Abstract
The structural properties of a new copper (II) complex [Cu2(cip)2(bpy)2(pip)]·6H2O (bpy=2,2’-bipyridyl, cip=1-cyclopropyl-6-4-oxo-1,4-dihydroquinoline-3-carboxylic acid, pip= piperazinyl anion), obtained during the synthesis of the copper complex with ciprofloxacin (cpf), has been investigated. The complex crystallizes in the triclinic system, space group P-1. The cell dimensions are: a=6.874(2) Å, b= 10.761(3) Å, c= 17.969(5) Å, α=80.071(6)°, β= 85.253(6)°, γ=79.109(6)°,V=1284.5(6) Å3, and Z=2. The Cu (II) ion displays a five-coordinate square pyramidal coordination with two nitrogen donors from bpy, the 4-keto and 3-carboxylate oxygen donors of cip, and the third nitrogen atom of the pip anion occupying the fifth site. There is a stack effect between cip ring and bpy ring from another molecule, where the stacking distance is about 3.5 Å. The results of elemental analysis and FT-IR measurement are also included. Both ligand and complex were assayed against gram-positive and gram-negative bacteria by the doubling dilutions method. The complex shows the same minimal inhibitory concentration (MIC) against S. Aureus and E. Coli bacteria as the corresponding ligand.
Introduction
Many drugs possess modified pharmacological and toxicological properties when administered in the form of metallic complexes. Probably the most widely studied cation in this respect is Cu2+, since a host of low-molecular-weight copper complexes have been proven beneficial against several diseases such as turberculosis, rheumatoid, gastric ulcers, and cancers [1,2,3,4]. There has been a tremendous growth of drugs from quinolone family, which began with the discovery of nalidixic acid (Hnal) some 40 years ago. Since then, the exponential growth of this family has produced more than ten thousand analogues [5]. The coordination chemistry of these drugs with metal ions of biological and pharmaceutical importance is of considerable interest. Ciprofloxacin (cpf, Figure 1) was considered the best of the third generation quinolone family. There have been several reports about the synthesis and crystal structure of metal complexes with cpf [6,7,8,9]. Recently, we have found that during the synthesis of a copper complex containing the fluoroquinolone ligand, the cpf ligand was interestingly changed into the cip ligand (Figure 2). The purity of the cpf used was determined by the Xinchang Pharmaceutical Factory and its structure was characterized by FT-IR, elemental analysis, 1H-NMR, 13C-NMR and MS. The crystal structure of this copper complex was also characterized and is reported in this paper.
Figure 1.
The structure of cpf.
Figure 1.
The structure of cpf.

Figure 2.
The structure of cip.
Figure 2.
The structure of cip.

Results and Discussion
The Structure of [Cu2(cip)2(bpy)2(pip)]·6H2O [10]
The crystal data and refinement parameters of the title complex are summarized in Table 1 (see Experimental). Figure 3, Figure 4 and Figure 5 show the coordination of the metal and the atomic numbering scheme for the complex, and the crystal packing in the unit cell, respectively.
Figure 3.
Structure of Cu2(cip)2(bpy)2(pip)
Figure 3.
Structure of Cu2(cip)2(bpy)2(pip)

The copper (II) atom is coordinated to the keto and the carboxylic acid oxygen of the cip to form a six-membered ring. The copper atom displays a five-coordinate square pyramidal coordination with two nitrogen donors from 2,2’-bpy, the 4-keto and 3-carboxylate oxygen donors, and one nitrogen atom of pip anion occupying the fifth site. The complex is dinuclear copper(II) complex.
Figure 4.
ORTEP plot of the complex
Figure 4.
ORTEP plot of the complex

Figure 5.
Packing drawing of the complex.
Figure 5.
Packing drawing of the complex.

Previous studies of the structures of copper (II) complexes with 2,2’-bpy, 1,10-phenanthroline and a quinolone ligand different from ciprofloxacin or its derivative have indicated that while the Cu-O (acid) distances remain constant, the Cu-O(keto) distance varies from one to another, such as ([Cu(phen)(nal)]+,1.914 and 1.934 Å; [Cu(phen)(cnx)]+ (cnx:=cinoxacinate), 1.913 and 1.914 Å; [Cu(bpy)(oxo)]+ (oxo=oxolinate), 1.914 and 1.936 Å, and [Cu(cpf)(bpy)(Cl)0.7(NO3)0.3], 1.920(3) and 1.924(3) Å, respectively [9,12,13,14]. In the present study, we find that the Cu-O distances of 1.922(6)(acid) and 1.924(7)(keto) fall in the middle of 1.913~1.936 Å, as concluded by Wallis [12].
