Abstract
Photo-thermo-refractive (PTR) glass is a key material for optical devices, yet the synergistic mechanism between its raw material precursors remains unclear. This study systematically investigates the individual and combined effects of silver precursors (Ag2O and AgNO3) and sodium salts (Na2CO3 and NaNO3) on the structural evolution and crystallization behavior of Si-Na-Al-Zn-based PTR glasses. Through a combination of spectroscopic (UV-Vis, FTIR, Raman), thermal (DSC), and microscopic (SEM) characterizations, we demonstrate that the precursor combination profoundly influences the glass network homogeneity, ion mobility, and phase separation behavior. The results reveal that the AgNO3 and NaNO3 combination fosters a highly homogeneous and thermally stable network, facilitating the formation of a uniform distribution of silver nanoparticles and, subsequently, a dense nanoscale precipitation of NaF crystals. This work elucidates the critical synergistic mechanism between precursors, providing a fundamental basis for the precise composition design of high-performance PTR glasses for advanced optical applications.
1. Introduction
Photo-thermo-refractive (PTR) glass is a special functional material known for its photosensitivity and thermal sensitivity [1,2]. Its unique capability for refractive index modulation makes it highly promising for applications such as volume Bragg gratings, integrated optical devices, and laser technologies. These glasses are typically based on the Si-Na-Al-Zn system and are doped with key elements like Ce, Ag, F, and Br. The controlled precipitation of NaF microcrystals, induced by UV exposure and subsequent heat treatment, enables the precise adjustment of the refractive index.
In PTR glass, silver acts as a crucial nucleating agent. Its initial form and mobility within the glass network directly determine the subsequent nucleation and crystallization processes. The choice of silver precursor (e.g., AgNO3 and Ag2O) influences the initial valence state and distribution of silver ions in the glass network, thereby affecting the kinetics of their reduction to atomic silver (Ag0) and subsequent aggregation into clusters and nanoparticles. On the other hand, sodium salts (e.g., NaNO3 and Na2CO3) serve not only as important sources of network modifiers but also directly influence the glass network structure and phase separation behavior by providing Na+ ions that participate in the formation of the crystalline phase (e.g., NaF). Notably, the phase separation [3,4] behavior of the glass decisively affects its subsequent crystallization process. The composition and structure of the phases after separation govern the subsequent crystallization behavior. Particularly critical is the complex combined effect between the silver migration/aggregation process and the ionic environment provided by the sodium salts. This interaction profoundly influences the kinetics of phase separation in fluorine/bromine-rich regions and ultimately determines the size, distribution, and volume fraction of the final NaF microcrystals, which in turn dictate the optical properties and refractive index modulation amplitude of the glass.
Although significant progress has been made in PTR glass research, most studies have focused on process optimization or the role of single components [5,6,7]. A deep understanding of the intrinsic synergistic mechanism between silver precursors and sodium salts remains insufficient. Specifically, there is a lack of systematic mechanistic research on how combinations of different silver precursors (AgNO3 and Ag2O) and different sodium salts (NaNO3 and Na2CO3) synergistically regulate the thermodynamics and kinetics of the NaF crystallization process by influencing the glass network structure, ion migration capability, and phase separation behavior.
Therefore, this work systematically investigates the effects of variations in raw materials, such as sodium nitrate, sodium carbonate, silver nitrate, and silver oxide, on the network structure, phase separation behavior, and crystallization characteristics of glasses within the Si-Na-Al-Zn system. The focus is on revealing the synergistic mechanism between silver precursors and sodium salts, elucidating their regulatory role in the structural evolution of the glass and the subsequent crystallization process. This study aims to provide a scientific basis for the composition design and performance optimization of high-performance PTR glasses. The exploration of the impact of different combinations of sodium salts and silver precursors on the glass network structure and ion migration offers a certain degree of innovation and is significant for promoting the application of PTR glasses in fields such as diffractive optical elements.
2. Results
2.1. Absorption Spectra Analysis
The absorption spectra of PTR glass samples S1 (Ag2O+Na2CO3), S2 (Ag2O+NaNO3), and S3 (AgNO3+NaNO3) are presented in Figure 1, which were treated by UV exposure (0.5, 1.5, and 3 J/cm2) and subsequent nucleation heat treatment (480 °C, 120 min), providing direct insight into the photochemical and thermal processes governing silver nanoparticle formation. Figure 1a shows the absorption spectra in the 300–400 nm range after UV exposure with varying energy doses (0 to 3 J/cm2). A common trend for all glasses (S1, S2, and S3) is an increase in absorbance within 250–300 as the exposure dose increases, which is characteristic of PTR glasses and can be attributed to Ce3+ to [Ce3+]+/C4+ and the photoreduction of silver ions (Ag+) to neutral silver atoms (Ag0) and the subsequent formation of small, sub-nanometer silver molecular clusters [8,9]. It is worth noting that at the same exposure dose, the increase in absorbance of S3 is significantly higher than that of S1 and S2, indicating that when silver nitrate is used as the precursor, the dispersibility and photoreactivity of silver ions in the glass network are higher. This may be because AgNO3 is more easily decomposed into highly mobile Ag+ during the melting process, while Ag2O may exist in the form of oxide clusters, limiting the homogeneous distribution of silver.
Figure 1.
Absorption spectra of PTR glass samples S1, S2, and S3: (a) UV irradiation at 0.5 J/cm2, 1.5 J/cm2 and 3 J/cm2; (b) nucleation heat treatment at 480 °C for 120 min; (c) the position and FWHM of the SPR peak; (d) Ag NPs size fitted by Mie theory.
