Probing the Interaction of Diester Internal Donors (ID) with AlEt3 on Ziegler-Natta Surfaces: A Comparison Between Binary (MgCl2/ID) and Ternary (MgCl2/ID/TiCl4) Formulations
Abstract
1. Introduction
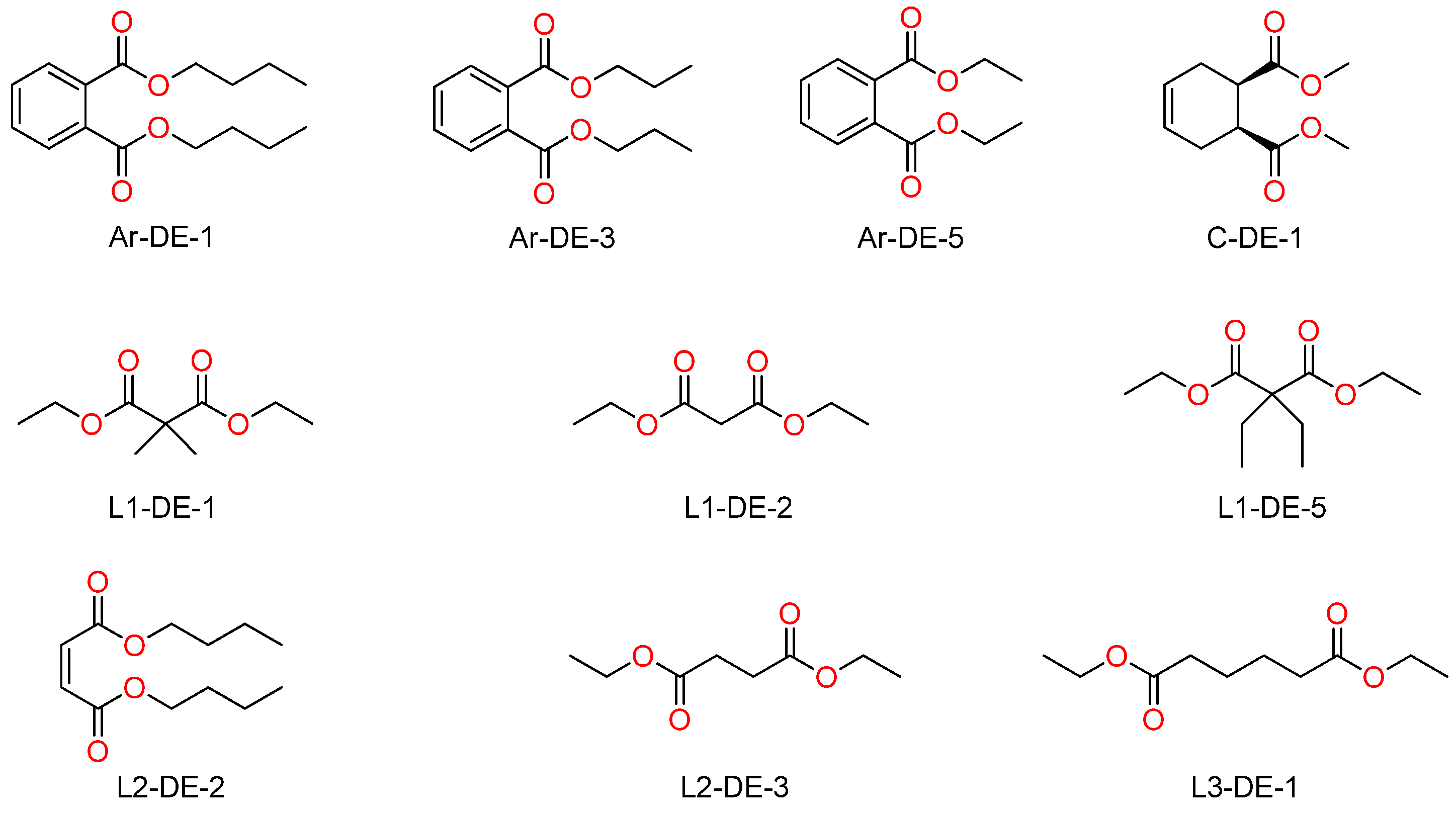
2. Results and Discussion
3. Materials and Methods
4. Conclusions
Author Contributions
Funding
Institutional Review Board Statement
Informed Consent Statement
Data Availability Statement
Acknowledgments
Conflicts of Interest
References
- Cecchin, G.; Morini, G.; Piemontesi, F.; Seidel, A. Ziegler-Natta Catalysts. In Kirk-Othmer Encyclopedia of Chemical Technology; Wiley-Interscience: Hoboken, NJ, USA, 2007; Volume 26. [Google Scholar]
- Antinucci, G.; Cipullo, R.; Busico, V. Imagine Polypropylene. Nat. Catal. 2023, 6, 456–457. [Google Scholar] [CrossRef]
- Pasquini, N. Polypropylene Handbook, 2nd ed.; Hanser Publishers: Munich, Germany, 2005. [Google Scholar]
- Soga, K.; Shiono, T. Ziegler-Natta Catalysts for Olefin Polymerizations. Prog. Polym. Sci. 1997, 22, 1503–1546. [Google Scholar] [CrossRef]
- Albizzati, E.; Giannini, U.; Morini, G.; Galimberti, M.; Barino, L.; Scordamaglia, R. Recent Advances in Propylene Polymerization with MgCl2 Supported Catalysts. Macromol. Symp. 1995, 89, 73–89. [Google Scholar] [CrossRef]
- Noristi, L.; Barbè, P.C.; Baruzzi, G. Effect of the Internal/External Donor Pair in High-Yield Catalysts for Propylene Polymerization, 1. Catalyst-Cocatalyst Interactions. Die Makromol. Chem. 1991, 192, 1115–1127. [Google Scholar] [CrossRef]
- Morini, G.; Albizzati, E.; Balbontin, G.; Mingozzi, I.; Sacchi, M.C.; Forlini, F.; Tritto, I. Microstructure Distribution of Polypropylenes Obtained in the Presence of Traditional Phthalate/Silane and Novel Diether Donors: A Tool for Understanding the Role of Electron Donors in MgCl2-Supported Ziegler-Natta Catalysts. Macromolecules 1996, 29, 5770–5776. [Google Scholar] [CrossRef]
- Wondimagegn, T.; Ziegler, T. The Role of External Alkoxysilane Donors on Stereoselectivity and Molecular Weight in MgCl2-Supported Ziegler–Natta Propylene Polymerization: A Density Functional Theory Study. J. Phys. Chem. C 2012, 116, 1027–1033. [Google Scholar] [CrossRef]
- Taniike, T.; Terano, M. The Use of Donors to Increase the Isotacticity of Polypropylene. In Polyolefins: 50 Years after Ziegler and Natta, I.; Kaminsky, W., Ed.; Springer: Berlin/Heidelberg, Germany, 2013; pp. 81–97. [Google Scholar]
- Vittoria, A.; Meppelder, A.; Friederichs, N.; Busico, V.; Cipullo, R. Demystifying Ziegler–Natta Catalysts: The Origin of Stereoselectivity. ACS Catal. 2017, 7, 4509–4518. [Google Scholar] [CrossRef]
