Next Article in Journal
Chemistry of Substituted Quinolinones. Part VI. Synthesis and Nucleophilic Reactions of 4-Chloro-8-methylquinolin-2(1H)-one and its Thione Analogue
Previous Article in Journal
Synthesis of Jasmonoides from Furan Derivatives
 
 
Font Type:
Arial Georgia Verdana
Font Size:
Aa Aa Aa
Line Spacing:
Column Width:
Background:
Article

Regioselectivity of Electrophilic Attack on 4-Methyl-1-Thioxo-1,2,4,5-Tetrahydro[1,2,4]Triazolo[4,3-A]Quinazolin-5-One Part 2: Reactions on Nitrogen Atom

1
Department of Organic Chemistry, Faculty of Science, Masaryk University, Brno, Czech Republic
2
Laboratory of Biomolecular Structure and Dynamics, Faculty of Science, Masaryk University, Brno, Czech Republic
*
Author to whom correspondence should be addressed.
Molecules 2000, 5(12), 1210-1223; https://doi.org/10.3390/51201210
Submission received: 26 July 2000 / Revised: 20 October 2000 / Accepted: 10 November 2000 / Published: 15 December 2000

Abstract

:
The regioselectivity on a cyclic thioamide group towards different electrophiles was studied on the model compound 4-methyl-1-thioxo-1,2,4,5-tetrahydro[1,2,4]triazolo [4,3-a]quinazolin-5-one 1. The examined compound 1 reacts with alkyl halides, amines in the presence of formaldehyde, acyl halides and compounds having activated double bonds to afford the N-substituted derivatives 2, 3 and 6. The regioselective reactions on nitrogen atom are due to strong Coulombic attraction. The reaction of 1 with amines in the presence of hydrogen peroxide afforded the aminolysis product 4. Compounds 1-6 were identified by FTIR, 1H NMR, 13C NMR, and mass spectroscopy.

Introduction

Triazoles and quinazolines and their annelated derivatives exhibit a wide spectrum of biological activities [1,2]. Combining these two structural features in one molecule might produce compounds with promising biological effects [2]. The model compound 4-methyl-1-thioxo-1,2,4,5-tetrahydro[1,2,4]triazolo[4,3-a]quinazolin-5-one (1) occurs in two tautomeric forms: the thiol 1a and the thione 1b having a nucleophilic center either on the sulfur atom or on the nitrogen atom, respectively. This prompted us to study the regioselective reactions on both the sulfur [3] and the nitrogen atoms.