Following thermal treatment, the absorption spectra, depicted in Figure 2b, exhibit a dramatic transformation, extending into the visible and near-infrared regions (up to 800 nm). The appearance of these features is a hallmark of the growth of silver nanoparticles (Ag NPs) via thermal aggregation of the photo-generated Ag0 atoms and clusters [10]. The position and shape of the surface plasmon resonance (SPR) peak are sensitive to the size, shape, and dielectric environment of the nanoparticles. The differences observed in the spectra of S1, S2, and S3 after identical exposure and thermal processing protocols are significant, which implies that the final nanoparticle characteristics—and hence the crystallization behavior of the glass—are not solely determined by the silver precursor but are profoundly affected by the matrix composition. The SPR absorption peak intensity gradually increases with the increase in UV irradiation dose, indicating an increase in the concentration of Ag NPs. The position and FWHM of the SPR peak are depicted in Figure 1c. Under consistent heat treatment conditions, an increase in UV exposure dose appears to lead to a noticeable red shift in the position of the SPR absorption peak, which has been reported in some references as corresponding to an increase in the AgBr shell [11,12], accompanied by a decrease in the FWHM value. The results suggest a potential increase in the AgBr shell thickness surrounding the Agn0 clusters, as well as a possible enlargement of the Ag NPs size.
Figure 2.
TEM images of PTR glass samples S1, S2 and S3: (a) S1-3 J/cm2-N; (b) S2-3 J/cm2-N; (c) S3-3 J/cm2-N.
According to the achieved position and FWHM value of the SPR peak, the Mie theory can be used to further fit the absorption spectra of Ag NPs prepared under different nucleation conditions in order to determine their average size. The principle is based on the unique SPR properties exhibited by precious metal nanoparticles [13,14]. The radius R of the nanoparticles in the matrix can be obtained from the characteristic wavelength and the half-height width (FWHM) of the corresponding SPR peaks in Equation (1) [14,15]:
where νf is the Fermi velocity of electrons in the metal (1.39 × 106 m/s for silver) [15]; Δλ is the FWHM of the SPR peak; and λp is the characteristic wavelength of the SPR peak. As shown in Figure 1d, the size of Ag NPs fitted by Mie theory increases with the increase in UV irradiation dose, ranging from 3 to 5 nm.
As shown in Figure 1d, to further characterize the distribution of Ag NPs, high-resolution TEM was used to observe PTR glass samples subjected to photothermal treatment. Ag NPs have a uniform spherical structure with sizes ranging from 3 to 5 nm, which is consistent with the Mie theoretical fitting results shown in Figure 1c. In addition, the density of Ag NPs formed in the S1 sample is much lower than that in the S2 and S3 samples, which is consistent with the corresponding SPR absorption peak intensity in the absorption spectrum.
2.2. FTIR and Raman Spectra Analysis
Figure 3 displays the FTIR spectra of the samples before and after the photo-thermo-induced nucleation treatment within the range of 500–4000 cm−1 [16,17,18]. The spectra reveal characteristic absorption bands associated with the fundamental vibrations of the glass network. The band centered at approximately 1000 cm−1 is assigned to the asymmetric stretching vibration of Si-O-Si bridges. The peak near 780 cm−1 is attributed to the symmetric stretching vibration of T-O-T bonds, where T represents silicon (Si) and aluminum (Al) atoms in tetrahedral coordination. The band around 450 cm−1 corresponds to the T-O-T bending vibration [19].
Figure 3.
FTIR spectra of PTR glass samples before and after photo-thermo-induced nucleation (480 °C for 120 min): (a) S1 sample; (b) S2 sample; (c) S3 sample; (d) vibration peak positions of samples under different treatment conditions.
As depicted in Figure 3, the TOT symmetric stretching vibration changes within the range of 778–780 cm−1, indicating that the changes in precursor and sodium salt have little effect on the silicon-aluminum ring. While the consistent shift of the main Si-O-Si asymmetric stretching vibration (~1000 cm−1) to lower wavenumbers with increasing laser energy density indicates a weakening of the Si-O bond and a decrease in the force constant, which can be interpreted as a decrease in the network polymerization and an extension of the average Si-O bond length, the subsequent aggregation of Ag0 atoms and the associated ionic rearrangement can lead to a more compact silica network. The magnitude of the redshift of the S3 sample is most significant at the high UV exposure dose, suggesting that the S3 sample undergoes the most significant network variation. This is consistent with the hypothesis that the AgNO3 precursor facilitates a more efficient and homogeneous photoreduction and aggregation process, leading to a higher density of nucleation sites and greater associated structural rearrangement. Additionally, a broad absorption feature around the 3500 cm−1 and 1380 cm−1 regions is observed, which is related to the presence of hydroxyl (O-H) groups within the glass matrix. The S1 sample has the highest hydroxyl content, while the S3 sample has the lowest, indicating that the addition of nitrate ions can effectively reduce the hydroxyl content in the glass matrix. After heat treatment, all samples show a significant decrease in the absorption peak corresponding to hydroxyl groups.
As depicted in Figure 4, the Raman spectroscopy was employed to gain further insights into the local structural changes and network modifications in the PTR glass samples induced by the different precursor combinations. The band near 500 cm−1 can be deconvoluted into contributions from the symmetric stretching vibrations of the Si–O–Si bond (~480 cm−1) and the Si–O–Al bond (~515 cm−1) [6,14]. The feature around 600 cm−1 is associated with siloxane ring vibrations and includes components from the symmetric bending vibration of Al–O–Al and symmetric stretching of [AlO6] octahedra (at ~550 cm−1), as well as symmetric stretching of [AlO4] tetrahedra (~630 cm−1). The weak band at approximately 800 cm−1 is assigned to the symmetric bending vibration of Si–O–Si bonds. The most prominent band, between 900 and 1200 cm−1, corresponds to asymmetric stretching vibrations of the [SiO4] tetrahedron. It can be resolved into constituent peaks at ~880, 960, 1030, 1080, and 1150 cm−1, which are attributed to Q0, Q1, Q2, Q3, and Q4 silicate species, respectively.
Figure 4.
Raman spectra of PTR glass samples S1, S2 and S3 (480 °C for 120 min): (a) S1 sample; (b) S2 sample; (c) S3 sample; (d) vibration peak positions of samples under different treatment conditions.