The dihedral angle between the two ligands in the complex [Cu2(cip)2(bpy)2(pip)]·6H2O is about 8°. There is a stack effect between cip rings from two neighbor molecules, and the distance is about 3.40 Å. Also there is a stack effect between cip ring and bpy ring from another molecule with a distance of about 3.4~3.6 Å. The observed stacking in these molecules are indicative of a π~π interaction at a distance that is similar with those encountered in the base stacking of DNA [15]. Also, this distance is encountered in some compounds like [Cu(phen)(cnx)(H2O)]NO3·H2O [16], where the stacking distance between the cnx ring and phen ring from another molecule is about 3.5 Å, and in some intercalated compounds like 5-iodouridylyl-(3’-5’)-adenosine:ethidium [17], where the stacking distances are: 3.3 Å (adenine-ethidium) and 3.4 Å (uracyl-ethidium), respectively. It is important to notice that the arrangement in the crystal packing is dependent on the environment of the metal ion, and this should be relevant in any proposal of intercalation processes. The data suggests that this type of compound could act as an intercalating agent and also that the mechanism of action should be by a metal-quinolone complex. Supporting evidence of this idea is given by the Shen’s model [18], which proposes a direct interaction between the quinolones and DNA [19].
FT-IR Spectroscopy
Figure 6 and Figure 7 show the IR spectra of cpf and the complex, respectively. Comparing the main IR frequencies of copper complex with that of cpf, the following was found: (1) there were two very strong absorption peaks in the spectrum of the ligand cpf, i.e., 1707.6 cm-1 and 1627.1 cm-1; (2) the band at 1707.6 cm-1, due to the carboxylic group, was not detected in the spectrum of the complex, indicating that this moiety participates in the bonding to the metal ion [20]; (3) however, the technique doesn’t permit a definitive conclusion about the participation of the ketone group in the bonding to the metal, the corresponding band was recorded at 1627.1 cm-1 in the spectrum of cip, and a band close to this position (1635.4 cm-1) in the spectrum of the complex could be due to either the ketone group or to the carboxylic group bonded to the metal ion.
If this band is due to the ketone group, the antisymmetric and symmetric modes of the carboxylic group would account for the bands at 1589.6 cm-1 and 1546.4 cm-1 (not labelled in Figure 7), respectively. However, if the ketone group participated in the bonding to the metal we would expect a shift of its stretching band towards lower wavenumbers, thus corresponding to the band recorded at 1589.6 cm-1, and the bands at 1635.4 and 1473.1 cm-1 would correspond to the carboxylic group. According to the crystal structure, this conclusion is reasonable. We should conclude that FT-IR spectroscopy, by itself, doesn’t permit a definitive answer as to the way the ligand is bonded to the metal cation. Macias [21] and Wang [22] have studied the IR spectra of some metal quinolone complexes and gave similar explanations.
Figure 6.
IR spectrum of cpf.
Figure 6.
IR spectrum of cpf.

Figure 7.
IR spectrum of [Cu2(cip)2(bpy)2(pip)]·6H2O.
Figure 7.
IR spectrum of [Cu2(cip)2(bpy)2(pip)]·6H2O.

Antibacterial Studies
Both ligand and complex were assayed against gram-positive and gram-negative bacteria in order to determine if the spectrum of activity of the complex was changed with respect to that of the ligand. Table 2 shows the results of the in vitro antimicrobial activity of the compounds. The complex shows the same minimal inhibitory concentration as the corresponding ligand against S. Aureus and E. Coli bacteria, and lower MIC against M. Lutens and P. Aeruginosa than that of ligand.
Table 2.
