Next Article in Journal
Synthesis of Furan Derivatives Condensed with Carbohydrates
Previous Article in Journal
Synthesis of Camalexin
 
 
Font Type:
Arial Georgia Verdana
Font Size:
Aa Aa Aa
Line Spacing:
Column Width:
Background:
Article

Chemistry of Pyrones, Part 5: New Crown Ether and Podand Derivatives of 3,5-Bis(bromomethyl)-2,6-diphenyl-4H-pyran-4-one

Department of Organic Chemistry, Faculty of Chemistry, Tabriz University, Tabriz 51664, Iran
*
Author to whom correspondence should be addressed.
Molecules 2001, 6(9), 721-727; https://doi.org/10.3390/60900721
Submission received: 4 October 2000 / Revised: 3 August 2001 / Accepted: 14 August 2001 / Published: 31 August 2001

Abstract

:
New podand and crown ether derivatives of 3,5-disubstituted 4H-pyran-4-one (8-11) were prepared by the nucleophilic substitution reaction of 3,5-bis(bromomethyl)-2,6-diphenyl-4H-pyran-4-one with o-nitrophenol, 8-hydroxyquinoline, 2-hydroxymethyl pyridine and triethyleneglycol, respectively. The yield of 3,5-bis[(2-formyl-phenoxy)methyl]-2,6-diphenyl-4H-pyran-4-one has been improved by modification of our previous method using NaOH instead of Et3N.

Introduction

Synthetic podands are a family of linear multidentate ligands, which includes acyclic polyethers. They generally form complexes with smaller stability constants than those of corresponding macrocyclic complexes and thus are usually regarded as poor ligands [2]. In contrast, many excellent podands are found in nature. For example, naturally occurring polyether antibiotics, such as monsin and lasalocid, selectively bind several metal cations and effectively transport them across a biomembrane [3]. Synthetic podands have advantages over these biological podands, in terms of facile synthesis and versatility of molecular structure [2].
Figure 1.
Figure 1.
Molecules 06 00721 g001
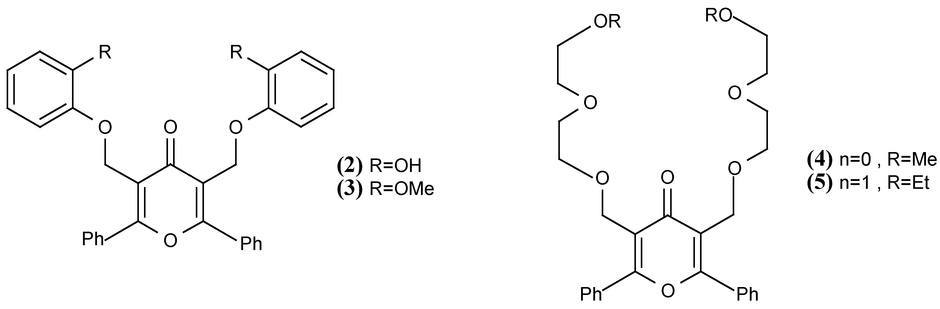
Vogtel and Weber, have reported a variety of podands having quinoline “end groups” (Figure 1) [4,5]. Recently we have reported the synthesis of some pyrone podands such as 2 - 5 (Figure2)[6].
Figure 2.
Figure 2.
Molecules 06 00721 g002
Furano-, pyrano-, and thiopheno- derivatives are well known crown ether type compounds [7,8]. To our knowledge, two papers have been published concerned with crown ethers and crown ether diesters possessing 4H-pyran-4-one subcyclic unit(s) (Figure 3) [9,10].
Figure 3.
Figure 3.
Molecules 06 00721 g003
However, synthesis of 4H-pyran-4-one podands possessing nitrogen atoms, has not been reported as yet. As a continuation of our investigations on the chemistry of pyrones, we now report the synthesis of some new podands and crown ethers derived from 3,5-disubstituted 4H-pyran-4-one.