Results and Discussion

In this contribution we report the regioselective reactions on the nitrogen atom of the thioamide moiety of the model compound 1. The ab initio DFT computational studies of the anion formed by the deprotonation of 1 show that the anionic form is completely planar giving an aromaticity for the whole system. The nitrogen atom is a part of extended resonance of electrons through the N-C-N bonds of the triazolo-moiety. These facts were positively confirmed by the calculation of the molecular orbital coefficient of both atoms. The nitrogen atom has a low-energy HOMO while the sulfur atom has a high– energy HOMO. Finally the partial charge distributed on sulfur atom is slightly higher than that of the nitrogen atom (Table 1, Table 2, Table 3, Figure 1a, b) [3].
Figure 1a. Numbering of the model compound 1.
Figure 1a. Numbering of the model compound 1.
Molecules 05 01210 g001a
Figure 1b. Graphical representation of HOMO interactions of the anion form of 1.
Figure 1b. Graphical representation of HOMO interactions of the anion form of 1.
Molecules 05 01210 g001b
Table 1. The molecular orbital coefficients of the anion form of 1.
Table 1. The molecular orbital coefficients of the anion form of 1.
HOMOLUMO
Atomorbitalcoefficient cc2atomorbitalcoefficient cc2
N22pz-0.278190.07400N22pz-0.081240.00660
C3a2pz0.188640.03559C3a2pz0.023910.00057
N32pz0.144170.02078N32pz0.030000.00090
N42pz-0.103920.01080N42pz-0.197190.03888
C92pz0.032670.00107C92pz-0.156220.02440
C9a2pz-0.001470C9a2pz-0.202930.04118
C5a2pz0.030000.00090C5a2pz0.239650.05743
C62pz0.033390.00111C62pz-0.230440.05310
C52pz-0.055260.00305C52pz0.267470.07154
8C2pz-0.032290.001048C2pz0.294860.08694
O132pz0.071590.00513O132pz-0.217990.04752
H171s0.000010H171s-0.000010
2s-0.0000202s-0.000030
S112pz-0.207070.04288S112pz-0.007840
3pz0.535250.286493pz0.023080.00053
Table 2. The Partial charges of the anion form of 1.
Table 2. The Partial charges of the anion form of 1.
MullikenESP MullikenESP MullikenESP
1C0.2998050.2615725aC0.007777-0.25892310N-0.655803-0.028681
2N-0.362087-0.3966646C-0.1940770.06518411S-0.494366-0.641976
3N-0.439884-0.4141597C-0.135790-0.26380912C-0.313408-0.191986
3aC0.7242960.5434788C-0.148125-0.02428513O-0.563195-0.535417
4N-0.551258-0.2757459C-0.147373-0.19245017H0.1947780.138538
5C0.5793180.5440199aC0.3345320.113657
Table 3. Bond orders in the anion form of 1.
Table 3. Bond orders in the anion form of 1.
S11-H170.13267N4-C3a1.09777C1-N100.94453
C9a-N101.07074C3a-N101.20156C1-S112.05111
C5a-C51.11577C3a-N31.83014
C5-O131.83726N2-N31.07445
C5-N41.19963C1-N21.68059
The pathway of reactions involving the triazoloquinazoline derivative 1 with electrophiles is dependent on the nature of the electrophile. The greater the charge of the electrophile the higher the hard-hard interactions and the reaction takes place at the nitrogen atom via strong Coulombic attraction. On the other hand, once the LUMO of the electrophile is great then the reaction undergo orbital-orbital interactions between the LUMO of the electrophile and the higher HOMO of the ambident nucleophile to produce the S-attack [3]. The effect of other factors will be also discussed separately for each reaction.
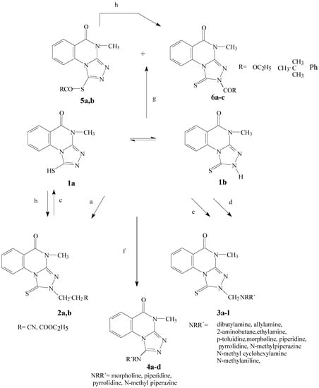
Scheme 1. Alkylation, Mannich, Michael and aminolysis reactions of model compound 3.
a: CH2=CHR, N(C2H5)3, ethanol, 78°C, 3-4h.e: 4-(morpholinomethyl) morpholine, N(C2H5)3, ethanol, 78°C, 4h.
b: ClCH2CH2R, NaOH, ethanol, 78°C, 3-4h.
c: NaOH, EtOH, H2O, 78°C, 1h.f: HNR1R2, H2O2, 25°C,2-24h.
d: HNR1R2, CH2=O, ethanol, 25°C, 1-2h.g: ClCOR, triethyl amine, benzene, 80°C,15 min.
h: CHCl3, 40°C, 30 min.
Scheme 1. Alkylation, Mannich, Michael and aminolysis reactions of model compound 3.
a: CH2=CHR, N(C2H5)3, ethanol, 78°C, 3-4h.e: 4-(morpholinomethyl) morpholine, N(C2H5)3, ethanol, 78°C, 4h.
b: ClCH2CH2R, NaOH, ethanol, 78°C, 3-4h.
c: NaOH, EtOH, H2O, 78°C, 1h.f: HNR1R2, H2O2, 25°C,2-24h.
d: HNR1R2, CH2=O, ethanol, 25°C, 1-2h.g: ClCOR, triethyl amine, benzene, 80°C,15 min.
h: CHCl3, 40°C, 30 min.
Molecules 05 01210 sch001
The reaction of 1 with activated unsaturated compounds under Michael reaction condition gave the N-substituted derivatives 2. The reaction gave positive results only in the case of acrylonitrile and ethyl acrylate. The presence of the activated C=C double bond conjugated with electron withdrawing nitrile or ester group evoked an electron deficiency on the C3 carbon atom, consequently giving a partial positive charge on this atom. On the other hand the energy of LUMO π2p* in both acrylic acid functional derivatives is decreased and the coupling of activated C=C double bond at the nitrogen in 1. The reaction proceeded via strong Coulombic attraction at the hard part of the ambident nucleophile to finally produce the N-substituted alkyl derivative 2. The products formed were also prepared by the reaction of 1 with 3-chloropropionitrile and ethyl-3-chloropropionate [3]. Application of this Michael type of reaction on diethylfumarate, diethylmaleate, diethyl-2-butynedioate, acrylamide and acrylic acid salt was not successful. This is obviously because of the double bond is not sufficiently activated. This might be evidence for the reaction proceeded via strong Coulombic attractions, consequently only polarized double bonds are required for such a reaction. The products 2 undergo elimination reaction to give the starting 1 in the presence of ethyl alcohol/ H2O mixture.
The reaction of 1 with amines in ethyl alcohol in the presence of formaldehyde gave the Mannich reaction products at the nitrogen atom. Before we discuss the reason for the N-contribution in the reaction we must first have a look at the possible reaction mechanisms for such a reaction. The study of the reaction kinetics of products formed by Mannich reaction [4] has led to the following proposals for the mechanisms of this reaction. One is the base catalyzed; the other is the acid catalyzed reaction. Several evidences were introduced to confirm that only the base catalyzed mechanism is involved. The reaction is carried out in a slightly basic medium from excess of the amines used, while no reaction was produced when carried in the presence of few drops of HCl.
The intermediate compound containing two electron withdrawing groups surrounding the methylene group will produce an electron deficiency on the carbon atom and consequently giving a partial positive charge on this carbon making it to some extent as a hard nucleophile. The reaction proceeded via strong Coulombic attraction at the hard part of the ambident nucleophile to finally produce the N-substituted alkyl derivative 3. The evidence for the formation of this intermediate and the formation of such a mechanism were given by the reaction of our ambident nucleophile with 4-morpholino(methylmorpholino) that gave the same product as the Mannich type of reaction with morpholine. The Mannich reaction was extended to involve primary, secondary alkyl amines and p-toluidine applications. It is noteworthy that all the applied amines gave the mono derived Mannich reaction products 3 except for n-butyl amine that gave the bis-triazoloquinazoline derivative 7.
Scheme 2. Reaction of 1 with n-butyl amine and formaldehyde.
Scheme 2. Reaction of 1 with n-butyl amine and formaldehyde.
Molecules 05 01210 sch002
The reaction of ambident nucleophile with secondary amines in the presence of H2O2 gave the aminolysis product 4 via desulfurization reaction. The reaction proceeds by oxidation of the SH group to form the sulfonic acid derivative 4 which subsequently undergoes elimination reaction via nucleophilic attack by the secondary amines.
The reaction of the acyl halides in presence of benzene and triethyl amine is a kinetically controlled reaction and it is formed via orbital-interactions to give the S-acyl product 5. This product under the effect of prolongation of reaction time or by heating of reaction mixture undergoes trans-acylation reaction to give the thermodynamically controlled N-acyl derivative 6. The trans-acylation reaction proceeded by the formation of the acyl carbocation formed under elevated temperature by the AB1 mechanism, and is capable of attacking the nitrogen atom to produce the N-substituted acyl derivative [3].
Several instrumental techniques were used to elucidate the structures of the N- and S-substituted derivatives. The infrared spectra generally indicate the absence of the υNH of compounds 1a-b and also show the characteristic frequency of the newly formed functional group(s). The mass spectra showed the molecular ion in all examined compounds. It is apparent that the mass spectra do not give reliable evidence to discriminate between the S- and N- substituted derivatives. The 1H-NMR spectra provided several pieces of evidence for assigning the structures of the evidences for the N- and S- products. The 1H-NMR spectra gave an interesting peak corresponding to H9 at 10.50 ppm in the case of N-alkyl 2, 3 and 7 or N-acyl 6 derivatives. This high chemical shift is attributed to high interaction between the thiocarbonyl group and the C9-H9 as shown in Figure 1. This peak was used as an indicator for the N-substituted derivatives; the chemical shift for H9 in the case of the S-substituted derivatives occurs at 8.2 ppm [3] .
The CH2 group adjacent to the sulfur atom appears at ca. 4.2 ppm [3], while the same group adjacent to nitrogen atom is found at a higher chemical shift ca. 4.6 ppm. The 13C-NMR spectra show a signal at ca 163 ppm due to C=S that is associated with the N-alkyl 2, 3 and 7 or N-acyl 6 derivatives, while the S-alkylation gave chemical shift at ca. 144 ppm for the same carbon C1 (C-S). The CH2 group adjacent to the sulfur atom in case of the S-alkylation appears at ca. 35 ppm, while the N-CH2 appears at ca. 44 ppm.