The superscript denotes the number of bridging oxygen atoms per tetrahedron. The relative fractions of asymmetric stretching vibration of Qi (i = 0 to 4) units can be used to determine the degree of polymerization of the silica network structure [20,21]. The relative fractions of asymmetric stretching vibration of Qi (i = 0 to 4) units can be used to determine the degree of polymerization of the silica network structure. Equation (1) expresses the relationship between the degree of polymerization and the relative fractions (%) of asymmetric stretching vibration of Qi units:
where Ai is the relative fraction of the asymmetric stretching vibration of Qi units.
Figure 4d shows the calculation results of the degree of polymerization, which can be evaluated by the average number of non-bridging oxygen atoms per Si atom (NBO/Si). The higher the value of NBO/Si, the lower the degree of polymerization of the glass network structure. With the increase in UV irradiation dose, the NBO/Si ratio of all samples increases, indicating that the presence of Ag NPs increases the NBO content within the glass matrix. The NBO/Si value of sample S1 increases from 63% to 72%, and the position of the maximum intensity at 900–1200 cm−1 appears at a slightly lower wavenumber compared to the others. This spectral profile suggests a glass network with a wider distribution of Qn species and a relatively higher degree of depolymerization. The presence of carbonate anions during melting might influence the incorporation of Na+ ions as network modifiers, potentially leading to a less uniform network structure with a significant number of NBOs. In contrast, the NOB/Si value of sample S2 increases from 55% to 63%, with the maximum intensity at 900–1200 cm−1 shifted to a higher wavenumber. The use of NaNO3 instead of Na2CO3 appears to promote a more ordered local structure. The most distinct Raman spectrum is observed for sample S3. The NBO/Si value of sample S3 increases from 53% to 69%, and the main band at 900–1200 cm−1 is not only sharper but also exhibits a clear shoulder or a more resolved structure in the high-frequency region, which points to a more specific and homogeneous local environment for the silicate units. The spectral features suggest that the combination of nitrate-based precursors for both silver and sodium fosters the formation of a more chemically ordered and tightly cross-linked network. The high mobility of Ag+ from AgNO3, combined with the uniform ionic environment provided by NaNO3, likely facilitates a more efficient charge balancing and a more regular arrangement of network modifiers around the [SiO4] tetrahedra. This results in a reduction in the structural disorder, which is manifested as sharper peaks in the Raman spectrum.
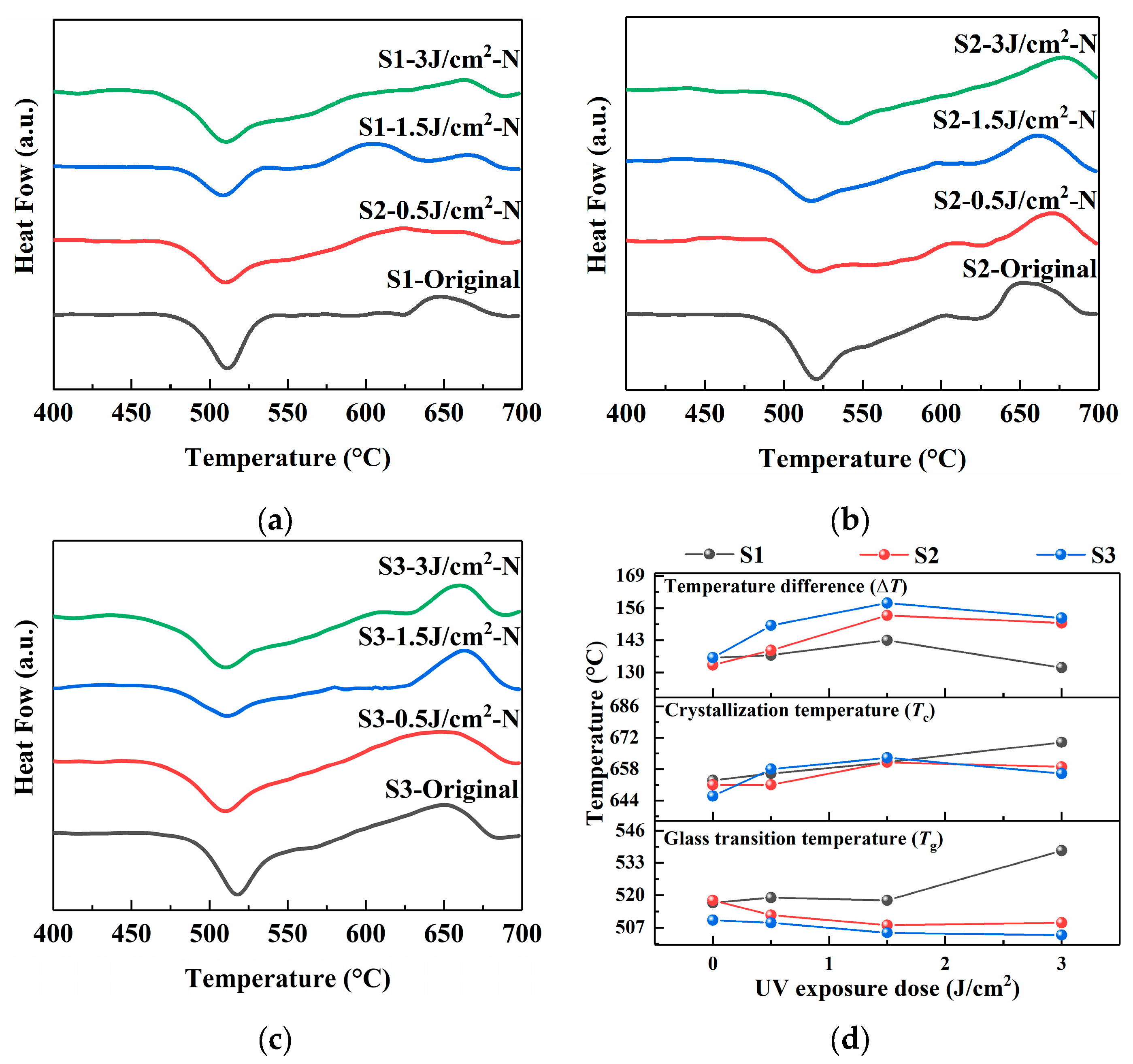
2.3. DSC Results of Analysis
Differential scanning calorimetry (DSC) was employed to investigate the crystallization behavior of the PTR glass samples, particularly focusing on the glass transition temperature (Tg), the crystallization temperature (Tc), and the temperature difference (ΔT = Tc − Tg), which is a common metric used to evaluate the thermal stability of glass against crystallization; a larger ΔT typically suggests a higher resistance to devitrification upon heating [22,23]. The DSC curves for samples S1, S2, and S3, both before and after the photo-thermo-induced nucleation treatment, are presented in Figure 5.
