Solubility and Thermodynamics of Lithium Carbonate in Its Precipitation Mother Liquors
Abstract
1. Introduction
2. Experimental Section
2.1. Instruments and Reagents
2.2. Experimental Method
2.3. Analytical Methods
3. Results and Discussion
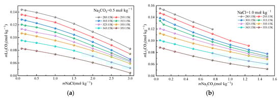
3.1. Solubility of Li2CO3 in Mixed Solution
3.2. Solubility Model
3.3. Thermodynamics of Dissolution
4. Conclusions
- (1)
- Concentration dependence: Li2CO3 solubility exhibits an inverse proportionality to both Na2CO3 and NaCl molalities. Notably, Na2CO3 manifests dual behaviors: while its common-ion effect dominates the solubility reduction, a concurrent weak salting-in effect partially offsets this suppression. NaCl exerts unidirectional salting-out effects through ionic strength modulation.
- (2)
- Model validation: The Extended Debye–Hückel (E-DH) model demonstrates a strong predictive capability, yielding residual standard deviations < 0.09 across all isotherms, confirming its applicability to industrial lithium precipitation systems.
- (3)
- Thermodynamic analysis: The systematic evaluation of dissolution parameters reveals the apparent enthalpy of the dissolution (ΔHd < 0), with positive ΔGd values confirming non-spontaneous dissolution behavior. Negative ΔSd values indicate enhanced solution ordering, with the entropy-driven percentage (ξS) maintaining at 78% across all salt concentrations. The predominance of entropic control suggests that dissolution dynamics are governed by the hydration structure reorganization rather than enthalpic interactions.
Author Contributions
Funding
Institutional Review Board Statement
Informed Consent Statement
Data Availability Statement
Conflicts of Interest
References
- Marcinov, V.; Klimko, J.; Takáčová, Z.; Pirošková, J.; Miškufová, A.; Sommerfeld, M.; Dertmann, C.; Friedrich, B.; Oráč, D. Lithium Production and Recovery Methods: Overview of Lithium Losses. Metals 2023, 13, 1213. [Google Scholar] [CrossRef]
- Sobianowska-Turek, A.; Urbańska, W.; Janicka, A.; Zawiślak, M.; Matla, J. The Necessity of Recycling of Waste Li-Ion Batteries Used in Electric Vehicles as Objects Posing a Threat to Human Health and the Environment. Recycling 2021, 6, 35. [Google Scholar] [CrossRef]
- Wang, Y.Q. A brief discussion the preparation of high-purity lithium carbonate. Xinjiang Nonfer. Met. 2009, 32, 92–93. (In Chinese) [Google Scholar]
- Liu, C.; Lin, J.; Cao, H.; Zhang, Y.; Sun, Z. Recycling of Spent Lithium-Ion Batteries in View of Lithium Recovery: A Critical Review. J. Clean. Prod. 2019, 228, 801–813. [Google Scholar] [CrossRef]
- Pérez-Rodríguez, S.; Fitch, S.D.; Bartlett, P.N.; Garcia-Araez, N. LiFePO4 Battery Material for the Production of Lithium from Brines: Effect of Brine Composition and Benefits of Dilution. ChemSusChem 2022, 15, e202102182. [Google Scholar] [CrossRef]
- Ma, P.H. Comprehensive utilization of salt lake resources. Adv. Earth Sci. 2000, 15, 365–375. (In Chinese) [Google Scholar]
- Wang, B.C. Lithium-bearing brine resources status and its progress of development technology in China. Ind. Miner. Process 2000, 29, 13–15. (In Chinese) [Google Scholar]
