Next Article in Journal
Mn (Br8TPPS) Supported on Amberlite IRA-400 as a Robust and Efficient Catalyst for Alkene Epoxidation and Alkane Hydroxylation
Previous Article in Journal
An Acylated Kaempferol Glycoside from Flowers of Foeniculum vulgare and F. Dulce
 
 
Font Type:
Arial Georgia Verdana
Font Size:
Aa Aa Aa
Line Spacing:
Column Width:
Background:
Article

Reactivity of 3-Ethoxycarbonyl Isoquinolinium Salts Towards Various Nucleophilic Reagents: Applications to the Synthesis of New 1,2-Dihydroisoquinoline-3-carboxylates

by
Mohamed Ameziane Aït Amer Meziane
and
Jean Pierre Bazureau
*
Université de Rennes 1, Institut de Chimie, Synthèse & Electrosynthèses Organiques 3 (SESO 3), UMR-CNRS 6510, Bât. 10A, Campus de Beaulieu, Avenue du Général Leclerc, CS 74205, 35042 RENNES Cedex, France
*
Author to whom correspondence should be addressed.
Molecules 2002, 7(2), 252-263; https://doi.org/10.3390/70200252
Submission received: 16 January 2002 / Revised: 19 February 2002 / Accepted: 20 February 2002 / Published: 28 February 2002

Abstract

:
Different types of novel 1,2-disubstituted 1,2-dihydro isoquinolines were synthesized by addition reactions of organolithium, alcoholates and borohydride reagents with various isoquinolinium salts. The leaving group character of the isoquinoline moiety was also evidenced.

Introduction

In a recent paper [1] we have reported that the reaction of lipophilic 3-ethoxy-carbonyl-N-alkyl-isoquinolinium perfluorobutanesulfonate with Grignard reagents provides a very pratical entry to stable 1,2-disubstituted 1,2-dihydroisoquinoline-3-carboxylates (DIC) [2]. The 1,2‑dihydroiso-quinoline-3-carboxylic acid derivatives are usually considered to be very air-sensitive species and are rather difficult to purify [3]. In an attempt to overcome the limitations of the standard methods [4], we have now found that the presence of an electron-attracting carboxyl function adjacent to the imino bond increases the stability of N-alkyl isoquinolinium salts. Therefore, the 1,2-addition of various nucleophilic reagents to iminium C=N double bond is a valuable approach for the synthesis of DIC derivatives. We now describe the extension of this methodology for the preparation of new 1,2‑disubstituted 1,2-dihydroisoquinolines. Preparative procedures and NMR (1H-, 13C-) structure of the starting materials are also reported here.

