Abstract
Pyrimidino[5`,4`-6,5]-,pyridino[3`,2`-6,5]- and pyrrolo[3`,2`-5,6]4H-pyrano-[3,2-c][1]benzopyran-6-one derivatives (5-7 and 10) could be obtained via reaction of 2-amino-4-(p-bromophenyl)-3-cyano(carboethoxy)-4H,5H-pyrano[3,2-c][1]benzopyran-5-ones (3a,b)with a variety of reagents. Alkylation of (3b) with either 2-furoyl chloride or chloroacetyl chloride gave the 2-N-substituted derivatives (9a,b). Benzofurano[3,2-b]4H-pyran derivative (12) was also prepared. The antimicrobial activity of the prepared compounds was tested.
Introduction
Coumarins are nowadays an important group of organic compounds that are used as bactericides [1,2,3], fungicides [4], anti-inflammatory [5], anticoagulant [6] and antitumour agents [7,8]. These pharmacological properties of coumarins aroused our interest in synthesizing several new compounds featuring different heterocyclic rings fused onto the coumarin moiety with the aim of obtaining more potent pharmacologically active compounds.
Results and Discussion
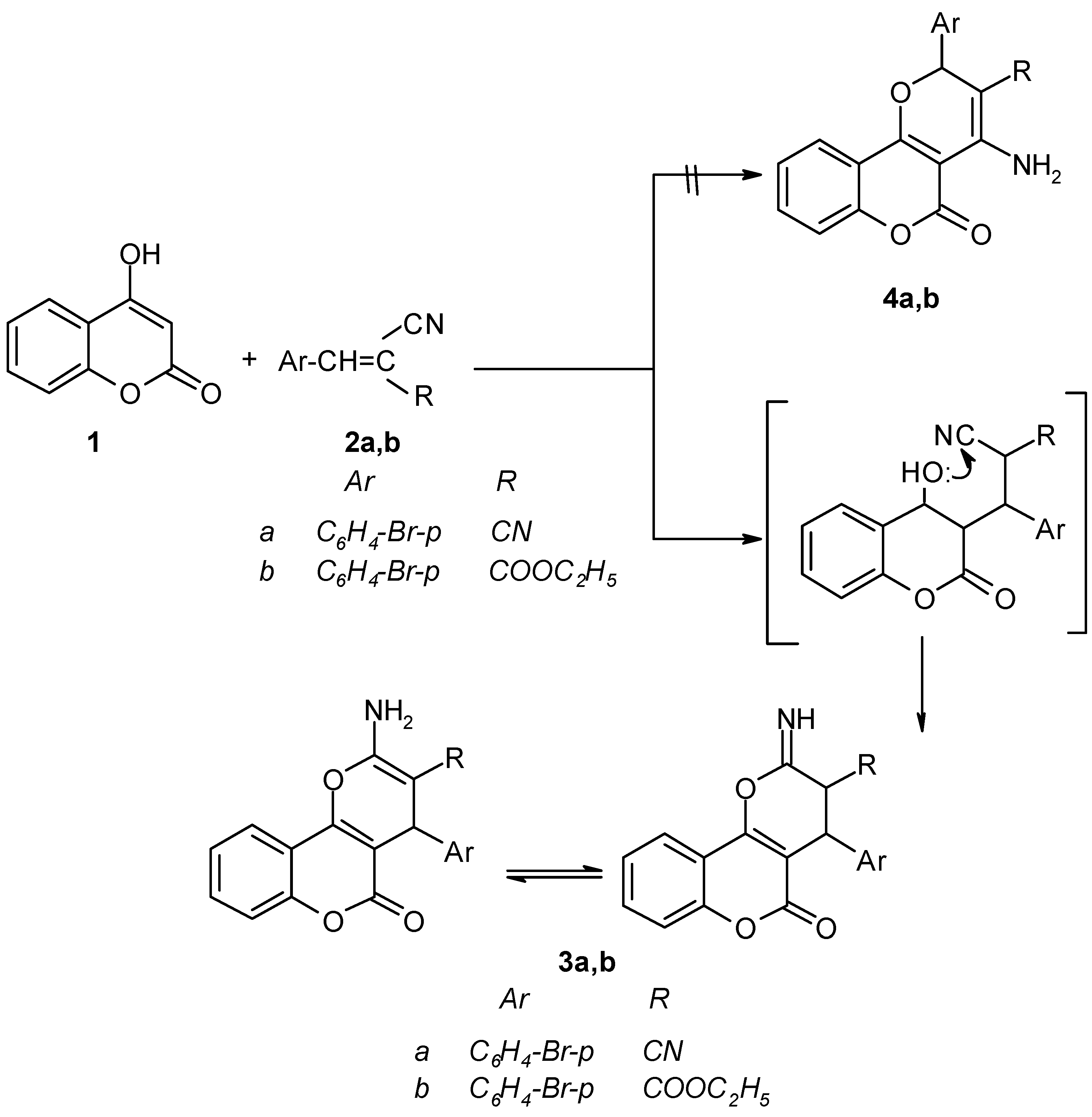
Condensation of 4-hydroxycoumarin (4-hydroxy-2H-1-benzopyran-2-one, 1) with α-cyano-p-bromocinnamonitrile (2a) in ethanol containing a catalytic amount of piperidine afforded a product which may have two possible structures: 3a or 4a (Scheme 1).