Conclusions

The regioselective alkylation reactions of thioamide derivatives with electrophiles could take place at either the sulfur or the nitrogen atoms according to the character of both the thioamide derivative and the applied electrophile.

Experimental

General details

Melting points of all the compounds were measured on a Boetius Rapido PHMK 79/2106 (Wägetechnik) instrument. TLC was carried out on Silufol UV 254 plates (Kavalier, Votice). The eluent used was a 20: 80 mixture of acetone: benzene. TLC detection was made by Fluotes Universal (Quarzlampen, Hanau) and iodine vapours, respectively. Purity of compounds 1-6 was proved by the elemental analysis on an Erba 1102 instrument. FTIR spectra ( ν ~ /cm-1) were taken on a Genesis (Unicam) spectrometer in potassium bromide pellets. NMR spectra (δ/ppm) were measured on a Bruker Avance DRX-500 spectrometer. Unless stated otherwise, 1H- and 13C-NMR spectra were measured in CDCl3 and tetramethylsilane was used as an internal standard. The measured 13C and 1H NMR spectra were correlated with those obtained by on-line simulation (Advanced Chemistry Development, Inc., Toronto, Canada). Mass spectrometry was measured (electron impact, 70 eV) with FISONS Instruments TRIO 1000 and GC 8000 series.
The theoretical results were obtained using the DFT method on the B3LYP/6-31-G* level [5,6]. Mulliken [7], ESP [8] and NBO [9,10,11] methods were used to calculate the partial charges and properties of molecular orbitals. Mayer bond orders [12] were calculated on a B3LYP/ii-iglo level using the Demon v.l program [13]. The starting material 1 is prepared according to [3] from 3-methyl-2-sulfanyl-3,4-dihydroquinazolin-4-one.
3-(4-Methyl-5-oxo-1-thioxo-1,2,4,5-tetrahydro[1,2,4]triazolo[4,3-a]quinazolin-2-yl)propane derivatives 2a, 2b.

Michael reaction. Method A

To a mixture of triazolo derivative 1 (2.32 g, 0.01 mole) and triethyl amine (2 ml, 0.02 mole) in ethyl alcohol (30 mL, 95 %) the appropriate acrylic acid derivative (0.01 mole) was added. The reaction mixture was heated under reflux for 4-6h, concentrated under reduced pressure. The solid obtained was filtered, and crystallized from ethyl alcohol.

Method B

To a mixture of triazolo derivative 1 (2.32 g, 0.01 mole) and NaOH (O.8 g, 0.02 mole) in ethyl alcohol (30 mL, 95 %) the appropriate alkyl halide (namely ethyl chloropropionate and chloropropionitrile, 0.01 mole) was added. The reaction mixture was heated under reflux for 3-4 h, concentrated under reduced pressure. The solid obtained was filtered, and crystallized from ethyl alcohol.

Ethyl-3-(4-methyl-5-oxo-1-thioxo-1,2,4,5-tetrahydro[1,2,4]triazolo[4,3-a]quinazolin-2-yl) propanoate (2a).

2.16 g (65%) (Method A, from 1), 1.43 g (45%) (Method B, from 1), M.p. 120-121 °C; For C15H16N4O3S (332.38) calculated: 54.21% C, 4.85% H, 16.86% N, 9.65% S, Found: 54.15% C, 4.76% H, 16.82% N, 9.57% S; FTIR: 1686(C=O), 1725 (C=O ester), 3087, 2977 (CH), 1631 (C=N); 1H-NMR: 10.33-7.51 (4H, m, ArH), 4.59 (1H, t, NCH2, J= 7.1 Hz), 4.18 (1H, q, OCH2, J= 7.1 Hz), 3.61 (3H, s, NCH3), 2.93 (2H, t, CH2CO, J= 7.1 Hz), 1.29 (3H, t, CH2CH3, J= 7.1 Hz); 13C-NMR: 170.51 (C=O), 161.72 (C=S), 158.36 (C=O, cyclic amide), 144.36 (Cq), 135.13 (Cq), 134.45 (CHAr), 129.00 (CHAr), 127.25 (CHAr), 116.92 (Cq), 116.55 (CHAr), 60.96 (NCH2), 44.32 (OCH2), 32.23 (CH2CO), 29.02 (NCH3), 14.17 (CH2CH3).

3-(4-Methyl-5-oxo-1-thioxo-1,2,4,5-tetrahydro[1,2,4]triazolo[4,3-a]quinazolin-2-yl) propionitrile (2b).

2.13 g (75%) (Method A, from 1), 1.20g (40%) (Method B, from 1), M.p. 230-231 °C; For C13H11N5OS (285.32) calculated: 54.73% C, 3.89% H, 24.55% N, 11.24% S, Found: 54.69% C, 3.71% H, 24.45% N, 11.12% S; FTIR: 1687 (C=O), 2248 (CN), 3005, 2978, 2945 (CH), 1632 (C=N); 1H-NMR: 10.25-7.58 (4H, m, ArH), 4.59 (2H, t, NCH2, J= 6.85 Hz), 3.64 (3H, s, NCH3), 3.03 (2H, t, CH2CN, J= 6.85 Hz); 13C-NMR: 162.20 (C=S), 158.36 (C=O, cyclic amide), 144.76 (Cq), 135.13 (Cq), 134.56 (CHAr), 129.19 (CHAr), 127.55 (CHAr), 116.96 (Cq), 116.32 (CHAr), 115.23 (CN), 44.14 (NCH2), 29.10 (NCH3), 16.09 (CH2CN); Mass spectrum, m/z (Ir/%): 286 (18), 285 (100), 245 (34), 232 (29), 199 (3), 174 (5), 162 (12), 144 (8).

Mannich reaction

4-Methyl-2-(R,R´-aminomethyl)-1-thioxo-1,2,4,5-tetrahydro[1,2,4]triazolo[4,3-a]quinazolin-5-ones (3a-l)

Method A

To the suspension of triazoloquinazoline 1 (2.32 g, 0.01 mole) in ethyl alcohol (30 mL, 95 %), formaldehyde (30%, 0.9 mL, 0.03mole) the desired amine (0.01 mole) were added dropwise with stirring. The reaction mixture was further stirred for 1-2h. at room temperature, concentrated under reduced pressure and cooled. The solid obtained was filtered and crystallized from ethyl alcohol.