- Wang, Y.; Ni, Y.; Sun, X.T.; Zou, Z.D.; Li, Y.T.; Zhou, Y.Q.; Ge, F. Patent analysis of lithium extraction technology from brine. J. Salt Lake Res. 2018, 26, 82–87. (In Chinese) [Google Scholar]
- Zhu, J.Q.; Xu, B.J.; Song, X.W.; Chen, B. Process of extracting lithium technology. Met. Mine 2018, 62–69. [Google Scholar]
- Luo, A.M.; Chen, F.; Li, H.G.; Yang, J.Y. Research progress on lithium extraction from lake brine. Ind. Miner. Process 2018, 47, 66–72. (In Chinese) [Google Scholar]
- Liu, D.F.; Sun, S.Y.; Yu, J.G. Research and development on technique of lithium recovery from salt lake brine. CIESC J. 2018, 69, 141–155. (In Chinese) [Google Scholar]
- Zhao, X.Y. Review on new techniques for lithium extraction from seawater and brine. J. Chem. Eng. Chin. Univ. 2017, 31, 497–508. [Google Scholar]
- Chen, Y.C.; Qin, Z.H.; Li, B.J. Sino-Swiss cooperation to tap with “hsu technique” the lithium resource from the salt lakes in Qinghai province of China. Geol. Chem. Min. 1998, 20, 49–50. [Google Scholar]
- Song, C.B.; Li, R.C. Measurement and thermodynamic analysis of the solubility and super-solubility of lithium carbonate in water. Chem. Ind. Eng. Prog. 2016, 35, 2350–2354. [Google Scholar]
- Wang, H.; Du, B.; Wang, M. Study of the solubility, supersolubility and metastable zone width of Li2CO3 in the LiCl–NaCl–KCl–Na2SO4 system from 293.15 to 353.15 K. J. Chem. Eng. Data 2018, 63, 1429–1434. [Google Scholar] [CrossRef]
- Wang, W.; Li, Z.; Cheng, F. Solubility of Li2CO3 in Na-K-Li-Cl brines from 20 to 90 °C. J. Chem. Thermodyn. 2013, 67, 74–82. [Google Scholar]
- Liu, H.; Azimi, G. Process analysis and study of factors affecting the lithium carbonate crystallization from sulfate media during lithium extraction. Hydrometallurgy 2021, 199, 105532. [Google Scholar] [CrossRef]
- Ge, H.; Wang, H.; Wang, M. Solubility and Thermodynamics of Lithium Carbonate in Sodium Carbonate Solution. CIESC J. 2019, 70, 4123–4130. [Google Scholar]
- Qinghai Institute of Salt Lakes, Chinese Academy of Sciences. Analytical Methods of Brines and Salts, 2nd ed.; Science Press: Beijing, China, 1998; pp. 59–67. [Google Scholar]
- Speight, J.G. Lange’s Handbook of Chemistry, 16th ed.; McGraw Hill: New York, NY, USA, 2005. [Google Scholar]
- Lee, T.B.; McKee, M.L. Dissolution Thermochemistry of Alkali Metal Dianion Salts (M2X1, M = Li+, Na+, and K+ with X = CO32−, SO42−, C8H82−, and B12H122−). Inorg. Chem. 2011, 50, 11412–11422. [Google Scholar] [CrossRef] [PubMed]
- Huang, C.; Xie, Z.; Xu, J.; Qin, Y.; Du, Y.; Du, S.; Gong, J. Experimental and modeling studies on the solubility of d-pantolactone in four pure solvents and ethanol-water mixtures. J. Chem. Eng. Data 2015, 60, 870–875. [Google Scholar] [CrossRef]
- Qin, F.H.; Qiu, H.Y.; Xiao, B.Y.; Mi, Y.; Huang, Z.Y. Investigation into the thermodynamic properties of nano-silver halides based on the principle of dissolution thermodynamics. Chem. J. Chin. Univ. 2018, 39, 2214–2220. [Google Scholar]
- Zhang, W.J.; Zhang, C.J. Thermodynamic Theoretical Study on the Dissolution of Substances in Water. Chem. Teach. Learn. 2018, 25–27. [Google Scholar]
