Recombinant G-CSF-ApoAI Fusion Protein Is a Pleiotropic Factor
Abstract
1. Introduction
2. Results
2.1. Creation of the Recombinant P. pastoris Strain Capable of Producing rhG-CSF-ApoA-I
2.2. Analysis of the Biological Activity of G-CSF-ApoAI
2.2.1. Flow Cytometry Analysis of Human Bone Marrow Cells
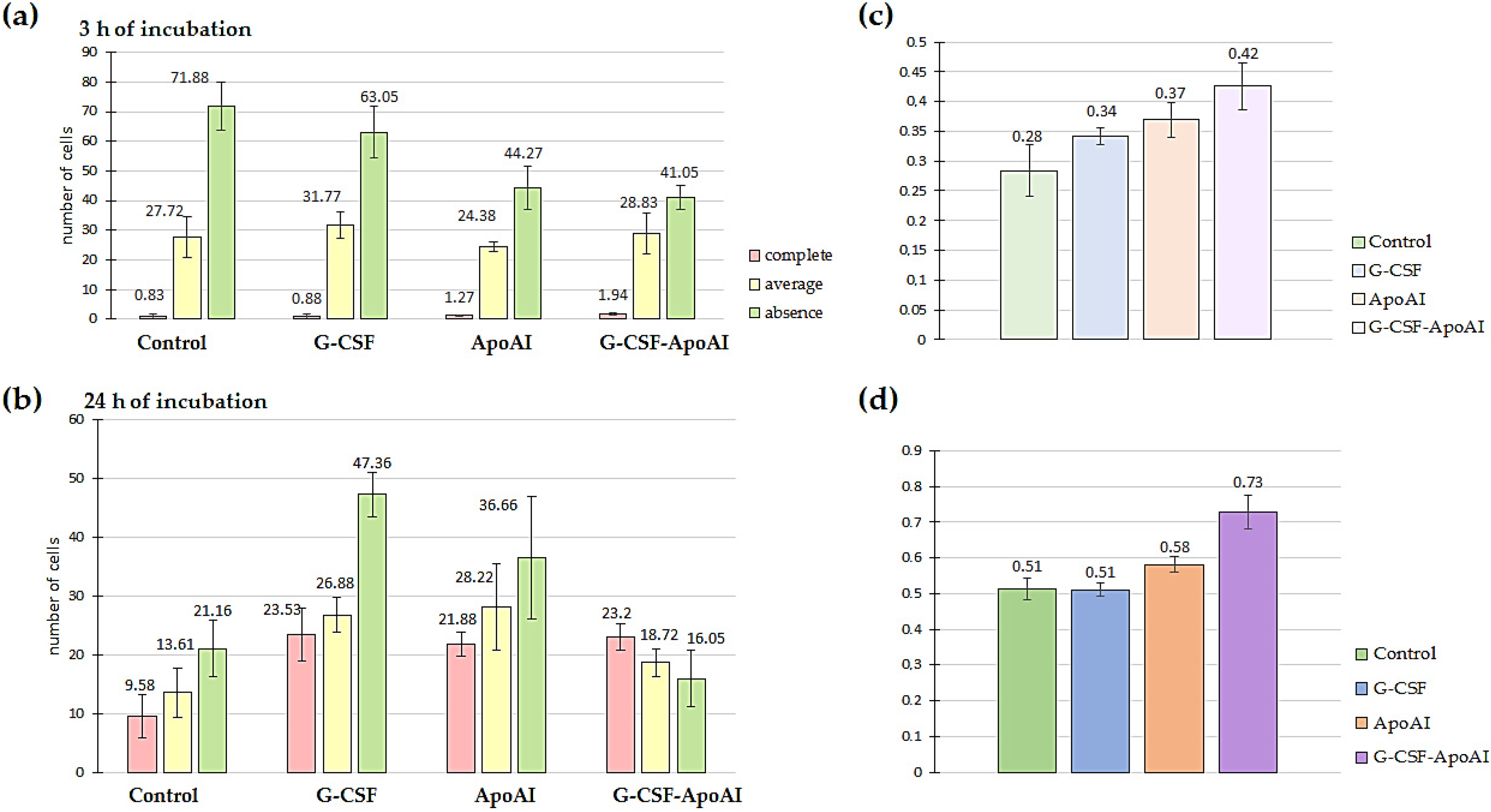
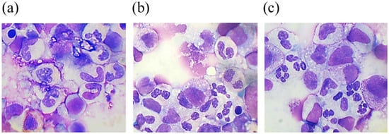
2.2.2. Analysis of the Cellular Composition of the Granulocyte Series of Human BMC Treated with G-CSF and G-CSF-ApoAI
2.2.3. Study of the Proliferative Activity of Human BMCs Treated with G-CSF and G-CSF-ApoAI
2.2.4. Study of the Monocyte-Stimulating Activity of G-CSF-ApoAI on Human MNCs
2.2.5. Study of the Monocyte-Stimulating Activity of G-CSF-ApoAI the THP-1 Cell Line
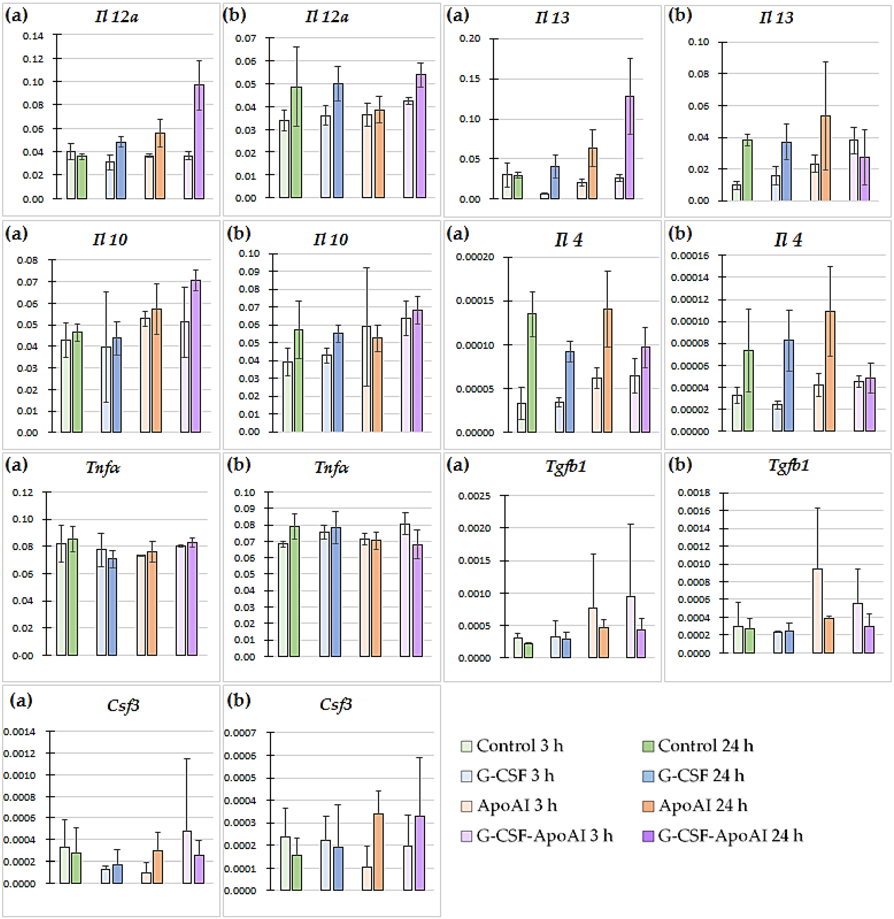
2.2.6. The Effect of Recombinant Proteins on Cytokine Expression and Phagocytic Activity of Mouse Bone Marrow Cells
Evaluation of the Expression Level of Proinflammatory and Inflammatory Cytokines
Evaluation of Phagocytic Activity of Mouse Bone Marrow Cells
3. Discussion
4. Materials and Methods
4.1. Materials
Recombinant Proteins
4.2. Methods
4.2.1. Development of P. pastoris Strain Producing the Chimeric Protein G-CSF-ApoAI
4.2.2. Bone Marrow Cell Isolation and Culture
4.2.3. Isolation of Mononuclear Cells
4.2.4. Culturing of THP Cell Line
4.2.5. Flow Cytometry
4.2.6. Myelography
4.2.7. Cytokine Expression
4.2.8. Assessment of Phagocytic Activity
4.2.9. Statistics
5. Conclusions
6. Limitation of the Study
Supplementary Materials
Author Contributions
Funding
Institutional Review Board Statement
Informed Consent Statement
Data Availability Statement
Acknowledgments
Conflicts of Interest
References
- Huang, H.; Zhang, Q.; Liu, J.; Hao, H.; Jiang, C.; Han, W. Granulocyte-Colony Stimulating Factor (G-CSF) Accelerates Wound Healing in Hemorrhagic Shock Rats by Enhancing Angiogenesis and Attenuating Apoptosis. Med. Sci. Monit. 2017, 23, 2644–2653. [Google Scholar] [CrossRef] [PubMed]
