Evaluation of Antioxidant Activity and Treatment of Eczema by Berberine Hydrochloride-Loaded Liposomes-in-Gel
Abstract
1. Introduction
2. Results and Discussion
2.1. Encapsulation Rate, Particle Size, and Potential of Liposomes
2.2. Viscosity and pH of Liposomes-in-Gel
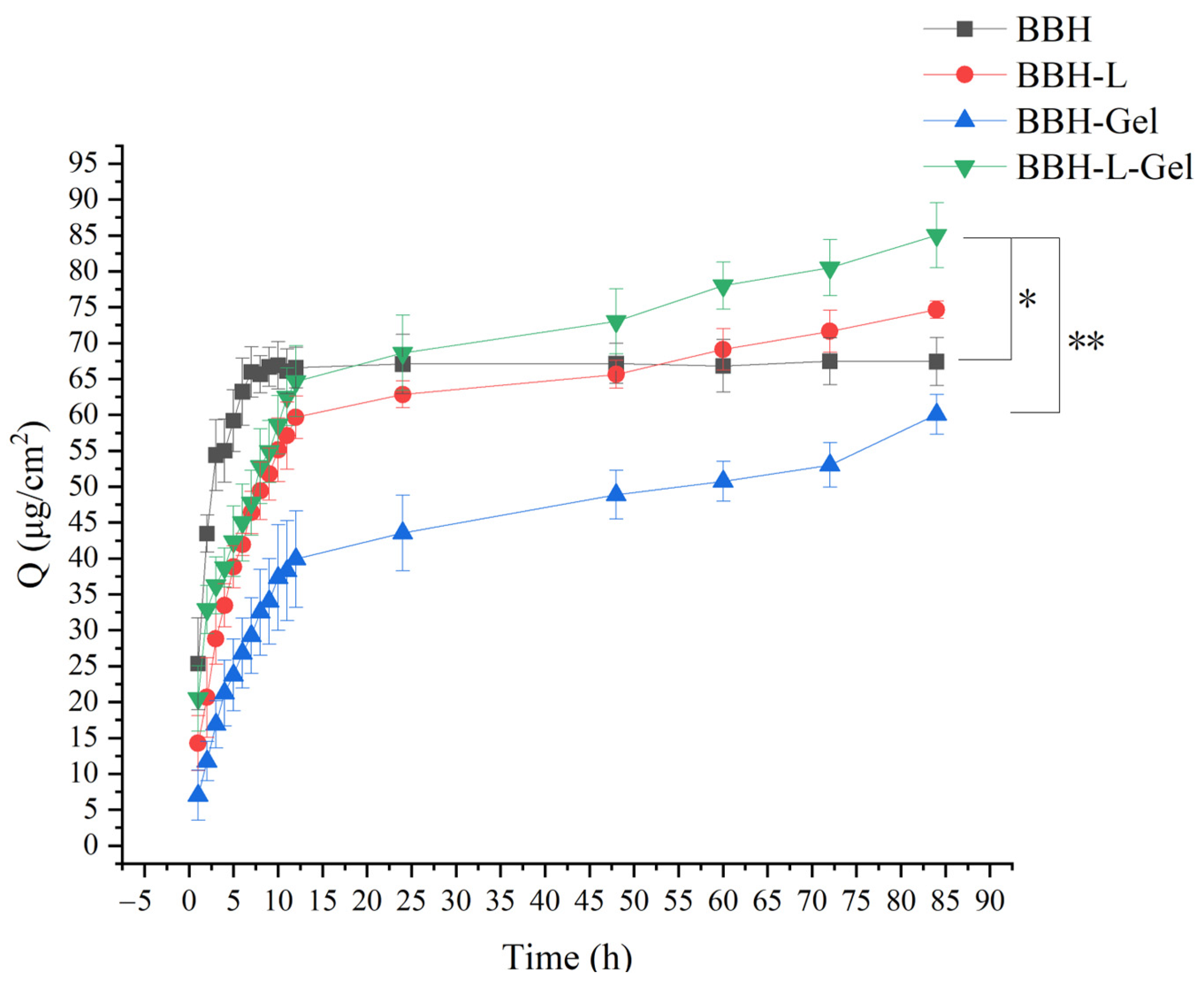
2.3. In Vitro Release Study
2.4. Results of Antioxidant Activity of BBH-L-Gel
2.5. Therapeutic Effect of BBH-L-Gel on Eczema
2.5.1. Weight Changes of Mice
2.5.2. Thickness Changes in Skin in Mice
2.5.3. EASI Score
2.5.4. Scratching Times of Mice
2.5.5. Ear Swelling
2.5.6. Weight Ratio of the Spleen to the Body
2.5.7. Determination of Oxidative Stress Caused by Eczema
3. Materials and Methods
3.1. Materials
3.2. Preparation of BBH-L-Gel
3.3. Characterization of Liposomes-in-Gel
3.3.1. Encapsulation Efficacy and Particle Size of Liposomes
3.3.2. Measurement of the Viscosity and pH of BBH-L-Gel
3.4. In Vitro Study of Transdermal Release
3.5. Determination of the Antioxidant Activity of the BBH-L-Gel
3.5.1. Determination of Scavenging Ability on a DPPH Radical
3.5.2. Determination of H2O2 Scavenging Ability
3.6. Pharmacodynamic Study on Eczema
3.6.1. Establishment of an Eczema Model in Mice
3.6.2. Eczema Area Severity Index (EASI) Evaluation
3.6.3. Scratching Behavior of Mice
3.6.4. Measurement of Ear Swelling
3.6.5. Weight Ratio of the Spleen to the Body
3.6.6. Effect of BBH-L-Gel on MDA
3.7. Statistical Analysis
4. Conclusions
Author Contributions
Funding
Institutional Review Board Statement
Informed Consent Statement
Data Availability Statement
Acknowledgments
Conflicts of Interest
Abbreviations
References
- Liu, Y.; Wang, B.; Shu, S.; Li, Z.; Song, C.; Liu, D.; Niu, Y.; Liu, J.; Zhang, J.; Liu, H.; et al. Analysis of the Coptis chinensis genome reveals the diversification of protoberberine-type alkaloids. Nat. Commun. 2021, 12, 3276. [Google Scholar] [CrossRef] [PubMed]
- Li, X.; Wei, S.; Niu, S.; Ma, X.; Li, H.; Jing, M.; Zhao, Y. Network pharmacology prediction and molecular docking-based strategy to explore the potential mechanism of Huanglian Jiedu Decoction against sepsis. Comput. Biol. Med. 2022, 144, 105389. [Google Scholar] [CrossRef]
- Wen, K.; Fang, X.; Yang, J.; Yao, Y.; Nandakumar, K.S.; Salem, M.L.; Cheng, K. Recent Research on Flavonoids and their Biomedical Applications. Curr. Med. Chem. 2021, 28, 1042–1066. [Google Scholar] [CrossRef]
- Lorenzo, J.M.; Munekata, P.E.S.; Sant’Ana, A.S.; Carvalho, R.B.; Barba, F.J.; Toldra, F.; Mora, L.; Trindade, M.A. Main characteristics of peanut skin and its role for the preservation of meat products. Trends Food Sci. Technol. 2018, 77, 1–10. [Google Scholar] [CrossRef]
- Wang, J.; Wang, L.; Lou, G.-H.; Zeng, H.-R.; Hu, J.; Huang, Q.-W.; Peng, W.; Yang, X.-B. Coptidis Rhizoma: A comprehensive review of its traditional uses, botany, phytochemistry, pharmacology and toxicology. Pharm. Biol. 2019, 57, 193–225. [Google Scholar] [CrossRef]
