Abstract
The oxime group is important in organic and inorganic chemistry. In most cases, this group is part of an organic molecule possessing one or more donor sites capable of forming bonds to metal ions. One family of such compounds is the group of 2-pyridyl (aldo)ketoximes. Metal complexes of 2-pyridyl oximes continue to attract the intense interest of many inorganic chemistry groups around the world for a variety of reasons, including their interesting structures, physical and biological properties, and applications. A unique member of 2-pyridyl ketoximes is di-2-pyridyl ketoxime (dpkoxH), which contains two 2-pyridyl groups and an oxime functionality that can be easily deprotonated giving the deprotonated ligand (dpkox−). The extra 2-pyridyl site confers a remarkable flexibility resulting in metal complexes with exciting structural and reactivity features. Our and other research groups have prepared and characterized many metal complexes of dpkoxH and dpkox− over the past 30 years or so. This work is an attempt to build a “periodic table” of dpkoxH, which is near completion. The filled spaces of this “periodic table” contain metal ions whose dpkoxH/dpkox− complexes have been structurally characterized. This work reviews comprehensively the to-date published coordination chemistry of dpkoxH with emphasis on the syntheses, reactivity, relationship to metallacrown chemistry, structures, and properties of the metal complexes; selected unpublished results from our group are also reported. The sixteen coordination modes adopted by dpkoxH and dpkox− have provided access to monomeric and dimeric complexes, trinuclear, tetranuclear, pentanuclear, hexanuclear, heptanuclear, enneanuclear, and decanuclear clusters, as well as to a small number of 1D coordination polymers. With few exceptions ({MIILnIII2} and {NiII2MnIII2}; M = Ni, Cu, Pd, and Ln = lanthanoid), most complexes are homometallic. The metals whose ions have yielded complexes with dpkoxH and dpkox− are Cr, Mn, Fe, Co, Ni, Cu, Zn, Ru, Rh, Pd, Ag, Cd, Re, Os, Ir, Au, Hg, lanthanoids (mainly Pr and Nd), and U. Most metal complexes are homovalent, but some mixed-valence Mn, Fe, and Co compounds have been studied. Metal ion-assisted/promoted transformations of dpkoxH, i.e., reactivity patterns of the coordinated ligand, are also critically discussed. Some perspectives concerning the coordination chemistry of dpkoxH and research work for the future are outlined.
1. Introduction and Organization of This Review
The oxime group (R1R2C=NOH, vide infra) is important in organic and bioorganic chemistry [1]. Oximes can be categorized into two broad families based on the reactants for their synthesis; aldoximes are derived from aldehydes, while ketoximes are derived from ketones (Figure 1). The general formula of oximes is R1R2C=NOH, where R1 is an organic side, and R2 is an H atom (for aldoximes) or an organic group (for ketoximes). Depending on the relative locations of the higher priority group and the –OH group, oximes exist in two forms: syn and anti. Both exist for aldoximes and ketoximes, with the exception of aromatic aldoximes (Figure 2). Equally important is the role of the oxime functionality in coordination and supramolecular chemistry.
Figure 1.
The structural formulae of aldoximes and ketoximes.
Figure 2.
The syn-anti isomerism of the simple oxime group assuming that R1 takes precedence over R2 according to the Cahn-Ingold-Prelog system.
In most cases, the oxime group is part of an organic molecule that possesses one or more sites containing lone pair(s) of electrons, i.e., other donor sites. One family of such compounds is the group of 2-pyridyl (aldo)ketoximes (Figure 3, left), where R is a non-donor group, e.g., H, Me, Ph, etc. Another similar family of 2-pyridyl oximes consists of molecules in which the R group is a potential donor site, e.g., NH2 (pyridine-2-amidoxime). In the special case where R is a second 2-pyridyl group, the resulting molecule is di-2-pyridyl ketoxime (Figure 3, right), abbreviated as dpkoxH; the H in the abbreviation denotes the acidic hydrogen atom of the oxime group. The IUPAC name of this compound is di-2-pyridin-2-yl-methanone oxime. The dpkoxH compound is an exciting ligand for a variety of reasons (vide infra). Our and other research teams have been studying intensely the coordination chemistry of dpkoxH, and many metal complexes have been prepared and studied. Over the past 25 years or so, we have been trying to create a “periodic table” of dpkoxH, by synthesizing complexes with as many metal and metalloid ions as possible. The spaces in this “periodic table” contain ions, whose complexes with dpkoxH or its anionic derivative (dpkox−) have been structurally characterized; few exceptions (in which the metal complexes have been fully characterized by physical and spectroscopic methods) are also mentioned. Thus, this comprehensive review describes the metal chemistry of dpkoxH and dpkox−. Some of the complexes reported to-date are from our group, and this justifies the relatively high number of self-citations.
Figure 3.
The structural formulae of simple 2-pyridyl (aldo)ketoximes (left; R = H, Me, Ph, …) and di-2-pyridyl ketoxime.
The emphasis of this work is on the synthetic and structural aspects of the metal complexes; in a few cases, a brief note on their spectroscopic and physical properties will be given. We intend to avoid long preparative descriptions and we shall thus present the syntheses of the complexes with the aid of balanced chemical equations written in their molecular (and not ionic) format. Such equations are correct only if we assume that there is only one metal-containing product in the reaction system; in some cases, this is not the case because equilibria may exist in the solution, a fact supported by the low yields of the preparations. However (as one of the referees points out), caution is needed in the messages conveyed through the use of balanced equations. Most structures have been generated from the corresponding CIFs, which has have been deposited with the Cambridge Crystallographic Data Center (CCDC); some structures are illustrated in a schematic way (ChemDraw). For the description of the coordination modes of dpkoxH and dpkox− (and other ligands), the well-established “Harris notation” [2] (and its alternative using numerical subscripts) is used. The ligation modes are also represented in a schematic way (ChemDraw) and, for clarity reasons, bold lines will be used for the coordination bonds. The oxidation states of the metals in their complexes are indicated in several ways in their formulae in order to be unambiguous to the readers. Oxidation states are often not written for metals in which these are common, e.g., Ni and Zn. For mixed-valence homometallic complexes, the metals in the formulae are separated according to their oxidation states; for mixed-valence compounds containing three metal ions, the symbol of the metal appears once and the oxidation states (in Latin) are written as superscripts in a way that makes clear the oxidation levels of the metals involved. In the structural discussions, the focus is on the molecular structures with sporadic descriptions of the supramolecular features of the complexes.
This review is divided into sections. Section 2 provides the reader with basic information concerning the organic, coordination, and supramolecular chemistry of the simple oxime group, together with the importance of this group and its complexes in various branches of Chemistry. Section 3 gives an overview of the chemistry of the metal complexes of simple 2-pyridyl (aldo)ketoximes with a non-donor substituent on the oxime carbon (Figure 3, left). Since the coordination chemistry of dpkox− is closely related to the evolution of metallacrowns [3], Section 4 will give some basic information about this unique class of compounds and the reader can thus easily understand some aspects of the following Section 5. Section 2, Section 3 and Section 4 are introductory of the article. Section 5 and Section 6 contain the central information of the present review. Section 5 describes the so-far published coordination chemistry of di-2-pyridyl ketoxime; we have chosen to arrange our discussion according to the nuclearity of the homo- or heterometallic products. Another way would be arranging the complexes based on the elements as they appear in the standard periodic table. Since most complexes are dinuclear and polynuclear, we prefer the former way of presentation. Section 6 describes briefly some unpublished results on the topic from our group. Section 7 is a brief summary of the material mentioned in Section 5 and Section 6, also providing some perspectives and a prognosis for the future.
A review dealing exclusively with the coordination chemistry of dpkoxH has never appeared. An older review [4] from our group concerning the coordination chemistry of pyridyl oximes (not confined to those possessing a second 2-pyridyl group) contains a chapter with metal complexes of dpkoxH and/or dpkox− published before 2005.
2. The Oxime Group: A Versatile Tool in Chemistry
The real history of oximes begins in 1885 when Tschugaeff used dimethylglyoxime for the gravimetric determination of Ni2+ in the form of the highly insoluble, red bis(dimethylglyoximato)nickel(II) [5]. This reaction still exists in the undergraduate chemistry laboratory curriculum (qualitative and quantitative analysis); the complex is also prepared in inorganic chemistry laboratories to prove its square planar structure by a magnetic susceptibility measurement (the complex is diamagnetic).
The synthesis of oximes is a rather easy process, as it involves the direct reaction of aldehydes and ketones with hydroxylamine. Other methods [1,4] include nitrosation at a carbon bearing an active hydrogen, addition of NOCl to olefins, oxidation of primary aliphatic amines, reduction of aliphatic nitro compounds, and addition of Grignard reagents to the conjugate bases of nitro compounds. Oximes exhibit a rich reactivity [1,6], including the following: (i) their utilization as precursors for iminylradicals (through N-O bond fragmentation), which can be used for the synthesis of amino alcohols, amines, and N-containing heterocyclic compounds; (ii) their easy transformation into oxime radicals (known as iminoxyl radicals) which are valuable intermediates in many organic syntheses, e.g., formation of isoxazoline derivatives; and (iii) their ability to release NO which is a unique endogenous regulatory agent, participating in many physiological processes across some organ systems.
The oxime group is also present in several natural products and compounds with significant biological activity. Typical examples are pralidoxime, trimedoxime, and obidoxime (Figure 4) which are efficient inhibitors (and hence antidotes) of the highly toxic organophosphates [6]. Oxime ethers (compounds with alkyl or aryl substituents on the O atom) are also important in medicinal chemistry. For example, fluvoxamine (Figure 4) is an antidepressant that belongs to the selective serotonin reuptake inhibitor family [6]. In addition, derivatives of oximes are important in modern agriculture as agents which protect crops. A characteristic example [6] is kresoxim-methyl (Figure 4), a broad-spectrum fungicide, that controls and treats fungal problems on crops.
Figure 4.
Few oxime derivatives which find use in medicine and agriculture (see text for details).
Complexes containing the oxime group, either neutral or deprotonated (oximato complexes), have played important roles in several aspects of coordination [7] and bioinorganic [8,9] chemistry, homogeneous catalysis [10], and molecular magnetism [11,12]. The oxime and oximate groups can bind a metal ion in a number of modes, shown in Figure 5. These modes can lead to a variety of mononuclear, dinuclear, polynuclear (coordination clusters), and polymeric (coordination polymers) complexes. The dinuclear, polynuclear, and polymeric complexes can be either homo- or heterometallic.
Figure 5.
The to-date crystallographically observed coordination modes of the oxime and oximate groups, and the Harris notation [2] that describes these modes. The 1.0011 ligation mode represents one formally oximate group and one formally neutral oxime group; this moiety is present in some complexes, including bis(dimethylglyoximato)nickel(II).
The reactivity of the coordinated oxime group is also a research topic under intense research activity [4,13,14]. The general manners of the nucleophilic or electrophilic additions to the polarized C=N bond are illustrated in Figure 6. Around 15–20 years ago, most of the reported metal-involving oxime reactions were metal-mediated, whereas nowadays the focus is on metal-catalyzed transformations. There is also an interest in the rather rare metal-mediated processes for the synthesis of free oximes.
Figure 6.
Reactivity modes of the coordinated oxime or oximate groups. M = metal ion, Nu = nucleophile, E = electrophile.
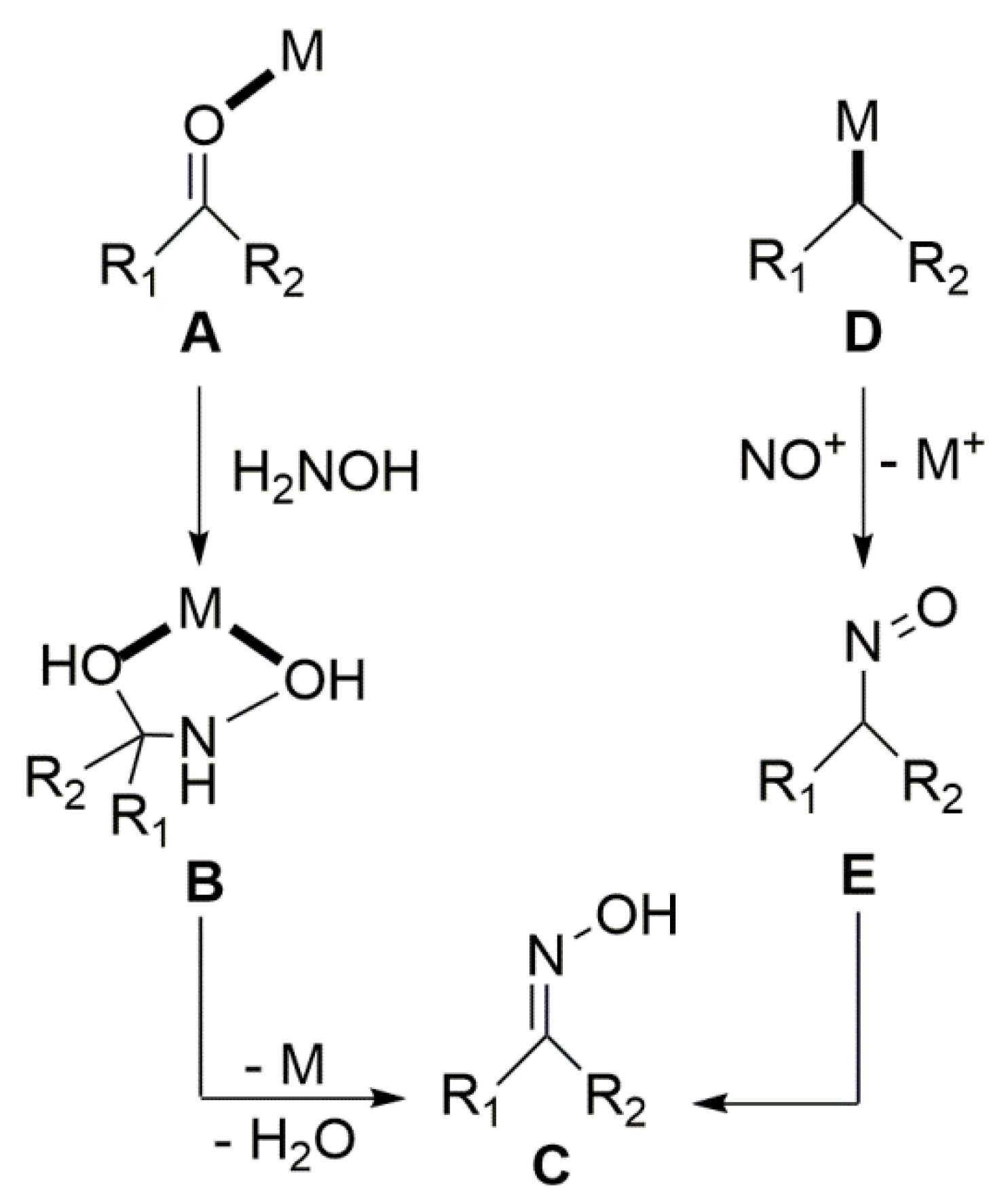
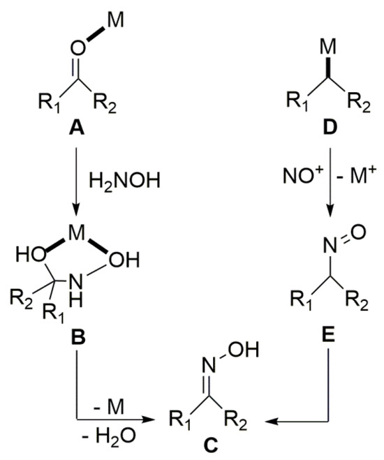
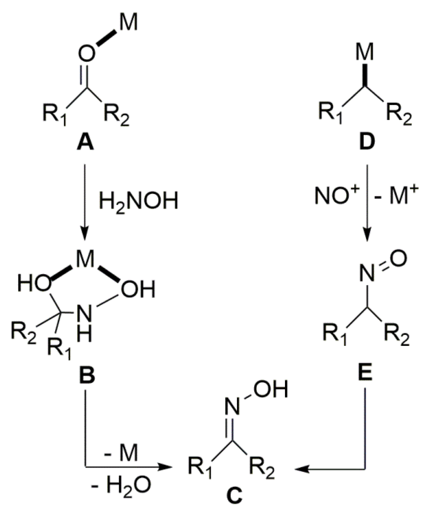
Due to space limitation, we briefly comment on the uncommon metal-mediated synthesis of free oximes, without C-, O-, and N-functionalization. The basic routes are shown in Figure 7. The reactions include (between others) the formation of the oxime via the treatment of carbonyl compounds with H2NOH in the presence of a metal ion (A→B→C) and the involvement of the intermediate formation of D with its subsequent reaction with NO+ to give E followed by isomerization of this nitroso compound to oxime C [14].
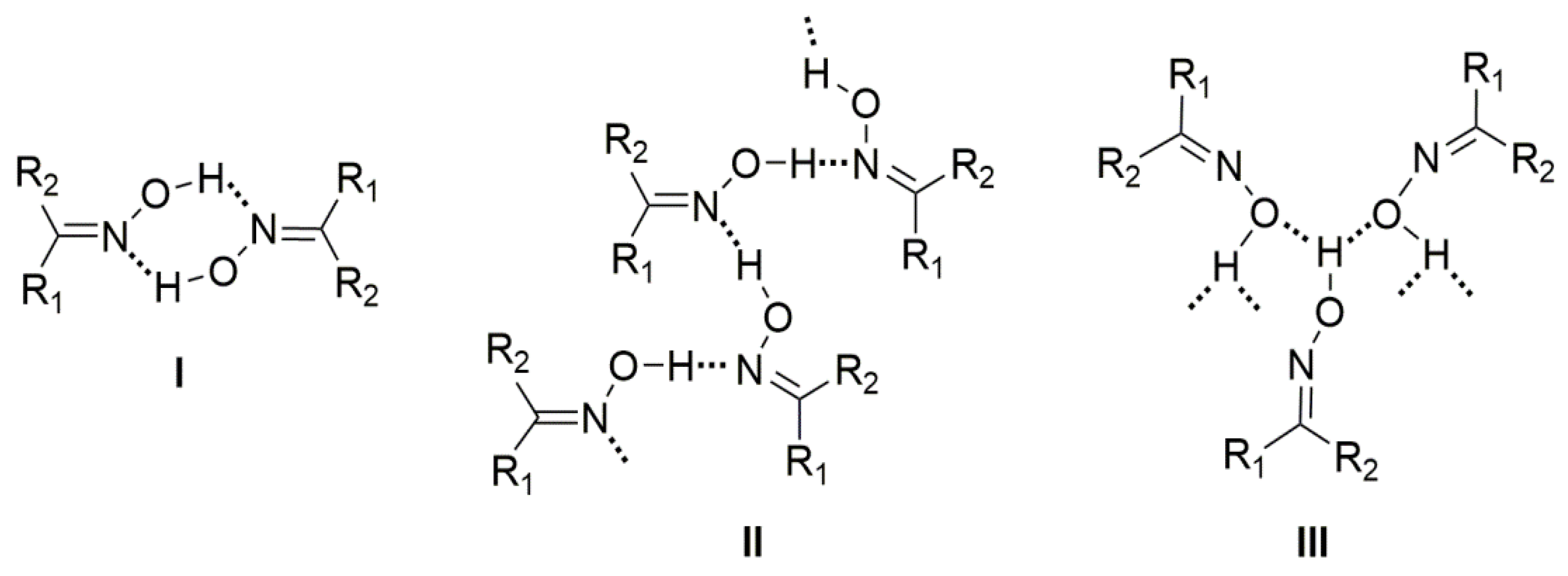
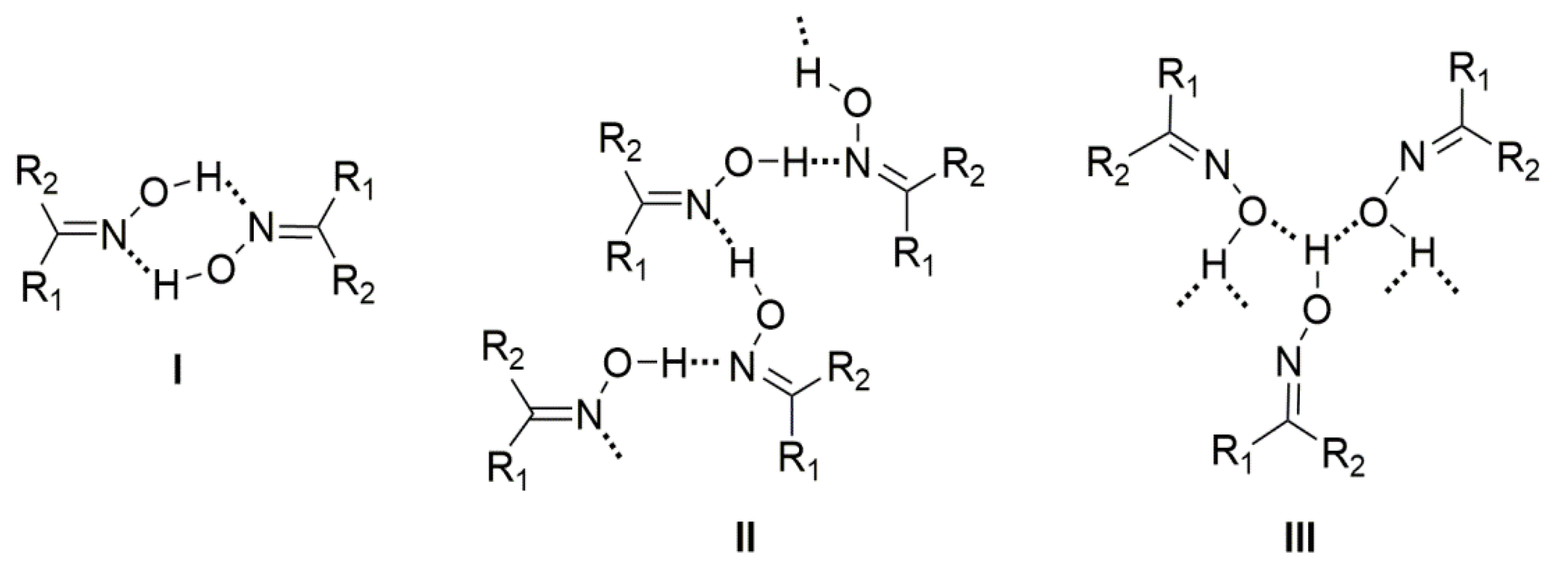
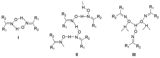
The main goal of supramolecular chemistry is to control the packing of the molecules in the crystal via intermolecular interactions. The synthons that are involved in the self-assembly of homomeric or heteromeric aggregates are crucial for the prediction and construction of supramolecular assemblies. H bonds, which are often strong and directional, are ideal tools for these processes. The most often used synthons in supramolecular chemistry and crystal engineering are the carboxylic, amide, and alcohol groups. In contrast, the oxime group has received less attention. This group is capable of forming three types of classical H bonds (Figure 8); oxime groups can act as H-bond donors (via the –O-H) and as H-bond acceptors (through both –C=N and –O-H). The most common H-bonding arrangements for the simple oxime group are illustrated in Figure 9 and involve dimeric (I) and catemeric (II, III) forms. Less common trimeric and tetrameric forms have also been observed [1,6].
Figure 7.
Two routes for the metal-mediated synthesis of oximes (without C-, N-, and O-functionalization). This drawing was adapted from Ref. [14]. M = metal center.
Figure 7.
Two routes for the metal-mediated synthesis of oximes (without C-, N-, and O-functionalization). This drawing was adapted from Ref. [14]. M = metal center.

Figure 8.
The three types of classical H bonds formed by the oxime group. H-bond acceptors can be the oxime N and O atoms, while the H-bond donor can be the O atom. A = acceptor, D = donor.
Figure 8.
The three types of classical H bonds formed by the oxime group. H-bond acceptors can be the oxime N and O atoms, while the H-bond donor can be the O atom. A = acceptor, D = donor.

Figure 9.
H-bonded dimer (I) and catemers formed by O-H∙∙∙N (II) and O-H∙∙∙O (III) H bonds.
Figure 9.
H-bonded dimer (I) and catemers formed by O-H∙∙∙N (II) and O-H∙∙∙O (III) H bonds.