Figure 5.
DSC spectra of PTR glass samples before and after photo-thermo-induced nucleation (480 °C for 120 min): (a) S1 sample; (b) S2 sample; (c) S3 sample; (d) glass transition temperature, crystallization temperature, and temperature difference in samples.
The S1 sample exhibits the flattest crystallization peak curve, indicating that its crystallization occurs over a wide temperature range, which could be attributed to the modifier role of Na+ ions originating from Na2CO3. The decomposition of carbonate (CO32−) during melting, releasing CO2, might lead to a less homogeneous matrix and enhance the uncontrollability of the crystallization. This inhomogeneity could create regions with weaker network connectivity, thereby lowering the overall Tg. The ΔT value for S1 is also comparatively smaller, indicating lower thermal stability and a greater tendency for crystallization once the transition temperature is surpassed.
Replacing the sodium source with NaNO3 in the S2 sample results in a noticeable crystallization peak compared to the S1 sample. This shift suggests the formation of a more polymerized and thermally stable glass network. The nitrate anion likely allows for a more uniform incorporation of network modifiers during melting, leading to a stronger and more cohesive structure that requires more energy to undergo the glass transition and subsequent crystallization. Consequently, the ΔT value for S2 is larger than that of S1, reflecting enhanced thermal stability.
Sample S3 demonstrates the lowest Tg value for the untreated glass, which can be rationalized by the high mobility and reactivity of Ag+ ions from AgNO3, which may facilitate a more efficient and homogeneous mixing of components during melting, promoting the formation of a highly cross-linked network. The Tc for S3 is also distinct, and the resulting ΔT is the largest, highlighting the superior thermal stability of this glass composition. This stability is crucial for controlling the crystallization process during subsequent heat treatments, as it provides a wider processing window.
2.4. SEM Results of Analysis
SEM technology was utilized to directly observe the microstructural evolution of the PTR glass samples, which received different doses of ultraviolet radiation and the two-step heat treatment at 480 °C for 120 min and 520 °C for 120 min, specifically focusing on the crystallization behavior induced by the photo-thermo treatment. The micrographs for samples S1, S2, and S3 after the photo-thermo-induced crystallization treatment are presented in Figure 6.
Figure 6.
SEM image and particle size analysis of PTR glass samples S1, S2 and S3 after photo-thermo-induced crystallization (480 °C for 120 min; 520 °C for 120 min): (a) S1, 0.5 J/cm2; (b) S1, 1.5 J/cm2; (c) S1, 3 J/cm2; (d) S2, 0.5 J/cm2; (e) S2, 1.5 J/cm2; (f) S2, 3 J/cm2; (g) S3, 0.5 J/cm2; (h) S3, 1.5 J/cm2; (i) S3, 3 J/cm2.
A comparative and particle size analysis of the SEM images reveals striking differences in the microstructure among the S1, S2 and S3 samples, which directly correlate with the thermal and spectral behaviors observed in the DSC analyses. The SEM micrograph of sample S1 in Figure 6a–c shows a microstructure with relatively sparse and non-uniformly distributed crystalline phases. The precipitated particles appear larger in size but lower in number density compared to the other samples. The corresponding grain size decreases from 260.8 nm to 166.9 nm with the increasing UV irradiation dose. This observation aligns with the DSC results, which indicated lower thermal stability for S1, and the UV-Vis spectra, which suggested a lower concentration of silver nanoparticles (Ag NPs) acting as effective nucleation sites. The inhomogeneity can be attributed to the decomposition of Na2CO3 during melting. The release of CO2 gas likely creates localized disturbances in the glass melt, leading to an uneven distribution of components. This inhomogeneous matrix subsequently results in a less effective and non-uniform phase separation process, ultimately yielding a coarse and poorly distributed crystalline phase after heat treatment [24,25].
As depicted in Figure 6c,d, replacing the sodium source with NaNO3 in sample S2 leads to a significant improvement in microstructure. The SEM image reveals a much finer and more homogeneous distribution of crystals. The particle size is noticeably smaller, and the number density is higher, indicating a more effective nucleation process. This refinement in microstructure is consistent with the higher thermal stability (larger ΔT) observed in the DSC analysis for S2. The use of NaNO3 promotes a more uniform glass network during melting, as suggested by the FTIR data. This uniformity allows for a more controlled and widespread phase separation in the fluorine-rich regions, facilitated by the Ag NPs formed from the Ag2O precursor.
The combination of AgNO3 and NaNO3 (S3) yields the most optimal microstructure among the three samples. As shown in Figure 6g–i, the SEM image displays a very dense, uniform, and nanoscale distribution of crystalline precipitates. The crystals are exceptionally fine and homogeneously dispersed throughout the glass matrix. The grain size reaches 86.1 nm at the UV irradiation dose of 3 J/cm2. In terms of uniformity, as the UV irradiation dose increases, the standard deviation σ of all samples significantly decreases. The σ value of sample S3 decreases to 26.2 nm at an irradiation dose of 3 J/cm2, which is significantly better than that of samples S1 and S2. This microstructure is a direct consequence of the highly effective nucleation process dictated by this specific precursor pair. As inferred from the UV-Vis and FTIR analyses, the Ag+ ions from AgNO3 exhibit superior mobility and dispersibility, leading to the formation of a high density of uniformly distributed Ag NPs upon UV exposure and thermal treatment. These Ag NPs act as highly efficient nucleation sites for the subsequent precipitation of NaF crystals. The nitrate environment from both precursors ensures a homogeneous melt, enabling a uniform phase separation process that is critical for achieving such a fine and regular microstructure.