Scheme 1.
Scheme 1.

Structure 3a is favoured over 4a based on the 1H-NMR spectra which revealed the presence of a signal at δ 4.5- 5.0 ppm for one proton linked with a sp3 carbon. Signals at a similar position have been observed for 4H-pyran [9]. If 4a were the reaction product, one would expect a 2H-pyran signal, appearing at lower values. The formation of 3a was assumed to proceed via addition of the coumarinyl C-3 to the activated double bond in 2a followed by cycloaddition of the Michael adduct. Compound 3b was prepared in similar way using α-carboethoxy-p-bromocinnamonitrile (2b, Scheme 1).
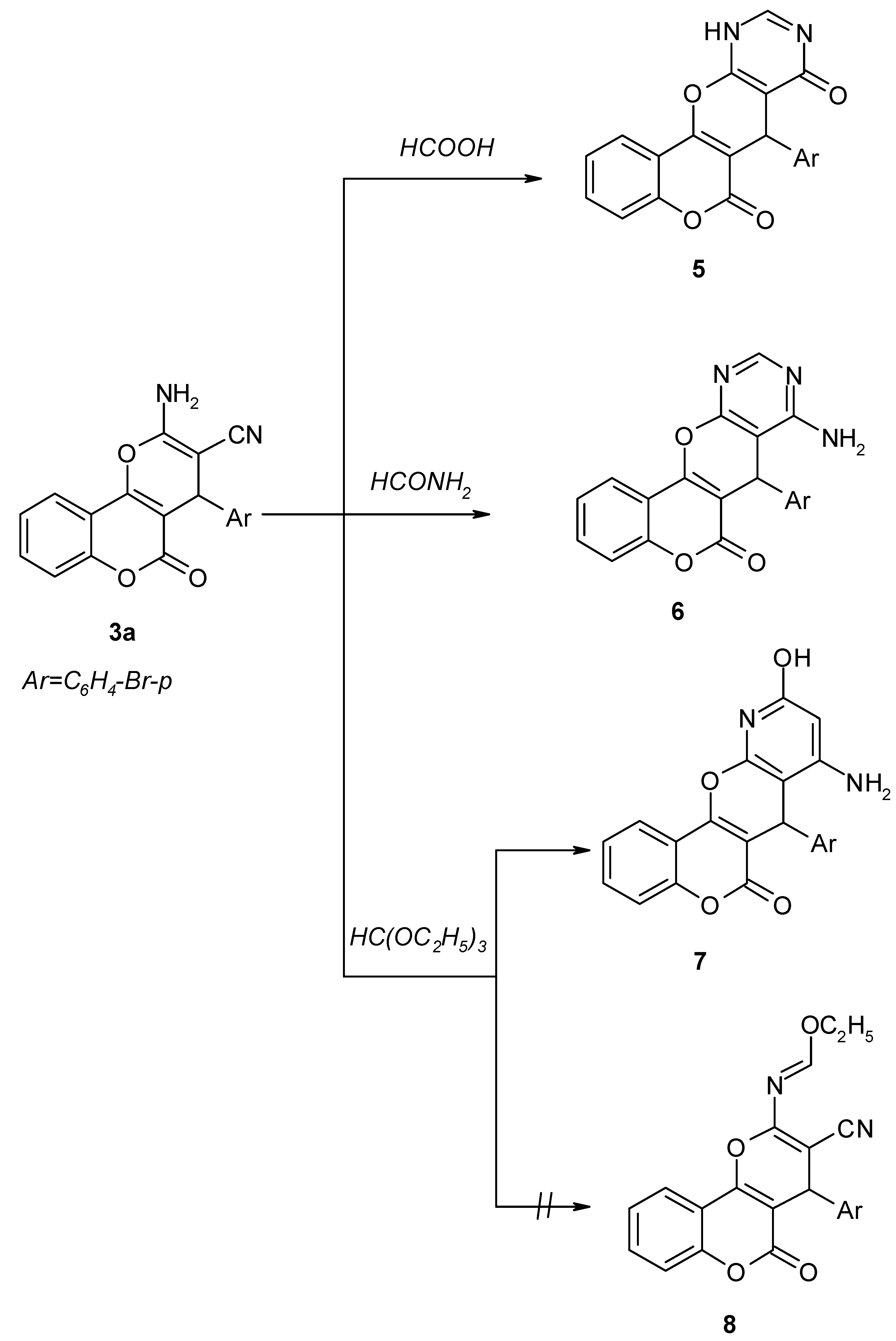
Scheme 2.
