Zeolitic-Imidazole Framework (ZIF)-Derived ZnO Doped with Ag for Improved Ethanol Sensing Applications
Abstract
1. Introduction
2. Results
2.1. ZIF-8 and ZIF-11 and Related Oxides (ZnO(Z8) and ZnO(Z11))
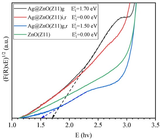
2.2. Ag@ZnO Derived from ZIF-11
3. Materials and Methods
3.1. Materials
3.2. Synthesis of ZIF-8
3.3. Synthesis of ZIF-11
3.4. Synthesis of Ag@ZIF-11 Hybrids
3.5. Synthesis of ZnO and Ag@ZnO
3.6. Characterization
3.7. Ethanol Sensing Performances Evaluation
4. Conclusions
Author Contributions
Funding
Institutional Review Board Statement
Informed Consent Statement
Data Availability Statement
Acknowledgments
Conflicts of Interest
References
- Hussain, M.S.; Gupta, G.; Mishra, R.; Patel, N.; Gupta, S.; Alzarea, S.I.; Kazmi, I.; Kumbhar, P.; Disouza, J.; Dureja, H.; et al. Unlocking the secrets: Volatile Organic Compounds (VOCs) and their devastating effects on lung cancer. Pathol. Res. Pract. 2024, 255, 155157. [Google Scholar] [CrossRef]
- Jiménez-Cadena, G.; Riu, J.; Rius, F.X. Gas sensors based on nanostructured materials. Analyst 2007, 132, 1083–1099. [Google Scholar] [CrossRef]
- Dhall, S.; Mehta, B.R.; Tyagi, A.K.; Sood, K. A review on environmental gas sensors: Materials and technologies. Sens. Int. 2021, 2, 100116. [Google Scholar] [CrossRef]
- Logsdon, J.E. Ethanol. In Kirk-Othmer Encyclopedia of Chemical Technology; John Wiley & Sons: Hoboken, NJ, USA, 2004. [Google Scholar] [CrossRef]
- Fernandes, L.M.P.; de Andrade, E.F.; Monteiro, M.C.; Cartágenes, S.C.; Lima, R.R.; Prediger, R.D.; Maia, C.S.F. Ethanol: Neurotoxicity and Brain Disorders. In Addictive Substances and Neurological Disease: Alcohol, Tobacco, Caffeine, and Drugs of Abuse in Everyday Lifestyles; Elsevier: Amsterdam, The Netherlands, 2017; pp. 201–215. [Google Scholar] [CrossRef]
- Mirzaei, A.; Leonardi, S.G.; Neri, G. Detection of hazardous volatile organic compounds (VOCs) by metal oxide nanostructures-based gas sensors: A review. Ceram. Int. 2016, 42, 15119–15141. [Google Scholar] [CrossRef]
- Li, Q.; Chen, D.; Miao, J.; Lin, S.; Yu, Z.; Cui, D.; Yang, Z.; Chen, X. Highly sensitive sensor based on ordered porous ZnO nanosheets for ethanol detecting application. Sens. Actuators B Chem. 2021, 326, 128952. [Google Scholar] [CrossRef]
- Shoorangiz, M.; Shariatifard, L.; Roshan, H.; Mirzaei, A. Selective ethanol sensor based on α-Fe2O3 nanoparticles. Inorg. Chem. Commun. 2021, 133, 108961. [Google Scholar] [CrossRef]
- Qiu, Y.; Wang, Y. Controllable synthesis of porous Co3O4 nanorods and their ethanol-sensing performance. Ceram. Int. 2022, 48, 29659–29668. [Google Scholar] [CrossRef]
- Dey, A. Semiconductor metal oxide gas sensors: A review. Mater. Sci. Eng. B 2018, 229, 206–217. [Google Scholar] [CrossRef]
- Wang, H.; Dai, M.; Li, Y.; Bai, J.; Liu, Y.; Li, Y.; Wang, C.; Liu, F.; Lu, G. The influence of different ZnO nanostructures on NO2 sensing performance. Sens. Actuators B Chem. 2021, 329, 129145. [Google Scholar] [CrossRef]
- Gao, X.; Zhang, T. An overview: Facet-dependent metal oxide semiconductor gas sensors. Sens. Actuators B Chem. 2018, 277, 604–633. [Google Scholar] [CrossRef]