- Fu, K.; Lv, X.; Li, W.; Wang, Y.; Li, H.; Tian, W.; Cao, R. Berberine hydrochloride attenuates lipopolysaccharide-induced endometritis in mice by suppressing activation of NF-κB signal pathway. Int. Immunopharmacol. 2015, 24, 128–132. [Google Scholar] [CrossRef]
- Zhu, L.; Gu, P.; Shen, H. Protective effects of berberine hydrochloride on DSS-induced ulcerative colitis in rats. Int. Immunopharmacol. 2019, 68, 242–251. [Google Scholar] [CrossRef] [PubMed]
- Zhang, P.; He, L.; Zhang, J.; Mei, X.; Zhang, Y.; Tian, H.; Chen, Z. Preparation of novel berberine nano-colloids for improving wound healing of diabetic rats by acting Sirt1/NF-κB pathway. Colloids Surf. B-Biointerfaces 2020, 187, 110647. [Google Scholar] [CrossRef] [PubMed]
- Li, Z.; Geng, Y.-N.; Jiang, J.-D.; Kong, W.-J. Antioxidant and Anti-Inflammatory Activities of Berberine in the Treatment of Diabetes Mellitus. Evid.-Based Complement. Altern. Med. 2014, 2014, 289264. [Google Scholar] [CrossRef]
- Li, W.; Liu, F.; Wang, J.; Long, M.; Wang, Z. MicroRNA-21-Mediated Inhibition of Mast Cell Degranulation Involved in the Protective Effect of Berberine on 2,4-Dinitrofluorobenzene-Induced Allergic Contact Dermatitis in Rats via p38 Pathway. Inflammation 2018, 41, 689–699. [Google Scholar] [CrossRef]
- Batchelor, J.; Ridd, M.; Clarke, T.; Cox, M.; Roberts, A.; McPhee, M.; Crowe, S.; Rani, A.; Ravenscroft, J.; Ahmed, A.; et al. The Eczema Priority Setting Partnership: Identifying and prioritizing important research questions for the treatment of eczema. A collaborative partnership between patients, carers, clinicians and researchers. Br. J. Dermatol. 2012, 167, 51. [Google Scholar]
- Brown, S.J. Molecular Mechanisms in Atopic Eczema: Insight Gained from Genetic Studies. J. Pathol. 2017, 243, S9. [Google Scholar] [CrossRef]
- Blauvelt, A.; Silverberg, J.I.; Lynde, C.W.; Bieber, T.; Eisman, S.; Zdybski, J.; Gubelin, W.; Simpson, E.L.; Valenzuela, F.; Criado, P.R.; et al. Abrocitinib induction, randomized withdrawal, and retreatment in patients with moderate-to-severe atopic dermatitis: Results from the JAK1 Atopic Dermatitis Efficacy and Safety (JADE) REGIMEN phase 3 trial. J. Am. Acad. Dermatol. 2022, 86, 104–112. [Google Scholar] [CrossRef]
- Lin, Y.; Chen, Z.; Liu, Y.; Wang, J.; Lv, W.; Peng, R. Recent Advances in Nano-Formulations for Skin Wound Repair Applications. Drug Des. Dev. Ther. 2022, 16, 2707–2728. [Google Scholar] [CrossRef] [PubMed]
- Phatale, V.; Vaiphei, K.K.; Jha, S.; Patil, D.; Agrawal, M.; Alexander, A. Overcoming skin barriers through advanced transdermal drug delivery approaches. J. Control. Release 2022, 351, 361–380. [Google Scholar] [CrossRef]