Scheme 2.

Compound 3a, as a typical enaminonitrile derivative [10], reacted with formic acid upon heating for several hours to yield 7-(p-bromophenyl)-11-hydropyrimidino[5`,4`-6,5]4H-pyrano[3,2-c][1]benzo-pyran-6,8-dione (5) (Scheme 2). Similarly, compound 3a reacted with formamide in the presence of formic acid and dimethylformamide to produce 8-amino-7-(p-bromophenyl)pyrimidino[5`,4`-6,5]4H-pyrano[3,2-c][1]benzopyran-6-one (6) (Scheme 2).
It was reported that 2-amino-3-cyano-4H,5H-pyrano[3,2-c][1] benzopyran-5-one derivatives react with triethyl orthoformate in acetic anhydride to produce the corresponding 3-cyano-2-ethoxy-methyleneamino derivatives [4,9]. In this study the reaction of 3a with triethyl orthoformate in acetic anhydride afforded a product formulated as 8-amino-7-(p-bromophenyl)-10-hydroxypyridino[3`,2`-6,5]4H-pyrano[3,2-c][1]benzopyran-6-one (7) rather than compound 8 (Scheme 2). Structure 7 was established for the reaction product based on the following data: a) its infrared spectrum revealed no absorption in the CN region, furthermore, it displayed absorption bands at 3448-3400 cm-1 as a broad band (NH2 OH) and 1668 cm-1 (C=O); b) the mass spectrum of 7 exhibited molecular ion peaks at (M+) m/z 437 and 436, also, other peaks appear at m/z 357, due to the loss of a bromine atom and 281 (100%) due to further loss of a phenyl group; c) the 1H-NMR spectrum of 7 showed signals at δ 2.50 (s, 2H, NH2), 4.82 (s, 1H, pyran H-4) and 7.26-7.96 ppm (m, 9H, 8 ArH + 1H, which disappeared after D2O exchange, NH); d) treatment of 3a with acetic anhydride only gave a product showing in its IR spectrum absorption bands at 2210 cm-1 (CN), a single band at 3330 cm-1 (NH), 1726 (lactone C=O) and 1676 cm-1 (C = O).
Reaction of 3b with either 2-furoyl chloride or chloroacetyl chloride in dry acetone containing potassium carbonate afforded the 2-N-furoyl amino-3-carboethoxy-4-(p-bromophenyl)-4H,5H-pyrano[3,2-c][1]benzopyran-5-one derivative (9a) and 2-N-chloroacetylamino-3-carboethoxy-4-(p-bromophenyl)-4H,5H-pyrano[3,2-c][1]benzopyran -5-one derivative (9b), respectively (Scheme 3). Cyclisation of compound (9b) using sodium ethoxide afforded 7-(p-bromophenyl)-9-ethoxy-9,11-dihydropyridino[3`,2`-6,5]4H-pyrano[3,2-c] [1]benzopyran-6,8,10-trione (10) (Scheme 3).