Results and Discussion

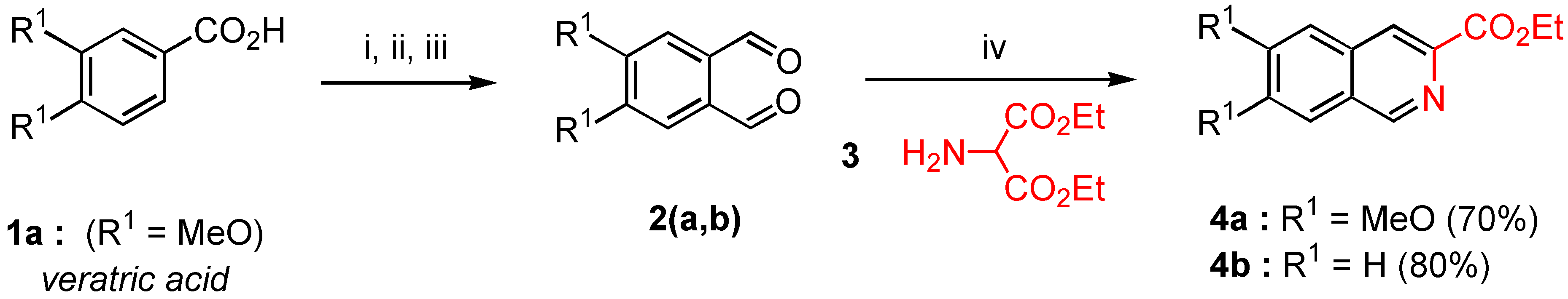
In a preliminary account [5], we have shown that ethyl isoquinoline-3-carboxylates 4a,b were prepared in one-pot according to a domino approach (Scheme 1) using 4,5-dimethoxy ortho-phthalaldehyde (2a) or commercial orthophthalaldehyde (2b) and diethyl aminomalonate (3), respectively. The best reaction was carried out in the presence of EtONa (1.1 eq.) and solid MgSO4. The starting 4,5-dimethoxyphthaladehyde 2a is readily available in large scale in a three-step sequence from veratric acid (1a) according to the procedure of Dopp and co-workers [6].
Scheme 1.
Scheme 1.
Molecules 07 00252 g001
Reagents and reaction conditions: (i) 37% HCHO, dry HCl, 15°C, 8 h. then 30°C, 12 h. NH4OH pH 7; (ii) LiAlH4, dry THF, reflux, 4 h.; (iii) activated MnO2 , dry CH2Cl2, 25°C, 24 h.; (iv) EtONa (1.1 eq.), dry EtOH, reflux, MgSO4, 4 h.
One of the ongoing aims of our laboratory [7] is the development of environmentally benign reactions using solvent-free conditions for organic synthesis [8]. For this study, the 3-ethoxycarbonyl-N-substituted isoquinolinium salts 5 were prepared according to a solventless procedure (Scheme 2): a mixture of ethyl isoquinoline-3-carboxylate (4) and the appropriate alkyl halide (2.5 equiv.) (benzylbromide for 5a, 3-chloropropanol for 5c, ethyl bromoacetate for 5e,f) was heated at 90°C during 4 hours. Then, the precipitated salts were washed with ether (3 x 20 mL) and compounds 5 were thus obtained in moderate (5c: 53%) to good yields (5e: 86% and 5a, 5f: 96%). Using the same reaction conditions, we have also synthetized the 10-oxo-6,7,8,10-tetrahydro-9-oxa-[5a]-azonia-cyclohepta[b]naphtalene bromide (5d, 75%) by a tandem reaction between 4b and 1,3-dibromo-propane.
Salt 5b was easily obtained by anion metathesis of isoquinolinium bromide 5a with commercially available potassium 1,1,2,2,3,3,4,4,4-nonafluorobutane-1-sulfonate [9] (Scheme 2). The choice of the lipophilic perfluorobutanesulfonate as counteranion was guided by the fact that this allowed a simple analysis of the isoquinolinium core by 1H-NMR spectroscopy and this counteranion was also less nucleophile than the starting bromide [4a] and should provide salt 5b with better solubility in organic solvents, particularly in THF. Salt 5b was readily prepared by simple stirring of salt 5a with potassium perfluorobutanesulfonate (1.5 eq.) in dry refluxing ethanol. After removal of the solvent in vacuo, a crystalline precipitate was obtained in ether at room temperature.
Scheme 2.
Scheme 2.
Molecules 07 00252 g002
Reagents and reaction conditions : (i) 90°C, 4 h. ; (ii) nC4F9SO3K (1.5 eq.), dry EtOH, reflux, 12 h.; (iii) NaBH4 (2.1 eq.), EtOH, 25°C, 4 h.
With salt 5b in hand, we studied the reactivity of this lipophilic isoquinolinium salt towards n‑butyl lithium reagent [10] (Scheme 3). The dropwise addition at 0°C of a commercial solution of n‑butyl lithium (1.6M in hexane, 3.2 eq.) to a solution of 5b in dry THF led, after 12 hours at room temperature, to a in 56% yield of the expected 5-(1-butyl-2-benzyl-1,2-dihydroisoquinolin-3-yl)nonan-5-ol (7a), which was stable in air and also after purification by chromatography on silica gel. The structure of the racemic mixture 7 was substantiated by its 1H-, 13C-NMR and HRMS analysis. The specific rotation of the crude reaction mixture was however disappointingly low ([α]D +1.2 (0.5 M, EtOH)).
Scheme 3.
Scheme 3.
Molecules 07 00252 g003
Reagents and reaction conditions: (i) nBuLi (1.6M 3.2 eq.), dry THF, N2, 25°C, 12 h.; (ii) MeONa (1.1 eq.), dry MeOH, N2, 25°C, 6 h.
We have also examined the addition reaction of sodium methoxide [11] with salt 5b (Scheme 4). Reaction of 5b with MeONa (1.1 eq.) in dry methanol at room temperature for 6 hours gave directly the methyl 1-methoxy-1,2-dihydroisoquinoline-3-carboxylate (8) in 80% yield. This one-pot reaction involves: (a) a regioselective addition of the nucleophilic reagent on the iminium moiety (C-1) of 5b associated to (b) a transesterification reaction catalyzed by MeONa. The 1,2-dihydroisoquinoline 8 was fairly stable in solution under an inert atmosphere, but all attempts to isolate it resulted in significant decomposition. However it was possible to analyse it by 1H-, 13C-NMR, and mass spectrometry.
Scheme 4.
Scheme 4.
Molecules 07 00252 g004
Reagents and reaction conditions : (i) MeONa (1.1 eq.), dry MeOH, N2, 25°C, 6 h.
In a similar fashion, we have also studied the addition of MeONa to salt 5c using the same reaction conditions (Scheme 4). Attempts to produce the cyclized 1,2-dihydroisoquinoline-3-carboxylate 10 which can be considered a N,O-acetal, by intramolecular addition reaction were unsuccessful [12]. Salt 5c was found to produce 5-methoxy-7,8-dihydro-[5H,6H]-9-oxa-[5a]-aza-cyclohepta-[b]-naphtalene-10-one (11) in 86% yield via the intermediates 9c and 5d’ which could not be isolated. We tried to follow this domino reaction by 1H-NMR and thus could observe the formation of 11 and the disappearance of the signal of the ethyl ester group (C-3) of salt 5c. The mechanism for the domino synthesis involves: (a) the deprotonation of the OH group on the N-propyl side chain by MeONa to give in situ the zwitterionic intermediate 9c followed by (b) lactonization [13] to produce 5d’, which undergoes (c) a regioselective addition reaction of MeONa on the iminium moiety (C-1). As expected, the domino reaction lead to a racemic mixture of 11. The final step of this mechanism was confirmed by the regioselective addition of MeONa to salt 5d (X = Br) which gave the desired compound 11 in quantitative yield. The isolated N,O-acetal 11 proved to be quite stable in air and flash chromatography afforded in a pure product.
Next we have evaluated the reduction of the functionalized quaternary isoquinolinium salts 5e,f derived from ethyl isoquinolin-3-carboxylates 4a,b (Scheme 2). Reduction of salts 5 (5e, R1 = MeO; 5f, R1 = H) proceeded easily with a slight excess of NaBH4 in ethanol at 25°C. The reaction took place in good yield, as monitored by TLC. The corresponding dihydro compounds 6e,f were moderately stable in solution under an inert atmosphere. After purification of 6e,f by flash chromatography with methylene chloride as eluent (6e, Rf = 0.6; 6f, Rf = 0.4), the isolated ethyl 2-ethoxycarbonylmethyl 1,2‑dihydroisoquinolin-3-carboxylates 6e,f decomposed rapidly in air [14]. Therefore it was possible to analyze them only by 1H-NMR. After a few days at room temperature, the 1H-NMR of products 6e,f showed a mixture of 6 together with AcOEt, the starting isoquinoline 4 and side-products which were also detected by TLC. The formation of isoquinoline 4 during the decomposition of the dihydro compound 6 demonstrated the leaving group character of the isoquinoline moiety [15].
Scheme 5.
Scheme 5.
Molecules 07 00252 g005
Reaction conditions : (i) CH2Cl2, reflux, 12 h.
In order to demonstrate the presence of isoquinoline 4 in this case, we decided to study the reactivity of salts 5e,f towards triphenylphosphine in refluxing methylene chloride (Scheme 5). After 6 hours, the analysis of the crude reaction mixture by 1H-NMR showed the presence of isoquinoline 4 together with the phosphonium salt 12. There is no doubt that this reaction consisted in the transfer of the N-alkyl group between the salt 5 and triphenylphosphine by a nucleophilic substitution. In this reaction, the formation of the salt 12 is in agreement with the leaving character of the isoquinoline moiety.