- Moghadam, S.S.; Aghmiyuni, Z.F.; Mohammad, N.; Anissian, A.; Azimi, M.; Majidpour, A.; Nasirinezhad, F.; Roham, M. Histological Survey of the Effect of Granulocyte-colony-stimulating Factor (G-CSF) on Bacterial Translocation and Wound Healing in Burned Mice. Trauma Res. 2019, 8, 149–154. [Google Scholar]
- Huang, J.; Sati, S.; Murphy, C.; Spencer, C.A.; Rapp, E.; Prouty, S.M.; Korte, S.; Ahart, O.; Sheng, E.; Jones, P.; et al. Granulocyte colony stimulating factor promotes scarless tissue regeneration. Cell Rep. 2024, 43, 114742. [Google Scholar] [CrossRef]
- Gough, A.; Clapperton, M.; Rolando, N.; Foster, A.V.; Philpott-Howard, J.; Edmonds, M.E. Randomised placebo-controlled trial of granulocyte-colony stimulating factor in diabetic foot infection. Lancet 1997, 350, 855–859. [Google Scholar] [CrossRef]
- de Lalla, F.; Pellizzer, G.; Strazzabosco, M.; Martini, Z.; Du Jardin, G.; Lora, L.; Fabris, P.; Benedetti, P.; Erle, G. Randomized prospective controlled trial of recombinant granulocyte colony-stimulating factor as adjunctive therapy for limb-threatening diabetic foot infection. Antimicrob. Agents Chemother. 2001, 45, 1094–1098. [Google Scholar] [CrossRef]
- Smith, J.; Rai, V. Novel Factors Regulating Proliferation, Migration, and Differentiation of Fibroblasts, Keratinocytes, and Vascular Smooth Muscle Cells during Wound Healing. Biomedicines 2024, 12, 1939. [Google Scholar] [CrossRef] [PubMed]
- Hartung, T. Anti-inflammatory effects of granulocyte colony stimulating factor. Curr. Opin. Hematol. 1998, 5, 221–225. [Google Scholar] [CrossRef]
- Nawa, Y.; Teshima, T.; Sunami, K.; Hiramatsu, Y.; Maeda, Y.; Yano, T.; Shinagawa, K.; Ishimaru, F.; Omoto, E.; Harada, M. G-CSF reduces IFN- and IL-4 production by T cells after allogeneic stimulation by indirectly modulating monocyte function. Bone Marrow Transplant. 2000, 25, 1035. [Google Scholar] [CrossRef][Green Version]
- Saito, M.; Kiyokawa, N.; Taguchi, T.; Suzuki, K.; Sekino, T.; Mimori, K.; Suzuki, T.; Nakajima, H.; Katagiri, Y.U.; Fujimura, J.; et al. Granulocyte colony-stimulating factor directly affects human monocytes and modulates cytokine secretion. Exp. Hematol. 2002, 30, 1115–1123. [Google Scholar] [CrossRef]
