Synthesis of Jasmonoides from Furan Derivatives
Abstract
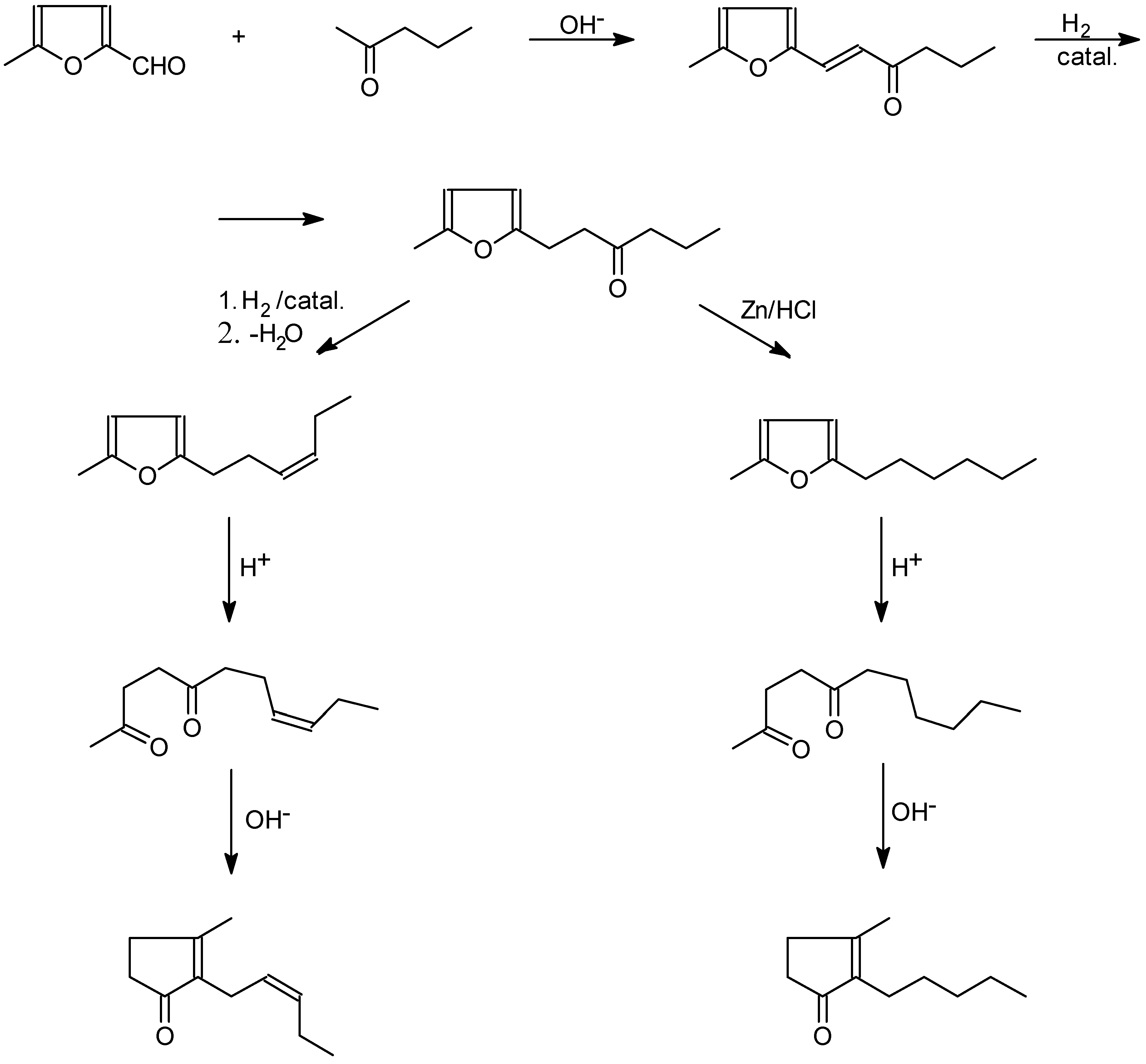
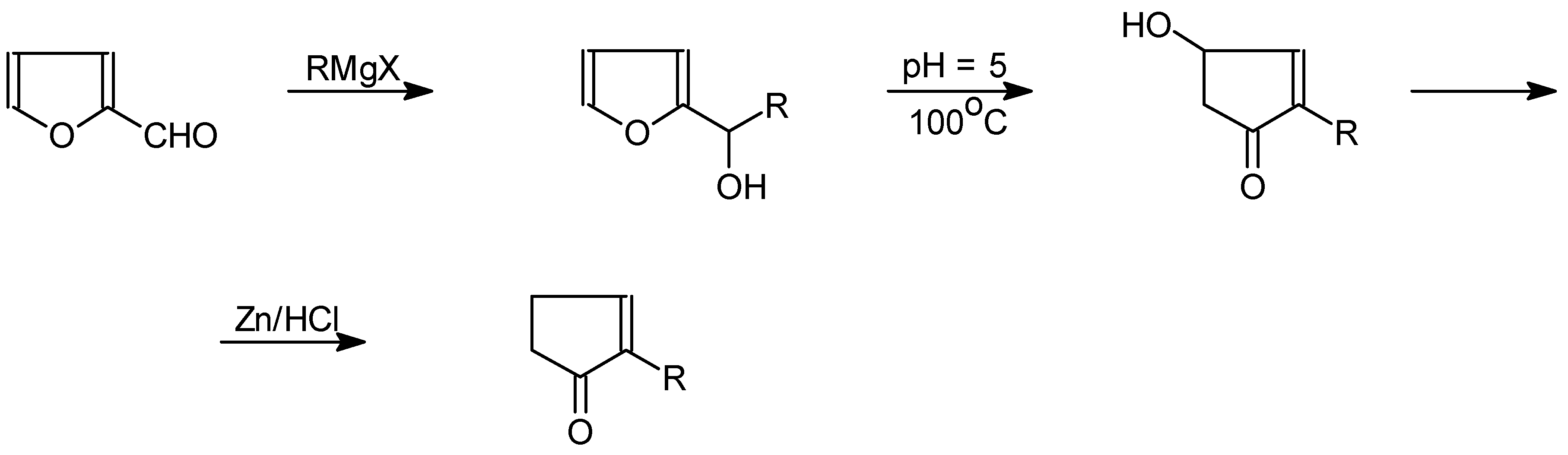
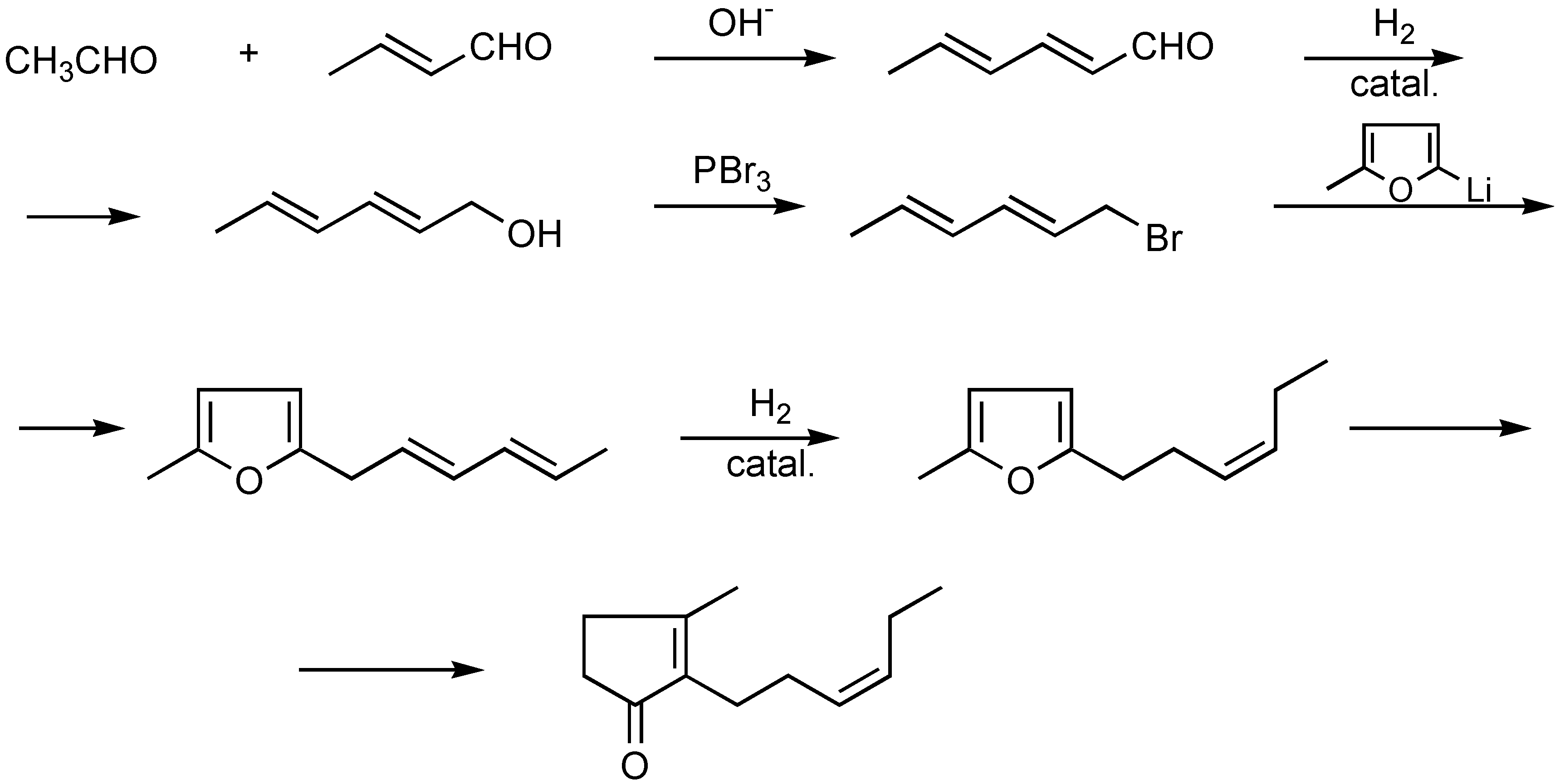
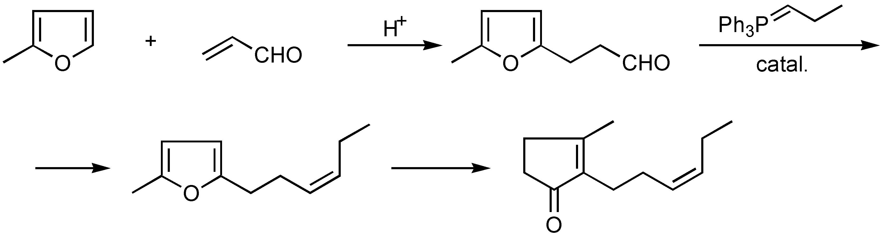
:Introduction
References
- Bedoukian, P.Z. Perfumery and Flavoring Synthetics; Allured Publ. Corp.: Wheaton, 1986. [Google Scholar]
- Voytkevich, S.A. 846 Dushistych Veshchestv dla Parfum. i Bytovoj Prom.-sti.; Izd.Pishch. Promst: Moscov, 1994. [Google Scholar]
- Van der Gen, A. Parf. Cosmet. Sav. France 1972, 2, 356.
- Kirtany, J.K. Pafai J. 1989, (10-12), 17.
- Kirtany, J.K. Pafa J. 1990, (1-3), 25.
- Hunsdiecker, H. Berichte 1942, 75, 447.
- Hunsdiecker, H. US Patent No. 2,387,587, 1945.
- Yuriev, Yu.K.; Zefirov, N.S. Zh. Obshch. Khim. 1964, 1150.
- Zefirov, N.S.; Kost’eykin, P.W.; Yuriev, Yu.K. Zh. Obshch. Chim. 1964, 1069.
- Crombie, L.; Hemesley, P.; Pattenden, G. J. Chem. Soc. 1969, 1025.
- Fetizon, M.; Chalbar, J. La France Perf. 1969, 57, 330.
- Schablar, J. DE Patent No. 1,959,513, 18 Jun 1969.
- Buchi, G.; Wuest, H. J. Org. Chem. 1966, 31, 977.
