Synthesis, Physicochemical Characterization, Antimicrobial Properties, and DFT/ADMET Calculations of Imidazolium-Based Ionic Liquids with a Homologous Series of Oxychlorine Anions
Abstract
1. Introduction
2. Results and Discussion
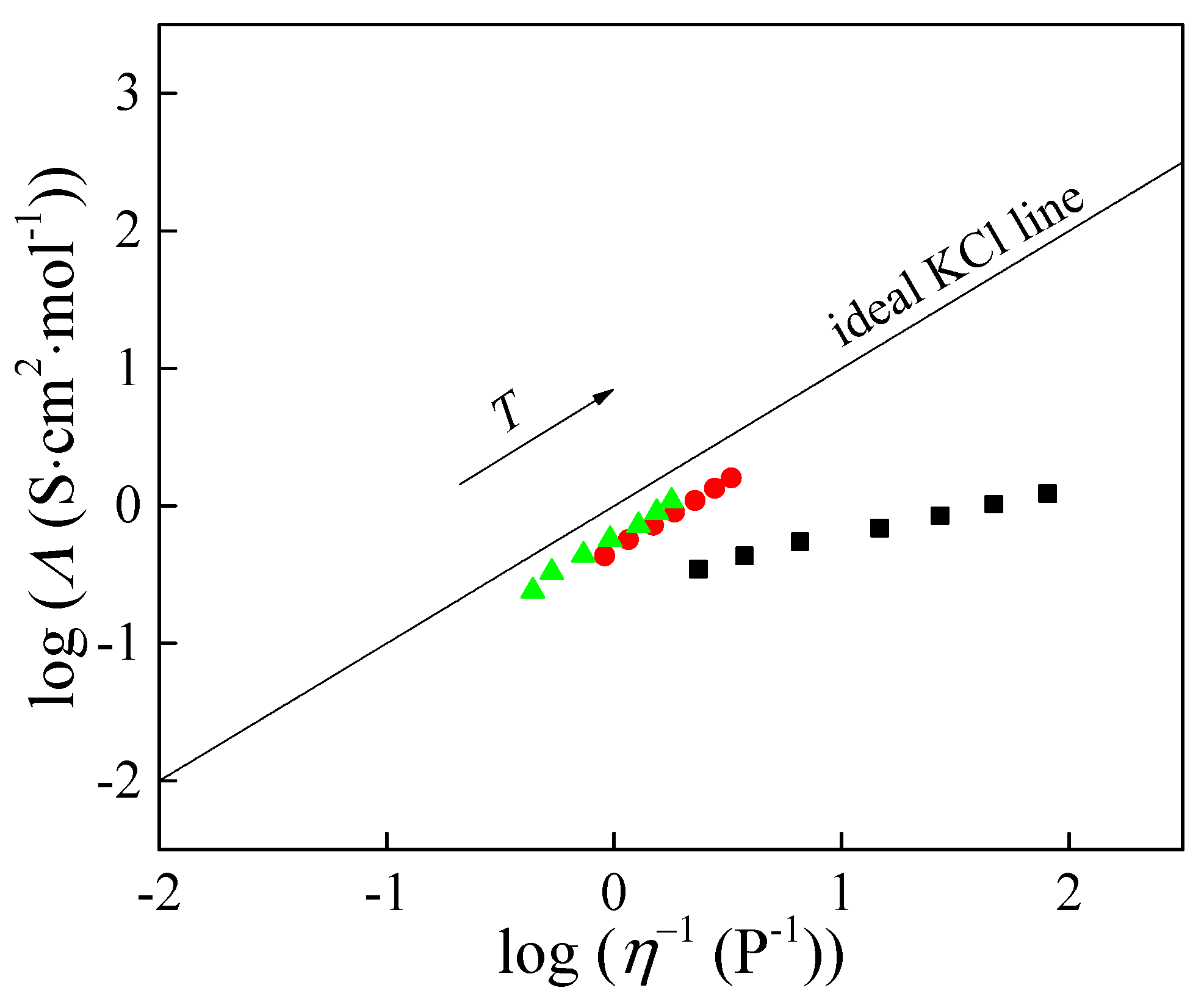
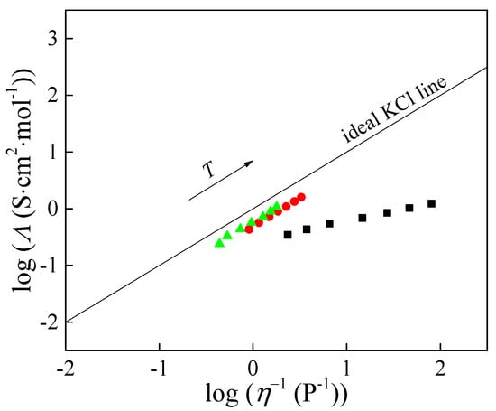
2.1. Physicochemical Characterization
2.2. Computational Simulation Results
2.3. Antimicrobial Activity
2.4. ADMET Properties
3. Materials and Methods
3.1. General Synthesis Procedure
3.2. Apparatus and Their Procedures
3.2.1. Nuclear Magnetic Resonance (NMR) and Infrared (IR) Spectra
3.2.2. Density, Viscosity, and Electrical Conductivity Measurements
3.2.3. Computational Details
3.2.4. Calculation of ADMET Properties
3.2.5. Antimicrobial Testing Methods
4. Conclusions
Supplementary Materials
Author Contributions
Funding
Data Availability Statement
Conflicts of Interest
References
- Ingram, P.R.; Homer, N.Z.M.; Smith, R.A.; Pitt, A.R.; Wilson, C.G.; Olejnik, O.; Spickett, C.M. The interaction of sodium chlorite with phospholipids and glutathione: A comparison of effects in vitro, in mammalian and in microbial cells. Arch. Biochem. Biophys. 2003, 410, 121–133. [Google Scholar] [CrossRef] [PubMed]
- Biles, C.L.; Wright, D.; Fuego, M.; Guinn, A.; Cluck, T.; Young, J.; Martin, M.; Biles, J.; Poudyal, S. Differential chlorate inhibition of Chaetomium globosum germination, hyphal growth, and perithecia synthesis. Mycopathologia 2012, 174, 475–487. [Google Scholar] [CrossRef] [PubMed]
- van Wijk, D.J.; Kroon, S.G.; Garttener-Arends, I.C. Toxicity of chlorate and chlorite to selected species of algae, bacteria, and fungi. Ecotoxicol. Environ. Saf. 1998, 40, 206–211. [Google Scholar] [CrossRef]
- Yang, L.F.; Liu, X.; Lv, L.L.; Ma, Z.M.; Feng, X.C.; Ma, T.H. Dracorhodin perchlorate inhibits biofilm formation and virulence factors of Candida albicans. J. Mycol. Med. 2018, 28, 36–44. [Google Scholar] [CrossRef]
- Wang, O.; Coates, J.D. Biotechnological Applications of Microbial (Per)chlorate Reduction. Microorganisms 2017, 5, 76. [Google Scholar] [CrossRef] [PubMed]
- McDonnell, G.; Russell, A.D. Antiseptics and disinfectants: Activity, action, and resistance. Clin. Microbiol. Rev. 1999, 12, 147–179. [Google Scholar] [CrossRef]
- Jovanović-Šanta, S.; Kojić, V.; Atlagić, K.; Tot, A.; Vraneš, M.; Gadžurić, S.; Karaman, M. Anticancer and antimicrobial properties of imidazolium based ionic liquids with salicylate anion. J. Serb. Chem. Soc. 2020, 85, 291–303. [Google Scholar] [CrossRef]