- Yu, J.; Chen, Z.; Yin, Y.-Z.; Tang, C.; Hu, E.; Zheng, S.; Liu, Q.; Xiong, Y. Improving Topical Skin Delivery of Monocrotaline Via Liposome Gel-based Nanosystems. Curr. Drug Deliv. 2019, 16, 940–950. [Google Scholar] [CrossRef] [PubMed]
- Maione-Silva, L.; de Castro, E.G.; Nascimento, T.L.; Cintra, E.R.; Moreira, L.C.; Santana Cintra, B.A.; Valadares, M.C.; Lima, E.M. Ascorbic acid encapsulated into negatively charged liposomes exhibits increased skin permeation, retention and enhances collagen synthesis by fibroblasts. Sci. Rep. 2019, 9, 522. [Google Scholar] [CrossRef]
- Batchelor, J.M.; Ridd, M.J.; Clarke, T.; Ahmed, A.; Cox, M.; Crowe, S.; Howard, M.; Lawton, S.; McPhee, M.; Rani, A.; et al. The Eczema Priority Setting Partnership: A collaboration between patients, carers, clinicians and researchers to identify and prioritize important research questions for the treatment of eczema. Br. J. Dermatol. 2013, 168, 577–582. [Google Scholar] [CrossRef]
- da Silva, L.P.; Reis, R.L.; Correlo, V.M.; Marques, A.P. Hydrogel-Based Strategies to Advance Therapies for Chronic Skin Wounds. Annu. Rev. Biomed. Eng. 2019, 21, 145–169. [Google Scholar] [CrossRef]
- Mahrhauser, D.; Nagelreiter, C.; Baierl, A.; Skipiol, J.; Valenta, C. Influence of a multiple emulsion, liposomes and a microemulsion gel on sebum, skin hydration and TEWL. Int. J. Cosmet. Sci. 2015, 37, 181–186. [Google Scholar] [CrossRef]
- van Rooijen, N.; Hendrikx, E. Liposomes for specific depletion of macrophages from organs and tissues. Methods Mol. Biol. 2010, 605, 189–203. [Google Scholar] [CrossRef] [PubMed]
- Khaleque, M.A.; Okumura, Y.; Yabushita, S.; Mitani, M. Detachable immobilization of liposomes on polymer gel particles. Colloids Surf. B Biointerfaces 2004, 37, 35–42. [Google Scholar] [CrossRef] [PubMed]
- Torky, A.S.; Freag, M.S.; Nasra, M.M.A.; Abdallah, O.Y. Novel skin penetrating berberine oleate complex capitalizing on hydrophobic ion pairing approach. Int. J. Pharm. 2018, 549, 76–86. [Google Scholar] [CrossRef] [PubMed]
- Blair, M.J.; Jones, J.D.; Woessner, A.E.; Quinn, K.P. Skin Structure-Function Relationships and the Wound Healing Response to Intrinsic Aging. Adv. Wound Care 2020, 9, 127–143. [Google Scholar] [CrossRef] [PubMed]
- Tsakovska, I.; Pajeva, I.; Al Sharif, M.; Alov, P.; Fioravanzo, E.; Kovarich, S.; Worth, A.P.; Richarz, A.N.; Yang, C.; Mostrag-Szlichtyng, A.; et al. Quantitative structure-skin permeability relationships. Toxicology 2017, 387, 27–42. [Google Scholar] [CrossRef] [PubMed]
- Lee, C.K.; Zhang, S.; Venkatesan, G.; Irsan; Chong, S.Y.; Wang, J.W.; Goh, W.J.; Panczyk, T.; Tay, Y.Z.; Hu, J.; et al. Enhanced skin penetration of berberine from proniosome gel attenuates pain and inflammation in a mouse model of osteoarthritis. Biomater. Sci. 2022, 10, 1752–1764. [Google Scholar] [CrossRef] [PubMed]