Results and Discussion

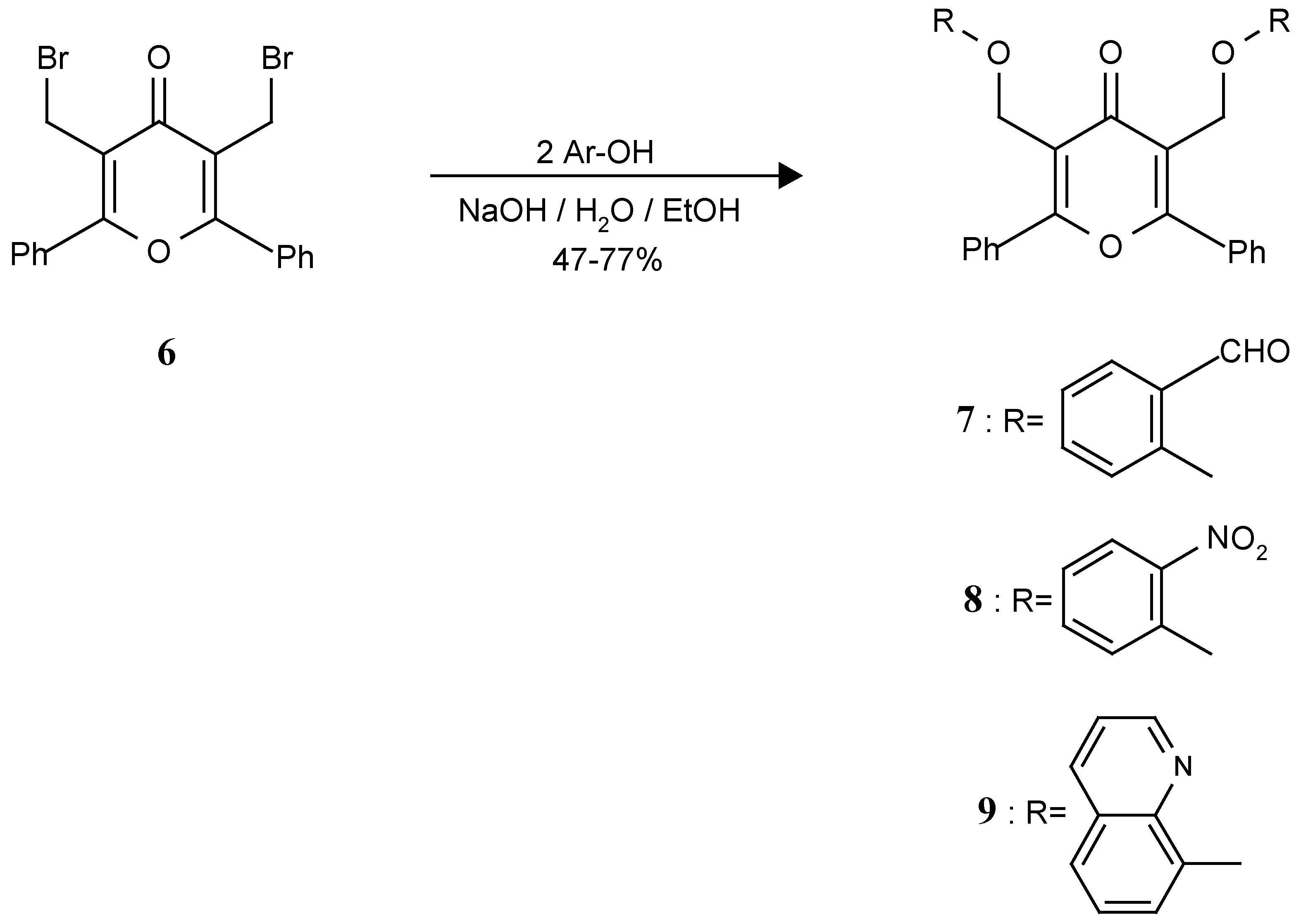
In a previous paper we reported the synthesis of podand 7 in 13% yield by means of the reaction between pyrone 6 and salicylaldehyde in DMF and in the presence of Et3N at room temperature (Scheme 1) [6]. Recently we have improved the yield of this reaction (77%), using NaOH in EtOH and water under reflux condition .
Scheme1.
Scheme1.
Molecules 06 00721 g004
Recently podand 7 was used as a neutral preferential carrier for cesium over potassium, sodium and other metal ions [11]. In the same manner the podands 8 and 9 were prepared in 47 and 54% yields respectively. As shown in Scheme 2 the reaction of 3,5-bis(bromomethyl)-4H-pyran-4-one [12] with 2-hydroxymethyl pyridine in the presence of ex cess sodium hydride in THF produces podand 10 in 67.5% yield.
Scheme2.
Scheme2.
Molecules 06 00721 g005
Treatment of triethyleneglycol with pyrone 6 in the presence of NaH in THF gave 11 in 6% yield. Unfortunately, the reaction of 6 with tetraethyleneglycol under similar conditions only produced polymeric materials which could not be isolated. The data obtained from mass, IR, 1H- and 13C-NMR spectra and elemental analyses of the products are fully consistent with the proposed structures.

