High-Temperature Layered Modification of Mn2In2Se5
Abstract
1. Introduction
2. Results and Discussion
2.1. Synthesis of Polycrystalline Mn2In2Se5
2.2. Elemental and Phase Composition and Thermal Analysis of Mn2In2Se5
2.3. Oxidation of Mn2In2Se5
2.4. Crystal Structure of the New Polymorph of Mn2In2Se5
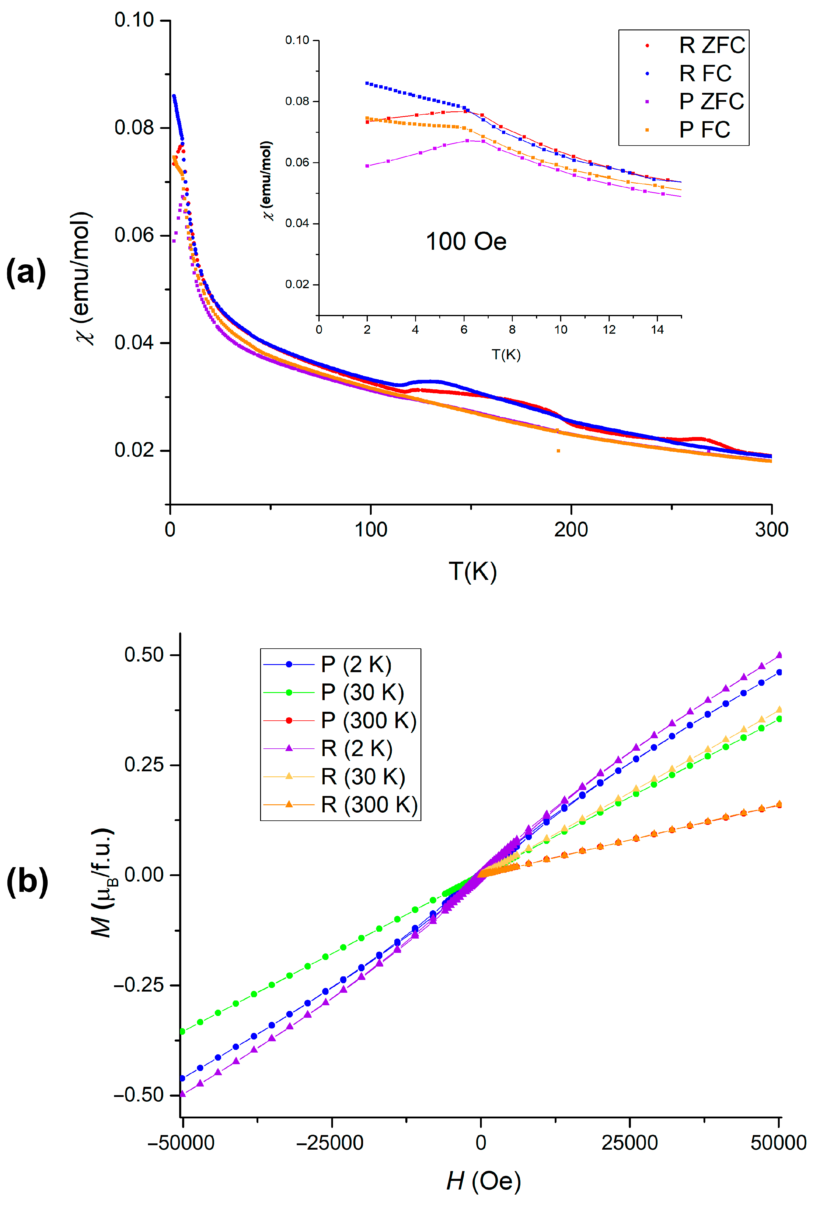
2.5. Magnetic Properties of Mn2In2Se5
3. Materials and Methods
4. Conclusions
Author Contributions
Funding
Institutional Review Board Statement
Informed Consent Statement
Data Availability Statement
Acknowledgments
Conflicts of Interest
References
- Duong, D.L.; Yun, S.J.; Lee, Y.H. Van der Waals Layered Materials: Opportunities and Challenges. ACS Nano 2017, 11, 11803–11830. [Google Scholar] [CrossRef] [PubMed]
- Wang, H.; Li, X.; Wen, Y.; Cheng, R.; Yin, L.; Liu, C.; Li, Z.; He, J. Two-dimensional ferromagnetic materials: From materials to devices. Appl. Phys. Lett. 2022, 121, 220501. [Google Scholar] [CrossRef]
- Ahn, E.C. 2D materials for spintronic devices. NPJ 2D Mater. Appl. 2020, 4, 17. [Google Scholar] [CrossRef]
- Yu, W.J.; Li, Z.; Zhou, H.; Chen, Y.; Wang, Y.; Huang, Y.; Duan, X. Vertically stacked multi-heterostructures of layered materials for logic transistors and complementary inverters. Nat. Mater. 2012, 12, 246–252. [Google Scholar] [CrossRef]
- Siwert, H.; Lutz, H.D. Phase relationships of the quaternary systems MCr2Se4 MGa2Se4 (M = Mn, Fe, Co, Ni): New layered ZnIn2S4-III type selenides. J. Solid State Chem. 1987, 69, 215–218. [Google Scholar] [CrossRef]
- Dotzel, P.; Schäfer, H.; Schön, G. Zur Darstellung und Strukturchemie Ternärer Selenide des Magnesiums mit Indium und Aluminium. Z. Anorg. Allg. Chem. 1976, 426, 260–268. [Google Scholar] [CrossRef]
- Lee, D.S.; Kim, T.H.; Park, C.H.; Chung, C.Y.; Lim, Y.S.; Seo, W.S.; Park, H.H. Crystal structure, properties and nanostructuring of a new layered chalcogenide semiconductor, Bi2MnTe4. CrystEngComm 2013, 15, 5532–5538. [Google Scholar] [CrossRef]
- Aliev, Z.S.; Amiraslanov, I.R.; Nasonova, D.I.; Shevelkov, A.V.; Abdullayev, N.A.; Jahangirli, Z.A.; Orujlu, E.N.; Otrokov, M.M.; Mamedov, N.T.; Babanly, M.B.; et al. Novel ternary layered manganese bismuth tellurides of the MnTe-Bi2Te3 system: Synthesis and crystal structure. J. Alloys Compd. 2019, 789, 443–450. [Google Scholar] [CrossRef]
- Mammadov, F.M.; Amiraslanov, I.R.; Imamaliyeva, S.Z.; Babanly, M.B. Phase Relations in the FeSe–FeGa2Se4–FeIn2Se4 System: Refinement of the Crystal Structures of FeIn2Se4 and FeGaInSe4. J. Phase Equilibria Diffus. 2019, 40, 787–796. [Google Scholar] [CrossRef]
