Next Article in Journal
An Investigation of WO3/V2O5/TiO2 Catalysts: Effects of WO3 on Morphology, Thermal Stability, and Activity for the Catalytic Oxidation of Dimethyl Sulfide
Next Article in Special Issue
Electronic Structure of the Ground and Low-Lying States of MoLi
Previous Article in Journal
Does Metal Matter: Comparing Photophysical Properties of Bis-Cyclometalated Alkynylphosphonium Au(III) and Pt(II) Complexes
 
 
Font Type:
Arial Georgia Verdana
Font Size:
Aa Aa Aa
Line Spacing:
Column Width:
Background:
Article

An Ab Initio Electronic Structure Investigation of the Ground and Excited States of ScH+, YH+, and LaH+

by
Isuru R. Ariyarathna
Los Alamos National Laboratory, Theoretical Division, Los Alamos, NM 87545, USA
Molecules 2025, 30(11), 2435; https://doi.org/10.3390/molecules30112435
Submission received: 20 April 2025 / Revised: 21 May 2025 / Accepted: 21 May 2025 / Published: 2 June 2025

Abstract

Multireference configuration interaction (MRCI), Davidson-corrected MRCI (MRCI+Q), coupled-cluster singles, doubles, and perturbative triples [CCSD(T)], and frozen-core full configuration interaction (fcFCI) calculations were carried out using large, correlation-consistent basis sets to investigate the excited states of the Sc atom and the spin–free and spin–orbit coupled potential energy profiles, energetics, spectroscopic constants, and electron populations of low-lying states of MH+ (M = Sc, Y, La). The core electron correlation effects, complete basis set effects, and spin–orbit coupling effects were also evaluated. The first four electronic states of all MH+ are 12Δ, 12Σ+, 12Π, and 22Σ+ with 1σ21, 1σ21, 1σ21, and 1σ21 single-reference electron configurations, respectively. These states of MH+ can be represented by the M2+H ionic structure. The ground states of ScH+, YH+, and LaH+ are 12Δ3/2, 12Σ+1/2, and 12Δ3/2 with 55.45, 60.54, and 62.34 kcal/mol bond energies, respectively. The core electron correlation was found to be vital for gaining accurate predictions on the ground and excited state properties of MH+. The spin–orbit coupling effects are minor for ScH+ but become substantial moving to YH+ and LaH+. Overall, the results of this work are in good agreement with the limited set of experimental findings of MH+ available in the literature and will be of use for future investigations. Furthermore, the theoretical approaches, findings, and trends reported here are expected to aid studies of similar species.

1. Introduction

Electronic structure investigations of molecular complexes are vital for understanding their underlying chemicophysical properties and subsequently optimizing their applications in a variety of industrial processes. Especially, many correlated metal-based species display singular catalytic, electronic, magnetic, and photochemical properties arising from their intricate electron arrangements [1,2,3,4,5,6,7,8]. Therefore, over the years, many high-level quantum chemical investigations have been made to explore the electronic structures and properties of metal-based diatomic constituents aiming to comprehend the chemistries of their large complexes. Furthermore, such theoretical studies of diatomic species are necessary to interpret their experimental spectra and produce models to understand their chemistries under a variety of conditions. In this area of research, the studies of neutral and charged transition metal- and actinide-based metal hydrides are dominant due to their applications in the fields of astrophysics, catalysis, and renewable energy [7,9,10,11,12]. Surprisingly, such investigations on early transition metal (Sc and Y) and lanthanide (La) monohydride cations are scarce in the literature, and their chemical bonding and spectroscopic properties are poorly understood. Hence, in the present work, we have adopted several high-level ab initio methods to explore the electronic structures of ground and excited states of MH+ (M = Sc, Y, La), aiming to assist their future investigations.
To the best of our knowledge, the first experimental chemical bonding study of ScH+ goes back to the work by Tolbert and Beauchamp in 1984 [13]. They measured the bond energy of ScH+ to be 54 ± 4 kcal/mol by conducting an ion beam experiment [13]. A year later, Alvarado-Swaisgood and Harrison [14] reported a dissociation energy (D0) of 52.7 kcal/mol for ScH+ which is within the range of uncertainty of the experimental D0 of Tolbert and Beauchamp [13] by performing multi-configurational self-consistent field (MCSCF) quantum chemical calculations. Furthermore, this theoretical study assigned a 2Δ term symbol for the ground state of ScH+ and provided evidence for two closely lying 2Π and 2Σ+ excited states [14]. In 1986, Elkind and Armentrout measured the D0 of ScH+ using a guided ion beam mass spectrometric experiment and reported a value of 55.3 ± 2 kcal/mol [15] which agreed well with the previous D0 values by Tolbert and Beauchamp [13] and Alvarado-Swaisgood and Harrison [14]. They further reported a D0 of 58 ± 3 kcal/mol for YH+ [15]. In 1987, Pettersson et al. [16], reported theoretical D0, bond length (re), and harmonic vibrational frequency (ωe) values of ScH+(2Δ) (i.e., 56.0 kcal/mol, 1.830 Å, and 1568 cm−1, respectively) and adiabatic excitation energy (Te), re, and ωe of ScH+(2Σ+) (i.e., 1700 cm−1, 1.788 Å, and 1571 cm−1, respectively) under the modified coupled pair functional (MCPF) theory. Furthermore, using the same method, they assigned a 2Σ+ ground state and a 59.4 kcal/mol D0 for YH+ [16], which is in agreement with its experimental D0 by Elkind and Armentrout [15]. Two years later, Armentrout’s group carried out further ion beam mass spectrometric studies on ScH+ and YH+ and re-reported their D0 values to be 56.27 ± 2.08 and 61.34 ± 1.38 kcal/mol, respectively [17]. Under the same experimental approach, they measured the D0 of LaH+ to be 57.19 ± 2.08 kcal/mol [17]. Soon after, Das and Balasubramanian reported a second-order configuration interaction (SOCI) theoretical study for LaH+ and predicted a De (zero-point energy unaccounted bond energy) of 58.57 kcal/mol for its 2Δ ground state [18]. Their calculations further predicted the first two excited electronic states of LaH+ (i.e., 2Σ+ and 2Π) to be at 1948 and 2855 cm−1 [18].
Even though the bond energies of the ground states and some spectroscopic parameters of a few states of MH+ are available in the literature, these species are lacking a thorough analysis under the state-of-the-art wave function theories conjoined with large basis sets. For example, high-level MRCI (≡ MRCISD) calculations are often being performed with correlation-consistent basis sets to investigate correlated transition metal-, lanthanide-, and actinide-based diatomic species. Moreover, the MRCI coefficients and correlation energies can be used to evaluate the approximate quadruple substitution effect (+Q), hence often MRCI+Q findings are more accurate and reliable compared to the MRCI findings. A thorough analysis based on CCSD(T) which addresses the perturbative triples contribution on top of the singles and doubles electron correlation effects and fcFCI (in MH+ cases, fcFCI accounts for single, double, and triple electron correlation effects) is also absent for MH+ species. Hence, in the present work, the aforementioned high-level theories were used to provide a comprehensive analysis of the electronic structures, energetics, and spectroscopic parameters of MH+ species. Specifically, we have introduced full potential energy profiles of spin–free and spin–orbit curves of MH+ at the MRCI level with correlation-consistent basis sets to determine their spectroscopic properties and bond dissociations. Then, we have adopted highly accurate single-reference CCSD(T) and fcFCI levels of theory to further investigate energy related properties and spectroscopic constants of MH+. The core electron correlation effects, complete basis set effects, and spin–orbit coupling effects on their properties were also examined.

2. Results and Discussion

2.1. Sc Atom

As the first step of this work, the Sc atom was studied aiming to test the accuracy of three multireference approaches on its excited states. Specifically, the MRCI/aug-cc-pV5Z-DK (MRCISc), MRCI/aug-cc-pwCV5Z-DK (C-MRCISc), and MRCI+Q/aug-cc-pwCV5Z-DK (C-MRCI+QSc) calculations were performed to obtain the excitation energies of all J states of the first six electronic states of Sc (Table 1). The ground electronic state of the Sc atom is a 2D ([Ar]3d14s2) and its two J terms (i.e., J = 3/2 and 5/2) are energetically separated by 168 cm−1 [19]. In agreement with the experiment, all our theoretical approaches predicted a 2D3/2 ground state for the Sc atom (Table 1). The MRCISc and C-MRCISc predicted excitation energies for the 2D5/2 are in good agreement with the experiment (i.e., 182, 193, and 168 cm−1, respectively). Among the three approaches, C-MRCI+QSc predicted the highest 2D3/22D5/2 excitation energy (i.e., 221 cm−1). According to experiment, the first two excited electronic states of the Sc atom (i.e., 4F and 2F) lie at 11,520–11,678 and 14,926–15,042 cm−1, respectively [19]. All our calculations overestimated the excitation energies of the J = 3/2, 5/2, 7/2, and 9/2 of 4F and J = 5/2 and 7/2 of 2F, similar to the excitation energy of 2D5/2 (Table 1). Specifically, the largest discrepancies with respect to the experiment (for the J states of 4F and 2F) were provided by the MRCISc (~2850 cm−1), whereas the overestimations by both C-MRCISc and C-MRCI+QSc levels are ~700–800 cm−1. Both MRCISc and C-MRCISc underestimated the excitation energies of 4Fo by ~1100 and ~300 cm−1 while the corresponding C-MRCI+QSc excitation energies are in reasonable agreement with the experiment (the discrepancies are only 74–90 cm−1). Similarly, the MRCISc substantially underestimated the excitation energies of the next two excited electronic states, 4D° and 2D°, of the Sc atom (by 1173–1413 cm−1). The excitation energies predicted by both C-MRCISc and C-MRCI+QSc for these two states only differ by 9–172 cm−1 with respect to the experiment. Overall, both C-MRCISc and C-MRCI+QSc representations of the excited states of the Sc atom are significantly better compared to the representation of MRCISc, which highlights the importance of the core electron correlation for obtaining accurate excitation energies. Furthermore, the +Q correction was found to improve the predictions of the higher excited states of the Sc atom. Specifically, the C-MRCI+Q excitation energies of the Sc atom for all J states of 2F, 4Fo, 4D°, and 2D° (except for the J = 3/2 and J = 5/2 of 4D°) are in better agreement with the experiment compared to the C-MRCI (Table 1).