3. Discussion
The structural characteristics of photo-thermo-refractive (PTR) glass, particularly its network configuration and atomic-scale environment, are fundamentally governed by the chemical forms of the raw materials used in its preparation. This investigation systematically elucidates how different combinations of silver precursors (Ag2O and AgNO3) and sodium salts (Na2CO3 and NaNO3) dictate the network structural and micromorphological evolution of the glass.
The nucleation and crystallization processes in photo-thermo-refractive (PTR) glass are critically dependent on the initial stages of silver nanoparticle (Ag NP) formation and the subsequent phase separation, both of which are profoundly influenced by the choice of silver precursors and sodium salts. This work analyzes their combined effects on the crystallization kinetics and the final microstructure. The UV-Vis absorption spectra provide direct evidence of the initial photochemical reduction process that seeds the nucleation. For samples containing AgNO3 (S3), the absorbance increase in the 250–300 nm range after UV exposure is significantly higher than in samples with Ag2O (S1 and S2) at the same dose. This indicates that AgNO3 provides silver ions (Ag+) with superior photoreactivity and dispersibility within the glass network. These highly mobile Ag+ ions are more efficiently reduced to neutral silver atoms (Ag0) and subsequently form a high density of small silver clusters, which serve as the primary nucleation sites. Following thermal treatment, the intensity of the surface plasmon resonance (SPR) peak, indicative of Ag NP growth, is highest for sample S3, confirming the most effective nucleation process.
The observation of TEM images and fitting results by Mie theory based on the absorption spectrum indicate that, for the S1 sample, the concentration of the final formed Ag NPs is much lower than that of the S2 and S3 samples, which may be due to the release of CO2 during the decomposition of Na2CO3, resulting in a slight non-uniformity within the glass matrix and weakening of the formation kinetics of Ag NPs. Additionally, the position of the SPR absorption peak shifts slightly towards the shorter wavelength direction, suggesting a possible reduction in the AgBr shell thickness. For S2 and S3 samples, their absorption spectra are basically the same within the UV irradiation dose range of 1.5 J/cm2. As the UV irradiation dose increases to 3 J/cm2, the SPR absorption peak of S3 is slightly higher, indicating that it can form the most Ag NPs. The oxidative decomposition products of NO3+ may, to some extent, inhibit the excessive aggregation of Ag+, which is beneficial for the formation of more uniform and higher-density nanoparticles.
The FTIR and Raman analyses provide critical insights into the modifications of the silicate network. The key finding is that the extent of spectral shift in these primary bands after photothermal treatment varies significantly with the precursor combination. The sample formulated with AgNO3 and NaNO3 (S3) demonstrates the most pronounced shift in the Si-O-Si stretching vibration. This indicates a substantial modification of the network connectivity and a higher degree of structural rearrangement, attributable to the high mobility of Ag+ ions from the nitrate precursor and the homogeneous ionic environment provided by NaNO3. In contrast, the sample containing Na2CO3 (S1) shows relatively subtle changes, suggesting that the release of CO2 during melting introduces network inhomogeneities that restrict uniform structural evolution.
The ultimate manifestation of these nucleation differences is observed in the microstructure. The SEM images provide direct visual evidence of the crystallization outcomes. Sample S3 (AgNO3/NaNO3) displays a dense, uniform, and nanoscale distribution of NaF crystals. This fine-grained, homogeneous microstructure is the direct result of a high density of effective nucleation sites provided by the uniformly distributed Ag NPs. In stark contrast, sample S1 (Ag2O/Na2CO3) shows a coarse microstructure with sparse, non-uniformly distributed crystals. The decomposition of Na2CO3 introduces inhomogeneity, leading to an uneven distribution of fluorine-rich regions and Ag nucleation sites, which in turn results in ineffective nucleation and abnormal crystal growth. The combined effect is clearly demonstrated: the combination of AgNO3 and NaNO3 creates an ideal ionic and structural environment for generating a high density of nucleation sites, leading to a uniform nanocrystalline structure that is essential for high-quality refractive index modulation. In contrast, the use of carbonate-based precursors introduces inhomogeneity, resulting in a coarse microstructure. These findings solidify the understanding that precursor selection is not merely a matter of chemical composition but is a critical factor in controlling the fundamental nucleation and growth kinetics in functional glasses.
In addition, the Raman spectrum of the S3 sample using the AgNO3 and NaNO3 combination shows an increase in the NBO/Si ratio after UV heat treatment, which indicates network depolymerization, while DSC data show that the sample has the lowest initial glass transition temperature (Tg) and the highest thermal stability (ΔT). This surface contradiction reveals the core finding of this study: for PTR glass, its thermal stability and crystallization kinetics are not solely dominated by the traditional network polymerization degree but are mainly governed by the matrix uniformity and nucleation efficiency regulated by precursor chemistry. The combined effect of AgNO3 and NaNO3 creates a highly uniform and chemically ordered glass network. This uniformity leads to high mobility of Ag+ ions, forming a matrix with good fluidity and few structural defects, resulting in a lower initial Tg. More importantly, this uniform environment, combined with the high-density and uniformly distributed silver nanoparticles (Ag NPs) produced by AgNO3, achieves efficient and controlled bulk nucleation. This significantly suppresses random heterogeneous nucleation, pushing the main crystallization process towards higher temperatures, resulting in a larger ΔT on the basis of lower Tg, i.e., a wider thermal processing window and better thermal stability. Therefore, the synergistic mechanism between AgNO3 and NaNO3 lies in decoupling the control of Tg, which is affected by initial uniformity and ion mobility, from the control of crystallization resistance ΔT by constructing a uniform matrix and optimizing the distribution of nucleating agents.