Heating compound 3b with 4-bromophenacyl bromide in refluxing pyridine gave 7-(p-bromo-phenyl)-9-[(p-bromophenyl)carbonyl]-8-hydroxypyrrolo[3`,2`-5,6]4H-pyrano-[3,2-c][1]benzopyran-6-one (11) (Scheme 3). Treatment of 3b with anthranilic acid in boiling pyridine afforded an unexpected benzofuranopyran derivative which was formulated as 2-amino-4-(p-bromophenyl)-3-[N-phenyl-carbamido]dihydrobenzofurano[3,2-b]-4H-pyran (12) (Scheme 3). The postulated structure of compound 12 was based on the following arguments: a) its IR spectrum reveals no absorption bands for an ester group and the carbonyl of a δ-lactone, whereas an absorption band at 1667 cm-1 (amide C=O) does appear; b) the 1H-NMR spectrum of 12 showed signals at 7.01 (d, 1H, pyran H-4), 7.36 (d, 2H, furano H) and 7.47-8.12 ppm (m, 16H, ArH+ NH2+NH).
Scheme 3.
Scheme 3.

Biological Activity
All the compounds prepared were screened for their activity against Gram-positive bacteria (Staphylococcus aureus, Bacillus subtilis, Bacillus cereus), Gram-negative bacteria (Pseudomonas aurignosa, Echerichia coli, Enterobacter aerogenes), as well as fungi (Aspergillus niger, Penicillium italicum, Fusarium oxysporum). The results are given in Table 1 and Table 2.
Table 1.
Antibacterial activity of the prepared compounds
| Compd. | Organisms* | |||||
| 1 | 2 | 3 | 4 | 5 | 6 | |
| 3a | 28 | 11 | 19 | 10 | 20 | 10 |
| 3b | 25 | 17 | 15 | 10 | 19 | 11 |
| 5 | 22 | 18 | 16 | 10 | 13 | 12 |
| 6 | 29 | 22 | 18 | 18 | 21 | 20 |
| 7 | 20 | 14 | 16 | 18 | 22 | 11 |
| 9a | 22 | 13 | 10 | 16 | 15 | 15 |
| 9b | 24 | 14 | 10 | 8 | 13 | 13 |
| 10 | 28 | 14 | 19 | 12 | 15 | 15 |
| 11 | 18 | 15 | 14 | 10 | 12 | 11 |
| 12 | 20 | 15 | 13 | 19 | 29 | 16 |
| Amoxicillin | 29 | 12 | 20 | 11 | 36 | 10 |
* Organisms : 1- Staphylococcus aureus, 2-Bacillus subtilis, 3- Bacillus cereus,4- Pseudomonas aurignosa, 5-Echerichia coli and 6- Enterobacter aerogenes.
It is apparent from the data listed in Table 1 that some of the synthesized compounds showed antibacterial activity comparable to that of amoxicillin, the reference drug used. However, concerning the activity against gram-positive bacteria (Bacillus subtilis), the pyrimidino[5`,4`-6,5]4H-pyrano[3,2- c][1]-benzopyran-6-one (6) showed excellent activity, compounds 3b and 5 exhibit good activity , whereas compounds 7, 9b, 10, 11 and 12 showed moderate activity . On the other hand, the Gram – negative bacteria (Pseudomonas aurignosa) showed high responses to five of the prepared products. Dihydrobenzofurano[3,2-b]-4H-pyran (12) showed the maximum activity, higher than that of amoxicillin. Compound 6 exhibits excellent antibacterial activity towards Enterobacter aerogenes.
Concerning the data of antifungal activity in Table 2, compound 5 showed excellent activity against Aspergillus niger, comparable to mycostatin , while compounds 7 and 8 exhibit good activity. Also, compound 9a displays moderate activity toward Penicillium italicum. In general, the data obtained from the microbiological screening showed that the activity of some synthesized compounds is equal to and sometimes greater than those of the reference drugs used.
Table 2.
Antifungal activity of the prepared compounds
| Compd. | Organisms* | ||
|---|---|---|---|
| A | B | C | |
| 3a | 12 | 11 | 20 |
| 3b | 15 | 15 | 19 |
| 5 | 21 | 12 | 20 |
| 6 | 14 | 16 | 18 |
| 7 | 16 | 20 | 18 |
| 9a | 12 | 22 | 19 |
| 9b | 18 | 20 | 22 |
| 10 | 10 | 12 | 19 |
| 11 | 10 | 13 | 11 |
| 12 | 12 | 18 | 11 |
| Mycostatin | 12 | 20 | 26 |
*Organisms : A) Aspergillus niger,B) Penicillium italicum and C) Fusarium Oxysporum
Conclusions
2-Amino-4-(p-bromophenyl)-3-cyano(carboethoxy)-4H,5H-pyrano-[3,2-c][1]benzo-pyran-5-ones (3a,b) were used as starting materials to synthesize new coumarin derivatives containing heterocyclic rings fused onto a coumarin moiety. Compound 3a reacts with formic acid, formamide and triethyl orthoformate to produce 7-(p-bromophenyl) -11- hydropyrimidino[5`,4`-6,5]-4H-pyrano[3,2-c][1]-benzopyran-6,8-dione (5), 8-amino-7-(p-bromophenyl)pyrimidino[5`,4`-6,5]4H-pyrano[3,2-c][1]-benzopyran-6-one (6) and 8-amino-7-(p-bromophenyl)-10-hydroxypyridino[3`,2`-6,5]-4H-pyrano[3,2-c][1]benzopyran-6-one (7), respectively.