- Ren, X.; Xu, Z.; Liu, D.; Li, Y.; Zhang, Z.; Tang, Z. Conductometric NO2 gas sensors based on MOF-derived porous ZnO nanoparticles. Sens. Actuators B Chem. 2022, 357, 131384. [Google Scholar] [CrossRef]
- Yuan, H.; Aljneibi, S.A.A.A.; Yuan, J.; Wang, Y.; Liu, H.; Fang, J.; Tang, C.; Yan, X.; Cai, H.; Gu, Y.; et al. ZnO Nanosheets Abundant in Oxygen Vacancies Derived from Metal-Organic Frameworks for ppb-Level Gas Sensing. Adv. Mater. 2019, 31, 1807161. [Google Scholar] [CrossRef]
- Yuan, H.; Li, N.; Fan, W.; Cai, H.; Zhao, D. Metal Organic Framework Based Gas Sensors. Adv. Sci. 2022, 9, 2104374. [Google Scholar] [CrossRef]
- Zhang, R.; Lu, L.; Chang, Y.; Liu, M. Gas sensing based on metal-organic frameworks: Concepts, functions, and developments. J. Hazard. Mater. 2022, 429, 128321. [Google Scholar] [CrossRef]
- Gargiulo, V.; Alfè, M.; Giordano, L.; Lettieri, S. Materials for Chemical Sensing: A Comprehensive Review on the Recent Advances and Outlook Using Ionic Liquids, Metal–Organic Frameworks (MOFs), and MOF-Based Composites. Chemosensors 2022, 10, 290. [Google Scholar] [CrossRef]
- Zhang, Q.; Yan, S.; Yan, X.; Lv, Y. Recent advances in metal-organic frameworks: Synthesis, application and toxicity. Sci. Total Environ. 2023, 902, 165944. [Google Scholar] [CrossRef]
- Horcajada, P.; Serre, C.; Vallet-Regí, M.; Sebban, M.; Taulelle, F.; Férey, G. Metal–Organic Frameworks as Efficient Materials for Drug Delivery. Angew. Chem. 2006, 118, 6120–6124. [Google Scholar] [CrossRef]
- Xue, Y.; Zhao, G.; Yang, R.; Chu, F.; Chen, J. 2D metal–organic frameworkbased materials for electrocatalytic, photocatalytic and thermocatalytic applications. Nanoscale 2021, 13, 3911–3936. [Google Scholar] [CrossRef]
- Wang, H.-T.; Chen, Q.; Zhang, X.; Zhao, Y.-L.; Xu, M.-M.; Lin, R.-B.; Huang, H.; Xie, L.-H.; Li, J.-R. Two isostructural metal–organic frameworks with unique nickel clusters for C2H2/C2H6/C2H4 mixture separation. J. Mater. Chem. A Mater. 2022, 10, 12497–12502. [Google Scholar] [CrossRef]
- Jiang, C.; Wang, X.; Ouyang, Y.; Lu, K.; Jiang, W.; Xu, H.; Wei, X.; Wang, Z.; Dai, F.; Sun, D. Recent advances in metal–organic frameworks for gas adsorption/separation. Nanoscale Adv. 2022, 4, 2077–2089. [Google Scholar] [CrossRef]
- Jiao, L.; Seow, J.Y.R.; Skinner, W.S.; Wang, Z.U.; Jiang, H.L. Metal–organic frameworks: Structures and functional applications. Mater. Today 2019, 27, 43–68. [Google Scholar] [CrossRef]
- Chen, Y.-Z.; Gu, B.; Uchida, T.; Liu, J.; Liu, X.; Ye, B.-J.; Xu, Q.; Jiang, H.-L. Location determination of metal nanoparticles relative to a metal-organic framework. Nat. Commun. 2019, 10, 3462. [Google Scholar] [CrossRef] [PubMed]
- Alfè, M.; Gargiulo, V.; Amati, M.; Maraloiu, V.-A.; Maddalena, P.; Lettieri, S. Mesoporous TiO2 from Metal-Organic Frameworks for photoluminescence-based optical sensing of oxygen. Catalysts 2021, 11, 795. [Google Scholar] [CrossRef]
- Jo, Y.M.; Jo, Y.K.; Lee, J.H.; Jang, H.W.; Hwang, I.S.; Yoo, D.J. MOF-Based Chemiresistive Gas Sensors: Toward New Functionalities. Adv. Mater. 2023, 35, 2206842. [Google Scholar] [CrossRef]