- Correa, A.; Piemontesi, F.; Morini, G.; Cavallo, L. Key Elements in the Structure and Function Relationship of the MgCl2/TiCl4/Lewis Base Ziegler-Natta Catalytic System. Macromolecules 2007, 40, 9181–9189. [Google Scholar] [CrossRef]
- Busico, V.; Corradini, P.; De Martino, L.; Proto, A.; Savino, V.; Albizzati, E. Polymerization of Propene in the Presence of MgCl2-Supported Ziegler-Natta Catalysts, 1. The Role of Ethyl Benzoate as “Internal” and “External” Base. Die Makromol. Chem. 1985, 186, 1279–1288. [Google Scholar] [CrossRef]
- Sacchi, M.C.; Tritto, I.; Shan, C.; Mendichi, R.; Noristi, L. Role of the Pair of Internal and External Donors in MgCl2-Supported Ziegler-Natta Catalysts. Macromolecules 1991, 24, 6823–6826. [Google Scholar] [CrossRef]
- Scordamaglia, R.; Barino, L. Theoretical Predictive Evaluation of New Donor Classes in Ziegler-Natta Heterogeneous Catalysis for Propene Isospecific Polymerization. Macromol. Theory Simul. 1998, 7, 399–405. [Google Scholar] [CrossRef]
- Cannavacciuolo, F.D.; Falivene, L.; Zhang, Z.; Takasao, G.; De Canditiis, D.; Khoshsefat, M.; Chammingkwan, P.; Antinucci, G.; Taniike, T.; Cipullo, R.; et al. Data Driven Modeling of Ziegler–Natta Polypropylene Catalysts: Revisiting the Role of the Internal Donor. ACS Catal. 2025, 15, 5770–5780. [Google Scholar] [CrossRef]
- Zaccaria, F.; Vittoria, A.; Correa, A.; Ehm, C.; Budzelaar Peter, H.M.; Busico, V.; Cipullo, R. Internal Donors in Ziegler–Natta Systems: Is Reduction by AlR3 a Requirement for Donor Clean-Up? ChemCatChem 2018, 10, 984–988. [Google Scholar] [CrossRef]
- Langer, A.W.; Burkhardt, T.J.; Steger, J.J. Supported Catalysts for Polypropylene: Aluminum Alkyl-Ester Chemistry. In Coordination Polymerization; Price, C.C., Vandenberg, E.J., Eds.; Springer: Boston, MA, USA, 1983; pp. 225–248. [Google Scholar]
- Chien, J.C.W.; Wu, J.-C. Magnesium-Chloride-Supported High-Mileage Catalysts for Olefin Polymerization. II. Reactions between Aluminum Alkyl and Promoters. J. Polym. Sci. Polym. Chem. Ed. 1982, 20, 2445–2460. [Google Scholar] [CrossRef]
- Yu, Y.; Busico, V.; Budzelaar, P.H.M.; Vittoria, A.; Cipullo, R. Of Poisons and Antidotes in Polypropylene Catalysis. Angew. Chem. Int. Ed. 2016, 55, 8590–8594. [Google Scholar] [CrossRef]
- Terano, M.; Kataoka, T.; Keii, T. Stopped Flow Polymerization of Propene with Typical MgCl2-Supported High-Yield Catalysts. J. Mol. Catal. 1989, 56, 203–210. [Google Scholar] [CrossRef]
- Taniike, T.; Sano, S.; Ikeya, M.; Thang, V.Q.; Terano, M. Development of a Large-Scale Stopped-Flow System for Heterogeneous Olefin Polymerization Kinetics. Macromol. React. Eng. 2012, 6, 275–279. [Google Scholar] [CrossRef]
- Thakur, A.; Wada, T.; Chammingkwan, P.; Terano, M.; Taniike, T. Development of Large-Scale Stopped-Flow Technique and Its Application in Elucidation of Initial Ziegler-Natta Olefin Polymerization Kinetics. Polymers 2019, 11, 1012. [Google Scholar] [CrossRef]