3. Metal Complexes of Simple 2-Pyridyl Aldo(Keto)ximes
As mentioned in Section 1, the oxime group is most often a part of organic molecules bearing one or more other donor sites. When one donor site is the 2-pyridyl group and the other group to which the carbon atom is attached contains no donor atoms, the resulting family of molecules (Figure 3, left; R = H, Me, Ph, …) contains three atoms potentially capable of forming coordination bonds. The neutral molecules, and especially their deprotonated versions, are versatile ligands in coordination chemistry, as proven by the variety of their to-date established coordination modes illustrated in Figure 10.
Figure 10.
The to-date crystallographically confirmed coordination modes of neutral and anionic 2-pyridyl oximes, and the Harris notation [2] that describes these modes. R (H, Me, Ph, …) is a non-donor group. The 2.111 mode of neutral oximes and the 4.311 mode of the 2-pyridyl oximate ligands have been found only in cases where R = H. M and M’ are metal ions.
The 2-pyridyl oxime ligands of Figure 3 (left) have been writing their own “history” in inorganic chemistry. These ligands have been used to achieve several goals, including the following: (i) the modeling of solvent extraction of toxic Cd(II) from aqueous environments using 2-pyridyl ketoxime extractants [15]; (ii) the synthesis of 3d/4f dinuclear and polynuclear complexes [16]; (iii) the “switching on” of single-molecule magnetism (SMM) properties [17]; (iv) the isolation of single-chain magnets (SCMs) [18]; and (v) the linking of smaller clusters to supramolecular assemblies by means of coordination bonds [19]. We briefly mention an example of two of these research objectives.
The 1:3 reaction between the triply oxido-bridged, antiferromagnetically coupled triangular Mn(III) complexes [Mn3O(O2CR)6(py)3](ClO4) (F; R = Me, Et, Ph; py = pyridine) and methyl 2-pyridyl ketoxime (mepaoH; R = Me in Figure 3, left) in MeCN/MeOH led to complexes [Mn3O(O2CR)3(mepao)3](ClO4) (G) in high yields (>75%), Equation (1). The 1:3 ratio was selected to allow for the incorporation of one mepao− ligand onto each edge of the {MnIII3(μ-O)}7+ core. Thus, one carboxylato ligand on each edge and one py molecule at each MnIII atom are replaced by one 2.111 mepao− group (Figure 10). This substitution gives S = 6 spin ground states for the products G which are single-molecule magnets (SMMs); in contrast, the reactants possess a low-spin ground state and non-SMM behavior [17,20]. Thus, the mepao− ligand is responsible for “switching on” exciting magnetic properties.
| [MnIII3O(O2CR)6(py)3](ClO4) | + 3 mepaoH | [MnIII3O(O2CR)3(mepao)3](ClO4) | + 3 RCO2H + 3 py | (1) |
| F | G |
The 2-pyridyl ketoximes with long aliphatic R chains, e.g., 1-(2-pyridyl)-trideca-1-one oxime (2PC12) [R = (CH2)11CH3 in Figure 3, left], are efficient agents for the liquid–liquid extraction of toxic Cd(II) from chloride-containing aqueous media. Cadmium(II) can be effectively extracted using chloroform or hydrocarbon solutions of 2PC12 as an organic phase. Solution studies have indicated that the neutral octahedral species [CdCl2(extractant)2] is formed during the extraction process, allowing the transfer of the complexed toxic metal ion into the organic phase, from which it is stripped with aqueous NH3 [21]. The preparation and structural characterization of complex [CdCl2(phpaoH)2] (H) [15], where phpaoH is phenyl 2-pyridyl ketoxime (R = Ph in Figure 3, left), proves that neutral octahedral complexes [CdCl2(extractant)2] are capable of existence and that H is a model for the species formed during the extraction.
4. Metallacrowns: Short Notes
Since the coordination chemistry of dpkoxH is related to the evolution of metallacrowns, in this section, we give some information concerning the latter. Metallacrowns (MCs) belong to a broad class of metallamacrocycles, which also include metallacryptands, metallacoronates, metallacalixarenes, metal molecular wheels, rings and polygons, and metal molecular machines [3,22]. MCs have been employed as anion, cation and molecular recognition agents, catalysts, sensors, and building blocks for coordination polymers; in addition, they often have interesting structures. MCs are the inorganic analogs of the macrocyclic crown ethers first reported by Pederson (1987 Nobel prize) in 1967. The MC-crown ether analogy is illustrated in Figure 11 for the particular case of 12-membered rings with iron(III). The typical definition of an MC is a repeat unit of –[M-N-O]n- in a cyclic arrangement; in this arrangement, the ring metal ions and nitrogen atoms replace the methylene carbon atoms of a crown ether. A perusal of Figure 11 reveals that the 12-crown-4 (12-C-4) structure is similar to that of the 12-MC-4 one. Both molecules can give four O atoms as donors to an ion that can exist in the central cavity. Structural studies show that both molecules have similar sizes in the central cavity, despite the difference between the C-O and C-C bond lengths and those involving M-O or M-N bonds (M = a first-row transition metal ion). The difference in bond lengths is mitigated by the different bond angles which are ca. 109° for sp3 carbon, but ca. 90° for square planar or octahedral metal ions. The MCs have a higher affinity for encapsulation of MII and MIII first-row transition metal ions because the deprotonated O atoms of MCs are better donors to intermediate-valent ions than are the neutral O atoms of the organic crown ethers. The MCs become robust when N and O atoms from deprotonated hydroxamic acids or/and oximate groups are utilized for bonding [22].
Figure 11.
An example of the MC-crown ether analogy. The symbol shi represents the trianion of salicylhydroxamic acid (shiH3, Figure 12). The metal ion can be only a first-row transition metal ion. The drawing was adapted from Ref. [3].
As in crown ethers, MCs are named taking into account the ring size and the number of O donors. For example, 12-MC-4, where MC represents metallacrown, is a 12-membered ring consisting of four repeating –[M-N-O-]- units with four donating O atoms. The nomenclature [3] involves the bound central metal ion, the ligand that creates the ring, and any bound or unbound ions. A typical nomenclature scheme is {MX[ring size-MCM,Z(L)-ring oxygens]}Y. In this scheme, M is the bound central metal (if any) including its oxidation state, X is any bound anion, M’ is the ring metal with its oxidation state, Z is the third heteroatom (usually N), L is the organic ligand used, and Y is any unbound anion. Sometimes, there can be unbound cations, and these are placed before the bound central metal. Examples of MC types include 9-MC-3, 10-MC-5, 12-MC-3, 12-MC-4, 12-MC-6, 14-MC-7, 15-MC-3, 15-MC-5, 15-MC-6, 16-MC4, 16-MC-8, 20-MC-10, 22-MC-11, 24-MC-6, 24-MC-8, 24-MC-12, 30-MC-10, 32-MC-8, 36-MC-12, 40-MC-10, 48-MC-24, 60-MC-20, etc. [3].
5. The Published Coordination Chemistry of Di-2-Pyridyl Ketoxime
5.1. Di-2-Pyridyl Ketoxime: An Exciting Ligand
Di-2-pyridyl ketoxime (dpkoxH; Figure 3, right) is a very interesting ligand, as it will be shown in the next parts, and occupies a special position among the 2-pyridyl ketoximes. Not only is the R unit a donor site, but also this group is a second 2-pyridyl group. A unique aspect of dpkoxH (and its anionic derivative) is its extraordinary coordination flexibility and versatility which have resulted in interesting metal complexes from the structures and properties viewpoints (vide infra). As has already been mentioned above, the deprotonated ligand is relevant to the chemistry of MCs. Another interesting aspect of dpkoxH is its activation by 3d-metal ions resulting in complexes that contain a different ligand. A characteristic example is the reaction system [VIIICl3(THF)3] (THF = tetrahydrofurane) which, depending on the reaction conditions, provided access [23] to complexes [VIVOCl2(dpi)(THF)] (L), [VIVOCl2(adpe)] (M), [VIVOCl2(adpm)] (N), and [VIVOCl2(adpm)] (O), where dpi, adpe, and adpm are the neutral molecules shown in Figure 13. The vanadyl complexes are all octahedral. The dpi molecule behaves as an N(pyridyl), N(imino)-bidentate chelating ligand, whereas the other ligands are tridentate chelating employing the three N atoms (M, N), and the two 2-pyridyl N atoms and the ether O atom in the case of O. Thus, complexes N and O have the same formula but differ in the coordination mode of the ligand adpm.
Figure 13.
The molecules dpi, adpm, and adpe that have resulted from the synthetic investigation of the [VIIICl3(THF)3]/dpkoxH reaction system. The molecules are coordinated in the {VIVO}2+ (vanadyl) complexes L, M, N, and O as described in the text.
The to-date crystallographically confirmed ligation modes of dpkoxH and dpkox− are illustrated in Figure 14. The structural formulae of the non-trivial ligands that are present in the complexes are shown in Figure 15.
Figure 14.
The to-date crystallographically observed coordination modes of dpkoxH2+, dpkoxH, and dpkox−, and the Harris notation [2] that describes these modes. M is a metal ion and Ln is a trivalent lanthanoid.
Figure 15.
The structural formulae of most of the ancillary ligands discussed in the text. For the anionic ligands, the negative charge is indicated only in their abbreviations and not at the corresponding atoms in the structural formulae.
5.2. Mononuclear Complexes
The to-date structurally characterized mononuclear (monometallic) complexes of dpkoxH or/and dpkox− (1–17) are listed in Table 1. The molecular structures of some of them are presented in Figures 16, 17, and 19–25 and described in Refs. [24,25,26,27,28,29,30,31,32,33,34,35,36,37], while docking representations of complex 11 and diflH are shown in Figure 18.
Table 1.
Mononuclear metal complexes of dpkoxH and/or dpkox−.
We first give some general remarks about the mononuclear compounds: (i) Most complexes contain the neutral ligand (dpkoxH); exceptions are the Au(III) complex [AuIIICl(dpkox)2] (23) and complex [CuIICl(dpkox)(dpkoxH)] (8), the latter containing both the neutral and deprotonated ligands. There is no specific effect of the two different forms of the ligand on the structural features of the complexes. The anion (dpkox−) behaves as a 1.0110 ligand, while the neutral molecule (dpkoxH) behaves either as a 1.0110 or 1.0101 ligand. As we shall see later, both forms can act as bridging ligands. (ii) Many complexes are neutral; complexes 6, 18, 19, 21, and 22 are cationic with +1 charge. (iii) With the exception of 18–22 which are organometallic-coordination hybrids, the rest are purely coordination complexes; and (iv) the Ni(II) [2–7] and four Zn(II) [14–17] complexes contain monoanionic non-steroidal anti-inflammatory carboxylate drugs (mef−, tolf−, difl−, mclf− fluf−, mcpa−, indo−; for their structural formulae; see Figure 15), which give remarkable biological properties to these compounds (vide infra). We now discuss some important synthetic, structural, and biological features of selected mononuclear complexes.
Figure 16.
The structures of the molecules [Ni(mef)2(dpkoxH)2], [Ni(tolf)2(dpkoxH)2], [Ni(dilf)2(dpkoxH)2], and the cation [Ni(dicl)(diclH)(dpkoxH)2]+ that are present in the crystals of 2, 3, 4, and 6, respectively.
Figure 16.
The structures of the molecules [Ni(mef)2(dpkoxH)2], [Ni(tolf)2(dpkoxH)2], [Ni(dilf)2(dpkoxH)2], and the cation [Ni(dicl)(diclH)(dpkoxH)2]+ that are present in the crystals of 2, 3, 4, and 6, respectively.

Figure 17.
The structures of the molecules [Zn(mef)2(dpkoxH)2] and [Zn(difl)2(dpkoxH)2] that are present in the crystals of 14 and 16, respectively.
Figure 17.
The structures of the molecules [Zn(mef)2(dpkoxH)2] and [Zn(difl)2(dpkoxH)2] that are present in the crystals of 14 and 16, respectively.

Complexes 2–7 [25,26,27,28,29] and 14–17 [36,37,38,39] are easily prepared in moderate-to-good yields by the reaction of a metal “salt” (usually chloride), dpkoxH, the neutral ancillary NSAID ligand, and a base in a 1:2:2:2 molar ratio; the commonly used solvent was MeOH. As a typical example, the preparation of 3 is given in Equation (2).
| [Ni(tolf)2(dpkoxH)2] | + 2 KCl + 8 H2O | (2) | |
| 3 |
Complexes 2–7 and 14–17 (Figure 16 and Figure 17) are neutral. The octahedral coordination sphere of the metal ion consists of two carboxylato O atoms from two monodentate deprotonated NSAIDs and two 1.0110 dpkoxH ligands (Figure 14). The O atoms and the pyridyl N atoms are in cis position and the oxime nitrogens in trans; thus, each O atom is trans to a pyridyl N atom. Complex 6 is cationic because one of NSAID ligands is neutral (diclH; Figure 16); the positive charge is counterbalanced by a non-coordinated difl− anion. The molecular structure of this complex [29] is similar to that of 2–7 and 14–17, with the carboxylate/carboxylic (via the O atom of the double carbon-oxygen bond) O atoms and the pyridyl N atoms in cis positions, and the oxime nitrogens in trans. In most molecular structures, there are intramolecular H bonds with the oxime O and the secondary amine N atoms of the NSAID as donors, and the carboxylato (“free” and coordinated) O atoms as acceptors.
Figure 18.
Docking representations of [Zn(difl)2(dpkoxH)2] (16) in orange and free diflH in blue interacting with calf-thymus DNA. Reproduced from Ref. [38]. Copyright 2017 Elsevier.
Figure 18.
Docking representations of [Zn(difl)2(dpkoxH)2] (16) in orange and free diflH in blue interacting with calf-thymus DNA. Reproduced from Ref. [38]. Copyright 2017 Elsevier.

The presence of NSAIDs in 2–7 and 14–17 provides the complexes with remarkable biological properties, including albumin binding, interactions with calf-thymus DNA, and antioxidant and anticholinergic activities. In most cases, the complexes are more active than the free NSAIDs, suggesting their potential application as metallodrugs. In silico studies have also been performed. For example, docking calculations for calf-thymus DNA have indicated that 16 has a high affinity in accordance with the large experimentally calculated DNA-binding constant (Kb = 5.85 × 105 M−1) [38]. The differences in binding position for 16 and free diflH are presented in Figure 18 and it is clear that the two compounds interact with different bases. The complex interacts with H bonds and π-π stacking interactions; in contrast, diflH interacts only with H bonds. For the complex, this justifies the interaction mode revealed from experiments (in vitro UV-Vis spectroscopy and viscosity measurement, and indirectly with fluorescence emission) that could be either intercalation (π-π interactions in-between bases) or groove-binding via H-bonding [38].
Compound 8 [31] was prepared by the reaction shown in Equation (3) with a yield of ca. 70%. Its molecular structure (Figure 19) is unique because it seems to contain simultaneously the neutral (dpkoxH) and deprotonated (dpkox−) ligands, both coordinated with the 1.0110 mode; a chlorido ligand completes the coordination number five at CuII. A notable feature is the presence of a strong intramolecular H bond between the two oxime/oximate O atoms (O∙∙∙O = 2.442 Å, O∙∙∙H∙∙∙O = 169.1°). The H atom is located at practically the middle of the O atom’s distance, preventing a clear assignment of the exact position of this atom and consequently a precise attribution of the negative charge on one of the two ligands. This strong H bond rationalizes the high thermodynamic stability of the complex. Alternatively, the (dpkox∙∙∙H∙∙∙dpkox)− system can be considered as one tetradentate N4-chelating ligand (Figure 20). The metal coordination geometry is well described as distorted square pyramidal with the chlorido ligand occupying the apical position.
| CuCl2∙2H2O + 2 dpkoxH + Et3N | [CuIICl(dpkox)(dpkoxH)] | + (Et3NH)Cl + 2 H2O | (3) |
| 8 |
Figure 19.
The molecular structure of [CuIICl(dpkox)(dpkoxH)] (8).
Figure 20.
The N4-tetradentate chelating viewpoint of the moiety (dpkox∙∙∙H∙∙∙dpkox)− in complex [CuIICl(dpkox)(dpkoxH)] (8).
Complexes 11–13 were prepared by the 1:1 reactions between the corresponding zinc halides and dpkoxH in alcohols in yields >60%. Use of excess of dpkoxH gives again the 1:1 complexes and not the anticipated [ZnX2(dpkoxH)2] (X = Cl, Br) ones. The ZnII atom is in a distorted tetrahedral arrangement (Figure 21) with one 1.0101 dpkoxH ligand and two terminal halido groups. The smallest coordination angles are those involving the two 2-pyridyl N atoms (~92°) and the largest ones are those involving the two X− ligands (~115°). The six-membered chelating rings are not planar. The complexes described in Refs. [33,34,35] are polymorphs.
As already mentioned, compounds 18–22 are organometallic hybrids and were prepared by the reactions shown in Equations (4)–(7). The yields were in the range of 65–82%.
| [(Ph)2RuIII2Cl4] + 2 dpkoxH | 2 [(Ph)RuIIICl(dpkoxH)](PF6) | + 2 NH4Cl | (4) | |
| P | 18 |
| [(Cp*)2RhIII2Cl4] + 2 dpkoxH | + 2 NH4PF6 | 2 [(Cp*)RhIIICl(dpkoxH)](PF6) | + 2 NH4Cl | (5) |
| Q | 19 |
| [ReI(CO)5Cl] | + dpkoxH | [ReI(CO)3Cl(dpkoxH)] | + 2 CO | (6) |
| R | 20 |
| [(Cp*)2IrIII2Cl4] | + 2 dpkoxH + 2 NH4PF6 | 2 [(Cp*)IrIIICl(dpkoxH)](PF6) | + 2 NH4Cl | (7) |
| S | 21 (major isomer) | |||
| 22 (minor isomer) |
Figure 21.
The molecular structures of [ZnCl2(dpkoxH)2] (11) and [ZnBr2(dpkoxH)2] (13).
Figure 21.
The molecular structures of [ZnCl2(dpkoxH)2] (11) and [ZnBr2(dpkoxH)2] (13).

Figure 22.
The molecular structure of the cation [(Ph)RuIIICl(dpkoxH)]+ that is present in the hexafluorophosphate salt 18.
Figure 22.
The molecular structure of the cation [(Ph)RuIIICl(dpkoxH)]+ that is present in the hexafluorophosphate salt 18.

Figure 23.
The molecular structures of the isomeric cations that are present in complexes 21 (major isomer) and 22 (minor isomer); see text for discussion.
Figure 23.
The molecular structures of the isomeric cations that are present in complexes 21 (major isomer) and 22 (minor isomer); see text for discussion.

Figure 24.
The molecular structure of [ReI(CO)3Cl(dpkoxH)] (20).
Figure 24.
The molecular structure of [ReI(CO)3Cl(dpkoxH)] (20).

The synthetic chemistry of the [(Cp*)2IrIII2Cl4] (S)/dpkoxH reaction system in dry MeOH is interesting. The reaction gives a mixture of two products, as evidenced by 1H NMR spectroscopy [40]. The products could not be prepared separately in pure form, and so they were isolated manually. Single-crystal X-ray crystallography revealed that the major coordination isomer was 21 in which the dpkoxH molecule is coordinated to IrIII through one of the 2-pyridyl N atoms and the oxime nitrogen (1.0110; Figure 14), whereas in the case of the minor isomer 22, the coordination is through the two 2-pyridyl nitrogens (1.0101; Figure 14).
The molecular structures of the cations of 18, 21, and 22 are illustrated in Figure 22 and Figure 23, respectively. Complex 19 is structurally similar to 22, and it is the only product from the reaction. The molecular structure of 20 is presented in Figure 24.
The structures of 18, 19, 21, and 22 [39] display a characteristic three-legged “piano stool” arrangement around the central metal center; the coordination sites are occupied by two N atoms from the chelating dpkoxH (1.0110 in 18 and 21; 1.0101 in 19 and 22), one chlorido group and the Ph/Cp* ring in a η6 (18)/η5 (19, 21, 22) manner. In the distorted octahedral complex 20, the three carbonyl groups are in fac positions and are orthogonal with an average C-ReI-C angle of 88.5°. The distortion from the ideal octahedral geometry in this complex arises from the constraints associated with the binding of the 1.0101 dpkoxH ligand, the N(pyridyl)-ReI-N(oxime) bite angle being ca. 80° [41].
It should be mentioned at this point that Ru complexes with O,N-containing ligands currently attract [43] intense interest because they are very good molecular catalysts for water oxidation (WOCs).
| K[AuIIICl4] + 2 dpkoxH | [AuIIICl(dpkox)2] | + 2 HCl + KCl | (8) | |
| T | 23 |
Complex 23 was prepared in H2O at room temperature (yield not reported), Equation (8). The AuIII center has a coordination number of five with four N atoms from two 1.0110 dpkoxH molecules; the four nitrogen donor atoms are nearly coplanar. Five-coordinated gold(III) complexes are rather rare. A chlorido group occupies the apical position in the square pyramidal geometry (Figure 25) [42].
Figure 25.
The molecular structure of [AuIIICl(dpkox)2] (23).
5.3. Dinuclear Complexes
The to-date structurally characterized dinuclear (dimetallic) complexes of dpkoxH and dpkox− (24–35) are listed in Table 2. The molecular structures of selected complexes are presented in Figure 26, Figure 27, Figure 28, Figure 29, Figure 30, Figure 31, Figure 32, Figure 33, Figure 34 and Figure 35 and fully described in Refs. [31,34,35,44,45,46,47,48,49,50,51,52,53]. All the dinuclear complexes contain divalent or monovalent metals. The bridging ligands vary from neutral dpkoxH (25, 26, 32, 34, 35) to dpkox− (24, 27, 31, 33), demonstrating the flexibility of di-2-pyridyl ketoxime in both neutral and deprotonated forms; in two cases, the metal ions are bridged by bromido (30) and thiocyanido (35) groups. Complex 28 contains both the neutral and deprotonated ligands.
Figure 26.
The structure of the molecule [CrII,II2(dpkox)4] in the crystal of 24.
The isolation of 24 was rather surprising. The reaction of [CrIII,III,III3O(piv)6(H2O)](piv) (U), where piv− is the Me3CCO2− ligand (Figure 15), with three equivalents of dpkoxH in MeCN under aerobic and refluxing conditions for 12 h gave a dark brown solution from which brownish red crystals were isolated in low yield (~25%) upon layering the reaction solution with Et2O. Thus, an unusual reduction of chromium(III) to chromium(II) in air had taken place [44,45]. After many experiments, we came to the conclusion that the reducing agent is an amount of the dpkoxH ligand itself, and thus, the repeatedly low yields justify our belief that unidentified oxidation product(s) remain in solution. Metal ion-assisted oxidations of oximes have been reported [13,14], but reduction reactions of Cr(III) starting materials with ligands acting as reductants, and simultaneously appearing in the Cr(II) products, are extremely rare. Complex 24 can also be prepared by the reaction of [Cr0(CO)6] (V) with an excess of dpkoxH under refluxing aerobic conditions in MeCN/H2O in satisfactory yields, higher than 50%, based on the total available chromium [45], Equation (9).
| 2 [Cr0(CO)6] + 4 dpkoxH | + O2 | [CrII,II2(dpkox)4] + 12 CO | + 2 H2O | (9) |
| V | 24 |
Crystals of 24 can be kept for days in the mother liquor. When isolated and exposed to air, they are oxidized to a green-brown powder containing Cr(III) as revealed by EPR spectroscopy; the room-temperature spectrum of the green-brown powder displays an isotropic signal, whose intensity increases with storage time, with g ≈ 2.1 at X-band frequency, characteristic of a Cr(III) content in the sample. The molecular structure of 24 is shown in Figure 26. The CrII atoms are doubly bridged by two 2.1110 dpkox− ligands. A chelating 1.0110 dpkox− group completes a five-coordinate geometry at each metal center. The coordination polyhedron about each CrII atom is described as a distorted trigonal bipyramid, with the axial sites occupied by an oximato nitrogen of a chelating dpkox− group and an oximato nitrogen of a bridging dpkox− ligand. The Cr∙∙∙Cr’ distance is long (~3.48 Å) and this precludes any thoughts of the existence of CrII-CrII bond. The 3d4 CrII atoms are high-spin as deduced from the CrII-O (~2.13 Å) and CrII-N (1.96–2.05 Å) bond lengths and a room-temperature magnetic susceptibility measurement performed almost immediately (~3 min) after the isolation of 24 from the mother liquor. The 1.0110 ligands are in syn arrangement. Each dimer is stabilized by an intramolecular π-π stacking interaction between the terminal 1.0110 ligands, the interaction involving the coordinated 2-pyridyl rings. This interaction seems to be the driving force for the isolation of the syn terminal dpkox− groups, and not the isomer with the anti-arrangement (or a mixture of the two isomers). The uncoordinated N and O atoms are acceptors of H bonds with the lattice H2O molecules (that exist in the crystal structure) as donors.
Table 2.
Dinuclear metal complexes of dpkoxH and dpkox−.
Table 2.
Dinuclear metal complexes of dpkoxH and dpkox−.
| Complex | Coordination Mode of dpkoxH/dpkox− c | Ref. |
|---|---|---|
| [CrII,II2(dpkox)4] (24) | 1.0110, 2.1110 | [44,45] |
| [MnII,II2(O2CCF3)2(hfac)2(dpkoxH)2] (25) a | 2.0111 | [24] |
| [Ni2(PhPO3)2(dpkoxH)4] (26) | 1.0110 | [46] |
| [CuII,II2(dpkox)4] (27) | 1.0110, 2.1110 | [47,48] |
| [CuII,II2(dpkox)2(dpkoxH)2](ClO4)2 (28) | 1.0110, 2.1110 | [49] |
| [CuII,II2Cl4(H2O)2(dpkoxH2)2]Cl2 (29) b | 1.011 | [50] |
| [CuII,II2Br4(dpkoxH2)2][CuIIBr4] (30) | 1.0110 | [34,35] |
| [CuII,II2(hfac)2(dpkox)2] (31) a | 2.1110 | [31] |
| [CuI,I2Cl2(dpkoxH)2] (32) | 2.0111 | [51] |
| [RuI,I2(CO)4(dpkox)2] (33) | 2.1110 | [52] |
| [AgI,I2(NO3)2(dpkoxH)2] (34) | 2.0111 | [49,50] |
| [HgII,II2(SCN)4(dpkoxH)2] (35) | 1.0110 | [53] |
a hfac is the hexafluoroacetylacetonato(−1) ligand. b dpkoxH2+ is protonated (at one of its 2-pyridyl nitrogen atoms) di-2-pyridyl ketoxime. c Using the Harris notation [2]. Lattice solvent molecules have not been incorporated in the formulae of the complexes.
Complex 25 was not prepared using a trifluoroacetate-containing Mn(II) starting material. Treatment of Mn(hfac)2∙3H2O (W) with one equivalent of dpkoxH in CH2Cl2 led to 25 in 70% yield [24]. The CF3CO2− ligand arises from the transformation of hfac−, Equation (10). β-diketonates often undergo the retro-Claisen condensation reactions to give a ketone and a carboxylate under strongly basic conditions; in the present case, dpkoxH could function as the base to assist the decomposition. In the dinuclear complex (Figure 27), the two MnII centers are bridged by two 2.0111 dpkoxH ligands. Each metal ion is further coordinated by a chelating (1.11) hfac− ligand, and a terminal (1.10) CF3CO2− group, completing a distorted octahedral geometry at each MnII. The chromophores are fac-{MnIIO3N3}. The long Mn∙∙∙Mn distance (5.603 Å) reflects the polyatomic nature of the bridges.
| F3CCOCH2COCF3 CF3CO2− + CH3COCF3 | (10) |
Figure 27.
The structure of the centrosymmetric molecule [MnII,II2(O2CF3)2(hfac)2(dpkoxH)2] that is present in the crystal of 25.
Figure 27.
The structure of the centrosymmetric molecule [MnII,II2(O2CF3)2(hfac)2(dpkoxH)2] that is present in the crystal of 25.

The Cu(II)/dpkoxH reaction system is extremely fertile (Table 2 and vide infra). Complex 27 was prepared [47,48] through the reaction represented by Equation (11). Its molecular structure is shown in Figure 28. The complex is isostructural with 24 (Figure 26).
| 2 CuII(ClO4)2∙6H2O + 8 dpkoxH + 4 NaOH | 2 [CuII,II2(dpkox)4] | + 4 NaClO4 + 16 H2O | (11) |
| 27 |
Figure 28.
The structure of the molecule [CuII,II2(dpkox)4] and the cation [CuII,II2(dpkox)2(dpkoxH)2]2+ that are present in complexes 27 and 28, respectively.
Figure 28.
The structure of the molecule [CuII,II2(dpkox)4] and the cation [CuII,II2(dpkox)2(dpkoxH)2]2+ that are present in complexes 27 and 28, respectively.

The 1:2 reaction between CuII(ClO4)2∙6H2O and dpkoxH in alcohols at room temperature, in the absence of an external base, gave a green solution from which were subsequently isolated dark green crystals of the cationic complex 28 in typical yields of 35–40%, Equation (12) [49]. This complex seems to be an intermediate of the reaction that leads to the neutral dimer 27 [47,48]. In accordance with this, 28 reacts with two equivalents of LiOH∙H2O in MeOH/DMF to give 27 in yields ~50%, Equation (13). Complex 28 can also be isolated by stoichiometric acidification of 27 with aqueous HClO4 1 N in MeOH, but in yields lower than 25%, Equation (14). In the centrosymmetric cation (Figure 28), the two CuII centers are doubly bridged by the syn, anti oximato groups of the two dpkox− ligands. A chelating (1.0110) neutral dpkoxH molecule completes five-coordination at each metal ion. The geometry of copper(II) is distorted square pyramidal, the apical position being occupied by an oximato O atom.
| 2 CuII(ClO4)2∙6H2O + 4 dpkoxH | [CuII,II2(dpkox)2(dpkoxH)2](ClO4)2 | + 2 HClO4 + 12 H2O | (12) | |
| 28 |
| [CuII,II2(dpkox)2(dpkoxH)2](ClO4)2 | 2 [CuII,II2(dpkox)4] | + 2 LiClO4 + 4 H2O | (13) | |
| 28 | 27 |
| [CuII,II2(dpkox)4] | + 2 HClO4 | CuII,II2(dpkox)2(dpkoxH)2](ClO4)2 | (14) | |
| 27 | 28 |
Although 27 and 28 have chemically similar {CuII,II2(μ-ON)2}2+ cores, the topology of the oximato bridges and the coordination geometry of the metal ions are different. This difference has a dramatic influence on the magnetic properties of the complexes due to the different types of interactions between the CuII 3d orbitals and the p orbitals of the oximato bridge. The metal ions in 27 are strongly antiferromagnetically coupled, and the compound is almost diamagnetic at room temperature! In contrast, the CuII∙∙∙CuII exchange interaction in 28 is ferromagnetic with an S = 1 ground state [49].
Figure 29.
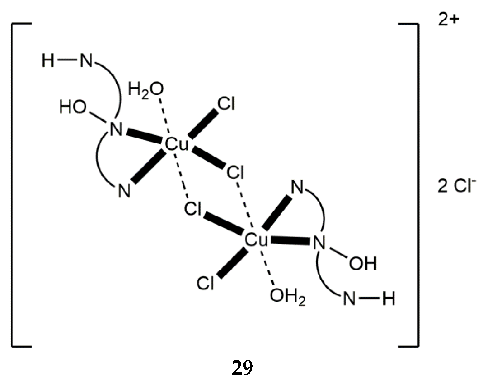
Schematic illustration of the structure of the cationic complex [CuII,II2Cl4(H2O)2(dpkoxH2)2]Cl2 (29). The symbol with the three nitrogen atoms, the hydroxyl group, and the proton is a short representation of the cationic ligand dpkoxH2+ in which the non-coordinated 2-pyridyl N atom is protonated. The dashed bold lines indicate weak coordination bonds.
Figure 29.
Schematic illustration of the structure of the cationic complex [CuII,II2Cl4(H2O)2(dpkoxH2)2]Cl2 (29). The symbol with the three nitrogen atoms, the hydroxyl group, and the proton is a short representation of the cationic ligand dpkoxH2+ in which the non-coordinated 2-pyridyl N atom is protonated. The dashed bold lines indicate weak coordination bonds.

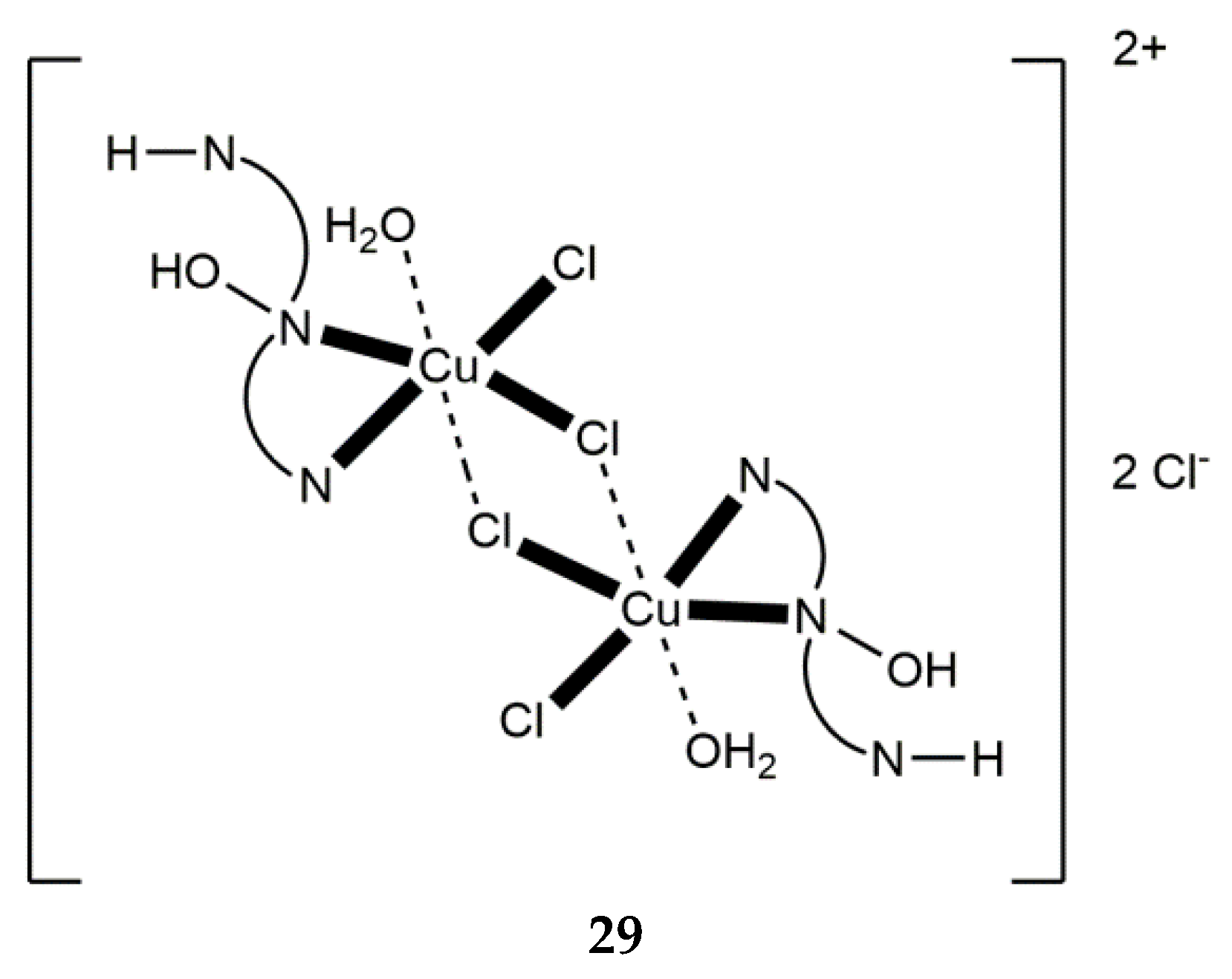
Change of the perchlorate anions of the copper(II) “salt” with chlorides and bromides has a remarkable impact on the chemical and structural identity of the products. The dinuclear complex 29 (Figure 29) was prepared by the reaction shown in Equation (15). The low pH (~2) has as a result the protonation of one 2-pyridyl N atom of each dpkoxH (thus becoming a pyridinium ring), and therefore a cation dpkoxH2+ is formed which is coordinated in a chelating fashion through the “free” 2-pyridyl N and the oxime N atoms (1.011 in Figure 14). The CuII centers are doubly bridged by two centrosymmetrically bonded chlorido ligands, while a weakly coordinated H2O molecule completes a Jahn–Teller distorted octahedral geometry at CuII (the coordination bonds of the Jahn–Teller positions are drawn with dashed lines in Figure 29) [50].
| [CuII,II2Cl4(H2O)2(dpkoxH2)2]Cl2 | + 2 H2O | (15) | |
| 29 |
An analogous reaction with that described in Equation (15), but using CuBr2 instead of CuCl2∙2H2O, gave a crystalline product that could be characterized. The CuBr2/dpkoxH/HBr reaction system gave complex [CuII,II2Br2(dpkoxH2)2][CuIIBr4] (30) [34α]; the solvent and the yield were not reported. The reaction is represented by Equation (16). The complex is cationic, and the positive charge is counterbalanced by a distorted tetrahedral [CuIIBr4]2− anion. In the cation, the two CuII atoms are doubly bridged by two asymmetrically bonded bromido groups (thus resembling the bridging unit of 29). A terminal bromido group and a 1.011 dpkoxH2+ cationic ligand complete five-coordination at each metal ion (Figure 30). The aqua ligands of 29 are missing in 30, presumably due to steric effects. Variable-temperature magnetic susceptibility data and X-band powder EPR spectra suggest a negligible CuII∙∙∙CuII exchange interaction in 30 (like in 29).
| 3 CuIIBr2 + 2 dpkoxH + 2 HBr → | [CuII,II2Br2(dpkoxH2)2][CuIIBr4] | (16) |
| 30 |
Figure 30.
The structure of the cation [CuII,II2Br4(dpkoxH2)2]2+ that is present in complex 30.
Figure 30.
The structure of the cation [CuII,II2Br4(dpkoxH2)2]2+ that is present in complex 30.