2.2. ScH+

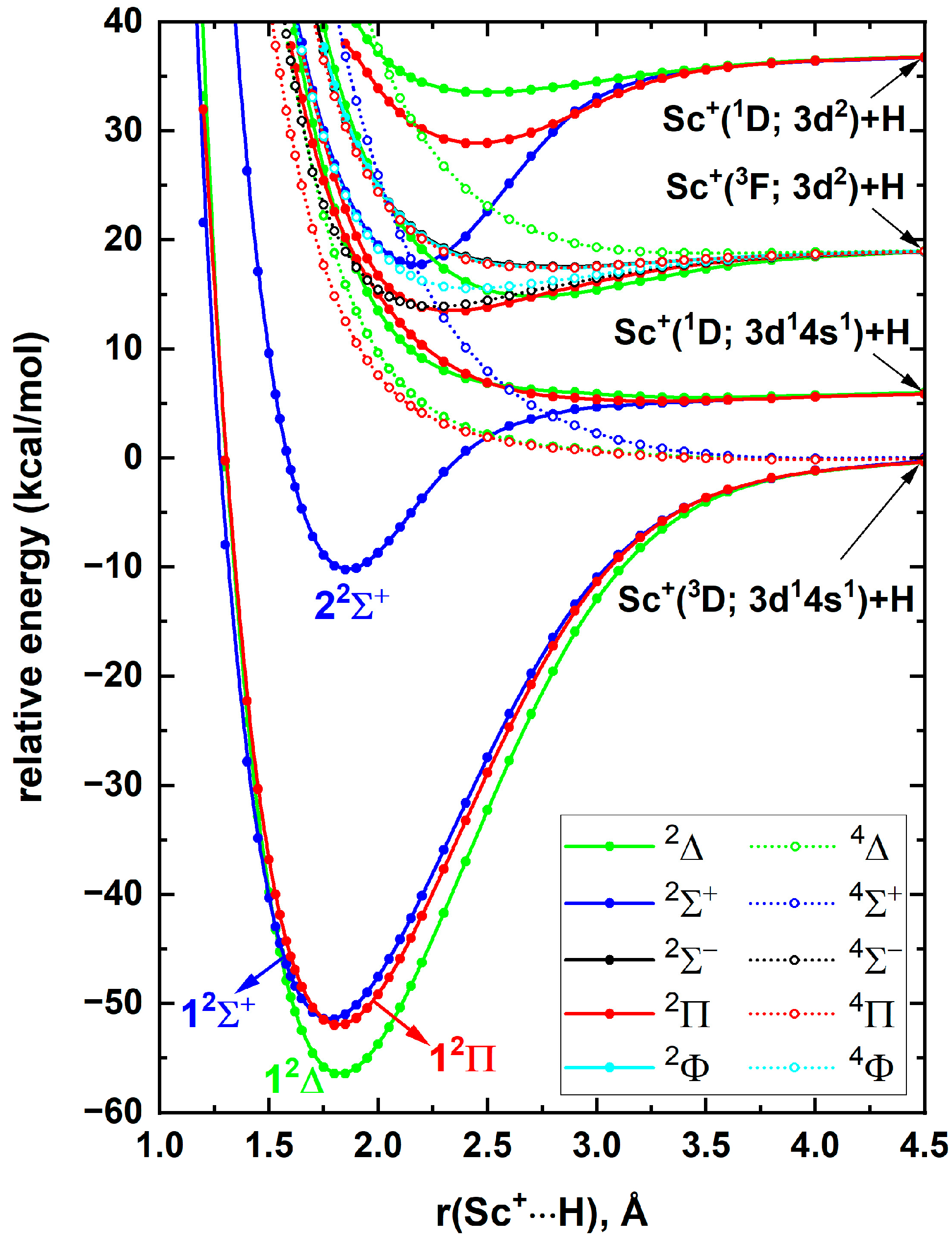
To study ScH+, the reactions between a few low-lying electronic states of Sc+ and the ground state of H atom were considered. Specifically, the Sc+(3D; 3d14s1)+H(2S), Sc+(1D; 3d14s1)+H(2S), Sc+(3F; 3d2)+H(2S), and Sc+(1D; 3d2)+H(2S) interactions were investigated. These combinations produce 4,2+, Π, Δ], 2+, Π, Δ], 4,2, Π, Δ, Φ], and 2+, Π, Δ] molecular states of ScH+, respectively, and their PECs are given in Figure 1. All the quartet-spin PECs resulting from the ground state fragments [i.e., Sc+(3D; 3d14s1)+H(2S)] are repulsive in nature. On the other hand, the doublet-spin PECs of the same reactants are strongly attractive and create the first three electronic states of ScH+ (i.e., 12Δ, 12Σ+, and 12Π). According to Figure 1, the first two excited states of ScH+ (i.e., 12Σ+ and 12Π) lie ~4 kcal/mol above the 12Δ ground state. Recall that the core electron correlation significantly improved the excitation energies of the Sc atom (Section 2.1) and similarly the higher electron correlation effects may be necessary for identifying the exact ordering of the closely lying 12Σ+ and 12Π states of ScH+. Indeed, we discuss such electron correlation effects on the excited states and a few other properties of ScH+ in detail later in this section. The Sc+(1D; 3d14s1)+H(2S) interaction produces only one stable potential energy minimum (i.e., 22Σ+), which is the third excited state of ScH+. The Sc+(3F; 3d2)+H(2S) interaction does not produce strongly attractive PECs except for a few PECs with shallow minima (i.e., 2Π, 4Σ-, 2Δ, and 4Φ) around 2.2–2.7 Å.
The first four electronic states of ScH+ (i.e., 12Δ, 12Σ+, 12Π, and 22Σ+) bear single-reference electron configurations (ESI Table S1). Several state average molecular orbitals, which are plotted by including these four states of ScH+ at the CASSCF level, are given in Figure 2. The 1σ, 2σ, 3σ, 1π, and 1δ orbitals chiefly correlate to the 1s of H (with minor 3 d z 2 and 4s of Sc), 3 d z 2 (with some 4s) of Sc, 4s of Sc (with a small contribution from 1s of H), 3dyz/3dxz of Sc, and 3 d x 2 y 2 /3dxy of Sc, respectively. Based on the contours of the molecular orbitals (Figure 2), the 1σ21 electron configuration of 12Δ translates to an approximate ionic Sc2+H structure. According to the NBO population analysis, the 12Δ of ScH+ carries Sc+1.68H−0.68 charge localization with Sc[4s0.163d1.16]H[1s1.66] electron population. The next three electronic states of ScH+ (i.e., 12Σ+, 12Π, and 22Σ+) bear 1σ21, 1σ21, and 1σ21 equilibrium electron configurations with Sc+1.57H−0.57, Sc+1.69H−0.69, and Sc+1.82H−0.82 NBO charge distributions, respectively. Their NBO electron populations are Sc[4s0.583d0.84]H[1s1.55], Sc[4s0.193d1.11]H[1s1.65], and Sc[4s0.473d0.59]H[1s1.73], respectively.
For the sake of textual brevity, from now on, the notations AXZ- [for, aug-cc-pVXZ-DK (of H) cc-pVXZ-DK (of Sc), aug-cc-pVXZ (of H) cc-pVXZ-PP (of Y), aug-cc-pVXZ-DK (of H) cc-pVXZ-DK3 (of La)] and AXZ-C- [for, aug-cc-pVXZ-DK (of H) cc-pwCVXZ-DK (of Sc), aug-cc-pVXZ (of H) cc-pwCVXZ-PP (of Y), aug-cc-pVXZ-DK (of H) cc-pwCVXZ-DK3 (of La)] (X = T, Q, 5) are used throughout the paper to denote the basis set combinations. All our theoretical approaches predicted a 12Δ ground electronic state for the ScH+ (Table 2). Recall that according to our A5Z-MRCI potential energy profile (Figure 1), 12Π is slightly more stable than 12Σ+. However, A5Z-MRCI calculations built on top of the CASSCF wave functions created by including only 12Δ, 12Σ+, 12Π, and 22Σ+ states of ScH+ predicted 12Σ+ to be more stable than 12Π (Table 2). Indeed, all MRCI and MRCI+Q approaches listed in Table 2 predicted 12Σ+ to be 369–388 cm−1 more stabilized compared to 12Π. Utilization of higher levels of theories such as A5Z-CCSD(T), A5Z-C-CCSD(T), and A5Z-fcFCI decreased the energy difference between 12Σ+ and 12Π to ~150 cm−1 (Table 2). According to our largest theory that does not account spin–orbit effects, CBS-fcFCI-δcore [i.e., Eδcore = EA5Z-C-CCSD(T) − EA5Z-CCSD(T)], this energy difference is only 154 cm−1 (i.e., the Te values of 12Σ+ and 12Π are 1386 and 1540 cm−1, respectively). Under all our MRCI and MRCI+Q predictions, the 22Σ+ rests at ~15,250 cm−1 (Table 2). The core electron correlation is vital for gaining accurate predictions of re values of the first-row transition metal diatomic species [21,22,23,24]. According to the findings of this study, the 3s23p6 electron correlation decreased the re by 0.03–0.04 Å while simultaneously increasing the ωe by 33–52 cm−1 [compare C-CCSD(T) and CCSD(T) re and ωe values listed in Table 2]. The ωexe, Be, αe, and   D ¯ e values predicted under different levels for the first four electronic states of ScH+ are also given in Table 2.
At the AQZ-MRCI level, ScH+(12Δ) carries a D0 of 54.46 kcal/mol. This value is in good agreement with the experimental D0 of ScH+ reported by the Armentrout group (i.e., 55.35 ± 2.31 kcal/mol) [25]. The application of the Davidson correction (i.e., AQZ-MRCI+Q) slightly increased the D0 of ScH+(12Δ) to 54.54 kcal/mol. The improvement of the basis set from AQZ to A5Z increased the D0 by 0.45 kcal/mol for both MRCI and MRCI+Q (Table 2). Both A5Z-CCSD(T) and AQZ-CCSD(T) D0 values of ScH+(12Δ) are slightly lower compared to the A5Z-MRCI and A5Z-MRCI+Q D0 values. As expected, the AQZ-fcFCI and A5Z-fcFCI D0 values are closer to the experimental values than the D0 of AQZ-CCSD(T) and A5Z-CCSD(T), clearly due to the better representation of electron correlation at fcFCI compared to CCSD(T). The 3s23p6 core electron correlation of Sc slightly increased the D0 (by ~0.6 kcal/mol). The CBS extrapolation increased the D0 by 0.17 kcal/mol compared to the A5Z-fcFCI D0 of ScH+ (Table 2). The inclusion of the core electron correlation correction (i.e., δcore) to the CBS-fcFCI provided us with a D0 of 55.55 kcal/mol (CBS-fcFCI-δcore) for ScH+ (12Δ).
Generally, the spin–orbit coupling effects of the early first-row transition metal-based diatomic species are minor, and similarly we do not expect the spin–orbit coupling of ScH+ to be significant. However, full spin–orbit coupling curves are useful for gaining insight on true dissociations of the states of diatomic species and constructing accurate radiative models. Aiming to understand the spin–orbit curves and the corresponding avoided crossings, full spin–orbit curves of ScH+ were produced at the A5Z-C-MRCI level and are given in Figure 3 (right panel). Figure 3 (left panel) illustrates the spin–free PECs of ScH+ under the same method. Observe that the spin–free A5Z-C-MRCI approach indeed predicted 12Σ+ to be more stable than 12Π. The 12Δ, 12Σ+, 12Π, and 22Σ+ electronic states of ScH+ split into Ω = 3/2, 5/2, Ω = 1/2, Ω = 3/2, 1/2, and Ω = 1/2 spin–orbit states of ScH+. As expected, the spin–orbit coupling is minor for ScH+ at all internuclear distances (compare the spin–orbit curves and parent spin–free PECs of ScH+ in Figure 3). The spin–orbit splitting of Sc+(3D) is minor. Specifically, experimentally the Te of the J states of Sc+(3D) are 0.00, 67.72, and 177.76 cm−1, respectively [19]. Hence, the