- Guzmán, L.; Parra-Cid, C.; Guerrero-Muñoz, E.; Peña-Varas, E.; Duarte, Y.; Castro, R.I.; Nerio, L.S.; Araya-Maturana, R.; Asefa, T.; Echeverria, J.; et al. Antimicrobial properties of novel ionic liquids derived from imidazolium cation with phenolic functional groups. Bioorg. Chem. 2021, 115, 105289. [Google Scholar] [CrossRef]
- Hu, Y.; Xing, Y.; Ye, P.; Yu, H.; Meng, X.; Song, Y.; Wang, G.; Diao, Y. The antibacterial activity and mechanism of imidazole chloride ionic liquids on Staphylococcus aureus. Front. Microbiol. 2023, 14, 1109972. [Google Scholar] [CrossRef]
- Saaid, I.M.; Mahat, S.Q.A.; Lal, B.; Mutalib, M.I.A.; Sabil, K.M. Experimental Investigation on the Effectiveness of 1-Butyl-3-methylimidazolium Perchlorate Ionic Liquid as a Reducing Agent for Heavy Oil Upgrading. Ind. Eng. Chem. Res. 2014, 53, 8279–8284. [Google Scholar] [CrossRef]
- Wang, X.; Wu, W.; Tu, G.; Jiang, K. Synthesis and physico-chemical properties of new green electrolyte 1-butil-3-methylimidazolium perchlorate. Trans. Nonferrous. Met. Soc. China 2010, 20, 2032–2036. [Google Scholar] [CrossRef]
- Tuzimski, T.; Petruczynik, A. Influence of cations and anions of ionic liquids and salts as additives in RP HPLC systems to the analysis of alkaloids on C18 and Polar RP columns. J. Liq. Chromatogr. Relat. Technol. 2024, 48, 72–90. [Google Scholar] [CrossRef]
- Wroblewski, K.; Petruczynik, A.; Tuzimski, T.; Przygodzka, D.; Buszewicz, G.; Kolodziejczyk, P.; Tutka, P. Comparison of Various Chromatographic Systems for Analysis of Cytisine in Human Serum, Saliva and Pharmaceutical Formulation by HPLC with Diode Array, Fluorescence or Mass Spectrometry Detection. Molecules 2019, 24, 2580. [Google Scholar] [CrossRef] [PubMed]
- Walden, P. Über organische Lösungs- und Ionisierungsmittel: III. Teil: Innere Reibung und deren Zusammenhang mit dem Leitvermögen. Z. Für Phys. Chem. 1906, 55, 207–249. [Google Scholar] [CrossRef]
- Xu, W.; Cooper, E.I.; Angell, C.A. Ionic Liquids: Ion Mobilities, Glass Temperatures, and Fragilities. J. Phys. Chem. B. 2003, 107, 6170–6178. [Google Scholar] [CrossRef]
- Davidowski, S.K.; Thomson, F.; Huang, W.; Hasani, M.; Amin, S.A.; Angell, C.A.; Yarger, J.L. NMR Characterization of Ionicity and Transport Properties for a Series of Diethylmethylamine Based Protic Ionic Liquids. J. Phys. Chem. B. 2016, 120, 4279–4285. [Google Scholar] [CrossRef]
- Hasani, M.; Amin, S.A.; Yarger, J.L.; Davidowski, S.K.; Angell, C.A. Proton Transfer and Ionicity: An 15N NMR Study of Pyridine Base Protonation. J. Phys. Chem. B. 2019, 123, 1815–1821. [Google Scholar] [CrossRef] [PubMed]