The incorporation of the chelating ligand hfac− in and omission of HCl from the CuIICl2∙2H2O/dpkoxH reaction system kept the nuclearity of the product to two, but changed the bridging unit. The 1:1:2 reaction between CuCl2∙2H2O, dpkoxH, and Na(hfac) in CH2Cl2 gave a slurry, which was filtered to remove the insoluble NaCl. The addition of Et2O/n-hexane into the dark green solution gave 31 a good yield (~60%), Equation (17). This complex can also be prepared by the treatment of 8 (Table 1) with one equivalent of Na(hfac), Equation (18). The CuII atoms in the centrosymmetric complex 31 (Figure 31) are doubly bridged by the diatomic oximato groups of 2.1110 dpkox− ligands; the bridging CuNOCu’ unit is not planar. A bidentate chelating (1.11) hfac− ligand completes five-coordination at Cu/Cu’. The geometry of each metal ion is almost perfect square pyramidal, with the apical position occupied by a hfac− O atom. The CuII∙∙∙CuII distance is 3.77 Å [31]. The crystal structure is stabilized by intermolecular Van der Waals F∙∙∙F contacts (2.92 Å) which link neighboring dinuclear molecules into 1D double chains; these interactions create channels in which lattice CH2Cl2 molecules reside. Variable-temperature magnetic data are indicative of a very strong intramolecular antiferromagnetic exchange interaction with a resulting S = 0 ground state, which is well-isolated from the S = 1 excited state. This magnetic feature seems to be typical for Cu(II) complexes with double oximato bridges, which usually exhibit nearly complete spin coupling even at 20 °C.
| [CuII,II2(hfac)2(dpkox)2] | + 2 hfacH + 4 NaCl + 4 H2O | (17) | |
| 31 | |||
| 2 [CuIICl(dpkox)(dpkoxH)] + 2 Na(hfac) | [CuII,II2(hfac)2(dpkox)2] | + 2 dpkoxH + 2 NaCl | (18) |
| 31 |
Figure 31.
The molecular structure of [CuII,II2(hfac)2(dpkox)2] (31).
Figure 31.
The molecular structure of [CuII,II2(hfac)2(dpkox)2] (31).

The copper/chloride/di-2-pyridyl ketoxime chemistry is not only confined to Cu(II). The 1:2:excess CuCl2∙2H2O/dpkoxH/NaCl reaction system in EtOH/H2O, in the presence of L(+) ascorbic acid (a reducing agent), under gentle heating, gave complex [CuI,I2Cl2(dpkoxH)2] (32) in low yield (ca. 20%). The molecular structure of the centrosymmetric diamagnetic complex is shown in Figure 32. The two CuI atoms are doubly bridged by two 2.0111 dpkoxH ligands. One terminal chlorido group completes a distorted tetrahedral geometry at each metal ion. The CuI∙∙∙CuI separation is 4.83 Å.
Figure 32.
The molecular structure of [CuI,I2Cl2(dpkoxH)2] (32).
Figure 32.
The molecular structure of [CuI,I2Cl2(dpkoxH)2] (32).

From the 2nd- and 3rd-row transition metals, only Ru, Ag, and Hg have been reported to form dinuclear complexes with dpkoxH and dpkox−. Complex 33 [52] was isolated as the major reaction product (in a mixture with 50, vide infra) using [Ru03(CO)12] (X) as the starting material, Equation (19). The 13C{1H} NMR spectrum of the complex shows only two signals attributed to terminal carbonyl ligands. The molecule contains two 2.1110 dpkox− ligands spanning the same edge of the dimetallic core in a head-to-tail arrangement (Figure 33). The Ru1-Ru2 distance is 2.620 Å, as expected for a single metal–metal bond, in accordance with the 34-electron count of the molecule.
| 2 [Ru03(CO)12] | 3 [RuI,I2(CO)4(dpkox)2] | + 12 CO + 3 H2O | (19) | |
| X | 33 |
Figure 33.
The molecular structure of [RuI,I2(CO)4(dpkox)2] (33).
Figure 33.
The molecular structure of [RuI,I2(CO)4(dpkox)2] (33).

Complex 34 was prepared by the 1:1 reaction of AgNO3 and dpkoxH in warm water (~60 °C) at neutral pH. The two AgI atoms in the centrosymmetric complex are bridged by two 2.0111 dpkoxH molecules, with two monodentate nitrato groups completing a distorted tetrahedral coordination geometry of the metal centers (Figure 34).
Figure 34.
The molecular structure of [AgI,I2(NO3)2(dpkoxH)2] (34).
Figure 34.
The molecular structure of [AgI,I2(NO3)2(dpkoxH)2] (34).

The reaction of Hg(SCN)2 with an excess of dpkoxH (1:2) in Me2CO gave complex 35 in typical yields of 30–35% [53]. The HgII centers in the centrosymmetric complex are bridged by a pair of syn, syn-2.11 SCN− groups. The HgII atoms are each chelated by an 1.0110 dpkoxH ligand and a terminal S-bonded thiocyanido ion (Figure 35). The metal coordination geometry is intermediate between square pyramidal and trigonal bipyramidal. The crystal lattice of the complex is built through H bonds and S∙∙∙S contacts. The dinuclear molecules are connected through intermolecular H bonds with the oxime O atom as donor and the N atom of the uncoordinated 2-pyridyl ring as acceptor; these H bonds create a 2D lattice. The 2D sheets are further linked through intermolecular S∙∙∙S interactions (S∙∙∙S = 3.83 Å) generating a 3D architecture.
Figure 35.
The molecular structure of [HgI,I2(SCN)4(dpkoxH)2] (35).
Figure 35.
The molecular structure of [HgI,I2(SCN)4(dpkoxH)2] (35).

5.4. Trinuclear Complexes
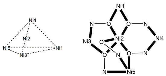
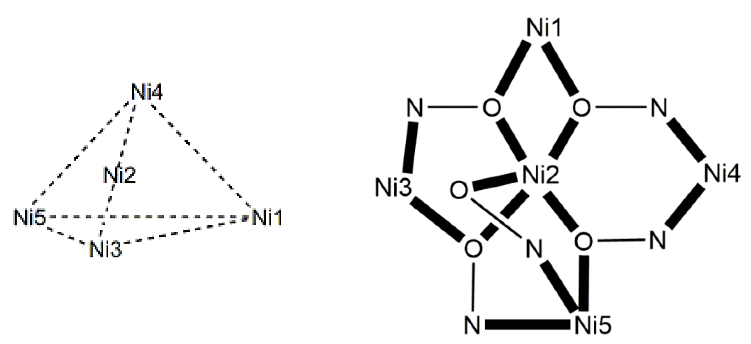
The to-date structurally characterized homotrinuclear and heterotrinuclear metal complexes of dpkoxH and dpkox−, 36–52 and 53–63, are listed in Table 3 and Table 4, respectively. The molecular structures of some complexes are presented in Figures 36, 38–45, 47, and 48, while physical/spectroscopic data for a few of them are shown in Figures 37 and 49–53.
Figure 36.
The structures of the cation [CrIII,III,III3O(piv)4(H2O)(dpkox)2]+ and the molecule [CrIII,III,III3O Cl(piv)4(dpkox)2] that are present in the crystals of 36 and 37, respectively.
Figure 36.
The structures of the cation [CrIII,III,III3O(piv)4(H2O)(dpkox)2]+ and the molecule [CrIII,III,III3O Cl(piv)4(dpkox)2] that are present in the crystals of 36 and 37, respectively.

The Cr(III) complexes 36 and 37 were prepared by the reactions shown in Equations (20) and (21), respectively [45]; yields were 34% (36) and 72% (37). Complex 36 could also be isolated using 37 as the starting material, Equation (22). The synthesis of 37 can be achieved only by solvothermal techniques, which sometimes favor the formation of metastable compounds that are difficult or even impossible to obtain by convenient coordination chemistry techniques, i.e., solution chemistry under atmospheric pressures and at temperatures limited to the boiling points of the solvents. The presence of the coordinated chlorido group in 37 is intriguing and can be attributed to the decomposition of the CH2Cl2 solvent used, Equation (23). This transformation is favored by a combination of the presence of CrIII and the high-pressure/high-temperature conditions during the solvothermal reactions [45].
| [CrIII,III,III3O(piv)6(H2O)3](piv) + 2 dpkoxH + NaNO3 | (20) |
| Y [CrIII,III,III3O(piv)4(H2O)(dpkox)2](NO3) + Na(piv) + 2 pivH + 2 H2O | |
| 36 | |
| 2 [CrIII,III,III3O(piv)6(H2O)3](piv) + 4 dpkoxH + 2 CH2Cl2 | (21) |
| Y 2 [CrIII,III,III3OCl(piv)4(dpkox)2] + 6 pivH + Cl-CH = CH-Cl + 6 H2O | |
| 37 | |
| [CrIII,III,III3OCl(piv)4(dpkox)2] + NaNO3 + H2O [CrIII,III,III3O(piv)4(H2O)(dpkox)2](NO3) + NaCl | (22) |
| 37 36 | |
| 2 CH2Cl2 + 2 piv− → Cl-CH = CH-Cl + 2 pivH + 2 Cl− | (23) |
The core of the cation [CrIII,III,III3O(piv)4(H2O)(dpkox)2]+ in complex 36 consists of a near-equilateral CrIII,III,III3 triangle capped by a central μ3-oxido (μ3-O2−) group. The μ3-O2− ion is ~0.20 Å above the plane of the three metal ions and occupies the common vertex of the coordination octahedra around them. Each of the Cr1∙∙∙Cr3 and Cr2∙∙∙Cr3 edges (Figure 36) is further bridged by one syn, syn-2.11 piv− ligand and one oximato group of a 2.1110 dpkox− ligand, while the Cr1∙∙∙Cr2 edge is further bridged by two syn, syn-piv− groups. A terminal aquo ligand completes a distorted octahedral geometry around Cr3. There are two crystallographically independent clusters in the asymmetric unit with almost identical structural characteristics. The resulting cationic units of 36 are counterbalanced by NO3− anions, strongly H-bonded to the coordinated aquo group. The molecular structure of 37 is very similar to that of the cation of 36, the only difference being the presence of a chlorido group in the former instead of the aquo group in the latter [45]. Thus, 37 consists of neutral molecules (Figure 36).
Figure 37.
(Left) χMT vs. T plot for a powdered sample of 37 in a 3 KG field (χM is the molar magnetic susceptibility and T is the absolute temperature). The solid line is the fit of the experimental data to the appropriate 2-J model [45]. (Right) X-band EPR spectra of solid 37 recorded at 295 K (dashed line) and 20 K (solid line). Reproduced from Ref. [45]. Copyright 2007 Elsevier.
Figure 37.
(Left) χMT vs. T plot for a powdered sample of 37 in a 3 KG field (χM is the molar magnetic susceptibility and T is the absolute temperature). The solid line is the fit of the experimental data to the appropriate 2-J model [45]. (Right) X-band EPR spectra of solid 37 recorded at 295 K (dashed line) and 20 K (solid line). Reproduced from Ref. [45]. Copyright 2007 Elsevier.

Variable-temperature magnetic susceptibility data (Figure 37, left), and EPR data at 295 and 20 K (Figure 37, right) of solid 37 reveal an antiferromagnetically coupled system with an S = 3/2 ground state.
Table 3.
Homotrinuclear (homotrimetallic) complexes of dpkoxH and dpkox−.
Figure 12.
The structural formula and abbreviation of salicylhydroxamic acid, one of the most commonly used ligands for the construction of MCs (vide infra).
Table 3.
Homotrinuclear (homotrimetallic) complexes of dpkoxH and dpkox−.
| Complex a,b | Coordination Mode of dpkoxH/dpkox− c | Ref. |
|---|---|---|
| [CrIII,III,III3O(piv)4(H2O)(dpkox)2](NO3) (36) | 2.1110 | [45] |
| [CrIII,III,III3OCl(piv)4(dpkox)2] (37) | 2.1110 | [45] |
| [MnII,IV,II3(OMe)2Cl2(dpkox)4] (38) | 2.1110 | [54] |
| [MnII,IV,II3(OMe)2(SCN)2(dpkox)4] (39) | 2.1110 | [54,55] |
| [MnII,IV,II3(OMe)2(NCO)2(dpkox)4] (40) | 2.1110 | [54] |
| [MnII,IV,II3(ed)Cl2(dpkox)4] (41) | 2.1110 | [56] |
| [MnII,IV,II3(pd)Cl2(dpkox)4] (42) | 2.1110 | [56] |
| [MnII,IV,II3(perH2)Cl2(dpkox)4] (43) | 2.1110 | [56] |
| [FeII,III,II3(dpkox)6](ClO4) (44) | 2.1110 | [57] |
| [Ni3(shi)2(dpkoxH)2(py)2] (45) | 1.0110 | [58] |
| [Ni3(N3)4(Medpt)2(dpkox)2] (46) | 2.1110 | [59,60] |
| [CuII,II,II3(OH)(O2CPh)2(dpkox)3] (47) | 2.1110 | [61] |
| [CuII,II,II3(OH)Cl(tBuPO3H)(dpkox)3] (48) | 2.1110 | [62] |
| [CuII,II,II3(OH)Br(tBuPO3H)(dpkox)3] (49) | 2.1110 | [62] |
| [Ru3(CO)8(dpkox)2] (50) | 2.1110 | [52] |
| [Os3(H)(CO)9(dpkox)] (51) | 2.1110 | [52] |
| [Os3(CO)8(dpkox)2] (52) | 2.110 | [52] |
a Abbreviations of the non-common ancillary ligands: piv = pivalato(−1), ed = the dianion of ethanediol, pd = the dianion of propanediol, perH2 = the dianion of pentaerythritol, shi = the triply deprotonated salicylhydroxamic acid (K in Figure 12), Medpt = N-methyldipropylenetriamine, py = pyridine, tBuPO3H = the singly deprotonated tert-butylphosphoric acid. b The structural formulae of these ligands (with the exception of shi3−) are illustrated in Figure 15. c Using the Harris notation [2]. Lattice solvent molecules have not been incorporated in the formulae of the complexes.
Manganese forms two families of linear trinuclear mixed-valence clusters. A common feature of the compounds is that the central metal is MnIV and the terminal ones are MnII. Complexes 38–40 were prepared from the reactions represented by Equations (24) and (25), where X = SCN, OCN [54,55]. The yields were not reported.
| [MnII,IV,II3(OMe)2Cl2(dpkox)4] | + 4 NaCl + 17 H2O | (24) | |
| 38 | |||
| 3 MnIICl2∙4H2O + 4 dpkoxH + 4 NaOH + 2 NaX + 2 MeOH + ½ O2 | (25) | ||
| [MnII,IV,II3(OMe)2X2(dpkoxH)4] | + 6 NaCl + 17 H2O | ||
| 39, 40 |
The molecular structures of 38 and 40 are shown in Figure 38; the structure of 39 is similar. In the centrosymmetric molecules, the central MnIV atom is triply bridged to each MnII by a 2.2 methoxido group, and the diatomic oximato groups of two 2.1110 dpkox− ligands; the O atoms of the latter are bonded to MnIV. Two 2-pyridyl and two oximato N atoms (from two dpkox−) and a terminal chlorido (38), isothiocyanido (39), and isocyanato (40) groups complete a distorted trigonal prismatic coordination geometry around each MnII, the distortion depending on the bound inorganic anion [54,55]. The MnIV∙∙∙MnII magnetic exchange interactions are rather weakly ferromagnetic, and the spin ground state is S = 13/2 for the three compounds. XANES spectroscopy for 38 and 39 was used to clearly prove that the valence isomer {MnIIMnIVMnII} is present in the complexes and not the most commonly observed {MnIIIMnIIMnIII} one [55].
Figure 38.
The molecular structure of [MnII,IV,II3(OMe)2Cl2(dpkox)4] (38) and [MnII,IV,II3(OMe)2(NCO)2(dpkox)4] (40).
Figure 38.
The molecular structure of [MnII,IV,II3(OMe)2Cl2(dpkox)4] (38) and [MnII,IV,II3(OMe)2(NCO)2(dpkox)4] (40).

Complexes 41–43 were prepared from the reactions represented by Equations (26) and (27), where LH2 = edH2 (ethanediol), pdH2 (propanediol) and perH4 = pentaerythritol (for the structural formulae of their anionic forms; see Figure 15). The yields were in the range of 55–65% [56].
| 3 MnIICl2∙4H2O + 4 dpkoxH + LH2 + 4 Et3N + ½ O2 | [MnII,IV,II3(L)Cl2(dpkox)4] | + 4 (Et3NH)Cl + 13 H2O | (26) |
| 41, 42 |
| 3 MnIICl2∙4H2O + 4 dpkoxH + perH4 + 4 Et3N + ½ O2 | [MnII,IV,II3(perH2)Cl2(dpkox)4] | + 4 (Et3NH)Cl + 13 H2O | (27) |
| 43 |
Figure 39.
The molecular structures of [MnII,IV,II3(ed)Cl2(dpkox)4] (41) and [MnII,IV,II3(perH2)Cl2 (dpkox)4] (43); ed is the dianion of ethanediol and perH2 is the dianion of pentaerythritol (Figure 15).
Figure 39.
The molecular structures of [MnII,IV,II3(ed)Cl2(dpkox)4] (41) and [MnII,IV,II3(perH2)Cl2 (dpkox)4] (43); ed is the dianion of ethanediol and perH2 is the dianion of pentaerythritol (Figure 15).

The molecular structures of 41 and 43 are shown in Figure 39; the structure of 42 is similar, the only difference being the presence of the ancillary pd2− ligand. Complexes 41–43 are structurally similar to 38 (Figure 38), but non-centrosymmetric. The linking between the central MnIV atom to each terminal, trigonal prismatic MnII atom occurs through a deprotonated alkoxido O atom of the 3.22 ed2− and pd2− ligands (41, 42) or through a deprotonated O atom of the 3.2200 perH22− groups (43). Like 38–40, complexes 41–43 are ferromagnetically coupled with an S = 13/2 ground state [56].
Iron forms an interesting, mixed-valence trinuclear complex based on dpkox−, Equation (28). The reported yield is low (~10%) [57].
| 3 FeII(ClO4)2∙6H2O + 6 dpkoxH + ¼ O2 | [FeII,III,II3(dpkox)6](ClO4) | + 5 HClO4 + 18.5 H2O | (28) |
| 44 |
The molecular structure of the centrosymmetric cation that is present in 44 is shown in Figure 40. The central metal ion (Fe1) is bridged to each terminal ion (Fe2, Fe2′) through the oximato groups of three 2.1110 dpkox− ligands in such a way that the six oximato O atoms are bonded to the central metal (Fe1). Three 2-pyridyl N atoms complete an octahedral N6 environment at each terminal Fe ion; the central Fe ion has a distorted trigonal prismatic geometry. Bond distances and magnetic data indicate that the terminal metals are low-spin FeII (and hence diamagnetic) and the central metal is high-spin FeIII (S = 5/2) [57]; many Fe(II) complexes with {FeIIN6} chromophores are low-spin [iron(II) is a 3d6 system].
Nickel(II) forms two mixed-ligand trinuclear complexes which contain dpkoxH (45) or dpkox− (46) as one type of ligands. Compound 45 was prepared in high yield (~70%) by the reaction represented in Equation (29); shi is the trianion of salicylhydroxamic acid (K in Figure 12) and py is pyridine.
Figure 40.
The structure of the cation [FeII,III,II3(dpkox)6]+ that is present in complex 44.
Figure 40.
The structure of the cation [FeII,III,II3(dpkox)6]+ that is present in complex 44.

| [Ni3(shi)2(dpkoxH)2(py)2] | + 6 NaCl + 24 H2O | (29) | |
| 45 |
The molecule (Figure 41) is triangular. The crystallographically equivalent ions Ni2/Ni2’ have a square planar geometry and each is bonded to a 1.0110 dpkoxH ligand, while Ni1 is octahedral. The two py groups are coordinated to the octahedral NiII center. The linking between the three metal centers is achieved through two 2.11111212 shi3− ligands (Figure 42).
Figure 41.
The molecular structure of [Ni3(shi)2(dpkoxH)2(py)2] (45).
Figure 41.
The molecular structure of [Ni3(shi)2(dpkoxH)2(py)2] (45).

Figure 42.
The coordination mode of shi3− in complex [Ni3(shi)2(dpkoxH)2(py)2] (45) and the Harris notation that describes this ligation. The subscript 1 refers to the octahedral metal ion (Ni1 in Figure 41) and the subscript 2 to the square planar metal ion (Ni2 in Figure 41); pl = planar, oct = octahedral.
Figure 42.
The coordination mode of shi3− in complex [Ni3(shi)2(dpkoxH)2(py)2] (45) and the Harris notation that describes this ligation. The subscript 1 refers to the octahedral metal ion (Ni1 in Figure 41) and the subscript 2 to the square planar metal ion (Ni2 in Figure 41); pl = planar, oct = octahedral.

In a project aiming at the study of anion coordination by metallomacrocycles, the group of Escuer prepared the trinuclear complex [Ni3(N3)4(Medpt)2(dpkox)2] (46) in good yield from the reaction described in Equation (30), where Medpt is N-methyldipropylenetriamine (Figure 15) [59,60].
| 3 [Ni2(N3)4(Medpt)2] + 4 dpkoxH | 2 [Ni3(N3)4(Medpt)2(dpkox)2] + 4 (Et3NH)(N3) | + 2 Medpt | (30) | |
| Z | 46 |
The molecule (Figure 43) is triangular. The “central” Ni2 ion is bridged to each of Ni1 and Ni3 through one end-on (2.200) azido ligand and one diatomic oximato group from a 2.1110 dpkox− ligand, in such a way that Ni2 has a {NiII(Nazido)2(Noximato)2(N2-pyridyl)2} coordination sphere. A tridentate chelating, mer-coordinated Medpt ligand and a terminal (1.100) azido group complete an octahedral {NiIION5} coordination environment at each of Ni1 and Ni3 [53,54]. The Ni2∙∙∙Ni1 and Ni2∙∙∙Ni3 exchange interactions are ferromagnetic, promoted by the double oximato/end-on azido bridging units.
Figure 43.
The molecular structure of complex [Ni3(N3)4(Medpt)2(dpkox)2] (46).
Figure 43.
The molecular structure of complex [Ni3(N3)4(Medpt)2(dpkox)2] (46).

Copper(II) forms a small family of hydroxido-bridged triangular complexes with interesting magnetic properties [61,62]; their preparation is represented by Equations (31) and (32), where X = Cl, Br. The ancillary ligands are carboxylates and tert-butylphosphonate(−1); the structural formula of the latter is illustrated in Figure 15. The yields were in the range of 60–70%.
| [CuII,II,II3(OH)(O2CPh)2(dpkox)3] + 4 PhCO2H | + 5 H2O | (31) | |
| 47 | |||
| CuII(OMe)2 + 3 dpkoxH + tBuPO3H2 + NaX + H2O | [CuII,II,II3(OH)X(tBuPO3H) (dpkox)3] + NaOMe | + 5 MeOH | (32) |
| 48, 49 |
Figure 44.
The structures of the molecules [CuII,II,II(OH)(O2CPh)2(dpkox)3] and [CuII,II,II3(OH)Br (tBuPO3H)(dpkox)3] that are present in the crystals of 47 and 49, respectively.
Figure 44.
The structures of the molecules [CuII,II,II(OH)(O2CPh)2(dpkox)3] and [CuII,II,II3(OH)Br (tBuPO3H)(dpkox)3] that are present in the crystals of 47 and 49, respectively.

The molecular structure of 47 (Figure 44, left) consists of a near-equilateral copper(II) triangle capped by the oxygen atom of the 3.3 hydroxido (μ3-OH−) ion. Each edge is bridged by the oximato group of a 2.1110 dpkox− ligand. An edge of the triangle (Cu2∙∙∙Cu3 in Figure 44) is additionally bridged by a 2.11 benzoato ligand, while a monodentate (1.10) PhCO2− completes five-coordination at Cu1. The μ3-OH− oxygen atom is ~0.6 Å above the plane defined by the three metal ions, which have a distorted square pyramidal geometry; the apical positions are occupied by the three coordinated carboxylato O atoms [61]. The molecular structure of the acetato analog of 47, [CuII,II,II3(OH)(O2CMe)2(dpkox)3] (47a; this complex has not been incorporated in Table 3), has a complete similar molecular structure but a different supramolecular motif; the latter can be rationalized in terms of centrosymmetric pairs of trinuclear molecules held together by weak CuII∙∙∙Nunbound 2-pyridyl interactions at distances of ~2.8 Å. These interactions generate dimers of trimers, no longer connected to each other.
The molecular structures of 48 and 49 (Figure 44, right) are almost identical [62]. They are similar to the structures of 47 and 47a, the only differences being the replacement of the bidentate bridging carboxylato group of the PhCO2−/MeCO2− ligands in 47 and 47a by a bridging 2.2 halido group in 48 and 49, and the presence of a monodentate tBuPO3H− (1.100) ligand in 48 and 49 instead of the monodentate PhCO2−/MeCO2− ligand that is present in the carboxylato complexes.
Compounds 47, 47a, 48, and 49 can be alternatively described as rare examples of inverse 9-metallacrown-3 complexes [3]. Using metallacrown nomenclature, the formulae of the complexes are {(OH)[inv9-MCCu(II)N(dpkox)-3](O2CR)2} (R = Ph, Me) and {(OH)[inv9-MCCu(II)N(dpkox)-3](X)(tBuPO3H)} (R = Cl, Br).
Variable-temperature magnetic susceptibility studies for the complexes and the powder X-band EPR spectrum of 47a reveal an antiferromagnetically coupled system, also showing intramolecular antisymmetric exchange.
Interesting dpkox− -based trinuclear complexes were obtained with the 2nd- and 3rd-row transition metals of group 8 (50–52) [52]. The 1:2 reaction of [Ru3(CO)12] (X) and dpkoxH in refluxing THF gave a mixture of 33 (major product, Table 2) and 50. Assuming that the complex contains two RuI and one Ru0 atom, we can write Equation (33). The triangular monohydrido complex 51 was prepared by the reaction of [Os3(CO)10(MeCN)2] (AA) with dpkoxH in THF at room temperature (yield: 42%), Equation (34). Complex 51 can be used as starting material in the preparation of 52, Equation (35), which was isolated in low yield (~20%). Equations (34) and (35) were written assuming that two Os atoms have a formal oxidation +I and one has 0.
| [Ru3(CO)12] | [Ru3(CO)8(dpkox)2] | + 4 CO + H2O | (33) | |
| X | 50 |
| [Os3(CO)10(MeCN)2] | [Os3(H)(CO)9(dpkox)] | + CO + 2 MeCN | (34) | |
| AA | 51 |
| [Os3(H)(CO)9(dpkox)] | [Os3(CO)8(dpkox)2] | + CO + H2 | (35) | |
| 51 | 52 |
The structure of 50 (Figure 45, left) consists of triangular molecules. In addition to eight terminal CO groups, the molecule contains two 2.1110 dpkox− ligands which span the same edge of the trimetallic unit (Ru1∙∙∙Ru2), in a head-to-tail arrangement through both the oximato O and N atoms. Each dpkox− ligand is also attached through a 2-pyridyl N atom to one of the metal atoms of the bridged edge, in such a manner that the complex has a non-crystallographic two-fold axis. This symmetry was also indicated by its 13C{1H} NMR spectrum in d6-acetone which shows only four carbonyl signals. The length of the bridged edge (Ru1∙∙∙Ru2 = 3.539 Å) indicates the absence of a metal-metal bond, as expected for a 50-electron trinuclear cluster. The Ru1∙∙∙Ru3 (2.814 Å) and Ru2∙∙∙Ru3 (2.817 Å) bond lengths are indicative of metal-metal bonding [52].
Figure 45.
The structures of the molecules [Ru3(CO)8(dpkox)2] and [Os3(H)(CO)9(dpkox)] that are present in the crystals of 50 and 51, respectively.
Figure 45.
The structures of the molecules [Ru3(CO)8(dpkox)2] and [Os3(H)(CO)9(dpkox)] that are present in the crystals of 50 and 51, respectively.