Ω states resulting from the Sc+(3D)+H(2S) nearly degenerate at the bond dissociation limit (Figure 3, right panel). The experimental excitation energy of Sc+(1D2) is 2540.95 cm−1. According to our spin–orbit energy profile (Figure 3, right panel) this excitation energy is ~7.9 kcal/mol (or 2763 cm−1), which is higher compared to the corresponding experimental value by 222 cm−1. This discrepancy could be a result of the size-extensivity issues of MRCI, and the findings may be further improved by the application of MRCI+Q that partially corrects the size-extensivity errors of MRCI. The spin–orbit ground state of ScH+ is a 12Δ3/2 with a D0 of 54.17 kcal/mol (at A5Z-C-MRCI), which is only 0.10 kcal/mol lower than the spin–orbit effect disregarded D0 of 12Δ obtained at the same approach. We arrived at our best D0 estimate of ScH+ by introducing this spin–orbit correction to the CBS-fcFCI-δcore D0 of ScH+ [i.e., CBS-fcFCI-δcore-δSO]. Indeed, the CBS-fcFCI-δcore-δSO D0 of ScH+ is in excellent agreement with the experimental value of the Armentrout group (i.e., 55.45 vs. 55.35 ± 2.31 kcal/mol) (Table 3). The Ω = 5/2 component of 12Δ lies 175 cm−1 above the 12Δ3/2 (ESI Table S2). The next two spin–orbit states of ScH+ (Ω = 1/2 at 1582 cm−1 and Ω = 1/2 at 1752 cm−1) bear 80% 12Σ+ + 20% 12Π and 80% 12Π + 20% 12Σ+ ΛS compositions, respectively. The proceeding two spin–orbit states of ScH+ (Ω = 3/2 at 1779 cm−1 and Ω = 1/2 at 17,006 cm−1) dominantly correlate to the 12Π and 22Σ+ (ESI Table S2). We observed several avoided crossings for the higher energy PECs (ESI Figure S1). The most obvious example is the Ω = 1/2 of 22Σ+, which dissociates to the spin–orbit products of Sc+(3D)+H(2S) (Figure 3 right panel and ESI Figure S1). Our final spectroscopic predictions obtained combining the CBS-fcFCI-δcore and MRCI spin–orbit effects [i.e., CBS-fcFCI-δcore-δSO] are listed in Table 3. Specifically, we are reporting Te, re, ωe, ωexe, Be, αe, D ¯ e, and D0 values of the first five spin–orbit states of ScH+ at the composite CBS-fcFCI-δcore-δSO level to assist future experimental studies of ScH+.
Table 2. Adiabatic excitation energy (Te, cm−1), bond length (re, Å), harmonic vibrational frequency (ωe, cm−1), anharmonicity (ωexe, cm−1), equilibrium rotational constant (Be, cm−1), anharmonic correction to the rotational constant (αe, cm−1), centrifugal distortion constant ( D ¯ e, cm−1), and the bond dissociation energies with respect to the Sc+(3D; 3d14s1)+H(2S) fragments (D0, kcal/mol) of the first four electronic states of ScH+ a.
Table 2. Adiabatic excitation energy (Te, cm−1), bond length (re, Å), harmonic vibrational frequency (ωe, cm−1), anharmonicity (ωexe, cm−1), equilibrium rotational constant (Be, cm−1), anharmonic correction to the rotational constant (αe, cm−1), centrifugal distortion constant ( D ¯ e, cm−1), and the bond dissociation energies with respect to the Sc+(3D; 3d14s1)+H(2S) fragments (D0, kcal/mol) of the first four electronic states of ScH+ a.
StateMethodTereωeωexeBeαe ×10−4 D ¯ e ×10−6D0
12ΔCBS-fcFCI-δcore1.791165722.35.333107422055.55
CBS-fcFCI1.827162121.15.125101320554.98
A5Z-fcFCI1.827162021.15.122101320554.81
AQZ-fcFCI1.828161921.15.118101620554.75
A5Z-C-CCSD(T)1.791165722.15.330107222155.26
AQZ-C-CCSD(T)1.793165322.05.320108222154.96
A5Z-CCSD(T)1.827162121.25.122101920554.69
AQZ-CCSD(T)1.828162021.35.118101520454.63
A5Z-MRCI+Q1.826161721.25.129107620754.99
A5Z-MRCI1.826161621.35.128102220754.91
AQZ-MRCI+Q1.827161621.35.126102020654.54
AQZ-MRCI1.827161621.55.125102320654.46
CCSD(T) [26]1.79 50.10
MCPF [16]1.8301568 56.00
MP2 [26]1.78 43.00
MCSCF+1+2 [14]1.8221595 52.7
Experiment [25] 55.35 ± 2.31
12Σ+CBS-fcFCI-δcore13861.745164826.55.615129226151.58
CBS-fcFCI12951.775159824.65.429130525151.31
A5Z-fcFCI12961.775159524.55.427129825151.14
AQZ-fcFCI12991.776159224.45.424129525151.08
A5Z-C-CCSD(T)14061.745164827.95.617133626151.24
AQZ-C-CCSD(T)13341.745164726.55.614129926151.18
A5Z-CCSD(T)13171.774159724.45.432131025150.96
AQZ-CCSD(T)13211.775159525.15.429130525250.85
A5Z-MRCI+Q10261.774160632.55.433183224952.06
A5Z-MRCI10461.775159526.35.431182425251.92
AQZ-MRCI+Q10361.775160131.95.429182225051.59
AQZ-MRCI10561.775159330.55.426181425251.45
MCPF [16]17001.7881571
MCSCF+1+2 [14] 1.7761532
12ΠCBS-fcFCI-δcore15401.780162622.55.397113523851.14
CBS-fcFCI14321.817159022.75.180107322050.93
A5Z-fcFCI14391.818159022.55.176107422050.74
AQZ-fcFCI14471.819158722.05.171107722050.66
A5Z-C-CCSD(T)15651.781162422.35.392115323850.78
AQZ-C-CCSD(T)15621.783162222.75.381112723750.50
A5Z-CCSD(T)14561.818159021.75.177108022050.53
AQZ-CCSD(T)14651.819158821.95.171107521950.49
A5Z-MRCI+Q14141.816158721.95.185108622251.00
A5Z-MRCI14171.817158621.55.183107422150.91
AQZ-MRCI+Q14231.817158521.75.180107122150.53
AQZ-MRCI14251.817158421.75.178108622150.44
MCSCF+1+2 [14] 1.8161560
22Σ+A5Z-MRCI+Q15,2451.861155535.54.937126319911.50
A5Z-MRCI15,2651.861155434.94.938127419911.36
AQZ-MRCI+Q15,2531.862155134.54.935128320011.03
AQZ-MRCI15,2731.861155434.44.936125019910.89
a The CASSCF wave functions of all MRCI/MRCI+Q calculations were produced by averaging three 2A1 + one 2B1 + one 2B2 + one 2A2 states. A5Z-C-MRCI and A5Z-C-MRCI+Q spectroscopic constants obtained by state averaging all states given in Figure 3 (left panel) are listed in ESI Table S3.
Figure 3. A5Z-C-MRCI spin–free PECs (left panel) and spin–orbit curves (right panel) of ScH+ as a function of Sc+···H distance [r(Sc+···H), Å]. In the left plot the relative energies are referenced to the Sc+(3D) + H(2S) fragments placed at 200 Å, which is set to 0 kcal/mol, whereas, in the right plot the relative energies are with respect to the lowest energy spin–orbit state at 200 Å.
Figure 3. A5Z-C-MRCI spin–free PECs (left panel) and spin–orbit curves (right panel) of ScH+ as a function of Sc+···H distance [r(Sc+···H), Å]. In the left plot the relative energies are referenced to the Sc+(3D) + H(2S) fragments placed at 200 Å, which is set to 0 kcal/mol, whereas, in the right plot the relative energies are with respect to the lowest energy spin–orbit state at 200 Å.
Molecules 30 02435 g003
Table 3. CBS-fcFCI-δcore-δSO adiabatic excitation energy (Te, cm−1), bond length (re, Å), harmonic vibrational frequency (ωe, cm−1), anharmonicity (ωexe, cm−1), equilibrium rotational constant (Be, cm−1), anharmonic correction to the rotational constant (αe, cm−1), centrifugal distortion constant ( D ¯ e, cm−1), and bond energies (D0, kcal/mol) of the first five spin–orbit states of ScH+.
Table 3. CBS-fcFCI-δcore-δSO adiabatic excitation energy (Te, cm−1), bond length (re, Å), harmonic vibrational frequency (ωe, cm−1), anharmonicity (ωexe, cm−1), equilibrium rotational constant (Be, cm−1), anharmonic correction to the rotational constant (αe, cm−1), centrifugal distortion constant ( D ¯ e, cm−1), and bond energies (D0, kcal/mol) of the first five spin–orbit states of ScH+.
StateTereωeωexeBeαe ×10−4 D ¯ e ×10−6D0
12Δ3/21.791165723.35.323104722355.45
12Δ5/21751.791165823.85.324102521954.95
12Σ+1/213971.751151824.65.578183924951.61
12Π1/216021.771161123.85.425150924050.91
12Π3/216241.780164824.95.446114423550.70

