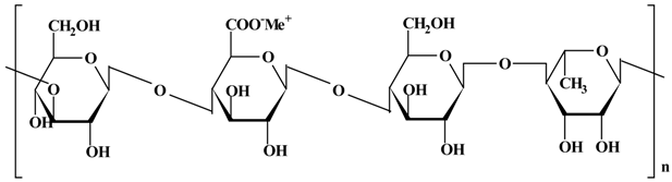
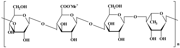
Immobilization of 1-[N-(M-Nitrobenzoyl)-α-D,L-Asparagyl]-2-Benzylbenzimidazole on Gellan
Abstract
:Introduction
Results and discussion









| Product | Experimental inflammatory edema | Antiinflammatory activity (inhibition, %) | |
| Control group average±DS | Treated groups average±DS | ||
| gellan-OxBBI | 0.134±0.073 | 0.033±0.029 | 78.6 |
Conclusions
- The amount of drug bound in the coupling product increases with the increase of the activator/active principle ratio and the reaction duration, and decreases with the increase of the gellan/active principle ratio.
- The drug is released from the coupling products through basic hydrolysis, according to a first order kinetics, which allows them to be considered as a controlled release system for the biologically active principle.
- The coupling product displays antimicrobial activity against certain microorganisms.
Experimental
Materials
Methods
Preparation of of OxBBI (II)
OxBBI immobilization on gellan: preparation of III.
Experimental Design
| real variable | coded variable | ||||
| -1.682 | -1 | 0 | 1 | 1.682 | |
| Gellan/OxBBI (mol/mol) – x1 | 0.2 | 0.261 | 0.35 | 0.44 | 0.5 |
| DCCI/OxBBI (mol/mol) – x2 | 1 | 1.1 | 1.25 | 1.4 | 1.5 |
| Time (h) – x3 | 8 | 13.25 | 21 | 28.75 | 34 |
- -
- a0 - free term
- -
- ai, aij – regression coefficients
- -
- xi, xj – variables expressing the process’ parameters
| Nr. | coded variable | % bonded OxBBI | |||
| x1 | x2 | x3 | experimental | theoretical | |
| 1 | -1 | -1 | -1 | 17.025 | 18.358 |
| 2 | 1 | -1 | -1 | 13.654 | 13.589 |
| 3 | -1 | 1 | -1 | 19.301 | 20.313 |
| 4 | 1 | 1 | -1 | 15.087 | 15.415 |
| 5 | -1 | -1 | 1 | 20.818 | 22.197 |
| 6 | 1 | -1 | 1 | 16.52 | 17.215 |
| 7 | -1 | 1 | 1 | 23.01 | 24.783 |
| 8 | 1 | 1 | 1 | 19.301 | 19.673 |
| 9 | -1.682 | 0 | 0 | 25.96 | 24.63 |
| 10 | 1.682 | 0 | 0 | 15.171 | 16.321 |
| 11 | 0 | -1.682 | 0 | 19.132 | 18.157 |
| 12 | 0 | 1.682 | 0 | 22.952 | 21.867 |
| 13 | 0 | 0 | -1.682 | 14.834 | 14.161 |
| 14 | 0 | 0 | 1.682 | 22.588 | 20.969 |
| 15 | 0 | 0 | 0 | 19.807 | 19.95 |
| 16 | 0 | 0 | 0 | 19.975 | 19.95 |
| 17 | 0 | 0 | 0 | 19.975 | 19.95 |
| 18 | 0 | 0 | 0 | 19.794 | 19.95 |
| 19 | 0 | 0 | 0 | 20.05 | 19.95 |
| 20 | 0 | 0 | 0 | 19.875 | 19.95 |
Release of the active principle from the support
Antiinflammatory activity of 1-m-nitrobenzoyl-α-asparagyl-2-benzylbenzimidazole
References
- Şunel, V.; Popa, M.; Popa, A.; Şoldea, C. Cellulose Chem. Technol. 2000, 34, 269.
- Şunel, V.; Băsu, C.; Oniscu, C.; Şoldea, C. Roum. Biotechnol. Lett. 2000, 5, 393.
- Şunel, V.; Ciugureanu, C.; Ungureanu, M. Rev. Med. Chir. Soc. Med. Nat., Iaşi 1993, 98, 273.
- Şunel, V.; Şoldea, C. Comp. Rend. Acad. Bulg. Sci. 1993, 46, 61.
- Şunel, V.; Şoldea, C. Indian J. Chem. 1995, 34B, 227.
- Şoldea, C.; Şunel, V. Comp. Rend. Acad. Bulg. Sci. 1995, 48, 67.