Complex 50 is structurally similar with complexes [Ru3(CO)8(L-L)2 [63], where L-L are various pyridine-alkoxide ligands; those complexes were found to be highly active toward oxidation of a wide range of primary and secondary alcohols to corresponding aldehyde and ketones in the presence of N-methylmorpholine-N-oxide as oxidant.
The structure of 51 consists of a nearly equilateral triangle of Os centers in which two metal atoms (Os1 and Os2) are attached to a 2.1110 dpkox− ligand. A hydrido (H−) ion spans the same Os-Os edge as the diatomic NO oximato fragment. The shell of the complex is completed by nine terminal CO groups, and this indicates that the species is a closed-shell 48-electron cluster [52]. The molecular structure of 52 is similar to that of 50 [52]. Complexes 50–52 display low activity as DNA cleavage agents, requiring high complex concentrations, long incubation times, and the use of UV light as a trigger.
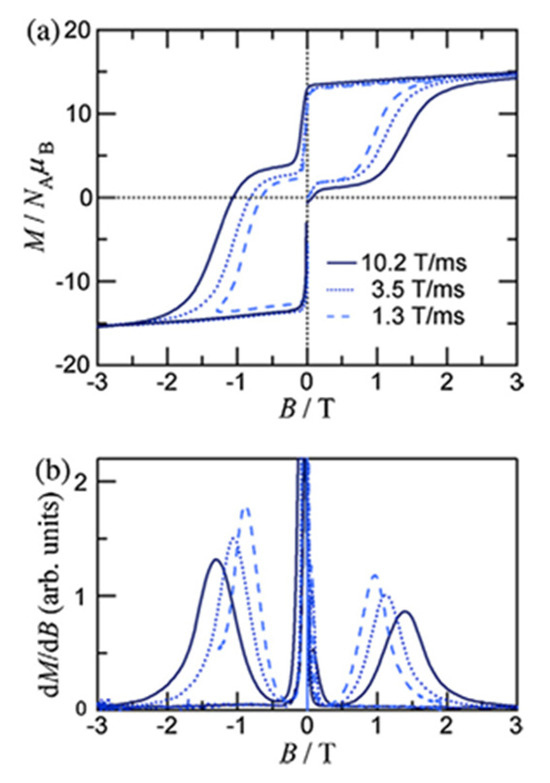
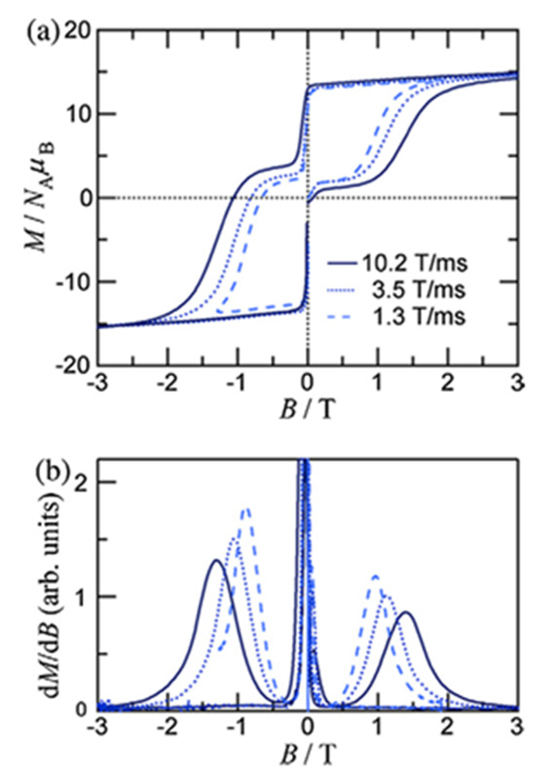
The deprotonated di-2-pyridyl ketoxime has been successfully used for the synthesis of linear {MIILnIII2} clusters (M = Ni, Pd, Cu; Ln = lanthanoid) [64,65,66,67,68], some of which exhibit interesting magnetic properties. In the last 20 years or so, there has been an intense research activity in the chemistry of 3d/4f-metal coordination clusters. The reason is that such complexes display fascinating properties (magnetic, optical, catalytic, …) and often a combination of properties arising from the simultaneous presence of two completely different metal ions [16]. The synthesis of 3d/4f-metal clusters is not an easy task. Simple reactions of the 3d- and 4f-metal starting materials often give pure 3d- or 4f-metal compounds depending on the donor atoms of the ligand. Based on the “hard and soft acids and bases” (HSAB) model, an often-used strategy is the “metal complexes as ligands” or “metalloligand” approach. In most cases, the metalloligands are mononuclear divalent 3d-metal ion complexes (the 3d-metal ion is an “intermediate” or even “soft” acid) with uncoordinated (free) O-sites, which can easily further react with the oxophilic (“hard” acids) LnIII ions providing access to mixed 3d/4f-metal species. Simple 2-pyridyl oximes (Figure 3, left) are ideal platforms for the synthesis of such complexes [16]. When deprotonated, these anionic ligands possess the 2-pyridyl N atom in a position that offers the possibility of formation of a stable five-membered chelating ring, also involving the oximato N atom, with the divalent 3d metal. Thus, the resulting complexes are efficient metalloligands, which can further react with the 4f-metal ion through their deprotonated oximato O atoms. The presence of an extra 2-pyridyl ring in dpkox− could, in principle, enable the formation of a second chelating ring (6-membered this time) with the LnIII ion involving the oximato O atom and the second 2-pyridyl N atom. Based on the HSAB model, the expected coordination mode of dpkox− is the 2.12111112 one illustrated in Figure 14, where subscript 1 refers to MII and subscript 2 to LnIII. Of course, the possibility of bridging the oximato O atom to a second LnIII center (3.22111112 ligation mode) cannot be ruled out.
Ishida and co-workers prepared {NiLn2} and {MLn2} clusters ((M = PdII, CuII) [64,65,66,67,68], with a few of them exhibiting exciting magnetic properties. Since the complexes have similar molecular structures, we list some (but not all) in Table 4. For their preparation, the metalloligands BB, CC, and DD, shown in Figure 46, were designed and prepared. The preparation of the clusters is represented by Equations (36)–(38); the yields were moderate to good. The ligand hfac− is the ancillary hexafluoroacetylacetonato(−1) group, py is pyridine, and phen is the bidentate chelating ligand 1,10-phenathroline.
| [Ni(dpkox)2(phen)] | [NiLn2(hfac)6(dpkox)2(phen)] | + 4 H2O | (36) | |
| BB | 53–57 |
| [Ni(dpkox)2(py)2] | [NiLn2(hfac)6(dpkox)2(py)2] | + 4 H2O | (37) | |
| CC | 57–60 |
| [M(dpkox)2] | [MLn2(hfac)6(dpkox)2] | + 4 H2O | (38) | |
| DD | 61–63 |
Figure 46.
The metalloligands used for the synthesis of {NiLn2} and {MIILn2} (M = Pd, Cu) complexes based on dpkox−.
Figure 46.
The metalloligands used for the synthesis of {NiLn2} and {MIILn2} (M = Pd, Cu) complexes based on dpkox−.

Table 4.
Heterotrinuclear (heterotrimetallic) complexes of dpkoxH and dpkox−.
Table 4.
Heterotrinuclear (heterotrimetallic) complexes of dpkoxH and dpkox−.
| Complex a | Coordination Mode of dpkoxH/dpkox− d | Ref. |
|---|---|---|
| [NiTb2(hfac)6(dpkox)2(phen)] (53) b | 2.12111112 | [64] |
| [NiDy2(hfac)6(dpkox)2(phen)] (54) b | 2.12111112 | [64] |
| [NiHo2(hfac)6(dpkox)2(phen)] (55) b | 2.12111112 | [64] |
| [NiEr2(hfac)6(dpkox)2(phen)] (56) b | 2.12111112 | [64] |
| [NiGd2(hfac)6(dpkox)2(py)2] (57) c | 2.12111112 | [65] |
| [NiTb2(hfac)6(dpkox)2(py)2] (58) c | 2.12111112 | [65] |
| [NiDy2(hfac)6(dpkox)2(py)2] (59) c | 2.12111112 | [64] |
| [NiHo2(hfac)6(dpkox)2(py)2] (60) c | 2.12111112 | [64,65] |
| [PdIIDy2(hfac)6(dpkox)2] (61) | 2.12111112 | [66] |
| [CuIIDy2(hfac)6(dpkox)2] (62) | 2.12111112 | [67] |
| [CuIIGd2(hfac)6(dpkox)2] (63) | 2.12111112 | [68] |
a hfac is the hexafluoroacetylacetonato(−1) ligand. b phen = 1,10-phenanthroline. c py = pyridine. d Using the Harris notation; subscript 2 refers to the lanthanoid ion, and subscript 1 to the transition metal ion; see Figure 14.
Figure 47.
The molecular structures of [NiDy2(hfac)6(dpkox)2(phen)] (54) and [NiGd2(hfac)6(dpkox)2(py)2] (57).
Figure 47.
The molecular structures of [NiDy2(hfac)6(dpkox)2(phen)] (54) and [NiGd2(hfac)6(dpkox)2(py)2] (57).

Figure 48.
The molecular structures of [PdIIDy2(hfac)6(dpkox)2] (61) and [CuIIGd2(hfac)6(dpkox)2] (63).
Figure 48.
The molecular structures of [PdIIDy2(hfac)6(dpkox)2] (61) and [CuIIGd2(hfac)6(dpkox)2] (63).

The molecular structures of 54, 57, 61, and 63 are shown in Figure 47 and Figure 48. Complexes 53–56 have completely similar molecular structures [64]. The precursor BB has been incorporated in the center of the molecule; the only difference is that the coordination mode of dpkox− has changed from 1.0110 in the former to 2.12111112 (Figure 14) in the latter, where the subscript 2 refers to LnIII and 1 to NiII. The molecules have a two-fold crystallographic axis that passes from the center of phen and NiII. Due to the molecular symmetry, the three metal ions are arranged in a V-type manner, but actually the LnIII∙∙∙NiII∙∙∙LnIII array is close to linear (~177°). Three chelating hfac− groups, and one O and one N atoms from the same dpkox− complete eight-coordination at each 4f-metal ion. Thus, the coordination spheres are {NiIIN6} and {LnIIIO7N}.
The molecular structures of 57–60 [64,65] are also similar. The molecules have a crystallographically imposed inversion center at NiII and thus the topology is strictly linear. Two py ligands are trans in the {NiIIN6} coordination sphere. The coordination mode of dpkox− ligands is identical to that in 53–56 and the peripheral ligation around the LnIII centers is the same, i.e., three chelating hfac− groups.
The molecular structures of the {MLn2} complexes (M = CuII, PdII) [66,67,68] are similar to those of 57–60, the only difference being the absence of the two py molecules from the central, square planar transition metal ions.
Some of the complexes listed in Table 4 (and a few similar ones that are not listed) exhibit interesting magnetic properties. Selected features are illustrated in Figure 49, Figure 50, Figure 51, Figure 52 and Figure 53. Among others: (a) Complexes 54 and 58 exhibit a temperature and frequency dependence of the out-of-phase molar magnetic alternating current (ac) susceptibility, obtained at a 5 G (ac) field and zero direct current (dc) field (Figure 49), suggesting that they are SMMs [64]. (b) High-Frequency EPR (HF-EPR) studies made possible the determination of the NiII∙∙∙LnIII exchange coupling in 57–60 and its chemical trend (Figure 50). In contrast to the antiferromagnetic {NiDy2} complex 59, ferromagnetic couplings were precisely determined for 57, 58, and 60 [58]. (c) Magnetization studies at 0.4 K for 61 (Figure 51) indicate that this complex is SMM [66]; in addition, the diamagnetism of PdII was proven indispensable to clarify the contribution of the LnIII∙∙∙LnIII exchange coupling in the magnetism of the isomorphous complex 62. (d) Complex 62 is SMM (Figure 52) [67]. (e) HF-EPR spectra (Figure 53) and magnetization studies led to the conclusion that 63, and its isomorphous Tb(III) and Ho(III) analogs [68] are characterized by ferromagnetic CuII∙∙∙LnIII exchange interactions.
Figure 49.
Temperature and frequency dependence of the out-of-phase molar magnetic alternating current (ac) susceptibility, χΙΙac, for complexes [NiDy2(hfac)6(dpkox)2(phen)] (54) (a) and [NiDy2(hfac)6(dpkox)2(py)2] (59) (b). Reproduced from Ref. [64]. Copyright 2005 Elsevier.
Figure 49.
Temperature and frequency dependence of the out-of-phase molar magnetic alternating current (ac) susceptibility, χΙΙac, for complexes [NiDy2(hfac)6(dpkox)2(phen)] (54) (a) and [NiDy2(hfac)6(dpkox)2(py)2] (59) (b). Reproduced from Ref. [64]. Copyright 2005 Elsevier.

Figure 50.
(a) Plot of the 3d-4f exchange parameters (J) in the {NiLn2} clusters 57–60 and the {CuIILn2} complexes 62, 63, [CuIITb2(hfac)6(dpkox)2] (not listed in Table 4) and [CuIIHo2(hfac)6(dpkox)2] (also not listed in Table 4) as a function of the atomic number, Z. (b) Plot of the cell volume in the above-mentioned complexes as a function of Z. The {CuIITb2} and {CuIIHo2} clusters are isomorphous with 62 and 63. Reproduced from Ref. [65]. Copyright 2013 American Chemical Society.
Figure 50.
(a) Plot of the 3d-4f exchange parameters (J) in the {NiLn2} clusters 57–60 and the {CuIILn2} complexes 62, 63, [CuIITb2(hfac)6(dpkox)2] (not listed in Table 4) and [CuIIHo2(hfac)6(dpkox)2] (also not listed in Table 4) as a function of the atomic number, Z. (b) Plot of the cell volume in the above-mentioned complexes as a function of Z. The {CuIITb2} and {CuIIHo2} clusters are isomorphous with 62 and 63. Reproduced from Ref. [65]. Copyright 2013 American Chemical Society.

Figure 51.
(a) Magnetization (M) curves and (b) their derivatives for complex [PdDy2(hfac)6(dpkox)2] (61) measured at 0.4 K using a pulse-field magnetometer. Reproduced from Ref. [66]. Copyright 2011 Elsevier.
Figure 51.
(a) Magnetization (M) curves and (b) their derivatives for complex [PdDy2(hfac)6(dpkox)2] (61) measured at 0.4 K using a pulse-field magnetometer. Reproduced from Ref. [66]. Copyright 2011 Elsevier.

Figure 52.
Frequency and temperature dependence of the ac molar magnetic susceptibility for [CuIIDy2(hfac)6(dpkox)2] (62). (a) χ’ac is in-phase part; (b) χ’’ac is the out-of-phase part. The inset shows the Cole-Cole plot at 8 K. Reproduced from Ref. [67]. Copyright 2006 American Chemical Society.
Figure 52.
Frequency and temperature dependence of the ac molar magnetic susceptibility for [CuIIDy2(hfac)6(dpkox)2] (62). (a) χ’ac is in-phase part; (b) χ’’ac is the out-of-phase part. The inset shows the Cole-Cole plot at 8 K. Reproduced from Ref. [67]. Copyright 2006 American Chemical Society.

Figure 53.
Selected High-Frequency EPR (HF-EPR) spectra at 4.2 K of complexes [CuIITb2(hfac)6(dpkox)2] (a) and [CuIIHo2(hfac)6(dpkox)2] (b), not listed in Table 4; the two clusters are isomorphous with 62 and 63. The spectra are offset in a linear scale of the frequency. Dotted lines are drawn from linear fitting in the frequency vs. field plot. Reproduced from Ref. [68]. Copyright 2010 The Chemical Society of Japan.
Figure 53.
Selected High-Frequency EPR (HF-EPR) spectra at 4.2 K of complexes [CuIITb2(hfac)6(dpkox)2] (a) and [CuIIHo2(hfac)6(dpkox)2] (b), not listed in Table 4; the two clusters are isomorphous with 62 and 63. The spectra are offset in a linear scale of the frequency. Dotted lines are drawn from linear fitting in the frequency vs. field plot. Reproduced from Ref. [68]. Copyright 2010 The Chemical Society of Japan.

5.5. Tetranuclear Clusters
The largest family of dpkoxH/dpkox−-based clusters consists of tetranuclear compounds (64–90, Table 5). All these clusters contain deprotonated di-2-pyridyl ketoxime, which, in most cases, favors high nuclearity.
Table 5.
Homotetranuclear (homotetrametallic) and heterotetranuclear (heterotetrametallic) complexes of dpkox−.
The interesting mixed-valence cluster 64 [69] was obtained by the reaction shown in Equation (39) in good yield (~60%); 3,4 D− is the 3,4-dichlorophenoxyacetate(−1) anion.
| 4 MnIICl2∙4H2O + 4 Na(dpkox) + 4 Na(3,4-D) + ½ O2 | [MnII,II,II3MnIVO(3,4-D)4(dpkox)4] + 8 NaCl | + 16 H2O | (39) |
| 64 |
Figure 54.
The molecular structure of [MnII,II,II3MnIVO(3,4-D)4(dpkox)4] (64). Only the H atoms of the –CH2- groups are shown. The three chlorine atoms in one of the 3,4-D− ligands are a consequence of a crystallographic disorder issue.
Figure 54.
The molecular structure of [MnII,II,II3MnIVO(3,4-D)4(dpkox)4] (64). Only the H atoms of the –CH2- groups are shown. The three chlorine atoms in one of the 3,4-D− ligands are a consequence of a crystallographic disorder issue.

The central core of the cluster is {Mn4(μ4-O)}8+ in which the octahedral Mn ions form a distorted tetrahedron centered on the oxido group [69]. The four oximato (=NO−) groups of three 2.1112120 and one 2.1211110 dpkox− ligands link the MnIV atom (Mn1) with the MnII atoms; the latter are connected by three 2.110 and one 2.100 3,4-D− groups. In the Harris notation that is used to describe the dpkox− ligation modes, the subscript 1 refers to MnIV and 2 to MnII. The coordination spheres are thus {MnIV(Ooximato)3OoxidoNoximatoN2-pyridyl}, {MnII(Ocarboxylato)3OoxidoNoximatoN2-pyridyl} (for Mn2 and Mn4) and {MnII(Ocarboxylato)2OoximatoOoxidoNoximatoN2-pyridyl} (for Mn3). The structure of the complex is shown in Figure 54. Magnetically, there are both ferromagnetic and antiferromagnetic exchange interactions within the molecule propagated through MnIV∙∙∙MnII and MnII∙∙∙MnII pathways, respectively. Magnetization data at 2.5 and 4.5 K in the field range 0–6.5 T support an S = 6 ground state for the complex with g = 2.0 and a small zero-field splitting D = 0.025 cm−1 [69].
Complexes 65 [70] and 66 [71] have molecular structures similar to the structure of 64 [69]. The only difference is the nature of the carboxylato ligands; these are the 2,4,5-trichlorophenoxyacetate(−1) [Figure 15] in 65 and 2,3-dichlorophenoxyacetate(−1) [Figure 15] in 66. The magnetic properties of the latter clearly indicate an S = 6 ground state (like 64) [71]. Spectroscopic titration studies with calf thymus DNA suggest binding of 65 to the DNA helix, with a binding constant Kb equal to 1.1x10−4 M−1 [70]. Competitive binding studies with ethidium bromide (EthBr) showed that the interaction between DNA and 65 releases EthBr from its DNA compound, indicating that the Mn(II,II,II,IV) compound binds to DNA via intercalation mode. Additionally, DNA electrophoretic mobility experiments reveal that the complex, at low concentration, is obviously capable of binding to pDNA causing its cleavage at physiological pH and room temperature.
The simultaneous incorporation of dpkox−, X−, and RCO2− ligands in manganese complexes give mixed-valence tetranuclear clusters (67–69) in variable yields with interesting structures [24,72], where R = Me, Ph, X− = Cl−, Br−, and (py)2C(O)22− is the dianion of the gem-diol form of di-2-pyridyl ketone, (py)2CO; see Figure 15. The (py)2C(O)22− ligand is the product of the metal ion-assisted/promoted transformation of an amount of dpkoxH, Equations (40)–(42). For a better understanding of the simplified balanced Equations (40) and (43)–(48), dpkoxH is abbreviated as (py)2CNOH, where py stands for the 2-pyridyl group and
is the oxime group. Note that the gem-diol form, (py)2C(OH)2, and its anions (py)2C(OH)(O)− and (py)2C(O)22−, do not exist free but only attached to metal ions, i.e., as ligands.
is the oxime group. Note that the gem-diol form, (py)2C(OH)2, and its anions (py)2C(OH)(O)− and (py)2C(O)22−, do not exist free but only attached to metal ions, i.e., as ligands.
| (py)2CNOH + H2O (py)2CO + H2NOH | (40) |
| (py)2CO + H2O (py)2C(OH)2 | (41) |
| (py)2C(OH)2 (py)2C(OH)(O)−/(py)2C(O)22− + 1H+/2H+ | (42) |
Complexes 67–69 were prepared by several methods outlined in Equations (43)–(49).
| 6 MnII(O2CPh)2∙2H2O + 5 MnIIX2 + (Bun4N)MnVIIO4 + 12 (py)2CNOH + ¼ O2 (Bun4N)(O2CPh) + | (43) |
| [MnII,II2MnIII,III2X2(O2CPh)2{(py)2CNO}2{(py)2C(O)2}2] + 3 PhCO2H + 2 (H3NOH)(O2CPh) + 4 (H3NOH)X + 4.5 H2O | |
| 67, 69 |
| MnII,III,III3O(O2CPh)6(py)2(H2O)] + MnIIX2 + 4 (py)2CNOH + 3 H2O 2 PhCO2H + 2 py + | (44) |
| EE [MnII,II2MnIII,III2X2(O2CPh)2{(py)2CNO}2{(py)2C(O)2}2] + 2 (H3NOH)(O2CPh) | |
| 67, 69 |
| (Bun4N)[MnIII4O2(O2CPh)9(H2O)] + 4 MnIIX2 + 8 (py)2CNOH + 5 H2O | (45) |
| FF | |
| 2 [MnII,II2MnIII,III2X2(O2CPh)2{(py)2CNO}2{(py)2C(O)2}2] + 4 (H3NOH)X + (Bun4N)(O2CPh) + 4PhCO2H | |
| 67, 69 |
| 2 MnII(O2CMe)2∙4H2O + 2 MnIIBr2 + 4 (py)2CNOH + ½ O2 [MnII,II2MnIII,III2Br2(O2CMe)2{(py)2CNO}2{(py)2C(O)2}2] | (46) |
| 68 | |
| + 2 MeCO2H + 2 (H3NOH)Br + 5 H2O |
| 2 [MnIII3O(O2CMe)6(py)3](ClO4) + 6 MnIIBr2 + 12 (py)2CNOH + 10 H2O | (47) |
| GG | |
| 3 [MnII,II2MnIII,III2Br2(O2CMe)2{(py)2CNO}2{(py)2C(O)2}2] + 6 MeCO2H + 6 (H3NOH)Br + 2 (pyH)(ClO4) + 4 py | |
| 68 |
| [MnII,III,III3O(O2CMe)6(py)2] + MnIIBr2 + 4 (py)2CNOH + 3 H2O | (48) |
| HH | |
| [MnII,II2MnIII,III2Br2(O2CMe)2{(py)2CNO}2{(py)2C(O)2}2] + 2 MeCO2H + 2 (H3NOH)(O2CMe) + 2 py | |
| 68 |
The 1:1 reaction between MnII(O2CMe)2∙4H2O and (py)2CNOH (dpkoxH) in MeCN resulted in an orange solution which upon standing undisturbed turned dark brown (due to the oxidation of MnII under aerobic conditions); slow evaporation of the solution at room temperature gave dark brown crystals of [MnII,II2MnIII,III2(NO3)2{(py)2CNO}2{(py)2C(O)2}2] (70) in good yield (~70%). Single-crystal X-ray structural solution surprisingly revealed the presence of nitrato groups in the complex, although there were no nitrates in the reactants. We proposed a detailed mechanism for the generation of NO3−s [24] which is based on the oxidation of H2NOH, produced from the metal ion-assisted hydrolysis of (py)2CNOH to (py)2C(O)22−, to form nitrates. A simplified reaction for this experimental observation is shown in Equation (49). The characterization of 70 proves the non-critical role of Cl− or Br− in the (py)2CNOH → (py)2C(O)22− transformation. We proposed [24] that the reason why no NO3− ligands were not coordinated in 67–69 is the presence of Cl− or Br− ions which are ligated to MnII ions, blocking the available sites for nitrato coordination.
| MnII(O2CMe)2∙4H2O + 4 (py)2CNOH + 3 O2 | [MnII,II2MnIII,III2(NO3)2{(py)2CNO}2{(py)2C(O)2}2] + 8 MeCO2H | + 14 H2O | (49) |
| 70 |
The molecular structures of 67–70 [24,72] are similar (Figure 55) and differ only in the nature of the carboxylato ligand (MeCO2−, PhCO2−) and the terminal inorganic anion (Cl−, Br−, NO3−). The bridging system comprises two 3.2221,21211 (Figure 56) (py)2C(O)22− (the subscript 2 refers to MnIII and 1 to MnII) ligands, two 2.1110 (py)2CNO−(dpkox−) ligands (a more clear description is 2.1211110) and two 2.1112 PhCO2− groups. Peripheral ligation is completed by two terminal halido (67–69) or two bidentate nitrato groups (70). The brief description of the core is {Mn4(μ2-OR’)4}6+, where the four bridging atoms belong to two (py)2C(O)22—ligands. As might be expected, in 67–69 the MnIII atoms are bound to the hard (HSAB) O5N donor set, while the MnII atoms to the less hard O2N3X (X = Cl, Br) set; the metal geometries are octahedral. As a result of the bidentate character of the terminal nitrato groups, the MnII atoms in 70 are seven-coordinate with a distorted pentagonal bipyramidal {MnIIO4N3} coordination sphere.
Figure 55.
The molecular structure of [MnII,II2MnIII,III2Br2(O2CPh)2(dpkox)2{(py)2C(O)2}2] (67), [MnII,II2MnIII,III2Cl2(O2CPh)2(dpkox)2{(py)2C(O)2}2] (69) and [MnII,II2MnIII,III2(NO3)2(O2CMe)2 (dpkox)2{(py)2C(O)2}2] (70).
Figure 55.
The molecular structure of [MnII,II2MnIII,III2Br2(O2CPh)2(dpkox)2{(py)2C(O)2}2] (67), [MnII,II2MnIII,III2Cl2(O2CPh)2(dpkox)2{(py)2C(O)2}2] (69) and [MnII,II2MnIII,III2(NO3)2(O2CMe)2 (dpkox)2{(py)2C(O)2}2] (70).

Figure 56.
The coordination mode of (py)2C(O)2− in complexes [MnII,II2MnIII,III2Y2(O2CR)2(dpkox)2{(py)2C(O)2}2] and the detailed Harris notation that describes this mode. The subscript 2 refers to MnIII and 1 to MnII. R = Ph in 67 and 69, and Me in 68 and 70; Y = Br in 67 and 68, Cl in 69, and NO3 in 70.
Figure 56.
The coordination mode of (py)2C(O)2− in complexes [MnII,II2MnIII,III2Y2(O2CR)2(dpkox)2{(py)2C(O)2}2] and the detailed Harris notation that describes this mode. The subscript 2 refers to MnIII and 1 to MnII. R = Ph in 67 and 69, and Me in 68 and 70; Y = Br in 67 and 68, Cl in 69, and NO3 in 70.