- Huang, Y.S.; Wen, X.F.; Yang, Z.Y.; Wu, Y.L.; Lu, Y.; Zhou, L.F. Development and characterization of a novel fusion protein of a mutated granulocyte colony-stimulating factor and human serum albumin in Pichia pastoris. PLoS ONE 2014, 9, e115840. [Google Scholar] [CrossRef] [PubMed]
- Nikravesh, F.Y.; Shirkhani, S.; Bayat, E.; Talebkhan, Y.; Mirabzadeh, E.; Sabzalinejad, M.; Aliabadi, H.A.M.; Nematollahi, L.; Ardakani, Y.H.; Sardari, S. Extension of human GCSF serum half-life by the fusion of albumin binding domain. Sci. Rep. 2022, 12, 667. [Google Scholar] [CrossRef] [PubMed]
- Bai, Y.; Ann, D.K.; Shen, W.C. Recombinant granulocyte colony stimulating factor-transferrin fusion protein as an oral myelopoietic agent. Proc. Natl. Acad. Sci. USA 2005, 102, 7292–7296. [Google Scholar] [CrossRef]
- Cox, G.N.; Smith, D.J.; Carlson, S.J.; Bendele, A.M.; Chlipala, E.A.; Doherty, D.H. Enhanced circulating half-life and hematopoietic properties of a human granulocyte colony-stimulating factor/immunoglobulin fusion protein. Exp. Hematol. 2004, 32, 441–449. [Google Scholar] [CrossRef] [PubMed]
- Do, B.H.; Kang, H.J.; Song, J.A.; Nguyen, M.T.; Park, S.; Yoo, J.; Nguyen, A.N.; Kwon, G.G.; Jang, J.; Jang, M.; et al. Granulocyte colony-stimulating factor (GCSF) fused with Fc Domain produced from E. coli is less effective than Polyethylene Glycol-conjugated GCSF. Sci. Rep. 2017, 7, 6480. [Google Scholar] [CrossRef]
- De Nardo, D.; Labzin, L.I.; Kono, H.; Seki, R.; Schmidt, S.V.; Beyer, M.; Xu, D.; Zimmer, S.; Lahrmann, C.; Schildberg, F.A.; et al. High-density lipoprotein mediates anti-inflammatory reprogramming of macrophages via the transcriptional regulator ATF3. Nat. Immunol. 2014, 5, 152–160. [Google Scholar] [CrossRef] [PubMed]
- Trakaki, A.; Marsche, G. Current Understanding of the Immunomodulatory Activities of High-Density Lipoproteins. Biomedicines 2021, 9, 587. [Google Scholar] [CrossRef]
- González-Pecchi, V.; Valdés, S.; Pons, V.; Honorato, P.; Martinez, L.O.; Lamperti, L.; Aguayo, C.; Radojkovic, C. Apolipoprotein A-I enhances proliferation of human endothelial progenitor cells and promotes angiogenesis through the cell surface ATP synthase. Microvasc. Res. 2015, 98, 9–15. [Google Scholar] [CrossRef]
