Antioxidant properties of 1,2,3,4,6-penta-O-galloyl-β-d-glucose from Elaeocarpus sylvestris var. ellipticus. Food Chem 2009, 115, 412–418. [Google Scholar]
- Li, J.H.; Nesumi, A.; Shimizu, K.; Sakata, Y.; Liang, M.Z.; He, Q.Y.; Zhou, H.J.; Hashimoto, F. Chemosystematics of tea trees based on tea leaf polyphenols as phenetic markers. Phytochemistry 2010, 71, 1342–1349. [Google Scholar]
- Hung, C.R.; Cheng, J.T.; Neu, S.L. Prophylactic effects of sucralfate and geraniin on ethanol-induced gastric mucosal damage in rats. Chin. J. Physiol 1995, 38, 211–217. [Google Scholar]
- Guo, Q.; Zhao, B. Electron spin resonance study of free radicals formed from a procyanidin-rich pine (Pinus maritima) bark extract, pycnogenol. Free Rad. Biol. Med 1999, 27, 1308–1312. [Google Scholar]
- Spencer, J.P.E.; Schroeter, H.; Shenoy, B.; Srai, S.K.S.; Debnam, E.S.; Evans, C.R. Epicatechin is the primary bioavailable form of the procyanidin dimers B2 and B5 after transfer across the small intestine. Biochem. Biophys. Res. Commun 2001, 285, 588–593. [Google Scholar]
- Takahashi, T.; Kamiya, T.; Hasegawa, A.; Yokoo, Y. Procyanidin oligomers selectively and intensively promote proliferation of mouse hair epithelial cells in vitro and activate hair follicle growth in vivo. J. Invest. Dermatol 1999, 112, 310–316. [Google Scholar]
- Walters, D.; Meurer-Grimes, B.; Rovira, I. Antifungal activity of three spermidine conjugates. FEMS Microbiol. Lett 2001, 201, 255–258. [Google Scholar]
© 2012 by the authors; licensee Molecular Diversity Preservation International, Basel, Switzerland. This article is an open-access article distributed under the terms and conditions of the Creative Commons Attribution license (http://creativecommons.org/licenses/by/3.0/).




