- Taniike, T.; Cannavacciuolo, F.D.; Khoshsefat, M.; De Canditiis, D.; Antinucci, G.; Chammingkwan, P.; Cipullo, R.; Busico, V. End-to-End High-Throughput Approach for Data-Driven Internal Donor Development in Heterogeneous Ziegler-Natta Propylene Polymerization. ACS Catal. 2024, 14, 7589–7599. [Google Scholar] [CrossRef]
- Yakimov, A.; Xu, J.; Searles, K.; Liao, W.C.; Antinucci, G.; Friederichs, N.; Busico, V.; Copéret, C. DNP-SENS Formulation Protocols to Study Surface Sites in Ziegler-Natta Catalyst MgCl2 Supports Modified with Internal Donors. J. Phys. Chem. C 2021, 125, 15994–16003. [Google Scholar] [CrossRef]
- James, S.L.; Adams, C.J.; Bolm, C.; Braga, D.; Collier, P.; Friščić, T.; Grepioni, F.; Harris, K.D.M.; Hyett, G.; Jones, W.; et al. Mechanochemistry: Opportunities for New and Cleaner Synthesis. Chem. Soc. Rev. 2012, 41, 413–447. [Google Scholar] [CrossRef]
- Do, J.-L.; Friščić, T. Mechanochemistry: A Force of Synthesis. ACS Cent. Sci. 2017, 3, 13–19. [Google Scholar] [CrossRef]
- Gaffet, E.; Louison, C.; Harmelin, M.; Faudot, F. Metastable Phase Transformations Induced by Ball-Milling in the Cu-W System. Mater. Sci. Eng. A 1991, 134, 1380–1384. [Google Scholar] [CrossRef]
- Mori, H.; Sawada, M.; Higuchi, T.; Hasebe, K.; Otsuka, N.; Terano, M. Direct Observation of MgCl2-Supported Ziegler Catalysts by High Resolution Transmission Electron Microscopy. Macromol. Rapid Commun. 1999, 20, 245–250. [Google Scholar] [CrossRef]
- McKenna, T.F.L.; Di Martino, A.; Weickert, G.; Soares, J.B.P. Particle Growth During the Polymerisation of Olefins on Supported Catalysts, 1—Nascent Polymer Structures. Macromol. React. Eng. 2010, 4, 40–64. [Google Scholar] [CrossRef]
- Andoni, A.; Chadwick, J.C.; Niemantsverdriet, H.J.W.; Thune, P.C. A Flat Model Approach to Ziegler-Natta Catalysts for Propylene Polymerization and a Preparation Method of Well-Defined Crystallites of MgCl2-Supported Catalysts. Macromol. Symp. 2007, 260, 140–146. [Google Scholar] [CrossRef]
- Partin, D.E.; O’Keeffe, M. The Structures and Crystal Chemistry of Magnesium Chloride and Cadmium Chloride. J. Solid State Chem. 1991, 95, 176–183. [Google Scholar] [CrossRef]
- Malizia, F.; Fait, A.; Cruciani, G. Crystal Structures of Ziegler–Natta Catalyst Supports. Chem. A Eur. J. 2011, 17, 13892–13897. [Google Scholar] [CrossRef]
- Zannetti, R.; Marega, C.; Marigo, A.; Martorana, A. Layer Lattices in Ziegler–Natta Catalysts. J. Polym. Sci. Part B Polym. Phys. 1988, 26, 2399. [Google Scholar] [CrossRef]