Variable-temperature magnetic susceptibility studies in the 2–300 K range for the representative complexes 67 and 68 reveal weak antiferromagnetic exchange MnII∙∙∙MnIII and MnIII∙∙∙MnIII interactions, leading to non-magnetic S = 0 ground states [24,72].
The use of dpkoxH in iron(III) acetate chemistry provided access to two tetranuclear clusters (71, 72) which have two different lattice solvent sets (2CH2Cl2∙H2O in 71 and 4.5MeNO2 in 72), Equations (50) and (51); the yields were 60 and 45% for 71 and 72, respectively [73]. The presence of N3− ions in the reaction mixtures afforded complex 73 in typical yields in the range of 60–70%. This complex can be alternatively synthesized by the reaction of 71 with N3−; for the synthetic processes, see Equations (52)–(54).
| 4 FeIIICl3∙6H2O + 4 dpkoxH | + 8 Na(O2CMe)∙3H2O | (50) | |
| [FeIII4O2Cl2(O2CMe)2(dpkox)4] | + 8 NaCl + 6 MeCO2H + 2 HCl + 46 H2O | ||
| 71 |
| 6 [FeIII3O(O2CMe)6(H2O)3]Cl | + 12 dpkoxH | 3 [FeIII4O2Cl2(O2CMe)2(dpkox)4] + | (51) | |
| II | 2 “{FeIII3O(O2CMe)6(H2O)2(OH)}” | + 18 MeCO2H + 10 H2O | ||
| 72 |
| 4 FeIIICl3∙6H2O + 4 dpkoxH + 8 Na(O2CMe)∙3H2O + 2 NaN3 | (52) |
| [FeIII4O2(N3)2(O2CMe)2(dpkox)4] + 10 NaCl + 6 MeCO2H + 46 H2O | |
| 73 |
| 6 [FeIII3O(O2CMe)6(H2O)3]Cl + 12 dpkoxH + 6 NaN3 | (53) |
| ΙΙ | |
| 3 [FeIII4O2(N3)2(O2CMe)2(dpkox)4] + 2 “{FeIII3O(O2CMe)6(H2O)2(OH)}” + 6 NaCl + 18 MeCO2H + 10 H2O | |
| 73 |
| [FeIII4O2Cl2(O2CMe)2(dpkox)4] | + 2 NaN3 | [FeIII4O2(N3)2(O2CMe)2(dpkox)4] | + 2 NaCl | (54) |
| 71 | 73 |
The structures of the tetranuclear molecules that are present in the crystal structures of 71 and 72 are almost identical and very similar to the structure of the molecule [FeIII4O2(N3)2(O2CMe)2(dpkox)4] in 73 [73]; thus, a common description is given. The structures of 71 and 73 are shown in Figure 57. The tetranuclear molecules contain the {FeIII4(μ3-O)2}8+ core comprising four FeIII centers in a “butterfly” disposition and two triply bridging (μ3) oxido (O2−) ions. Ions Fe2 and Fe3 occupy the “body” sites, and Fe1 and Fe4 occupy the ”wingtip” sites. The four FeIII atoms are essentially coplanar and the two μ3-O2− ions are above and below the FeIII4 plane (ca. 0.5 Å). This is also reflected in the sums of the Fe-O-Fe angles around the μ3-O2− ions which deviate from 360° (ca. 338°) and are close to the ideal value of 328.4° expected for sp3 hybridization. The two “body” FeIII atoms are bridged by two μ3-O2− ions, while a single μ3-O2− also bridges a “wingtip” FeIII atom. The four dpkox− ligands adopt the 2.1110 coordination mode. Two of the dpkox− ligands are coordinated to the “body” Fe2 through one 2-pyridyl and the oximato N atoms, and they use their oximato O atom to bridge one of the “wingtip” metal ions Fe1 and Fe4, and so Fe2 has a distorted octahedral O2N4 donor set. The other two dpkox− ligands are coordinated through their 2-pyridyl and oximato N atoms to the “wingtip” Fe1 and Fe4 ions, whereas their oximato O atom is bonded to the “body” Fe3 ion. This “body” ion is also bridged to each of the “wingtip” Fe1 and Fe4 through a syn, syn-2.11 MeCO2− group. The octahedral coordination around each of the “wingtip” FeIII atoms is completed by a terminal chlorido (71, 72) or azido (73) ion. In this manner, Fe3 has a {FeIIIO6} coordination sphere, while Fe1 and Fe4 have an O3N2Cl (71, 72) or O3N3 (73) octahedral coordination.
Figure 57.
The molecular structures of the polymorph [FeIII4O2Cl2(O2CMe)2(dpkox)4] (71) [with a 2CH2Cl2∙H2O lattice solvent set] and the azido cluster [FeIII4O2(N3)2(O2CMe)2(dpkox)4] (73).
Figure 57.
The molecular structures of the polymorph [FeIII4O2Cl2(O2CMe)2(dpkox)4] (71) [with a 2CH2Cl2∙H2O lattice solvent set] and the azido cluster [FeIII4O2(N3)2(O2CMe)2(dpkox)4] (73).

The 57Fe-Mössbauer spectra of 71 and 73 have δ and ΔΕQ parameters typical of high-spin FeIII sites. Variable-temperature magnetic susceptibility studies on 71 revealed antiferromagnetic exchange interactions between the “body”-“body” and “wingtip”-“body” FeIII ions resulting in an S = 1 ground state [73].
The use of dpkoxH in cobalt acetate chemistry has provided access to structurally interesting mixed-valence tetranuclear Co(II)/Co(III) and purely Co(III) clusters [74,75]. Complexes 74–76 were prepared by the reactions outlined in Equations (55)–(57) in good yields (50–70%). MeC(=O)-O-O-H is the powerful oxidant agent peracetic acid.
| 4 CoII(O2CMe)2∙4H2O + 4 dpkoxH + ½ O2 + 2 NaClO4 + 2 MeOH | (55) |
| [CoII2CoIII2(OH)2(O2CMe)2(dpkox)4(MeOH)2](ClO4)2 + 2 Na(O2CMe) + 4 MeCO2H + 15 H2O | |
| 74 | |
| 4 CoII(O2CMe)2∙4H2O + 4 dpkoxH + ½ O2 + 2 NaPF6 + 2 MeOH + 2 EtOH | (56) |
| [CoII2CoIII2(OMe)2(O2CMe)2(dpkox)4(EtOH)2](PF6)2 + 2 Na(O2CMe) + 4 MeCO2H + 17 H2O | |
| 75 | |
| 4 CoII(O2CMe)2∙4H2O + 4 dpkoxH + 2 MeC(=O)-O-O-H + 2 NaPF6 | (57) |
| [CoIII4(OH)2(O2CMe)4(dpkox)4](PF6)2 + 2 Na(O2CMe) + 4 MeCO2H + 16 H2O | |
| 76 |
The centrosymmetric tetranuclear cation of 74 (Figure 58) has a rectangular arrangement of the four metal ions. The rectangle is defined by Co1∙∙∙Co2 [3.213(1) Å] and Co1∙∙∙Co2’ [4.441(1) Å] sides and their symmetric equivalents [74]. The Co1/Co1’ centers are low-spin CoIII atoms and the Co2/Co2’ ones are high-spin CoII atoms. The cobalt centers are bridged along each short side of the rectangle by one hydroxido, one syn, syn-2.11 MeCO2− and one oximato group while bridging along each long side is achieved through one oximato group only. The dpkox− ligands are of two types arranged along the short and long sides of the rectangle. Short-side dpkox− ions function as 2.1110 ligands (a more clear description is 2.1112120 where the subscript 1 refers to CoII and the subscript 2 to CoIII). Long-side dpkox− ions adopt the 2.1111 (or better 2.11121211) coordination mode. A terminal MeOH molecule occupies the sixth coordination site at each CoII center. All the metal ions have a distorted octahedral geometry. Compound 74 realizes an inverse 12-MC-4 motif and can accommodate two OH− ions within the metallacrown ring (the regular motifs accommodate metal ions). Using the metallacrown nomenclature, the cation of 74 can be formulated as {(OH)2[inv 12-MCCo(II,III)(dpkox)-4](O2CMe)2} [3,22,74]. The –[O-Co-O-N-Co-N]- repeat unit observed in this complex is perfectly acceptable for inverse metallacrown structures and cannot sustain a regular metallacrown (with an encapsulated fifth metal ion), as the latter would require adjacent six- and four-membered chelating rings.
Figure 58.
The structure of the cation [CoII,II2CoIII,III2(OH)2(O2CMe)2(dpkox)4(MeOH)2]2+ that is present in complex 74. The H atoms of the hydroxido, acetato, and methanol ligands have been drawn.
Figure 58.
The structure of the cation [CoII,II2CoIII,III2(OH)2(O2CMe)2(dpkox)4(MeOH)2]2+ that is present in complex 74. The H atoms of the hydroxido, acetato, and methanol ligands have been drawn.

The cation of 75 has a molecular structure analogous to that of 74, but with MeO− and EtOH ligands in place of OH− and MeOH ligands, respectively [74].
ESI-MS studies in MeCN suggest that the structures of the cations are retained in solution. Cyclic voltammetry experiments in the same solvent reveal a quasireversible CoIII→CoII reduction process and a resistance to oxidation of CoII. Because the paramagnetic CoII atoms alternate with the diamagnetic CoIII atoms, solid-state dc magnetic susceptibility measurements in the 2–300 K range indicate that the CoII∙∙∙CoII exchange interaction is negligible, if any [74].
Using the strong oxidizing agent peracetic acid (and contrary to the cyclic voltammetry studies of 74 and 75 mentioned above), the group of Masters was able to prepare the all-Co(III) version of 74 and 75, i.e., compound 76, Equation (57). Again, the sides of the centrosymmetric rectangle comprise two long and two short CoIII∙∙∙CoIII distances [75]. Long-side CoIII ions are bridged by one oximato group of a 2.1111 dpkox− ligand and short-side CoIII ions are bridged by one oximato group of a 2.1110 dpkox−, one hydroxido, and one syn, syn-2.11 MeCO2− ligands. Two monodentate acetato groups are bonded to two metal ions (Co2 and Co2’ in Figure 59). The octahedral coordination spheres are {Co1/1’O2N4} and {Co2/Co2’O5N}. Complex 76 is a rather poor chain transfer catalyst for the polymerization of methylacrylate, but it does not catalyze cyclohexane oxidation in the presence or absence of co-catalysts [75]. In the former case, AIBN (azobisisobutyronitrile), {(CH3)2C(CN)}2N2, was used as the initiator, while in the latter case, NHPI, C6H4(CO)2NOH, was employed as co-catalyst with 100% O2 as oxidant.
Figure 59.
The structure of the cation [CoIII4(OH)2(O2CMe)4(dpkox)4]2+ that is present in complex 76. The H atoms of the hydroxidο and acetato ligands have been drawn.
The Ni(II)/dpkoxH chemistry is interesting [60,76,77,78,79,80]. Complex 77 is the only tetranuclear metal complex with dpkox−-ligation and no ancillary ligand, except the coordinated solvent molecules. The complex was prepared by the reaction shown in Equation (58) in 50% yield [76].
| Ni(ClO4)2∙6H2O + 6 dpkoxH + 7 NaOH + 2 MeOH | [Ni4(dpkox)6(MeOH)2](OH)(ClO4) | + 7 NaClO4 + 30 H2O | (58) |
| 77 |
Figure 60.
The structure of the cation [Ni4(dpkox)6(MeOH)2]2+ that is present in the crystal of 77.
Figure 60.
The structure of the cation [Ni4(dpkox)6(MeOH)2]2+ that is present in the crystal of 77.

The four octahedral NiII atoms in the centrosymmetric cation (Figure 60) are held together by four 2.1110 and two 3.2111 dpkox− ligands (Figure 14). The whole structure can be characterized as having a “metallacrown chair” topology [76]. The Ni2 and Ni2’ atoms are bridged by two oximato O atoms from the two 3.2111 ligands forming a central {NiII2(μ2-OR)2}2+ subcore. The two “wing” metal ions have a {NiIIN6} coordination sphere, while for the “internal” Ni2/Ni2’ atoms the donor set is NO5 (with the participation of one MeOH ligand at each metal ion). The formation of the 12-membered metallacrown follows the pattern (Ni-N-O-Ni-O-N-Ni-N-O-Ni-O-N) and, in combination with the syn, anti-2.1110 dpkox− ligands, allows the construction of the chair-like metallacrown motif. There are both ferromagnetic (Ni1∙∙∙Ni2/Ni1’∙∙∙Ni2’ and Ni1∙∙∙Ni2’/Ni1’∙∙∙Ni2) and antiferromagnetic (Ni2∙∙∙Ni2’) exchange interactions within the cation leading to an S = 0 ground state.
Our group studied the dpkox−/MeCO2−/SCN− ligand “blend” in Ni(II) chemistry, which provided access to the cationic complex 78 in moderate yield [77], Equation (59).
| 4 Ni(O2CMe)2∙4H2O + 4 dpkoxH + NaSCN | (59) | ||
| [Ni4(O2CMe)2(dpkox)4](SCN)(OH) | + 5 MeCO2H | + Na(O2CMe) + 15 H2O | |
| 78 |
The core of the complex consists of a tetrahedron of octahedral NiII atoms linked together by four 3.2111 dpkox− ligands and two syn, syn-2.11 MeCO2− groups [77]; thus, a distorted “{Ni4(NO)4}4+ “cube” is formed comprising single (O) and double (N-O) atom bridges. Peripheral ligation is provided by the eight 2-pyridyl N and the four acetato O atoms (Figure 61). The magnetic behavior of 78 is consistent with dominant antiferromagnetic interactions and an S = 0 ground state; the latter is corroborated by the appearance of a maximum in molar magnetic susceptibility at 18 K.
Figure 61.
The structure of the cation [Ni4(O2CMe)2(dpkox)4]2+ that is present in the crystal of 78.
Treatment of NiSO4∙6H2O with one equivalent of dpkoxH and one equivalent of Et3N in MeOH gave orange crystals of the neutral complex 79 in 57% yield [78], Equation (60).
| 4 NiSO4∙6H2O + 4 dpkoxH + 4 Et3N + 4 MeOH | [Ni4(SO4)2(dpkox)4(MeOH)4] + 2 (Et3NH)2SO4 | + 24 H2O | (60) |
| 79 |
In the molecular structure of centrosymmetric 79 (Figure 62), the NiII centers are held together by two 3.2111 and two 2.1110 dpkox− ligands, as well as two 2.1100 SO42− ions [78]. Four MeOH molecules act as terminal ligands completing octahedral coordination at each metal ion. The chromophores are {Ni(1,1’)(Npy)(Nox)(Oox)2(Osulf)(Omet)} and {Ni(2,2’)(Npy)2(Nox)(Oox)(Osulf)(Omet)}, where the abbreviations py, ox, sulf, and met are for the 2-pyridyl, oximato, sulfato, and methanol groups, respectively. The molecule has a metallacrown topology [3]. A pseudo 12-MC-4 ring is formed, because the true 12-MC-4 motif is “destroyed” by the bridging character of the two oximato O atoms that belong to the 3.2111 dpkox− ligands (Figure 63).
Figure 62.
The molecular structure of [Ni4(SO4)2(dpkox)4(MeOH)4] (79).
Figure 63.
The pseudo 12-MC-4 ring of complex [Ni4(SO4)2(dpkox)4(MeOH)4] (79). The coordination bonds are drawn with bold lines.
The use of the ancillary ligand ethanolamine (eaH, Figure 15) in Ni(II)/dpkoxH chemistry led to the isolation of compound 80 in 68% yield [79], Equation (61).
| 4 Ni(ClO4)2∙6H2O + 4 dpkoxH + 4 eaH + 6 Et3N | [Ni4(ea)2(eaH)2(dpkox)4](ClO4)2 | + 6 (Et3NH)(ClO4) + 24 H2O | (61) |
| 80 |
ESI-MS spectra (in the positive ion mode) for 80 demonstrate its respective molecular ion peaks due to the [M-ClO4-4H2O]+ ionic species. The structure of the cation of 80 [79] is shown in Figure 64. The presence of a crystallographically imposed inversion center within the cation implies the equivalence of all four octahedral NiII atoms which are related by a S4 axis of symmetry. The donor set of each metal ion is O3N3. The dpkox− ligands are coordinated in the 2.1110 manner, while eaH and ea− adopt the ligation mode 2.21. Thus, two neighboring NiII atoms are connected by a pair of monoatomic Oalkoxido and diatomic (NO)oximato bridges, generating an inverse 12-MC-4 topology. The four NiII centers form a perfect square with Ni∙∙∙Ni distances of 3.45 Å and Ni∙∙∙Ni∙∙∙Ni angles of 90°. Two alkoxy/alkoxido O atoms are above and below the Ni4 plane with O∙∙∙O axes orthogonal to each other, leading to a distorted tetrahedral arrangement for these O atoms inside the metallacrown cavity. The alkoxy (neutral) and alkoxido (deprotonated) O atoms cannot be distinguished because they form two very strong symmetrical H bonds of the -O∙∙∙H∙∙∙O- type both above and below the Ni4 plane; the O∙∙∙O separations are very short (ca. 2.47 Å).
Figure 64.
The structure of the cation [Ni4(ea)2(eaH)2(dpkox)4]2+ that is present in the crystal of its perchlorate salt 80.
Antiferromagnetic exchange interactions within the cation (derived from an 1-J model) result in an S = 0 ground state for 80 [79].
The unique tetranuclear Ni(II) cluster 81 was prepared and characterized by Kessissoglou’s and Pecoraro’s groups [80], Equation (62); shiH2− is the dianion of salicylhydroxamic acid (shiH3, K; Figure 12). The yield was 60%. The appearance of MeOH in both the reactants and the products may be confusing. The MeOH molecule in the reactants arbitrarily denotes its incorporation as a ligand in the tetranuclear complex. The six free MeOH molecules in the products are assumed to be derived from the neutralization of the six MeO− with six protons, two from dpkoxH and four from the shiH3 ligands.
| 4 NiCl2∙6H2O + 2 NH4SCN + 2 shiH3 + 2 dpkoxH | (62) |
| [Ni4(SCN)2(shiH)2(dpkox)2(DMF)(MeOH)] + 2 NH4Cl + 6 NaCl + 6 MeOH + 24 H2O | |
| 81 |
Complex 81 (Figure 65) [80] is a rare example of a vacant metallacrown with mixed-ligand composition and can be written as {[12-MCNi(II)(shiH)2(dpkox)2-4](SCN)2(DMF)(MeOH)]}. The molecule shows the connectivity pattern [-O-Ni-O-N-Ni-N-]2 (Figure 66). This pattern differs from other Ni(II) metallacrowns that follow the common [-Ni-O-N-]4 pattern. Whereas 81 shows the 6-5-6-5-6-5-6-5 arrangement of chelating rings, the other known Ni(II) metallacrowns (which are pentanuclear) exhibit the 6-6-5-5-6-6-5-5 or 6-6-5-5-6-5-6-5 patterns (vide infra); the numbers indicate the sizes (5- or 6-membered) of the chelating rings.
The dpkox− and shiH2− ligands adopt the coordination mode 2.1111 (Figure 14 and Figure 66), the former using three nitrogen and one oxygen atom, and the latter three oxygen and one nitrogen atom. The octahedral geometry at Ni1 is completed with one isothiocyanato and one MeOH ligand, and at Ni3 with one isothiocyanato and one DMF ligand. The Ni2 and Ni4 centers have a square planar coordination geometry. It was expected that no interaction would occur between the paramagnetic octahedral NiII centers (Ni1 and Ni3 in Figure 65), because there is not a short, through-bond pathway to make feasible superexchange between them (Ni2 and Ni4 are diamagnetic). The variable-temperature magnetic susceptibility data demonstrated that 81 follows the Curie Law behavior, suggesting that there is no coupling between the paramagnetic centers [80].
Figure 65.
The molecular structure of [Ni4(SCN)2(shiH)2(dpkox)2(DMF)(MeOH)] (81).
Figure 65.
The molecular structure of [Ni4(SCN)2(shiH)2(dpkox)2(DMF)(MeOH)] (81).

Figure 66.
Drawing showing the connectivity pattern and the arrangement around the NiII centers in [Ni4(SCN)2(shiH)2(dpkox)2(DMF)(MeOH)] (81). The coordination bonds are indicated with bold lines.
Figure 66.
Drawing showing the connectivity pattern and the arrangement around the NiII centers in [Ni4(SCN)2(shiH)2(dpkox)2(DMF)(MeOH)] (81). The coordination bonds are indicated with bold lines.

The simultaneous use of the ancillary ligands dpt (Figure 15) and N3− in Ni(II)/dpkoxH chemistry gave complex 82 [60], Equation (63); the yield was not reported.
| 4 NiCl2∙6H2O + 4 dpkoxH + 4 NaN3 + 2 dpt + 4 Et3N | [Ni4(N3)4(dpt)2(dpkox)4] | + 4 NaCl + 4 (Et3NH)Cl + 24 H2O | (63) |
| 82 |
The molecular structure of 82 is shown in Figure 67. The four metal ions are in a zigzag topology [60]. The centrosymmetric molecule can be described as consisting of two dinuclear units. In each dinuclear unit, the two NiII atoms are doubly bridged by one μ2-1,1 (or 2.200) azido ligand and one oximato group of a 2.1110 dpkox− ligand. The interdimer connection is provided by two oximato ligands of the rest dpkox− ligands. The octahedral {NiIION5} coordination sphere of the terminal NiII atoms (Ni2/Ni2’) is completed by one N3-tridentate chelating (1.111) dpt molecule and one terminal (1.100) azido group. The octahedral coordination sphere at each central metal ion (Ni1/Ni1’) is also {NiIION5}, but the origin of the N atoms is different; the three N atoms of dpt and the nitrogen of the terminal azido group have been replaced by two oximato and two 2-pyridyl N atoms. The complex shows an overall antiferromagnetic response (S = 0) [60].
Figure 67.
The molecular structure of [Ni4(N3)4(dpt)2(dpkox)4] (82).
Zinc(II) forms a family of 12-MC-4 metallacrowns with inverse topology (vide infra), complexes 83–88 [33,81,82]. At this point, we would like to emphasize again the differences between the “regular” and “inverse” metallacrowns. In the latter, the metal ions, rather than anionic oxygen atoms, are oriented toward the central cavity. In the former, the coordination number and environment around the metal centers in the ring are usually uniform. In the inverse metallacrowns, the metal ions are site differentiated having different coordination numbers. Also, the connectivity around the ring is different from that in regular 12-MC-4 compounds where the linkage is consistently N-O-M-N-O-M; in contrast, in the inverse compounds the linkage is transposed to N-O-M-O-N-M and the ligand is coordinated with only three heteroatoms leaving one of the 2-pyridyl N atoms unbound. Preparative routes for 83–88 are summarized in Equations (64)–(68), where R = Me, Ph, acac = 2,4-pentadionato(−1) ion, and S = various solvents; the yields were higher than 50%.
| 4 Zn(O2CR)2∙2H2O + 4 dpkoxH | [Zn4(OH)2(O2CR)2(dpkox)4] | + 6 RCO2H + 6 H2O | (64) |
| 83, 84 |
| [Zn4(OH)2Cl2(dpkox)4] | + 6 NaCl + 4 H2O | (65) | |
| 85 |
| 4 Zn(NO3)2∙4H2O + 2 NaN3 + 4 dpkoxH + 6 NaOH | [Zn4(OH)2(N3)2(dpkox)4] | + 8 NaNO3 + 20 H2O | (66) |
| 86 |
| 4 ZnCl2 + 2 NaOCN + 4 dpkoxH + 6 NaOH | [Zn4(OH)2(NCO)2(dpkox)4] | + 8 NaCl + 4 H2O | (67) |
| 87 |
| 4 Zn(acac)2∙H2O | [Zn4(OH)2(acac)2(dpkox)4] | + 6 acacH + 2 H2O | (68) | |
| JJ | 88 |
The molecular structures of 83–88 are all similar (or better analogous); the only difference is the identity of the peripheral ligands (MeCO2−, PhCO2−, Cl−, N3−, NCO−, acac−). The structures of selected complexes are shown in Figure 68; we describe in detail only the structure of 83, which was the first inverse metallacrown reported in the literature [81]. The preparation of an inverse metallacrown was a direct consequence of the substitution of dpkox− for the previously used salicylhydroxamate ligands (Figure 12).
Figure 68.
The molecular structures of [Zn4(OH)2(O2CMe)2(dpkox)4] (83), [Zn4(OH)2(O2CPh)2(dpkox)4] (84), [Zn4(OH)2(N3)2(dpkox)4] (86), and [Zn4(OH)2(acac)2(dpkox)4] (88). The dashed line indicates a weak bonding interaction of one carboxylato O atom to Zn2/Zn2’ (Zn-O = ~2.6 Å).
The tetranuclear molecule of 83 lies on a crystallographic inversion center and has a planar, nearly rhombic arrangement of the ZnII atoms. The metal centers are bridged along each side of the rhombus by one μ3-hydroxido group (3.3) and one diatomic oximato group from one 2.1110 dpkox− ligand. The strict description of the core is thus {ZnII4(μ3-OH)2}6+. The coordination of the OH− ligand is markedly pyramidal. Zn1 and Zn1’ are in a distorted O2N4 octahedral environment, whereas Zn2 and Zn2’ are in a severely distorted O5 environment, the carboxylato groups being anisobidentate chelating, i.e., one O forms a weak bond to the metal ion. As expected for an inverse metallacrown, the connectivity is N-O-Zn-O-N-Zn-N-O-Zn-O-N-Zn. Using the metallacrown nomenclature, the representation of the complex is {(OH)2[inv12-MCZn(II)N(dpkox)-4](O2CMe)2}. The dpkox− ligands have a propeller configuration that imposes absolute stereoisomerism, with Λ chirality on Zn1 and A chirality on Zn1’ [81].
The molecular structures of 84–88 are similar to the structure of 83, except that the two anisobidentate chelating MeCO2− ligands of 83 are replaced by two monodentate PhCO2− ligands in 84 [82], two terminal chlorido groups in 85 [33], two monodentate azido groups in 86 [82], two monodentate isocyanato (i.e., N-bonded) groups in 87 [82], and two bidentate chelating acetylacetonato ligands in 88 [82]. The coordination geometries of the non-octahedral ZnII atoms are distorted tetrahedral (84 and 85), tetrahedral (86, 87), and distorted trigonal bipyramidal (88), the latter because of the chelating acac− ligand which creates a true five-coordination at Zn2/Zn2’ (Figure 68).
Complex 89 [83] is structurally similar to compounds 83–88, but its chemical identity differs. The two ancillary ligands in the latter have been replaced by two extra dpkox− ligands in the former, but the hydroxido groups are retained. The complex was prepared by the reaction outlined in the balanced Equation (69).
| 4 ZnCl2 + 6 dpkoxH + 8 KOH | [Zn4(OH)2(dpkox)6] | + 8 KCl + 6 H2O | (69) |
| 89 |
Figure 69.
The molecular structure of [Zn4(OH)2(dpkox)6] (89).
Figure 69.
The molecular structure of [Zn4(OH)2(dpkox)6] (89).

The “{Zn4(OH)2(dpkox)4}2+” fragment of the structure of 89 (Figure 69) is almost identical to the corresponding unit of 83–88, and especially to that of 88. The only difference is the replacement of the bidentate chelating acac− groups of 88 by two chelating 1.0110 dpkox− ligands in 89 [83]. The distorted trigonal bipyramidal geometry at Zn(2)/Zn(2’) is retained. 1H NMR studies suggest that the molecule is stable in CDCl3.
Complex 90 is the only heterometallic tetranuclear compound based on dpkox−. It is the mixed-metal/mixed-ligand metallacrown [Ni2MnIII2(O2CMe)2(shi)2(dpkox)2(DMF)2], where shi3− is the trianion of salicylhydroxamic acid (shiH3, K; Figure 12). Using the metallacrown representation, the complex can be written as {(O2CMe)2[12-MCNi(II)Mn(III)N(shi)2(dpkox)2-4](DMF)2} [73]. Compound 90 was prepared by the reaction shown in Equation (70) in almost quantitative yield (ca. 95%).
| 2 Ni(O2CMe)2∙4H2O + 2 MnII(O2CMe)2∙4H2O + 2 shiH3 + 2 dpkoxH | (70) |
| [Ni2MnIII2(O2CMe)2(shi)2(dpkox)2(DMF)2] + 6 MeCO2H + 17 H2O | |
| 90 |
The connectivity pattern of centrosymmetric 90 is illustrated in Figure 70. The dpkox− and shi3− ligands adopt the coordination modes 3.21111212 (Figure 14 and Figure 70) and 2.11111212 (Figure 70), respectively; the subscript 1 refers to MnIII and the subscript 2 to NiII. The shi3− provides one O, O and one N, O chelating parts, whereas dpkox− offers one N, O and one N, N chelating parts. The bridging character of the O atom of dpkox− (it bridges two MnIII atoms) causes a “collapsed” metallacrown structure. Like 81, molecule 90 shows the 6-5-6-5-6-5-6-5 arrangement of chelating rings. Each acetato group bridges a NiIIMnIII pair through its O atoms (2.1112), while a terminal DMF molecule completes octahedral coordination at NiII. Complex 90 is antiferromagnetically coupled.
Figure 70.
Drawing shown the connectivity pattern and the arrangement of donor atoms around the MnIII and NiII centers in [Ni2MnIII2(O2CMe)2(shi)2(dpkox)2(DMF)2] (90). The coordination bonds are indicated with bold lines.
5.6. Pentanuclear Complexes
Pentanuclear dpkox−-based clusters are known for Ni(II), Cu(II) and Zn(II) [Table 6]. Our group has prepared complex 91 [84], Equation (71).
| 5 Ni(NO3)2∙6H2O + 5 dpkoxH + 5 LiOH∙H2O | [Ni5(dpkox)5(H2O)7](NO3)5 | + 5 LiNO3 + 33 H2O | (71) |
| 91 |
Table 6.
Pentanuclear and hexanuclear complexes of dpkoxH and dpkox−.
The five NiII atoms in the cation of 91 are held together by four 3.2111 and one 2.1110 dpkox− ligands. In addition, there are two trans-terminal H2O ligands each on Ni1, Ni3, and Ni4, and a unique H2O on Ni2 (Figure 71). The cations Ni, Ni3, Ni4, and Ni5 create a highly distorted (flattened) tetrahedron (Figure 72, left), with the fifth ion (Ni2) lying at the midpoint of the Ni3∙∙∙Ni4 edge (and not at the center of the tetrahedron). Each of the four 3.2111 dpkox− groups spans an edge of the Ni4 tetrahedron and is coordinated to Ni2 through its doubly bridging oximato O atom. As a consequence, the NiII∙∙∙NiII edges spanned by the μ3-dpkox− groups become shorter (~4.8 Å) than the two unspanned Ni1∙∙∙Ni5 (6.01 Å) and Ni3∙∙∙Ni4 (7.01 Å) ones. Due to the insertion of Ni2 between Ni3 and Ni4, the Ni3∙∙∙Ni4 edge is the longest. The five octahedral chromophores are all different, i.e., Ni1O4N2, Ni2O6, Ni3O3N3, Ni4O2N4, and Ni5ON5. The core of the cation is {NiII5(μ3-ONR)4(μ2-ONR)}5+, where RNO− = dpkox− (Figure 72, right). A simple 2-J model, based on the Hamiltonian of Equation (72), was found to be satisfactory in describing the variable-temperature dc magnetic susceptibility data (J1 = −21.8 cm−1, J2 = −45.9 cm−1, and g = 2.24). Magnetization data collected at 2.0 K support an S = 1 ground state [84].
Figure 71.
The cation [Ni5(dpkox)5(H2O)7]2+ that is present in the crystal structure of 91.
Figure 71.
The cation [Ni5(dpkox)5(H2O)7]2+ that is present in the crystal structure of 91.