- Zhukova, T.B.; Zaslavskii, A.I. Characteristics of powder patterns of compounds in the PbTe–Bi2Te3 system. Izv. Akad. Nauk. SSSR Neorgan. Mater. 1976, 12, 539–541. [Google Scholar]
- Range, K.-J.; Klement, U.; Döll, G.; Bucher, E.; Baumann, J.R. Dimanganese diindium pentaselenide, Mn2In2Se5. Acta Crystallogr. Sect. C Cryst. Struct. Commun. 1992, 48, 355–356. [Google Scholar] [CrossRef]
- Cascarano, G.; Dogguy-Smiri, L.; Dung, N.H. Surstructures par pseudo-translation. 1. Structure cristalline du polytype hexagonal 2H du pentasulfure de difer et digallium. Acta Crystallogr. Sect. C Cryst. Struct. Commun. 1987, 43, 2050–2053. [Google Scholar] [CrossRef]
- Wolpert, E.H.; Cassidy, S.J.; Goodwin, A.L. Polytypism of layered MX2 materials. Phys. Rev. Mater. 2023, 7, 093605. [Google Scholar] [CrossRef]
- Radautsan, S.I.; Donika, F.G.; Kyosse, G.A.; Mustya, I.G. Polytypism of Ternary Phases in the System Zn-In-S. Phys. Status Solidi (b) 1970, 37, K123–K127. [Google Scholar] [CrossRef]
- Stock, C.; Jonas, S.; Broholm, C.; Nakatsuji, S.; Nambu, Y.; Onuma, K.; Maeno, Y.; Chung, J.H. Neutron-scattering measurement of incommensurate short-range order in single crystals of the S=1 triangular antiferromagnet NiGa2S4. Phys. Rev. Lett. 2010, 105, 037402. [Google Scholar] [CrossRef]
- Zhao, S.; De Réotier, P.D.; Yaouanc, A.; MacLaughlin, D.E.; MacKie, J.M.; Bernal, O.O.; Nambu, Y.; Higo, T.; Nakatsuji, S. Spin dynamics and spin freezing in the triangular lattice antiferromagnets FeGa2S4 and NiGa2S4. Phys. Rev. B Condens. Matter Mater. Phys. 2012, 86, 064435. [Google Scholar] [CrossRef]
- Mazin, I.I. Ab initio investigation of magnetic interactions in the frustrated triangular magnet NiGa2S4. Phys. Rev. B Condens. Matter Mater. Phys. 2007, 76, 140406. [Google Scholar] [CrossRef]
- Nakatsuji, S.; Tonomura, H.; Onuma, K.; Nambu, Y.; Sakai, O.; Maeno, Y.; MacAluso, R.T.; Chan, J.Y. Spin disorder and order in quasi-2D triangular heisenberg antiferromagnets: Comparative study of FeGa2S4, Fe2Ga2S5, and NiGa2S4. Phys. Rev. Lett. 2007, 99, 157203. [Google Scholar] [CrossRef]
- Verchenko, V.Y.; Kanibolotskiy, A.V.; Chernoukhov, I.V.; Cherednichenko, K.A.; Bogach, A.V.; Znamenkov, K.O.; Sobolev, A.V.; Glazkova, I.S.; Presniakov, I.A.; Shevelkov, A.V. Layered van der Waals Chalcogenides FeAl2Se4, MnAl2S4, and MnAl2Se4: Atomically Thin Triangular Arrangement of Transition-Metal Atoms. Inorg. Chem. 2023, 62, 7557–7565. [Google Scholar] [CrossRef]
- Chernoukhov, I.V.; Bogach, A.V.; Cherednichenko, K.A.; Gashigullin, R.A.; Shevelkov, A.V.; Verchenko, V.Y. Mn2Ga2S5 and Mn2Al2Se5 van der Waals Chalcogenides: A Source of Atomically Thin Nanomaterials. Molecules 2024, 29, 2026. [Google Scholar] [CrossRef]