Method B

To a mixture of triazolo derivative 1 (2.32 g, 0.01 mole) and triethyl amine (2 mL, 0.02 mole) in ethyl alcohol (30 mL, 95 %) the 4-(morpholinomethyl)morpholine (1.86 g, 0.01 mole) was added. The reaction mixture was heated under reflux for 3h, concentrated under reduced pressure. The solid obtained was filtered, and crystallized from ethyl alcohol.

4-Methyl-2-morpholinomethyl-1-thioxo-1,2,4,5-tetrahydro[1,2,4]triazolo[4,3-a]quinazolin-5-one (3a).

1.88 g (57%) (A, from 1), 1.49g (45%) (B, from 1), M.p. 185-186 °C; For C15H17N5O2S (331.39) calculated: 54.37% C, 5.17% H, 21.13% N, 9.67% S, Found: 54.23% C, 5.08% H, 20.98% N, 9.56% S; FTIR: 1688 (C=O), 2973, 2956 (CH), 1630 (C=N); 1H-NMR: 10.40-7.56 (4H, m, ArH), 5.22 (2H, s, NCH2N), 3.71 (4H, t, 2OCH2, J= 4.68 Hz), 3.64 (3H, s, NCH3), 2.89 (4H, t, 2NCH2, J= 4.68 Hz); 13C-NMR: 164.07 (C=S), 158.63 (C=O, cyclic amide), 144.53 (Cq), 135.44 (Cq), 134.59 (CHAr), 129.32 (CHAr), 127.52 (CHAr), 117.23 (Cq), 116.70 (CHAr), 69.26 (NCH2N), 67.12 (OCH2), 51.13 (NCH2), 29.31 (NCH3).

4-Methyl-2-piperidinomethyl-1-thioxo-1,2,4,5-tetrahydro[1,2,4]triazolo[4,3-a]quinazolin-5-one (3b).

1.68 g (51%), M.p. 210-211 °C; For C16H19N5OS (329.42) calculated: 58.30% C, 5.81% H, 21.26% N, 9.73% S, Found: 58.22% C, 5.88% H, 20.70% N, 9.65% S; FTIR: 1682 (C=O), 2932 (CH), 1629 (C=N); 1H-NMR: 10.42-7.52 (4H, m, ArH), 5.22 (2H, s, NCH2N), 3.64 (3H, s, NCH3), 2.82 (4H, t, 2NCH2, J= 5.35 Hz), 1.62-1.57 (4H, m, 2NCH2CH2), 1.42-1.37 (2H, m, 2NCH2CH2CH2) ; 13C-NMR: 163.82 (C=S), 158.68 (C=O, cyclic amide), 144.31 (Cq), 135.52 (Cq), 134.50 (CHAr), 129.22 (CHAr), 127.38 (CHAr), 117.22 (Cq), 116.71 (CHAr), 70.24 (NCH2N), 52.15 (NCH2), 29.29 (NCH3), 26.21 (NCH2CH2), 24.03 (NCH2CH2CH2).

4-Methyl-2-pyrrolidinomethyl-1-thioxo-1,2,4,5-tetrahydro[1,2,4]triazolo[4,3-a]quinazolin-5-one (3c).

1.92 g (61%), M.p. 196-197 °C; For C15H17N5OS (315.39) calculated: 57.12% C, 5.43% H, 22.21% N, 10.17% S, Found: 57.07% C, 5.21% H, 22.15% N, 9.95% S; FTIR: 1690 (C=O), 2970, 2950 (CH), 1630 (C=N); 1H-NMR: 10.42-7.52 (4H, m, ArH), 5.33 (2H, s, NCH2N), 3.64 (3H, s, NCH3), 2.95 (4H, t, 2NCH2, J= 6.31 Hz), 1.77 (4H, t, 2NCH2CH2); 13C-NMR: 163.73 (C=S), 158.67 (C=O, cyclic amide), 144.49 (Cq), 135.49 (Cq), 134.55 (CHAr), 129.22 (CHAr), 127.40 (CHAr), 117.21 (Cq), 116.73 (CHAr), 65.56 (NCH2N), 50.77 (NCH2), 29.29 (NCH3), 24.19(NCH2CH2).

4-Methyl-2-(4-methylpiperazino)methyl-1-thioxo-1,2,4,5-tetrahydro[1,2,4]triazolo[4,3-a]quinazolin-5-one (3d).

1.54 g (45%), M.p. 184-185 °C; For C16H20N6OS (344..43) Calculated: 55.79% C, 5.85% H, 24.40% N, 9.31% S, Found: 55.68% C, 5.59% H, 24.34% N, 9.25% S; FTIR: 1693 (C=O), 2934 (CH), 1633 (C=N); 1H-NMR: 10.40-7.54 (4H, m, ArH), 5.24 (2H, s, NCH2N), 3.62 (3H, s, NCH3), 2.94 (4H, t, 2NCH2, J= 4.82 Hz), 2.46 (4H, t, 2NCH2CH2, J= 4.97 Hz), 2.27 (3H, s, NCH3); 13C-NMR: 164.01 (C=S), 158.64 (C=O, cyclic amide), 144.46 (Cq), 135.52 (Cq), 134.53 (CHAr), 129.33 (CHAr), 127.46 (CHAr), 117.27 (Cq), 116.76 (CHAr), 69.00 (NCH2N), 55.26 (NCH2), 50.58 (CH2NCH3), 46.23 (CH2NCH3), 29.24 (NCH3).

2-Cyclohexyl-N-methylaminomethyl-4-methyl-1-thioxo-1,2,4,5-tetrahydro[1,2,4]triazolo[4,3-a]quinazolin-5-one (3e).