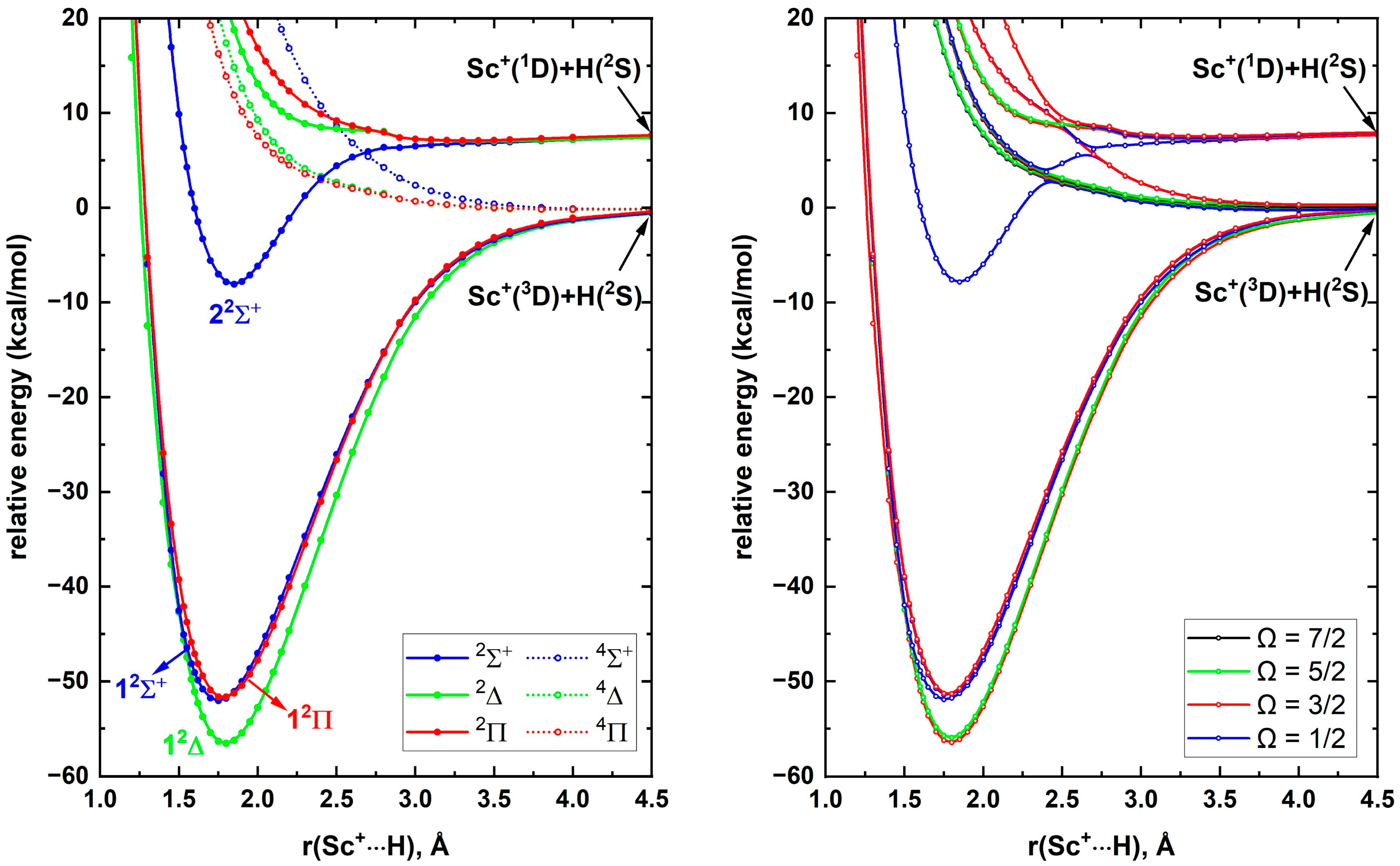
2.3. YH+

The ground state of Y+ is a 1S with 5s2 valence electron configuration in contrast to Sc+ which bears a 3D (3d14s1) ground electronic state [19]. Interestingly, the corresponding 1S (4s2) state of Sc+ is its fourth excited electronic state lying at 11,736.36 cm−1. However, the first three excited states of Y+ (3D; 4d15s1, 1D; 4d15s1, and 3F; 4d2) and the first three electronic states of Sc+ (3D; 3d14s1, 1D; 3d14s1, and 3F; 3d2) are similar [19]. Since the atomic spectra of Sc+ and Y+ are somewhat different, we expect the electronic spectra of YH+ and ScH+ to differ as well.
For the calculations of YH+, the AXZ [aug-cc-pVXZ (of H) cc-pVXZ-PP (of Y)] and AXZ-C [aug-cc-pVXZ (of H) cc-pwCVXZ-PP (of Y)] (X = Q, 5) basis sets were used with the energy-consistent relativistic pseudopotential (ECP28). It should be noted that the utilization of such ECPs for second row-transition metal species is common, especially to avoid convergence issues caused by inner electrons and to minimize the computational cost [27,28,29,30,31,32,33]. To investigate the electronic spectrum of YH+, here we have considered the Y+(1S)+H(2S), Y+(3D)+H(2S), and Y+(1D)+H(2S) reactions that produce 2Σ+, 4,2+, Π, Δ], and 2+, Π, Δ] molecular states of YH+. The A5Z-C-MRCI PECs of these electronic states of YH+ are given in Figure 4 (left panel). The ground state of YH+ is a 12Σ+ originating from the Y+(1S)+H(2S) ground state fragments. All doublet-spin states arising from the Y+(3D)+H(2S) are attractive while its quartet molecular states are repulsive, similar to the PECs of the Sc+(3D)+H(2S) case (Figure 1). The first and second excited states of YH+ (i.e., 12Δ and 12Π) smoothly dissociate to Y+(3D)+H(2S). The 22Σ+ of the same fragments undergoes an avoided crossing (around 2.6 Å) with the 2Σ+ PEC coming from the Y+(1D)+H(2S). Recall that the 22Σ+ of ScH+ originated from the Sc+(1D; 3d14s1)+H(2S), which further confirms the true origin (considering the avoided crossing) of YH+(22Σ+) as Y+(1D; 4d15s1)+H(2S). Overall, the first four electronic states of YH+ (12Σ+, 12Δ, 12Π, and 22Σ+) are bound with respect to the ground state fragments similar to the ScH+ case. As we expected earlier, the electronic spectra of ScH+ and YH+ are different, with the first two electronic states of ScH+ being 12Δ and 12Σ+ while they are opposite in order for YH+ (i.e., 12Σ+ and 12Δ).
The 12Σ+, 12Δ, 12Π, and 22Σ+ electronic states of YH+ bear similar single-reference electron configurations and NBO charges to those of ScH+ (i.e., 12Σ+: 1σ21, 12Δ: 1σ21, 12Π: 1σ21, and 22Σ+: 1σ21) (ESI Tables S1 and S4). The shapes of the CASSCF state average molecular orbitals resulting from these four states of YH+ are qualitatively similar to those of ScH+ (Figure 2). The NBO electron populations of 12Δ and 12Π of ScH+ and those of the YH+ are similar to each other. On the contrary, the electron populations of YH+(12Σ+, 22Σ+) and ScH+(12Σ+, 22Σ+) are slightly different (i.e., Y[5s0.944d0.43]H[1s1.58] and Sc[4s0.583d0.84]H[1s1.55] for 12Σ+ and Y[5s0.244d0.79]H[1s1.77] and Sc[4s0.473d0.59]H[1s1.73] for 22Σ+). This substantial difference between the electron population on the Y and Sc atoms is elucidated by their state-specific equilibrium Hartree–Fock (HF) molecular orbitals (Figure 5). Observe that the 2σ of YH+(12Σ+) is dominated by the 5s of Y, whereas 2σ of ScH+(12Σ+) is a clear hybrid of 3 d z 2 and 4s of Sc (Figure 5). On the other hand, the 3σ of ScH+(22Σ+) bears more s orbital character compared to the s orbital character of the 3σ of YH+(22Σ+) (Figure 5).
Similar to the ScH+ case, several theoretical approaches were utilized to determine the spectroscopic parameters of 12Σ+, 12Δ, 12Π, and 22Σ+ of YH+ (Table 4). Our CBS-fcFCI-δcore estimated that the re, ωe, and ωexe of the ground state of YH+ are 1.862 Å, 1688 cm−1, and 20.5 cm−1, respectively. The core electron correlation disregarded calculations predicting that the re and ωe of 12Σ+ are closer to the corresponding MCPF values reported by Pettersson et al. [16]. In all cases, the core electron correlation was found to shorten the re while increasing the ωe values [compare A5Z-CCSD(T) and A5Z-C-CCSD(T) values in Table 4]. All our core electron correlation accounted D0 (of 12Σ+) predictions are within the error bars of the experimental D0 reported by Sievers et al. (i.e., 61.11 ± 1.84 kcal/mol), which further substantiates the importance of the core electron correlation for gaining accurate predictions of transition metal diatomic species [34]. Our CBS-fcFCI-δcore theoretical approach provided the best D0 (i.e., 60.54 kcal/mol), which is only 0.57 kcal/mol larger than the experimental D0 of YH+ (Table 4) [34].
The spin–orbit states resulting from the first four electronic states of YH+ are illustrated in Figure 4 (right panel). There is no spin–orbit splitting for the 12Σ+ state of YH+. However, the spin–orbit splitting of both 12Δ and 12Π is substantial, especially compared to the splitting of both the 12Δ and 12Π of ScH+. Specifically, the Ω = 3/2 and Ω = 5/2 of 12Δ and Ω = 1/2 and Ω = 3/2 of 12Π of YH+ are separated by 492 and 263 cm−1 (ESI Table S5), while those splits of ScH+ are 175 and 27 cm−1, respectively. At equilibrium distances, the spin–orbit states of YH+ do not carry significant mixings (ESI Table S5), hence their spectroscopic parameters are either same or nearly identical to the spectroscopic parameters of corresponding electronic states (Table 4 and ESI Table S5). Similar to the ScH+ case, the CBS-fcFCI-δcore-δSO spectroscopic parameters of YH+ are provided for five spin–orbit states (Table 5).