Figure 72.
The Ni5 skeleton of 91 showing the very distorted tetrahedral metal topology (left) and the {NiII5(μ3-ONR)4(μ2-ONR)}5+ core of 91 (right).
Figure 72.
The Ni5 skeleton of 91 showing the very distorted tetrahedral metal topology (left) and the {NiII5(μ3-ONR)4(μ2-ONR)}5+ core of 91 (right).

| H = −J1(Ŝ1∙Ŝ3 + Ŝ3∙Ŝ5 + Ŝ5∙Ŝ4 + Ŝ4∙Ŝ1) − J2(Ŝ1∙Ŝ2 + Ŝ2∙Ŝ3 + Ŝ2∙Ŝ4 + Ŝ2∙Ŝ5) | (72) |
In addition to complex 78 [77], another Ni(II) cluster (complex 92) with the binary dpkox−/MeCO2− ligand “blend” was also prepared by our group [77] by changing the solvent and omitting SCN− from the reaction mixture, Equation (73); the yield was 60%.
| 5 Ni(O2CMe)2∙4H2O + 3 dpkoxH | [Ni5(O2CMe)7(dpkox)3(H2O)] | + 3 MeCO2H + 19 H2O | (73) |
| 92 |
The molecular structure of 92 (Figure 73) consists of five NiII centers in a closed, cage-like motif. The octahedral metal ions are held together by two 3.2111 and one 3.2110 dpkox− ligands (Figure 14). The seven acetato groups adopt four different coordination modes. Four of them are coordinated through the common 2.11 mode, and the remaining three are in the 1.10, 2.20, and 2.21 modes. Two metal ions (Ni1 and Ni3) are further bridged by the O atom of the aquo ligand which is H-bonded to two uncoordinated acetato O atoms [77].
Figure 73.
The molecular structure of [Ni5(O2CMe)7(dpkox)3(H2O)] (92).
The mixed-ligand complex 93 was prepared by the reaction shown in Equation (74); the yield was ca. 85% [80].
| 5 Ni(O2CMe)2∙4H2O + 2 shiH3 + 2 dpkoxH + 2 DMF | [Ni5(O2CMe)2(shi)2(dpkox)2(DMF)2] | + 8 MeCO2H + 20 H2O | (74) |
| 93 |
The difference between 81 (Figure 65 and Figure 66) and 93 (Figure 74) lies in the different encapsulated cations (H+ for 81 and NiII for 93) and coordinated anions (NCS− for 81 and MeCO2− for 93). The two 3.2111 shi3− and dpkox− ligands are arranged in a trans configuration constructing a 12-metallacrown-4 motif with an encapsulated NiII atom (Ni5). Unlike 81, the common [-Ni-N-O-]4 repeating unit is observed for 93. Two syn, anti- 2.11 acetato groups bridge the encapsulated NiII atom to two-ring metal ions and thus the overall complex is neutral [80]. The dpkox− ligands are not planar due to steric hindrance between the two 2-pyridyl rings. As in 81, two NiII atoms (Ni4, Ni2) have a square planar geometry, the other being octahedral; the central encapsulated metal ion has a {NiIIO6} coordination sphere, with four oxygens coming from the metallacrown cavity (shi3− and dpkox− ligands) and two from the bridging MeCO2− groups. The complex does not show the alternating scheme of five- and six-membered chelating rings that are observed for other metallacrowns (vide supra). In 93, two five-membered chelating rings surround its square planar NiII atom, and two six-membered ones surround the ring metal ions. The exchange is weak antiferromagnetic, while in solution the complex is shown to be stable both to decomposition and to ligand exchange [80].
Figure 74.
The molecular structure of [Ni5(O2CMe)2(shi)2(dpkox)2(DMF)2] (93).
As mentioned in Section 5.3, the Cu(II)/dpkoxH reaction system is fertile. Change of the reaction conditions that led to the dinuclear complexes 27 and 28 (Table 2) gave the pentanuclear complex 94, Equation (75); the yield was not reported [48].
| 5 CuII(ClO4)2∙6H2O + 7 dpkoxH + 7 NaOH | [CuII5(dpkox)7](ClO4)3 | + 7 NaClO4 + 37 H2O | (75) |
| 94 |
The structure and the core of the cation of cluster 94 are shown in Figure 75 and Figure 76, respectively. The structure of the pentanuclear cation can be described as consisting of one dimeric (Cu2Cu3) and one trimeric (Cu1Cu4Cu5) unit bridged by dpkox− ligands [48]. The Cu3 unit can be considered a scalene triangle. The chromophores are {Cu1NNNOO} (square pyramidal), {Cu2NNNNN} (trigonal bipyramidal), {Cu3NNOOO} (trigonal bipyramidal), {Cu4NNNNO} (trigonal bipyramidal), and {Cu5NNOOO} (square pyramidal); all the coordination polyhedra are distorted. The dpkox− ligands adopt four coordination modes. Three ligands are 2.1110 (one intradimer, one intratrimer, and one interdimer/trimer), one is 3.1111 (interdimer/trimer), two are 3.2110 (one intratrimer and one interdimer/trimer) and a unique ligand behaves in a 4.2111 manner (interdimer/trimer); these coordination modes can be seen in Figure 14. Thus, the dimeric and trimeric units are linked through one 2.1110, one 3.2110, one 3.1111, and one 4.2111 dpkox− ligands. The core of the cation is {CuII5(μ3-ΝO)3(μ2-NO)4}3+, with N representing the oximato nitrogen. Variable-temperature, solid-state dc magnetic susceptibility results are indicative of dominant antiferromagnetic exchange interactions within the cation. The lowest temperature χΜΤ value (0.38 cm3 K mol−1) suggests an S = ½ ground state [48]. UV/Vis experiments in DMF solutions have demonstrated an equilibrium between 94 and [CuII,II2(dpkox)4] (27) upon adding CuII(ClO4)2∙6H2O in the reaction solution [48].
Figure 75.
The pentanuclear cation [CuII5(dpkox)7]3+ that is present in the crystal structure of 94.
Figure 76.
The {CuII5(μ3-ΝO)3(μ2-NO)4}3+ core of the cation of complex 94; NO represents the oximato group.
Our group initially came across the Zn(II) pentanuclear clusters 95 and 96 when we tried to prepare the isothiocyanato analogs of 85–87 (Table 5). This at first glance trivial effort led to remarkable nuclearity and structural changes. A mixture of 95 and 96 was obtained from a reaction mixture containing ZnCl2, a half equivalent of NaSCN, and one equivalent of Na(dpkox) in MeOH [82]. The manual separation of colorless crystals of 95 from their mixture with the pale yellow crystals of 96 remains the only source of the former to date; the latter was obtained in pure form by the reactions shown in Equations (76) and (77) in yields of ca. 80 and 30%, respectively.
| 6 Zn(O2CMe)2∙2H2O + 6 NaSCN + 6 dpkoxH + MeOH | (76) |
| [Zn5(NCS)2(dpkox)6(MeOH)][Zn(NCS)4] + 6 Na(O2CMe) + 6 MeCO2H + 12 H2O | |
| 96 | |
| [Zn5Cl2(dpkox)6][ZnCl(NCS)3] | (77) |
| 95 | |
| [Zn5(NCS)2(dpkox)6(MeOH)][Zn(NCS)4] + 3 NaCl | |
| 96 |
The structures of the cations of clusters 95 and 96 (Figure 77; note that the numbering scheme of the ZnII atoms is not the same) are similar [82] in many aspects and, thus, only the structure of the former will be described in detail. The complexes are cationic and the positive charge is balanced by the tetrahedral anions [ZnCl(NCS)3]2− in 95 and [Zn(NCS)4]2− in 96. The five ZnII atoms are held together by six dpkox− ligands, which adopt three different coordination modes (two are 2.1110, two 3.1111, and two 3.2111). The metal ions define two nearly equilateral triangles sharing a common apex at Zn1 (Figure 77, left). The “central” ion (Zn1 in 95, Zn3 in 96) is in a distorted cis-cis-trans O2(N2-pyridyl)2(Noximato)2 octahedral environment. Zn2 and Zn3 possess very distorted trigonal bipyramidal coordination spheres consisting of O2(N2-pyridyl)2(Noximato) sets of donor atoms, while Zn4 and Zn5 are bound to a square pyramidal O(N2-pyridyl)2(Noximato)Cl set. The metal topology can be described as consisting of two “collapsed” 9-metallacrown-3 motifs sharing a common apex at Zn1. In 96, the two terminal chlorido groups of 95 have been replaced by two terminal isothiocyanato ligands. A minor difference is also the fact that one five-coordinate metal ion in 95 has become six-coordinate in 96 through the coordination of one terminal MeOH molecule (Zn5; Figure 77, right).
Figure 77.
The pentanuclear cations that are present in the crystal structures of the ionic complexes [Zn5Cl2(dpkox)6][ZnCl(NCS)3] (95) and [Zn5(NCS)2(dpkox)6(MeOH)][Zn(NCS)4] (96).
5.7. Hexanuclear Clusters
Four hexanuclear dpkox− -based clusters (97–100) with first-row transition metal ions have been reported (Table 6). The use of dpkoxH in manganese benzoate chemistry provided access to a {MnII3MnIII3} complex which has a rare oxidation-state combination [85]. The reaction of MnII(ClO4)2∙6H2O, PhCO2H, (Bun4N)MnO4, and (py)2CNOH(dpkoxH) in a 4:5:1:5 molar ratio in CH2Cl2 gave [MnII3MnIII3O2(O2CPh)6(dpkox)2{(py)2C(OH)(O)}2](ClO4) (97) in 65% yield; (py)2C(OH)(O) is the monoanion of the gem-diol form of (py)2CO, the latter being produced by the metal ion-assisted/-promoted transformation of dpkoxH, Equations (40)–(42) and Figure 15. A simplified reaction illustrating the changes in the oxidation states of Mn is shown in Equation (78) with the assumption that MnVIIO42− is the exclusive oxidant, i.e., that atmospheric oxygen does not participate in the oxidation of Mn(II).
| 27 MnII + 3 MnVII → 5 {MnII3MnIII3} | (78) |
The cation of 97 (Figure 78, left) contains three MnII (Mn2, Mn4, Mn6) and three MnIII (Mn1, Mn3, Mn5) atoms, which are held together by six 2.11 PhCO2−, two 2.1110 dpkox− (the MnII atoms are coordinated to the 2-pyridyl and the oximato N atoms, while the O atom is bonded to an oxophilic MnIII center), two 3.3011 (py)2C(OH)(O)− (one deprotonated triply bridging O atom is bonded to the three MnII atoms, and the other to two MnII and one MnIII atoms) and two μ4 (4.4) O2− (each bonded to two MnII and two MnIII atoms) ligands. The core is {MnII3MnIII3(μ3-O)2(μ3-OR)2}9+, where RO− = (py)2C(OH)(O)−. It consists (Figure 78, right) of a central {MnII3MnIII(μ3-O)2(μ3-OR)2}3+ cubane subcore, with the remaining two MnIII atoms attached to the two vertices of the cube that are occupied by the O2− groups, the latter becoming μ4 as a result [85]. The metal topology and the core of the complex remain novel to date. The χΜΤ vs. T curve indicates ferromagnetic coupling with an S = 15/2 ± 1 ground state; the complex is SMM.
Figure 78.
The structure of the cation [MnII3MnIII3O2(O2CPh)6(dpkox)2{(py)2C(OH)(O)}2]+ that is present in complex 97 (left) and its core (right). The coordination bonds are drawn with bold lines. The quadruply bridging oxygens represent the oxido (O2−) groups, while the triply bridging oxygens come from the O atoms of the 3.3011 (py)2C(OH)(O)− ligands.
The hexanuclear complex 98 [48], which can be roughly considered as a “dimer” of the trinuclear complex 48 (Table 3) [62], was prepared by the reaction shown in Equation (79); the yield was not reported.
| [CuII6(OH)2Cl2(dpkox)6] | + 10 NaCl + 18 H2O | (79) | |
| 98 |
The cation of 98 consists of two triangular {CuII3(OH)Cl(dpkox)3}+ isosceles units (Figure 79). Each triangular unit is capped by the O atom of one 3.3 hydroxido group. Each edge is bridged by an oximato group. The oximato groups that bridge the Cu1∙∙∙Cu2 and Cu1∙∙∙Cu3 edges (and their symmetry equivalents) belong to two 2.1110 dpkox− ligands; the oximato group which bridges the Cu2∙∙∙Cu3 edge (and its symmetry equivalent) belongs to a 3.1111 dpkox− ligands. Thus, two 3.1111 dpkox− ligands provide the intertrimer association. An edge of each triangle (Cu1∙∙∙Cu3 and its symmetry equivalent) is additionally bridged by a non-symmetric chlorido group. The distorted square pyramidal coordination spheres are {Cu(1,3)NNOOCl} and {Cu3NNNOO} [48]. Each triangular unit shows the pattern of 9-MC-3 complexes accommodating a coordinated OH− anion. The CuII∙∙∙CuII exchange interactions are antiferromagnetic.
Figure 79.
The structure of the cation [CuII6(OH)2Cl2(dpkox)6]2+ that is present in the crystal of 98.
A structurally interesting Cu(II) cluster containing two crystallographically distinct [18-MCCu(II)(N)dpkox-6] cations was prepared by Pecoraro’s and Kessissoglou’s groups [48,86], Equation (80); the yield was ca. 60%.
| 12 CuII(ClO4)2∙6H2O + 12 Na(dpkox) + 10 MeCN | (80) | |
| [CuII6(ClO4)(dpkox)6(MeCN)6][CuII6(ClO4)3(dpkox)6(MeCN)4](ClO4)8 | + 12 NaClO4 + 72 H2O | |
| 99 |
In both cations [CuII6(ClO4)(dpkox)6(MeCN)6]5+ (99a) and [CuII6(ClO4)3(dpkox)6(MeCN)4]3+ (99b), six CuII atoms and six 2.1111 dpkox− ligands create the 18-MC-6 ring [48,86]. The cation 99a is shown in Figure 80. The six square pyramidal CuII atoms of both rings are in a chair configuration. For each cation, the juxtaposed five- and six-membered chelating rings form the basis of the 18-MC-6 core through the [-CuII-N-O-]6- linkage. The cations create a cavity, having a trigonal prism shape with trigonal bases created by 2-pyridyl C atoms. Each cavity contains an encapsulated, non-coordinated ClO4− ion (Figure 81). The only difference between the two metallacrown cations is in the ligands bound to the CuII atoms on the outside of the ring. In 99a, there are six MeCN molecules, one at each CuII, whereas in 99b, four CuII atoms have MeCN ligands and two possess monodentate perchlorato groups. Thus, from the six ClO4− ions in 99b, one is encapsulated and two are coordinated and an alternative formulation of this cation could be [CuII6(ClO4)(dpkox)6(ClO4)2(MeCN)4]3+. The use of anions other than ClO4− does not template the same 18-MC-6 motifs, but leads to complexes (such as 98), though all reaction conditions are kept constant. The CuII centers in 99 are strongly antiferromagnetically coupled, resulting in an S = 0 ground state. When the complex is dissolved in DMF, the two cations (probably with DMF ligands instead of coordinated MeCN molecules) exist separately and are involved in several equilibria, e.g., the equilibrium represented by Equation (81).
| 5 [CuII6(ClO4)(dpkox)6(solvent)6]5+ + 12 dpkox− 6 [CuII5(dpkox)7]3+ + 5 ClO4− + 30 solvents | (81) |
The reaction of ZnCl2 with dpkoxH and flufenamic acid (flufH; the structural formula of its anion is shown in Figure 15) in a basic medium led to the isolation of the hexanuclear cluster 100, Equation (82) [87].
| 6 ZnCl2 + 4 dpkoxH + 6 flufH + 12 KOH | [Zn6(OH)2(dpkox)4(fluf)6] | + 12 NaCl + 10 H2O | (82) |
| 100 |
Single-crystal X-ray crystallography revealed that complex 100 contains molecules consisting of six ZnII atoms bridged by the syn, syn-2.11 carboxylato groups of six flufenamato ligands, creating a 24-membered metallocoronate ring with a repeat –[Zn-O-C-O]- unit (Figure 82) [80]. Two 3.2110 and two 3.2111 dpkox− ligands, and two μ3 (3.3) hydroxido groups contribute to the bridging pattern, stabilizing the six octahedral ZnII atoms in a distorted trigonal antiprismatic arrangement.
Figure 80.
The structure of [CuII6(dpkox)6(MeCN)6]6+ that is present in the cation 99a; the encapsulated (trapped) ClO4− of 99a has not been drawn.
Figure 80.
The structure of [CuII6(dpkox)6(MeCN)6]6+ that is present in the cation 99a; the encapsulated (trapped) ClO4− of 99a has not been drawn.

Figure 81.
Stereoview of the cation [CuII6(ClO4)3(dpkox)6(MeCN)4]3+ (99b) showing the cavity of the ring and the encapsulated ClO4− ion. Reproduced from Ref. [86]. Copyright 2005 Elsevier.
Figure 81.
Stereoview of the cation [CuII6(ClO4)3(dpkox)6(MeCN)4]3+ (99b) showing the cavity of the ring and the encapsulated ClO4− ion. Reproduced from Ref. [86]. Copyright 2005 Elsevier.

Figure 82.
The molecular structure of [Zn6(OH)2(dpkox)4(fluf)6] (100).
Figure 82.
The molecular structure of [Zn6(OH)2(dpkox)4(fluf)6] (100).

5.8. A Cationic 24-MC-8 Dodecanuclear Manganese Complex with Metals Possessing Three Oxidation States
The reaction of MnII(ClO4)2∙6H2O with dpkoxH in 1:1 molar ratio in MeOH in the presence of NaOH gave cluster 101 (Table 7), Equation (83); the yield was ~40% [88].
| 12 MnII(ClO4)2∙6H2O + 12 dpkoxH + 21 NaOH + 2.5 O2 + 2 MeOH | (83) |
| [MnII4MnIII6MnIV2O6(OH)4(OMe)2(dpkox)12](OH)(ClO4)3 + 21 NaClO4 + 87 H2O | |
| 101 |
Figure 83.
The structure of the cation [MnII4MnIII6MnIV2O6(OH)4(OMe)2(dpkox)12]4+ that is present in complex 101.
Figure 83.
The structure of the cation [MnII4MnIII6MnIV2O6(OH)4(OMe)2(dpkox)12]4+ that is present in complex 101.

Table 7.
Coordination clusters of dpkoxH and dpkox− with nuclearities higher than 6.
Table 7.
Coordination clusters of dpkoxH and dpkox− with nuclearities higher than 6.
| Complex | Coordination Mode of dpkoxH/dpkox− e | Ref. |
|---|---|---|
| [MnII4MnIII6MnIV2O6(OH)4(OMe)2(dpkox)12](OH)(ClO4)3 (101) | 2.1110 | [88] |
| [Ni7(N3)2(O2CMe)6(dpkox)6(H2O)2] (102) | 1.0110, 3.2111 | [77] |
| (N3)C[Ni9(N3)9(dpkox)6(dpt)6](ClO4)2 (103) a | 2.1110 | [60] |
| [Ni10(mcpa)2(shi)5(dpkox)3(MeOH)3(H2O)] (104) b,c | 3.2111, 4.3111 | [80,89] |
| [Ni10(2,4-D)2(shi)5(dpkox)3(MeOH)3(H2O)] (105) d | 3.2111, 4.3111 | [90] |
a dpt = dipropylenetriamine. b shi is the triply deprotonated form of salicylhydroxamic acid (shiH3; Figure 12, K). c mcpa = 2-methyl-4-chlorophenoxyacetate(−1). d 2,4-D = 2,4-dichlorophenoxyacetate(−1). The structural formulae of dpt, mcpa− and 2,4-D− are illustrated in Figure 15. e Using the Harris notation [2]. Lattice solvent molecules have not been incorporated into the formulae of the compounds.
The structure (Figure 83) consists of a dodecanuclear cation with charge +4, which is counterbalanced by one OH− and three ClO4− ions [88]. The core of the complex is {MnII4MnIII6MnIV2(μ3-O)4(μ4-O)2(μ3-OH)4}18+. The cluster contains a 24-membered metallacrown (24-MC-8) subunit constructed by eight metal ions (two MnII, four MnIII, and two MnIV) and eight 2.1110 dpkox− ligands; more detailed descriptions of these modes are 2.1112120 and 2.1311110, where the subscripts 1, 2, and 3 refer to MnIII, MnII, and MnIV, respectively. Therefore, this “external” part can be formally described as cationic [24-MCMn(II/III/IV)N(dpkox)-8]4+ subunit. The specific connectivity of the ring atoms is [MnIII-O-N-MnII-N-O-MnIII-N-O-MnIV-O-N]2. Atoms Mn1, Mn1’, Mn3, Mn3’ are MnIII, atoms Mn2, Mn2’, are MnII, and atoms Mn4, Mn4’ are MnIV. The 24-membered metallacrown ring wraps a 16-membered star-shaped {MnII2MnIII4MnIV2(μ3-O)4(μ3-OH)4}12+ ring with the connectivity pattern [Mn1-O-Mn2-(OH)-Mn3-O-Mn4-(OH)]2. It should be noted that the Mn centers in the two rings are common, while the heteroatoms forming the two rings come from non-related ligands. Those of the metallacrown ring come from eight dpkox− N-O− moieties, whereas those of the star-shaped ring from μ4-O2− and μ3-OH− groups. The metallacrown ring accommodates a tetranuclear mixed-valence cluster subunit of the formula {MnII2MnIII2(μ3-O)4(μ4-O)2(μ3-OH)4(OMe)2(dpkox)4}12−. The dpkox− anions behave as 2.1112120 ligands. The connection between the Mn clusters of the metallacrown ring and those of the “internal” tetranuclear subunit is achieved by μ4-O2− and μ3-OH− groups. The methoxido groups are terminal and form bonds to the MnIII atoms of the tetranuclear mixed-valence subunit. The χΜΤ vs T plot for 101 indicates an overall antiferromagnetic interaction [88].
5.9. A Heptanuclear Azido-Bridged Ni(II) Cluster
Incorporation of N3− ions into the reaction system that led to 92, Equation (73) and Figure 73, but using MeCN/H2O (5:1, v/v) instead of Me2CO/H2O (5:1, v/v), gave dark red crystals of [Ni7(N3)2(O2CMe)6(dpkox)6(H2O)2] (102) in 55% yield (Table 7), Equation (84) [77].
| 7 Ni(O2CMe)2∙4H2O + 6 dpkoxH + 2 NaN3 | (84) |
| [Ni7(N3)2(O2CMe)6(dpkox)6(H2O)2] + 6 MeCO2H + 2 Na(O2CMe) + 26 H2O | |
| 102 |
The molecular structure of 102 (Figure 84) consists of an assembly of seven octahedral NiII centers; there is a crystallographic 2-fold axis passing through Ni1. Two end-on (2.110) azido groups, four 3.2111 dpkox− ligands, and six syn, syn-2.11 acetato ions hold together the seven metal ions. Peripheral ligation is provided by two 1.0110 dpkox− ligands and two aqua groups [77]. Without considering the bridging acetato groups as part of the core, the latter is {Ni7(η1:μ2-Ν3)2(μ3-OΝ)4}8+. The molecule can be considered as two {Ni3(μ2-Ν3)(μ2-O2CMe)2(η1-O2CMe)(μ3-dpkox)(μ2-dpkox)(η1:η1-dpkox)}− subunits, each linked to the central Ni1 atom. Variable-temperature magnetic susceptibility data and magnetization studies indicate an S = 3 ground state.
Figure 84.
The molecular structure of [Ni7(N3)2(O2CMe)6(dpkox)6(H2O)2] (102).
5.10. A Remarkable Enneanuclear Ni(II) Metallacycle
The group of Escuer prepared a {Ni9} dpkox−-based metallacycle that is capable of selective encapsulation of an azido anion in a cryptand-like cavity through H-bonding interactions [60], Equation (85); dpt is dipropylenetriamine (Figure 15). The yield of the reaction is ca. 40%.
| 9 Ni(ClO4)2∙6H2O + 6 dpkoxH + 10 NaN3 + 6 dpt + 6 Et3N | (85) |
| (N3)C[Ni9(N3)9(dpkox)6(dpt)6](ClO4)2 + 10 NaClO4 + 6 (Et3NH)(ClO4) + 54 H2O | |
| 103 |
The cation of 103 (Figure 85) can be described as consisting of three triangular subunits linked by μ-1,3 (end-to-end or 2.11) azido groups generating a {Ni9} ring. Coordination of N2-pyridyl, Noximato chelating parts from two 2.1110 dpkox− ligands to Ni1 and tridentate chelating dpt ligands to Ni2 lead to a “trimer of trimers” description of the cation. Each of the two connected Ni∙∙∙Ni edges of the triangular units is supported by a μ-1,1 (end-on or 2.20) azido group. Thus, there are three end-to-end and six end-on N3− ligands. The {-Ni-(μ1,1-Ν3)-Ni-(μ1,1-Ν3)-Ni-(μ1,3-Ν3)-}3 linkage sequence defines a 24-membered ring. The ring is not planar due to the arrangement of the μ-1,3-azido bridges, exhibiting a zigzag conformation that creates a large internal prismatic cavity functionalized by six –NH2 groups coming from six dpt ligands. These –NH2 functionalities are donors of six H bonds with the terminal N atoms of one N3− ion as acceptors; in this way, the single N3− ion is trapped inside the cavity along the C3 axis. The three positive charges on the ring are compensated by the guest N3− ion and two ionic perchlorates. The self-assembly for the formation of 103 is the combination of several factors such as charge balance and guest H-bonding interactions [54], leading to the stabilization of this unusual supramolecular system.
Figure 85.
The structure of the cation [Ni9(N3)9(dpkox)6(dpt)6]3+ that is present in cluster 103; the H-bonded encapsulated N3− ion (dashed lines) is also shown. An identical numbering scheme (i.e., without primes) is used for the NiII atoms generated by symmetry.
5.11. Unique {Ni10} Dimeric Metallacrowns
Compound 104 was prepared by the reaction represented in Equation (86) in ca. 60% yield; shiH3 is salicylhydroxamic acid (K, Figure 12), and mcpa is 2-methyl-4-chlorophenoxyacetate(−1) (the structural formula of this anion is illustrated in Figure 15).
| 10 NiCl2∙6H2O + 3 dpkoxH + 5 shiH3 + 2 Na(mcpa) + 18 NaOH + 3 MeOH | (86) |
| [Ni10(mcpa)2(shi)5(dpkox)3(MeOH)3(H2O)] + 20 NaCl + 77 H2O | |
| 104 |
Figure 86.
The molecular structure of [Ni10(mcpa)2(shi)5(dpkox)3(MeOH)3(H2O)] (104). Atoms Ni4 and Ni8 have square planar geometries.
Figure 86.
The molecular structure of [Ni10(mcpa)2(shi)5(dpkox)3(MeOH)3(H2O)] (104). Atoms Ni4 and Ni8 have square planar geometries.

The molecule of 104 (Figure 86) consists of two [12-MCNi(II)(ox)(ligand)-4] units (ox = oximato and ligand = shi3−). These are {NiII(mcpa)(MeOH)2[12-MCNi(II)N(shi)2(dpkox)2-4]} and {NiII(mcpa)(MeOH)(H2O)[12-MCNi(II)N(shi)3(dpkox)-4]} with charges +1 and −1, respectively [80,89]. The shi3− ligands participate with five different ligation modes (Figure 87), while the dpkox− ligands are 3.2111 and 4.3111 (Figure 14). The neutral [12-MCNi(II)N(shi)2(dpkox)2-4] part of the structure has alternating shi3− and dpkox− ligands, forming a neutral 12-MC-4 ring; all NiII atoms are octahedral, except Ni4, which can be described as square planar. An overall +1 charge results because a fifth NiII atom is encapsulated and a syn, syn-2.11 mcpa− ligand is bound. The second metallacrown [12-MCNi(II)N(shi)3(dpkox)-4] part of the molecule is anionic with -2 charge. An overall -1 charge results when a fifth NiII atom is encapsulated and a syn, syn-2.11 mcpa− ligand is bound; again, all NiII atoms are octahedral, except Ni8, whose geometry is better described as square planar. Thus, each part of the molecule has four ring NiII atoms and one additional encapsulated metal ion. The coordination sphere of each ring NiII includes both five- and six-membered chelating rings in the neutral metallacrown part of the molecule. In contrast, in the anionic metallacrown part, the coordination sphere of two-ring NiII atoms includes both five- and six-membered chelating rings, one NiII atom includes only five-membered chelating rings and the fourth ring NiII atom contains only six-membered chelating rings, that form the basis of the two metallacrown parts through a [-NiII-N-O-]4 core system. The planar configurations of both metallacrown parts allow for the encapsulation of a fifth NiII atom. The trapped NiII lies in the plane of the four O-ring atoms. The cavity radii are 0.68 and 0.70 Å for the anionic and cationic units, respectively. The magnetic “structure” of 104 is complicated, with some exchange interactions being strongly antiferromagnetic [89].
The 2,4-D− analog of 104, i.e., [Ni10(2,4-D)2(shi)5(dpkox)3(MeOH)3(H2O)] (105), has also been structurally characterized; 2,4-D− is the anion of 2,4-dichlorophenoxyacetic acid (Figure 15) [90].
Complexes 104 and 105 exhibit strong antibacterial activity against Gram-positive and Gram-negative microorganisms [90].
Figure 87.
The five coordination modes of the shi3− ligands in the structure of [Ni10(mcpa)2(shi)5(dpkox)3(MeOH)2(H2O)] (104) and the Harris notation that describes these modes. The coordination bonds are drawn with bold lines. The numbering scheme of the NiII atoms is presented for clarity. The ligation modes 4.2112 and 6.3221 are, to-date, novel in the coordination chemistry of salicylhydroxamic acid.
Figure 87.
The five coordination modes of the shi3− ligands in the structure of [Ni10(mcpa)2(shi)5(dpkox)3(MeOH)2(H2O)] (104) and the Harris notation that describes these modes. The coordination bonds are drawn with bold lines. The numbering scheme of the NiII atoms is presented for clarity. The ligation modes 4.2112 and 6.3221 are, to-date, novel in the coordination chemistry of salicylhydroxamic acid.