Minimal inhibitory concentration (MIC, μg/mL) of the drugs for the assayed bacteria
| Compound | Microorganism | |||
|---|---|---|---|---|
| Staphylococcus Aureus | Micrococcus Lutens | Escherichia Coli | Pseudomonas Aeruginosa | |
| complex | <20 | >20 | <20 | >20 |
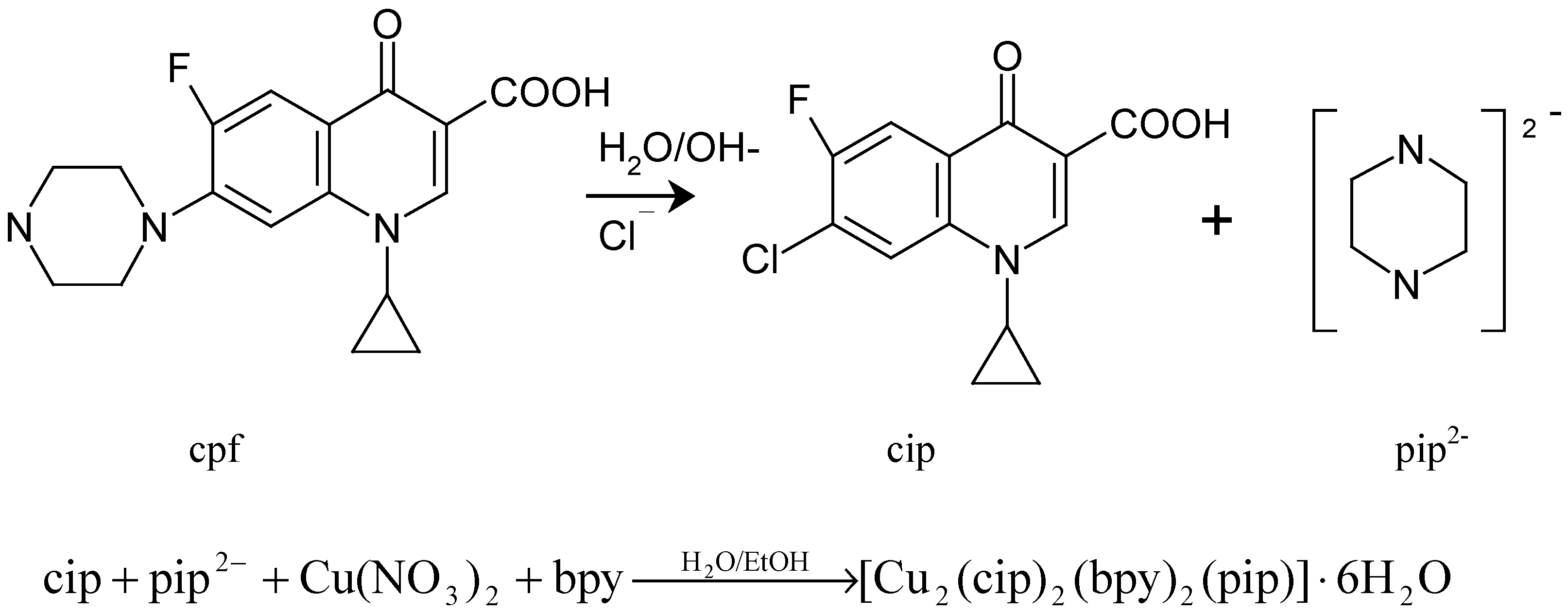
Possible synthetic reaction
During the reaction, the piperazine ring on ciprofloxacin was substituted by a chloride ion in the NaOH solution, and the chloride ion was from starting material cpf·HCl. Figure 8 shows the possible synthetic reactions taking place. Further experimental research is required to confirm the intermediate products, cip and pip, in this reaction process.
Figure 8.
Possible synthetic reaction.
Figure 8.
Possible synthetic reaction.

Experimental
Chemicals, analyses and physical measurements
Cpf·HCl (pure powder, 99.9% ) was kindly donated by Xinchang Pharmaceutical Factory. All other chemicals used were of analytical reagent grade. The analysis of carbon, hydrogen, and nitrogen was carried out on a Carlo-Erba 1110 elemental analyzer. FT-IR spectra were recorded using KBr pellets on a Nicolet FT-IR spectrometer.
Synthesis of [Cu2(cip)2(bpy)2(pip)]·6H2O
Bpy (0.5 mmol) dissolved in ethanol (10mL) was added to an aqueous solution (10 mL) containing Cu(NO3)2·3H2O (0.5 mmol). To this mixture was then added a solution prepared by dissolving cpf·HCl (1mmol) in water (100 mL) containing NaOH (2 mmol); the pH was adjusted to 7.0~8.0 with HNO3 and NaOH. The resulting blue solution was slowly evaporated at room temperature, and blue crystals suitable for X-ray structure determination were formed finally after a period of 2 months. Anal. Calc. for C25H26ClCuFN4O6: C, 50.34; H, 4.39; N, 9.39%. Found: C, 49.47; H ,4.54; N, 9.16%.