- Shono, T.; Matsumura, Y.; Hamaguchi, H.; Nakamura, K. Chem. Lett. 1976, 1249.
- Furuchata, A.; Onishi, K.; Fujita, A.; Kogami, K. Agric. Biol. Chem. 1982, 46, 1757.
- Joule, J.A.; Smith, G.F. Chemistry and Technology of Heterocyclic Compounds; PWN: Warsaw, 1984. [Google Scholar]
- Screti, A.; Piancatelli, G.; D’Auria, M.; David, G. Tetrahedron 1979, 35, 135.
- Minai, M. DE Patent No. 3,122,995, 25 Mar 1982.
- Saito, K.; Yamachika, H. EP Patent No. 35,060, 11 May 1983.
- Saito, K. EP Patent No. 31,909, 15 Jun 1981.
- Minai, M. JP Patent No. 99,546, 21 Jun 1982. CA 1982, 97, 197,855.
- Minai, M.; Moriyama, S.; Katsura, T.; Suita, O. DE Patent No. 3,338,853, 21 Oct 1984.
- Minai, M. JP Patent No. 136,544, 23 Aug 1982. CA 1983, 98, 71546.
- Shono, T.; Matsumura, Y. J. Chem. Soc. Chem. Commun. 1970, 20, 712.
- Erickson, J.L.; Collins, F.E., Jr. J. Org. Chem. 1965, 30, 1050. [CrossRef]
- Wiegers, W.J.; Hall, J.B. US Patent No. 4,045,489, 30 Aug 1976.
- Wiegers, W.J.; Hall, J.B. US Patent No. 4,265,836, 5 May 981.
- Sarkar, K.A. J.Chem. Res. Synops. 1992, (12), 418.
- Sisido, K.; Kawasamo, Y. Parf. Ess. Oil Report 1966, (6), 364.
- Shishino, K.; Kawashima, Y. JP Patent No. 14,216, 27 Apr 1972. CA 1972, 77, 88724.
- Shishino, K.; Kawashima, Y. JP Patent No. 14,217, 27 Apr 1972. CA 1972, 77, 62176.
- Piancatelli, G.; Screti, A. Tetrahedron Lett. 1976, 39, 3555. [CrossRef]
- Minai, M. JP Patent No. 188,540, 19 Nov 1982. CA 1983, 98, 178812.
- Saito, K.; Takisawa, Y.; Yamachika, H. EP Patent No. 53,842, 25 Jun 1982.
- Minai, M. JP Patent No. 62,236, 15 Apr 1982. CA 1983, 98, 106860.
- Zhujin, L.; Guobin, R. Synth. Commun. 1986, 16, 871.
- Trost, B.M.; Verhoeven, J. J. Am. Chem. Soc. 1980, 102, 4730. [CrossRef]
- Kitahara, T.; Hamaguchi, K.; Warita, Y.; Takagaki, Y.; Mori, K. Agric. Biol. Chem. 1986, 50, 1867.
- Mookherjee, B.D.; Wilson, R.A.; Schmitt, F.L.; Vock, M.H. US Patent No. 4,331,611, 23 Oct 1980.
- Jingyao, Z.; Qing, Y. Huaxue Shijie 1986, 27, 207, CA 1987, 107, 119614.
















© 2000 by MDPI (http://www.mdpi.org). All rights reserved
Share and Cite
Nowicki, J. Synthesis of Jasmonoides from Furan Derivatives. Molecules 2000, 5, 1201-1209. https://doi.org/10.3390/51201201
Nowicki J. Synthesis of Jasmonoides from Furan Derivatives. Molecules. 2000; 5(12):1201-1209. https://doi.org/10.3390/51201201
Chicago/Turabian StyleNowicki, Janusz. 2000. "Synthesis of Jasmonoides from Furan Derivatives" Molecules 5, no. 12: 1201-1209. https://doi.org/10.3390/51201201
APA StyleNowicki, J. (2000). Synthesis of Jasmonoides from Furan Derivatives. Molecules, 5(12), 1201-1209. https://doi.org/10.3390/51201201