Experimental

General

Thin-layer chromatography (TLC) was accomplished on 0.2-mm precoated plates of silica gel 60 F-254 (Merck). Visualization was made with ultraviolet light (254 and 365 nm) or with a fluorescence indicator. For preparative column chromatography, silica gel 60F 254 Merck (230-240 Mesh ASTM) was used. Melting points were determined on a Kofler melting point apparatus and are uncorrected. The specific rotation [α]D were mesured with a PERKIN ELMER 141 polarimeter. 1H-NMR spectra were recorded on a BRUKER AC 300 P (300 MHz) spectrometer, 13C-NMR spectra on a BRUKER AC 300 P (75 MHz) spectrometer. Unless stated otherwise the solvent used was CDCl3, chemical shifts are expressed in parts per million downfield from tetramethylsilane used as an internal standard and δ values refer to singlet absorptions. Data are given in the following order: δ value, multiplicity (s, singlet; d, doublet; t, triplet; q, quartet; m, multiplet; br, broad), number of protons, coupling constants J are given in Hertz. The mass spectra (HRMS) were taken on a VARIAN MAT 311 at a ionizing potential of 70 eV in the Centre Régional de Mesures Physiques de l’Ouest (CRMPO, Rennes). Absolute ethanol was distilled over magnesium after standing overnight and stored over molecular sieves (3Å). Solvents were evaporated with a Buchi rotary evaporator. All reagents were purchased from Acros, Aldrich, Avocado and Strem and were used without purification.
Diethyl aminomalonate (3). A solution of saturated sodium bicarbonate (225 ml) was added dropwise over 20 minutes at room temperature to a suspension of commercial diethyl aminomalonate hydrochloride (30 g., 0.14 mmol) in methylene chloride (300 mL) under vigorous magnetic stirring. After stirring for 20 minutes and decantation, the organic layer was dried over MgSO4, filtered, and the filtrate was concentrated in vacuo to give 22.6 g of the desired diethyl aminomalonate (91% yield). Compound 3 was stored under an inert atmosphere at 4°C and used without further purification. 1H-NMR (200 MHz) δ: 1.3 (t, 6H, J = 7 Hz), 2.1 (s, H), 4.25 (q, 4H, J = 7 Hz), 5.36 (s, 2H).
Ethyl 6,7-dimethoxy isoquinoline-3-carboxylate (4a). MgSO4 (1.2 g.) and EtONa (0.6 g ., 8.95 mmol) were successively added in one portion at 0°C under nitrogen to a solution of freshly prepared diethyl aminomalonate 3 (0.9 g., 5.15 mmol) and 4,5‑dimethoxy orthophthalaldehyde (2a, 1 g., 5.15 mmol) in anhydrous ethanol (20 mL). The reaction mixture was refluxed during 4 hours with vigorous stirring (the reaction was monitored by TLC). After elimination of solvent in a rotary evaporator, the crude reaction mixture gave an oil which crystallized on standing. Recrystallization from AcOEt gave 0.94 g. of pure compound 4a (70% yield) as yellowish needles. Mp = 174-76°C; Rf = 0.2 (AcOEt); 1H-NMR δ: 1.48 (t, 3H, J = 7.1 Hz), 4.04 (s, 3H), 4.05 (s, 3H), 4.52 (q, 2H, J = 7.1 Hz), 7.18 (s, 1H, H-5, H-8), 7.26 (s, H-8, H-5), 8.43 (s, H-4), 9.12 (s, H-1); 13C-NMR δ: 14.47 (qt, J = 127, 2.5 Hz), 52.62 (q, J = 145 Hz), 56.24 (q, J = 145 Hz), 61.64 (tq, J = 143 Hz, 4.5 Hz), 105.37 (dd, J = 160, 2.8 Hz, C-5, C-8), 105.76 (dd, J = 161, 5 Hz, C-5, C-8), 122.57 (dd, J = 165, 4.4 Hz, C-4), 126.33 (t, J = 6 Hz, C-4a, C-8a), 132.09 (t, J = 5.9 Hz, C-8a, C-4a), 140.68 (d, J = 12 Hz, C-3), 149.95 (dd, J = 179, 5 Hz, C-1), 152.03 (dm, J = 4 Hz, C-6, C-7), 153,4 (dm, J = 4 Hz, C-6, C-7), 166.03 (m, CO) ; HRMS (m/z): found 261.0998 (calc. for C14H15NO4, M+ requires: 261.1001).
Ethyl isoquinoline-3-carboxylate (4b). Crude product 4b was prepared according to the method used for the synthesis of 4a from an equimolecular mixture of commercial orthophthaladehyde (2b, 1.0 g., 7.46 mmol) and freshly prepared diethyl aminomalonate (3, 1.3 g., 7.46 mmol) with the same reaction time. After removal of the solvent in vacuo, the crude reaction mixture gave an oil which was purified by distillation under reduced pressure (with a Büchi microdistillator). 4b was obtained in 80% yield (1.2 g.) as a mobile and colourless oil (bp = 80°C / 0.4 Torr); 1H-NMR δ: 1.49 (t, 3H, J = 7.1 Hz), 4.53 (q, 2H, J = 7.1 Hz), 7.76 (m, 2H, H-6, H-7), 7.95 (d, J = 7.7 Hz, H-5, H-8), 8.04 (d, 1H, J = 7.6 Hz, H-8, H-5), 8.59 (s, 1H, H-4); 9.34 (s, 1H, H-1), 13C-NMR δ: 14.45 (qt, J = 127, 2.7 Hz), 61.85 (tq, J = 147, 4 Hz), 123.95 (dd, J = 166, 4 Hz, C-5, C-8), 127.69 (dt, J = 162, 6 Hz, C-6, C-7), 127.97 (dt, J = 163, 6 Hz, C-6, C-7), 129.56 (dd, J = 140, 8 Hz, C-5, C-8), 129.86 (m, C-4a or C-8a), 131.15 (dd, J = 154, 8 Hz, C-4), 135.14 (dm, J = 6 Hz, C-4a, C-8a), 141.74 (d, J = 12.3 Hz, C-3), 152.69 (dd, J = 180, 5 Hz, C-1), 166 (m, CO). HRMS (m/z): found 201.0798 (calc. for C12H11NO2, M+ requires: 201.0970).