- Usynin, I.F.; Dudarev, A.N.; Gorodetskaya, A.Y.; Miroshnichenko, S.M.; Tkachenko, T.A.; Tkachenko, V.I. Apolipoprotein A-I Stimulates Cell Proliferation in Bone Marrow Cell Culture. Bull. Exp. Biol. Med. 2018, 164, 308–311. [Google Scholar] [CrossRef]
- Miroshnichenko, S.; Usynin, I.; Dudarev, A.; Nimaev, V.; Solovieva, A. Apolipoprotein A-I Supports MSCs Survival under Stress Conditions. Int. J. Mol. Sci. 2020, 21, 4062. [Google Scholar] [CrossRef]
- Fioravanti, J.; González, I.; Medina-Echeverz, J.; Larrea, E.; Ardaiz, N.; González-Aseguinolaza, G.; Prieto, J.; Berraondo, P. Anchoring interferon alpha to apolipoprotein A-I reduces hematological toxicity while enhancing immunostimulatory properties. Hepatology 2011, 53, 1864–1873. [Google Scholar] [CrossRef]
- Medina-Echeverz, J.; Vasquez, M.; Gomar, C.; Ardaiz, N.; Berraondo, P. Overexpression of apolipoprotein A-I fused to an anti-transforming growth factor beta peptide modulates the tumorigenicity and immunogenicity of mouse colon cancer cells. Cancer Immunol. Immunother. 2015, 64, 717–725. [Google Scholar] [CrossRef]
- Ardaiz, N.; Gomar, C.; Vasquez, M.; Tenesaca, S.; Fernandez-Sendin, M.; Di Trani, C.A.; Belsué, V.; Escalada, J.; Werner, U.; Tennagels, N.; et al. Insulin Fused to Apolipoprotein A-I Reduces Body Weight and Steatosis in DB/DB Mice. Front. Pharmacol. 2021, 11, 591293. [Google Scholar] [CrossRef]
- Pykhtina, M.; Miroshnichenko, S.; Romanov, V.; Grazhdantseva, A.; Kochneva, G.; Beklemishev, A. Construction of Recombinant Human GM-CSF and GM-CSF-ApoA-I Fusion Protein and Evaluation of Their Biological Activity. Pharmaceuticals 2021, 14, 459. [Google Scholar] [CrossRef]
- Miroshnichenko, S.; Pykhtina, M.; Kotliarova, A.; Chepurnov, A.; Beklemishev, A. Engineering a New IFN-ApoA-I Fusion Protein with Low Toxicity and Prolonged Action. Molecules 2023, 28, 8014. [Google Scholar] [CrossRef]