5.12. Coordination Polymers
The to-date structurally characterized polymeric complexes containing the deprotonated dpkox− ligand (106) and the neutral dpkoxH ligand (107–110) are listed in Table 8.
Table 8.
Coordination polymers of dpkoxH and dpkox−.
Complex 106 is the only compound whose polymeric character is created (at least in part) by di-2-pyridyl ketoxime. The complex [71] was prepared by the reaction shown in Equation (87) in ca. 60% yield; (py)2CO is di-2-pyridyl ketone and (py)2C(O)22− is the dianion of its gem-diol form (Figure 15).
| 4n MnCl2∙4H2O + 2n dpkoxH + n (py)2CO + 6n NaN3 + 2n NaOH + 1/2n O2 + 2n MeOH | (87) |
| {[MnII2MnIII2(N3)6(dpkox)2{(py)2C(O)2}(MeOH)2]}n + 8n NaCl + 18n H2O | |
| 106 |
The repeat unit of 106 is shown in Figure 88. The topology of the octahedral metal ions is distorted tetrahedral. Atoms Mn1 and Mn3 are MnII, and the rest (Mn2, Mn4) are MnIII [71]. The Mn centers are linked by a series of diatomic (N-O) and O-monoatomic bridges coming from the two 2.1110 dpkox− ligands, the single 4.21,221,21212 (the subscript 1 refers to MnII and 2 to MnIII) (py)2C(O)2− ligand and three end-on (2.20) azido groups. The bidentate chelating N2-pyridyl, Noximato part of each dpkox− binds a MnII atom, while their oximato O atoms bind MnIII. Each of the two deprotonated O atoms of (py)2C(O)22− bridges one MnII and one MnIII atom. There are three types of azido groups in the tetranuclear unit; one is terminal (1.10), three are end-on (2.20), and two are end-to-end (2.11); the latter two appear as terminal in Figure 88. Each of the end-to-end azido groups provides a bridge to a metal ion of an adjacent tetranuclear unit, thus creating the 1D chain in the solid (Figure 89); these bridges are of the {MnIII-Nazido-MnIII} type.
Figure 88.
The tetranuclear unit that creates the 1D coordination polymer {[MnII2MnIII2(N3)6(dpkox)2{(py)2C(O)2}(MeOH)2]}n (106). Two terminal azido groups on Mn2 and Mn4 are becoming end-to-end in the 1D chain providing the intercluster linkage.
Figure 89.
Chain structure of {[MnII2MnIII2(N3)6(dpkox)2{(py)2C(O)2}(MeOH)2]}n (106). Adjacent tetranuclear units are linked via an end-to-end (2.11) azido group, which connects two MnIII atoms; these groups are terminal in each tetranuclear unit and are becoming end-to-end to generate the polymer. Reproduced from Ref. [71]. Copyright 2008 American Chemical Society.
Variable-field magnetic susceptibility data for 106 at 4.5 K reveal that there is not an isolated ground state [71]. Ac measurements provide the estimation of an S = 2 ground state. The compound is weak SMM. XANES spectroscopy was used to confirm the correct combination of the Mn oxidation states, i.e., {MnII2MnIII2}. Simulation of the EXAFS data using the known crystallographic coordinates was satisfactory [71].
The Cu(I) coordination polymer 107 was prepared [51] by the reaction shown in Equation (88); the yield was low (ca. 25%). CuISCN had been prepared by the 1:1 reaction of CuII(NO3)2∙3H2O and NaSCN in the presence of the good reductant agent L(+)-ascorbic acid.
| n CuISCN + n dpkoxH | {[CuI(SCN)(dpkoxH)]}n | (88) |
| 107 |
Figure 90.
A small portion of one zigzag chain that is present in the crystal structure of {[CuI(SCN)(dpkoxH)]}n (107).
Figure 90.
A small portion of one zigzag chain that is present in the crystal structure of {[CuI(SCN)(dpkoxH)]}n (107).

The crystal structure of 107 features tetrahedral CuI atoms singly bridged by η1:η1:μ2 thiocyanido ligands forming zigzag chains (Figure 90) [51]. A N2-pyridyl, Noximato-bidentate chelating dpkoxH ligand (1.0110) completes the coordination sphere of each metal ion, which is {CuINthiocyanidoSthiocyanidoN2-pyridylNoximato}. The interchain H bond, with the O atom of the oxime group as donor and the uncoordinated 2-pyridyl N atom as acceptor, creates the architecture of the crystal structure. The ν(C≡Ν) mode in the IR spectrum of the complex appears as a very strong band at 2098 cm−1. The compound does not display emission light in the solid state or in solution at room temperature, which would be due to MLCT excitation. The non-emissive character may be caused by the oxime group which alters the energy levels of the aromatic rings to make other, radionless decay mechanisms more efficient [51].
Our group recently studied [91] the reactions of cadmium halides and dpkoxH in order to assess the structural role (if any) of the halido ligand and compare the products with their Zn(II) analogs (Table 1). Complexes 108–110 were prepared by the general reaction shown in Equation (89). X = Cl, Br, I; y = 2 for X = Cl, n = 4 for X = Br, and n = 0 for X = I. The solvents were MeOH for 108 and 110, and MeCN for 109. The yields were 50–60%. Reactions with a large excess of the ligand, e.g., Cd(II):dpkoxH = 1:3, led again to the isolation of the 1:1 complexes.
| n CdX2∙yH2O + n dpkoxH | {[CdX2(dpkoxH)]}n | + ny H2O | (89) |
| 108–110 |
The structure of the compounds consists of structurally similar 1D zigzag chains, but only 109 (Figure 91) and 110 are strictly isomorphous. Neighboring metal centers are alternately doubly bridged by halido (or halo) and neutral dpkoxH ligands, the latter adopting the 2.0111 coordination mode. A terminal halido group completes distorted octahedral coordination at each CdII atom; thus, the coordination sphere of the metal ions is {Cd(η1-Χ)(μ2-Χ)2(Ν2-pyridyl)2(Noxime)}. The trans-donor-atom pairs in 108 are Clterminal/Noxime and two Clbridging/N2-pyridyl; on the contrary, these donor-atom pairs are Xterminal/N2-pyridyl, Xbridging/Noxime and Xbridging/N2-pyridyl for 109 and 110.
Figure 91.
A portion of one zigzag chain that is present in the crystal structure of {[CdBr2(dpkox)]}n (109).
The solid-state structures of the complexes are not retained in DMSO, as proven via NMR (1H, 13C, and 13Cd NMR) spectroscopy and molar conductivity data. The complexes completely release the coordinated dpkoxH ligand from the coordination sphere of CdII. The dominant solution species are [Cd(DMSO)6]2+ for 108 and 109, and [CdI2(DMSO)4] in the case of 110, Equations (90) (X = Cl, Br) and (91). The 113Cd NMR spectra of the complexes are shown in Figure 92.
| {[CdX2(dpkox)]}n + 6n DMSO n [Cd(DMSO)6]2+ + 2n X− + n dpkoxH | (90) |
| 108, 109 | |
| {[CdI2(dpkox)]}n + 4n DMSO n [CdI2(DMSO)4] + n dpkoxH | (91) |
| 110 |
Figure 92.
The 113Cd NMR spectra of {[CdX2(dpkoxH)]}n (X = Cl, 108; X = Br, 109) (left) and {[CdI2(dpkoxH)]}n (110) (right).
6. Unpublished Results from Our Group
Our research activity towards the completion of the “Periodic Table” of dpkoxH continues. At the time of submission of this review we have at hand almost 50 structurally characterized complexes of dpkoxH and dpkox− which remain unpublished. In this section we give a brief overview of some of our results; a few of the compounds are listed in Table 9. The compounds discussed below do not necessarily appear in this table. Since this material is unpublished, we refrain from giving details and presenting many figures.
The Cd(II)/dpkoxH reaction system is extremely fertile. In addition to the 1D compounds 108–110, the 1:2 reactions between Cd(NO3)2∙4H2O and dpkoxH in MeCN gave two different products depending on the crystallization conditions. Storage of the reaction solution at room temperature gave complex 111, Equation (92), while layering the reaction solution with Et2O gave complex 112, Equation (93). The products were originally characterized by microanalyses (C, H, N), single-crystal X-ray crystallography and vibrational spectroscopy (IR, Raman).
| Cd(NO3)2∙4H2O + 2 dpkoxH [Cd(1.100-NO3)2(dpkoxH)2] + 4 H2O | (92) |
| 111 | |
| Cd(NO3)2∙4H2O + 2 dpkoxH [Cd(1.110-NO3)2(dpkoxH)2] + 4 H2O | (93) |
| 112 |
Table 9.
A few unpublished metal complexes of dpkoxH and dpkox− from our group.
Table 9.
A few unpublished metal complexes of dpkoxH and dpkox− from our group.
| Complex | Coordination Mode of dpkoxH/dpkox− c | Ref. |
|---|---|---|
| [HgII,II2(O2CMe)4(dpkoxH)2] (113) | 2.0111 | [92] |
| [HgII,II2(O2CPh)4(dpkoxH)2] (114) | 2.0111 | [92] |
| [HgII,II2(O2CPh)3(dpkox)(dpkoxH)2] (115) | 1.0110 | [92] |
| {[HgIICl(O2CPh)(dpkoxH)]}n (116) | 2.0111 | [92] |
| [Pr4(NO3)8(dpkox)4] (117) | a | [93] |
| [Pr4(OH)2(NO3)4(dpkox)6(MeOH)2] (118) b | 2.1110, 2.2110, 3.2110 | [93] |
| [Pr4(OH)2(NO3)4(dpkox)6(EtOH)2] (119) b | 2.1110, 2.2110, 3.2110 | [93] |
| [PrIII8PrIVO4(OH)4(NO3)4(dpkox)12(H2O)4] (120) | 2.1110, 2.2110, 3.2111 | [93] |
a The formula of this tetranuclear cluster has been derived from a poor-quality single-crystal X-ray structure, and hence, we avoid specifying the coordination mode(s) of dpkox−. b These clusters are diastereoisomers depending on the relative positions of the nitrato ligands in the coordination sphere of the PrIII center. c Using the Harris notation [2]. Lattice solvent molecules have not been incorporated into the formulae of the compounds.
The molecular structures of 111 and 112 [91] are shown in Figure 93. The CdII atom in 111 is 6-coordinate with a distorted octahedral stereochemistry. The metal ion in 112 is 8-coordinate with a distorted hexagonal bipyramidal geometry. In both complexes, each dpkoxH molecule behaves as an N2-pyridyl, Noxime-bidentate chelating ligand (1.0110). The trans-nitrato groups are monodentate (1.100) in 111, whereas the cis-nitrato groups are bidentate chelating (1.110) in 112. Thus, the two complexes exhibit a type of linkage isomerism; since the donor atoms of the nitrato ligands are exclusively oxygens (i.e., this group is not ambidentate), we have termed these complexes as “coordination number isomers”. Since the vibrational (IR, Raman) spectra of the samples from the two preparations are identical, we suspected that each sample was practically a mixture of the two isomers. This would also be expected on synthetic grounds since the only difference in the two preparations was the absence (111) or presence (112) of Et2O. Our fears proved true, because the solid-state 113Cd NMR spectra of the two samples (Figure 94) have repeatedly shown a striking similarity with the main peak (attributed to one isomer) at δ 209 ppm. The spectra also show the presence of another minor CdII site (attributed to the other isomer). DFT calculations are in progress to discover the predominant isomer in the samples (111 or 112) and to find the synthetic–crystallization conditions for the isolation of the pure isomers.
Figure 93.
The molecular structures of [Cd(1.100-NO3)2(dpkoxH)2] (111) and [Cd(1.110-NO3)2(dpkoxH)2] (112).
Figure 94.
Solid-state MAS 113Cd NMR spectra of the samples isolated during the preparations of complexes 111 and 112.
The study of the Hg(II) carboxylate chemistry with dpkoxH has resulted in dinuclear and polymeric complexes in yields of 45–60%, Equations (94)–(97).
| 2 HgII(O2CMe)2∙2H2O + 2 dpkoxH [HgII,II2(O2CMe)4(dpkoxH)2] + 4 H2O | (94) |
| 113 | |
| 2 HgII(ClO4)2∙3H2O + 4 Na(O2CPh) + 2 dpkoxH [HgII,II2(O2CPh)4(dpkoxH)2] + 4 NaClO4 + 6 H2O | (95) |
| 114 | |
| 2 HgIICl2 + 4 Na(O2CPh) + 2 dpkoxH + MeOH | (96) |
| [HgII,II2(O2CPh)3(dpkox)(dpkoxH)(MeOH)] + 4 NaCl + PhCO2H | |
| 115 | |
| n HgIICl2 + n Na(O2CPh) + dpkoxH {[HgIICl(O2CPh)(dpkoxH)]}n + n NaCl | (97) |
| 116 |
The structures of 113 and 114 are similar. The HgII atoms are bridged by two head-to-tail 2.0111 dpkoxH ligands; a bidentate chelating and a monodentate carboxylato ligands complete octahedral coordination at each metal ion. The molecular structure of 115 is analogous to that of 114; the only differences are the presence of one 2.0111 dpkoxH and one 2.0111 dpkox− ligands, and the replacement of one monodentate PhCO2− group with one terminal MeOH molecule at one of the HgII centers in 115. Complex 116 is a zigzag 1D coordination polymer. The HgII atoms are alternately bridged by two 2.0111 dpkoxH ligands in a head-to-tail arrangement and two μ2-chlorido (2.2) groups.
In the last 2–3 years, our group has been studying the coordination chemistry of dpkoxH with lanthanoid(III) ions [93]. Four of the more than 30 structurally characterized complexes (we confine our discussion to one metal, namely Pr) are listed in Table 9. Compounds 117–120 were prepared in low yields by the reactions shown in balanced Equations (98)–(100); R = Me, Et.
| 4 Pr(NO3)3∙6H2O + 4 dpkoxH + 4 (Bun4N)(OMe) | (98) |
| [Pr4(NO3)8(dpkox)4] + 4 (Bun4N)(NO3) + 4 MeOH + 24 H2O | |
| 117 | |
| 4 Pr(NO3)3∙6H2O + 6 dpkoxH + 8 (Bun4N)(OR) | (99) |
| [Pr4(OH)2(NO3)4(dpkox)6(ROH)2] + 8 (Bun4N)(NO3) + 6 ROH + 22 H2O | |
| 118, 119 | |
| 9 PrIII(NO3)3∙6H2O + 12 dpkoxH + 23 Et3N + ¼ O2 | (100) |
| [PrIII8PrIVO4(OH)4(NO3)4(dpkox)12(H2O)4] + 23 (Et3NH)(NO3) + 42.5 H2O | |
| 120 |
The X-ray dataset for a crystal of 117 was poor and only the connectivity and the gross structural features are visible; we thus refrain from briefly describing its molecular structure. Complexes 118 and 119 are isostructural. The molecular structure of the former is shown in Figure 95. The complex is neutral and the centrosymmetric molecule consists of four PrIII atoms with a butterfly arrangement, bridged by two μ3 hydroxido groups. There are six dpkox− ligands which comprise two 2.1110, two 2.2110, and two 3.2110 binding modes. Ten coordination around Pr2 and Pr2’ is completed by two chelating (1.110) nitrato groups, while one MeOH molecule is bound to each of the 9-coordinate Pr1 and Pr1’ centers. The carbon-nitrogen and nitrogen-oxygen bond lengths of the oximato groups in the 2.2110 dpkox− ligands, which form the three-membered chelating ring, suggest delocalization (
).
).
Figure 95.
The molecular structure of the centrosymmetric complex [Pr4(OH)2(NO3)4(dpkox)6(MeOH)2] (118).
Complex 120 (Figure 96) is neutral and crystallizes in the tetragonal space group I41/a with Z = 4. It consists of three crystallographically independent PrIII atoms (Pr1, Pr2, Pr3) and contains one 4-fold axis which passes through the central Pr1 atom. The eight PrIII atoms and the unique PrIV center (Pr1) are held together by four μ3-O2−, four μ3-OH−, and twelve dpkox− ligands; the latter are arranged in four 2.1110, four 2.2110, and four 3.2111 groups. The coordination sphere of each Pr3 atom is completed with one chelating nitrato group and one terminal H2O molecule. The inorganic {PrIII8PrIV(μ3-O)4(μ3-OH)4}16+ core (Figure 97) consists of four “butterflies”, the central PrIV atom being a common site for them. It is remarkable that the {PrIV(μ3-O)4(μ3-OH)4}8− moiety contains only “hard” (HSAB) oxido- and hydroxido-O atoms. This is no doubt the reason for the stabilization of the IV oxidation state of Pr1. Mixed valency is only known in praseodymium oxides and not in molecular compounds. The carbon-nitrogen and nitrogen-oxygen bond lengths in the three-membered chelating ring of the 2.1110 dpkox− ligands are 1.399 and 1.278 Å, respectively, indicating a –C-N=O description of the oximato group. The confirmation of this unusually high (for molecular complexes) Pr(IV) oxidation state was achieved by EPR spectroscopy and BVS calculations.
Figure 96.
The molecular structure of the mixed-valence coordination cluster [PrIII8PrIVO4(OH)4(NO3)4(dpkox)12(H2O)4] (120).
Figure 97.
The topology (dashed multicolored lines) and the inorganic {PrIII8PrIV(μ3-O)4(μ3-OH)4}16+ core in 120. O1X (and symmetry equivalents) and OX2 (and symmetry equivalents) are oxido and hydroxido oxygens.
We mentioned in paragraph 5.1 that an interesting aspect of the chemistry of dpkoxH is its activation by 3d-metal ions, resulting in complexes that often possess a novel ligand different than dpkoxH. From the aerobic mixtures, Pr(NO3)3∙6H2O/dpkoxH, with or without Et3N in MeCN or MeNO2, were subsequently isolated as pale green crystals of various solvates of complex [Pr2(NO3)4(L)2] in low yields (~15%). The structure of one such complex (compound 121) is shown in Figure 98. L− represents the anionic ligand shown in Figure 99.
The ligand was derived from the in situ transformation of dpkoxH, which is relatively sensitive to hydrolysis in basic media. In our case, half of the dpkoxH molecules undergo deprotonation, while the other half undergo hydrolysis to form the ketone followed by nucleophilic attack of dpkox− at the positive (δ+) carbonyl carbon. The process seems to be PrIII-mediated with the metal ion polarizing the carbonyl group by coordination of its O atom and/or the 2-pyridyl N atoms (in solution). Molecule 121 consists of two PrIII atoms doubly bridged by the methoxido O atoms of the 2.2011110 L− ligands in a head-to-head arrangement. Two chelating nitrato groups complete tetradecahedral ten-coordination at each metal center.
Figure 98.
The molecular structure of one of the solvates of [Pr2(NO3)4(L)2] (121); the structural formula of the anionic ligand L is illustrated in Figure 99.
Figure 98.
The molecular structure of one of the solvates of [Pr2(NO3)4(L)2] (121); the structural formula of the anionic ligand L is illustrated in Figure 99.

Figure 99.
The structural formula and the abbreviation of the anionic ligand that is present in [Pr2(NO3)4(L)2] (121).
Figure 99.
The structural formula and the abbreviation of the anionic ligand that is present in [Pr2(NO3)4(L)2] (121).

There is one Au(III)/dpkoxH complex in the literature [42], Equation (8), Figure 25, Table 1. This has the formula [AuIIICl(dpkoxH)2] (23) with a five-coordinate AuIII center and was prepared in H2O. Our group studied the Au(III)/dpkoxH reaction system in organic solvents. In refluxing MeOH, the product is [AuICl(dpkoxH)] (122), which was isolated in moderate yield; the starting material was H[AuIIICl4]. The Au(III)→Au(I) reduction is presumably the result of the use of MeOH (solvent), whose reduction ability increases with temperature. The crystal structure of the complex consists of [AuICl(dpkoxH)] molecules (Figure 100) which have a neutral 1.0110 dpkoxH ligand and a terminal chlorido group. The molecule has a T-shape; the N2-pyridyl-AuI-Noxime, Noxime-AuI-Cl, and N2-pyridyl-AuI-Cl bond angles are 72.9, 112.5, and 174.5°, respectively. The AuI atom is exactly coplanar with the three donor atoms.
Figure 100.
The molecular structure of [AuICl(dpkoxH)] (122).
Figure 100.
The molecular structure of [AuICl(dpkoxH)] (122).

7. Concluding Comments and Perspectives
In this report, we have comprehensively reviewed the to-date published coordination chemistry of dpkoxH (Section 5) and briefly mentioned a few unpublished results from our group (Section 6). According to our opinion, this ligand is very interesting, having a variety of exciting scientific aspects, from important synthetic and reactivity metal chemistry to interesting molecular structures and to remarkable properties (magnetic, biological, etc.). We hope that we have convinced the reader that the coordination chemistry of dpkoxH is distinctly different from that of other simple 2-pyridyl oximes (Figure 3, left/R = H, Me, Ph, and Figure 10). The presence of an extra donor group (the second 2-pyridyl ring) offers extra coordinating possibilities (Figure 14), resulting in a variety of mononuclear, dinuclear, oligomeric (coordination clusters), and polymeric complexes. It is also remarkable that the ligand can often adopt two (or sometimes three) coordination modes in the same complex providing unusual structures. The to-date developed “periodic table” of dpkoxH is shown in Figure 101.
There appear to be no solid rules concerning the way in which metal centers with different ionic radii react with dpkoxH. In general, the larger metal ions of the 2nd- and 3rd-row transition series form mononuclear and dinuclear complexes, as well as a much smaller number of coordination clusters. It is tentatively proposed that large sizes of the metal centers decrease the coordination flexibility of dpkox−. A final factor that influences the reactivity of the metal ions is the nature and coordination possibilities of the ancillary organic and inorganic ligands that are present in the reaction media. As a general remark, the deprotonated di-2-pyridyl ketoxime favors higher nuclearity species than the neutral ligand.
Figure 101.
The present form of the “periodic table” of dpkoxH. Color code: Pale red; metals whose complexes with dpkoxH and/or dpkox− have been published, or structurally characterized by our group and remain unpublished. Yellow; metals with unpublished coordination chemistry of dpkoxH/dpkox−.
Figure 101.
The present form of the “periodic table” of dpkoxH. Color code: Pale red; metals whose complexes with dpkoxH and/or dpkox− have been published, or structurally characterized by our group and remain unpublished. Yellow; metals with unpublished coordination chemistry of dpkoxH/dpkox−.