1.78 g (50%), M.p. 141-142 °C; For C18H23N5OS (357.47) calculated: 60.48% C, 6.48% H, 19.59% N, 8.97% S, Found: 60.35% C, 6.45% H, 19.57% N, 8.82% S; FTIR: 1689 (C=O), 2947, 2928 (CH), 1628 (C=N); 1H-NMR: 10.43-7.54 (4H, m, ArH), 5.28 (2H, s, NCH2N), 3.64 (3H, s, NCH3), 2.72-2.89 (1H, m, NCH), 2.22 (3H, s, NCH3), 1.91-1.27 (10H, m, 5CH2); 13C- NMR: 163.04 (C=S), 158.74 (C=O, cyclic amide), 144.31 (Cq), 135.57 (Cq), 134.54 (CHAr), 129.22 (CHAr), 127.36 (CHAr), 117.25 (Cq), 116.84 (CHAr), 67.89 (NCH2N), 61.07 (NCH), 37.03 (CH2NCH3), 30.59 (NCHCH2), 29.28 (NCH3), 26.87 (CHCH2CH2), 26.01 (CHCH2CH2CH2).

4-Methyl-N-methylanilinomethyl-1-thioxo-1,2,4,5-tetrahydro[1,2,4]triazolo[4,3-a]quinazolin-5-one (3f).

1.40 g (40%), M.p. 178-179 °C; For C18H17N5OS (351.43) calculated: 61.52% C, 4.88% H, 19.93% N, 9.12% S, Found: 61.41% C, 4.73% H, 19.57% N, 8.92% S; FTIR: 1690 (C=O), 3045, 3006, 2939 (CH), 1631 (C=N); 1H-NMR: 10.36-6.82 (9H, m, ArH), 5.85 (2H, s, NCH2N), 357 (3H, s, NCH3), 3.32 (3H, s, NCH3); 13C-NMR: 162.68 (C=S), 158.60 (C=O, cyclic amide), 147.38 (Cq), 144.74 (Cq), 135.40 (Cq), 134.59 (CHAr), 129.42 (CHAr), 129.29 (CHAr), 127.45 (CHAr), 118.95 (CHAr), 117.23 (Cq), 116.77 (CHAr), 113.87 (CHAr), 65.70 (NCH2N), 39.67 (CH2NCH3), 29.25 (NCH3).

2-(Dibutylamino)methyl-4-methyl-1-thioxo-1,2,4,5-tetrahydro[1,2,4]triazolo[4,3-a]quinazolin-5-one (3g).

2.23 g (60%), M.p. 118-119 °C; For C19H27N5OS (373.52) calculated: 61.10% C, 7.29% H, 18.75% N, 8.58% S, Found: 59.89% C, 7.18% H, 18.65% N, 8.31% S; FTIR: 1690 (C=O), 2955, 2930, 2870 (CH), 1629 (C=N); 1H-NMR: 10.45-7.52 (4H, m, ArH), 5.28 (2H, s, NCH2N), 3.63 (3H, s, NCH3), 2.77 (4H, t, 2NCH2, J= 7.27 Hz), 1.48-1.59 (4H, m, 2NCH2CH2), 1.21-1.39 (4H, m, 2NCH2CH2CH2), 0.94 (3H, t, 2CH2CH3, J= 7.26 Hz); ; 13C-NMR: 163.47 (C=S), 158.75 (C=O, cyclic amide), 144.39 (Cq), 135.58 (Cq), 134.50 (CHAr), 129.24 (CHAr), 127.35 (CHAr), 117.25 (Cq), 116.81 (CHAr), 66.63 (NCH2N), 52.29 (NCH2), 30.40 (NCH2CH2), 29.24 (NCH3), 20.63 (NCH2CH2CH2), 14.24 (CH2CH3).

2-(Ethylamino)methyl-4-methyl-1-thioxo-1,2,4,5-tetrahydro[1,2,4]triazolo[4,3-a]quinazolin-5-one (3h).

1.59 g (55%), M.p. 165-166 °C; For C13H15N5OS (289.35) calculated: 53.96% C, 5.22% H, 24.20% N, 11.08% S, Found: 53.86% C, 4.97% H, 23.87% N, 10.93% S; FTIR: 1691 (C=O), 2969, 2956 (CH), 1628 (C=N), 3390 (NH) ; 1H-NMR: 10.38-7.53 (4H, m, ArH), 5.20 (2H, d, NCH2NH), 3.64 (3H, s, NCH3), 2.68 (2H, q, NCH2, J= 7.13 Hz), 1.11 (3H, t, CH2CH3, J= 7.13 Hz); ; 13C-NMR: 162.81 (C=S), 158.64 (C=O, cyclic amide), 144.51 (Cq), 135.46 (Cq), 134.62 (CHAr), 129.29 (CHAr), 127.46 (CHAr), 117.20 (Cq), 116.77 (CHAr), 64.16 (NCH2N), 40.58 (NCH2), 29.28 (NCH3), 15.09 (NCH2CH3).

2-(Allylamino)methyl-4-methyl-1-thioxo-1,2,4,5-tetrahydro[1,2,4]triazolo[4,3-a]quinazolin-5-one (3i).

1.05 g (35%), M.p. 139-140 °C; For C14H15N5OS (301.37) calculated: 55.80% C, 5.22% H, 23.24% N, 10.64% S, Found: 55.61% C, 4.97% H, 23.12% N, 10.52% S; FTIR: 1691 (C=O), 2973, 2956 (CH), 1629 (C=N), 3340 (NH) ; 1H-NMR: 10.34-7.54 (4H, m, ArH), 5.93-5.71 (1H, m, CH=CH2), 5.24 (1H, d, CH=CH2, J= 10.53 Hz), 5.20 (2H, d, NCH2NH, J= 2.93 Hz), 5.09 (1H, d, CH=CH2, J= 10.53 Hz), 3.63 (3H, s, NCH3), 3.31-3.28 (2H, d, HNCH2CH, J= 5.84 Hz); ; 13C- NMR: 163.82 (C=S), 158.41 (C=O, cyclic amide), 144.31 (Cq), 135.23 (Cq), 135.58 (CH=CH2) 134.41 (CHAr), 129.31 (CHAr), 127.42 (CHAr), 117.24 (Cq), 116.56 (CH=CH2), 116.52 (CHAr), 63.62 (NCH2N), 48.64 (NCH2), 29.26 (NCH3).

2-(sec-Butylamino)methyl-4-methyl--1-thioxo-1,2,4,5-tetrahydro[1,2,4]triazolo[4,3-a]quinazolin-5-one (3j).