Conclusions

In this paper the synthesis of some 3,5-disubstituted podands and crown ether derivatives of 4-pyrone (8 –11) is reported. We have also improved the yield of compound 7 by modification of the previous method [6]. Complexation properties of these podands are under investigation.

Experimental

General

Melting points were determined with an Electrothermal Instrument model 9100 and are uncorrected. Infrared (IR) spectra were run on a Shimadzu IR 435 Spectrophotometer as KBr disks or as smears between salt plates. The 1H-NMR spectra were recorded on a Varian-EM 390 spectrometer. The 13C-NMR spectra were recorded on a FT-NMR Brucker 80 MHz spectrometer. Chemical shifts are reported in ppm with TMS as internal standard. Mass spectra were taken with a Varian Mat 711 double focusing mass spectrometer. Elemental analyses were performed on a Heareus, CHN-O-RAPID analyzer.

General Procedure for the Reactions of Pyrone 6 with Salicylaldehyde, 2-Nitrophenol and 8-Hydroxyquinoline: Preparation of Compounds 7-9.

To a solution of salicylaldehyde (or 2-nitrophenol or 8-hydroxyquinoline, 0.335g , 2.76 mmol) in alcohol (3 mL) was added sodium hydroxide (0.1g, 2.79 mmol) in water (40mL). The mixture was warmed and pyrone 6 (0.6 g, 6.9 mmol) was added. Sufficient ethyl alcohol to produce a homogeneous solution was then added. The solution was refluxed under nitrogen for 12 hr and cooled to 0°C and then filtered. The crystals were washed with water and dried in a desiccator.

3,5-Bis[(2-formylphenoxy) methyl]-2,6-diphenyl-4H-pyran-4-one (7).

The crude product was purified by dry column chromatography on silicagel using CHCl3-ethyl acetate (7:3) as eluent to give compound 7 in 77% yield, mp: 179.5-180.30 C; 1H-NMR (CDCl3) δ: 5.1 (4H, s), 6.9-7.8 (18H, m), 10.3 (2H, s); 13C-NMR (CDCl3) δ: 62.9, 114.6, 123, 122.3, 126.4, 129.4, 129.9, 132.5, 137.0, 162.2, 167.3, 179.4, 191.1; IR (KBr) cm-1: 1695, 1645, 1600, 1490, 1450, 1410, 1285, 1230, 990, 750, 690; MS (m/z): 516, 395, 383, 274, 273, 115, 77. Analysis: Calc. for C33H24O6: C 76.73, H 4.68; Found: C 76.53, H 4.38.

3,5-Bis (2-nitrophenoxymethyl)-2,6-diphenyl-4H-pyran-4-one (8).

The crude product was recrystallized from CHCl3/EtOH to give compoud 8 in 47% yield, mp: 235-236oC; 1H-NMR (CDCl3) δ: 5.1 (4H, s), 6.9-8 (18H, m); 13C-NMR (CDCl3) δ: 63.93, 116.62, 118.98, 121.06, 121.10, 125.46, 128.95, 129.00, 131.24, 131.30, 134.25, 152.17, 166.79, 178.03; IR (KBr) cm-1: 1645, 1600, 1515, 135, 1240; Analysis: Calc. for C31H22N2O8: C 67.63, H 4.03, N 5.09; Found: C 67.26, H 4.31, N 4.67.