General procedure for the preparation of salts and 5a, 5c-f by the solventless N-alkylation method.

In a 50 mL two-necked flask with exclusion of moisture (CaCl2 tube) were placed 10 mmoles of ethyl 6,7-dimethoxy isoquinoline-3-carboxylate (4a, 2.61 g.) or ethyl isoquinoline-3-carboxylate (4b, 2.01 g.) and 25 mmoles of the appropriate alkyl halide (4.28 g of benzyl bromide for 5a, 2.36 g of 3‑chloropropanol for 5c, or 4.18 g of ethyl bromoacetate for 5e,f, or 5.03 g of 1,3-dibromopropane for 5d). The suspension was heated at 90°C under nitrogen during 4 hours with vigorous stirring. The reaction was allowed to cool down to room temperature and Et2O (30 mL) was added. The insoluble salt 5 was filtered off, washed twice with Et2O (20 ml) and dried over CaCl2 to give the expected salt 5 as white needles.
3-Ethoxycarbonyl-2-benzyl isoquinolinium bromide (5a). Yield = 90%; mp = 132-34°C (moisture sensitive); 1H-NMR δ: 1.32 (t, 3H, J = 7.1 Hz), 4.41 (q, 2H, J = 7.1 Hz), 6.64 (s, 2H), 7,33 (m, 5H, Ar), 8.08 (t, 1H, J = 7.6 Hz, H-6, H-7), 8.29 (t, 1H, J = 7.4 Hz, H-6, H-7), 8.46 (d, 1H, J = 8 Hz, H-5, H-8), 8.98 (d, 1H, J = 7.4 Hz, H-5, H-8), 8.99 (s, 1H, H-4), 11.82 (s, 1H, H-1); 13C‑NMR δ: 14.05 (qt, J = 128, 2.4 Hz), 62.55 (tm, J = 149 Hz), 64.54 (tq, J = 149, 4.4 Hz), 128.26 (dm, J = 139 Hz), 128.46 (m), 128.56 (dd, J = 136, 4.3 Hz), 129.30 (dd, J = 162, 4.6 Hz), 129.60 (dm, J = 161 Hz, C-6, C-7), 130.44 (dm, J = 114 Hz, C-6, C-7), 132.27 (dd, J = 134, 4.5 Hz, C-5, C-8), 133.20 (m, C-4a, C-8a), 133.34 (C-4a, C-8a), 133.54 (dd, J = 167, 7.9 Hz, C-5, C-8), 136.76 (m, C-3), 138.70 (dd, J = 165, 8 Hz, C-4), 156.00 ( dm, J = 195, 5.4 Hz, C-1), 161.00 (m, CO) ; HRMS (m/z): found 292.1337 (calc. for C19H18NO2, M+ requires : 292.1338).
3-Ethoxycarbonyl-2-(3-hydroxypropyl)-isoquinolinium chloride (5c). Yield = 53%; mp = 142-44°C (moisture sensitive); 1H-NMR δ: 1.52 (t, 3H, J = 7.1 Hz), 2.26 (tm, 2H, J = 6 Hz), 3.73 (t, 2H, J = 5.2 Hz), 4.60 (q, 2H, J = 7.1 Hz), 5.48 (t, 2H, J = 6.2 Hz); 8.10 (t, 1H, J = 7.6 Hz, H-6, H-7); 8.30 (t, 1H, J = 7.4 Hz, H-6, H-7); 8.39 (d, 1H, J = 8.2 Hz, H-5, H-8); 8.99 (d, 1H, J = 8.2 Hz, H-5, H-8); 9.00 (s, 1H, H-4); 11.37 (s, 1H, H-1); 13C NMR δ : 14.10 (qt, J = 128, 2.6 Hz); 33.90 (t, J = 130 Hz); 57.40 (tm, J = 141 Hz); 58.61 (tm, J = 142 Hz); 64.29 (tq, J = 145, 4.3 Hz); 128.10 (m, C-8a); 128.31 (dm, J = 173 Hz, C-6, C-7); 130.60 (dd, J = 172, 4.3 Hz, C-5, C-8); 132.38 (dm, J = 177 Hz, C-6, C-7); 132.70 (m, C-4a); 133.41 (dd, J = 166, 7.8 Hz, C-5, C-8); 136.40 (m, C-3); 138.38 (dd, J = 165, 4.3 Hz , C-4); 155.70 (dd, J = 187, 4.7 Hz, C-1), 160.02 (m, CO). HRMS, m/z : 260.1296 found (calc. for C15H18NO3, M+requires : 260.1287).
10-Oxo-6,7,8,10-tetrahydro-9-oxo-[5a]-azonia-cyclohepta[b]naphtalene bromide (5d). Yield = 75%, mp = 244-46°C (hygroscopic salt); 1H-NMR (D2O, H2O) δ: 2.61 (tm, 2H, J = 7.1 Hz), 4.47 (t, 2H, J = 7.1 Hz), 5.07 (t, 2H, J = 7 Hz), 8.18 (t, 1H, J = 7.1 Hz, H-6, H-7), 8.33 (t, 1H, J = 7.1 Hz, H-6, H-7), 8.38 (d, 1H, J = 7.6 Hz, H-5, H-8), 8.70 (d, 1H, J = 8 Hz, H-5, H-8), 8.85 (s, 1H, H-4), 9.89 (s, 1H, H-1), 13C-NMR (D2O, H2O) δ: 30.01 (tm, J = 133 Hz), 59.10 (tt, J = 136, 4Hz), 68.77 (tt, J = 136, 3 Hz), 131.01 (m, C-4a, C-8a), 131.30 (dt, J = 152, 4.4 Hz, C-6, C-7), 133,3 (dm, J = 172, 3.5 Hz, C-6, C-7), 133.70 (dd, J = 174, 4.6 Hz, C-5, C-8), 136.30 (dd, J = 173, 6 Hz, C-5, C-8), 137.20 (m, C4a, C-8a), 139.50 (m, C-3), 141.20 (dd, J = 174, 6 Hz, C-4), 154.01 (dm, J = 180 Hz, C-1), 167.02 (m, CO); HRMS (m/z): found 214.0869 (calc. for C13H12NO2, M+ requires: 214.0868).