- Wada, T.; Takasao, G.; Piovano, A.; D’Amore, M.; Thakur, A.; Chammingkwan, P.; Bruzzese, P.C.; Terano, M.; Civalleri, B.; Bordiga, S.; et al. Revisiting the Identity of δ-MgCl2: Part, I. Structural Disorder Studied by Synchrotron X-Ray Total Scattering. J. Catal. 2020, 385, 76–86. [Google Scholar] [CrossRef]
- Piovano, A.; D’Amore, M.; Wada, T.; Cleto Bruzzese, P.; Takasao, G.; Thakur, A.; Chammingkwan, P.; Terano, M.; Civalleri, B.; Bordiga, S.; et al. Revisiting the Identity of δ-MgCl2: Part II. Morphology and Exposed Surfaces Studied by Vibrational Spectroscopies and DFT Calculation. J. Catal. 2020, 387, 1–11. [Google Scholar] [CrossRef]
- Giunchi, G.; Allegra, G. Structural Disorder in Microcrystalline MgCl2. J. Appl. Crystallogr. 1983, 17, 172–178. [Google Scholar] [CrossRef]
- D’Amore, M.; Thushara, K.S.; Piovano, A.; Causà, M.; Bordiga, S.; Groppo, E. Surface Investigation and Morphological Analysis of Structurally Disordered MgCl2 and MgCl2/TiCl4 Ziegler–Natta Catalysts. ACS Catal. 2016, 6, 5786–5796. [Google Scholar] [CrossRef]
- Wada, T.; Thakur, A.; Chammingkwan, P.; Terano, M.; Taniike, T.; Piovano, A.; Groppo, E. Structural Disorder of Mechanically Activated δ-MgCl2 Studied by Synchrotron X-Ray Total Scattering and Vibrational Spectroscopy. Catalysts 2020, 10, 1089. [Google Scholar] [CrossRef]
- Wada, T.; Takasao, G.; Terano, M.; Chammingkwan, P.; Taniike, T. Structure Determination of the δ-MgCl2 Support in Ziegler-Natta Catalysts. J. Japan Pet. Inst. 2022, 65, 88–96. [Google Scholar] [CrossRef]
- Correa, A.; Talarico, G.; Cavallo, L. Regiochemistry of Propene Insertion with Group 4 Polymerization Catalysts from a Theoretical Perspective. J. Organomet. Chem. 2007, 692, 4519–4527. [Google Scholar] [CrossRef]
- Capone, F.; Rongo, L.; D’Amore, M.; Budzelaar, P.H.M.; Busico, V. Periodic Hybrid DFT Approach (Including Dispersion) to MgCl2-Supported Ziegler–Natta Catalysts. 2. Model Electron Donor Adsorption on MgCl2 Crystal Surfaces. J. Phys. Chem. C 2013, 117, 24345–24353. [Google Scholar] [CrossRef]
- Kuklin, M.S.; Bazhenov, A.S.; Denifl, P.; Leinonen, T.; Linnolahti, M.; Pakkanen, T.A. Stabilization of Magnesium Dichloride Surface Defects by Mono- and Bidentate Donors. Surf. Sci. 2015, 635, 5–10. [Google Scholar] [CrossRef]
- da Silveira, J.M.; Chikuma, H.; Takasao, G.; Wada, T.; Chammingkwan, P.; Taniike, T. Deciphering the Role of Internal Donors in Shaping Heterogeneous Ziegler–Natta Catalysts Based on Nonempirical Structural Determination. ACS Catal. 2024, 14, 2300–2312. [Google Scholar] [CrossRef]
- Suryanarayana, C. Mechanical Alloying and Milling. Prog. Mater. Sci. 2001, 46, 1–184. [Google Scholar] [CrossRef]
- Antinucci, G.; Cannavacciuolo, F.D.; Ehm, C.; Budzelaar, P.H.M.; Cipullo, R.; Busico, V. MgCl2-Supported Ziegler-Natta Catalysts for Propene Polymerization: Before Activation. Macromolecules 2024, 57, 5712–5719. [Google Scholar] [CrossRef]