3,5-Bis (8-qinolinoxymethyl)-2,6-diphenyl-4H-pyran-4-one (9).

The crude product was purified by dry column chromatography on silicagel using ethyl acetate-petroleum ether (1:1) as eluent to give compound 9 in 54% yield, mp: 249-2500C; 1H-NMR (CDCl3) δ: 5.18 (4H, s), 7.25-7.95 (18H, m), 8.15 (2H, dd), 9.01 (2H, dd); 13C-NMR (CDCl3) δ: 63.06, 110.64, 120.28, 120.49, 121.85, 127.11, 128.96, 129.42, 129.90, 131.24, 132.28, 136.17, 141.08, 149.73, 155.06, 166.38, 178.74; IR (KBr) cm-1: 3050, 2918, 1645, 1615, 1560, 1490, 1445, 1410, 1310, 1250, 1160, 1090, 895, 700; MS (m/z): 562, 418, 273, 159, 105, 77; Analysis: Calc. for C37H26N2O4: C 78.99, H 4.66, N 4.98; Found: C 78.66, H 4.42, N 4.57.

3,5-Bis-(2-pyridylmethoxymethyl)-2, 6-diphenyl-4H-pyron-4-one (10).

A mixture of 2-hydroxymethyl pyridine (0.22 ml, 2.3 mmol), sodium hydride (80% in mineral oil; 0.1g, 3.45 mmol) and anhydrous THF (70 mL) was stirred at room temperature (rt) under nitrogen for 10 min and then refluxed for 60 min. After cooling to rt, pyrone 6 (0.5g, 1.15 mmol) in anhydrous THF (30 mL) was added over 15 min. The resulting mixture was stirred at rt. for 18 hr and then water was added (15mL) and the pH adjusted to 7 with dilute HCl. Then 70mL of solvent were removed under reduced pressure and the residue was extracted with CH2Cl2. (3×50 mL). The combined CH2Cl2 extracts were dried over MgSO4 and solvent was removed under vacuum. The crude product was purified by column chromatography on silicagel using 9:1 ethyl acetate-methanol as eluent to give compound 10 in 67.5% yield, mp:149-150 oC; 1H-NMR (CDCl3) δ: 4.62 (4H, s), 4.85 (4H, s), 7.1-7.85 (16H, m), 8.58-8.9 (2H, m); 13C-NMR (CDCl3) δ: 64.36, 74.28, 121.35, 122.32, 122.76, 128.97, 129.24, 131.28, 132.39, 137.13, 149.29, 158.84, 165.54, 179.36; IR (KBr) cm-1:3050, 2850, 2750, 1640, 1615, 1580, 1440, 1410, 1330, 1250, 1095, 1080, 750, 690; MS (m/z): 490, 274, 273, 115, 105, 77. Analysis: Calc. for C31H26N2O4: C 75.90, H 5.34, N 5.71; Found: C 75.52, H 5.16, N 5.53.

15,17-Diphenyl-3,6,9,12,16-pentaoxabicyclo[12.3.1]octadeca-1 (17),14-dien-18-one (11).

To refluxing NaH (80%) (0.1 gr., 3.45 mmol), in THF (70 mL) was added triethylenglycol (0.168g, 1.15 mmol ) in THF (50 mL) and 3,5-bis (bromomethyl) 2,6-diphenyl-4H-pyran-4-one (6) (0.5 gr, 1.15 mmol) in THF (50 mL) using an Aldrich high dilution adapter (reactants added dropwise from an addition funnel are prediluted with approximately 20 mL of refluxing solvent held in a reservoir by an internal collar) over 5 hr. This mixture was stirred at rt under nitrogen for 14 hr and water (10 mL) was added. The pH was adjusted to 7 with dilute HCl, then 150mL of solvent were removed under reduced pressure and the residue extracted with CH2Cl2 (3x50 mL). The combined CH2Cl2 extracts were dried over MgCl2 and solvent was removed under vacuum. The crude product was purified by column chromatography on silicagel using 2:9 ethyl acetate-CHCl3 and then ethyl acetate as eluents to give compound 11 in 6% yield, mp: 116 - 117˚C; 1H-NMR (CDCl3) δ: 3.6-3.8 (12H, m), 4.5 (4H, s), 7.35-7.75 (10H, m); IR cm-1: 2992, 2883, 1657, 1418, 1094, 1024, 708; MS (m/z): 422, 378, 289, 273, 159, 105, 77.