- Zhang, J.; Lu, H.; Zhang, L.; Leng, D.; Zhang, Y.; Wang, W.; Gao, Y.; Lu, H.; Gao, J.; Zhu, G.; et al. Metal–organic framework-derived ZnO hollow nanocages functionalized with nanoscale Ag catalysts for enhanced ethanol sensing properties. Sens. Actuators B Chem. 2019, 291, 458–469. [Google Scholar] [CrossRef]
- Hermes, S.; Schröter, M.; Schmid, R.; Khodeir, L.; Muhler, M.; Tissler, A.; Fischer, R.W.; Fischer, R.A. Metal@MOF: Loading of highly porous coordination polymers host lattices by metal organic chemical vapor deposition. Angew. Chem. Int. Ed. Engl. 2005, 44, 6237–6241. [Google Scholar] [CrossRef] [PubMed]
- Jiang, H.; Lin, Q.; Akita, T.; Liu, B.; Ohashi, H.; Oji, H.; Honma, T.; Takei, T.; Haruta, M.; Xu, Q. Ultrafine gold clusters incorporated into a metal-organic framework. Chemistry 2011, 17, 78–81. [Google Scholar] [CrossRef]
- Yang, Q.; Xu, Q.; Jiang, H.L. Metal-organic frameworks meet metal nanoparticles: Synergistic effect for enhanced catalysis. Chem. Soc. Rev. 2017, 46, 4774–4808. [Google Scholar] [CrossRef]
- Yong, P.; Wang, S.; Zhang, X.; Pan, H.; Shen, S. MOFs-derived Co-doped In2O3 hollow hexagonal cylinder for selective detection of ethanol. Chem. Phys. Lett. 2022, 795, 139517. [Google Scholar] [CrossRef]
- Liu, S.; Qiu, Y.; Liu, Y.; Zhang, W.; Dai, Z.; Srivastava, D.; Kumar, A.; Pan, Y.; Liu, J. Recent advances in bimetallic metal–organic frameworks (BMOFs): Synthesis, applications and challenges. New J. Chem. 2022, 46, 13818–13837. [Google Scholar] [CrossRef]
- Li, G.; Zhang, Y.; Liang, Q.; Zhang, J.; Liu, J.; Liu, Y.; Wang, C.; Gao, J.; Lu, H. Nanoporous Co3O4TiO2 Heterojunction Nanosheets for Ethanol Sensing. ACS Appl. Nano Mater. 2022, 5, 4779–4786. [Google Scholar] [CrossRef]
- Venna, S.R.; Carreon, M.A. Highly permeable zeolite imidazolate framework-8 membranes for CO2/CH4 separation. J. Am. Chem. Soc. 2010, 132, 76–78. [Google Scholar] [CrossRef] [PubMed]
- He, M.; Yao, J.; Liu, Q.; Zhong, Z.; Wang, H. Toluene-assisted synthesis of RHO-type zeolitic imidazolate frameworks: Synthesis and formation mechanism of ZIF-11 and ZIF-12. Dalton Trans. 2013, 42, 16608–16613. [Google Scholar] [CrossRef]
- Li, J.; Chang, H.; Li, Y.; Li, Q.; Shen, K.; Yi, H.; Zhang, J. Synthesis and adsorption performance of La@ZIF-8 composite metal–organic frameworks. RSC Adv. 2020, 10, 3380–3390. [Google Scholar] [CrossRef]
- Hosseini, S.R.; Omidkhah, M.; Mehri Lighvan, Z.; Norouzbahari, S.; Ghadimi, A. Synthesis, characterization, and gas adsorption performance of an efficient hierarchical ZIF-11@ZIF-8 core–shell metal–organic framework (MOF). Sep. Purif. Technol. 2023, 307, 122679. [Google Scholar] [CrossRef]
- Safak Boroglu, M.; Yumru, A.B. Gas separation performance of 6FDA-DAM-ZIF-11 mixedmatrix membranes for H2/CH4 and CO2/CH4 separation. Sep. Purif. Technol. 2017, 173, 269–279. [Google Scholar] [CrossRef]
- Guo, A.; Ban, Y.; Yang, K.; Zhou, Y.; Cao, N.; Zhao, M.; Yang, W. Molecular sieving mixed matrix membranes embodying nano-fillers with extremely narrow pore-openings. J. Memb. Sci. 2020, 601, 117880. [Google Scholar] [CrossRef]