- Monrabal, B.; Romero, L.; Mayo, N.; Sancho-Tello, J. Advances in Crystallization Elution Fractionation. Macromol. Symp. 2009, 282, 14–24. [Google Scholar] [CrossRef]
- Monrabal, B.; Romero, L. Separation of Polypropylene Polymers by Crystallization and Adsorption Techniques. Macromol. Chem. Phys. 2014, 215, 1818–1828. [Google Scholar] [CrossRef]
- Antinucci, G.; Pucciarelli, A.; Vittoria, A.; Zaccaria, F.; Urciuoli, G.; Ehm, C.; Cannavacciuolo, F.D.; Cipullo, R.; Busico, V. Fast Analytics of High-Impact Polypropylene (HIPP). ACS Appl. Polym. Mater. 2023, 5, 3894–3897. [Google Scholar] [CrossRef]
- Corradini, P.; Barone, V.; Fusco, R.; Guerra, G. Analysis of Models for the Ziegler-Natta Stereospecific Polymerization on the Basis of Non-Bonded Interactions at the Catalytic Site—I. The Cossee Model. Eur. Polym. J. 1979, 15, 1133–1141. [Google Scholar] [CrossRef]
- Corradini, P.; Guerra, G.; Fusco, R.; Barone, V. Analysis of Models for the Ziegler-Natta Stereospecific Polymerization on the Basis of Non-Bonded Interactions at the Catalytic Site—II: Edges, Steps and Reliefs on the Surface of Layered Modifications of TiCl3. Eur. Polym. J. 1980, 16, 835–842. [Google Scholar] [CrossRef]
- Antinucci, G.; Vittoria, A.; Cipullo, R.; Busico, V. Regioirregular Monomeric Units in Ziegler–Natta Polypropylene: A Sensitive Probe of the Catalytic Sites. Macromolecules 2020, 53, 3789–3795. [Google Scholar] [CrossRef]
- Vittoria, A.; Antinucci, G.; Zaccaria, F.; Cipullo, R.; Busico, V. Monitoring the Kinetics of Internal Donor Clean-up from Ziegler–Natta Catalytic Surfaces: An Integrated Experimental and Computational Study. J. Phys. Chem. C 2020, 124, 14245–14252. [Google Scholar] [CrossRef]
- Chammingkwan, P.; Khoshsefat, M.; Terano, M.; Taniike, T. Parallel Catalyst Synthesis Protocol for Accelerating Heterogeneous Olefin Polymerization Research. Polymers 2023, 15, 4729. [Google Scholar] [CrossRef]




| Sample | Grinding Protocol | <Lc> (nm) | <La> (nm) | nAr-DE-1,total (% wrt Mg) | nAr-DE-1,degraded (% wrt Mg) |
|---|---|---|---|---|---|
| 1 | Harsh-Dry (hD) | 3.0 | 5.2 | 5.9 | 1.8 |
| 2 | Mild-Dry (mD) | 2.4 | 5.6 | 6.0 | 0.8 |
| 3 | Harsh-Wet (hW) | 32.1 | 26.3 | 5.6 | Not detected |
| 4 | Mild-Wet (mW) | 51.0 | 30.3 | 5.7 | Not detected |
| MgCl2/ID | MgCl2/ID/TiCl4 | ||||||
|---|---|---|---|---|---|---|---|
| ID | ID (wt%) | nID (% wrt Mg) | Ti (wt%) | nTi (% wrt Mg) | ID (wt%) | nID (% wrt Mg) | n(ID)/n(Ti) |
| Ar-DE-1 | 12.5 | 5.7 | 2.2 | 5.9 | 13.9 | 6.4 | 1.1 |
| Ar-DE-3 | 11.8 | 6.0 | 1.7 | 4.5 | 12.4 | 6.3 | 1.4 |
| Ar-DE-5 | 13.0 | 7.5 | 1.8 | 4.8 | 13.6 | 7.8 | 1.6 |