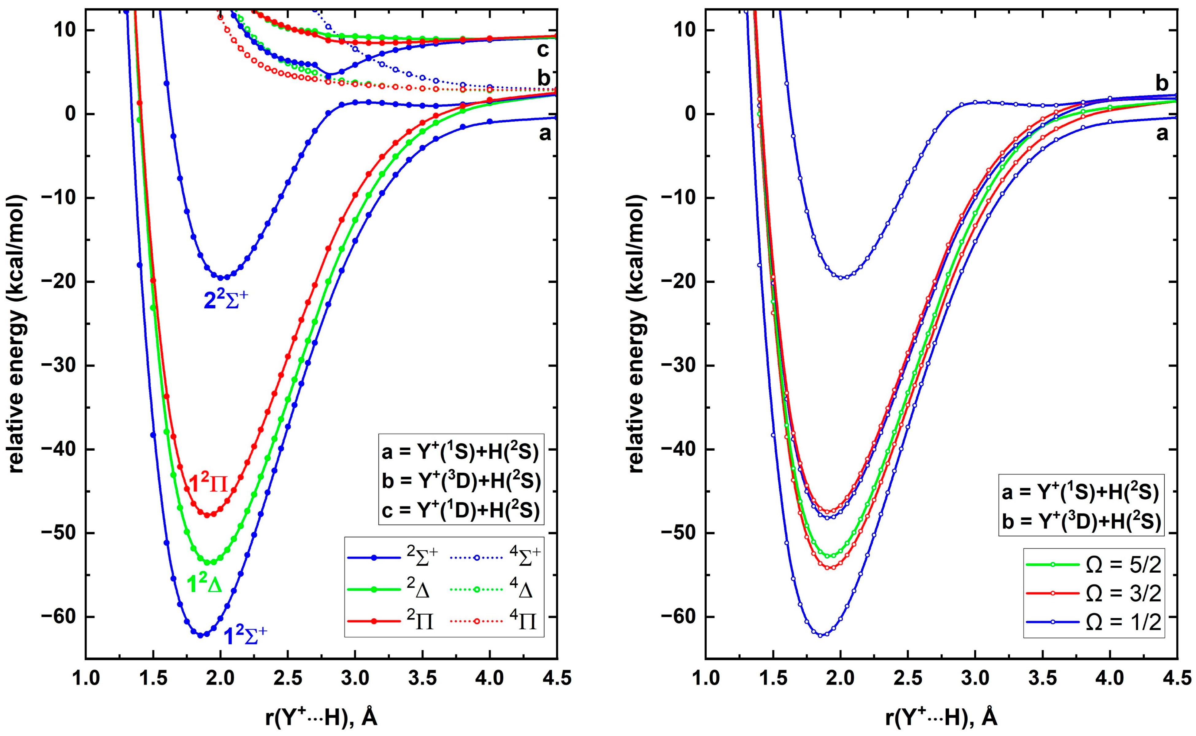
2.4. LaH+

Having obtained a better understanding of the electronic structures of ScH+ and YH+, next we shifted our attention to LaH+. The ground state of La+ is a 3F with 5d2 valence electron configuration. Sc+ and Y+ populated similar 3F(nd2) in their second and third excited states (at 4802–4988 cm−1 and 8003–8744 cm−1, respectively) [19]. The first two excited states of La+ (i.e., 1D; 5d2 and 3D; 5d16s1) lie very close to its ground state (at 1394.46 and 1895.15–3250.35 cm−1, respectively) with large spin–orbit splittings [19]. To study LaH+, as the first step, the reactions of the first three electronic states of La+ with H(2S) were studied. The AQZ-C-MRCI PECs of the 2,4, Π, Δ, Φ], 2+, Π, Δ], and 2,4+, Π, Δ] molecular states originating from La+(3F)+H(2S), La+(1D)+H(2S), and La+(3D)+H(2S) are given in Figure 6 (left panel). The ground electronic state of LaH+ is 12Δ, which smoothly dissociates to La+(3F)+H(2S). Similarly, the second excited state of LaH+ (i.e., 12Π) is a product of the same fragments. The first excited state of LaH+ (i.e., 12Σ+) dissociates to La+(1D)+H(2S), but displays an avoided crossing at ~3.75 Å with a 2Σ+ PEC resulting from La+(3D)+H(2S). Indeed, this 2Σ+ of La+(3D)+H(2S) turned out to be the third excited state of LaH+ (i.e., 22Σ+) (Figure 6, left panel). Several doublet and quartet spin PECs of the selected La+ + H reactions produce shallow minima that are bound with respect to the ground state fragments. Specifically, the fifth state of LaH+ is such a state (i.e., 4Σ-), with a 2.6 Å re and a 4.32 kcal/mol binding energy with respect to ground state fragments. We observed another 2Σ+ state stabilized energetically in between La+(1D)+H(2S) and La+(3D)+H(2S) asymptotes, which are plotted up to 2.8 Å (Figure 6, left panel). Overall, upon considering the first four electronic states, the third and fourth states of all LaH+, YH+, and ScH+ are 12Π and 22Σ+. While the ordering of the first two states of LaH+ and ScH+ is identical (12Δ and 12Σ+), the order is swapped in the YH+ case to 12Σ+ and 12Δ.
The charge distributions and electron populations of 12Δ, 12Σ+, 12Π, and 22Σ+ of LaH+ and YH+ are approximately similar to each other (compare the NBO findings listed in ESI Tables S4 and S6). The spectroscopic constants of LaH+ calculated under various quantum chemical approaches are given in Table 6. In line with the findings for ScH+ and YH+, core electron correlation was found to shorten the re values and increase the ωe values of LaH+ (Table 2, Table 4, and Table 6). Our CBS-fcFCI-δcore re, ωe, and ωexe values of LaH+ are 2.011 Å, 1521 cm−1, and 17.0 cm−1, respectively. Elkind et al.’s experimentally measured D0 of LaH+ is 57.19 ± 2.08 kcal/mol [17]. The CBS extrapolation increased the D0 of LaH+ (12Δ) by 0.51 kcal/mol, which is larger compared to the CBS effect of the ScH+ (12Δ) and YH+ (12Σ+) which are only 0.17 and 0.18 kcal/mol, respectively. Our largest level of theory without the spin–orbit coupling effects (i.e., CBS-fcFCI-δcore) predicted a D0 of 64.19 kcal/mol for LaH+ (12Δ) with respect to ground state fragments.
Since the spin–orbit coupling effects are dominant for lanthanides, next we evaluated the spin–orbit coupling of LaH+. The spin–orbit matrix of LaH+ was constructed by including all the electronic states given in the left panel of Figure 6. Due to complexity, only the spin–orbit curves arising from the PECs of the first four electronic states of LaH+ are illustrated in the right panel of Figure 6. The ground spin–orbit state of LaH+ is an Ω = 3/2 with a dominant 12Δ character (i.e., 98% 12Δ + 2% 12Π) (ESI Table S7). The spin–orbit effect included AQZ-C-MRCI D0 of LaH+ is 56.36 kcal/mol, which is in excellent agreement with Elkind et al.’s experimental D0 [17]. The spin–orbit coupling disregarded AQZ-C-MRCI D0 of LaH+ is 58.21 kcal/mol, hence we can identify a 1.85 kcal/mol spin–orbit effect for the D0 of LaH+. If we incorporate this spin–orbit correction into our CBS-fcFCI-δcore D0 of LaH+ (12Δ) then the D0 of LaH+ would be 62.34 kcal/mol, which is 3.07 kcal/mol larger than the upper bound of the experimental D0 reported by Elkind et al.’s D0 (Table 7). Large spin–orbit splittings were observed for the 12Δ (Ω = 3/2 and Ω = 5/2) and 12Π (Ω = 1/2 and Ω = 3/2) of LaH+ (Figure 6, right panel and ESI Table S7). Specifically, the aforementioned Ω states of the 12Δ and 12Π are energetically separated by 1042 and 488 cm−1, respectively (ESI Table S7). Compared to the corresponding splittings of YH+, they are 550 and 225 cm−1 larger, respectively. Among the studied Ω states, the third and fourth spin–orbit states of LaH+ (i.e., Ω = 1/2 at 1857 cm−1 and Ω = 1/2 at 3125 cm−1) carry the largest ΛS mixings (i.e., 93% 12Σ+ + 7% 12Π and 93% 12Π + 7% 12Σ+, respectively).

3. Computational Details

All internally contracted MRCI [35,36,37], CCSD(T) [38], and fcFCI [39,40] calculations were executed using the MOLPRO 2023.2 [41,42,43] suite of software. The Davidson relaxed correction (MRCI+Q) [44] implemented in MOLPRO was used to reduce the size extensivity errors of MRCI. The Breit–Pauli Hamiltonian (for Sc, ScH+, and LaH+) and the spin–orbit pseudopotential operator (for YH+) were used for spin–orbit calculations.
Initially, three sets of spin–orbit calculations were performed at the MRCI and MRCI+Q levels of theory to investigate the low-lying states of the Sc atom. For these calculations, CASSCF [45,46,47,48] reference wave functions of three electrons in nine orbitals (CAS[3,9]) and quintuple-ζ quality correlation-consistent basis sets were used. The nine active orbitals are the 4s, five 3d, and three 4p atomic orbitals of the Sc atom. Under the used D2h point group symmetry, these are 3ag (4s, 3 d z 2 , 3 d x 2 y 2 ), 1b3u (4px), 1b2u (4py), 1b1g (3dxy), 1b1u (4pz), 1b2g (3dxz), and 1b3g (3dyz) in symmetry. Specifically, the three sets of calculations of the Sc atom performed are as follows: (1) MRCI/aug-cc-pV5Z-DK (MRCISc) [49] (2) MRCI/aug-cc-pwCV5Z-DK (C-MRCISc) [49], and (3) MRCI+Q/aug-cc-pwCV5Z-DK (C-MRCI+QSc) [49]. In the first case, only the valence electrons were correlated at the MRCI level. In the second and third cases, all valence electrons and 3s23p6 core electrons were correlated.
For the calculations of diatomic species, the aug-cc-pVXZ (of H) [50], aug-cc-pVXZ-DK (of H) [50,51], cc-pVXZ-DK (of Sc) [49], cc-pwCVXZ-DK (of Sc) [49], cc-pVXZ-PP (of Y) [52], cc-pwCVXZ-PP (of Y) [52], cc-pVXZ-DK3 (of La) [53], and cc-pwCVXZ-DK3 (of La) [53] basis sets were used (X = T, Q, 5). The Douglas–Kroll basis sets were used with the third-order Douglas–Kroll–Hess Hamiltonian. Upon utilizing the AXZ- basis sets with MRCI, CCSD(T), and fcFCI, only the valence electrons of MH+ were correlated. In the AXZ-C- cases, all valence electrons and the core 3s23p6 of Sc, 4s24p6 of Y, and 5s25p64d10 of La were correlated. Note that the 28 inner electrons of Y (1s22s22p63s23p63d10) were replaced with ECP28.
The C2v point group symmetry was used for the calculations of diatomic MH+. For their MRCI calculations, CASSCF wave functions were provided. Specifically, the CASSCF wave functions of all MH+ were produced by placing 3 electrons in 10 orbitals [i.e., CAS(3,10)]. At the bond dissociation limit, these 10 orbitals correspond to the 1s atomic orbital of H atom and (n+1)s, five nd, and three (n+1)p atomic orbitals of Sc, Y, and La (n = 3, 4, and 5 for Sc, Y, and La, respectively). Under the applied C2v symmetry, these orbitals are 5a1 [1s of H and (n+1)s, n d z 2 , n d x 2 y 2 , and (n+1)pz of M], 2b1 [ndxz and (n+1)px of M], 2b2 [ndyz and (n+1)py of M], and 1a2 [ndxy of M].
Two MRCI potential energy profiles were constructed for ScH+ as a function of the Sc+···H distance. The first potential energy profile of ScH+ was constructed by including all PECs arising from Sc+(3D; 3d14s1)+H(2S), Sc+(1D; 3d14s1)+H(2S), Sc+(3F; 3d2)+H(2S), and Sc+(1D; 3d2)+H(2S) combinations at the A5Z-MRCI. The second MRCI potential energy profile of ScH+ was created only for the states resulting from the Sc+(3D; 3d14s1)+H(2S) and Sc+(1D; 3d14s1)+H(2S) at the A5Z-C-MRCI. At the A5Z-C-MRCI level, the spin–orbit coupling curves of ScH+ were also calculated. All electronic states resulting from Sc+(3D; 3d14s1)+H(2S) and Sc+(1D; 3d14s1)+H(2S) reactions were used to produce its spin–orbit matrix. To introduce the spin–free and spin–orbit potential energy curves of YH+ (at A5Z-C-MRCI), all the PECs stemming from Y+(1S)+H(2S), Y+(3D)+H(2S), and Y+(1D)+H(2S) combinations were considered. The spin–free and spin–orbit potential energy curves of LaH+ were produced at the AQZ-C-MRCI level by correlating all valence electrons of La and H and 5s25p64d10 of La. Here, we have considered all PECs originating from the La+(3F)+H(2S), La+(1D)+H(2S), and La+(3D)+H(2S) fragments.
CCSD(T) and fcFCI calculations constructed on top of the HF wavefunctions were also performed to calculate the PECs (around the equilibrium bond region) of a few low-lying electronic states of MH+. For these calculations, aforementioned AXZ- and AXZ-C- basis sets and the corresponding electron correlations were used. The AQZ-fcFCI and A5Z-fcFCI PECs of ScH+ and YH+ and the ATZ-fcFCI and AQZ-fcFCI PECs of LaH+ and their corresponding reference HF PECs were used to extrapolate the PECs to the complete basis set (CBS) limit [i.e., CBS-fcFCI].
The CBS extrapolation of the reference HF energies was carried out according to the scheme introduced by Pansini et al. [54]. Specifically, the static correlation energies were extrapolated to the CBS limit via the following:
E H F = E X i e β Χ ι E X j e β Χ j e β Χ i e β Χ j
where β (=1.62) is a universal parameter, and X i and X j are hierarchical numbers related to the cardinal numbers of the basis set [54,55]. The dynamic correlation energies of fcFCI were extrapolated using the unified-single-parameter-extrapolation approach via the following:
E c o r r = E X c o r r + α E X t o t X 3
where X is the hierarchical number (4.71 for ScH+ and YH+ and 3.68 for LaH+), and α is the fitted parameter at each M+-H distance [55,56]. Note that the aforementioned schemes were used for correlating HF and dynamic correlation energies separately since the rate of convergence of HF energy is significantly higher compared to the dynamic correlation energy [55].
To obtain more accurate results for MH+, the core electron correlation effects calculated at the CCSD(T) [i.e., Eδcore = EC-CCSD(T) − ECCSD(T)] were added to the CBS-fcFCI energies to determine the CBS-fcFCI-δcore PECs (i.e., ECBS-fcFCI-δcore = ECBS-fcFCI + Eδcore). The spin–orbit effects (δSO) calculated at the C-MRCI were introduced to the CBS-fcFCI-δcore PECs to calculate the CBS-fcFCI-δcore-δSO PECs. The MRCI, MRCI+Q, CCSD(T), fcFCI, CBS-fcFCI, CBS-fcFCI-δcore, and CBS-fcFCI-δcore-δSO PECs were used to calculate the re, Te, ωe, ωexe, Be, αe, and D ¯ e values of the MH+. The chemical bonding of the MH+ species was further investigated by performing natural bond orbital (NBO) population analysis using the NBO7 [57,58] code linked to MOLPRO.