- Döll, G.; Anghel, A.; Baumann, J.R.; Bucher, E.; Ramirez, A.P.; Range, K.-J. Structural and Magnetic Properties of the Ternary Manganese Compound Semiconductors MnAl2Te4, MnIn2Te4, and MnIn2Se4. Phys. Status Solidi (a) 1991, 126, 237–244. [Google Scholar] [CrossRef]
- Mammadov, F.M.; Imamaliyeva, S.Z.; Ismailova, E.N.; Amiraslanov, I.R.; Ahmadov, E.I.; Babanly, M.B. Refinement of the phase diagram of the MnSe–In2Se3 system and the crystal structures of MnIn2Se4 and Mn2In2Se5 compounds. Kondens. Sredy I Mezhfaznye Granitsy = Condens. Matter Interphases 2025, 27, 57–66. [Google Scholar]
- Williams, A.J.; Reifsnyder, A.; Yu, B.; Moore, C.E.; Susner, M.A.; Windl, W.; McComb, D.W.; Goldberger, J.E. Single crystal synthesis and properties of the two-dimensional van der Waals frustrated magnets, Mn2In2Se5 and Mn2Ga2S5. J. Mater. Chem. C 2024, 12, 1753–1762. [Google Scholar] [CrossRef]
- Huang, C.H.; Wang, C.W.; Chang, C.C.; Lee, Y.C.; Huang, G.T.; Wang, M.J.; Wu, M.K. Anomalous magnetic properties in Mn(Se, S) system. J. Magn. Magn. Mater. 2019, 483, 205–211. [Google Scholar] [CrossRef]
- Petrícek, V.; Dušek, M.; Palatinus, L. Crystallographic computing system JANA2006: General features. Z. Fur Krist. 2014, 229, 345–352. [Google Scholar] [CrossRef]










| Parameter | Value | |
|---|---|---|
| sample | high-temperature | quenched from 900 °C |
| composition | Mn2In2Se5 | |
| formula weight (g/mol) | 734.31 | |
| diffractometer | Bruker D8 Advance | Huber G670 |
| detector | LYNXEYE | image plate |
| radiation | Cu Kα1,2 | Cu Kα1 |
| wavelength (Å) | 1.5419 | 1.5406 |
| crystal system | trigonal | |
| space group | Pm1 | |
| Z | 1 | |
| unit cell parameters | ||
| a (Å) | 4.0742(1) | 4.02535(5) |
| c (Å) | 16.4671(5) | 16.3503(3) |
| V (Å3) | 236.72(1) | 229.438(6) |
| temperature (K) | 1123 | 298 |
| ρcalc (g/cm3) | 5.15 | 5.31 |
| μ (cm−1) | 81.0 | 83.6 |
| 2θ range (deg) | 5–80 | 3–100 |
| Rp | 0.0404 | 0.0257 |
| wRp | 0.0545 | 0.0379 |
| Robs | 0.1124 | 0.0923 |
| wRobs | 0.0937 | 0.1158 |
| Rall | 0.1278 | 0.0987 |
| wRall | 0.0967 | 0.1159 |
| GOF | 1.19 | 3.17 |
| parameters | 33 | 31 |
| constraints | 7 | 7 |
| residual peaks (e−/Å3) | 2.81/−3.30 | 4.71/−3.29 |
| (a) | P-Phase of Mn2In2Se5 (850 °C) | |||||
|---|---|---|---|---|---|---|
| Label | Symmetry | x | y | z | Occupancy | Uiso (Å2) |
| Mn1 | 3m | 1/3 | 2/3 | 0.1048(1) | 0.5Mn + 0.5In | 0.150(2) |
| In1 | 3m | 1/3 | 2/3 | 0.6631(2) | 0.5In + 0.5Mn | 0.032(2) |
| Se1 | m | 0 | 0 | 0 | 1 | 0.069(6) |
| Se2 | 3m | 1/3 | 2/3 | 0.4014(3) | 1 | 0.062(4) |
| Se3 | 3m | 1/3 | 2/3 | 0.8145(3) | 1 | 0.023(3) |
| (b) | P-Phase of Mn2In2Se5 (room temperature) | |||||