- Ehsani, A.; Pakizeh, M. Synthesis, characterization and gas permeation study of ZIF-11/Pebax® 2533 mixed matrix membranes. J. Taiwan. Inst. Chem. Eng. 2016, 66, 414–423. [Google Scholar] [CrossRef]
- Dib, K.; Brahimi, R.; Bessekhouad, Y.; Tayebi, N.; Trari, M. Structural, optical and transport properties of SxZnO. Mater. Sci. Semicond. Process 2016, 48, 52–59. [Google Scholar] [CrossRef]
- Ganesh, V.; Yahia, I.S.; Chidhambaram, N. Facile Synthesis of ZnO:Sb/g-C3N4 Composite Materials for Photocatalysis Applications. J. Clust. Sci. 2023, 34, 1659–1668. [Google Scholar] [CrossRef]
- Etacheri, V.; Roshan, R.; Kumar, V. Mg-doped ZnO nanoparticles for efficient sunlight-driven photocatalysis. ACS Appl. Mater. Interfaces 2012, 4, 2717–2725. [Google Scholar] [CrossRef]
- Khurshid, F.; Jeyavelan, M.; Hudson, M.S.L.; Nagarajan, S. Ag-doped ZnO nanorods embedded reduced graphene oxide nanocomposite for photo-electrochemical applications. R. Soc. Open Sci. 2019, 6, 181764. [Google Scholar] [CrossRef]
- Zhang, Y.; Wen, Y.H.; Zheng, J.C.; Zhu, Z.Z. Strain-induced structural and direct-to-indirect band gap transition in ZnO nanotubes. Phys. Lett. A 2010, 374, 2846–2849. [Google Scholar] [CrossRef]
- Boulahlib, S.; Dib, K.; Özacar, M.; Bessekhouad, Y. Optical, dielectric, and transport properties of Ag-doped ZnO prepared by Aloe Vera assisted method. Opt. Mater. 2021, 113, 110889. [Google Scholar] [CrossRef]
- Zhang, X.; Dong, Z.; Liu, S.; Shi, Y.; Dong, Y.; Feng, W. Maize straw-templated hierarchical porous ZnO:Ni with enhanced acetone gas sensing properties. Sens. Actuators B Chem. 2017, 243, 1224–1230. [Google Scholar] [CrossRef]
- Kim, H.; Pak, Y.; Jeong, Y.; Kim, W.; Kim, J.; Jung, G.Y. Amorphous Pd-assisted H2 detection of ZnO nanorod gas sensor with enhanced sensitivity and stability. Sens. Actuators B Chem. 2018, 262, 460–468. [Google Scholar] [CrossRef]
- Huang, H.; Xu, P.; Zheng, D.; Chen, C.; Li, X. Sulfuration-desulfuration reaction sensing effect of intrinsic ZnO nanowires for high-performance H2S detection. J. Mater. Chem. A Mater. 2015, 3, 6330–6339. [Google Scholar] [CrossRef]
- Zhang, K.; Lin, Z. Highly sensitive ethanol sensor based on zinc oxide-based nanomaterials with low power consumption. J. Mater. Sci. Mater. Electron. 2021, 32, 17395–17405. [Google Scholar] [CrossRef]
- Wei, S.; Wang, S.; Zhang, Y.; Zhou, M. Different morphologies of ZnO and their ethanol sensing property. Sens. Actuators B Chem. 2014, 192, 480–487. [Google Scholar] [CrossRef]
- Ding, M.; Xie, N.; Wang, C.; Kou, X.; Zhang, H.; Guo, L.; Sun, Y.; Chuai, X.; Gao, Y.; Liu, F.; et al. Enhanced NO2 gas sensing properties by Ag-doped hollow urchin-like In2O3 hierarchical nanostructures. Sens. Actuators B Chem. 2017, 252, 418–427. [Google Scholar] [CrossRef]
- Yin, Z.; Wang, X.; Sun, F.; Tong, X.; Zhu, C.; Lv, Q.; Ye, D.; Wang, S.; Luo, W.; Huang, Y. Aligned hierarchical Ag/ZnO nano-heterostructure arrays via electrohydrodynamic nanowire template for enhanced gas-sensing properties. Sci. Rep. 2017, 7, 12206. [Google Scholar] [CrossRef] [PubMed]