| C-DE-1 | 9.8 | 6.5 | 2.4 | 6.4 | 8.2 | 5.3 | 0.8 |
| L1-DE-1 | 7.2 | 4.9 | 2.0 | 5.3 | 9.6 | 6.5 | 1.2 |
| L1-DE-2 | 10.1 | 7.8 | 2.4 | 6.4 | 12.6 | 10.0 | 1.6 |
| L1-DE-5 | 9.2 | 5.5 | 2.7 | 7.2 | 10.2 | 6.0 | 0.8 |
| L2-DE-2 | 8.9 | 6.0 | 2.1 | 5.6 | 15.9 | 10.8 | 1.9 |
| L2-DE-3 | 9.1 | 6.8 | 2.5 | 6.7 | 7.6 | 5.6 | 0.8 |
| L3-DE-1 | 11.7 | 7.9 | 1.8 | 4.8 | 13.5 | 9.2 | 1.9 |
| ID | IDres/binary (%) | IDres/ternary (%) | Δ(IDres) (a) (%) | AF (b) (wt%) |
|---|---|---|---|---|
| Ar-DE-1 | 59 | 78 | 19 | 13.1 |
| Ar-DE-3 | 72 | 90 | 18 | 14.8 |
| Ar-DE-5 | 65 | 88 | 23 | 12.3 |
| C-DE-1 | 68 | 70 | 2 | 36.1 |
| L1-DE-1 | 62 | 81 | 19 | 27.7 |
| L1-DE-2 | 76 | 80 | 4 | 38.4 |
| L1-DE-5 | 67 | 90 | 23 | 25.5 |
| L2-DE-2 | 54 | 60 | 6 | 43.6 |
| L2-DE-3 | 64 | 74 | 10 | 40.0 |
| L3-DE-1 | 59 | 65 | 6 | 27.1 |
Disclaimer/Publisher’s Note: The statements, opinions and data contained in all publications are solely those of the individual author(s) and contributor(s) and not of MDPI and/or the editor(s). MDPI and/or the editor(s) disclaim responsibility for any injury to people or property resulting from any ideas, methods, instructions or products referred to in the content. |
© 2025 by the authors. Licensee MDPI, Basel, Switzerland. This article is an open access article distributed under the terms and conditions of the Creative Commons Attribution (CC BY) license (https://creativecommons.org/licenses/by/4.0/).
Share and Cite
Cannavacciuolo, F.D.; Antinucci, G.; Cipullo, R.; Busico, V. Probing the Interaction of Diester Internal Donors (ID) with AlEt3 on Ziegler-Natta Surfaces: A Comparison Between Binary (MgCl2/ID) and Ternary (MgCl2/ID/TiCl4) Formulations. Molecules 2025, 30, 2176. https://doi.org/10.3390/molecules30102176
Cannavacciuolo FD, Antinucci G, Cipullo R, Busico V. Probing the Interaction of Diester Internal Donors (ID) with AlEt3 on Ziegler-Natta Surfaces: A Comparison Between Binary (MgCl2/ID) and Ternary (MgCl2/ID/TiCl4) Formulations. Molecules. 2025; 30(10):2176. https://doi.org/10.3390/molecules30102176
Chicago/Turabian StyleCannavacciuolo, Felicia Daniela, Giuseppe Antinucci, Roberta Cipullo, and Vincenzo Busico. 2025. "Probing the Interaction of Diester Internal Donors (ID) with AlEt3 on Ziegler-Natta Surfaces: A Comparison Between Binary (MgCl2/ID) and Ternary (MgCl2/ID/TiCl4) Formulations" Molecules 30, no. 10: 2176. https://doi.org/10.3390/molecules30102176
APA StyleCannavacciuolo, F. D., Antinucci, G., Cipullo, R., & Busico, V. (2025). Probing the Interaction of Diester Internal Donors (ID) with AlEt3 on Ziegler-Natta Surfaces: A Comparison Between Binary (MgCl2/ID) and Ternary (MgCl2/ID/TiCl4) Formulations. Molecules, 30(10), 2176. https://doi.org/10.3390/molecules30102176