- Jefri, U.H.N.M.; Khan, A.; Lim, Y.C.; Lee, K.S.; Liew, K.B.; Kassab, Y.W.; Choo, C.Y.; Al-Worafi, Y.M.; Ming, L.C.; Kalusalingam, A. A systematic review on chlorine dioxide as a disinfectant. J. Med. Life 2022, 15, 313–318. [Google Scholar] [CrossRef]
- Noszticzius, Z.; Wittmann, M.; Kály-Kullai, K.; Beregvári, Z.; Kiss, I.; Rosivall, L.; Szegedi, J. Chlorine Dioxide Is a Size-Selective Antimicrobial Agent. PLoS ONE 2013, 8, 79157. [Google Scholar] [CrossRef]
- Fisher, D.; Burton, D.; Yonkos, L.; Turley, S.; Ziegler, G.; Turley, B. Derivation of acute ecological risk criteria for chlorite in freshwater ecosystems. Water Res. 2003, 37, 4359–4368. [Google Scholar] [CrossRef]
- Gill, M.W.; Swanson, M.S.; Murphy, S.R.; Bailey, G.P. Two-generation reproduction and developmental neurotoxicity study with sodium chlorite in the rat. J. Appl. Toxicol. 2000, 20, 291–303. [Google Scholar] [CrossRef]
- Ali, S.N.; Mahmood, R. Sodium chlorite increases production of reactive oxygen species that impair the antioxidant system and cause morphological changes in human erythrocytes. Environ. Toxicol. 2017, 32, 1343–1353. [Google Scholar] [CrossRef]
- Sharma, V.K.; Gupta, J.; Bhatt Mitra, J.; Srinivasan, H.; Garcia Sakai, V.; Ghosh, S.K.; Mitra, S. The Physics of Antimicrobial Activity of Ionic Liquids. J. Phys. Chem. Lett. 2024, 15, 7075–7083. [Google Scholar] [CrossRef] [PubMed]
- Wang, D.; Galla, H.J.; Drücker, P. Membrane interactions of ionic liquids and imidazolium salts. Biophys. Rev. 2018, 10, 735–746. [Google Scholar] [CrossRef] [PubMed]
- Zhu, X.; Hui, S.; Huang, H.; Liu, R.; Wang, S.; Huang, C. Antimicrobial mechanism of chlorine dioxide and its impacts on postharvest management in horticultural produce: A review. Postharvest Biol. Technol. 2024, 213, 112921. [Google Scholar] [CrossRef]
- Virto, R.; Manas, P.; Alvarez, I.; Condon, S.; Raso, J. Membrane Damage and Microbial Inactivation by Chlorine in the Absence and Presence of a Chlorine-Demanding Substrate. Appl. Environ. Microbiol. 2005, 71, 9. [Google Scholar] [CrossRef]
- Lipinski, C.A.; Lombardo, F.; Dominy, B.W.; Feeney, P.J. Experimental and computational approaches to estimate solubility and permeability in drug discovery and development settings. Adv. Drug Deliv. Rev. 2001, 46, 3–26. [Google Scholar] [CrossRef]
- Wu, D.; Chen, Q.; Chen, X.; Han, F.; Chen, Z.; Wang, Y. The blood–brain barrier: Structure, regulation and drug delivery. Sig. Transduct. Target Ther. 2023, 8, 217. [Google Scholar] [CrossRef]