4. Conclusions

In conclusion, the excited states of the Sc atom and potential energy profiles and several spectroscopic parameters of MH+ were calculated under various quantum chemical techniques conjoined with correlation-consistent basis sets. First, the excited states of the Sc atom were studied using the MRCISc, C-MRCISc, and C-MRCI+QSc approaches, and the core electron correlation was found to be vital for their proper description. Next, the full spin–free PECs of MH+ were calculated using MRCI theory. All these species bear three strongly attractive 12Δ, 12Σ+, and 12Π PECs that are bound with respect to the ground state fragments (by ~46–65 kcal/mol). The ground electronic states of ScH+ (12Δ), YH+ (12Σ+), and LaH+ (12Δ) smoothly dissociate to Sc+(3D)+H(2S), Y+(1S)+H(2S), and La+(3F)+H(2S) ground state fragments, respectively. According to the NBO analysis, these electronic states bear Sc+1.68H−0.68, Y+1.60H−0.60, and La+1.64H−0.64 charge localizations and Sc[4s0.163d1.16]H[1s1.66], Y[5s0.944d0.43]H[1s1.58], and La[6s0.055d1.29]H[1s1.63] electron populations, respectively. The first three excited electronic states of ScH+ and LaH+ are 12Σ+, 12Π, and 22Σ+ in order, whereas that of YH+ are 12Δ, 12Π, and 22Σ+. All of the first four electronic states of MH+ are dominantly single-reference with 1σ21 (12Δ), 1σ21 (12Σ+), 1σ21 (12Π), and 1σ21 (22Σ+) configurations. All these states of MH+ can be represented by the approximate M2+H ionic structure.
The spin–orbit coupling effects increased in the order of ScH+ < YH+ < LaH+. The spin–orbit ground states of ScH+, YH+, and LaH+ are 12Δ3/2, 12Σ+1/2, and 12Δ3/2, respectively. For these states, our most expensive theoretical approach that addressed the core electron correlations, spin–orbit coupling effects, and CBS extrapolation (i.e., CBS-fcFCI-δcore-δSO) predicted 55.45, 60.54, and 62.34 kcal/mol D0 values. Our CBS-fcFCI-δcore-δSO D0 values of ScH+ and YH+ are in excellent agreement with the corresponding experimental D0 values reported by the Armentrout group (i.e., 55.35 ± 2.31 kcal/mol [25] and 61.11 ± 1.84 kcal/mol [34]). The D0 of LaH+ predicted by the CBS-fcFCI-δcore-δSO is 3.07 kcal/mol larger than the upper bound of the experimental D0 reported by the Armentrout group (i.e., 57.19 ± 2.08 kcal/mol) [17]. The re, Te, ωe, ωexe, Be, αe, and D ¯ e values of MH+ are also reported. Overall, this work is expected to provide useful information and data for future experimental and theoretical spectroscopic investigations of the titled species, as well as for similar transition metal and lanthanide diatomic species.

Supplementary Materials

The following supporting information can be downloaded at: https://www.mdpi.com/article/10.3390/molecules30112435/s1, Table S1: Electron configurations and NBO findings of ScH+; Table S2: Spectroscopic constants and ΛS compositions of spin-orbit states of ScH+; Figure S1: A5Z-C-MRCI spin-orbit curves of ScH+; Table S3: Te, re, ωe, and ωexe of ScH+ at A5Z-C-MRCI and A5Z-C-MRCI+Q; Table S4: Electron configurations and NBO findings of YH+; Table S5: Spectroscopic constants and ΛS compositions of spin-orbit states of YH+; Table S6: Electron configurations and NBO findings of LaH+; Table S7: Spectroscopic constants and ΛS compositions of spin-orbit states of LaH+; Table S8: Upper bounds of the CBS and δcore uncertainties of re and D0 of MH+.

Funding

This research was funded by Los Alamos National Laboratory (LANL) Laboratory Directed Research and Development program Project No. 20240737PRD1.

Data Availability Statement

The original contributions presented in this study are included in the article/Supplementary Material. Further inquiries can be directed to the corresponding author.

Acknowledgments

This research used resources provided by the Los Alamos National Laboratory Institutional Computing Program, which is supported by the U.S. Department of Energy National Nuclear Security Administration under Contract No. 89233218CNA000001.

Conflicts of Interest

There are no conflicts to declare.