- Naseem, M.U.; Ahmed, N.; Khan, M.A.; Tahir, S.; Zafar, A.U. Production of potent long-lasting consensus interferon using albumin fusion technology in Pichia pastoris expression system. Protein Expr. Purif. 2020, 166, 105509. [Google Scholar] [CrossRef]
- Osborn, B.L.; Sekut, L.; Corcoran, M.; Poortman, C.; Sturm, B.; Chen, G.; Mather, D.; Lin, H.L.; Parry, T.J. Albutropin: A growth hormone–albumin fusion with improved pharmacokinetics and pharmacodynamics in rats and monkeys. Eur. J. Pharmacol. 2002, 456, 149–158. [Google Scholar] [CrossRef] [PubMed]
- Ma, J.; Liao, X.L.; Lou, B.; Wu, M.P. Role of apolipoprotein A-I in protecting against endotoxin toxicity. Acta Biochim. Biophys. Sin. 2004, 36, 419–424. [Google Scholar] [CrossRef]
- Biedzka-Sarek, M.; Metso, J.; Kateifides, A.; Meri, T.; Jokiranta, T.S.; Muszyński, A.; Radziejewska-Lebrecht, J.; Zannis, V.; Skurnik, M.; Jauhiainen, M. Apolipoprotein A-I exerts bactericidal activity against Yersinia enterocolitica serotype O:3. J. Biol. Chem. 2011, 286, 38211–38219. [Google Scholar] [CrossRef] [PubMed][Green Version]
- McClean, C.M.; Tobin, D.M. Macrophage form, function, and phenotype in mycobacterial infection: Lessons from tuberculosis and other diseases. Pathog. Dis. 2016, 74, ftw068. [Google Scholar] [CrossRef] [PubMed]
- Dao, D.N.; Kremer, L.; Guérardel, Y.; Molano, A.; Jacobs, W.R., Jr.; Porcelli, S.A.; Briken, V. Mycobacterium tuberculosis lipomannan induces apoptosis and interleukin-12 production in macrophages. Infect. Immun. 2004, 72, 2067–2074. [Google Scholar] [CrossRef]
- Peignier, A.; Kim, J.; Lemenze, A.; Parker, D. Monocyte-regulated interleukin 12 production drives clearance of Staphylococcus aureus. PLoS Pathog. 2024, 20, e1012648. [Google Scholar] [CrossRef] [PubMed]
- Weng, S.Y.; Wang, X.; Vijayan, S.; Tang, Y.; Kim, Y.O.; Padberg, K.; Regen, T.; Molokanova, O.; Chen, T.; Bopp, T.; et al. IL-4 Receptor Alpha Signaling through Macrophages Differentially Regulates Liver Fibrosis Progression and Reversal. eBioMedicine 2018, 29, 92–103. [Google Scholar] [CrossRef]