- Sousa, J.; Fonseca, I. Solubility of hydrofluorocarbons in halobenzene solvents. J. Chem. Eng. Data 2014, 59, 3605–3609. [Google Scholar] [CrossRef]
- Tian, Y.; Li, J.; Wu, B.; Zhang, Y.; Tang, H.; Li, Q. Determination and modeling of the solubility of 2,4-dimethoxybenzoic acid in six pure and isopropanol + ethyl acetate mixed organic solvents at temperatures from (288.15 to 323.15) K. J. Chem. Eng. Data 2015, 60, 1098–1105. [Google Scholar] [CrossRef]






| Chemical Reagents | CAS No. | Initial Purity w (w %) | Purified Method | Final Purity w (w %) | Source |
|---|---|---|---|---|---|
| NaCl | 7647-14-5 | ≥95.0% | Recrystallization | ≥99.5% | Sinopharm Chemical Reagent Co., Ltd., Shanghai, China. |
| Na2CO3 | 497-19-8 | ≥95.0% | Recrystallization | ≥99.5% | |
| Li2CO3 | 554-13-2 | ≥98.0% | ≥98.0% |
| Instruments | Type | Source |
|---|---|---|
| Magnetic Stirring Thermostat | HXC-500-8A | Beijing Huicheng Jiayi Technology Co., Beijing, China |
| Thermostatic Water Bath | VIVO RT4 | ULEB Technology (Beijing) Co., Beijing, China |
| Automatic Electronic Analyzing Balance | BT224S | Sartorius Scientific Instruments Co., Beijing, China |
| Inductively Coupled Plasma Emission Spectrometer | PerkinElmer Avio 200 | PerkinElmer Inc., Wellesley, MA, USA |
| X-ray Diffraction instrument | D8 Discover | Bruker Co., Billerica, MA, USA |
| T (K) | Solubility of Li2CO3 (Pure Water) | 100 × ε | |||||
|---|---|---|---|---|---|---|---|
| Experimental Data (mol·kg−1) | Literature Data [14] (mol·kg−1) | Literature Data [17] (mol·kg−1) | Literature Data [18] (mol·kg−1) | Literature [14] | Literature [17] | Literature [18] | |
| 283.15 | 0.1932 | - | - | - | - | - | |
| 293.15 | 0.1838 | 0.1841 | 0.1801 | 0.18041 | −0.16 | 2.08 | −1.84 |
| 303.15 | 0.1689 | 0.1676 | 0.1705 | 0.16893 | 0.80 | −0.93 | 0.02 |
| 313.15 | 0.1571 | 0.1554 | 0.1583 | 0.15648 | 1.11 | −0.74 | −0.39 |
| 323.15 | 0.1464 | 0.1487 | 0.14819 | −1.56 | - | 1.22 | |
| 333.15 | 0.1374 | 0.1388 | 0.1367 | 0.13706 | −0.99 | 0.51 | −0.25 |
| 343.15 | 0.1291 | 0.1310 | 0.12596 | −1.48 | −2.43 | ||
| 353.15 | 0.1168 | 0.1179 | 0.1151 | 0.11542 | −0.97 | 1.51 | −1.18 |
| Na2CO3 (mol·kg−1) | NaCl (mol·kg−1) | Li2CO3 (mol·kg−1) | |||||||
|---|---|---|---|---|---|---|---|---|---|
| 283.15 K | 293.15 K | 303.15 K | 313.15 K | 323.15 K | 333.15 K | 343.15 K | 353.15 K | ||
| 0.500 | 0 | - | - | 0.1295 | 0.1215 | 0.1141 | 0.1077 | 0.0976 | 0.0835 |
| 0.500 | 0.100 | - | 0.1379 | 0.1283 | 0.1204 | 0.1135 | 0.1066 | 0.0955 | 0.0827 |
| 0.500 | 0.200 | - | 0.1360 | 0.1270 | 0.1189 | 0.1122 | 0.1055 | 0.0943 | 0.0818 |
| 0.500 | 0.500 | 0.1449 | 0.1349 | 0.1227 | 0.1160 | 0.1081 | 0.1020 | 0.0916 | 0.0790 |
| 0.500 | 1.000 | 0.1439 | 0.1308 | 0.1144 | 0.1085 | 0.1027 | 0.0954 | 0.0861 | 0.0737 |
| 0.500 | 1.500 | 0.1428 | 0.1239 | 0.1045 | 0.0987 | 0.0929 | 0.0878 | 0.0794 | 0.0675 |
| 0.500 | 2.000 | 0.1394 | 0.1126 | 0.0932 | 0.0870 | 0.0828 | 0.0792 | 0.0707 | 0.0606 |
| 0.500 | 2.500 | 0.1319 | 0.1006 | 0.0803 | 0.0757 | 0.0725 | 0.0696 | 0.0611 | 0.0529 |