3-Ethoxycarbonyl-2-ethoxycarbonylmethyl-6,7-dimethoxy isoquinolinium bromide (5e). Yield = 86%, mp = 190-92°C (moisture sensitive); 1H-NMR δ : 1.33 (t, 3H, J = 7.1 Hz), 1.48 (t, 3H, J = 7.1 Hz), 4.13 (s, 3H), 4.24 (s, 3H), 4,27 (q, 2H, J = 7.2 Hz), 4.48 (q, 2H, J = 7.2 Hz), 6.15 (s, 2H), 7.76 (s, 1H, H-5, H-8), 8.15 (s, 1H, H-5, H-8), 8.88 (s, 1H, H-4), 11.01 (s, 1H, H-1); 13C-NMR δ : 14.06 (qt, J = 127, 2.4 Hz), 14.09 (qt, J = 127, 2.4 Hz), 57.50 (q, J = 146 Hz), 58.87 (q, J = 147 Hz), 60.10 (tm, J = 140 Hz), 62.91 (tq, J = 148, 4.7 Hz), 63.90 (tq, J = 148, 4.7 Hz), 106.98 (dm, J = 153 Hz, C-5, C-8), 109.01 (dm, J = 154 Hz, C-5, C-8), 124.95 (m, C-4a, C-8a), 127.60 (dd, J = 173, 5 Hz, C-4), 130.56 (m, C-8a, C-4a), 135.04 (m, C-3), 151.53 (dm, J = 188 Hz, C-1), 154.70 (m, C-6, C-7), 159.41 (m, C‑6, C-7), 160.01 (m, CO), 166.03 (m, CO); HRMS (m/z): found 348.1447 (calc. for C18H22NO6, M+ requires: 348.1447).
3-Ethoxycarbonyl-2-ethoxycarbonylmethyl isoquinolinium bromide (5f). Yield = 96%, mp = 152‑54°C (moisture sensitive); 1H-NMR δ: 1.33 (t, 3H, J = 7.1 Hz), 1.50 (t, 3H, J = 7.2Hz), 4.28 (q, 2H, J = 7.2 Hz), 4,52 (q, 2H, J = 7.2 Hz), 6.36 ( s, 2H, H-9), 8.10 ( t, J = 7.2 Hz, H-6, H-7), 8.30 ( t, J = 7.2 Hz, H-6, H-7), 8.43 (d, 1H, J = 7.1 Hz, H-5, H-8), 8.90 (d, 1H, J = 7.2 Hz, H-5, H-8), 9.10 (s, 1H, H-4), 11.59 (s, 1H, H-1); 13C-NMR δ: 14.16 (qt, J = 127, 2.5 Hz), 14.20 (qt, J = 128, 2.5 Hz), 61.20 (tm, J = 130 Hz), 63.47 (tq, J = 137, 4.6 Hz), 64.68 (tq, J = 139, 4.5 Hz), 128.00 (m, C-8a), 128.50 (dm, J = 152 Hz, C-6, C-7), 130.10 (dd, J = 169, 4.5 Hz, C-5, C-8), 132.30 (m, C-4a), 132.50 (dm, J = 196 Hz, C-6, C-7), 133.95 (m, C-3), 139.06 (dd, J = 158, 8 Hz, C-4), 156.90 (dm, J = 195 Hz, C-1), 160.01 (m, CO) ; 166.20 (m, CO); HRMS (m/z): found 288.1237 (calc. for C16H18NO4, M+ requires: 288.1236).
3-Ethoxycarbonyl-2-benzyl isoquinolinium 1,1,2,2,3,3,4,4,4-nonafluorobutane-1-sulfonate (5b). A stirred mixture of 3-ethoxycarbonyl-2-benzyl isoquinolinium bromide (5a, 1 g., 2.68 mmol) and 2.5 equivalents of commercial potassium 1,1,2,2,3,3,4,4,4-nonafluorobutane-1-sulfonate (2.3 g., 6.72 mmol) in anhydrous EtOH (20 mL) was refluxed for 12 hours. After filtration and removal of the solvent in vacuo, the crude reaction mixture was triturated with dry Et2O (20 mL). After standing for 2 hours, the precipitated product was filtered off, washed with Et2O (2 x 20 mL) and dried under reduced pressure during 1 hour. The salt 5b was obtained in 86% yield (2.04 g.) as colourless needles, mp = 92-94°C; 1H-NMR δ: 1.32 (t, 3H, J = 7.1 Hz), 4.42 (q, 2H, J = 7.1 Hz), 6.63 (s, 2H), 7.31 (m, 5H, Ar), 8.08 (t, 1H, J = 7.6 Hz, H-6, H-7), 8.29 (t, 1H, J = 7.4 Hz, H-6, H-7), 8.46 (d, 1H, J = 8 Hz, H-5, H-8), 8.97 (d, 1H, J = 7.4 Hz, H-5, H-8), 8.98 (s, 1H, H-4), 10.90 (s, 1H, H-1); 13C-NMR δ: 14.01 (qt, J = 128, 2.4 Hz), 62.55 (tm, J = 149 Hz), 64.54 (tq, J = 149, 4.4 Hz), 128.26 (dm, J = 139 Hz), 128.46 (sm), 128.56 (dd, J = 136, 4.3 Hz), 129.30 (dd, J = 162, 4.6 Hz), 129.60 (dm, J = 161 Hz, C-6, C-7), 130.44 (dm, J = 114 Hz, C-6, C-7), 132.27 (dd, J = 134, 4.5 Hz, C-5, C-8), 133.20 (m, C-4a, C-8a), 133.34 (C-4a, C-8a), 133.54 (dd, J = 167, 7.9 Hz, C-5, C-8), 136.76 (m, C-3), 138.70 (dd, J = 166, 8 Hz, C-4), 156.01 ( dm, J = 195, 5.4 Hz, C-1), 161.02 (m, CO); HRMS (m/z): found 883.2103 (calc. for C42H36N2O7F9S, 2C+, A- requires : 883.2100).