Compound 3b also reacted with either 2-furoyl chloride or chloroacetyl chloride to afford 2-N-furoylamino-3-carboethoxy-4-(p-bromophenyl)-4H,5H-pyrano[3,2-c][1]benzopyran-5-one (9a) and 2-N-chloroacetylamino-3-carboethoxy-4-(p-bromophenyl)-4H,5H-pyrano[3,2-c][1]benzopyran-5-one (9b), which cyclized into 7-(p-bromophenyl)-9-ethoxy-9,11-dihydro-pyridino[3`,2`-6,5]4H-pyrano[3,2-c][1]benzopyran-6,8,10-trione (10). In addition compound (3b) reacted with 4-bromophenacyl bromide and anthranilic acid to yield 7-(p-bromophenyl)-9-[(p-bromo-phenyl)carbonyl]-8-hydroxypyrrolo[3`,2`-5,6]4H-pyrano-[3,2-c][1]benzopyran-6-one (11) and 2-amino-4-(p-bromophenyl)-3-[N-phenyl-carbamido]-dihydrobenzofurano[3,2-b]-4H-pyran (12), respectively.
Experimental
General
Melting points were taken on an Electrothermal capillary melting point apparatus and are uncorrected. The microanalyses were done at Faculty of Scinece, King Khalid University. Infrared spectra were recorded on a Jasco FT/IR 460, using KBr disks. 1H-NMR Spectra were recorded on JEOL EX-270 MHz NMR Spectrometer. Mass spectra were recorded on a Finnigan Mat SSQ-7000 mass spectrometer.
Biological Tests
Standard drugs (amoxicillin for bacteria and mycostatin for fungi) were used at a concentration of 1000 ppm for comparisons. The biological activity of these compounds have been evaluated by filter paper disc method [11] after dissolving them in N,N-dimethylformamide to obtain a 1mg/mL solution (1000 ppm). The inhibition zones of microbial growth surrounding the filter paper disc (5 mm) were measured in millimeters at the end of an incubation period of 3 days at 37°C for Echerichia coli and at 28°C for other bacteria and fungi. N,N-dimethylformamide alone showed no inhibation zone.
2-Amino-4- (4`-bromophenyl)-3-cyano-4H,5H-pyrano[3,2-c][1]benzopyran-5-one (3a).
A solution of 4-hydroxycoumarin (1, 1.62 g, 0.01 mole) and α-cyano-p-bromocinnamonitrile (2a, 2.32 g, 0.01 mole) in ethanol (20 mL) containing piperidine (0.5 mL) was heated for 30 min. The solid product that precipitated during the reflux was filtered off, dried and recrystallised from dioxane to give 3a (cf. Table 3). IR: 3387-3316 (NH2), 2191 (CN) and 1710 cm-1 (lactone C = O); 1H-NMR (DMSO-d6) δ 4.47 (s, 1H, pyran H-4), 7.2 (s, 2H, NH2), and 7.3-8.0 ppm (m, 8H, ArH); MS: m/z 394 (M+,,8.41%), 328 (23.87), 315 (3.85), 249 (100), 239 (40.92), 153 (4.08), 120 (20.86) 92 (26.33), 66 (15.15).
2-Amino-4-(4`-bromophenyl)-3-carboethoxy-4H,5H-pyrano[3,2-c][1]- benzopyran -5-one (3b).
A solution of 4-hydroxycoumarin (1, 1.62 g, 0.01 mole) and α-carboethoxy-p-bromo-cinnamonitrile (2b, 2.79 g, 0.01 mole) in ethanol (20 mL) containing piperidine (0.5 mL) was heated under reflux for 8h. The solvent was removed under reduced pressure and the residue was triturated with methanol to give a yellow solid which filtered off, dried and recrystallised from benzene to produce 3b (cf. Table 3). IR: 3338-3280 (NH2), 1730 (ester) and 1697 cm-1 (lactone C = O); 1H-NMR: δ 1.11 (t, 3H, CH3), 3.99 (q, 2H, CH2),4.65 (s, 1H, Pyran H-4) and 7.18-7.9 ppm (m, 10H, ArH+ NH2); MS: m/z 441 (M+,50%), 368 (28), 286 (100), 249 (32.86), 121 (39.65), 92 (4.74).