- Finnegan, A.; Grusby, M.J.; Kaplan, C.D.; O’Neill, S.K.; Eibel, H.; Koreny, T.; Czipri, M.; Mikecz, K.; Zhang, J. IL-4 and IL-12 regulate proteoglycan-induced arthritis through Stat-dependent mechanisms. J. Immunol. 2002, 169, 3345–3352. [Google Scholar] [CrossRef]
- Cardilo-Reis, L.; Gruber, S.; Schreier, S.M.; Drechsler, M.; Papac-Milicevic, N.; Weber, C.; Wagner, O.; Stangl, H.; Soehnlein, O.; Binder, C.J. Interleukin-13 protects from atherosclerosis and modulates plaque composition by skewing the macrophage phenotype. EMBO Mol. Med. 2012, 4, 1072–1086. [Google Scholar] [CrossRef]
- Pykhtina, M.B.; Romanov, V.P.; Miroshnichenko, S.M.; Beklemishev, A.B. Construction of a Pichia pastoris strain efficiently producing recombinant human granulocyte-colony stimulating factor (rhG-CSF) and study of its biological activity on bone marrow cells. Mol. Biol. Rep. 2020, 47, 607–620. [Google Scholar] [CrossRef] [PubMed]
- Gidez, L.I.; Miller, G.J.; Burstein, M.; Slagle, S.; Eder, H.A. Separation and quantitation of subclasses of human plasma high density lipoproteins by a simple precipitation procedure. J. Lipid Res. 1982, 23, 1206–1223. [Google Scholar] [CrossRef] [PubMed]










| Cell Maturation Phases, (%) | 24 h of Incubation | 48 h of Incubation | ||||
|---|---|---|---|---|---|---|
| Control | G-CSF | G-CSF-ApoAI | Control | G-CSF | G-CSF-ApoAI | |
| blast/promyeloblast | 8.9 ± 0.2 | 3.2 ± 0.15 | 3.2 ± 0.2 | 3.4 ± 0.2 | 3.5 ± 0.15 | 4.7 ± 0.15 |
| myelocyte | 16.1 ± 0.25 | 10.2 ± 0.25 | 8.4 ± 0.22 | 13.2 ± 0.25 | 8.8 ± 0.22 | 13.5 ± 0.25 |
| metamyelocyte | 13.4 ± 0.33 | 8.0 ± 0.22 | 7.3 ± 0.2 | 11.1 ± 0.27 | 6.6 ± 0.2 | 9.8 ± 0.2 |
| band neutrophil | 11 ± 0.5 | 5.6 ± 0.25 | 11.6 ± 0.3 | 19.1 ± 0.2 | 7.6 ± 0.2 | 6.6 ± 0.15 |
| segmented neutrophil | 21.3 ± 0.3 | 56.8 ± 0.4 | 58.1 ± 0.36 | 26.2 ± 0.25 | 57.1 ± 0.33 | 53.8 ± 0.3 |
| segmentation anomalies | 26 ± 0.35 | 16.4 ± 0.27 | 10.8 ± 0.25 | 27.3 ± 0.3 | 15.7 ± 0.2 | 11.1 ± 0.2 |
| granulocyte content of all BMC, (%) | 27 ± 3 | 41 ± 2.1 | 36 ± 2.6 | 20 ± 2.5 | 35 ± 2.7 | 34 ± 2.5 |
| Gene | Organism | Primer Sequences | Annealing Temperature |
|---|---|---|---|