- Şunel, V.; Ciugureanu, C.; Ungureanu, M. Rev. Med. Chir. Soc. Med. Nat., Iaşi 1996, 100, 163.
- Şunel, V.; Băsu, C. An. St. Univ. “Al. I. Cuza” Iasi 1999, 7, 111.
- Şunel, V.; Băsu, C.; Drochinoiu, G.; Filimon, M. Rev. Med. Chir. Soc. Med. Nat., Iaşi 2001, 105, 288.
- Şunel, V.; Băsu, C.; Sîrbu, D.; Popa, M.; Diaconu, E.; Şoldea, C. Acta. Pharm. 2001, 51, 35.
- Popa, M.; Rusu, L.; Şunel, V.; Băsu, C. Cellulose Chem. Technol. 2002, 36, 510–519.
- Bartlett, M.; Shaw, M.; Smith, J.W. J. Med. Chem. Chim. Ther. 1992, 36, 779.
- Gbadamassi, M.; Barascut, J.; Imbach, J.L.; Gayral, P. Eur. J. Med. Chem. 1988, 23, 225.
- Hazelton, J.; Iddon, B.; Redhouse, A.D.; Suschitzky, H. Tetrahedron 1995, 51, 5597–5600.
- Raslan, M.A.; Abd El-Latif, F.M.; Otto, H.-H.; Sadek, K.U. J. Chin. Chem. Soc. 2000, 47, 947–949.
- Khalafallah, A.K.; Selim, M.A.; El-Hamed, R.M.Abu; El-Maghraby, M.A.; Soleiman, H.A.; Raslan, M.A. Ind. J. Chem. 1995, 34B, 1066–1070.
- Şunel, V.; Ciugureanu, C.; Ungureanu, M. Rev. Med. Chir. Soc. Med. Nat, Iaşi 1996, 100, 163.
- Werner, W.; Letsch, G.; Ihn, W.; Sohr, R.; Preiss, R. Pharmazie 1991, 46, 113. [PubMed]
- Ersan, S.; Nacak, S.; Noyanalpan, N.; Yesilada, E. Arzneim. Forsch. 1997, 47(7), 834–836.
- Dumitriu, S.; Vidal, P.; Chornet, E. Polysaccharides in Medical Applications; Dumitriu, S., Ed.; Marcel Dekker, Inc.: New York, 1996; p. 125. [Google Scholar]
- Popa, M.; Şunel, V.; Bălăiţă Rusu, L.; Băsu, C. Romanian International Conference on Chemistry and Chemical Engineering”, RICCE 12, Bucharest, Romania, 13-15 September; 2001.
- Dumitriu, S.; Dumitriu, M. Polysaccharides in Medical Applications; Dumitriu, S., Ed.; Marcel Dekker, Inc.: New York, 1996; p. 705. [Google Scholar]
- Filimon, M.; Basu, C.; Nastase, V.; Sunel, V. Jurnal de Medicina Preventiva 2000, 8, 48.
- Buchel, L.; Levy, J. Therapie 1968, 23, 1135. [PubMed]
- Winter, C.A.; Levy, J. Notions techniques de pharmacology generale; Ed. Masson: Paris, 1972; pp. 28–117. [Google Scholar]
- Sample availability: Samples of compounds I, II and III are available from MDPI.
© 2003 by MDPI ( http://www.mdpi.org). Reproduction is permitted for noncommercial purposes.
Share and Cite
Popa, M.; Şunel, V.; Rusu, L.B. Immobilization of 1-[N-(M-Nitrobenzoyl)-α-D,L-Asparagyl]-2-Benzylbenzimidazole on Gellan. Molecules 2003, 8, 297-309. https://doi.org/10.3390/80300297
Popa M, Şunel V, Rusu LB. Immobilization of 1-[N-(M-Nitrobenzoyl)-α-D,L-Asparagyl]-2-Benzylbenzimidazole on Gellan. Molecules. 2003; 8(3):297-309. https://doi.org/10.3390/80300297
Chicago/Turabian StylePopa, Marcel, Valeriu Şunel, and Lăcrămioara Bălăiţă Rusu. 2003. "Immobilization of 1-[N-(M-Nitrobenzoyl)-α-D,L-Asparagyl]-2-Benzylbenzimidazole on Gellan" Molecules 8, no. 3: 297-309. https://doi.org/10.3390/80300297
APA StylePopa, M., Şunel, V., & Rusu, L. B. (2003). Immobilization of 1-[N-(M-Nitrobenzoyl)-α-D,L-Asparagyl]-2-Benzylbenzimidazole on Gellan. Molecules, 8(3), 297-309. https://doi.org/10.3390/80300297