Ethyl 2-ethoxycarbonylmethyl-6,7-dimethoxy-1,2-dihydroisoquinoline-3-carboxylate (6e). To a suspension of 3-ethoxycarbonyl-2-ethoxycarbonylmethyl-6,7-dimethoxy isoquinolinium bromide (5e, 0.5 g., 1.16 mmol) in anhydrous EtOH (5 mL) previously cooled to 0°C and vigorously stirred, was added in small portions NaBH4 (0.09 g., 2.45 mmol) under nitrogen. The mixture was then stirred at 0°C for 4 hours. TLC analysis revealed a quantitative reaction and a single product. The solvent was removed in vacuo and methylene chloride (20 mL) was added to the crude reaction mixture. After work-up (brine wash: 2 x 20 mL), the organic layer was dried over anhydrous MgSO4. Removal of the solvent by rotary evaporation gave a yellowish viscous oil which was purified by gravity chromatography on silica gel 60F-254 (Merck) using methylene chloride as eluent. Concentration of the desired fraction (Rf = 0.6) gave the expected product 6e as a nearly pure oil (81% yield). It is recommendable to handle it in the dark under an inert atmosphere at 4°C. 1H-NMR (200 MHz) δ: 1.20 (t, 3H, J = 7.2 Hz); 1.31 (t, 3H, J = 7.2 Hz); 3.83 (s, 6H); 3.98 (s, 2H); 4.11 (q, 2H, J = 7.2 Hz); 4.22 (q, 2H, J = 7.1 Hz); 4.45 (s, 2H, H-1); 6.52 (s, 1H, H-4); 6.64 (s, 1H, H-5); 6.77 (s, 1H, H-8).
Ethyl 2-ethoxycarbonylmethyl-1,2-dihydroisoquinoline-3-carboxylate (6f). The crude product 6f was synthetized according to the experimental procedure used for 6e, from 3-ethoxycarbonyl-2-ethoxy-carbonylmethyl isoquinolinium bromide (5f, 0.346 g., 1.2 mmol). 6f was purified by gravity chromatography on silica gel 60F-254 (Merck) with CH2Cl2 as eluent. Removal of the solvent in vacuo of the desired fraction (Rf = 0.4) gave pure 6f in 89% yield. Compound 6f was also stored in the dark under an inert atmosphere. 1H-NMR (200 MHz) δ: 1.23 (t, 3H, J = 7.1 Hz), 1.38 (t, 3H, J = 7.1 Hz), 4.09 (s, 2H), 4.20 (q, 2H, J = 7.1 Hz), 4.31 (q, 2H, J = 7.1 Hz), 4.44 (s, 2H, H-1), 6.83 (s, 1H, H-4), 7.15 (m, 4H, Ar).
5-(1-Butyl-2-benzyl-1,2-dihydro-isoquinolin-3-yl)nonan-5-ol (7a). To a stirred suspension of 3-ethoxy-carbonyl-2-benzyl isoquinolinium 1,1,2,2,3,3,4,4,4,-nonafluorobutane-1-sulfonate (5b, 0.74 g., 0.84 mmol) in dry THF (5 mL) was added dropwise over 15 minutes at 0°C under nitrogen, a solution of nBuLi (0.2 g., 2.69 mmol, from commercial n-butyl lithium 1.6M solution in hexane) in anhydrous THF (2 mL). Stirring was continued for an additional 12 hours at room temperature. The reaction mixture was allowed to warm to 0°C, THF (10 mL) and saturated NH4Cl (20 mL) were added successively. When the mixture reached room temperature, the phases were separated and the aqueous layer was extracted twice with THF (10 mL). The combined extracts were dried over MgSO4 and the solvents removed under reduced pressure yielding a viscous oil. The crude product 7a was purified by column chromatography on silica gel 60F-254 (Merck) with 1 :1 Et2O/CH2Cl2 as eluent. The desired fraction (Rf = 0.7) was concentrated in vacuo and gave 0.2 g. of pure 7a (56% yield) as an oil [α]D24 + 1.2 (0.5, abs. EtOH). 