Crystallographic Data and Structure Determination
A Bruker Smart CCD X-ray diffractometer with graphic monochromated Mo-Kα radiation and a 12kW rotating anode generator was used for the determination of the unit cell and data collection. The data were collected using the θ and φ scan technique to a maximum θ value of 25.50°. The linear absorption coefficient, μ, for Mo-Kα radiation was 12.13 cm-1. An empirical absorption correction based on azimuthal scans of several reflections was applied which resulted in transmission factors ranging from 0.77 to 1.00. The data were corrected for Lorentz and polarization effects. A correction for secondary extinction was applied (coefficient = 3.46614×10-7). The structure was solved by direct methods using SHELXS86 and expanded using Fourier techniques. The non-hydrogen atoms were refined anisotropically. Hydrogen atoms were included but not refined. The final cycle of full-matrix least-squares refinement was based on 1853 observed reflections (I>2.00σ (I)) and 362 variable parameters and converged with unweighted and weighted agreement factors of R =║F0│—│Fc║ /│F0│=0.0776 and RW = [ω(│F0│—│Fc│)2/ωF02]1/2= 0.2235. The weighting scheme, ω=1/(σ2(F0)). Neutral atom scattering factors were taken from Cromer and Waber [11]. Anomalous dispersion effects were included in Fcalc. All calculations were performed using the teXsan crystallographic software package of Molecular Structure Corporation.
Table 1.
Crystal data and structure refinement for [Cu2(cip)2(bpy)2(pip)]·6H2O complex
| Empirical formula | C25 H26 Cl Cu F N4 O6 | Volume of unit cell | 1284.5(6) Å3 |
| Formula weight | 596.49 | Z | 2 |
| Temperature | 293(1)K | Density (calculated) | 1.542 g·cm-3 |
| Mo-Kα | 0.71073Å | F(000) | 614 |
| μ(Mo-Kα) | 12.13cm-1 | Crystal size | 0.20×0.20×0.30mm |
| Crystal system | Triclinic | θ range | 1.95 ° to 25.50° |
| Space group | P-1 | Reflections collected | 6702 |
| Unit-cell dimensions | independent reflections | 4697(Rint=0.073) | |
| a = 6.874(2) Å , α=80.071(6) ° | Goodness of fit on F2 | 0.897 | |
| b =10.761(3) Å , β = 85.253(6) ° | Final R indices[I>2.00σ (I)] | R1=0.0776 | |
| c = 17.976(5) Å , γ=79.109(6) ° | wr2=0.2235 | ||
| Max. peak in final diff. Map | 0.881e-1/ Å3 | Min. peak in final diff. Map | -0.437e-1/ Å3 |
Antibacterial Susceptibility Tests
The minimal inhibitory concentration (MIC) for the 4 bacteria strains listed in Table 2 was measured by the agar incorporation method in plastic Petri dishes containing Mueller Hinton agar (10mL) and incorporating the antimicrobials in concentrations of 0.015 to 64 μg/mL in doubling dilutions, following the method of The National Center for Drug Screening (Shanghai, P.R. China).
Acknowledgements
This work was funded by the National Natural Science Foundation of China (No. 50073019). Antibacterial testing was performed by The National Center for Drug Screening of China.
References
- Sorenson, J.R.J. Copper Chelates as Possible Active Forms of the Anti-arthritic Agents. J. Med. Chem. 1976, 19, 135–148. [Google Scholar]
- Brown, D.H.; Lewis, A.J.; Smith, W. E.; Teape, J.W. Anti-Inflammatory Effects of Some Copper Complexes. J. Med. Chem. 1980, 23, 729–734. [Google Scholar]
- Williams, D.R. The Metals of Life; Van Nostrand Reinhold: London, 1971. [Google Scholar]
- Ruiz, M.; Perello, L.; Ortiz, R.; Castineiras, A.; Maichlemossmer, C.; Canton, E. Synthesis, Characterization, and Crystal-Structure of Cu(Cinoxacinate)2·2H2O Complex. A Square-Planar CuO4 Chromophore, Antibacterial Studies. J. Inorg. Biochem. 1995, 59, 801–810. [Google Scholar]
- Castillo-Blum, S.E.; Barba-Behrens, N. Coordination Chemistry of Some Biologically Active Ligands. Coord. Chem. Rev. 2000, 196, 3–30. [Google Scholar]
- Turel, I.; Leban, I.; Bukovec, N. Crystal Structure and Characterization of the Bismuth (III) Compound with Quinolone Family Member (Ciprofloxacin). Antibacterial Study. J. Inorg. Biochem. 1997, 66, 241–245. [Google Scholar]
- Turel, I.; Golic, L.; Bukovec, P.; Gubina, M. Antibacterial Tests of Bismuth (III) -Quinolone (Ciprofloxacin, cf) Compounds against Helicobacter Pylori and Some Other Bacteria. Crystal Structure of (cfH2)2[Bi2Cl10] · 4H2O. J. Inorg. Biochem. 1998, 71, 53–60. [Google Scholar]
- Yang, P.; Li, J.B.; Tian, Y.N.; Yu, K.B. Synthesis and Crystal Structure of Rare Earth Complex with Ciprofloxacin. Chin. Chem. Let. 1999, 10, 879–880. [Google Scholar]
- Wang, G.P.; Cai, G.Q.; Zhu, L.G. Synthesis and Crystal Structure of Fluroquinolone Complex of Copper with Two-Dimension Network. Chin. J. Inorg. Chem. 2000, 6, 987–990. [Google Scholar]
- CCDC 191087 contains the supplementary crystallographic data for this paper. These data can be obtained free of charge via the URL http://www.ccdc.cam.ac.uk/conts/retrieving.html (or from the CCDC, 12 Union Road, Cambridge CB2 1EZ, UK; fax: (+44) 1223 336033; e-mail: deposit@ccdc.cam.ac.uk).