- Cheng, M.; He, J.; Gu, Y.; Wu, G.; Tan, L.; Li, C.; Xu, F.; Zhu, K. Changes in Phenolic Compounds and Antioxidant Capacity of Artocarpus heterophyllus Lam. (Jackfruit) Pulp during In Vitro Gastrointestinal Digestion. Antioxidants 2023, 13, 37. [Google Scholar] [CrossRef] [PubMed]
- Aytekin, A.A.; Tuncay Tanrıverdi, S.; Aydın Köse, F.; Kart, D.; Eroğlu, İ.; Özer, Ö. Propolis loaded liposomes: Evaluation of antimicrobial and antioxidant activities. J. Liposome Res. 2019, 30, 107–116. [Google Scholar] [CrossRef] [PubMed]
- García Esteban, E.; Cózar-Bernal, M.J.; Rabasco Álvarez, A.M.; González-Rodríguez, M.L. A comparative study of stabilising effect and antioxidant activity of different antioxidants on levodopa-loaded liposomes. J. Microencapsul. 2018, 35, 357–371. [Google Scholar] [CrossRef]
- Nasab, M.E.; Takzaree, N.; Saffaria, P.M.; Partoazar, A. In vitro antioxidant activity and in vivo wound-healing effect of lecithin liposomes: A comparative study. J. Comp. Eff. Res. 2019, 8, 633–643. [Google Scholar] [CrossRef]
- Chakraborty, S.; Doktorova, M.; Molugu, T.R.; Heberle, F.A.; Scott, H.L.; Dzikovski, B.; Nagao, M.; Stingaciu, L.R.; Standaert, R.F.; Barrera, F.N.; et al. How cholesterol stiffens unsaturated lipid membranes. Proc. Natl. Acad. Sci. USA 2020, 117, 21896–21905. [Google Scholar] [CrossRef] [PubMed]
- Ionita, P. The Chemistry of DPPH(.) Free Radical and Congeners. Int. J. Mol. Sci. 2021, 22, 1545. [Google Scholar] [CrossRef] [PubMed]
- Kanner, J. Food Polyphenols as Preventive Medicine. Antioxidants 2023, 12, 2103. [Google Scholar] [CrossRef] [PubMed]
- Oray, M.; Abu Samra, K.; Ebrahimiadib, N.; Meese, H.; Foster, C.S. Long-term side effects of glucocorticoids. Expert Opin. Drug Saf. 2016, 15, 457–465. [Google Scholar] [CrossRef] [PubMed]
- Bussmann, C.; Peng, W.M.; Bieber, T.; Novak, N. Molecular pathogenesis and clinical implications of eczema herpeticum. Expert Rev. Mol. Med. 2008, 10, e21. [Google Scholar] [CrossRef] [PubMed]
- Marenholz, I.; Esparza-Gordillo, J.; Lee, Y.A. The genetics of the skin barrier in eczema and other allergic disorders. Curr. Opin. Allergy Clin. Immunol. 2015, 15, 426–434. [Google Scholar] [CrossRef] [PubMed]
- Wang, X.; Li, L.; Shi, X.; Zhou, P.; Shen, Y. Itching and its related factors in subtypes of eczema: A cross-sectional multicenter study in tertiary hospitals of China. Sci. Rep. 2018, 8, 10754. [Google Scholar] [CrossRef] [PubMed]
- Yosipovitch, G.; Berger, T.; Fassett, M.S. Neuroimmune interactions in chronic itch of atopic dermatitis. J. Eur. Acad. Dermatol. Venereol. 2020, 34, 239–250. [Google Scholar] [CrossRef] [PubMed]
- Tominaga, M.; Takamori, K. Peripheral itch sensitization in atopic dermatitis. Allergol. Int. 2022, 71, 265–277. [Google Scholar] [CrossRef]
- Ivetic Tkalcevic, V.; Hrvacic, B.; Bosnar, M.; Cuzic, S.; Bosnjak, B.; Erakovic Haber, V.; Glojnaric, I. Cantharidin-induced inflammation in mouse ear model for translational research of novel anti-inflammatories. Transl. Res. 2012, 160, 137–145. [Google Scholar] [CrossRef]