7-(p-Bromophenyl)-11-hydropyrimidino[5`,4`-6,5]4H-pyrano[3,2-c][1]-benzopyran-6,8-dione (5).
A mixture of 3a (3.9 g, 0.01 mole) and formic acid (10 mL) was heated at reflux for 10 h and then left to cool. The white crystals product thus formed was filtered off and recrystallised from ethanol to give 5 (cf. Table 3). IR: 3443 (NH), 1718 (lactone C =O) and 1662 cm-1 (C = O); 1H-NMR: δ 4.87 (s, 1H, Pyran H-4) and 7.28-8.25 ppm (m, 10H, 8 ArH + NH-pyrimidine-H); MS: m/z 423 (M+, 28.54 %), 343 (32.12), 267 (100), 240 (12.94), 157 (5.05), 121 (18.65), 92 (7.94).
8-Amino-7-(p-bromophenyl)pyrimidino[5`,4`-6,5]4H-pyrano[3,2-c][1]-benzopyran-6-one (6).
Compound 3a (3.9 g, 0.01 mole) was added to a mixture of formamide (10 mL), formic acid (5mL) and dimethylformamide (5mL). The reaction mixture was heated at reflux for 10h and then left to cool. The solid product was filtered off and recrystallised from benzene to produce 6 (cf. Table 3). IR: 3426-3341 (NH2), 3164 (NH) and 1725cm-1 (lactone C = O); 1H-NMR: δ 4.87 (s, 1H, pyran H-4) and 7.27-8.23 ppm (m, 11H, 8 ArH+NH2+pyrimidine H); MS: m/z 422 (M+, 32.81%), 343 (25.64), 267 (100), 240 (11.50), 212 (2.73), 140 (2.69), 121 (8.95), 92 (3.33).
8-Amino-7-(p-bromophenyl)-10-hydroxypyridino[3`,2`-6,5]4H-pyrano[3,2-c][1]benzopyran-6-one (7).
A mixture of 3a (3.9 g, 0.01 mole) and triethyl orthoformate (1.48 mL, 0.01 mole) in acetic anhydride (15 mL) was refluxed for 2h. The mixture was dissolved and then precipitated, cooled, filtered off and dried. The solid product was crystallised from DMF to give 7 (cf. Table 3). IR: 3448-3400 cm-1 as a broad band (NH2, OH) and 1668 cm-1 (C = O); 1H-NMR: δ 2.50 (s, 2H, NH2), 4.82 (s, 1H, pyran H-4) and 7.26-7.96 ppm (m, 9H, 8 ArH + 1H, disappeared after D2O exchange, NH); MS: m/z 437 (M+, 4.26%) and 436 (16.04), 357 (10.52), 281 (100%), 240 (7.04), 157 (11.12), 121 (7.80), 92 (2.58).
2-N-furoylamino-3-carboethoxy-4-(p-bromophenyl)-4H,5H-pyrano[3,2-c][1]benzopyran-5-one (9a).
A mixture of 3b (4.4 g, 0.01 mole), 2-furoyl chloride (1.3 g, 0.01 mole) and potassium carbonate (1.38 g, 0.01mole) in dry acetone (20 mL) was heated under reflux for 4h. The reaction mixture after cooling was poured into water (100 mL). The solid that separated was collected, dried and recrystallised from ethanol to yield compound 9a (cf. Table 3). IR: 3414 (NH), 1740 (ester), 1714 (lactone C=O), 1681 (amide C=O); 1H-NMR: δ 1.11 (t, 3H, CH3), 3.99 (q, 2H, CH2), 4.80 (s, 1H, pyran H-4), 6.81-8.20 (m, 11H, ArH and furan) and 11.18 ppm (s, 1H, disappeared after D2O exchange, NH); MS: m/z 536 (M+, 1.99 %), 535 (5.71), 380 (70.53), 327 (18.81), 329 (20.20), 286 (23.37), 249 (78.38), 121 (19.65), 95 (100).
2-N-chloroacetylamino-3-carboethoxy-4-(p-bromophenyl)-4H,5H-pyrano[3,2-c][1]benzopyran-5-one (9b).