- Cromer, D.T.; Waber, J.T. International Tables for X-Ray Crystallography; The Kynoch Press: Birmingham (U.K.), 1974; Vol. IV, Table 2.2 A. [Google Scholar]
- Wallis, S.C.; Gahan, L.R.; Charles, B.G.; Hambley, T.W.; Duckworth, P.A. Copper (II) Complexes of the Fluoroquinolone Antimicrobial Ciprofloxacin. Synthesis, X-Ray Structural Characterization, and Potentiometric Study. J. Inorg. Biochem. 1996, 62, 1–16. [Google Scholar]
- Wallis, S.C.; Gahan, L.R.; Charles, B.G.; Hambley, T.W. Synthesis and X-Ray Structural Characterization of an Iron (III) Complex of the Fluoroquinolone Antimicrobial Ciprofloxacin, [Fe(CIP)(NTA)]3·5H2O(NTA=Nitrilotriacetato). Polyhedron 1995, 14, 2835–2840. [Google Scholar]
- Berman, H.M.; Shieh, H.S. Topics in Nucleic Acid Structure; Neidle, S., Ed.; MacMillan Publishers LTD.: London (U.K.), 1981; pp. 17–32. [Google Scholar]
- Voet, D.; Voet, J.G. Biochemistry; John Wiley & Sons: New York, 1990; p. 795. [Google Scholar]
- Mendoza Diaz, G.; Martinez Aguilera, L.M.R.; Moreno Esparza, R.; Pannell, K.H.; Cervantes Lee, F. Some Mixed-Ligand Complexes of Copper (II) with Drugs of the Quinolone Family and (N-N) Donors - Crystal-Structure of [Cu(Phen)(Cnx)(H2O)]NO3·H2O. J. Inorg. Biochem. 1993, 50, 65–78. [Google Scholar]
- Chun-che, T.; Shri-C, J.; Sobell, M. H. Proc. Natl. Acad. Sci. USA 1975, 62, 628.
- Shen, L.L.; Pernet, A.G.; Odonnell, T.J.; Rosen, T.; Chu, D.W.T.; Sharma, P.N.; Mitscher, L.A.; Cooper, C.S. Mechanism of Inhibition of DNA Gyrase by Quinolone Antibacterials - A Cooperative Drug-DNA Binding Model. Biochemistry. 1989, 28, 3886–3894. [Google Scholar]
- Wang, G.P.; Zhu, L.G. Synthesis and Crystal Structure of a New Copper (II) Complex Containing Fluoroquinolone. In Frontiers of Solid State Chemistry; Feng, S.H., Chen, J.S., Eds.; World Scientific: Singapore, 2002; pp. 327–331. [Google Scholar]
- Bellamy, L.J. The Infrared Spectra of Complex Molecules; 3rd Edition; Chapman and Hall: London (U.K.), 1975. [Google Scholar]
- Macias, B.; Villa, M.V.; Rubio, I.; Castineiras, A.; Borras, J. Complexes of Ni(II) and Cu(II) with Ofloxacin, Crystal Structure of a New Cu(II) Ofloxacin Complex. J. Inorg. Biochem. 2001, 84, 163–170. [Google Scholar]
- Wang, G.P.; Lei, Q.F. Synthesis, Electron Paramagnetic Resonance Properties and Antibacterial Studies of Copper (II) Complex Containing Norfloxacin. J. Zhejiang University (Science Edition) 2003, 30, 92–96. [Google Scholar]
- Sample availability: Samples are available from the corresponding author.
© 2003 by MDPI ( http://www.mdpi.org). Reproduction is permitted for noncommercial purposes