| 0.500 | 3.000 | 0.1217 | 0.0880 | 0.0660 | 0.0634 | 0.0618 | 0.0590 | 0.0520 | 0.0444 |
| 0 | 1.000 | 0.1091 | 0.0743 | 0.1418 | 0.1352 | 0.1229 | 0.1147 | 0.1029 | 0.0902 |
| 0.050 | 1.000 | 0.0966 | 0.1504 | 0.1388 | 0.1342 | 0.1207 | 0.1125 | 0.1007 | 0.0884 |
| 0.100 | 1.000 | 0.0823 | 0.1471 | 0.1359 | 0.1276 | 0.1186 | 0.1104 | 0.0987 | 0.0866 |
| 0.250 | 1.000 | 0.1584 | 0.1449 | 0.1273 | 0.1205 | 0.1124 | 0.1044 | 0.0942 | 0.0815 |
| 0.500 | 1.000 | 0.1550 | 0.1369 | 0.1144 | 0.1085 | 0.1027 | 0.0954 | 0.0861 | 0.0737 |
| 0.760 | 1.000 | 0.1528 | 0.1239 | 0.1025 | 0.0982 | 0.0933 | 0.0874 | 0.0787 | 0.0665 |
| 1.000 | 1.000 | 0.1449 | 0.1117 | 0.0930 | 0.0891 | 0.0854 | 0.0812 | 0.0712 | 0.0608 |
| 1.250 | 1.000 | 0.1319 | 0.1001 | 0.0846 | 0.0810 | 0.0778 | 0.0743 | 0.0654 | 0.0558 |
| 1.500 | 1.000 | 0.1196 | 0.0914 | 0.0777 | 0.0733 | 0.0710 | 0.0685 | 0.0602 | 0.0517 |
| T/K | A | Na2CO3 = 0.5 mol·kg−1 | NaCl = 1.0 mol·kg−1 | δ | ||||
|---|---|---|---|---|---|---|---|---|
| Bα | C | D | Bα | C | D | |||
| 283.15 | 0.5499 | 36.0149 | −0.1621 | 0.0525 | 7.0640 | −0.4988 | 0.0545 | 0.0034 |
| 293.15 | 0.5212 | 41.9910 | −0.1499 | 0.0534 | 6.9391 | −0.4939 | 0.0544 | 0.0036 |
| 303.15 | 0.4988 | 34.0053 | −0.1693 | 0.0590 | 7.0089 | −0.4810 | 0.0527 | 0.0033 |
| 313.15 | 0.4759 | 41.4239 | −0.1504 | 0.0555 | 6.4120 | −0.5026 | 0.0555 | 0.0028 |
| 323.15 | 0.4539 | 85.9871 | −0.1102 | 0.0476 | 5.4438 | −0.5663 | 0.0620 | 0.0033 |
| 333.15 | 0.4336 | 113.7928 | −0.0951 | 0.0442 | 5.1686 | −0.5762 | 0.0620 | 0.0032 |
| 343.15 | 0.4147 | 50.5828 | −0.1166 | 0.0488 | 4.7531 | −0.6137 | 0.0675 | 0.0033 |
| 353.15 | 0.3971 | 101.3577 | −0.0956 | 0.0459 | 4.8608 | −0.6117 | 0.0674 | 0.0031 |
Disclaimer/Publisher’s Note: The statements, opinions and data contained in all publications are solely those of the individual author(s) and contributor(s) and not of MDPI and/or the editor(s). MDPI and/or the editor(s) disclaim responsibility for any injury to people or property resulting from any ideas, methods, instructions or products referred to in the content. |
© 2025 by the authors. Licensee MDPI, Basel, Switzerland. This article is an open access article distributed under the terms and conditions of the Creative Commons Attribution (CC BY) license (https://creativecommons.org/licenses/by/4.0/).
Share and Cite
Ge, H.; Wang, H.; Wang, M. Solubility and Thermodynamics of Lithium Carbonate in Its Precipitation Mother Liquors. Molecules 2025, 30, 3617. https://doi.org/10.3390/molecules30173617
Ge H, Wang H, Wang M. Solubility and Thermodynamics of Lithium Carbonate in Its Precipitation Mother Liquors. Molecules. 2025; 30(17):3617. https://doi.org/10.3390/molecules30173617
Chicago/Turabian StyleGe, Haiwen, Huaiyou Wang, and Min Wang. 2025. "Solubility and Thermodynamics of Lithium Carbonate in Its Precipitation Mother Liquors" Molecules 30, no. 17: 3617. https://doi.org/10.3390/molecules30173617
APA StyleGe, H., Wang, H., & Wang, M. (2025). Solubility and Thermodynamics of Lithium Carbonate in Its Precipitation Mother Liquors. Molecules, 30(17), 3617. https://doi.org/10.3390/molecules30173617