References

  1. Simoes, J.A.M.; Beauchamp, J.L. Transition metal-hydrogen and metal-carbon bond strengths: The keys to catalysis. Chem. Rev. 1990, 90, 629–688. [Google Scholar] [CrossRef]
  2. Melius, C.F. On the role of d electrons in chemisorption and catalysis on transition metal surfaces. Chem. Phys. Lett. 1976, 39, 287–290. [Google Scholar] [CrossRef]
  3. Ebert, H. Magneto-optical effects in transition metal systems. Rep. Prog. Phys. 1996, 59, 1665–1735. [Google Scholar] [CrossRef]
  4. Gerhard, L.; Yamada, T.K.; Balashov, T.; Takacs, A.F.; Wesselink, R.J.; Dane, M.; Fechner, M.; Ostanin, S.; Ernst, A.; Mertig, I.; et al. Magnetoelectric coupling at metal surfaces. Nat. Nanotechnol. 2010, 5, 792–797. [Google Scholar] [CrossRef]
  5. Kurzen, H.; Bovigny, L.; Bulloni, C.; Daul, C. Electronic structure and magnetic properties of lanthanide 3+ cations. Chem. Phys. Lett. 2013, 574, 129–132. [Google Scholar] [CrossRef][Green Version]
  6. Twilton, J.; Le, C.; Zhang, P.; Shaw, M.H.; Evans, R.W.; MacMillan, D.W.C. The merger of transition metal and photocatalysis. Nat. Rev. Chem. 2017, 1, 0052. [Google Scholar] [CrossRef]
  7. Perutz, R.N.; Procacci, B. Photochemistry of Transition Metal Hydrides. Chem. Rev. 2016, 116, 8506–8544. [Google Scholar] [CrossRef]
  8. Vitova, T.; Roesky, P.W.; Dehnen, S. Open questions on bonding involving lanthanide atoms. Commun. Chem. 2022, 5, 12. [Google Scholar] [CrossRef]
  9. Klopčič, N.; Grimmer, I.; Winkler, F.; Sartory, M.; Trattner, A. A review on metal hydride materials for hydrogen storage. J. Energy Storage 2023, 72, 108456. [Google Scholar] [CrossRef]
  10. Bernath, P. Metal Hydrides in Astronomy. AIP Conf. Proceeding 2006, 855, 143–148. [Google Scholar]
  11. Armentrout, P.B.; Beauchamp, J.L. The chemistry of atomic transition-metal ions: Insight into fundamental aspects of organometallic chemistry. Acc. Chem. Res. 1989, 22, 315–321. [Google Scholar] [CrossRef]
  12. Lototskyy, M.V.; Tarasov, B.P.; Yartys, V.A. Gas-phase applications of metal hydrides. J. Energy Storage 2023, 72, 108165. [Google Scholar] [CrossRef]
  13. Tolbert, M.A.; Beauchamp, J.L. Activation of carbon-hydrogen and carbon-carbon bonds by transition-metal ions in the gas phase. Exhibition of unique reactivity by scandium ions. J. Am. Chem. Soc. 1984, 106, 8117–8122. [Google Scholar] [CrossRef]
  14. Alvarado-Swaisgood, A.E.; Harrison, J.F. Electronic and geometric structures of ScH+ and ScH2+. J. Phys. Chem. 1985, 89, 5198–5202. [Google Scholar] [CrossRef]
  15. Elkind, J.L.; Armentrout, P.B. Transition-metal hydride bond energies: First and second row. Inorg. Chem. 1986, 25, 1078–1080. [Google Scholar] [CrossRef]
  16. Pettersson, L.G.M.; Bauschlicher, C.W.; Langhoff, S.R.; Partridge, H. Positive ions of the first- and second-row transition metal hydrides. J. Chem. Phys. 1987, 87, 481–492. [Google Scholar] [CrossRef]
  17. Elkind, J.L.; Sunderlin, L.S.; Armentrout, P.B. Periodic Trends in Chemical Reactivity: Reactions of Sc+, Y+, La+, and Lu+ with H2, D2, and HD. J. Phys. Chem. 1989, 93, 3151–3158. [Google Scholar] [CrossRef]
  18. Das, K.K.; Balasubramanian, K. Potential energy surfaces of LaH+ and LaH+2. J. Chem. Phys. 1991, 94, 3722–3729. [Google Scholar] [CrossRef]
  19. Kramida, A.; Ralchenko, Y.; Reader, J. NISTAtomic Spectra Database (Version 53) National Institute of Standards Technology Gaithersburg, M.D. 2015. Available online: http://physics.nist.gov/asd (accessed on 24 May 2025).
  20. Knizia, G. Intrinsic Atomic Orbitals: An Unbiased Bridge between Quantum Theory and Chemical Concepts. J. Chem. Theory Comput. 2013, 9, 4834–4843. [Google Scholar] [CrossRef]
  21. Ariyarathna, I.R.; Leiding, J.A.; Neukirch, A.J.; Zammit, M.C. Ground and Excited Electronic Structure Analysis of FeH with Correlated Wave Function Theory and Density Functional Approximations. J. Phys. Chem. A 2024, 128, 9412–9425. [Google Scholar] [CrossRef]
  22. Ariyarathna, I.R.; Leiding, J.A.; Neukirch, A.J.; Zammit, M.C. Ab initio electronic structures and total internal partition sums of FeH+/2. Phys. Chem. Chem. Phys. 2025, 27, 1402–1414. [Google Scholar] [CrossRef] [PubMed]
  23. Claveau, E.E.; Miliordos, E. Electronic structure of the dicationic first row transition metal oxides. Phys. Chem. Chem. Phys. 2021, 23, 21172–21182. [Google Scholar] [CrossRef] [PubMed]
  24. Miliordos, E.; Mavridis, A. Electronic structure and bonding of the early 3d-transition metal diatomic oxides and their ions: ScO0,+/-, TiO0,+/-, CrO0,+/-, and MnO0,+/-. J. Phys. Chem. A 2010, 114, 8536–8572. [Google Scholar] [CrossRef] [PubMed]
  25. Armentrout, P.B.; Sunderlin, L.S. Transition Metal Hydrides; VCH Publishers: New York, NY, USA, 1992. [Google Scholar]
  26. Cai, Y.; Sun, X.; Huang, X. Transition metal hydrides MH+/0/− (M=Sc−Zn): Benchmark study and periodic trends. Comput. Theor. Chem. 2018, 1134, 15–21. [Google Scholar] [CrossRef]
  27. Ariyarathna, I.R.; Miliordos, E. Ab initio investigation of the ground and excited states of TcO+ and RhO+. J. Quant. Spectrosc. Radiat. Transf. 2022, 280, 108074. [Google Scholar] [CrossRef]
  28. Ariyarathna, I.R.; Miliordos, E. Radical abstraction vs. oxidative addition mechanisms for the activation of the S-H, O-H, and C-H bonds using early transition metal oxides. Phys. Chem. Chem. Phys. 2021, 23, 1437–1442. [Google Scholar] [CrossRef]
  29. Ariyarathna, I.R.; Miliordos, E. Ab initio investigation of the ground and excited states of ZrO+ and NbO+. J. Quant. Spectrosc. Radiat. Transf. 2020, 255, 107265. [Google Scholar] [CrossRef]
  30. Ariyarathna, I.R.; Almeida, N.M.S.; Miliordos, E. Ab initio investigation of the ground and excited states of RuO+,0,- and their reaction with water. Phys. Chem. Chem. Phys. 2020, 22, 16072–16079. [Google Scholar] [CrossRef]
  31. Almeida, N.M.S.; Ariyarathna, I.R.; Miliordos, E. O-H and C-H Bond Activations of Water and Methane by RuO2+ and (NH3)RuO2+: Ground and Excited States. J. Phys. Chem. A 2019, 123, 9336–9344. [Google Scholar] [CrossRef]
  32. Almeida, N.M.S.; Ariyarathna, I.R.; Miliordos, E. Ab initio calculations on the ground and excited electronic states of neutral and charged palladium monoxide, PdO0,+,-. Phys. Chem. Chem. Phys. 2018, 20, 14578–14586. [Google Scholar] [CrossRef]
  33. Ariyarathna, I.R.; Miliordos, E. Ab initio investigation of the ground and excited states of MoO+,2+,- and their catalytic strength on water activation. Phys. Chem. Chem. Phys. 2018, 20, 12278–12287. [Google Scholar] [CrossRef] [PubMed]
  34. Sievers, M.R.; Chen, Y.-M.; Elkind, J.L.; Armentrout, P.B. Reactions of Y+, Zr+, Nb+, and Mo+ with H2, HD, and D2. J. Phys. Chem. 1996, 100, 54–62. [Google Scholar] [CrossRef]
  35. Werner, H.-J.; Knowles, P.J. An efficient internally contracted multiconfiguration–reference configuration interaction method. J. Chem. Phys. 1988, 89, 5803–5814. [Google Scholar] [CrossRef]
  36. Knowles, P.J.; Werner, H.-J. An efficient method for the evaluation of coupling coefficients in configuration interaction calculations. Chem. Phys. Lett. 1988, 145, 514–522. [Google Scholar] [CrossRef]
  37. Shamasundar, K.R.; Knizia, G.; Werner, H.J. A new internally contracted multi-reference configuration interaction method. J. Chem. Phys. 2011, 135, 054101. [Google Scholar] [CrossRef]
  38. Raghavachari, K.; Trucks, G.W.; Pople, J.A.; Head-Gordon, M. A fifth-order perturbation comparison of electron correlation theories. Chem. Phys. Lett. 1989, 157, 479–483. [Google Scholar] [CrossRef]
  39. Knowles, P.J.; Handy, N.C. A new determinant-based full configuration interaction method. Chem. Phys. Lett. 1984, 111, 315–321. [Google Scholar] [CrossRef]
  40. Knowles, P.J.; Handy, N.C. A determinant based full configuration interaction program. Comput. Phys. Commun. 1989, 54, 75–83. [Google Scholar] [CrossRef]
  41. Werner, H.J.; Knowles, P.J.; Knizia, G.; Manby, F.R.; Schütz, M. Molpro: A general-purpose quantum chemistry program package. WIREs Comput. Mol. Sci. 2011, 2, 242–253. [Google Scholar] [CrossRef]
  42. Werner, H.J.; Knowles, P.J.; Manby, F.R.; Black, J.A.; Doll, K.; Hesselmann, A.; Kats, D.; Kohn, A.; Korona, T.; Kreplin, D.A.; et al. The Molpro quantum chemistry package. J. Chem. Phys. 2020, 152, 144107. [Google Scholar] [CrossRef]
  43. Werner, H.-J.; Knowles, P.J.; Knizia, G.; Manby, F.R.; Schütz, M. MOLPRO, Version 2023.2, a Package of ab Initio Programs. Available online: https://www.molpro.net (accessed on 24 May 2025).
  44. Langhoff, S.R.; Davidson, E.R. Configuration interaction calculations on the nitrogen molecule. Int. J. Quantum Chem. 1974, 8, 61–72. [Google Scholar] [CrossRef]
  45. Werner, H.-J.; Knowles, P.J. A second order multiconfiguration SCF procedure with optimum convergence. J. Chem. Phys. 1985, 82, 5053–5063. [Google Scholar] [CrossRef]
  46. Knowles, P.J.; Werner, H.-J. An efficient second-order MC SCF method for long configuration expansions. Chem. Phys. Lett. 1985, 115, 259–267. [Google Scholar] [CrossRef]
  47. Kreplin, D.A.; Knowles, P.J.; Werner, H.J. Second-order MCSCF optimization revisited. I. Improved algorithms for fast and robust second-order CASSCF convergence. J. Chem. Phys. 2019, 150, 194106. [Google Scholar] [CrossRef]
  48. Kreplin, D.A.; Knowles, P.J.; Werner, H.J. MCSCF optimization revisited. II. Combined first- and second-order orbital optimization for large molecules. J. Chem. Phys. 2020, 152, 074102. [Google Scholar] [CrossRef]
  49. Balabanov, N.B.; Peterson, K.A. Systematically convergent basis sets for transition metals. I. All-electron correlation consistent basis sets for the 3d elements Sc-Zn. J. Chem. Phys. 2005, 123, 64107. [Google Scholar] [CrossRef]
  50. Dunning, T.H. Gaussian basis sets for use in correlated molecular calculations. I. The atoms boron through neon and hydrogen. J. Chem. Phys. 1989, 90, 1007–1023. [Google Scholar] [CrossRef]
  51. de Jong, W.A.; Harrison, R.J.; Dixon, D.A. Parallel Douglas–Kroll energy and gradients in NWChem: Estimating scalar relativistic effects using Douglas–Kroll contracted basis sets. J. Chem. Phys. 2001, 114, 48–53. [Google Scholar] [CrossRef]
  52. Peterson, K.A.; Figgen, D.; Dolg, M.; Stoll, H. Energy-consistent relativistic pseudopotentials and correlation consistent basis sets for the 4d elements Y-Pd. J. Chem. Phys. 2007, 126, 124101. [Google Scholar] [CrossRef]
  53. Lu, Q.; Peterson, K.A. Correlation consistent basis sets for lanthanides: The atoms La-Lu. J. Chem. Phys. 2016, 145, 054111. [Google Scholar] [CrossRef]
  54. Pansini, F.N.N.; Neto, A.C.; Varandas, A.J.C. Extrapolation of Hartree–Fock and multiconfigsuration self-consistent-field energies to the complete basis set limit. Theor. Chem. Acc. 2016, 135, 261. [Google Scholar] [CrossRef]
  55. Vasilyev, V. Online complete basis set limit extrapolation calculator. Comput. Theor. Chem. 2017, 1115, 1–3. [Google Scholar] [CrossRef]
  56. Pansini, F.N.N.; Neto, A.C.; Varandas, A.J.C. On the performance of various hierarchized bases in extrapolating the correlation energy to the complete basis set limit. Chem. Phys. Lett. 2015, 641, 90–96. [Google Scholar] [CrossRef]
  57. Glendening, E.D.; Landis, C.R.; Weinhold, F. NBO 7.0: New vistas in localized and delocalized chemical bonding theory. J. Comput. Chem. 2019, 40, 2234–2241. [Google Scholar] [CrossRef]
  58. Glendening, E.D.; Badenhoop, J.K.; Reed, A.E.; Carpenter, J.E.; Bohmann, J.A.; Morales, C.M.; Karafiloglou, P.; Landis, C.R.; Weinhold, F. Natural Bond Order 7.0; Theoretical Chemistry Institute, University of Wisconsin: Madison, WI, USA, 2021. [Google Scholar]
Figure 1. A5Z-MRCI PECs of ScH+ as a function of Sc+···H distance [r(Sc+···H), Å]. The relative energies are referenced to the Sc+(3D) + H(2S) fragments placed at 200 Å, which is set to 0 kcal/mol. In all reactants the H atom is in its ground 2S state.
Figure 1. A5Z-MRCI PECs of ScH+ as a function of Sc+···H distance [r(Sc+···H), Å]. The relative energies are referenced to the Sc+(3D) + H(2S) fragments placed at 200 Å, which is set to 0 kcal/mol. In all reactants the H atom is in its ground 2S state.