1H-NMR δ: 0.76 (t, 3H, J = 7.2 Hz), 0.80 (t, 3H, J = 7 Hz), 0.91 (t, 3H), 1.25-1.45 (m, 12H), 1.68 (td, 2H, J = 8 Hz), 1.71-1.76 (m, 4H), 3.54 (d, 1H, Jgem = 14.1 Hz), 3.79 (dd, 1H, J = 7 Hz, H-1), 4.20 (d, 1H, Jgem = 14 Hz), 6.19 (s, 1H, H-4), 6.89-7.32 (m, 5H, Ar), 13C NMR δ: 13.94 (qt, J = 124, 4 Hz), 14.18 (qt, J = 124, 4 Hz), 15.40 (qt, J = 125, 3 Hz), 22.41, 23.08, 23.30, 25.90, 26.31, 28.30, 33.81, 40.68, 42.97, 59.10 (dt, J = 132, 4.5 Hz; C-1), 65.90 (tm, J = 134 Hz), 113.01 (dd, J = 163, 5 Hz, C-4), 124.70, 126.71, 126.90, 127.00, 127.25, 128.31, 128.42, 128.60, 131.11 (sm, C-4a, C-8a), 133.44 (m, C-4a, C-8a), 138.38 (m, C-3), 151.01 (m, CO); HRMS (m/z): found 419.3150 (calc. for C29H41NO, M+ requires: 419.3188).
Methyl 1-methoxy-2-benzyl-1,2-dihydroisoquinoline-3-carboxylate (8a). Commercial grade sodium methoxide (0.18 g., 3.39 mmol) was added in small portions under nitrogen at 0°C to a stirred suspension of 3-ethoxycarbonyl-2-benzyl-isoquinolinium-1,1,2,2,3,3,4,4,4-nonafluorobutane-1-sulfonate (5b, 1 g., 1.13 mmol) in dry methanol (3 mL). Stirring was continued for 6 hours at room temperature. The reaction mixture was evaporated under reduced pressure and methylene chloride (3 mL) was added to the residue. After elimination of compounds unsoluble in CH2Cl2, the filtrate was concentrated by rotary evaporation to give 0.3 g. of the expected compound 8a (86% yield). Compound 8a was immediately analysed by NMR. 1H-NMR δ: 3.17 (s, 3H), 3.76 (s, 3H), 4.56 (d, 1H, Ha, Hb, Jgem = 16 Hz), 5.12 (d, 1H, Hb, Ha, Jgem = 16 Hz), 5.57 (s, 1H, H-1), 6.88 (s, 1H, H-4), 7.11-7.30 (m, 9H, Ar); 13C-NMR δ: 52.12 (q, J = 147 Hz), 52.19 (q, J = 146 Hz), 56.12 (tm, J = 137, 4Hz), 89.66 (dt, J = 157, 4.7 Hz; C-1), 113.30 (dd, J = 168, 4.9 Hz, C-4), 125.73, 127.01, 127.30, 127.61, 128.22, 128.31, 128.40 (sm, C-Ar), 128.71 (sm), 130.51 (m, C-4a, C-8a), 133.14 (m, C-8a, C-4a), 139.01 (sm, C-3), 165.03 (sm, CO); HRMS (m/z): found 309.1357 (calc. for C19H19NO3, M+ requires: 309.1365).
5-Methoxy-7,8-dihydro-[5H,6H]-9-oxa-[5a]-aza-cyclohepta-[b]-naphtalene-10-one (11). Crude 11 was prepared from 3-ethoxycarbonyl-2-(3-hydroxypropyl)-isoquinolinium chloride (5c, 1 g., 3.85 mmol) using the experimental procedure used for the preparation of 8a. Yield : 84% ; 1H‑NMR δ: 1.45 (dt, 1H, Jgem = 13.5 Hz, J = 1.7 Hz, Ha, Hb), 2,12 (dtm, 1H, Jgem = 13.1 Hz, J = 2 Hz, Hb, Ha), 3.37 (td, 1H, Jgem = 12 Hz, J = 2.58 Hz, He, Hf), 3.82 (s, 3H), 4.07 (td, 2H, Jgem = 12 Hz, J = 2,43 Hz, Hc, Hd), 4.67 (dm, Jgem = 12.1 Hz, J = 1.8 Hz, Hf, He), 5.89 (s, 1H, H-1), 6.54 (s, 1H, H-4), 7.11-7.30 (m, 4H, Ar); 13C-NMR δ: 27.26 (tm, J = 128 Hz), 47.72 (tm, J = 144 Hz), 52.24 (q, J = 147 Hz), 68.41 (tm, J = 147 Hz), 89.01 (dm, J = 159 Hz, C-1), 109.21 (dd, J = 163, 5.2 Hz, C-4), 125.23 (dt, J = 159, 6 Hz, C-7, C-6), 126.63 (m, C-4, C-8a), 127.47 (dt, J = 135, 4 Hz, C-6, C-7), 127.70 (dd, J = 153, 7 Hz, C-5, C-8), 129.21 (dd, J = 5Hz, C-8, C-5), 130.63 (sm, C-8, C-4a), 134.03 (sm, C-3), 165.01 (sm, CO); HRMS (m/z): found 245.1031 (calc. for C14H15NO3, M+ requires : 245.1052).