- Boys, S.F.; Bernardi, F. The calculation of small molecular interactions by the differences of separate total energies. Some procedures with reduced errors. Mol. Phys. 1970, 19, 553–566. [Google Scholar] [CrossRef]
- Johnson, E.R.; Keinan, S.; Mori-Sánchez, P.; Contreras-Garcia, J.; Cohen, A.J.; Yang, W. Revealing Noncovalent Interactions. J. Am. Chem. Soc. 2010, 132, 6498–6506. [Google Scholar] [CrossRef]
- Daina, A.; Michielin, O.; Zoete, V. SwissADME: A free web tool to evaluate pharmacokinetics, druglikeness and medicinal chemistry friendliness of small molecules. Sco. Rep. 2017, 7, 42717. [Google Scholar] [CrossRef] [PubMed]
- Xiong, G.; Wu, Z.; Yi, J.; Fu, L.; Yang, Z.; Hsieh, C.; Yin, M.; Zeng, X.; Wu, C.; Chen, X.; et al. ADMETlab 2.0: An integrated online platform for accurate and comprehensive predictions of ADMET properties. Nucleic Acids Res. 2021, 49, W5–W14. [Google Scholar] [CrossRef] [PubMed]
- National Committee for Clinical Laboratory Standards. Reference method for Broth Dilution Antifungal Susceptibility Testing of Yeasts, Approved Standard, M27-A, 2nd ed.; NCCLS: Wayne, PA, USA, 2002. [Google Scholar]
- National Committee for Clinical Laboratory Standards. Performance Standards for Antimicrobial Susceptibility Testing, M100, 28th ed.; NCCLS: Wayne, PA, USA, 2018. [Google Scholar]
- Rodriguez-Tudela, J.L.; Arendrup, M.C.; Barchiesi, F.; Bille, J.; Chryssanthou, E.; Cuenca-Estrella, M.; Dannaoui, E.; Denning, D.W.; Donnelly, J.P.; Dromer, F.; et al. EUCAST definitive document EDef 7.1: Method for the determination of broth dilution MICs of antifungal agents for fermentative yeasts. Clin. Microbiol. Infect. 2008, 14, 398–405. [Google Scholar] [CrossRef] [PubMed]










| Property | Ionic Liquid | 293.15 | 298.15 | 303.15 | 308.15 | 313.15 | 318.15 | 323.15 |
|---|---|---|---|---|---|---|---|---|
| d (g·cm−3) | [Bmim][ClO2] | 1.11476 | 1.11182 | 1.10879 | 1.10572 | 1.10250 | 1.09914 | 1.09576 |
| [Bmim][ClO3] | 1.19526 | 1.19184 | 1.18852 | 1.18509 | 1.18173 | 1.17813 | 1.17448 | |
| [Bmim][ClO4] | 1.25649 | 1.25267 | 1.24921 | 1.24586 | 1.24205 | 1.23876 | 1.23543 | |
| αp∙104 (K–1) | [Bmim][ClO2] | 5.697 | 5.712 | 5.728 | 5.744 | 5.761 | 5.778 | 5.796 |
| [Bmim][ClO3] | 5.776 | 5.793 | 5.809 | 5.826 | 5.843 | 5.861 | 5.879 | |
| [Bmim][ClO4] | 5.580 | 5.597 | 5.613 | 5.628 | 5.645 | 5.660 | 5.675 | |
| η (mPa·s) | [Bmim][ClO2] | 42.57 | 26.71 | 15.24 | 6.79 | 3.69 | 2.14 | 1.24 |