- Kim, J.K.; Kim, Y.H.; Lee, H.H.; Lim, S.S.; Park, K.W. Effect of Scrophularia buergeriana extract on the degranulation of mast cells and ear swelling induced by dinitrofluorobenzene in mice. Inflammation 2012, 35, 183–191. [Google Scholar] [CrossRef] [PubMed]
- Slater, S.J.; Lukies, M.; Kavnoudias, H.; Zia, A.; Lee, R.; Bosco, J.J.; Joseph, T.; Clements, W. Immune function and the role of vaccination after splenic artery embolization for blunt splenic injury. Injury 2022, 53, 112–115. [Google Scholar] [CrossRef] [PubMed]
- Huang, C.; Li, S.; Guo, W.; Zhang, Z.; Meng, X.; Li, X.; Gao, B.; Wen, R.; Niu, H.; Zhang, C.; et al. Cymbaria daurica L.: A Mongolian herbal medicine for treating eczema via natural killer cell-mediated cytotoxicity pathway. J. Ethnopharmacol. 2023, 308, 116246. [Google Scholar] [CrossRef]
- Haftcheshmeh, S.M.; Abedi, M.; Mashayekhi, K.; Mousavi, M.J.; Navashenaq, J.G.; Mohammadi, A.; Momtazi-Borojeni, A.A. Berberine as a natural modulator of inflammatory signaling pathways in the immune system: Focus on NF-kappaB, JAK/STAT, and MAPK signaling pathways. Phytother. Res. 2022, 36, 1216–1230. [Google Scholar] [CrossRef]
- Sivaranjani, N.; Rao, S.V.; Rajeev, G. Role of reactive oxygen species and antioxidants in atopic dermatitis. J. Clin. Diagn. Res. 2013, 7, 2683–2685. [Google Scholar] [CrossRef] [PubMed]
- Kapun, A.P.; Salobir, J.; Levart, A.; Kotnik, T.; Svete, A.N. Oxidative stress markers in canine atopic dermatitis. Res. Vet. Sci. 2012, 92, 469–470. [Google Scholar] [CrossRef] [PubMed]
- Li, T.; Wu, W.; Zhang, J.; Wu, Q.; Zhu, S.; Niu, E.; Wang, S.; Jiang, C.; Liu, D.; Zhang, C. Antioxidant Capacity of Free and Bound Phenolics from Olive Leaves: In Vitro and In Vivo Responses. Antioxidants 2023, 12, 2033. [Google Scholar] [CrossRef] [PubMed]
- Wu, S.; Liu, G.; Shao, P.; Lin, X.; Yu, J.; Chen, H.; Li, H.; Feng, S. Transdermal Sustained Release Properties and Anti-Photoaging Efficacy of Liposome-Thermosensitive Hydrogel System. Adv. Healthc. Mater. 2023, 13, e2301933. [Google Scholar] [CrossRef] [PubMed]
- Yu, L.; Chao, C.; Li, Q.; Ye, S.; Lin, J.; Zhong, S.; Xuan, Q.; Xu, K.; Zhao, S. A Co-Encapsulation of Coenzyme Q10 and Curcumin in Liposomes Coated with Chitosan (Q10-Cur-Lip-Chi) with Enhanced Solubility and Stability for Good Release Performance and Antioxidative Activity. Curr. Drug Deliv. 2023, 20, 1391–1403. [Google Scholar] [CrossRef]
- Cometa, S.; Licini, C.; Bonifacio, M.A.; Mastrorilli, P.; Mattioli-Belmonte, M.; De Giglio, E. Carboxymethyl cellulose-based hydrogel film combined with berberine as an innovative tool for chronic wound management. Carbohydr. Polym. 2022, 283, 119145. [Google Scholar] [CrossRef]