The combined mechanism of AgNO3 and NaNO can be summarized as follows: The AgNO3 precursor provides highly mobile Ag+ ions that ensure a uniform and high-density formation of Ag0 atoms and clusters upon UV exposure. Concurrently, the NaNO3 salt creates a homogeneous ionic environment that facilitates a uniform phase separation process in the fluorine/bromine-rich regions. The nitrate anions from both precursors decompose cleanly, promoting a homogeneous melt. This synergy between the silver aggregation process and the sodium-provided matrix enables controlled and widespread nucleation, leading to the optimal nanocrystalline microstructure essential for high-efficiency refractive index modulation, which goes beyond the classic structure–performance relationship and provides a key scientific basis for designing PTR glasses with controllable crystallization behavior and excellent optical properties.
4. Materials and Methods
4.1. Composition and Preparation of PTR Glass
In this study, we synthesized PTR glass samples based on the SiO2-Na2O-Al2O3-ZnO-NaF system. The glasses of different compositions from high-purity chemicals were melted in a 1.0 L platinum crucible at 1450 °C for 6.5 h in an electrical furnace in air, while being stirred to remove bubbles and stripes and achieve homogenization. After melting, homogenizing and fining, the glass was cooled to the glass transition temperature (Tg, 470 °C), then annealed at Tg for 4 h, and cooled to room temperature at a rate of 5 °C/h. Polished glass samples of 30 × 25 × 2.5 mm were prepared from each melt.
Three different PTR glass compositions, designated as S1, S2, and S3, were designed and prepared for this study. The compositions, presented in Table 1, were based on the Si–Na–Al–Zn system and contained essential dopants such as Ce, Ag, F, and Br. The key variables in this study were the chemical forms of the sodium source and the silver precursor. The primary objective of the composition design was to investigate the individual and combined effects of these precursors on the glass network and crystallization behavior while keeping the total molar amounts of Na2O and Ag2O constant. Specifically, Sample S1 used NaNO3 and Ag2O as the sodium and silver sources, respectively. Sample S2 replaced NaNO3 with Na2CO3 while keeping Ag2O unchanged, aiming to elucidate the influence of the sodium salt anion on the melting process and initial glass structure. Sample S3, compared to Sample S2, replaced Ag2O with AgNO3 while maintaining NaNO3 to isolate the effect of the silver precursor (oxide vs. nitrate) on silver ion incorporation and subsequent behavior. The molar percentages of all other components (SiO2, H3BO3, ZnO, Al2O3, KBr, NaF, CeO2, SnO2, Sb2O3) were identical across all three samples.
Table 1.
Molar compositions (mol%) of the prepared PTR glass samples.
4.2. Measurement Methods
4.2.1. DSC Measurements
A differential scanning calorimeter (DSC, NETZSCH 404F3, Selb, Germany) was used to analyze the thermodynamic parameters of PTR glass samples [19,26,27]. The quality of the test samples was 15 mg. They were heated at a heating rate of 10K/min. The thermal spectrum up to 650 °C was measured in the experiment. The temperature accuracy measured by DSC in this work was ±0.1 °C, and the enthalpy accuracy was ±1%. The bending positions of the endothermic peak and exothermic peak in the spectrum were determined and marked as the corresponding characteristic temperature points. It should be pointed out that in the DSC curve of this study, upward represents an endothermic event and downward represents an exothermic event.
4.2.2. Absorption Spectrum Measurements
A Lambda 750 UV/VIS spectrophotometer (PerkinElmer, Waltham, MA, USA) was used to analyze the absorbance of PTR glass samples in the range of 200 to 800 nm [28,29]. Each sample was re-polished before testing to eliminate any effects of surface pollution or crystallization. The measurement standard was absorption A = log10(1/T), where T equals transmission. Only those values with an absorbance of less than 2 were considered effective values to assure measurement accuracy.
4.2.3. SEM and TEM Measurements
A Sigma-300 scanning electron microscope (ZEISS, Oberkochen, Germany) was used to observe the morphology of the NaF crystals in PTR glass, which has a resolution of 1 nm. In order to clearly observe the morphology of crystals, it is necessary to remove the surface SiO2 glass matrix with hydrofluoric acid (HF). Therefore, the samples used for SEM testing were etched at 2% HF for 2 min. The size of the NaF crystal varies depending on the treatment processes, ranging from ten nanometers to several microns.
A Tecnai G2 F20 S-Twin 200 kV high-resolution TEM (Philips, Amsterdam, The Netherlands) was used to observe the microscopic morphology of the samples [9,12,14]. Before the TEM test, the PTR glass samples were ground into powder and distributed in anhydrous ethanol after resting, and the supernatant was taken and ultrasonically dispersed in a centrifuge tube. The uniformly dispersed solution was then dropped onto a copper mesh covered with a carbon film.
4.2.4. FTIR and Raman Measurements
The characterization of the silica network structure of the PTR glass was investigated using Nicolet iS50 Fourier transform infrared spectroscopy (Themofisher, Waltham, MA, USA) and Raman spectroscopy (Renishaw, Gloucestershire, UK) [17,30,31]. The mixture of 2.0 mg PTR glass powder and 200 mg KBr powder was pressed into thin sections for the FTIR measurement, and the infrared spectra ranged from 400 cm−1 to 1400 cm−1 with the accuracy of 0.1 cm−1. The Raman spectrum measurement was carried out in the Raman shift range from 400 cm−1 to 1300 cm−1 at a step of 0.1 cm−1 with the excitation wavelength of 532 nm.
4.2.5. Particle Size Analysis
Particle size analysis of the precipitated NaF grains was performed using Image J 1.6.0 software on SEM images [13]. The area of each grain was converted to equivalent diameters using the formula D = (4A/π)1/2. The average particle size was calculated using the mean diameter d, and the standard deviation σ was computed to assess size variability. Results were reported in micrometers, with a histogram generated to visualize the particle size distribution, providing a reliable measure of NaF grain characteristics.