Acknowledgements

Much of the work described in this paper was supported by Merck Eurolab, Div. Prolabo (F). We also thank Professor Jack Hamelin for fruitful discussions.

References and notes

  1. Amer Meziane, M.A.A.; Bazureau , J.P. Synlett 2001, 1703.
  2. Liu, J.M.; Young, J.J.; Li, Y.J.; Sha, C.K. J. Org. Chem. 1986, 51, 1120.Hayaski, K.; Ozaki, Y.; Nuniami, K.I.; Yoneda, N. Chem. Pharm. Bull. 1983, 31, 312.
  3. Barbier, D.; Marazano, C.; Bhupesh, C.; Bas, B.C.; Potier, P. J. Org. Chem. 1996, 61, 9596.
  4. a) From organometallic reagents, see: Rozwadoska, M.D. Heterocycles 1994, 39, 903. b) from Grignard reagents, see: Barbier, D.; Marazano, C.; Riche, C.; Bhupesh, C.D.; Potier, P. J. Org. Chem. 1998, 63, 1767. c) from organozinc reagents see: Ukaji, Y.; Kenmoku, Y.; Inomata, K. Tetrahedron Asymmetry 1996, 7, 53. d) from metallocarbene complexes, see: Evans, P.; Grigg, R.; York, M. Tetrahedron Lett. 2000, 41, 3967. e) from allylsilanes, see: Yamagushi, R.; Nakayasu, T.; Hatano, B.; Nagura, T.; Kozima, S.; Fujita, K. Tetrahedron 2001, 57, 109. and Wanner, K.T.; Praschak, I. Heterocycles 1989, 29, 29. f) by reduction of isoquinolinium salts, see: Dyke, S.F. Adv. Heterocycl. Chem. 1972, 14, 279. g) by the Bischler-Napieralski ring cyclization, see: Perschonok, C.D.; Lantos, I.; Finkelstein, J.A.; Holden, K.G. J. Org. Chem. 1980, 45, 1950. h) by Wittig reaction with ω-halogenated phosphorous ylides, see: Bazureau, J.P.; Leroux, J.; Le Corre, M. Tetrahedron Lett. 1988, 29, 1921.
  5. Amer Meziane, M.A.A.; Bazureau , J.P. Tetrahedron Lett. 2001, 42, 1017.
  6. Bhattacharjee, D.; Dopp, F.D. J. Heterocyclic. Chem. 1980, 17, 315.
  7. Chérouvrier, J.R.; Boissel, J.; Carreaux, F.; Bazureau, J.P. Green Chem. 2001, 3, 165.Meddad, N.; Rahmouni, M.; Derdour, A.; Bazureau, J.P.; Hamelin, J. Synthesis 2001, 581.Fraga-Dubreuil, J.; Bazureau, J.P. Tetrahedron Lett. 2000, 41, 7351.Fraga-Dubreuil, J.; Chérouvrier, J.R.; Bazureau, J.P. Green Chem. 2000, 2, 226.
  8. de la Hoz, A.; Diaz-Ortis, A.; Moreno, A.; Langa, F. Eur. J. Org. Chem. 2000, 3659.Varma, R.S. Green Chem. 1999, 1, 43.Loupy, A.; Petit, A.; Hamelin, J.; Texier-Boullet, F.; Jacquault, P.; Mathé, D. Synthesis 1998, 1213.Caddick, S. Tetrahedron 1995, 51, 10403.Strauss, C.R.; Trainor, R.W. Aust. J. Chem. 1995, 48, 1665.
  9. Fraga-Dubreuil, J.; Bazureau, J.P. Tetrahedron Lett 2001, 42, 6097.
  10. Chrzanowska, M.; Sokolowska, J. Tetrahedron Assymetry 2001, 12, 1435.
  11. For recent results in pyridinium series, see: dos Santos, D.C.; de Freitas Gil, R.P.; Gil, L.; Marazano, C. Tetrahedron Lett. 2001, 42, 6109.
  12. Yamato, H.; Hashigaki, K.; Qais, N.; Ishikawa, S. Tetrahedron 1990, 46, 5909.
  13. For previous results in pyridinium series, see: Kröhnke, F.; Schnegelberger, M.; Weiss, W. Chem. Ber. 1964, 97, 3566.
  14. Czombos, J.; Aelterman, W.; Tkachev, A.; Martins, J.C.; Tourvé, D.; Peter, A.; Toth, G.; Fülöp, F.; De Kimpe, N. J. Org. Chem. 2000, 65, 5469.
  15. Chrystiuk, E.; Williams, A. J. Am. Chem. Soc. 1987, 109, 3040.
  • Samples Availability: Available from MDPI.

Share and Cite

MDPI and ACS Style

Meziane, M.A.A.A.; Bazureau, J.P. Reactivity of 3-Ethoxycarbonyl Isoquinolinium Salts Towards Various Nucleophilic Reagents: Applications to the Synthesis of New 1,2-Dihydroisoquinoline-3-carboxylates. Molecules 2002, 7, 252-263. https://doi.org/10.3390/70200252

AMA Style

Meziane MAAA, Bazureau JP. Reactivity of 3-Ethoxycarbonyl Isoquinolinium Salts Towards Various Nucleophilic Reagents: Applications to the Synthesis of New 1,2-Dihydroisoquinoline-3-carboxylates. Molecules. 2002; 7(2):252-263. https://doi.org/10.3390/70200252

Chicago/Turabian Style

Meziane, Mohamed Ameziane Aït Amer, and Jean Pierre Bazureau. 2002. "Reactivity of 3-Ethoxycarbonyl Isoquinolinium Salts Towards Various Nucleophilic Reagents: Applications to the Synthesis of New 1,2-Dihydroisoquinoline-3-carboxylates" Molecules 7, no. 2: 252-263. https://doi.org/10.3390/70200252

APA Style

Meziane, M. A. A. A., & Bazureau, J. P. (2002). Reactivity of 3-Ethoxycarbonyl Isoquinolinium Salts Towards Various Nucleophilic Reagents: Applications to the Synthesis of New 1,2-Dihydroisoquinoline-3-carboxylates. Molecules, 7(2), 252-263. https://doi.org/10.3390/70200252

Article Metrics

Back to TopTop