| Label | Symmetry | x | y | z | Occupancy | Uiso (Å2) |
| Mn1 | 3m | 1/3 | 2/3 | 0.1025(1) | 0.704(2)Mn + 0.296In | 0.0186(9) |
| In1 | 3m | 1/3 | 2/3 | 0.66222(8) | 0.704(2)In + 0.296Mn | 0.0147(4) |
| Se1 | m | 0 | 0 | 0 | 1 | 0.0108(8) |
| Se2 | 3m | 1/3 | 2/3 | 0.4017(1) | 1 | 0.0171(7) |
| Se3 | 3m | 1/3 | 2/3 | 0.8201(1) | 1 | 0.0193(8) |
| P-Phase of Mn2In2Se5 (850 °C) | ||
|---|---|---|
| Central Atom | Neighbor Atom | Distance (Å) |
| Mn1 | Se1 (×3) | 2.917(1) |
| Se3 (×3) | 2.702(2) | |
| In1 | Se2 (×3) | 2.581(2) |
| Se3 (×1) | 2.492(5) | |
| P-phase of Mn2In2Se5 (room temperature) | ||
| Central atom | Neighbor atom | Distance (Å) |
| Mn1 | Se1 (×3) | 2.865(1) |
| Se3 (×3) | 2.647(1) | |
| In1 | Se2 (×3) | 2.5483(9) |
| Se3 (×1) | 2.581(2) | |
| R-phase of Mn2In2Se5 [11] | ||
| Central atom | Neighbor atom | Distance (Å) |
| Mn1 | Se1 (×3) | 2.8508(7) |
| Se3 (×3) | 2.6496(8) | |
| In1 | Se2 (×3) | 2.5840(6) |
| Se3 (×1) | 2.516(1) | |
Disclaimer/Publisher’s Note: The statements, opinions and data contained in all publications are solely those of the individual author(s) and contributor(s) and not of MDPI and/or the editor(s). MDPI and/or the editor(s) disclaim responsibility for any injury to people or property resulting from any ideas, methods, instructions or products referred to in the content. |
© 2025 by the authors. Licensee MDPI, Basel, Switzerland. This article is an open access article distributed under the terms and conditions of the Creative Commons Attribution (CC BY) license (https://creativecommons.org/licenses/by/4.0/).
Share and Cite
Chernoukhov, I.V.; Pyreu, A.D.; Azarevich, A.N.; Samarin, A.N.; Bogach, A.V.; Znamenkov, K.O.; Shevelkov, A.V.; Verchenko, V.Y. High-Temperature Layered Modification of Mn2In2Se5. Molecules 2025, 30, 1904. https://doi.org/10.3390/molecules30091904
Chernoukhov IV, Pyreu AD, Azarevich AN, Samarin AN, Bogach AV, Znamenkov KO, Shevelkov AV, Verchenko VY. High-Temperature Layered Modification of Mn2In2Se5. Molecules. 2025; 30(9):1904. https://doi.org/10.3390/molecules30091904
Chicago/Turabian StyleChernoukhov, Ivan V., Anton D. Pyreu, Andrey N. Azarevich, Alexander N. Samarin, Alexey V. Bogach, Konstantin O. Znamenkov, Andrei V. Shevelkov, and Valeriy Yu. Verchenko. 2025. "High-Temperature Layered Modification of Mn2In2Se5" Molecules 30, no. 9: 1904. https://doi.org/10.3390/molecules30091904
APA StyleChernoukhov, I. V., Pyreu, A. D., Azarevich, A. N., Samarin, A. N., Bogach, A. V., Znamenkov, K. O., Shevelkov, A. V., & Verchenko, V. Y. (2025). High-Temperature Layered Modification of Mn2In2Se5. Molecules, 30(9), 1904. https://doi.org/10.3390/molecules30091904