5. Conclusions
This work demonstrates that the functional properties of PTR glasses are not solely determined by their overall chemical composition but are profoundly shaped by the specific chemical forms of the precursors used. The combined effect of AgNO3 and NaNO3 emerges as a critical factor in designing high-performance PTR glasses with stable network structures, enhanced thermal stability, and optimal nanocrystalline microstructures for advanced optical applications such as volume Bragg gratings and diffractive optical elements. These insights provide a scientific basis for the precise composition design and performance optimization of this important class of functional materials.
Author Contributions
B.X.: Writing—original draft, Resources. Z.G.: Investigation, Writing—review and editing. Q.L.: Formal analysis. H.W.: Formal analysis. C.L.: Writing—review and editing. X.Z.: Supervision. X.Y.: Conceptualization, Methodology. All authors have read and agreed to the published version of the manuscript.
Funding
This work is supported by the National Key R&D Program of China (2022YFB3606100).
Institutional Review Board Statement
Not applicable.
Informed Consent Statement
Not applicable.
Data Availability Statement
The data are available on request.
Conflicts of Interest
We declare that we have no financial, personal, or professional interests that could be perceived as a conflict of interest in relation to the subject matter of this paper. We confirm that we have disclosed all relevant interests to ensure transparency and integrity in this work.
Abbreviations
The following abbreviations are used in this manuscript:
| PTR | Photo-thermo-refractive glass |
| SPR | Surface plasmon resonance |
References
- Lumeau, J.; Zanotto, E.D. A review of the photo-thermal mechanism and crystallization of photo-thermo-refractive (PTR) glass. Int. Mater. Rev. 2017, 62, 348–366. [Google Scholar] [CrossRef]
- Cardinal, T.; Efimov, O.M.; Francois-Saint-Cyr, H.G.; Glebov, L.; Glebova, L.; Smirnov, V. Comparative study of photo-induced variations of X-ray diffraction and refractive index in photo-thermo-refractive glass. J. Non-Cryst. Solids 2003, 325, 275–281. [Google Scholar] [CrossRef]
- Souza, G.P.; Fokin, V.M.; Rodrigues, C.F.; Rodrigues, A.C.M.; Zanotto, E.D.; Lumeau, J.; Glebova, L.; Glebov, L.B. Liquid-Liquid Phase Separation in Photo-Thermo-Refractive Glass. J. Am. Ceram. Soc. 2011, 94, 145–150. [Google Scholar] [CrossRef]
- Li, Q.N.; Xiong, B.X.; Ge, Z.Y.; Zhang, X.; Yuan, X. Influence of ZnO content on liquid-liquid phase separation in photothermal refractive glass. J. Non-Cryst. Solids 2025, 648, 123306. [Google Scholar] [CrossRef]
- Souza, G.P.; Fokin, V.M.; Baptista, C.A.; Zanotto, E.D.; Lumeau, J.; Glebova, L.; Glebov, L.B. Effect of Bromine on NaF Crystallization in Photo-Thermo-Refractive Glass. J. Am. Ceram. Soc. 2011, 94, 2906–2911. [Google Scholar] [CrossRef]
- Sidorov, A.I.; Nikonorov, N.V.; Ignatiev, A.I.; Nemilov, S. The effect of UV irradiation and thermal treatments on structural properties of silver-containing photo-thermo-refractive glasses: Studies by Raman spectroscopy. Opt. Mater. 2019, 98, 109422. [Google Scholar] [CrossRef]
- Klyukin, D.A.; Dubrovin, V.D.; Pshenova, A.S.; Putilin, S.E.; Shakhverdov, T.A.; Tsypkin, A.N.; Nikonorov, N.V.; Sidorov, A.I. Formation of luminescent and nonluminescent silver nanoparticles in silicate glasses by near-infrared femtosecond laser pulses and subsequent thermal treatment: The role of halogenides. Opt. Eng. 2016, 55, 067101. [Google Scholar] [CrossRef]
- Dubrovin, V.D.; Ignatiev, A.I.; Nikonorov, N.V.; Sidorov, A.I.; Shakhverdov, T.A.; Agafonova, D.S. Luminescence of silver molecular clusters in photo-thermo-refractive glasses. Opt. Mater. 2014, 36, 753–759. [Google Scholar] [CrossRef]
- Sgibnev, Y.; Asamoah, B.; Nikonorov, N.; Honkanen, S. Tunable photoluminescence of silver molecular clusters formed in Na+-Ag+ ion-exchanged antimony-doped photo-thermo-refractive glass matrix. J. Lumin. 2020, 226, 117411. [Google Scholar] [CrossRef]
- Simo, A.; Polte, J.; Pfander, N.; Vainio, U.; Emmerling, F.; Rademann, K. Formation Mechanism of Silver Nanoparticles Stabilized in Glassy Matrices. J. Am. Chem. Soc. 2012, 134, 18824–18833. [Google Scholar] [CrossRef]
- Sergei, I.; Maxim, S.; Darya, K.; Nikolay, N.; Demid, K.; Nashchekin, A. Blue shift of the plasmon resonance in fluoride photo-thermo-refractive glass. Opt. Mater. Express 2018, 8, 2734. [Google Scholar] [CrossRef]
- Ge, Z.; Xiong, B.; Zhang, X.; Yuan, X. Evolution of microstructure and spectral characteristics of silver nanoparticles in photo-thermo-refractive glass. J. Non-Cryst. Solids 2024, 640, 123113. [Google Scholar] [CrossRef]
- Shestakov, M.V.; Meledina, M.; Turner, S.; Tikhomirov, V.K.; Verellen, N.; Rodríguez, V.D.; Velázquez, J.J.; Van Tendeloo, G.; Moshchalkov, V.V. The size and structure of Ag particles responsible for surface plasmon effects and luminescence in Ag homogeneously doped bulk glass. J. Appl. Phys. 2013, 114, 073102. [Google Scholar] [CrossRef]