- Yang, L.J.; He, J.B.; Jiang, Y.; Li, J.; Zhou, Z.W.; Zhang, C.; Tao, X.; Chen, A.F.; Peng, C.; Xie, H.H. Berberine hydrochloride inhibits migration ability via increasing inducible NO synthase and peroxynitrite in HTR-8/SVneo cells. J. Ethnopharmacol. 2023, 305, 116087. [Google Scholar] [CrossRef] [PubMed]
- Dah-Nouvlessounon, D.; Chokki, M.; Hoteyi, I.M.S.; Fassinou, F.; Ranga, F.; Fetea, F.; Diaconeasa, Z.; Vodnar, D.; Furdui, B.; Baba-Moussa, F.; et al. Pharmacological Property and Cytotoxic Effect Showing Antiproliferative Potency in Human Melanoma Cell Lines (A375) of Combretum racemosum P. Beauv. Leaf and Root Extracts Used in Benin. Antioxidants 2023, 13, 31. [Google Scholar] [CrossRef] [PubMed]
- Mouithys-Mickalad, A.; Etsè, K.S.; Franck, T.; Ceusters, J.; Niesten, A.; Graide, H.; Deby-Dupont, G.; Sandersen, C.; Serteyn, D. Free Radical Inhibition Using a Water-Soluble Curcumin Complex, NDS27: Mechanism Study Using EPR, Chemiluminescence, and Docking. Antioxidants 2024, 13, 80. [Google Scholar] [CrossRef] [PubMed]
- Hanifin, J.M.; Baghoomian, W.; Grinich, E.; Leshem, Y.A.; Jacobson, M.; Simpson, E.L. The Eczema Area and Severity Index-A Practical Guide. Dermatitis 2022, 33, 187–192. [Google Scholar] [CrossRef]










Disclaimer/Publisher’s Note: The statements, opinions and data contained in all publications are solely those of the individual author(s) and contributor(s) and not of MDPI and/or the editor(s). MDPI and/or the editor(s) disclaim responsibility for any injury to people or property resulting from any ideas, methods, instructions or products referred to in the content. |
© 2024 by the authors. Licensee MDPI, Basel, Switzerland. This article is an open access article distributed under the terms and conditions of the Creative Commons Attribution (CC BY) license (https://creativecommons.org/licenses/by/4.0/).
Share and Cite
Shen, S.; Qu, X.; Liu, Y.; Wang, M.; Zhou, H.; Xia, H. Evaluation of Antioxidant Activity and Treatment of Eczema by Berberine Hydrochloride-Loaded Liposomes-in-Gel. Molecules 2024, 29, 1566. https://doi.org/10.3390/molecules29071566
Shen S, Qu X, Liu Y, Wang M, Zhou H, Xia H. Evaluation of Antioxidant Activity and Treatment of Eczema by Berberine Hydrochloride-Loaded Liposomes-in-Gel. Molecules. 2024; 29(7):1566. https://doi.org/10.3390/molecules29071566
Chicago/Turabian StyleShen, Si, Xiaobo Qu, Yinyin Liu, Mengmeng Wang, Haifeng Zhou, and Hongmei Xia. 2024. "Evaluation of Antioxidant Activity and Treatment of Eczema by Berberine Hydrochloride-Loaded Liposomes-in-Gel" Molecules 29, no. 7: 1566. https://doi.org/10.3390/molecules29071566
APA StyleShen, S., Qu, X., Liu, Y., Wang, M., Zhou, H., & Xia, H. (2024). Evaluation of Antioxidant Activity and Treatment of Eczema by Berberine Hydrochloride-Loaded Liposomes-in-Gel. Molecules, 29(7), 1566. https://doi.org/10.3390/molecules29071566