| [Bmim][ClO3] | 109.95 | 86.58 | 67.09 | 54.21 | 44.05 | 36.13 | 30.49 | |
| [Bmim][ClO4] | 227.96 | 188.12 | 136.47 | 104.12 | 78.11 | 64.87 | 55.85 | |
| κ (mS·cm−1) | [Bmim][ClO2] | 1.87 | 2.33 | 2.94 | 3.68 | 4.53 | 5.46 | 6.50 |
| [Bmim][ClO3] | 2.33 | 3.04 | 3.86 | 4.80 | 5.82 | 7.10 | 8.41 | |
| [Bmim][ClO4] | 1.27 | 1.73 | 2.30 | 2.97 | 3.76 | 4.66 | 5.63 | |
| Λ (S·cm2·mol−1) | [Bmim][ClO2] | 0.347 | 0.433 | 0.548 | 0.688 | 0.849 | 1.027 | 1.226 |
| [Bmim][ClO3] | 0.434 | 0.568 | 0.723 | 0.902 | 1.097 | 1.342 | 1.594 | |
| [Bmim][ClO4] | 0.241 | 0.330 | 0.440 | 0.569 | 0.723 | 0.898 | 1.088 | |
| α (%) | [Bmim][ClO2] | 67.24 | 65.85 | 62.27 | 57.51 | 51.20 | 43.18 | 35.21 |
| [Bmim][ClO3] | 92.56 | 93.21 | 92.76 | 92.98 | 93.18 | 93.32 | 93.05 | |
| [Bmim][ClO4] | 94.76 | 96.05 | 95.98 | 95.86 | 95.69 | 95.64 | 95.71 |
| Parameter | [Bmim][ClO2] | [Bmim][ClO3] | [Bmim][ClO4] |
|---|---|---|---|
| a (g·cm−3) | 1.3012 | 1.3977 | 1.4618 |
| b∙104 (g·cm−3·K−1) | −6.3514 | −6.9043 | −7.0114 |
| R2 | 0.9994 | 0.9997 | 0.9995 |
| Ea (kJ·mol−1) | 96.03 | 33.89 | 38.92 |
| E’a (kJ·mol−1) | 33.55 | 34.06 | 39.59 |
| Parameter | [Bmim][ClO2] | [Bmim][ClO3] | [Bmim][ClO4] |
|---|---|---|---|
| ΔG (kJ·mol−1) | −26.762 | −28.366 | −29.484 |
| ΔH (kJ·mol−1) | 9.625 | 10.41 | 10.932 |
| ΔS (J·mol−1·K−1) | 122.045 | 130.057 | 135.554 |
| Tested Microorganisms | [Bmim][Cl] | [Bmim][ClO2] | [Bmim][ClO3] | [Bmim][ClO4] | ||||
|---|---|---|---|---|---|---|---|---|
| MIC | MBC /MFC | MIC | MBC /MFC | MIC | MBC /MFC | MIC | MBC /MFC | |
| mg·mL−1 | mg·mL−1 | mg·mL−1 | mg·mL−1 | |||||
| Bacteria | ||||||||
| Escherichia coli | 5.90 | / | 24.97 | 99.90 | 26.77 | 107.1 | 28.12 | 1112.5 |
| Staphylococcus aureus | / | / | 24.97 | 49.95 | 53.55 | 107.1 | 28.12 | 56.25 |
| Bacillus cereus | / | / | 99.90 | 99.90 | 107.1 | 107.1 | 112.5 | 112.5 |
| Yeasts | ||||||||
| Candida guillermondii | / | / | 49.95 | 49.95 | 107.1 | 107.1 | 56.25 | 56.25 |
| ADMET Property | [Bmim][Cl] | [Bmim][ClO2] | [Bmim][ClO3] | [Bmim][ClO4] |
|---|---|---|---|---|
| MW (g/mol) | 174.67 | 206.67 | 222.67 | 238.67 |
| XLOGP3 | 2.13 | 2.76 | 3.41 | 3.58 |
| TPSA (Å2) | 8.81 | 48.94 | 66.01 | 83.08 |
| Fraction Csp3 | 0.62 | 0.62 | 0.62 | 0.62 |
| RB | 3 | 3 | 3 | 3 |
| logS | −2.4 | −2.95 | −3.44 | −3.62 |
| Wat. sol. | Soluble | Soluble | Soluble | Soluble |
| HGI absorp. | Low | High | High | High |
| BBB perm. | No | Yes | Yes | No |
| Caco-2 perm. | Yes | Yes | No | NO |
| Druglikeness | Yes; 0 violation | Yes; 0 violation | Yes; 0 violation | Yes; 0 violation |