| Gapdh | mouse | F: 5′-TAGACAAAATGGTGAAGGTCGG-3′ R: 5′-CCTGGAAGATGGTGATGGG-3′ | 57–64.5 °C |
| Il12a | mouse | F: 5′-AGTGTGGCACTGATGCTGATG-3′ R: 5′-GTAGCCAGGCAACTCTCGTT-3′ | 63.9 °C |
| Il10 | mouse | F: 5′-TGGGTTGCCAAGCCTTATCG-3′ R: 5′-CTCTTCACCTGCTCCACTGC-3′ | 63 °C |
| Il4 | mouse | F: 5′-TGAACGAGGTCACAGGAGAA-3′ R: 5′-CGAGCTCACTCTCTGTGGTG-3′ | 59 °C |
| Il13 | mouse | F: 5′-TGTGTCTCTCCCTCTGACCC-3′ R: 5′-CACACTCCATACCATGCTGC-3′ | 64.5 °C |
| Tnfα | mouse | F: 5′-TGAGCACAGAAAGCATGATCC-3′ R: 5′-GGAACTTCTCATCCCTTTGGG-3′ | 60 °C |
| Tgfb1 | mouse | F: 5′-TGATACGCCTGAGTGGCTGTCT-3′ R: 5′-CACAAGAGCAGTGAGCGCTGAA-3′ | 58 °C |
| Csf3 | mouse | F: 5′-GAGCAGTTGTGTGCCACC-3′ R: 5′-CCAGCTGAAGCAAGTCCAAG-3′ | 58 °C |
Disclaimer/Publisher’s Note: The statements, opinions and data contained in all publications are solely those of the individual author(s) and contributor(s) and not of MDPI and/or the editor(s). MDPI and/or the editor(s) disclaim responsibility for any injury to people or property resulting from any ideas, methods, instructions or products referred to in the content. |
© 2025 by the authors. Licensee MDPI, Basel, Switzerland. This article is an open access article distributed under the terms and conditions of the Creative Commons Attribution (CC BY) license.
Share and Cite
Miroshnichenko, S.; Pykhtina, M.; Mosalev, K.; Beklemishev, A. Recombinant G-CSF-ApoAI Fusion Protein Is a Pleiotropic Factor. Molecules 2026, 31, 119. https://doi.org/10.3390/molecules31010119
Miroshnichenko S, Pykhtina M, Mosalev K, Beklemishev A. Recombinant G-CSF-ApoAI Fusion Protein Is a Pleiotropic Factor. Molecules. 2026; 31(1):119. https://doi.org/10.3390/molecules31010119
Chicago/Turabian StyleMiroshnichenko, Svetlana, Mariya Pykhtina, Kirill Mosalev, and Anatoly Beklemishev. 2026. "Recombinant G-CSF-ApoAI Fusion Protein Is a Pleiotropic Factor" Molecules 31, no. 1: 119. https://doi.org/10.3390/molecules31010119
APA StyleMiroshnichenko, S., Pykhtina, M., Mosalev, K., & Beklemishev, A. (2026). Recombinant G-CSF-ApoAI Fusion Protein Is a Pleiotropic Factor. Molecules, 31(1), 119. https://doi.org/10.3390/molecules31010119