1.77 g (56%), M.p. 133-134 °C; For C15H19N5OS (317.41) calculated: 56.76% C, 6.03% H, 22.06% N, 10.10% S, Found: 56.54% C, 5.83% H, 2186% N, 9.77% S; FTIR: 1690 (C=O), 2965, 2926 (CH), 1627 (C=N), 3365 (NH) ; 1H-NMR: 10.38-7.54 (4H, m, ArH), 5.22 (2H, d, NCH2NH, J= 2.93 Hz), 3.64 (3H, s, NCH3), 2.52-2.63 (1H, m, NCH), 1.58-1.32 (2H, m, NCHCH2), 1.09 (3H, d, CHCH3, J= 6.43 Hz), 0.89 (3H, t, CH2CH3, J= 7.47 Hz) ; 13C-NMR: 162.06 (C=S), 158.67 (C=O, cyclic amide), 144.50 (Cq), 135.50 (Cq), 134.63 (CHAr), 129.27 (CHAr), 127.44 (CHAr), 117.22 (Cq), 116.80 (CHAr), 62.10 (NCH2N), 50.37 (NCH), 52.29 (NCH2), 29.59 (NCHCH2), 29.23 (NCH3), 19.58 (CHCH3), 10.20 (CH2CH3).

4-Methyl-1-thioxo-2-(p-toluidinomethyl)-1,2,4,5-tetrahydro[1,2,4]triazolo[4,3-a]quinazolin-5-one (3k).

1.77 g (65%), M.p. 171-172 °C; For C18H17N5OS (351.43) calculated: 61.52% C, 4.88% H, 19.93% N, 9.12% S, Found: 61.42% C, 4.76% H, 19.82% N, 9.01% S; FTIR: 1691 (C=O), 2952, 2928 (CH), 1628 (C=N), 3385 (NH) ; 1H-NMR: 10.28-6.84 (8H, m, ArH), 5.64 (2H, d, NCH2NH), 3.59 (3H, s, NCH3), 2.21 (3H, s, NCH3); 13C-NMR (CDCl3): 162.19 (C=S), 158.53 (C=O, cyclic amide), 142.27 (Cq), 135.30 (Cq), 134.57 (CHAr), 130.02 (CHAr), 129.26 (CHAr), 129.13 (Cq), 127.48 (CHAr), 117.12 (Cq), 116.69 (CHAr), 114.69 (CHAr), 58.79 (NCH2N), 29.23 (NCH3), 20.60 (PhCH3).

2-(Diethylamino)methyl-4-methyl-1-thioxo-1,2,4,5-tetrahydro[1,2,4]triazolo[4,3-a]quinazolin-5-one (3l).

1.39 g (45%), M.p. 160-161°C; For C15H19N5OS (317.41) calculated: 56.76% C, 6.03% H, 22.06% N, 10.10% S, Found: 56.59% C, 5.87% H, 21.91% N, 9.92% S; FTIR: 1689 (C=O), 2985, 2960 (CH), 1630 (C=N); 1H-NMR: 10.37-7.42 (4H, m, ArH), 5.22 (2H, s, NCH2N), 3.56 (3H, s, NCH3), 2.79 (4H, q, 2NCH2, J= 7.31 Hz), 1.11 (6H, t, 2NCH2CH3, J= 7.0 Hz); 13C-NMR: 163.46 (C=S), 158.70 (C=O, cyclic amide), 144.46 (Cq), 135.53 (Cq), 134.50 (CHAr), 129.22 (CHAr), 127.35 (CHAr), 117.24 (Cq), 116.77 (CHAr), 65.63 (NCH2N), 46.17 (NCH2), 29.25 (NCH3), 13.44 (NCH2CH3).

2-[Butyl[(4-methyl-5-oxo-1-thioxo-1,2,4,5-tetrahydro[1,2,4]triazolo[4,3-a]quinazolin-2-yl)methyl]amino]methyl-4-methyl-1-thioxo-1,2,4,5-tetrahydro[1,2,4]triazolo[4,3-a]quinazolin-5-one (7).

1.79 g (32%), M.p. 163-164 °C; For C26H27N9O2S2 (561.68) calculated: 55.60% C, 4.85% H, 22.44% N, 11.42% S, Found: 55.43% C, 4.63% H, 22.39% N, 11.31% S; FTIR: 1691 (C=O), 2952, 2928 (CH), 1627 (C=N); 1H-NMR: 10.36-7.53 (8H, m, ArH), 5.61 (4H, s, NCH2N), 3.60 (6H, s, NCH3), 3.04 (2H, t, NCH2, J= 7.26 Hz), 1.66-1.57 (2H, m, NCH2CH2), 1.35-1.21 (2H, m, NCH2CH2CH2), 0.87 (3H, t, CH2CH3, J= 7.25 Hz); 13C-NMR: 163 162.73 (C=S), 158.55 (C=O, cyclic amide), 144.56 (Cq), 135.37 (Cq), 134.62 (CHAr), 129.26 (CHAr), 127.48 (CHAr), 117.11 (Cq), 116.6 (CHAr), 67.00 (NCH2N), 50.87 (NCH2), 30.27 (NCH2CH2), 29.25 (NCH3), 20.20 (NCH2CH2CH2), 14.06 (CH2CH3).

Aminolysis reaction: General procedure

To the solution of triazoloquinazoline 1 (2.32 g, 0.01 mole) in the appropriate amine (10 mL), 5 drops of hydrogen peroxide were added drop wise during stirring. The reaction mixture was further stirred for 2-24h. At room temperature, to give a white precipitate, filter, wash with H2O and crystallized from ethyl alcohol.

4-Methyl-1-morpholino-4,5-dihydro[1,2,4]triazolo[4,3-a]quinazolin-5-one (4a).

1.60 g (56%), M.p. 166-167°C; For C14H15N5O2 (285.30) calculated: 58.94% C, 5.30% H, 24.55% N, Found: 58.67% C, 5.21% H, 24.48% N; FTIR: 1686 (C=O), 2983, 2948 (CH), 1611 (C=N); 1H-NMR: 8.65-7.54 (4H, m, ArH), 4.12 (4H, t, 2OCH2, J= 4.87 Hz), 3.82 (3H, s, NCH3), 2.89 (4H, t, 2NCH2, J= 4.97 Hz); 13C-NMR: 158.77 (C=O, cyclic amide), 149.81 (Cq), 144.58 (Cq), 134.59 (CHAr), 133.96 (Cq), 130.01 (CHAr), 127.02 (CHAr), 117.54 (Cq), 116.96 (CHAr), 67.61 (OCH2), 51.72 (NCH2), 29.83 (NCH3).