| AMES tox. | No | Yes | Yes | No |
| Carcinogens | No | No | No | No |
| Fish tox. | Low | Low | Low | Low |
| Tetrahymena pyriformis tox. | High | High | High | High |
| Honey bee tox. | Low | Low | Low | Low |
| Biodegradation | Yes | Yes | Yes | Yes |
| Acute oral tox. | III. class | III. class | III. class | III. class |
| Rat acute toxicity, (LD50, mol/kg) | 2.94 | 2.88 | 2.81 | 2.84 |
Disclaimer/Publisher’s Note: The statements, opinions and data contained in all publications are solely those of the individual author(s) and contributor(s) and not of MDPI and/or the editor(s). MDPI and/or the editor(s) disclaim responsibility for any injury to people or property resulting from any ideas, methods, instructions or products referred to in the content. |
© 2025 by the authors. Licensee MDPI, Basel, Switzerland. This article is an open access article distributed under the terms and conditions of the Creative Commons Attribution (CC BY) license (https://creativecommons.org/licenses/by/4.0/).
Share and Cite
Vraneš, M.B.; Čapelja, E.; Karaman, M.; Borović, T.T.; Vukov, A.; Klimenta, S.; Rastija, V.; Selak, J.J. Synthesis, Physicochemical Characterization, Antimicrobial Properties, and DFT/ADMET Calculations of Imidazolium-Based Ionic Liquids with a Homologous Series of Oxychlorine Anions. Molecules 2025, 30, 4346. https://doi.org/10.3390/molecules30224346
Vraneš MB, Čapelja E, Karaman M, Borović TT, Vukov A, Klimenta S, Rastija V, Selak JJ. Synthesis, Physicochemical Characterization, Antimicrobial Properties, and DFT/ADMET Calculations of Imidazolium-Based Ionic Liquids with a Homologous Series of Oxychlorine Anions. Molecules. 2025; 30(22):4346. https://doi.org/10.3390/molecules30224346
Chicago/Turabian StyleVraneš, Milan B., Eleonora Čapelja, Maja Karaman, Teona Teodora Borović, Andrija Vukov, Sara Klimenta, Vesna Rastija, and Jovana J. Selak. 2025. "Synthesis, Physicochemical Characterization, Antimicrobial Properties, and DFT/ADMET Calculations of Imidazolium-Based Ionic Liquids with a Homologous Series of Oxychlorine Anions" Molecules 30, no. 22: 4346. https://doi.org/10.3390/molecules30224346
APA StyleVraneš, M. B., Čapelja, E., Karaman, M., Borović, T. T., Vukov, A., Klimenta, S., Rastija, V., & Selak, J. J. (2025). Synthesis, Physicochemical Characterization, Antimicrobial Properties, and DFT/ADMET Calculations of Imidazolium-Based Ionic Liquids with a Homologous Series of Oxychlorine Anions. Molecules, 30(22), 4346. https://doi.org/10.3390/molecules30224346