Molecules 30 02435 g001
Figure 2. Select CASSCF state average molecular orbitals of ScH+. The Sc and H atoms of each orbital plot are shown in magenta and gray spheres, respectively. The two phases of orbitals are given in blue and green. The rotations of 1πy and 1 δ x 2 y 2 orbitals by 90o and 45o along the z-axis (Sc–H bond) produce the contours of 1πx and 1δxy, respectively. A threshold of 90% was used to plot the contours. IboView [20] was used to produce molecular orbitals.
Figure 2. Select CASSCF state average molecular orbitals of ScH+. The Sc and H atoms of each orbital plot are shown in magenta and gray spheres, respectively. The two phases of orbitals are given in blue and green. The rotations of 1πy and 1 δ x 2 y 2 orbitals by 90o and 45o along the z-axis (Sc–H bond) produce the contours of 1πx and 1δxy, respectively. A threshold of 90% was used to plot the contours. IboView [20] was used to produce molecular orbitals.
Molecules 30 02435 g002
Figure 4. A5Z-C-MRCI spin–free PECs (left panel) and spin–orbit curves (right panel) of YH+ as a function of Y+···H distance [r(Y+···H), Å]. In the left plot the relative energies are referenced to the Y+(1S) + H(2S) fragments placed at 200 Å, which is set to 0 kcal/mol, whereas, in the right plot the relative energies are with respect to the lowest energy spin–orbit state at 200 Å.
Figure 4. A5Z-C-MRCI spin–free PECs (left panel) and spin–orbit curves (right panel) of YH+ as a function of Y+···H distance [r(Y+···H), Å]. In the left plot the relative energies are referenced to the Y+(1S) + H(2S) fragments placed at 200 Å, which is set to 0 kcal/mol, whereas, in the right plot the relative energies are with respect to the lowest energy spin–orbit state at 200 Å.
Molecules 30 02435 g004
Figure 5. Valence HF molecular orbitals of 12Σ+ and 22Σ+ states of ScH+ and YH+. The Sc, Y, and H atoms of each orbital plot are shown in magenta, blue, and gray spheres, respectively. The two phases of orbitals are given in blue and green. A threshold of 90% was used to plot the contours.
Figure 5. Valence HF molecular orbitals of 12Σ+ and 22Σ+ states of ScH+ and YH+. The Sc, Y, and H atoms of each orbital plot are shown in magenta, blue, and gray spheres, respectively. The two phases of orbitals are given in blue and green. A threshold of 90% was used to plot the contours.
Molecules 30 02435 g005
Figure 6. AQZ-C-MRCI spin–free PECs (left panel) and spin–orbit curves (right panel) of LaH+ as a function of La+···H distance [r(La+···H), Å]. In the left plot the relative energies are referenced to the La+(3F) + H(2S) fragments placed at 200 Å, which is set to 0 kcal/mol, whereas, in the right plot the relative energies are with respect to the lowest energy spin–orbit state at 200 Å.
Figure 6. AQZ-C-MRCI spin–free PECs (left panel) and spin–orbit curves (right panel) of LaH+ as a function of La+···H distance [r(La+···H), Å]. In the left plot the relative energies are referenced to the La+(3F) + H(2S) fragments placed at 200 Å, which is set to 0 kcal/mol, whereas, in the right plot the relative energies are with respect to the lowest energy spin–orbit state at 200 Å.
Molecules 30 02435 g006
Table 1. Excitation energies (cm−1) of several low-lying states of the Sc atom.
Table 1. Excitation energies (cm−1) of several low-lying states of the Sc atom.
ConfigurationTermJExperiment aMRCISc bC-MRCISc cC-MRCI+QSc c
[Ar]3d14s22D3/20.0000
5/2168.3182193221
[Ar]3d24s1 4F3/211,520.014,36212,21612,257
5/211,557.714,40312,26112,304
7/211,610.214,45912,32712,370
9/211,677.314,53312,41612,470
[Ar]3d24s12F5/214,926.116,90415,92715,783
7/215,041.917,02616,06515,927
[Ar]3d14s14p14Fo3/215,672.614,55415,36415,747
5/215,756.514,72615,45215,835
7/215,881.714,78515,57415,966
9/216,026.614,91915,72116,116
[Ar]3d14s14p141/216,009.714,79116,13616,131
3/216,021.814,84916,18516,194
5/216,141.014,91516,25516,258
7/216,210.814,99316,34216,338
[Ar]3d14s14p125/216,022.714,61015,93016,081
3/216,096.914,72915,95516,106
a Experimental values are from Ref. [19]. b Only valence electrons of Sc are correlated. c All valence electrons and 3s23p6 core electrons of Sc are correlated.
Table 4. Adiabatic excitation energy (Te, cm−1), bond length (re, Å), harmonic vibrational frequency (ωe, cm−1), anharmonicity (ωexe, cm−1), equilibrium rotational constant (Be, cm−1), anharmonic correction to the rotational constant (αe, cm−1), centrifugal distortion constant ( D ¯ e, cm−1), and the bond dissociation energies with respect to the Y+(1S; 5s2)+H(2S) fragments (D0, kcal/mol) of the first four electronic states of YH+.
Table 4. Adiabatic excitation energy (Te, cm−1), bond length (re, Å), harmonic vibrational frequency (ωe, cm−1), anharmonicity (ωexe, cm−1), equilibrium rotational constant (Be, cm−1), anharmonic correction to the rotational constant (αe, cm−1), centrifugal distortion constant ( D ¯ e, cm−1), and the bond dissociation energies with respect to the Y+(1S; 5s2)+H(2S) fragments (D0, kcal/mol) of the first four electronic states of YH+.
StateMethod aTereωeωexeBeαe ×10−4 D ¯ e ×10−6D0
12Σ+CBS-fcFCI-δcore1.862168820.54.88191816360.54
CBS-fcFCI1.895166120.04.71385815258.27
A5Z-fcFCI1.895166120.14.71285815258.09
AQZ-fcFCI1.895166120.14.70985715257.85
A5Z-C-CCSD(T)1.861169020.44.88291816360.25
A5Z-CCSD(T)1.894166219.94.71585715257.98
A5Z-C-MRCI+Q1.861169220.84.88593116260.09
A5Z-C-MRCI1.860169020.34.88791516459.82
MCPF [16]1.8921643 59.4
Experiment [34] 61.11 ± 1.84
12ΔCBS-fcFCI-δcore31621.917159220.04.60387815451.53
CBS-fcFCI35191.954156120.04.43082714348.29
A5Z-fcFCI35251.954156020.04.42982914348.10
AQZ-fcFCI35301.955155920.04.42583014347.85
A5Z-C-CCSD(T)31621.917159420.34.60388115351.25
A5Z-CCSD(T)35181.954156019.34.43082814348.00
A5Z-C-MRCI+Q31811.916159220.24.60689515451.05
A5Z-C-MRCI30271.920158820.24.59184415951.22
MCPF [16]30581.9541546
12ΠCBS-fcFCI-δcore49621.905157320.34.66093816446.42
CBS-fcFCI50851.942154220.14.48788415243.84
A5Z-fcFCI51021.942154020.04.48488415243.61
AQZ-fcFCI51201.943153920.04.48088615243.32
A5Z-C-CCSD(T)49981.905157520.34.66093816346.03
A5Z-CCSD(T)51201.942154220.14.48688715243.45
A5Z-C-MRCI+Q51101.904156520.34.66595216445.55
A5Z-C-MRCI50141.910156420.94.63795816445.56
22Σ+A5Z-C-MRCI+Q15,2262.010141520.24.18895014716.71
A5Z-C-MRCI14,9142.015141420.44.16894114417.33
a The CASSCF wave functions of the A5Z-C-MRCI/A5Z-C-MRCI+Q calculations were produced by averaging all states given in Figure 4 (left panel).
Table 5. CBS-fcFCI-δcore-δSO adiabatic excitation energy (Te, cm−1), bond length (re, Å), harmonic vibrational frequency (ωe, cm−1), anharmonicity (ωexe, cm−1), equilibrium rotational constant (Be, cm−1), anharmonic correction to the rotational constant (αe, cm−1), centrifugal distortion constant ( D ¯ e, cm−1), and bond energies (D0, kcal/mol) of the first five spin–orbit states of YH+.
Table 5. CBS-fcFCI-δcore-δSO adiabatic excitation energy (Te, cm−1), bond length (re, Å), harmonic vibrational frequency (ωe, cm−1), anharmonicity (ωexe, cm−1), equilibrium rotational constant (Be, cm−1), anharmonic correction to the rotational constant (αe, cm−1), centrifugal distortion constant ( D ¯ e, cm−1), and bond energies (D0, kcal/mol) of the first five spin–orbit states of YH+.
StateTereωeωexeBeαe ×10−4 D ¯ e ×10−6D0
12Σ+1/21.862168820.54.88291816360.54
12Δ3/229481.917159220.14.60288015452.24
12Δ5/234401.917158420.14.59788015550.83
12Π1/248491.906157320.44.65894016346.85
12Π3/251111.905157220.54.66193816446.10
Table 6. Adiabatic excitation energy (Te, cm−1), bond length (re, Å), harmonic vibrational frequency (ωe, cm−1), anharmonicity (ωexe, cm−1), equilibrium rotational constant (Be, cm−1), anharmonic correction to the rotational constant (αe, cm−1), centrifugal distortion constant ( D ¯ e, cm−1), and the bond dissociation energies with respect to the La+(3F; 5d2)+H(2S) fragments (D0, kcal/mol) of the first four electronic states of LaH+.
Table 6. Adiabatic excitation energy (Te, cm−1), bond length (re, Å), harmonic vibrational frequency (ωe, cm−1), anharmonicity (ωexe, cm−1), equilibrium rotational constant (Be, cm−1), anharmonic correction to the rotational constant (αe, cm−1), centrifugal distortion constant ( D ¯ e, cm−1), and the bond dissociation energies with respect to the La+(3F; 5d2)+H(2S) fragments (D0, kcal/mol) of the first four electronic states of LaH+.
StateMethod aTereωeωexeBeαe ×10−4 D ¯ e ×10−6D0
12ΔCBS-fcFCI-δcore2.011152117.04.16670612564.19
CBS-fcFCI2.064147915.93.95665011364.65
AQZ-fcFCI2.063147916.13.95764511364.14
ATZ-fcFCI2.063147816.13.95863211463.71
AQZ-C-CCSD(T)2.010152216.94.16969312563.55
AQZ-CCSD(T)2.063148216.53.95964911464.02
AQZ-C-MRCI+Q2.013151615.64.16088212661.88
AQZ-C-MRCI2.022149914.94.12277712858.21
Experiment [17] 57.19 ± 2.08
12Σ+CBS-fcFCI-δcore13631.975155817.94.32074513360.24
CBS-fcFCI13022.026152417.84.10770311960.93
AQZ-fcFCI12982.025152317.84.11069211960.43
ATZ-fcFCI12822.024152117.74.11372012160.04
AQZ-C-CCSD(T)13641.973155817.94.32675913359.60
AQZ-CCSD(T)13062.024152417.74.11272811960.29
AQZ-C-MRCI+Q13811.977155618.14.31256913557.94
AQZ-C-MRCI14211.987154218.74.26868313354.12
12ΠCBS-fcFCI-δcore19371.991151217.34.25172213458.66
CBS-fcFCI17022.045147216.44.03068212059.85
AQZ-fcFCI17372.044147116.34.03166412159.24
ATZ-fcFCI17712.044146716.34.03169312258.72
AQZ-C-CCSD(T)20031.989151316.74.25470713457.83
AQZ-CCSD(T)17672.044147316.24.03467312159.04
AQZ-C-MRCI+Q24171.993151817.04.24373312855.04
AQZ-C-MRCI27712.006149718.04.18573513650.36
22Σ+AQZ-C-MRCI+Q16,8822.144138526.13.66648011413.76
AQZ-C-MRCI16,9822.163135228.03.5994821099.81
a The CASSCF wave functions of the AQZ-C-MRCI/AQZ-C-MRCI+Q calculations were produced by averaging all states given in Figure 6 (left panel).
Table 7. CBS-fcFCI-δcore-δSO adiabatic excitation energy (Te, cm−1), bond length (re, Å), harmonic vibrational frequency (ωe, cm−1), anharmonicity (ωexe, cm−1), equilibrium rotational constant (Be, cm−1), anharmonic correction to the rotational constant (αe, cm−1), centrifugal distortion constant ( D ¯ e, cm−1), and bond energies (D0, kcal/mol) of the first five spin–orbit states of LaH+.
Table 7. CBS-fcFCI-δcore-δSO adiabatic excitation energy (Te, cm−1), bond length (re, Å), harmonic vibrational frequency (ωe, cm−1), anharmonicity (ωexe, cm−1), equilibrium rotational constant (Be, cm−1), anharmonic correction to the rotational constant (αe, cm−1), centrifugal distortion constant ( D ¯ e, cm−1), and bond energies (D0, kcal/mol) of the first five spin–orbit states of LaH+.
ΩTereωeωexeBeαe ×10−4 D ¯ e ×10−6D0
12Δ3/202.010152017.04.16875812462.34
12Δ5/210412.010152216.84.16970912759.36
12Σ+1/218001.977154818.14.30973413457.08
12Π1/222891.989151615.74.25672813455.80
12Π3/227791.990151017.94.25075013454.40
Disclaimer/Publisher’s Note: The statements, opinions and data contained in all publications are solely those of the individual author(s) and contributor(s) and not of MDPI and/or the editor(s). MDPI and/or the editor(s) disclaim responsibility for any injury to people or property resulting from any ideas, methods, instructions or products referred to in the content.

Share and Cite

MDPI and ACS Style

Ariyarathna, I.R. An Ab Initio Electronic Structure Investigation of the Ground and Excited States of ScH+, YH+, and LaH+. Molecules 2025, 30, 2435. https://doi.org/10.3390/molecules30112435

AMA Style

Ariyarathna IR. An Ab Initio Electronic Structure Investigation of the Ground and Excited States of ScH+, YH+, and LaH+. Molecules. 2025; 30(11):2435. https://doi.org/10.3390/molecules30112435

Chicago/Turabian Style

Ariyarathna, Isuru R. 2025. "An Ab Initio Electronic Structure Investigation of the Ground and Excited States of ScH+, YH+, and LaH+" Molecules 30, no. 11: 2435. https://doi.org/10.3390/molecules30112435

APA Style

Ariyarathna, I. R. (2025). An Ab Initio Electronic Structure Investigation of the Ground and Excited States of ScH+, YH+, and LaH+. Molecules, 30(11), 2435. https://doi.org/10.3390/molecules30112435

Article Metrics

Back to TopTop