4-Methyl-1-piperidino-4,5-dihydro[1,2,4]triazolo[4,3-a]quinazolin-5-one (4b).

1.33 g (47%), M.p. 158-159°C; For C15H17N5O (283.33) calculated: 63.59% C, 6.05% H, 24.72% N, Found: 63.45% C, 5.98% H, 24.65% N; FTIR: 1689 (C=O), 2985, 2932 (CH), 1613 (C=N); 1H-NMR: 8.65-7.54 (4H, m, ArH), 3.82 (3H, s, NCH3), 3.17 (4H, t, 2NCH2, J= 5.40 Hz), 1.54-1.68 (4H, m, 2NCH2CH2), 1.41-1.29 (2H, m, NCH2CH2CH2); 13C-NMR: 158.77 (C=O, cyclic amide), 149.81 (Cq), 144.58 (Cq), 134.59 (CHAr), 133.96 (Cq), 130.01 (CHAr), 127.02 (CHAr), 117.54 (Cq), 116.96 (CHAr), 57.62 (NCH2), 29.64 (NCH3), 27.28 (NCH2CH2), 22.58 (NCH2CH2CH2).

4-Methyl-1-pyrrolidino-4,5-dihydro[1,2,4]triazolo[4,3-a]quinazolin-5-one (4c).

1.31 g (49%), M.p. 163-164°C; For C14H15N5O (269.305) calculated: 62.44% C, 5.61% H, 26.01% N, Found: 62.23% C, 5.56% H, 26.01% N; FTIR: 1684 (C=O), 2987 (CH), 1611 (C=N); 1H-NMR: 8.72-7.58 (4H, m, ArH), 3.62 (3H, s, NCH3), 3.06 (4H, m, 2NCH2), 1.75-1.68 (4H, m, 2NCH2CH2); 13C-NMR: 158.37 (C=O, cyclic amide), 149.75 (Cq), 142.89 (Cq), 134.66 (CHAr), 133.67 (Cq), 128.87 (CHAr), 126.85 (CHAr), 117.31(Cq), 116.59 (CHAr), 54.45 (NCH2), 29.13 (NCH3), 24.36 (NCH2CH2).

4-Methyl-1-(4-methylpiperazino)-4,5-dihydro[1,2,4]triazolo[4,3-a]quinazolin-5-one (4d).

1.33 g (53%), M.p. 167-168°C; For C15H18N6O (298.35) calculated: 60.39% C, 6.08% H, 28.17% N, Found: 60.21% C, 5.85% H, 27.76% N; FTIR: 1689 (C=O), 2985 (CH), 1613 (C=N); 1H-NMR: 8.91-7.54 (4H, m, ArH), 3.81 (3H, s, NCH3), 3.11 (4H, t, 2NCH2, J= 4.68 Hz), 2.14 (4H, t, 2NCH2CH2, J= 4.68 Hz), 2.20 (3H, s, CH2NCH3); 13C NMR: 159.05 (C=O, cyclic amide), 150.39 (Cq), 143.17 (Cq), 134.87 (CHAr), 134.40 (Cq), 130.47 (CHAr), 127.56 (CHAr), 118.00 (Cq), 117.17 (CHAr), 56.29 (NCH2), 56.10 (NCH2CH2N), 46.13 (CH2NCH3), 29.99 (NCH3)

Acylation reaction. General procedure

The appropriate acyl chloride (ethyl chloroformate for 5a, 6a, pivaloyl chloride for 5b, 6b or benzoyl chloride for 6c) (0.01 mole) was added to a mixture of triazolo derivative 1 (2.32 g, 0.01 mole) and triethyl amine (2 mL, 0.02 mole) solution in benzene (30 mL). The reaction mixture was heated under reflux for 15 min. Concentrated under reduced pressure. The solid obtained was filtered, and crystallized from ethyl alcohol. The obtained product was a mixture of both 5 and 6 and was not further purified. The constitutional isomers purity was determined from the 1H-NMR spectra. Compounds 5a and 5b were not isolated but detected only from the 1-NMR spectra, IR spectroscopy and by the comparison with the 1H-NMR spectra of the pure 6a and 6b. The chloroform solution of the mixture of 5 and 6 were heated under reflux for 1h. to give the pure N-acyl derivatives 6.

Ethyl-[(4-methyl-5-oxo-4,5-dihydro[1,2,4]triazolo[4,3-a]quinazolin-1-yl)sulfanyl]methanoate (5a).

FTIR: 1708 (C=O), 1743 (C=O ester), 3063, 2980 (CH), 1635 (C=N); 1H-NMR: 8,72-7.34 (4H, m, ArH), 4.33 (2H, q, OCH2, J= 7.0 Hz), 3,82 (3H, s, NCH3), 1,29 (3H, t, CH2CH3, J= 7.0 Hz).

4-Methyl-5-oxo-4,5-dihydro[1,2,4]triazolo[4,3-a]quinazolin-1-yl-2,2dimethylpropanethioate (5b).

FTIR: 1691(C=O), 1743 (C=O), 3002, 2978 (CH), 1645 (C=N); 1H-NMR: 8,62-7.56 (4H, m, ArH), 3,84 (3H, s, NCH3), 1,61 (9H, s, C(CH3)3).

Ethyl-4-methyl-5-oxo-1-thioxo-1,2,4,5-tetrahydro[1,2,4]triazolo[4,3-a]quinazolin-2-carboxylate (6a).

1.64 g (54%), M.p. °C; For C13H12N4O3S (304.32) calculated: 51.31% C, 3.97% H, 18.41% N, 10.53% S, Found: 51.21% C, 3.95% H, 18.33% N, 10.42% S; FTIR: 1689 (C=O), 1778 (C=O ester), 3063, 2980 (CH), 1635 (C=N); 1H-NMR: 10.38-7.55 (4H, m, ArH), 4.55 (2H, q, OCH2, J= 7.0 Hz), 3.66 (3H, s, NCH3), 1.50 (3H, t, CH2CH3, J= 7.0 Hz); 13C-NMR: 176.08 (C=O), 164.75 (C=S), 158.48 (C=O, cyclic amide), 149.04 (Cq), 145.01 (Cq), 135.18 (Cq), 134.85 (CHAr), 129.47 (CHAr), 127.91 (CHAr), 117.17 (Cq), 116.55 (CHAr), 65.30 (OCH2), 29.36 (NCH3), 14.14.36 (CH2CH3).