Acknowledgments

Financial support for this work by the Research Council of Tabriz University is gratefully acknowledged.

References

  1. Shahrisa, A.; Tabrizi, R. Indian. J. Chem. in press.
  2. Gokel, G.W.; Murillo, O. Molecular Recognition: Receptors for Cationic Guests. In Comprehensive Supramolecular Chemistry; Pergamon Press: New York, 1996; Vol.1, pp. 1–33. [Google Scholar]
  3. Doler, B, M. Molecular Recognition: Receptors for Cationic Guests. In Comprehensive Supramolecular Chemistry; Pergamon Press: New York, 1996; Vol.1, pp. 267–313. [Google Scholar]
  4. Vogtle, F.; Weber, E. Angew. Chem. Int.Ed. 1977, 18, 53.
  5. Weber, E.; Vogtle, F. Tetrahedron Lett. 1975, 2415.
  6. Shahrisa, A.; Banaei, A. Molecules 2000, 5, 200. (b)Shahrisa, A.; Banaei, A. unpublished results.
  7. Newkome, G.R.; Sauer, J.D.; Roper, J.M.; Hager, D,C. Chem. Rev. 1977, 77, 513.
  8. Majestic, V, K.; Newkome, G, R. Top.Curr.Chem. 1982, 106, 79.
  9. Shahrisa, A.; Tabrizi, R. Iran.J.Chem.& Chem.Eng. 1999, 18, 91.
  10. Lowe, w.; Bratter, S.; Dietlich, C. J. Heterocyclic Chem. 1997, 34, 1173.
  11. Ashassi, H.; Rostamikia, T.; Shahrisa, A.; Banaei, A. submitted for publication.
  12. Allwohn, J.; Brumm, M.; Frenking, G.; Horivius, M.; Massa, M.; Steubert, F.W.; Wocadlo, S. J. Prakt. Chem. 1993, 335, 503, Chem. Abst. 1994, 120, 216294t.
  • Sample Availability: Not available.

Share and Cite

MDPI and ACS Style

Shahrisa, A.; Banaei, A. Chemistry of Pyrones, Part 5: New Crown Ether and Podand Derivatives of 3,5-Bis(bromomethyl)-2,6-diphenyl-4H-pyran-4-one. Molecules 2001, 6, 721-727. https://doi.org/10.3390/60900721

AMA Style

Shahrisa A, Banaei A. Chemistry of Pyrones, Part 5: New Crown Ether and Podand Derivatives of 3,5-Bis(bromomethyl)-2,6-diphenyl-4H-pyran-4-one. Molecules. 2001; 6(9):721-727. https://doi.org/10.3390/60900721

Chicago/Turabian Style

Shahrisa, Aziz, and Alireza Banaei. 2001. "Chemistry of Pyrones, Part 5: New Crown Ether and Podand Derivatives of 3,5-Bis(bromomethyl)-2,6-diphenyl-4H-pyran-4-one" Molecules 6, no. 9: 721-727. https://doi.org/10.3390/60900721

APA Style

Shahrisa, A., & Banaei, A. (2001). Chemistry of Pyrones, Part 5: New Crown Ether and Podand Derivatives of 3,5-Bis(bromomethyl)-2,6-diphenyl-4H-pyran-4-one. Molecules, 6(9), 721-727. https://doi.org/10.3390/60900721

Article Metrics

Back to TopTop