Prepared from 3b (4.4 g, 0.01mole) and chloroacetyl chloride (1.25 g, 0.01 mole) according to the procedure described for 9a. IR: 3414 (NH), 1728 (ester), 1713 (lactone C=O), 1666 (amide C=O); 1H-NMR: δ 1.11 (t, 3H, CH3), 3.99 (q, 2H, CH2), 4.4 (s, 2H, CH2), 7.20-7.90 ppm (m, 8H, ArH); MS: 519 (M+, 13.79 %), 518 (3.51), 364 (35.12), 362 (100), 286 (59.53), 240 (52.49), 121 (59.56), 92 (18.31).
7-(p-Bromophenyl)-9-ethoxy-9,11-dihydropyridino[3`,2`-6,5]4H-pyrano[3,2-c][1]benzopyran-6,8,10-trione (10).
A mixture of 9b (5.1 g, 0.01 mole) and sodium metal (0.23 g, 0.01 mole) in absolute ethanol (15 mL) was refluxed for 2h. After concentration and cooling, the mixture was poured into ice/acetic acid and allowed to stir for 1h. The insoluble product was removed by filtration, dried and recrystallised from dilute ethanol to produce 10 (cf. Table 3). IR: 3419 (NH), 1716 (lactone C=O) and 1691-1651 cm-1 (2 C=O); 1H-NMR: δ 1.12 (t, 3H, CH3), 3.3 (broad s, 1H, disappeared after D2O exchange, NH), 3.91 (q, 2H, CH2), 4.69 (s, 1H, pyran H-4) and 7.21-7.90 ppm (m, 8H, ArH).; MS: m/z 482 (M+, 0%), 443 (62.83), 368 (37.25), 286 (100), 240 (70.81), 121 (45.96), 92 (13.26) , 75 (5.78).
7-(p-Bromophenyl)-9-[(p-bromophenyl)carbonyl]-8-hydroxy-pyrrolo[3`,2`-5,6]4H-pyrano[3,2-c][1]-benzopyran-6-one (11).
A solution of 3b (1.02 g, 0.0025 mole) in pyridine (20 mL) was treated with 4-bromophenacyl bromide (5.08 g, 0.01 mole) and heated under reflux for 1h. The reaction mixture was poured into ice/HCl and the separated solid was filtered off. The product was crystallised from dimethylformamide to give 11 (cf. Table 3). IR: 3471 (broad band NH and OH), 1694 (lactone C=O) and 1639 cm-1 (C=O); 1H-NMR: δ 4.7 (s, 1H, pyran H-4), 6.5 (s, 1H, C9-H) and 7.8-9.0 ppm (m, 13H, ArH+NH proton); .MS: m/z 593 (M+,0%), 459 (5.44), 276 (26.72), 274 (18.28), 185 (100), 184 (90.32), 154 (20.46), 120 (4.71), 89 (13.49), 79 (52.64).
2-Amino-4-(p-bromophenyl)-3-[N-phenyl carbamido]-dihydrobenzofurano [3,2-b]-4H-pyran (12).
A mixture of 3b (1.02 g, 0.0025 mole) and anthranilic acid (1.26 g, 0.01 mole) in pyridine (20mL) was refluxed for 6h. The reaction mixture was poured into ice/HCl and the solid that separated was washed several times with water, dried and recrystallised from benzene to produce 12 (cf. Table 3). IR: 3413 (NH2), 3236 (NH), 1667 (amide C=O ); 1H-NMR: δ 7.01 (d, 1H, pyran H-4), 7.36 (d, 2H, furano H) and 7.47-8.12 ppm (m, 16H, ArH+ NH2+NH); MS: m/z 463 (M+,0%), 327 (100%), 325 (94.03), 247 (26.08), 218 (18.55), 119 (36.21), 102 (51.69), 92 (24.83).
Table 3.