2-(2,2-Dimethylpropanoyl)-4-methyl-1-thioxo-1,2,4,5-tetrahydro[1,2,4]triazolo[4,3-a]quinazolin-5-one (6b).

1.42 g (45%), M.p. °C; For C15H16N4O2S (316.38) calculated: 56.95% C, 5.10% H, 17.71% N, 10.13% S, Found: 56.73% C, 4.97% H, 17.65% N, 9.96% S; FTIR: 1691(C=O), 1743 (C=O), 3002, 2978 (CH), 1645 (C=N); 1H-NMR: 10.49-7.56 (4H, m, ArH), 3.67 (3H, s, NCH3), 1.52 (9H, s, C(CH3)3); 13C-NMR: 176.08 (C=O), 164.71 (C=S), 158.65 (C=O, cyclic amide), 143.89 (Cq), 135.20 (Cq), 134.79 (CHAr), 129.50 (CHAr), 127.88 (CHAr), 117.09 (Cq), 116.84 (CHAr), 29.87 (C(CH3)3), 29.24 (NCH3), 27.40 (C(CH3)3).

2-Benzoyl-4-methyl-1-thioxo-1,2,4,5-tetrahydro[1,2,4]triazolo[4,3-a]quinazolin-5-one (6c).

1.17 g (35%), M.p. °C; For C17H12N4O2S (336.37) calculated: 60.70% C, 3.60% H, 16.66% N, 9.53% S, Found: 60.59% C, 3.45% H, 16.57% N, 9.49% S; FTIR: 1693 (C=O), 1720 (C=O), 2987, 2955 (CH), 1640 (C=N); 1H-NMR: 10.37-7.48 (9H, m, ArH), 3.60 (3H, s, NCH3); 13C-NMR: 166.40 (C=O), 165.04 (C=S), 158.55 (C=O, cyclic amide), 142.41 (Cq), 135.08 (Cq), 134.76 (CHAr), 134.01 (CHAr), 131.98 (CHq), 131.14 (CHAr), 129.46 (CHAr), 128.57 (CHAr), 127.92 (CHAr), 117.09 (Cq), 116.66 (CHAr), 29.32 (NCH3).

Acknowledgements

This work was supported by the grants of the Ministry of Education of the Czech Republic (Grant No. CEZ: J07/98: 143100011). We would like to thank the Analytical Department of Lachema Co., Brno, Czech Republic for elemental analysis and Advanced Chemistry Development, Inc., Toronto, Canada for the free on-line simulation of 1H-and 13C-NMR spectra.

References

  1. Waisser, K.; Dostál, H.; Kubicová, L.; Kolar, K. Ces. a Slov. Farm. 2000, 49, 113.
  2. Cianci, C.; Chung, T.D.Y.; Menwell, N.; Putz, H.; Hagen, M.; Colonno, R.J.; Krystal, M. Antiviral Chem. Chemother. 1996, 7, 353. [CrossRef]
  3. Fathalla, W.; Pazdera, P. Regioselectivity of electrophilic attack on 4-methyl-1-thioxo-1,2,4,5-tetrahydro[1,2,4]triazolo[4,3-a]quinazoline-5-one. Part 1: Reactions on sulfur atom. Molecules 2000, 5. [Google Scholar] [CrossRef]
  4. March, J. Advanced Organic Chemistry: Reactions, mechanisms and structures, 3rd edition; John Wiley and Sons, Inc., 1985; p. 801. [Google Scholar]
  5. Lee, C.; Yang, W.; Parr, R. G. Phys. Rev. B 1988, 37, 785. [CrossRef]
  6. Godbout, N.; Salahub, D.R.; Andulm, J.; Wimmer, E. Can. J. Chem. 1992, 70, 560. [CrossRef]
  7. Mulliken, R. S. J. Chem. Phys. 1955, 23, 1833. [CrossRef]
  8. Davidson, E. R. J. Chem. Phys. 1967, 46, 3320. [CrossRef]
  9. Foster, J. P.; Weinhold, F. J. Am. Chem. Soc. 1980; 102, 7211.
  10. Reed, A. E.; Weinhold, F. J. Chem. Phys. 1983, 78, 4066. [CrossRef]
  11. Reed, A. E.; Weistock, R. B.; Weinhold, F. J. Chem. Phys. 1985, 83, 735. [CrossRef]
  12. Mayer, I. Chem. Phys. Lett. 1983, 97, 270. [CrossRef]
  13. Malkin, V. G.; Malkina, I. L.; Salahub, D. R. demon/1.0, A Gaussian Density Functional program; Universite de Montreal: Montreal, 1984. [Google Scholar]
  • Sample Availability: Samples are available from the authors.

Share and Cite

MDPI and ACS Style

Fathalla, W.; Čajan, M.; Pazdera, P. Regioselectivity of Electrophilic Attack on 4-Methyl-1-Thioxo-1,2,4,5-Tetrahydro[1,2,4]Triazolo[4,3-A]Quinazolin-5-One Part 2: Reactions on Nitrogen Atom. Molecules 2000, 5, 1210-1223. https://doi.org/10.3390/51201210

AMA Style

Fathalla W, Čajan M, Pazdera P. Regioselectivity of Electrophilic Attack on 4-Methyl-1-Thioxo-1,2,4,5-Tetrahydro[1,2,4]Triazolo[4,3-A]Quinazolin-5-One Part 2: Reactions on Nitrogen Atom. Molecules. 2000; 5(12):1210-1223. https://doi.org/10.3390/51201210

Chicago/Turabian Style

Fathalla, W., M. Čajan, and P. Pazdera. 2000. "Regioselectivity of Electrophilic Attack on 4-Methyl-1-Thioxo-1,2,4,5-Tetrahydro[1,2,4]Triazolo[4,3-A]Quinazolin-5-One Part 2: Reactions on Nitrogen Atom" Molecules 5, no. 12: 1210-1223. https://doi.org/10.3390/51201210

APA Style

Fathalla, W., Čajan, M., & Pazdera, P. (2000). Regioselectivity of Electrophilic Attack on 4-Methyl-1-Thioxo-1,2,4,5-Tetrahydro[1,2,4]Triazolo[4,3-A]Quinazolin-5-One Part 2: Reactions on Nitrogen Atom. Molecules, 5(12), 1210-1223. https://doi.org/10.3390/51201210

Article Metrics

Back to TopTop