- Thomas, S.; Nair, S.K.; Jamal, E.M.A.; Al-Harthi, S.H.; Varma, M.R.; Anantharaman, M.R. Size-dependent surface plasmon resonance in silver silica nanocomposites. Nanotechnology 2008, 19, 075710. [Google Scholar] [CrossRef]
- Podlipensky, A.; Abdolvand, A.; Seifert, G.; Graener, H. Femtosecond laser assisted production of dichroitic 3D structures in composite glass containing Ag nanoparticles. Appl. Phys. A-Mater. Sci. Process. 2005, 80, 1647–1652. [Google Scholar] [CrossRef]
- Ge, Z.Y.; Xiong, B.X.; Chen, X.P.; Mo, D.; Zhang, X.; Yuan, X. Effect of the SiO2/Na2O ratios on the structure and crystallization properties of photo-thermo-refractive glass. Ceram. Int. 2023, 49, 39059–39069. [Google Scholar] [CrossRef]
- He, Y.; Shen, X.; Jiang, Y.; Lu, A. Effects of Li2O replacing Na2O on glass forming, structure and properties of Na2O–MgO–Al2O3–SiO2 glass and glass-ceramics. Mater. Chem. Phys. 2021, 258, 123865. [Google Scholar] [CrossRef]
- Ji, C.J.; Li, L.Y.; Gao, W.K.; Wang, J.; Han, J. Influence of Al2O3/SiO2 ratio in multicomponent LNAS glasses and glass-ceramics on the crystallization behavior, microstructure and mechanical performance. Ceram. Int. 2023, 49, 10652–10662. [Google Scholar] [CrossRef]
- Mohaghegh, E.; Nemati, A.; Eftekhari Yekta, B.; Banijamali, S.; Rezaei, F. Influence of Fe2O3 on non-isothermal crystallization kinetics and microstructure of lithium titanium phosphate glass-ceramics. J. Non-Cryst. Solids 2015, 408, 130–136. [Google Scholar] [CrossRef]
- Leadbetter, A.J.; Wright, A.C. Diffraction studies of glass structure I. Theory and quasi-crystalline model. J. Non-Cryst. Solids 1972, 7, 23–36. [Google Scholar] [CrossRef]
- Li, Z.; Ma, G.J.; Zheng, D.L.; Zhang, X.; Muvunyi, R.A. Effect of ZnO on the crystallization behavior and properties of SiO2-CaO-Al2O3-Fe2O3 glass-ceramics prepared from simulated secondary slag after reduction of copper slag. Ceram. Int. 2022, 48, 21245–21257. [Google Scholar] [CrossRef]
- Niu, J.H.; Meng, S.H.; Jin, H.; Li, J.; Yi, F.; Zhou, Y. Thermal stability and nanostructure evolution of amorphous SiCN ceramics during laser ablation in an argon atmosphere. J. Eur. Ceram. Soc. 2019, 39, 4535–4544. [Google Scholar] [CrossRef]
- Klyukin, D.; Ivanov, S.; Krykova, V.; Silvennoinen, M.; Svirko, Y.; Nikonorov, N. Thermal stability of volume Bragg gratings in chloride photo-thermo-refractive glass after femtosecond laser bleaching. Opt. Lett. 2018, 43, 1083–1086. [Google Scholar] [CrossRef] [PubMed]
- Zhu, Z.Y.; He, D.B.; Hu, L.L. Effect of ultraviolet exposure and thermal treatment on NaF micro-crystallization mechanism in photo-thermo-refractive glasses. J. Non-Cryst. Solids 2023, 621, 122632. [Google Scholar] [CrossRef]
- Souza, G.P.; Fokin, V.M.; Zanotto, E.D.; Lumeau, J.; Glebova, L.; Glebov, L.B. Micro and nanostructures in partially crystallised photothermorefractive glass. Phys. Chem. Glas.-Eur. J. Glass Sci. Technol. Part B 2009, 50, 311–320. [Google Scholar]
- Zhao, T.; Wei, K.M.; Gao, Z.Y.; Li, B.W.; Cang, D.Q. The Study on Crystallization Kinetics of Glass-Ceramics Containing Rare-Earth Tailings by DSC. Adv. Mater. Res. 2011, 199–200, 1741–1746. [Google Scholar] [CrossRef]
- Henderson, D.W. Thermal analysis of non-isothermal crystallization kinetics in glass forming liquids. J. Non-Cryst. Solids 1979, 30, 301–315. [Google Scholar] [CrossRef]
- Ignat’ev, A.I.; Nikonorov, N.V.; Sidorov, A.I.; Shakhverdov, T.A. Influence of UV irradiation and heat treatment on the luminescence of molecular silver clusters in photo-thermo-refractive glasses. Opt. Spectrosc. 2013, 114, 769–774. [Google Scholar] [CrossRef]
- Lumeau, J.; Glebova, L.; Glebov, L.B. Near-IR absorption in high-purity photothermorefractive glass and holographic optical elements: Measurement and application for high-energy lasers. Appl. Opt. 2011, 50, 5905–5911. [Google Scholar] [CrossRef]
- Wang, Z.J.; Sun, Y.Q.; Sridhar, S.; Zhang, M.; Guo, M.; Zhang, Z. Effect of Al2O3 on the Viscosity and Structure of CaO-SiO2-MgO-Al2O3-FetO Slags. Metall. Mater. Trans. B 2015, 46, 537–541. [Google Scholar] [CrossRef]
- Wang, Z.J.; Shu, Q.F.; Sridhar, S.; Zhang, M.; Guo, M.; Zhang, Z.T. Effect of P2O5 and FetO on the Viscosity and Slag Structure in Steelmaking Slags. Metall. Mater. Trans. B 2015, 46, 758–765. [Google Scholar] [CrossRef]
Disclaimer/Publisher’s Note: The statements, opinions and data contained in all publications are solely those of the individual author(s) and contributor(s) and not of MDPI and/or the editor(s). MDPI and/or the editor(s) disclaim responsibility for any injury to people or property resulting from any ideas, methods, instructions or products referred to in the content. |
© 2026 by the authors. Licensee MDPI, Basel, Switzerland. This article is an open access article distributed under the terms and conditions of the Creative Commons Attribution (CC BY) license.