- Landi, S.; Segundo, I.R.; Freitas, E.; Vasilevskiy, M.; Carneiro, J.; Tavares, C.J. Use and misuse of the Kubelka-Munk function to obtain the band gap energy from diffuse reflectance measurements. Solid. State Commun. 2022, 341, 114573. [Google Scholar] [CrossRef]
- Makuła, P.; Pacia, M.; Macyk, W. How To Correctly Determine the Band Gap Energy of Modified Semiconductor Photcalysts Based on UV-Vis Spectra. J. Phys. Chem. Lett. 2018, 9, 6814–6817. [Google Scholar] [CrossRef] [PubMed]













| Material | Specific Surface Area (m2/g) | Total Volume (STP) cm3/g |
|---|---|---|
| ZIF-8 | 1843 | 0.969 |
| ZIF-11 | 703 | 0.418 |
| ZnO(Z8) | 13 | 0.213 |
| ZnO(Z11) | 5 | 0.020 |
| Sample Name | Parent Material | Synthetic Approach |
|---|---|---|
| Ag@ZIF-11(i) | ZIF-11 | Impregnation |
| Ag@ZIF-11(g) | - | Solvothermal from precursors |
| Ag@ZIF-11(i,r) | Ag@ZIF-11(i) | (i) Impregnation; (ii) Chemical reduction |
| Ag@ZIF-11(g,r) | Ag@ZIF-11(g) | (i) Solvothermal from precursors; (ii) Chemical reduction |
| ZnO(Z8) | ZIF-8 | Calcination |
| ZnO(Z11) | ZIF-11 | Calcination |
| Ag@ZnO(Z11)i | Ag@ZIF-11(i) | Calcination |
| Ag@ZnO(Z11)g | Ag@ZIF-11(g) | Calcination |
| Ag@ZnO(Z11)i,r | Ag@ZIF-11(i,r) | Calcination |
| Ag@ZnO(Z11)g,r | Ag@ZIF-11(g,r) | Calcination |
Disclaimer/Publisher’s Note: The statements, opinions and data contained in all publications are solely those of the individual author(s) and contributor(s) and not of MDPI and/or the editor(s). MDPI and/or the editor(s) disclaim responsibility for any injury to people or property resulting from any ideas, methods, instructions or products referred to in the content. |
© 2025 by the authors. Licensee MDPI, Basel, Switzerland. This article is an open access article distributed under the terms and conditions of the Creative Commons Attribution (CC BY) license (https://creativecommons.org/licenses/by/4.0/).
Share and Cite
Clemente, C.; Gargiulo, V.; Cimino, L.; Pepe, G.P.; Ausanio, G.; Massera, E.; Alfe, M. Zeolitic-Imidazole Framework (ZIF)-Derived ZnO Doped with Ag for Improved Ethanol Sensing Applications. Molecules 2025, 30, 2611. https://doi.org/10.3390/molecules30122611
Clemente C, Gargiulo V, Cimino L, Pepe GP, Ausanio G, Massera E, Alfe M. Zeolitic-Imidazole Framework (ZIF)-Derived ZnO Doped with Ag for Improved Ethanol Sensing Applications. Molecules. 2025; 30(12):2611. https://doi.org/10.3390/molecules30122611
Chicago/Turabian StyleClemente, Claudio, Valentina Gargiulo, Luciana Cimino, Giovanni Piero Pepe, Giovanni Ausanio, Ettore Massera, and Michela Alfe. 2025. "Zeolitic-Imidazole Framework (ZIF)-Derived ZnO Doped with Ag for Improved Ethanol Sensing Applications" Molecules 30, no. 12: 2611. https://doi.org/10.3390/molecules30122611
APA StyleClemente, C., Gargiulo, V., Cimino, L., Pepe, G. P., Ausanio, G., Massera, E., & Alfe, M. (2025). Zeolitic-Imidazole Framework (ZIF)-Derived ZnO Doped with Ag for Improved Ethanol Sensing Applications. Molecules, 30(12), 2611. https://doi.org/10.3390/molecules30122611