Characterization data of the prepared compounds
| Compd. | M.P. Co | Yield (%) Colour | Molecular Formula (M. wt.) | Analysis Calcd./Found | ||
|---|---|---|---|---|---|---|
| C | H | N | ||||
| 3a | 254 | 67 White | C19H11BrN2O3 (395.22) | 57.74 57.81 | 2.81 2.70 | 7.09 6.92 |
| 3b | 192 | 40 White | C21H16BrNO5 (442.27) | 57.03 56.99 | 3.65 3.70 | 3.17 3.06 |
| 5 | >300 | 40 White | C20H11BrN2O4 (423.23) | 56.76 56.68 | 2.62 2.46 | 6.62 6.43 |
| 6 | >300 | 50 White | C20H12BrN3O3 (422.24) | 56.89 57.10 | 2.86 2.79 | 9.95 9.90 |
| 7 | >300 | 55 White | C21H13BrN2O4 (437.25) | 57.68 57.93 | 2.99 3.20 | 6.40 6.11 |
| 9a | 140 | 40 White | C26H18BrNO7 (536.33) | 58.22 58.10 | 3.38 3.43 | 2.61 2.36 |
| 9b | 158 | 60 White | C23H17BrClNO6 (518.75) | 53.25 53.56 | 3.30 3.45 | 2.70 2.70 |
| 10 | 196 | 45 Yellow | C23H16BrNO6 (482.28) | 57.27 57.11 | 3.31 3.46 | 2.90 3.00 |
| 11 | 230 | 40 Yellow | C27H15Br2NO5 (593.22) | 54.66 54.87 | 2.54 2.34 | 2.36 2.45 |
| 12 | 282 | 40 Yellow | C24H19BrN2O3 (463.33) | 62.22 62.01 | 4.13 3.98 | 6.05 5.90 |
References
- El-Sayed, A.M.; Abd- Allah, O.A. Synthetic and Biological Studies on Coumarin Hydrazone Derivatives. Phosphorus, Sulfur and Silicon Relat.Elem. 2001, 170, 75–86. [Google Scholar] [CrossRef]
- Kalluraya, B.; Vishwanatha, P.; Isloor, A.M.; Rai, G.; Kotian, M. Synthesis and biological activity of 6-substituted-3-[2-(5-substituted-2-furfurylidenehydrazino)-4-thiazolyl]coumarins. Boll. Chim. Farm 2000, 139, 263–266. [Google Scholar]
- Abd-Allah, O.A. Synthesis and biological studies of some benzopyrano[2,3-c]-pyrazole derivatives. Farmaco 2000, 55, 641–649. [Google Scholar]
- El-Agrody, A.M.; Abd El-Latif, M.S.; El-Hady, N.A.; Fakery, A.H.; Bedair, A.H. Heteroaromatization with 4-Hydroxycoumarin Part II. Molecules 2001, 6, 519–527. [Google Scholar]
- Emmanuel-Giota, A.A.; Fylaktakidou, K.C.; Hadjipavlou-Litina, D.J.; Litinas, K.E.; Nicolaides, D.N. Synthesis and biological evaluation of several 3-(coumarin-4-yl)-tetrahydroisoxazole and 3-(coumarin-4-yl)dihydropyrazole derivatives. J. Heterocyclic Chem. 2001, 38, 717–722. [Google Scholar]
- Manolov, I.; Danchev, N.D. Synthesis, toxicological and pharmacological assessment of some 4-hydroxycoumarin. Eur. J. Med. Chem. Chim. Ther. 1995, 30, 531–536. [Google Scholar] [CrossRef]
- Nofal, Z.M.; El-Zahar, M.I.; Abd El-Karim, S.S. Novel Coumarin Derivatives with Expected Biological Activity. Molecules 2000, 5, 99–113. [Google Scholar]
- Raev, L.; Voinov, E.; Ivanov, I.; Popov, D. Antitumor activity of some coumarin derivatives. Pharmazie 1990, 45, 696, [Chem. Abstr. 1990, 114, 74711 B]. [Google Scholar]
- Shaker, R.M. Synthesis and reactions of some new 4H-Pyrano[3,2-c] benzopyran-5-one derivatives and their potential biological activities. Pharmazie 1996, 51, 148. [Google Scholar]
- Abd El-Fattah, A.M.; Sherif, S.M.; El-Reedy, A.M. New Synthesis of Imidazo[1,2-a] – and Pyrimido[1,2-a]Pyrimidines. Phosphorus. Sulfur and Silicon 1992, 70, 67–73. [Google Scholar] [CrossRef]
- Nene, Y.L.; Thapliyal, P.N. Fungicides in plant disease control. Oxford & IBH Publ: New Delhi, 1982; p. 192. [Google Scholar]
- Sample Availability: Samples of compounds 3a, 3b, 5, 6, 7, 9a, 9b, 10, 11 and 12 are available from MDPI. For other samples contact the authors.
© 2003 by MDPI ( http://www.mdpi.org). Reproduction is permitted for noncommercial purposes.