The perspectives of the use of dpkoxH as a primary ligand in inorganic chemistry appear brilliant. Other perspectives are as follows: (a) We easily notice in Figure 101 that no p-metal complexes, e.g., with Ga(III), In(III), Sn(IV), Pb(II), Sb(III), Bi(III), etc., of this ligand have been reported, and work on this subarea might be interesting. (b) With the exception of the trinuclear {MIILnIII2} clusters (M = Ni, Cu, Pd) of Table 4 and complex 90, the heterometallic chemistry based on dpkox− is limited, and further studies are required. (c) The characterization of complexes 67–70 (Table 5), L, M, N, and O (Section 5.1, Figure 13) and 121 (Section 6) emphasizes the capability of dpkoxH to undergo metal ion-assisted/promoted transformations and thus further investigations on this topic are warranted; and (d) no 5f-metal chemistry of dpkoxH (with the “non-dangerous” actinoids) is known, and this area might be fruitful.
We currently work hard to fill in as many as possible empty positions in the table of Figure 101. This means that our efforts to complete the “periodic table” of di-2-pyridyl ketoxime are continued. If we are successful, a future review in “Molecules” will have the title “Completion of the ‘Periodic Table’ of Di-2-pyridyl Ketoxime”. To prove the great potential of dpkoxH, we close this comprehensive article by mentioning that during the days of the submission of this work: (1) Heterometallic dpkox− -based {CuIIFeIII} and {NiIIFeIII} clusters have been prepared [perspective (b) above]; (2) in the uranyl complex [UVIO2(dpkox)2(MeOH)2] just structurally characterized [perspective [d] above], the anionic ligand adopts the hitherto not reported coordination mode 1.1010 (Figure 102).
Figure 102.
The 1.1010 (Harris notation) coordination mode confirmed in the just prepared and structurally characterized hexagonal bipyramidal complex [UVIO2(dpkox)2(MeOH)2]. The coordination bonds are drawn with solid lines.
Author Contributions
Z.G.L., K.F.K. and S.P.P.—conceptualization, methodology, and visualization. C.S.—literature source, preparation of figures, and writing. C.D.P.—literature source. Z.G.L. and K.F.K.—supervision. S.P.P.—project administration, writing, and editing. All authors have read and agreed to the published version of the manuscript.
Funding
This research received no external funding.
Acknowledgments
The authors thank Assistant Professor Dimitrios Alexandropoulos for his assistance in preparing some figures.
Conflicts of Interest
The authors declare no conflicts of interest.
References
- March, J. Advanced Organic Chemistry, 4th ed.; Wiley: New York, NY, USA, 1992; pp. 73, 128, 367, 388, 389, 405, 406, 894, 918, 934, 943, 1038–1040, 1154, 1199. [Google Scholar]
- Coxall, R.A.; Harris, S.G.; Henderson, D.K.; Parsons, S.; Tasker, P.A.; Winpenny, R.E.P. Inter-Ligand Reactions: In Situ Formation of New Polydentate Ligands. J. Chem. Soc. Dalton Trans. 2000, 2349–2356. [Google Scholar] [CrossRef]
- Mezei, G.; Zaleski, C.M.; Pecoraro, V.L. Structural and Functional Evolution of Metallacrowns. Chem. Rev. 2007, 107, 4933–5003. [Google Scholar] [CrossRef]
- Milios, C.J.; Stamatatos, T.C.; Perlepes, S.P. The coordination chemistry of pyridyl oximes. Polyhedron 2006, 25, 134–194. [Google Scholar] [CrossRef]
- Tschugaeff, L. Ueber ein neues, empfindliches reagens out nickel. Ber. Dtsch. Chem. Ges. 1885, 38, 2520–2522. [Google Scholar] [CrossRef]
- Tarai, A.; Nath, B. A review on oxime functionality: An ordinary functional group with significant impacts in supramolecular chemistry. Chem. Commun. 2024, 60, 7266–7287. [Google Scholar] [CrossRef]
- Smith, A.G.; Tasker, P.A.; White, D.J. The structures of phenolic oximes and their complexes. Coord. Chem. Rev. 2003, 241, 61–85. [Google Scholar] [CrossRef]
- Gerasimchuk, N.; Maher, T.; Durham, P.; Domasevitch, K.V.; Wilking, J.; Mokhir, A. Tin(IV) cyanoximates: Synthesis, characterization, and cytotoxicity. Inorg. Chem. 2007, 46, 7268–7274. [Google Scholar] [CrossRef]
- Sahyoun, T.; Arrault, A.; Schneider, R. Amidoximes and oximes. Synthesis, structure, and their key role as NO donors. Molecules 2019, 24, 2470. [Google Scholar] [CrossRef] [PubMed]
- Kopylovich, M.N.; Kukushkin, V.Y.; Haukka, M.; Fraústo da Silva, J.J.R.; Pombeiro, A.J.L. Zinc(II)/ketoxime system as a simple and efficient catalyst for hydrolysis of organonitriles. Inorg. Chem. 2002, 41, 4798–4804. [Google Scholar] [CrossRef]
- Chaudhuri, P. Homo- and hetero-polymetallic exchange coupled metal-oximates. Coord. Chem. Rev. 2003, 243, 143–190. [Google Scholar] [CrossRef]
- Yang, C.J.; Zhang, Z.Z.; Lin, S.B. A review of manganese-based molecular magnets and supramolecular architectures from phenolic oximes. Coord. Chem. Rev. 2015, 289–290, 289–314. [Google Scholar] [CrossRef]
- Garnovskii, D.A.; Kukushkin, V.Y. Metal-mediated reactions of oximes. Russ. Chem. Rev. 2006, 75, 111–124. [Google Scholar] [CrossRef]
- Bolotin, D.S.; Bokach, N.A.; Demakova, M.Y.; Kukushkin, V.Y. Metal-involving synthesis and reactions of oximes. Chem. Rev. 2017, 117, 13039–13122. [Google Scholar] [CrossRef]
- Mazarakioti, E.C.; Soto Beobide, A.; Angelidou, V.; Efthymiou, C.G.; Terzis, A.; Psycharis, V.; Voyiatzis, G.A.; Perlepes, S.P. Modeling the Solvent Extraction of Cadmium(II) from Aqueous Chloride Solutions by 2-pyridyl Ketoximes: A Coordination Chemistry Approach. Molecules 2019, 24, 2219. [Google Scholar] [CrossRef] [PubMed]
- Lada, Z.G.; Polyzou, C.D.; Nika, V.; Stamatatos, T.C.; Konidaris, K.F.; Perlepes, S.P. Adventures in the coordination chemistry of 2-pyridyl oximes: On the way to 3d/4f-metal coordination clusters. Inorg. Chim. Acta 2022, 539, 120954. [Google Scholar] [CrossRef]
- Maniaki, D.; Pilichos, E.; Perlepes, S.P. Coordination Clusters of 3d-Metals That Behave as Single-Molecule Magnets (SMMs): Synthetic Routes and Strategies. Front. Chem. 2018, 6, 461. [Google Scholar] [CrossRef] [PubMed]
- Clérac, R.; Miyasaka, H.; Yamashita, M.; Coulon, C. Evidence for single-chain magnet behavior in a MnIIINiII chain designed with high spin magnetic units: A route to high temperature metastable magnets. J. Am. Chem. Soc. 2002, 124, 12837–12844. [Google Scholar] [CrossRef] [PubMed]
- Mowson, A.M.; Nguyen, T.N.; Abboud, K.A.; Christou, G. Dimeric and tetrameric supramolecular aggregates of single-molecule magnets via carboxylate substitution. Inorg. Chem. 2013, 52, 12320–12322. [Google Scholar] [CrossRef]
- Stamatatos, T.C.; Foguet-Albiol, D.; Lee, S.C.; Stoumpos, C.C.; Raptopoulou, C.P.; Terzis, A.; Wernsdorfer, W.; Hill, S.O.; Perlepes, S.P.P.; Christou, G. “Switching on” the properties of single-molecule magnetism in triangular manganese(III) complexes. J. Am. Chem. Soc. 2007, 129, 9484–9499. [Google Scholar] [CrossRef] [PubMed]
- Parus, A.; Wieszczycka, K.; Olszanowski, A. Solvent extraction of cadmium(II) from chloride solutions by pyridyl ketoximes. Hydrometallurgy 2011, 105, 284–289. [Google Scholar] [CrossRef]
- Bodwin, J.J.; Cutland, A.D.; Malkani, R.G.; Pecoraro, V.L. The development of chiral metallacrowns into anion recognition agents and porous materials. Coord. Chem. Rev. 2001, 216-217, 489–512. [Google Scholar] [CrossRef]
- Kumagai, H.; Endo, M.; Kondo, M.; Kawata, S.; Kitagawa, S. Reactions of di-2-pyridylketone oxime in the presence of vanadium(III): Crystal structures of the coordination products. Coord. Chem. Rev. 2003, 237, 197–203. [Google Scholar] [CrossRef]
- Milios, C.J.; Kyritsis, P.; Raptopoulou, C.P.; Terzis, A.; Vicente, R.; Escuer, A.; Perlepes, S.P. Di-2-pyridyl ketone oxime [(py)2CNOH] in manganese carboxylate chemistry: Mononuclear, dinuclear and tetranuclear complexes, and partial transformation of (py)2CNOH to the gem-diolate(2-) derivative of di-2-pyridyl ketone leading to the formation of NO3−. Dalton Trans. 2005, 501–511. [Google Scholar] [CrossRef] [PubMed]
- Totta, X.; Papadopoulou, A.A.; Hatzidimitriou, A.G.; Papadopoulos, A.N.; Psomas, G. Synthesis, structure and biological activity of nickel(II) complexes with mefenamato and nitrogen-donor ligands. J. Inorg. Biochem. 2015, 145, 79–93. [Google Scholar] [CrossRef] [PubMed]
- Totta, X.; Hatzidimitriou, A.G.; Papadopoulos, A.N.; Psomas, G. Nickel(II) complexes of the non-steroidal anti-inflammatory drug tolfenamic acid: Synthesis, structure, antioxidant activity and interaction with albumins and calf-thymus DNA. Polyhedron 2016, 117, 172–183. [Google Scholar] [CrossRef]
- Perontsis, S.; Hatzidimitriou, A.G.; Papadopoulos, A.N.; Psomas, G. Nickel-diflunisal complexes: Synthesis, characterization, in vitro antioxidant activity and interaction with DNA and albumins. J. Inorg. Biochem. 2016, 162, 9–21. [Google Scholar] [CrossRef]
- Barmpa, A.; Geromichalos, G.D.; Hatzidimitriou, A.G.; Psomas, G. Nickel(II)-meclofenamate complexes. Structure, in vitro and in silico DNA- and albumin- binding studies, antioxidant and anticholinergic activity. J. Inorg. Biochem. 2021, 222, 111507. [Google Scholar] [CrossRef]
- Kyropoulou, M.; Raptopoulou, C.P.; Psycharis, V.; Psomas, G. Ni(II) complexes with non-steroidal drug diclofenac: Structure and interaction with DNA and albumins. Polyhedron 2013, 61, 126–136. [Google Scholar] [CrossRef]
- Perontsis, S.; Tialiou, A.; Hatzidimitriou, A.G.; Papadopoulos, A.N.; Psomas, G. Nickel(II)-indomethacin mixed-ligand complexes: Synthesis, characterization, antioxidant activity and interaction with DNA and albumins. Polyhedron 2017, 138, 258–269. [Google Scholar] [CrossRef]
- Koumousi, E.S.; Raptopoulou, C.P.; Perlepes, S.P.; Escuer, A.; Stamatatos, T.C. Strong antiferromagnetic coupling in N, O oximato-bridged dinuclear complexes. Polyhedron 2010, 29, 204–211. [Google Scholar] [CrossRef]
- Warad, I.; Abdoh, M.; Ali, A.A.; Shivalingegowda, N.; Kumara, K.; Zarrouk, A.; Lokanath, N.K. Synthesis, Spectra and X-ray Crystallography of Dipyridin-2-ylmethanane Oxime and its CuX2(oxime)2 Complexes. Thermal, Hirshfeld Surface and DFT Analysis. J. Mol. Struct. 2018, 1154, 619–625. [Google Scholar] [CrossRef]
- Alexiou, M.; Dendrinou-Samara, C.; Raptopoulou, C.P.; Terzis, A.; Kessissoglou, D.P. From Monomer-Oxamato Complexes to Tetranuclear Inverse 12-Membered and Octanuclear 12-Membered Metallacrowns. Inorg. Chem. 2002, 41, 4732–4738. [Google Scholar] [CrossRef] [PubMed]
- Westcott, B.L.; Crundwell, G.; Remesic, M.; Knopf, K.; Chandler, K.; McMaster, J.; Davies, E.S. Crystal structure and magnetic properties of di-copper and di-zinc complexes with di-2-pyridyl ketone oxime. Inorg. Chem. Commun. 2019, 74, 79–81. [Google Scholar] [CrossRef]
- Gökce, H.; Alpaslan, G.; Alasalvar, C. Crystal structure, spectroscopic characterization, DFT computations and molecular docking study of a synthesized Zn(II) complex. J. Coord. Chem. 2019, 72, 1075–1096. [Google Scholar]
- Tarushi, A.; Karaflou, Z.; Kljun, J.; Turel, I.; Psomas, G.; Papadopoulos, A.N.; Kessissoglou, D.P. Antioxidant capacity and DNA-interaction studies of zinc complexes with a non-steroidal anti-inflammatory drug, mefenamic acid. J. Inorg. Biochem. 2013, 128, 85–96. [Google Scholar] [CrossRef] [PubMed]
- Tarushi, A.; Totta, X.; Papadopoulos, A.; Kljun, J.; Turel, I.; Kessissoglou, D.P.; Psomas, G. Antioxidant activity and interaction with DNA and albumins of zinc-tolfenamato complexes. Eur. J. Med. Chem. 2014, 74, 187–198. [Google Scholar] [CrossRef] [PubMed]
- Tarushi, A.; Kakoulidou, C.; Raptopoulou, C.P.; Psycharis, V.; Kessissoglou, D.P.; Zoi, I.; Papadopoulos, A.N.; Psomas, G. Zinc complexes of diflunisal: Synthesis, characterization, structure, antioxidant activity, and in vitro and in silico study of the interaction with DNA and albumins. J. Inorg. Biochem. 2017, 170, 85–97. [Google Scholar] [CrossRef]
- Tarushi, A.; Kastanias, P.; Raptopoulou, C.P.; Psycharis, V.; Kessissoglou, D.P.; Papadopoulos, A.N.; Psomas, G. Zinc complexes of flufenamic acid: Characterization and biological evaluation. J. Inorg. Biochem. 2016, 163, 332–345. [Google Scholar] [CrossRef] [PubMed]
- Adhikari, S.; Kaminsky, W.; Rao, K.M. Study of the Bonding Modes of Di-2-pyridyl Ketoxime Ligand towards Ruthenium, Rhodium and Iridium Half Sandwich Complexes. Z. Anorg. Allg. Chem. 2016, 642, 941–946. [Google Scholar] [CrossRef]
- Bakir, M. The first pyridyl N,N’-coordinated di-2-pyridyl ketone oxime, fac-tricarbonylchloro(di-2-pyridyl ketone oxime)rhenium(I) dimethyl sulfoxide. Acta Crystallogr. 2001, C57, 1154–1156. [Google Scholar] [CrossRef]
- Sommerer, S.O.; MacBeth, C.E.; Jircitano, A.J.; Abboud, K.A. Chloro(N,N’-di-2-pyridyl ketone oximato)gold(III) Hydrate. Acta Crystallogr. 1997, C53, 1551–1553. [Google Scholar]
- Song, D.; Chen, J.; Wang, R.; Guo, Z.; Xie, J.; Liu, Y. Catalytic Water Oxidation by Ruthenium Complexes with Pyridine Alkoxide Ligands. Eur. J. Inorg. Chem. 2024, 27, e202300536. [Google Scholar] [CrossRef]
- Stamatatos, T.C.; Pringouri, K.V.; Raptopoulou, C.P.; Vicente, R.; Psycharis, V.; Escuer, A.; Perlepes, S.P. An unusual dichromium(II,II) compound bearing di-2-pyridyl ketone oximate ligands and prepared by the ligand-assisted reduction of a trichromium(III,III,III) complex in air. Inorg. Chem. Commun. 2006, 9, 1178–1182. [Google Scholar] [CrossRef]
- Pringouri, K.V.; Raptopoulou, C.P.; Escuer, A.; Stamatatos, T.C. Initial use of di-2-pyridyl ketone oxime in chromium carboxylate chemistry: Triangular {CrIII3(μ3-O)}7+ compounds and unexpected formation of a carboxylate-free dichromium(II,II) complex. Inorg. Chim. Acta 2007, 360, 69–83. [Google Scholar] [CrossRef]
- Huang, X.; Shi, N.; Yang, S.; Liu, P. Nickel-based transition metal complex as well as preparation method and application thereof. China Patent CN 114,874,269 A, 9 August 2022. [Google Scholar]
- Schlemrer, E.O.; Stunkel, J.; Patterson, C. Structure of Dinuclear Bis(di-2-pyridylmethanone oximato)copper(II) Dihydrate. Acta Crystallogr. 1990, C46, 1226–1228. [Google Scholar]
- Afrati, T.; Zaleski, C.M.; Dendrinou-Samara, C.; Mezei, G.; Kampf, J.W.; Pecoraro, V.L.; Kessissoglou, D.P. Di-2-pyridyl ketone oxime in copper chemistry: Di-, tri-, penta- and hexanuclear complexes. Dalton Trans. 2007, 2658–2668. [Google Scholar] [CrossRef] [PubMed]
- Lada, Z.G.; Raptopoulou, C.P.; Psycharis, V.; Klouras, N.; Escuer, A.; Perlepes, S.P. Bis(di-2-pyridyl ketoximate-O,N,N’)bis(di-2-pyridyl ketoxime-N,N’)dicopper(II) diperchlorate: A plausible, weakly ferromagnetically-coupled intermediate in the formation of the neutral, strongly antiferromagnetically-coupled dimer bearing only deprotonated ligands. Inorg. Chem. Commun. 2016, 70, 95–98. [Google Scholar]
- Sommerer, S.O.; Westcott, B.L.; Jircitano, A.J.; Abboud, K.A. The synthesis and structure of two novel metal-di-2-pyridyl ketone oxime dimers. Inorg. Chim. Acta 1995, 238, 149–153. [Google Scholar] [CrossRef]
- Goher, M.A.S.; Mautner, F.A. Dimeric and polymeric copper(I) complexes. Synthesis and characterization of copper(I) complexes of di-2-pyridyl ketone oxime (DPKox) and crystal structures of [Cu(DPKox)Cl]2∙2H2O and [Cu(DPKox)(NCS)]n. Polyhedron 1999, 18, 3425–3431. [Google Scholar] [CrossRef]
- Cabeza, J.A.; del Rio, I.; Riera, V.; Suàrez, M.; Álvarez-Rúa, C.; Garcia-Granda, S.; Chuang, S.H.; Hwu, J.R. Di- and Trinuclear Ruthenium and Osmium Bis(2-pyridyl) Ketone Oximate Derivatives. Eur. J. Inorg. Chem. 2003, 2003, 4159–4165. [Google Scholar] [CrossRef]
- Danelli, P.; Lada, Z.G.; Raptopoulou, C.P.; Psycharis, V.; Stamatatos, T.C.; Perlepes, S.P. Doubly Thiocyanato(S,N)-Bridged Dinuclear Complexes of Mercury(II) from the Use of 2-pyridyl Oximes as Capping Ligands. Curr. Inorg. Chem. 2015, 5, 26–37. [Google Scholar] [CrossRef]
- Alexiou, M.; Zaleski, C.M.; Dendrinou-Samara, C.; Kampf, J.; Kessissoglou, D.P.; Pecoraro, V.L. Trinuclear Mixed-Valent MnII/MnIV/MnII Complexes-Structure and Magnetic Behavior. Z. Anorg. Allg. Chem. 2003, 629, 2348–2355. [Google Scholar] [CrossRef]
- Alexiou, M.; Dendrinou-Samara, C.; Karagianni, A.; Biswas, S.; Zaleski, C.M.; Kampf, J.; Yoder, D.; Penner-Hahn, J.E.; Pecoraro, V.L.; Kessissoglou, D.P. Models for the Lower S States of Photosystem II: A Trinuclear Mixed-Valent MnII/MnIV/MnII Complex. Inorg. Chem. 2003, 42, 2185–2187. [Google Scholar] [CrossRef] [PubMed]
- Audhya, A.; Maity, M.; Towsif Abtab, S.M.; Mathonière, C.; Kalisz, M.; Clérac, R. Polyalcohols as ancillary ligands in manganese-oxime chemistry. Syntheses, structures and magnetic properties of a series of trinuclear complexes involving a linear MnII-MnIV-MnII core. Polyhedron 2012, 33, 353–359. [Google Scholar] [CrossRef]
- Martínez, L.; Arizaga, L.; Armentano, D.; Lloret, F.; González, R.; Kremer, C.; Chiozzone, R. Synthesis, characterization and magnetic properties of mixed-valence iron complexes with 2-pyridyl oximes. J. Coord. Chem. 2018, 71, 748–762. [Google Scholar] [CrossRef]
- Alexiou, M.; Tsivikas, I.; Dendrinou-Samara, C.; Pantazaki, A.A.; Trikalitis, P.; Lalioti, N.; Kyriakidis, D.A.; Kessissoglou, D.P. High nuclearity nickel compounds with three, four or five metal atoms showing antibacterial activity. J. Inorg. Biochem. 2003, 93, 256–264. [Google Scholar] [CrossRef] [PubMed]
- Escuer, A.; Esteban, J.; Font-Bardia, M. Anion coordination by metallamacrocycles: A cryptand like cavity. Chem. Commun. 2012, 48, 9777–9779. [Google Scholar] [CrossRef]
- Esteban, J.; Font-Bardia, M.; Escuer, A. Anionic Guests in Prismatic Cavities Generated by Enneanuclear Nickel Metallacycles. Inorg. Chem. 2014, 53, 1113–1121. [Google Scholar] [CrossRef] [PubMed]
- Stamatatos, T.C.; Vlahopoulou, J.C.; Sanakis, Y.; Raptopoulou, C.P.; Psycharis, V.; Boudalis, A.K.; Perlepes, S.P. Formation of the {CuII,II,II3(OH)}5+ core in copper(II) carboxylate chemistry via use of di-2-pyridyl ketone oxime [(py)2CNOH]: [Cu3(OH)(O2CR)2{(py)2CNO}3] (R = Me, Ph). Inorg. Chem. Commun. 2006, 9, 814–818. [Google Scholar] [CrossRef]
- Speed, S.; Font-Bardia, M.; Salah El Fallah, M.; Vicente, R. Four new trinuclear {Cu3(μ3-OH)(oximate)3}2+ clusters: Crystal structures and magnetic behavior. Dalton Trans. 2014, 43, 16919–16927. [Google Scholar] [CrossRef] [PubMed]
- Yue, X.; Yan, X.; Huo, S.; Dong, Q.; Zhang, J.; Hao, Z.; Han, Z.; Lin, J. Triruthenium carbonyl complexes containing bidentate pyridine-alkoxide ligands for highly efficient oxidation of primary and secondary alcohols. Appl. Organometal. Chem. 2020, 34, e5292. [Google Scholar] [CrossRef]
- Mori, F.; Ishida, T.; Nogami, T. Structure and magnetic properties of 3d-4f heterometallic complexes containing di-2-pyridyl ketoximate: An approach to single-molecule magnets. Polyhedron 2005, 24, 2588–2592. [Google Scholar] [CrossRef]
- Okazawa, A.; Shimada, T.; Kojima, N.; Yoshii, S.; Nojiri, H.; Ishida, T. Exchange Coupling and Its Chemical Trend Studied by High-Frequency EPR on Heterometallic [Ln2Ni] Complexes. Inorg. Chem. 2013, 52, 13351–13355. [Google Scholar] [CrossRef] [PubMed]
- Okazawa, A.; Nojiri, H.; Ishida, T.; Kojima, N. Single-molecule magnet behavior enhanced by magnetic coupling between 4f and 3d spins. Polyhedron 2011, 30, 3140–3144. [Google Scholar] [CrossRef]
- Mori, F.; Nyui, T.; Ishida, T.; Nogami, T.; Choi, K. –Y.; Nojiri, H. Oximate-Bridged Trinuclear Dy-Cu-Dy Complex Behaving as a Single-Molecule Magnet and its Mechanistic Investigation. J. Am. Chem. Soc. 2006, 128, 1440–1441. [Google Scholar] [CrossRef]
- Okazawa, A.; Watanabe, R.; Nezu, M.; Shimada, T.; Yoshii, S.; Nojiri, H.; Ishida, T. Ferromagnetic Gd-Tb, Tb-Cu, and Ho-Cu Couplings in Isomorphous [Ln2Cu] Complexes. Chem. Lett. 2010, 39, 1331–1332. [Google Scholar] [CrossRef]
- Afrati, T.; Dendrinou-Samara, C.; Raptopoulou, C.P.; Terzis, A.; Tangoulis, V.; Kessissoglou, D.P. A Tetranuclear Mixed-Valent MnII3MnIV Compound with a (μ4-O)Mn4 Core. Angew. Chem. Int. Ed. 2002, 41, 2148–2150. [Google Scholar] [CrossRef]
- Dimitrakopoulou, A.; Dendrinou-Samara, C.; Pantazaki, A.A.; Alexiou, M.; Nordlander, E.; Kessissoglou, D.P. Synthesis, structure and interaction with DNA of novel tetranuclear, [Mn4(II/II/II/IV) mixed valence complexes. J. Inorg. Biochem. 2008, 102, 618–628. [Google Scholar] [CrossRef] [PubMed]
- Zaleski, C.M.; Weng, T.-C.; Dendrinou-Samara, C.; Alexiou, M.; Kanakaraki, P.; Hsieh, W.Y.; Kampf, J.; Penner-Hahn, J.E.; Pecoraro, V.L.; Kessissoglou, D.P. Structural and Physical Characterization of Tetranuclear [MnII3MnIV] and [MnII2MnIII2] Valence-Isomer Manganese Complexes. Inorg. Chem. 2008, 47, 6127–6136. [Google Scholar] [CrossRef]
- Milios, C.J.; Raptopoulou, C.P.; Terzis, A.; Vicente, R.; Escuer, A.; Perlepes, S.P. Di-2-pyridyl ketone oxime in 3d-metal carboxylate cluster chemistry: A new family of mixed-valence MnII2MnIII2 complexes. Inorg. Chem. Commun. 2003, 6, 1056–1060. [Google Scholar] [CrossRef]
- Stamatatos, T.C.; Boudalis, A.K.; Sanakis, Y.; Raptopoulou, C.P. Reactivity and Structural and Physical Studies of Tetranuclear Iron(III) Clusters Containing the [Fe4(μ3-O)2]8+ “Butterfly” Core: An FeIII4 Cluster with an S = 1 Ground State. Inorg. Chem. 2006, 45, 7372–7381. [Google Scholar] [CrossRef]
- Stamatatos, T.C.; Dionyssopoulou, S.; Efthymiou, G.; Kyritsis, P.; Raptopoulou, C.P.; Terzis, A.; Vicente, R.; Escuer, A.; Perlepes, S.P. The First Cobalt Metallacrowns: Preparation and Characterization of Mixed-Valence Cobalt(II/III) Inverse 12-Metallacrown-4 Complexes. Inorg. Chem. 2005, 44, 3374–3376. [Google Scholar] [CrossRef] [PubMed]
- Kaza, A.; Jensen, P.; Clegg, J.; Masters, A.F.; Maschmeyer, T.; Yuen, A.K.L. The chemistry of cobalt acetate. X. The preparation of the mixed ligand cobalt oligomers, [Co3O(C6H5N2O)3(CH3CO2)3][PF6]. CH3CN(I), [Co4(μ2-OH)2(η1:η1:μ2-CH3COO)2(CH3CO2)2(η1:η1:η1:μ2-C11H8NO)2(η1:η1:η1:η1:μ2-C11H8N3O)2][PF6]2∙CH3OH∙3H2O(II) and [Co3O(CH3CO2)5(C7H6NO2)(py)3][PF6](III) and the crystal structures of (I) and (II). Comparisons with homoleptic cobalt acetate dimers and trimers. Polyhedron 2013, 52, 909–916. [Google Scholar]
- Alexiou, M.; Dendrinou-Samara, C.; Raptopoulou, C.P.; Terzis, A.; Tangoulis, V.; Kessissoglou, D.P. A Cationic Tetranuclear [NiII4(MeOH)2(pko)6]2+ Cluster Showing Antiferromagnetic and Ferromagnetic Features. Eur. J. Inorg. Chem. 2004, 2004, 3822–3827. [Google Scholar] [CrossRef]
- Stamatatos, T.C.; Diamantopoulou, E.; Raptopoulou, C.P.; Psycharis, V.; Escuer, A.; Perlepes, S.P. Acetate/Di-2-pyridyl Ketone Oximate “Blend” as a Source of High-Nuclearity Nickel(II) Clusters: Dependence of the Nuclearity on the Nature of the Inorganic Anion Present. Inorg. Chem. 2007, 46, 2350–2352. [Google Scholar] [CrossRef]
- Moushi, E.; Efthymiou, C.G.; Perlepes, S.P.; Papatriantafyllopoulou, C. Synthesis and Structural Characterization of a New Tetranuclear Nickel(II) Sulfato Complex Containing the Anionic Form of Di-2-Pyridyl Ketone Oxime. Int. J. Inorg. Chem. 2011, 2011, 606271. [Google Scholar] [CrossRef]
- Audhya, A.; Maity, M.; Bhattacharya, K.; Clérac, R.; Chaudhury, M. Tri- and Tetranuclear Nickel(II) Inverse Metallacrown Complexes Involving Oximato Oxygen Linkers: Role of the Guest Anion (Oxo versus Alkoxo) in Controlling the Size of the Ring Topology. Inorg. Chem. 2010, 49, 9026–9035. [Google Scholar] [CrossRef] [PubMed]
- Psomas, G.; Stemmler, A.J.; Dendrinou-Samara, C.; Bodwin, J.J.; Schneider, M.; Alexiou, M.; Kampf, J.W.; Kessissoglou, D.P.; Pecoraro, V.L. Preparation of Site-Differentiated Mixed Ligand/Mixed Metal Metallacrowns. Inorg. Chem. 2001, 40, 1562–1570. [Google Scholar] [CrossRef]
- Stemmler, A.J.; Kampf, J.W.; Pecoraro, V.L. Synthesis and Crystal Structure of the first Inverse 12-Metallacrown-4. Inorg. Chem. 1995, 34, 2271–2272. [Google Scholar] [CrossRef]
- Alexiou, M.; Katsoulakou, E.; Dendrinou-Samara, C.; Raptopoulou, C.P.; Psycharis, V.; Manessi-Zoupa, E.; Perlepes, S.P.; Kessissoglou, D.P. Di-2-pyridyl Ketone Oxime in Zinc Chemistry: Inverse 12-Metallacrown-4 Complexes and Cationic Pentanuclear Clusters. Eur. J. Inorg. Chem. 2005, 2005, 1964–1978. [Google Scholar] [CrossRef]
- Martinez, J.; Aiello, I.; Bellusci, A.; Crispini, A.; Ghedini, M. Tetranuclear zinc complexes of ligands containing the 2-pyridyl oxime chelating site. Inorg. Chim. Acta 2008, 361, 2677–2682. [Google Scholar] [CrossRef]
- Stamatatos, T.C.; Escuer, A.; Abboud, K.A.; Raptopoulou, C.P.; Perlepes, S.P.; Christou, G. Unusual Structural Types in Nickel Cluster Chemistry from the Use of Pyridyl Oximes: Ni5, Ni12Na2, and Ni14 Clusters. Inorg. Chem. 2008, 47, 11825–11838. [Google Scholar] [CrossRef] [PubMed]
- Stoumpos, C.C.; Inglis, R.; Roubeau, O.; Sartzi, H.; Kitos, A.A.; Milios, C.J.; Aromi, G.; Tasiopoulos, A.J.; Nastopoulos, V.; Brechin, E.K.; et al. Rare Oxidation-State Combinations and Unusual Structural Motifs in Hexanuclear Mn Complexes Using 2-Pyridyloximate Ligands. Inorg. Chem. 2010, 49, 4388–4390. [Google Scholar] [CrossRef]
- Afrati, T.; Dendrinou-Samara, C.; Zaleski, C.M.; Kampf, J.W.; Pecoraro, V.L.; Kessissoglou, D.P. Synthesis and structure of [18-MCCuIINpko-6]6+: A new member of anion encapsulating metallamacrocycles. Inorg. Chem. Commun. 2005, 8, 1173–1176. [Google Scholar] [CrossRef]
- Tarushi, A.; Kastanias, F.; Psycharis, V.; Raptopoulou, C.P.; Psomas, G.; Kessissoglou, D.P. A [24-MC-6] Zinc Metallacoronate with a Nonsteroidal Antiinflammatory Drug as the Constructing Ligand. Inorg. Chem. 2012, 51, 7460–7462. [Google Scholar] [CrossRef] [PubMed]
- Dendrinou-Samara, C.; Zaleski, C.M.; Evagorou, A.; Kampf, J.W.; Pecoraro, V.L.; Kessissoglou, D.P. A cationic 24-MC-8 manganese cluster with ring metals possessing three oxidation states [MnII4MnIII6MnIV2(μ4-O)2(μ3-O)4(μ3-OH)4(μ3-OCH3)2(dpkox)12](OH)(ClO4)3. Chem. Commun. 2003, 2668–2669. [Google Scholar] [CrossRef] [PubMed]
- Psomas, G.; Dendrinou-Samara, C.; Alexiou, M.; Tsohos, A.; Raptopoulou, C.P.; Terzis, A.; Kessissoglou, D.P. The first Fused Dimer Metallacrown NiII2(mcpa)2(CH3OH)3(H2O) [12-MCNiIIN(shi)2(dpkox)2-4][12-MCNiIIN(shi)3(dpkox)-4]. Inorg. Chem. 1998, 37, 6556–6557. [Google Scholar] [CrossRef] [PubMed]
- Tsivikas, I.; Alexiou, M.; Pantazaki, A.A.; Dendrinou-Samara, C.; Kyriakidis, D.A.; Kessissoglou, D.P. The Effect of Fused 12-Membered Nickel Metallacrowns on DNA and their Antibacterial Activity. Bioinorg. Chem. Applic. 2003, 1, 85–97. [Google Scholar] [CrossRef] [PubMed]
- Stamou, C.; Dechambenoit, P.; Lada, Z.G.; Gkolfi, P.; Riga, V.; Raptopoulou, C.P.; Psycharis, V.; Konidaris, K.F.; Chasapis, C.T.; Perlepes, S.P. Reactions of Cadmium(II) Halides and Di-2-Pyridyl Ketone Oxime: One-Dimensional Coordination Polymers. Molecules 2024, 29, 509. [Google Scholar] [CrossRef] [PubMed]
- Danelli, P.; Stamou, C. Department of Chemistry, University of Patras, Patras, Greece. 2024; manuscript in preparation. [Google Scholar]
- Polyzou, C.D. In Search for 3d/4f- and 4f-Metal Complexes with Interesting Magnetic and/or Optical Properties. Ph.D. Thesis, Department of Chemistry, University of Patras, Patras, Greece, 2016; pp. 243–274. [Google Scholar]
Disclaimer/Publisher’s Note: The statements, opinions and data contained in all publications are solely those of the individual author(s) and contributor(s) and not of MDPI and/or the editor(s). MDPI and/or the editor(s) disclaim responsibility for any injury to people or property resulting from any ideas, methods, instructions or products referred to in the content. |
© 2025 by the authors. Licensee MDPI, Basel, Switzerland. This article is an open access article distributed under the terms and conditions of the Creative Commons Attribution (CC BY) license (https://creativecommons.org/licenses/by/4.0/).










































